(浙江专版)高考数学一轮复习 专题4.3 简单的三角恒等变换(讲)
- 格式:doc
- 大小:4.21 MB
- 文档页数:19
第四章三角函数与解三角形第03节简单的三角恒等变换A 基础巩固训练1.【2018年全国卷Ⅲ文】若,则A. B. C. D.【答案】B【解析】分析:由公式可得。
详解:故答案为B.2.【浙江高三模拟】已知,,则________.【答案】.【解析】∵,∴,∴,∴,又∵,∴,∴.3.【2018湖北,部分重点中学7月联考】已知,则,= .【答案】【解析】由同角三角函数基本定理得解得,,,.4.【2018江西(宜春中学、丰城中学、樟树中学、高安二中、丰城九中、新余一中)六校上学期第五次联考】已知,,则__________.【答案】5.【浙江省杭州二中】已知,,,且,则________,_______.【答案】,【解析】因为,所以,因为,所以,即,因为,所以,所以,因为,,所以,,所以,所以答案应填:,.B能力提升训练1. 若且,则“”是“”的()A.充分不必要条件B.必要不充分条件C.充要条件D.既不充分也不必要条件【答案】A【解析】,,,,,所以,当时,,所以“”是“”的充分不必要条件.故选.2.【2018届重庆市第三次抽测】已知直线的倾斜角为,则()A. B. C. D.【答案】A【解析】分析:根据直线的斜率得到的值,再利用二倍角公式和同角的三角函数的基本关系式把化为关于的关系式即可.详解:由题设有,.故选A.3. 已知,且,则的是()A. B. C. D.【答案】C4.【2018安徽蚌埠市第二中学7月】已知,则 ( )A. B. C. D.【答案】A【解析】根据二倍角公式,,即,所以,故选择A.5.【2018届湖北省黄冈中学5月第三次模拟】已知,是方程的两根,则()A. B. 或 C. D.【答案】D【解析】分析:根据韦达定理,利用两角和的正切公式求得的值,根据二倍角的正切公式列过程求解即可.详解:,是方程的两根,,,,,,,,得或(舍去),故选D.C思维扩展训练1.已知,满足,则的最小值是()A. B. C. D.【答案】B【解析】由已知得,得,∵,∴,,,即时等号成立,所以,所以.选B.2.【2017浙江台州4月调研】已知,若对任意的,不等式恒成立,则实数的取值范围是()A. B. C. D.【答案】A3.已知,则.【答案】-1【解析】注意观察求知角x和已知角的关系可发现求知角均能用已知角和特殊角表示出来,再用和差角公式展开即可求得结果.故答案为:-1.4.已知,则.【答案】5. 在平面直角坐标系中,已知向量.(1)若,求向量与的夹角;(2)当,求的最大值.【答案】(1);(2).【解析】试题分析:(1)利用两向量的夹角余弦等于两向量的数量积除以两向量的模的乘积即夹角公式即可;(II)利用向量的的有关知识化简函数得,再利用正弦函数的单调性求其最大值试题解析:(1)因为,,,,所以.(2)因为,所以,又所以,因,所以,所以,从而.。
第03节简单的三角恒等变换A 基础巩固训练1.【2018年全国卷Ⅲ文】若,则A. B. C. D.【答案】B【解析】分析:由公式可得。
详解:故答案为B.2.【浙江高三模拟】已知,,则________.【答案】.【解析】∵,∴,∴,∴,又∵,∴,∴.3.【2018湖北,部分重点中学7月联考】已知,则,= .【答案】【解析】由同角三角函数基本定理得解得,,,.4.【2018江西(宜春中学、丰城中学、樟树中学、高安二中、丰城九中、新余一中)六校上学期第五次联考】已知,,则__________.【答案】5.【浙江省杭州二中】已知,,,且,则________,_______. 【答案】,【解析】因为,所以,因为,所以,即,因为,所以,所以,因为,,所以,,所以,所以答案应填:,.B能力提升训练1. 若且,则“”是“”的()A.充分不必要条件B.必要不充分条件C.充要条件D.既不充分也不必要条件【答案】A【解析】,,,,,所以,当时,,所以“”是“”的充分不必要条件.故选.2.【2018届重庆市第三次抽测】已知直线的倾斜角为,则()A. B. C. D.【答案】A【解析】分析:根据直线的斜率得到的值,再利用二倍角公式和同角的三角函数的基本关系式把化为关于的关系式即可.详解:由题设有,.故选A.3. 已知,且,则的是()A. B. C. D.【答案】C4.【2018安徽蚌埠市第二中学7月】已知,则 ( )A. B. C. D.【答案】A【解析】根据二倍角公式,,即,所以,故选择A.5.【2018届湖北省黄冈中学5月第三次模拟】已知,是方程的两根,则()A. B. 或 C. D.【答案】D【解析】分析:根据韦达定理,利用两角和的正切公式求得的值,根据二倍角的正切公式列过程求解即可.详解:,是方程的两根,,,,,,,,得或(舍去),故选D.C思维扩展训练1.已知,满足,则的最小值是()A. B. C. D.【答案】B【解析】由已知得,得,∵,∴,,,即时等号成立,所以,所以.选B.2.【2017浙江台州4月调研】已知,若对任意的,不等式恒成立,则实数的取值范围是()A. B. C. D.【答案】A3.已知,则.【答案】-1【解析】注意观察求知角x和已知角的关系可发现求知角均能用已知角和特殊角表示出来,再用和差角公式展开即可求得结果.故答案为:-1.4.已知,则.【答案】5. 在平面直角坐标系中,已知向量.(1)若,求向量与的夹角;(2)当,求的最大值.【答案】(1);(2).【解析】试题分析:(1)利用两向量的夹角余弦等于两向量的数量积除以两向量的模的乘积即夹角公式即可;(II)利用向量的的有关知识化简函数得,再利用正弦函数的单调性求其最大值试题解析:(1)因为,,,,所以.(2)因为,所以,又所以,因,所以,所以,从而.。
第4讲 简单的三角恒等变换三角函数式的化简化简:(1)(1+sin θ+cos θ)⎝⎛⎭⎪⎫sin θ2-cos θ22+2cos θ(0<θ<π);(2)⎝ ⎛⎭⎪⎪⎫1tan α2-tan α2·⎝ ⎛⎭⎪⎫1+tan α·tan α2. 【解】 (1)原式=⎝⎛⎭⎪⎫2sin θ2cos θ2+2cos 2θ2⎝ ⎛⎭⎪⎫sin θ2-cos θ24cos2θ2=cos θ2⎝ ⎛⎭⎪⎫sin 2θ2-cos 2θ2⎪⎪⎪⎪⎪⎪cos θ2=-cos θ2·cos θ⎪⎪⎪⎪⎪⎪cos θ2.因为0<θ<π,所以0<θ2<π2,所以cos θ2>0.所以原式=-cos θ.(2)原式=⎝⎛⎭⎪⎫cosα2sin α2-sin α2cos α2·⎝⎛⎭⎪⎫1+sin αcos α·sin α2cosα2 =cos2α2-sin2α2sin α2cos α2·cos αcos α2+sin αsinα2cos αcosα2=2cos αsin α·cosα2cos αcosα2=2sin α.三角函数式的化简要遵循“三看”原则(1)一看“角”,这是最重要的一个环节,通过看角之间的差别与联系,把角进行合理的拆分,从而正确使用公式;(2)二看“函数名称”,看函数名称之间的差异,从而确定使用的公式,常见的有“切化弦”;(3)三看“结构特征”,分析结构特征,可以帮助我们找到变形的方向,如“遇到分式要通分”等.1.(2020·义乌模拟)化简:2sin(π-α)+sin 2αcos2α2=________.解析:2sin(π-α)+sin 2αcos2α2=2sin α+2sin αcos α12(1+cos α)=4sin α(1+cos α)1+cos α=4sin α.答案:4sin α2.化简:2cos4x-2cos2x+122tan⎝⎛⎭⎪⎫π4-x sin2⎝⎛⎭⎪⎫π4+x.解:原式=-2sin2x cos2x+122sin⎝⎛⎭⎪⎫π4-x cos2⎝⎛⎭⎪⎫π4-xcos⎝⎛⎭⎪⎫π4-x=12(1-sin22x)2sin⎝⎛⎭⎪⎫π4-x cos⎝⎛⎭⎪⎫π4-x=12cos22xsin⎝⎛⎭⎪⎫π2-2x=12cos 2x.三角恒等式的证明求证:(1)cos 2(A +B )-sin 2(A -B )=cos 2A cos 2B ; (2)cos 2θ(1-tan 2θ)=cos 2θ.【证明】 (1)因为左边=1+cos (2A +2B )2-1-cos (2A -2B )2=cos (2A +2B )+cos (2A -2B )2=12(cos 2A cos 2B -sin 2A sin 2B +cos 2A cos 2B +sin 2A sin 2B ) =cos 2A cos 2B =右边, 所以等式成立.(2)法一:因为左边=cos 2θ⎝ ⎛⎭⎪⎫1-sin 2θcos 2θ =cos 2θ-sin 2θ=cos 2θ=右边, 所以等式成立.法二:因为右边=cos 2θ=cos 2θ-sin 2θ=cos 2θ⎝ ⎛⎭⎪⎫1-sin 2θcos 2θ=cos 2θ(1-tan 2θ)=左边,所以等式成立.证明三角恒等式实际上就是有目的地化繁为简,最后左右归一.常用方法: (1)从左边推到右边; (2)从右边推到左边;(3)找中间量,常用技巧:切化弦,降次消元,拆项拆角,“1”的代换以及公式变形等.指导思想是统一三角函数名称,统一为相同的角.设α,β是锐角,sin α=437,cos(α+β)=-1114,求证:β=π3.证明:由0<α<π2,0<β<π2,知0<α+β<π, 又cos(α+β)=-1114,故sin(α+β)=1-cos 2(α+β)=1-⎝ ⎛⎭⎪⎫-11142=5314. 由sin α=437,可知cos α=1-sin 2α=1-⎝ ⎛⎭⎪⎫4372=17,所以sin β=sin[(α+β)-α]=sin(α+β)cos α-cos(α+β)sin α =5314×17-⎝ ⎛⎭⎪⎫-1114×437=32, 所以β=π3.三角函数式的求值(高频考点)三角函数式的求值在高考中主要以选择题形式出现,有时以解答题某一步出现,试题难度较小.主要命题角度有:(1)给角求值; (2)给值求值; (3)给值求角. 角度一 给角求值cos 10°(1+3tan 10°)cos 50°的值是________.【解析】 依题意得cos 10°(1+3tan 10°)cos 50°=cos 10°+3sin 10°cos 50°=2sin (10°+30°)cos 50°=2sin 40°sin 40°=2.【答案】 2 角度二 给值求值(2020·金华模拟)已知θ∈⎝⎛⎭⎪⎫0,π4,且sin θ-cos θ=-144,则2cos 2θ-1cos ⎝ ⎛⎭⎪⎫π4+θ等于( )A.23B.43C.34D.32【解析】 由sin θ-cos θ=-144得sin ⎝ ⎛⎭⎪⎫π4-θ=74, 因为θ∈⎝ ⎛⎭⎪⎫0,π4,所以π4-θ∈⎝⎛⎭⎪⎫0,π4,所以cos ⎝ ⎛⎭⎪⎫π4-θ=34,所以2cos 2θ-1cos ⎝ ⎛⎭⎪⎫π4+θ=cos 2θsin ⎝ ⎛⎭⎪⎫π4-θ=sin ⎝ ⎛⎭⎪⎫π2-2θsin ⎝ ⎛⎭⎪⎫π4-θ=sin 2⎝ ⎛⎭⎪⎫π4-θsin ⎝ ⎛⎭⎪⎫π4-θ=2cos ⎝ ⎛⎭⎪⎫π4-θ=32.【答案】 D 角度三 给值求角已知tan α,tan β是方程x 2+33x +4=0的两根,且α,β∈⎝ ⎛⎭⎪⎫-π2,π2,则α+β=( )A.π3B.π3或-2π3C .-π3或2π3D .-2π3【解析】 由题意得tan α+tan β=-33<0,tan αtan β=4>0,所以tan(α+β)=tan α+tan β1-tan αtan β=3,且tan α<0,tan β<0,又由α,β∈⎝ ⎛⎭⎪⎫-π2,π2得α,β∈⎝ ⎛⎭⎪⎫-π2,0,所以α+β∈(-π,0),所以α+β=-2π3.【答案】 D三角函数求值的3种情况sin 110°sin 20°cos2155°-sin2155°的值为( )A.-12B.12C.32D.-32解析:选B.sin 110°sin 20°cos2155°-sin2155°=sin 70°sin 20°cos 310°=cos 20°sin 20°cos 50°=12sin 40°sin 40°=12.三角恒等变换的简单应用如图,现要在一块半径为1 m,圆心角为π3的扇形白铁片AOB 上剪出一个平行四边形MNPQ,使点P在弧AB上,点Q在OA上,点M,N在OB上,设∠BOP=θ,平行四边形MNPQ的面积为S.(1)求S关于θ的函数关系式;(2)求S的最大值及相应的θ角.【解】(1)分别过P,Q作PD⊥OB于点D,QE⊥OB于点E,则四边形QEDP为矩形.由扇形半径为1 m,得PD=sin θ,OD=cos θ.在Rt△OEQ中,OE=33QE=33PD,MN=QP=DE=OD-OE=cos θ-33sin θ,S=MN·PD=⎝⎛⎭⎪⎫cos θ-33sin θ·sin θ=sin θcos θ-33sin2θ,θ∈⎝⎛⎭⎪⎫0,π3.(2)S =12sin 2θ-36(1-cos 2θ)=12sin 2θ+36cos 2θ-36=33sin ⎝⎛⎭⎪⎫2θ+π6-36,因为θ∈⎝⎛⎭⎪⎫0,π3,所以2θ+π6∈⎝ ⎛⎭⎪⎫π6,5π6,sin ⎝ ⎛⎭⎪⎫2θ+π6∈⎝ ⎛⎦⎥⎤12,1.当θ=π6时,S max =36(m 2).利用三角恒等变换解决实际问题的思路(1)结合具体图形引进角为参数,利用三角函数的有关公式进行化简,解决最优化问题. (2)解决三角函数应用问题和解决一般应用性问题一样,先建模,再讨论变量的范围,最后作出结论并回答问题.[提醒] 注意恰当选择自变量,并利用解直角三角形等知识表示有关线段.1.(2020·杭州市高三模拟)函数f (x )=3sin x 2cos x2+4cos 2x2(x ∈R )的最大值等于( )A .5 B.92 C.52D .2解析:选B.因为f (x )=3sin x 2cos x2+4cos 2x2=32sin x +2cos x +2=52⎝ ⎛⎭⎪⎫35sin x +45cos x +2=52sin(x +φ)+2, 其中sin φ=45,cos φ=35,所以函数f (x )的最大值为92.2.如图,有一块以点O 为圆心的半圆形空地,要在这块空地上划出一个内接矩形ABCD 开辟为绿地,使其一边AD 落在半圆的直径上,另两点B ,C 落在半圆的圆周上.已知半圆的半径长为20 m ,如何选择关于点O 对称的点A ,D 的位置,可以使矩形ABCD 的面积最大,最大值是多少?解:连接OB ,设∠AOB =θ,则AB =OB sin θ=20sin θ,OA =OB cos θ=20cos θ,且θ∈⎝⎛⎭⎪⎫0,π2.因为A ,D 关于原点对称, 所以AD =2OA =40cos θ. 设矩形ABCD 的面积为S ,则S =AD ·AB =40cos θ·20sin θ=400sin 2θ.因为θ∈⎝⎛⎭⎪⎫0,π2,所以当sin 2θ=1, 即θ=π4时,S max =400(m 2).此时AO =DO =102(m).故当A 、D 距离圆心O 为10 2 m 时,矩形ABCD 的面积最大,其最大面积是400 m 2.[基础题组练]1.计算sin 15°sin 30°sin 75°的值等于( ) A.34 B.38 C.18 D.14解析:选C.原式=12sin 15°cos 15°=14×2sin 15°cos 15° =14sin 30°=18. 2.已知f (x )=2tan x -2sin 2x2-1sin x 2cos x 2,则f ⎝ ⎛⎭⎪⎫π12的值为( ) A .4 3 B.833C .4D .8解析:选 D.因为f (x )=2⎝ ⎛⎭⎪⎫tan x +cos x sin x =2×⎝ ⎛⎭⎪⎫sin x cos x +cos x sin x =2×1cos x sin x =4sin 2x ,所以f ⎝ ⎛⎭⎪⎫π12=4sinπ6=8.3.若sin ⎝ ⎛⎭⎪⎫π4+α=13,则cos ⎝ ⎛⎭⎪⎫π2-2α等于( ) A.429B .-429C.79D .-79解析:选D.因为sin ⎝⎛⎭⎪⎫π4+α=13,cos ⎝ ⎛⎭⎪⎫π2-2α=sin 2α=-cos ⎝ ⎛⎭⎪⎫π2+2α=-cos 2⎝ ⎛⎭⎪⎫π4+α=-⎣⎢⎡⎦⎥⎤1-2sin 2⎝ ⎛⎭⎪⎫π4+α=2sin 2⎝ ⎛⎭⎪⎫π4+α-1=-79.4.已知α,β均为锐角,(1+tan α)(1+tan β)=2,则α+β为( ) A.π6 B.π4 C.π3D.3π4解析:选B.由(1+tan α)(1+tan β)=2得 tan α+tan β=1-tan αtan β,所以tan(α+β)=tan α+tan β1-tan αtan β=1-tan αtan β1-tan αtan β=1.因为0<α,β<π2,所以0<α+β<π,所以α+β=π4.5.(2020·台州质检)4sin 80°-cos 10°sin 10°等于( )A. 3 B .- 3 C. 2D .22-3解析:选B.依题意,因为sin 80°=cos 10°, 所以4sin 80°-cos 10°sin 10°=4sin 10°cos 10°-cos 10°sin 10°=2sin 20°-cos 10°sin 10°=2sin (30°-10°)-cos 10°sin 10°=2⎝ ⎛⎭⎪⎫12cos 10°-32sin 10°-cos 10°sin 10°=-3sin 10°sin 10°=-3,选B.6.已知cos ⎝ ⎛⎭⎪⎫θ-π6+sin θ=435,则sin ⎝ ⎛⎭⎪⎫θ+7π6的值是( ) A.45 B.435C .-45D .-435解析:选C.因为cos ⎝ ⎛⎭⎪⎫θ-π6+sin θ=435,所以32cos θ+32sin θ=435,即3⎝ ⎛⎭⎪⎫12cos θ+32sin θ=435,即3sin ⎝ ⎛⎭⎪⎫θ+π6=435,所以sin ⎝ ⎛⎭⎪⎫θ+π6=45,所以sin ⎝ ⎛⎭⎪⎫θ+7π6=-sin ⎝ ⎛⎭⎪⎫θ+π6=-45.故选C. 7.11-tan 15°-11+tan 15°=________.解析:原式=2tan 15°(1-tan 15°)(1+tan 15°)=2tan 15°1-tan 215°=tan 30°=33. 答案:338.(2020·温州中学高三模考)已知向量a =(sin α+cos α,1),b =(1,-2cos α),a ·b =15,α∈⎝⎛⎭⎪⎫0,π2,则sin α=________,cos α=________.解析:由题设可得sin α+cos α-2cos α=15,即sin α-cos α=15,联立sin2α+cos 2α=1,由此可得sin α=45,cos α=35.答案:45 359.已知sin αcos α1-cos 2α=12,tan(α-β)=12,则tan β=________.解析:因为sin αcos α1-cos 2α=12,所以sin αcos α2sin 2α=12,cos αsin α=1,所以tan α=1,又因为tan(α-β)=12,所以tan β=tan[α-(α-β)]=tan α-tan (α-β)1+tan αtan (α-β)=1-121+1×12=13.答案:1310.(2020·浙江省重点中学高三月考)请利用图1、图2中大矩形内部阴影部分的面积关系,写出该图所验证的一个三角恒等变换公式:________________________.解析:两个图的阴影部分面积相等,题图1中大矩形面积为S =(cos α+cos β)(sinα+sin β)=sin(α+β)+sin αcos α+sin βcos β,减去四个小直角三角形的面积得S 1=S -sin αcos α-sin βcos β=sin(α+β),题图2中阴影部分面积为S 2=sinαcos β+cos αsin β.答案:sin(α+β)=sin αcos β+cos αsin β11.已知tan α=-13,cos β=55,α∈⎝ ⎛⎭⎪⎫π2,π,β∈⎝ ⎛⎭⎪⎫0,π2,求tan(α+β)的值,并求出α+β的值.解:由cos β=55,β∈⎝⎛⎭⎪⎫0,π2,得sin β=255,tan β=2.所以tan(α+β)=tan α+tan β1-tan αtan β=-13+21+23=1.因为α∈⎝ ⎛⎭⎪⎫π2,π,β∈⎝⎛⎭⎪⎫0,π2,所以π2<α+β<3π2,所以α+β=5π4.12.已知tan 2θ=-22,π<2θ<2π,求2cos 2θ2-sin θ-12sin ⎝⎛⎭⎪⎫θ+π4的值.解:原式=cos θ-sin θ2sin ⎝ ⎛⎭⎪⎫θ+π4=2sin ⎝⎛⎭⎪⎫π4-θ2sin ⎝ ⎛⎭⎪⎫π4+θ,又⎝⎛⎭⎪⎫π4-θ+⎝ ⎛⎭⎪⎫π4+θ=π2,所以原式=sin ⎝ ⎛⎭⎪⎫π4-θcos ⎝ ⎛⎭⎪⎫π4-θ=tan ⎝ ⎛⎭⎪⎫π4-θ=1-tan θ1+tan θ.因为tan 2θ=2 tan θ1-tan 2θ=-22, 解得tan θ=-12或tan θ=2,又π<2θ<2π,所以π2<θ<π,所以tan θ=-12,所以原式=1+121-12=3+2 2. [综合题组练]1.已知sin α=35且α为第二象限角,则tan ⎝ ⎛⎭⎪⎫2α+π4=( ) A .-195B .-519C .-3117D .-1731解析:选D.由题意得cos α=-45,则sin 2α=-2425,cos 2α=2cos 2α-1=725,所以tan 2α=-247,所以tan ⎝ ⎛⎭⎪⎫2α+π4=tan 2α+tan π41-tan 2αtan π4=-247+11-⎝ ⎛⎭⎪⎫-247×1=-1731.2.公元前6世纪,古希腊的毕达哥拉斯学派研究过正五边形和正十边形的作图,发现了黄金分割均为0.618,这一数值也可以表示为m =2sin 18°,若m 2+n =4,则m n2cos 227°-1=( )A .8B .4C .2D .1解析:选C.因为m =2sin 18°, 若m 2+n =4,则n =4-m 2=4-4sin 218°=4(1-sin 218°)=4cos 218°,所以m n2cos 227°-1=2sin18°4cos 218°cos 54°=4sin 18°cos 18°sin 36°=2sin 36°sin 36°=2. 3.(2020·台州市书生中学检测)在△ABC 中,角A ,B ,C 所对的边长分别为a ,b ,c ,已知a -b =2,c =4,sin A =2sin B ,则△ABC 的面积为________,sin(2A -B )=________.解析:由sin A =2sin B 得,a =2b ,结合已知可知,a =c =4,b =2,则cos A =14,sin A =154, S =12bc sin A =15, cos B =a 2+c 2-b 22ac =78,sin B =158, sin(2A -B )=sin 2A cos B -cos 2A sin B =2sin A cos A cos B -(cos 2A -sin 2A )sinB =2×154×14×78-⎝ ⎛⎭⎪⎫116-1516×158=71532. 答案:15715324.设α∈⎝ ⎛⎭⎪⎫0,π3,β∈⎝ ⎛⎭⎪⎫π6,π2,且53sin α+5cos α=8,2sin β+6cos β=2,则cos(α+β)的值为________.解析:由53sin α+5cos α=8,得sin ⎝ ⎛⎭⎪⎫α+π6=45,因为α∈⎝ ⎛⎭⎪⎫0,π3,α+π6∈⎝ ⎛⎭⎪⎫π6,π2,所以cos ⎝⎛⎭⎪⎫α+π6=35. 又β∈⎝ ⎛⎭⎪⎫π6,π2,β+π3∈⎝ ⎛⎭⎪⎫π2,56π,由已知得sin ⎝ ⎛⎭⎪⎫β+π3=22.所以cos ⎝⎛⎭⎪⎫β+π3=-22.所以cos(α+β)=sin ⎣⎢⎡⎦⎥⎤π2+(α+β)=sin ⎣⎢⎡⎦⎥⎤⎝⎛⎭⎪⎫α+π6+⎝ ⎛⎭⎪⎫β+π3=sin ⎝ ⎛⎭⎪⎫α+π6cos ⎝ ⎛⎭⎪⎫β+π3+cos ⎝ ⎛⎭⎪⎫α+π6sin ⎝ ⎛⎭⎪⎫β+π3 =-210. 答案:-2105.已知sin β=m sin(2α+β),求证:tan(α+β)=1+m1-m ·tan α.证明:因为sin β=m sin(2α+β),所以sin[(α+β)-α]=m sin[(α+β)+α], 所以sin(α+β)cos α-cos(α+β)sin α =m [sin(α+β)cos α+cos(α+β)sin α],所以(1-m )sin(α+β)cos α=(1+m )cos(α+β)sin α, 所以tan(α+β)=1+m1-m·tan α,所以原式成立.6.广告公司为某游乐场设计某项设施的宣传画,根据该设施的外观,设计成的平面图由半径为2 m 的扇形AOB 和三角区域BCO 构成,其中C ,O ,A 在一条直线上,∠ACB =π4,记该设施平面图的面积为S (x )m 2,∠AOB =x rad ,其中π2<x <π.(1)写出S (x )关于x 的函数关系式. (2)如何设计∠AOB ,使得S (x )有最大值?解:(1)因为扇形AOB 的半径为2 m ,∠AOB =x rad , 所以S 扇形=12x ·22=2x ,过点B 作边AC 的垂线,垂足为点D ,如图所示:则∠BOD =π-x ,所以BD =2sin(π-x )=2sin x ,OD =2cos(π-x )=-2cos x ,因为∠ACB =π4,所以CD =BD =2sin x ,所以S △BOC =12CO ·BD =12(2sin x -2cos x )×2sin x =2sin 2x -2sin x cos x =1-cos 2x-sin 2x ,所以S (x )=1-cos 2x -sin 2x +2x .(2)根据(1),得到S (x )=1-cos 2x -sin 2x +2x , 所以S ′(x )=2sin 2x -2cos 2x +2,令S ′(x )=0, 所以22sin ⎝ ⎛⎭⎪⎫2x -π4=-2,所以sin ⎝ ⎛⎭⎪⎫2x -π4=-22, 所以2x -π4=5π4,所以x =3π4,根据实际意义知,当x =3π4时,该函数取得最大值,故设计∠AOB =3π4时,S (x )有最大值.。
第03节简单的三角恒等变换A 基础巩固训练1.【2018年全国卷Ⅲ文】若,则A. B. C. D.【答案】B【解析】分析:由公式可得。
详解:故答案为B.2.【某某高三模拟】已知,,则________.【答案】.【解析】∵,∴,∴,∴,又∵,∴,∴.3.【2018某某,部分重点中学7月联考】已知,则,=.【答案】【解析】由同角三角函数基本定理得解得,,,.4.【2018某某(某某中学、丰城中学、樟树中学、高安二中、丰城九中、某某一中)六校上学期第五次联考】已知,,则__________.【答案】5.【某某省某某二中】已知,,,且,则________,_______.【答案】,【解析】因为,所以,因为,所以,即,因为,所以,所以,因为,,所以,,所以,所以答案应填:,.B能力提升训练1. 若且,则“”是“”的()A.充分不必要条件B.必要不充分条件C.充要条件D.既不充分也不必要条件【答案】A【解析】,,,,,所以,当时,,所以“”是“”的充分不必要条件.故选.2.【2018届某某市第三次抽测】已知直线的倾斜角为,则()A. B. C. D.【答案】A【解析】分析:根据直线的斜率得到的值,再利用二倍角公式和同角的三角函数的基本关系式把化为关于的关系式即可.详解:由题设有,.故选A.3. 已知,且,则的是()A. B. C. D.【答案】C4.【2018某某某某市第二中学7月】已知,则 ( )A. B. C. D.【答案】A【解析】根据二倍角公式,,即,所以,故选择A.5.【2018届某某省黄冈中学5月第三次模拟】已知,是方程的两根,则()A. B. 或 C. D.【答案】D【解析】分析:根据韦达定理,利用两角和的正切公式求得的值,根据二倍角的正切公式列过程求解即可.详解:,是方程的两根,,,,,,,,得或(舍去),故选D.C思维扩展训练1.已知,满足,则的最小值是()A. B. C. D.【答案】B【解析】由已知得,得,∵,∴,,,即时等号成立,所以,所以.选B.2.【2017某某某某4月调研】已知,若对任意的,不等式恒成立,则实数的取值X围是()A. B. C. D.【答案】A3.已知,则.【答案】-1【解析】注意观察求知角x和已知角的关系可发现求知角均能用已知角和特殊角表示出来,再用和差角公式展开即可求得结果.故答案为:-1.4.已知,则.【答案】5. 在平面直角坐标系中,已知向量.(1)若,求向量与的夹角;(2)当,求的最大值.【答案】(1);(2).【解析】试题分析:(1)利用两向量的夹角余弦等于两向量的数量积除以两向量的模的乘积即夹角公式即可;(II)利用向量的的有关知识化简函数得,再利用正弦函数的单调性求其最大值试题解析:(1)因为,,,,所以.(2)因为,所以,又所以,因,所以,所以,从而.。
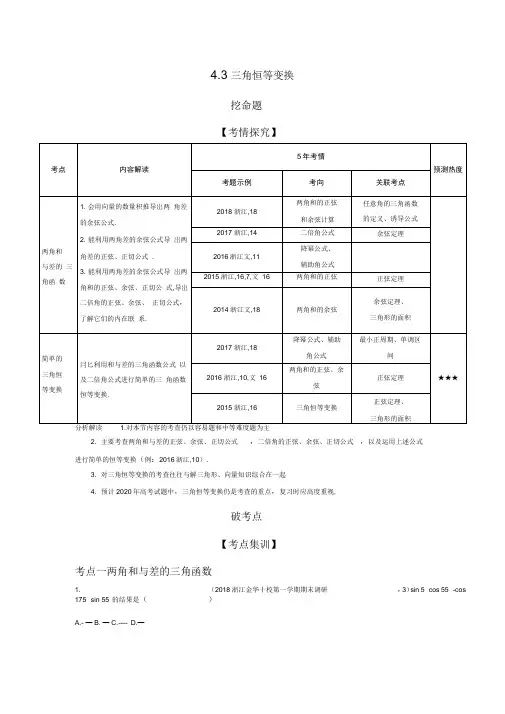
4.3三角恒等变换探考情悟真题【考情探究】考点内容解读5年考情预测热度考题示例考向关联考点两角和与差的三角函数1.会用向量的数量积推导出两角差的余弦公式.2.能利用两角差的余弦公式导出两角差的正弦、正切公式.3.能利用两角差的余弦公式导出两角和的正弦、余弦、正切公式,会用二倍角的正弦、余弦、正切公式,了解它们的内在联系.2018浙江,18,14分两角差的余弦公式任意角的三角函数的定义、诱导公式★★☆2016浙江,16,14分二倍角公式解三角形2015浙江,16,14分二倍角公式正弦定理简单的三角恒等变换能利用两角和与差的三角函数公式以及二倍角公式进行简单的三角恒等变换.2017浙江,18,14分二倍角公式三角函数的性质★★★2016浙江,10,6分三角恒等变换分析解读 1.对本节内容的考查仍以容易题和中等难度题为主.2.主要考查两角和与差的正弦、余弦、正切公式,二倍角的正弦、余弦、正切公式,以及运用上述公式进行简单的恒等变换(例:2016浙江,10).3.对三角恒等变换的考查往往与解三角形、向量知识综合在一起.4.预计2021年高考试题中,三角恒等变换仍是考查的重点,复习时应高度重视.破考点练考向【考点集训】考点一两角和与差的三角函数1.(2019浙江台州中学一模,2)计算:sin 5°cos55°-cos 175°sin55°的结果是()A.-12B.12C.-√32D.√32答案D2.(2018浙江杭州二中期中,15)若α满足sin(α+20°)=cos(α+10°)+cos(α-10°),则tan α=. 答案√3考点二 简单的三角恒等变换1.(2019课标全国Ⅱ理,10,5分)已知α∈(0,π2),2sin 2α=cos 2α+1,则sin α=( )A.15B.√55C.√33D.2√55答案 B2.(2019浙江镇海中学期中,7)已知sin (π6-α)=-√23,则cos 2α+√3sin 2α=( )A.109B.-109C.-59D.59答案 A3.(2020届山东夏季高考模拟,14)已知cos (α+π6)-sin α=4√35,则sin (α+11π6)= .答案 -454.(2020届浙江镇海中学期中,18)已知f(x)=sin x 2·(cos x 2+sin x 2)+a 的最大值为√22.(1)求实数a 的值;(2)若f (α+π4)+f (α-π4)=√23,求√2sin (2α-π4)+11+tanα的值. 解析 本题考查三角恒等变换以及三角函数式的求值;考查学生运算求解的能力;考查了数学运算的核心素养.(1)f(x)=sin x2cos x 2+sin 2x2+a=12(2sin x 2cos x 2)+12(1-cos x)+a=12sin x-12cos x+a+12=√22sin (x -π4)+a+12,当x=2kπ+3π4(k ∈Z)时,sin (x -π4)=1, f(x)取得最大值为√22+a+12,结合条件,可知a=-12.(2)√2sin (2α-π4)+11+tanα=sin2α-cos2α+11+sinαcosα=2sinαcosα+sin 2α-cos 2α+sin 2α+cos 2αcosα+sinαcosα=2sin αcos α①,由(1)知f(x)=√22sin (x -π4),则f (α+π4)=√22sin α, f (α-π4)=-√22cos α,结合条件,可知sin α-cos α=23, 又因为sin 2α+cos 2α=1,所以2sin αcos α=59②,由①②得√2sin (2α-π4)+11+tanα=59.炼技法 提能力 【方法集训】方法1 三角函数式的化简方法1.已知tan α=2 018tan π2 018,则sin (α+2 017π2 018)sin (α+π2 018)=( )A.-1B.1C.-2 0172 019D.2 0172 019答案 C2.化简(1+sinθ+cosθ)·(sin θ2-cos θ2)√2+2cosθ(0<θ<π)= .答案 -cos θ3.(2020届浙江绍兴一中期中,18)已知函数f(x)=cos x(msin x+cos x),且满足f (π4)=1. (1)求m 的值;(2)若x ∈[0,π4],求f(x)的最大值和最小值,并求出相应的x 的值.解析 本题考查三角恒等变换以及三角函数式的化简、三角函数最值的求法;考查数学运算求解的能力;考查了数学运算的核心素养.(1)f (π4)=cos π4(msin π4+cos π4)=√22(√22m +√22)=1⇒m=1.(2)f(x)=cos x(sin x+cos x)=12sin 2x+12cos 2x+12=√22sin (2x +π4)+12,因为x ∈[0,π4],所以2x+π4∈[π4,3π4], 因此当2x+π4=π4或2x+π4=3π4时, f(x)min =1,此时x=0或x=π4.当2x+π4=π2时, f(x)max =√2+12,此时x=π8.方法2 三角函数式的求值方法1.(2019浙江台州中学一模,15)已知α,β为锐角,tan α=43,cos(α+β)=-√55,则cos 2α= ,tan(α-β)= .答案 -725;-2112.(2019安徽江南十校联考改编,14)已知sinα·cosα1+3cos 2α=14,且tan(α+β)=13,其中β∈(0,π),则β的值为 .答案3π43.(2020届浙江慈溪期中,16)已知α∈(0,π2)且tan 2α=43,则tan (α+π4)tan (α-π4)的值等于 .答案 -9方法3 利用辅助角公式解决问题的方法1.(2019浙江诸暨期末,18)已知函数f(x)=-2√3sin 2x+2sin xcos x. (1)求函数f(x)在区间[0,π2]上的值域;(2)设α∈(0,π),f (α2)=12-√3,求cos α的值.解析 (1)f(x)=-2√3·1-cos2x2+sin 2x =sin 2x+√3cos 2x-√3 =2sin (2x +π3)-√3,∵x∈[0,π2],∴2x+π3∈[π3,4π3], ∴sin (2x +π3)∈[-√32,1],∴f(x)∈[-2√3,2-√3].(2)∵f (α2)=2sin (α+π3)-√3=12-√3,∴sin (α+π3)=14.又∵α∈(0,π),∴α+π3∈(π3,4π3), ∴α+π3必在第二象限,∴cos (α+π3)=-√154,∴cosα=cos[(α+π3)-π3]=cos(α+π3)cosπ3+sin(α+π3)sinπ3=-√154×12+14×√32=√3-√158.2.(2018浙江“七彩阳光”联盟期初联考,18)已知f(x)=2√3cos2x+sin 2x-√3+1(x∈R).(1)求f(x)的单调增区间;(2)当x∈[-π4,π4]时,求f(x)的值域.解析由题可知f(x)=sin 2x+√3(2cos2x-1)+1=sin 2x+√3cos 2x+1=2sin(2x+π3)+1.(1)令2kπ-π2≤2x+π3≤2kπ+π2,k∈Z,即2kπ-5π6≤2x≤2kπ+π6,k∈Z,∴kπ-5π12≤x≤kπ+π12,k∈Z,∴函数f(x)的单调增区间为[kπ-5π12,kπ+π12](k∈Z).(2)∵x∈[-π4,π4],∴2x+π3∈[-π6,5π6],∴sin(2x+π3)∈[-12,1],∴f(x)∈[0,3].3.(2020届浙江湖州、衢州、丽水三地联考,18)已知平面向量a=(√32sinx,cosx),b=(cos x,0),函数f(x)=|2a+b|(x∈R).(1)求函数f(x)图象的对称轴;(2)当x∈(0,π2)时,求f(x)的值域.解析本题考查平面向量的模的求法、三角恒等变换、辅助角公式的应用;考查学生运算求解的能力;考查了数学运算的核心素养.(1)2a+b=(√3sin x+cos x,2cos x),f(x)=|2a+b|=√(√3sinx+cosx)2+(2cosx)2=√2sin(2x+π6)+4(x∈R).由2x+π6=kπ+π2,k∈Z,得x=kπ2+π6,k∈Z,故函数f(x)图象的对称轴为直线x=kπ2+π6,k∈Z.(2)因为x ∈(0,π2),所以2x+π6∈(π6,7π6), 所以sin (2x +π6)∈(-12,1],可得f(x)∈(√3,√6],即f(x)的值域为(√3,√6].【五年高考】A 组 自主命题·浙江卷题组(2016浙江,10,6分)已知2cos 2x+sin 2x=Asin(ωx+φ)+b(A>0),则A= ,b= .答案 √2;1B 组 统一命题、省(区、市)卷题组考点一 两角和与差的三角函数1.(2018课标全国Ⅲ理,4,5分)若sin α=13,则cos 2α=( )A.89B.79C.-79D.-89答案 B2.(2016课标全国Ⅱ,9,5分)若cos (π4-α)=35,则sin 2α=( )A.725 B.15 C.-15 D.-725答案 D3.(2019江苏,13,5分)已知tanαtan (α+π4)=-23,则sin (2α+π4)的值是 .答案√2104.(2017课标全国Ⅰ文,15,5分)已知α∈(0,π2),tan α=2,则cos (α-π4)= .答案3√1010考点二 简单的三角恒等变换1.(2017课标全国Ⅲ文,4,5分)已知sin α-cos α=43,则sin 2α=( )99C.29D.79答案A2.(2016四川,11,5分)cos2π8-sin2π8=.答案√22C组教师专用题组考点一两角和与差的三角函数1.(2015课标Ⅰ,2,5分)sin 20°cos10°-cos 160°sin10°=()A.-√32B.√32C.-12D.12答案D2.(2015重庆,9,5分)若tan α=2tanπ5,则cos(α-3π10)sin(α-π5)=()A.1B.2C.3D.4 答案C3.(2017江苏,5,5分)若tan(α-π4)=16,则tan α=.答案754.(2015江苏,8,5分)已知tan α=-2,tan(α+β)=17,则tan β的值为. 答案 3考点二简单的三角恒等变换1.(2017山东文,4,5分)已知cos x=34,则cos 2x=()44C.-18D.18答案D2.(2015四川,12,5分)sin 15°+sin75°的值是.答案√623.(2017江苏,16,14分)已知向量a=(cos x,sin x),b=(3,-√3),x∈[0,π].(1)若a∥b,求x的值;(2)记f(x)=a·b,求f(x)的最大值和最小值以及对应的x的值.解析(1)因为a=(cos x,sin x),b=(3,-√3),a∥b,所以-√3cos x=3sin x.若cos x=0,则sin x=0,与sin2x+cos2x=1矛盾,故cos x≠0.于是tan x=-√33.又x∈[0,π],所以x=5π6.(2)f(x)=a·b=(cos x,sin x)·(3,-√3)=3cos x-√3sin x=2√3cos(x+π6).因为x∈[0,π],所以x+π6∈[π6,7π6],从而-1≤cos(x+π6)≤√32.于是,当x+π6=π6,即x=0时, f(x)取到最大值3;当x+π6=π,即x=5π6时, f(x)取到最小值-2√3.【三年模拟】一、选择题(每小题4分,共12分)1.(2020届浙江杭州二中开学考,3)已知cos(π6-α)=23,则cos(5π3+2α)的值为()A.59B.1999答案C2.(2018浙江绍兴一中新高考调研卷五,5)已知△ABC,有关系式tan C(sin 2B-sin A)=cos 2B+cos A成立,则△ABC为()A.等腰三角形B.∠A=60°的三角形C.等腰三角形或∠A=60°的三角形D.等腰直角三角形答案C3.(2020届浙江五校十月联考,9)在△ABC中,已知sinAsinB +cos C=0,tan A=√24,则tan B=()A.√2B.2√2C.√23D.√22答案D二、填空题(每空3分,共12分)4.(2020届浙江名校协作体开学联考,12)设函数f(x)=cos 2x-sin x,则f(5π6)=,若f(x)≥0,则实数x的取值范围是.答案0;[2kπ-7π6,2kπ+π6](k∈Z)5.(2020届浙江之江教育联盟联考,14)已知函数f(x)=sin2x-sin2(x-π6),x∈R,则f(x)的最小正周期为,单调递增区间为.答案π;[-π6+kπ,π3+kπ](k∈Z)三、解答题(共90分)6.(2020届浙江金丽衢十二校联考,18)设函数f(x)=sin x+cos x,x∈R.(1)求f(x)·f(π-x)的最小正周期;(2)求函数g(x)=sin3x+cos3x的最大值.解析本题考查三角恒等变换以及三角函数的性质;考查学生运算求解的能力;考查数学运算的核心素养.(1)f(x)·f(π-x)=(sin x+cos x)(sin x-cos x)=-cos 2x.所以最小正周期T=2π2=π.(2)g(x)=sin3x+cos3x=(sin x+cos x)(1-sin xcos x),令sin x+cos x=t,则t∈[-√2,√2],所以sin x·cos x=t2-12,所以g(t)=t(1-t2-12)=t·3-t22=3t-t32,g'(t)=3-3t22,即g(t)在[-√2,-1]上单调递减,在[-1,1]上单调递增,在[1,√2]上单调递减,所以g(t)max=g(1)=1.7.(2019浙江三校联考,18)已知函数f(x)=6cos2ωx2+√3sin ωx-3(ω>0)的图象上相邻两对称轴之间的距离为4.(1)求ω的值及f(x)的单调增区间;(2)若f(x0)=6√35,且x0∈(23,143),求f(x0+1)的值.解析(1)f(x)=3cos ωx+√3sin ωx=2√3sin(ωx+π3).由题意得T=8,所以ω=2π8=π4 ,所以f(x)=2√3sin(πx4+π3).令-π2+2kπ≤πx4+π3≤π2+2kπ,k∈Z,解得-103+8k≤x≤23+8k,k∈Z.所以f(x)的单调增区间为[-103+8k,23+8k],k∈Z.(2)由(1)知f(x0)=2√3sin(πx04+π3)=6√35,即sin(πx04+π3)=35,因为x0∈(23,143),所以πx04+π3∈(π2,3π2),所以cos(πx04+π3)=-45.所以f(x0+1)=2√3sin(πx04+π4+π3)=2√3[sin(πx04+π3)cosπ4+cos(πx04+π3)sinπ4]=2√3×(35×√22-45×√22)=-√65.8.(2019浙江杭州高级中学期中,18)已知函数f(x)=cos2x+√3cos xcos(x+π2).(1)求函数f(x)的最大值及取得最大值时x的值;(2)若f(x0)=-110,x0∈(π12,π3),求cos 2x0的值.解析(1)f(x)=-sin(2x-π6)+12.易知当sin(2x-π6)=-1时, f(x)取得最大值,此时2x-π6=-π2+2kπ,k∈Z,故x=-π6+kπ,k∈Z,所以当x=-π6+kπ,k∈Z时,f(x)max=32.(2)因为f(x0)=-sin(2x0-π6)+12=-110,所以sin(2x0-π6)=35.因为x0∈(π12,π3 ),所以2x0-π6∈(0,π2),故cos(2x0-π6)=45.所以cos 2x0=cos[(2x0-π6)+π6]=cos(2x0-π6)cosπ6-sin(2x0-π6)sinπ6=4√3-310.9.(2019浙江高考数学仿真卷(二),18)已知函数f(x)=-√3sin 2x-2cos2x+1.(1)求函数f(x)的振幅和单调递增区间;(2)在△ABC中,C为锐角,满足sin 2C+2sin2A=1,若f(C)=12,求cos 2A的值. 解析(1)f(x)=-√3sin 2x-cos 2x=-2sin(2x+π6),∴f(x)的振幅为2.令π2+2kπ≤2x+π6≤3π2+2kπ(k∈Z),则π6+kπ≤x≤2π3+kπ(k∈Z).∴f(x)的单调递增区间为[π6+kπ,2π3+kπ](k ∈Z). (2)∵sin 2C+2sin 2A=1,∴sin 2C=1-2sin 2A=cos 2A=sin (π2+2A),∴2C=π2+2A 或2C+2A+π2=π,所以C-A=π4或C+A=π4.∵C 为锐角,∴2C+π6∈(π6,7π6),∵f(C)=12, ∴-2sin (2C +π6)=12,∴sin (2C +π6)=-14,∴2C+π6∈(π,7π6), ∴C∈(5π12,π2), ∴C -A=π4,此时cos (2C +π6)=-√154,∴cos 2A=cos [2(C -π4)]=cos (2C -π2)=sin 2C=sin [(2C +π6)-π6]=sin (2C +π6)cos π6-cos (2C +π6)sin π6=-14×√32-(-√154)×12=√15-√38.10.(2019浙江高考信息优化卷(一),18)已知函数f(x)=2√3sin ωxsin (ωx +π2)-2sin 2ωx+1(ω>0),且f(x)的最小正周期为π.(1)求ω的值以及f(x)在区间[0,π3]上的值域;(2)若f(α)=2√55,且α∈[π6,π2],求cos 2α的值.解析 (1)f(x)=2√3sin ωxcos ωx+cos 2ωx=√3sin 2ωx+cos 2ωx=2sin (2ωx +π6),∵T=2π2ω=π,∴ω=1,∴f(x)=2sin (2x +π6),∵x∈[0,π3],∴2x+π6∈[π6,5π6],∴sin(2x+π6)∈[12,1],∴f(x)∈[1,2].(2)易知f(α)=2sin(2α+π6)=2√55⇒sin(2α+π6)=√55,∵α∈[π6,π2],∴2α+π6∈[π2,7π6],∴cos(2α+π6)=-2√55,∴cos2α=cos[(2α+π6)-π6]=cos(2α+π6)cosπ6+sin(2α+π6)sinπ6=√5-2√1510.11.(2020届浙江Z20联盟开学联考,18)已知函数f(x)=cos2x+√3sin xcos x.(1)求f(π3)的值;(2)若f(α2)=1310,α∈(0,π3),求cos α的值.解析本题考查简单的三角恒等变换;考查学生运算求解的能力;考查数学运算的核心素养.(1)因为f(x)=cos2x+√3sin xcos x=1+cos2x2+√32sin 2x=12+sin(2x+π6),所以f(π3)=12+sin(2π3+π6)=12+sin 5π6=12+12=1.(2)由f(α2)=1310,α∈(0,π3),得sin(α+π6)=45,cos(α+π6)=35,所以cos α=cos(α+π6-π6)=cos(α+π6)cosπ6+sin(α+π6)·sinπ6=3√3+410.。
4.3 三角恒等变换挖命题【考情探究】2. 主要考查两角和与差的正弦、余弦、正切公式,二倍角的正弦、余弦、正切公式,以及运用上述公式进行简单的恒等变换(例:2016浙江,10).3. 对三角恒等变换的考查往往与解三角形、向量知识综合在一起4. 预计2020年高考试题中,三角恒等变换仍是考查的重点,复习时应高度重视.破考点【考点集训】考点一两角和与差的三角函数1. (2018浙江金华十校第一学期期末调研,3)sin 5° cos 55° -cos 175° sin 55°的结果是()A.- —B. —C. ----D.—答案D2. (2018 浙江9+1 高中联盟期中,12)设sin 2 a =sin a , a e (0, n ),则COS a = 2 a = .答案-;-一解析(1)由(b+c) 2-a2=(2+ Jbc 得b2+c2-a2= _bc,/•cos A= ___ -—=_,「.A=_.由sin Asin B=cos 2-,得一sin B= ----------- ,二Wn B=1+cos --,即—sin B+ 一cos B=sin _ =1,且B+C二n ,故B J(2)f(x)=sin x(cos x+asin x)= ------ --- ----- +_= sin(2x- © )+_< +-=-(其中tan © =a),解得a=_.2. (2018浙江高考模拟卷,18)函数f(x)=acos 3 x+bsin 3 x( 3 >0)的最小正周期为一,(1) 求a,b, 3的值;⑵若一<xv_,且f 一=_,求f - 一的值.解析⑴ f(x)=acos 3 x+bsin 3 x= sin( 3 x+°),其中sin 0 = ,cos9= .由条件得一=-,二3=4,/•f(x)=acos 4x+bsin 4x,又x=-时,有最大值4,•/ - -a+—b= =4,解得a=-2,b=2 .(2) 由(1)得f(x)=2 _sin 4x-2cos 4x=4sin -一, 则 f - =4sin,tan当Xd时,有最大值4.•/ cos 4x= <x<—, /•cos 2x=-炼技法 【方法集训】方法1 三角函数式的化简方法1. _______________________ 已知 tan a =2 018tan ,贝U =( )A.-1B.1C.-——D.——答案 C2.(人教A 必4, 一,2,B2,变式)已知a 为第二象限角,则cos a —一+sin a —一:答案 sin a -cos a方法2三角函数式的求值方法1.(2017浙江模拟训练冲刺卷五,14)已知sin - +sin a 二,且a € ——,则sin答案 2.已知a , 3均为锐角,且cosa =—,tan0 —.(1)比较a ,0的大小;⑵设0 , © 均为锐角,且sin ( a + 0 )sin( 0 + © )=1,求 0 +©的值.解析⑴cos a = ---- ,a €J/•sin a =- =—,• • tana ^.-tan 0 =-V-=tan a , 0 €-,函数y=tan x 在 -上单调递增, • / a >⑵ 由(1)得 tan( a +B )= ---------------- = 1,又 a +B € (0, n ),--a + B =-.;a ,卩,0 , € -,• / a + 0 ,卩 + ©€ (0, n ),•/ 0<sin( a + 0 ) w 1,0<sin(卩 + © ) w 1. */sin( a + 0 )sin(卩 + © )=1,•/sin( a + 0 )=sin( (3 + © )=1, / a + 0 = 0 + © 亠. •「a +3 =-,•/ 0 + © = n -( a + 0 )=—./.f-=4sin -=4cos 2x=-= ,cos方法3 利用辅助角公式解决问题的方法1.(2018浙江“七彩阳光”联盟期初联考,18)已知f(x)=2 _cos 2x+sin 2x-一+1(x € R).⑴求f(x)的单调增区间;⑵当x € ---时,求f(x)的值域.__ 2 ____________________________________________解析 由题可知 f(x)=sin 2x+_(2cos x-1)+1=sin 2x+ "cos 2x+1=2sin - +1.(1)令 2k n --< 2x+-< 2k n +-,k € 乙即 2k n — < 2x < 2k n +_,k € 乙「.k n — < x < k n +—(k € Z),「sin- € -一 ,二 f(x) €0,3].2.(2018浙江杭州地区重点中学第一学期期中 ,20)已知a=(2cos a ,2sin a ),b=(cos B ,sin B ),其中0< a <B < n ,设 =a+b, =a-2b(O 为坐标原点),以OA,OB 为邻边所作的平行四边形为菱形.(1)求 cos( B - a )的值;⑵ 若a =0,单位向量e=xa+yb(x,y € R),求x+y 的最大值.解析⑴■.'a=(2cosa ,2sin a ),b=(cos B ,sin B ), /-a+b=(2cos a +cos B ,2sin a +sinB ),a-2b=(2cos a - 2cos B ,2sin a -2sin B ). ■ | a+b|=|a-2b|,即(2cos a+cos B ) 2+(2sin a+sin2B ) =(2cos a -2cos 2B ) +(2sin a -2sin3)2,「12cos( B - a )=3, .「cos( B - a )=一.⑵当a =0时,a=(2,0),b= _ ——,e=xa+yb= 设 e=(cos 0 ,sin 0),/•x+y= sin 0 +-cos 0 = —sin( 0 +© ) 其中——,•「(x+y) max = .过专题 【五年高考】A 组自主命题•浙江卷题组考点一 两角和与差的三角函数函数f(x)的单调增区间为—(k € Z).⑵■•x€/• 2x+ €(2014浙江文,18,14分)在厶ABC 中,内角A,B,C 所对的边分别为a,b,c.已知4sin 2一+4sin Asin⑴求角C 的大小;(2)已知b=4, △ ABC 的面积为6,求边长c 的值. 解析 ⑴ 由已知得 2[1-cos(A-B)]+4sin Asin B=2+ _,化简得-2cos Acos B+2sin Asin B= _,故 cos(A+B)= ---- ,所以A+B-,从而C=.(2)由 S ABC =- absin C=6,b=4,C=—,得 a=3 由余弦定理 c 2=a 2+b 2-2abcos C,得 c= 一.评析 本题主要考查两角和与差的余弦公式、 二倍角公式、余弦定理、三角形面积公式等基础知识查运算求解能力.考点二简单的三角恒等变换(2016 浙江,10,6 分)已知 2cos 2x+sin 2x=Asin( 3 x+ © )+b(A>0),则 A= __________ ,b= _______ .答案 一;1B 组 统一命题、省(区、市)卷题组考点一 两角和与差的三角函数1.(2018课标全国山理,4,5分)若sin a — 则cos 2 a =()A. - B L C.— D.-- 答案 B2.(2016 课标全国 n ,9,5 分)若 cos --亠,则 sin 2 a =()A. —B. -C.- -D.—— 答案 D 3.(2018 课标全国 U 理,15,5 分)已知 sin a +cos B =1,cos a +sin B =0,则 sin ( a + B )=答案-_B=2+ 一.,同时考4. (2017 课标全国I 文,15,5 分)已知a €- ,tan a =2,则cos -- =答案考点二简单的三角恒等变换1. (2017 课标全国山文,4,5 分)已知sin a -cos a =_,则sin 2 a =( )A. -_B.- -C. _D._答案A2. (2014 课标I ,8,5 分)设a€ - , p €-,且tan a = ------------ ,则()A.3 a - p =—B.3 a + p =—C.2 a - p =—D.2 a + P =—答案C3. (2016 四川,11,5 分)cos2_-sin 2_=答案-4. (2014 福建,16,13 分)已知函数f(x)=cos x(sin x+cos x)- -.(1) 若0<a v_,且sin a =—,求f( a )的值;(2) 求函数f(x)的最小正周期及单调递增区间.解析解法一:(1)因为0<a v-,sin a =一,所以cos a =—.所以f( a )=— X ———=_.(2)因为f(x)=sin xcos x+cos 2x--=-sin 2x+ --------------=-sin 2x+ -cos 2x=—sin -J所以T=—= n.由2k n - 2x+—< 2k n +—,k € Z,得k n - — W x < k n 4,k € Z.所以f(x)的单调递增区间为-一 -,k €乙2x--解法二:f(x)=sin xcos x+cos=_sin 2x+ -----------一=_sin 2x+ _cos 2x=一sin _ .(1) 因为0< a <_,Sin a =—,所以a =_,从而f( a )= -Sin 一=—sin —=_.(2) T= _= n .由2k n - —W 2x+_< 2k n +_,k € 乙得k n - — < x W k n +_,k € Z.所以f(x)的单调递增区间为-—-,k €乙评析本题主要考查同角三角函数的基本关系、二倍角公式、两角和与差的三角函数公式及三角函数的图象与性质等基础知识,考查运算求解能力,考查化归与转化思想.C组教师专用题组考点一两角和与差的三角函数1. (2015 课标1,2,5 分)sin 20° cos 10° -cos 160° sin 10° =( )A.- —B.—C.- —D.-答案 D2. (2015 重庆,9,5 分)若tan a =2tan 则——=( )A.1B.2C.3D.4答案 C3. (2017 江苏,5,5 分)若tan --=-,则tan a = _____________ .答案-4. (2015 四川,12,5 分)sin 15° +sin 75°的值是___________ .答案一5. (2015 江苏,8,5 分)已知tan a =-2,tan( a +B )=-,则tan B 的值为_______________ .答案36. (2018 江苏,16,14 分)已知a , B 为锐角,tan a =_,COS(a +B )=-⑴求cos 2 a的值;(2)求tan( a - B )的值.,考查运算求解能力解析本小题主要考查同角三角函数关系、两角差及二倍角的三角函数(1)因为tan a =-,tan a =——,所以sin a —cos a .因为sin a +cos a =1,所以COS a =—,2所以cos 2 a =2cos a -1=——.⑵因为a , B为锐角,所以a + B € (0, n ).又因为cos( a + B )=-—,所以sin( a + B )= - =—,因此tan( a + B )=-2.因为tan a =-,所以tan 2 a = -------------=-—.因此tan( a - B )=tan[2 a -( a + B )]= ------------------------ =_—.7. (2014 江苏,15,14 分)已知a€ - ,sin a =—.(1) 求sin _ 的值;⑵求COS —- 的值.解析⑴因为a€ - ,sin a =—,所以cos a =- - = ----- .故sin - =sin -cos a +cos-sin a=—X ----- +— X —=- .(2) 由(1)知sin 2 a =2sin a cos a =2X —x -一=-_,2cos 2 a =1-2sin a=1-2x ——,所以cos — - =cos—cos 2 a +sin —sin 2 a评析本题主要考查三角函数的基本关系式、两角和与差的正、余弦公式及二倍角公式,考查运算求解能力考点二简单的三角恒等变换1. (2017 山东文,4,5 分)已知cos x= 则cos 2x=( )A.- —B. 一C.- 一D.—答案D2. (2017 江苏,16,14 分)已知向量a=(cos x,sin x),b=(3,- _),x € [0, n ].⑴若a //b,求x的值;⑵记f(x)=a • b,求f(x)的最大值和最小值以及对应的x的值.解析⑴因为a=(cos x,sin x),b=(3,- _),a // b,所以- cos x=3sin x.2x+cos x=1矛盾,故cos x 工0.若cos x=0,贝U sin x=0,与sin是tan x=-—.又x € [0, n ],所以x=—.(2)f(x)=a • b=(cos x,sin x) • (3,- _)=3cos x- _sin x=2 _cos -.因为x € [0, n ],所以x+- € -—,从而-1 w cos - w —.于是,当x+-=-,即x=0时,f(x)取到最大值3;当x+亠n ,即x=—时,f(x) 取到最小值-2 -【三年模拟】一、选择题(每小题4分,共12分)1. (2019届台州中学第一次模拟,2)计算:sin 5° cos 55° -cos 175° sin 55°的结果是()A.- —B. -C.- —D.—答案D2. (2019届镇海中学期中考试,7)已知sin --=-一,则cos 2 a+ _sin 2 a =( )A. -B.- —C.- -D.- 答案A3. (2018浙江新高考调研卷五(绍兴一中),5)已知△ ABC 中,有关系式tan C(sin 2B-sin A)=cos 2B+cos A 成立,则厶ABC 为( )A. 等腰三角形B. Z A=60的三角形C. 等腰三角形或Z A=60的三角形D. 等腰直角三角形答案 C二、 填空题(单空题4分,多空题6 分,共20分)4. (2019届台州中学第一次模拟,15)已知a , B 为锐角,tan a —,cos( a + B )=——,则cos2 a = ,tan( a - B )=答案-—;--5. (2019届浙江高考模拟试卷(五),16)若sin 一 =cos — +cos ——,则tan a =.答案 一6. (2018 浙江杭州二中期中,15)若 a 满足 sin( a +20° )=cos( a +10° )+cos( a -10° ), _则 tana = .答案 一7. (2018 浙江温州二模(3 月),12)若 cos 2 a =2cos -,a € (0, n ),则 sin 2 a = ________________ ,tan a = .答案 1;1三、 解答题(共20分)8. (2019届浙江名校协作体高三联考,18)已知函数f(x)=cos 匕x+ _sin 3 xcos 3 x--( 3 >0)的最小正周期 为n .(1) 求3的值;(2) 求函数f(x)在区间 -上的取值范围.=cos由一=n ,得 3 =1. 解析(1)f(x)=cos2 3 x+ sin 3 xcos 3X-(2)由(1)知f(x)=cos因为x €-,所以2x- --所以f(x) € - - .一,且f(x) 9. (2018浙江新高考调研卷二(镇海中学),18)已知函数f(x)=sin 3x+acos 3 x( 3 >0)满足f(0)= 图象的相邻两条对称轴间的距离为n .(1) 求a与3的值;⑵若f( a )=-, a€ -——,求COS ——的值.解析(1) •/ f(0)= I •••日=一,••• f(x)=2sin -,-T=2 n , • • 3 =1.(2) v f( a )=一,「.sin 一=_,■/-_v a J • -_< a +_<_.•「sin - =-<1, •-0< a +-<-,--cos —= ------------ ,…cos - ^― =cos —-^―=——X ----- +— X—= ----- .。
第03节简单的三角恒等变换【考纲解读】【知识清单】1.两角和与差的三角函数公式的应用两角和与差的正弦、余弦、正切公式C(α-β):cos(α-β)=cosαcosβ+sinαsinβ;C (α+β):cos(α+β)=cos αcos_β-sin_αsin β; S (α+β):sin(α+β)=sin αcos β+cos αsin β; S (α-β):sin(α-β)=sin_αcos_β-cos αsin β; T (α+β):tan(α+β)=1-tan αtan βtan α+tan β; T (α-β):tan(α-β)=1+tan αtan βtan α-tan β. 变形公式:tan α±tan β=tan(α±β)(1∓tan αtan β);.函数f(α)=acos α+bsin α(a ,b 为常数),可以化为f(α)=sin(α+φ)或f(α)=cos(α-φ),其中φ可由a ,b 的值唯一确定. 2. 二倍角公式的运用公式的应用 二倍角的正弦、余弦、正切公式: S 2α:sin 2α=2sin_αcos_α;C 2α:cos 2α=cos 2α-sin 2α=2cos 2α-1=1-2sin 2α; T 2α:tan 2α=1-tan2α2tan α. 变形公式:cos 2α=21+cos 2α,sin 2α=21-cos 2α1+sin 2α=(sin α+cos α)2,1-sin 2α=(sin α-cos α)2【重点难点突破】考点1两角和与差的三角函数公式的应用【1-1】【2018河南省名校联盟第一次段考】已知圆:,点,,记射线与轴正半轴所夹的锐角为,将点绕圆心逆时针旋转角度得到点,则点的坐标为__________.【答案】【解析】设射线OB与轴正半轴的夹角为,有已知有,所以,且,C点坐标为.【1-2】已知:,,且,则=_______.【答案】【1-3】【2018年浙江卷】已知角α的顶点与原点O重合,始边与x轴的非负半轴重合,它的终边过点P().(Ⅰ)求sin(α+π)的值;(Ⅱ)若角β满足sin(α+β)=,求cosβ的值.【答案】(Ⅰ), (Ⅱ)或【解析】分析:(Ⅰ)先根据三角函数定义得,再根据诱导公式得结果,(Ⅱ)先根据三角函数定义得,再根据同角三角函数关系得,最后根据,利用两角差的余弦公式求结果.详解:(Ⅰ)由角的终边过点得,所以.点睛:三角函数求值的两种类型:(1)给角求值:关键是正确选用公式,以便把非特殊角的三角函数转化为特殊角的三角函数.(2)给值求值:关键是找出已知式与待求式之间的联系及函数的差异.①一般可以适当变换已知式,求得另外函数式的值,以备应用;②变换待求式,便于将已知式求得的函数值代入,从而达到解题的目的.【领悟技法】1.运用两角和与差的三角函数公式时,不但要熟练,准确,而且要熟悉公式的逆用及变形,如tan α+tan β=tan(α+β)·(1-tan αtan β)和二倍角的余弦公式的多种变形等.2.应熟悉公式的逆用和变形应用,公式的正用是常见的,但逆用和变形应用则往往容易被忽视,公式的逆用和变形应用更能开拓思路,培养从正向思维向逆向思维转化的能力,只有熟悉了公式的逆用和变形应用后,才能真正掌握公式的应用.提醒:在T(α+β)与T(α-β)中,α,β,α±β都不等于kπ+2π(k∈Z),即保证tan α,tan β,tan(α+β)都有意义;若α,β中有一角是kπ+2π(k∈Z),可利用诱导公式化简.【触类旁通】【变式一】【2018江西省赣州厚德外国语学校上学期第一次测试】的值是()A. B. C. D.【答案】D【解析】故选D.【变式二】已知均为锐角,且,.(Ⅰ)求的值;(Ⅱ)求的值.【答案】(Ⅰ).(Ⅱ).∴.【变式三】已知函数的部分图像如图所示. (Ⅰ)求函数)的解析式,并写出的单调减区间;(Ⅱ)的内角分别是A,B,C.若,,求的值.【答案】(Ⅰ)的单调减区间为. (Ⅱ). 【解析】(Ⅰ)由图象最高点得A=1,由周期.当时,,可得,因为,所以..由图象可得的单调减区间为.(Ⅱ)由(Ⅰ)可知,,,,....考点2 二倍角公式的运用公式的应用【2-1】【2018年新课标I卷文】已知角的顶点为坐标原点,始边与轴的非负半轴重合,终边上有两点,,且,则A. B. C. D.【答案】B【解析】分析:首先根据两点都在角的终边上,得到,利用,利用倍角公式以及余弦函数的定义式,求得,从而得到,再结合,从而得到,从而确定选项.详解:根据题的条件,可知三点共线,从而得到,因为,解得,即,所以,故选B.【2-2】【2017浙江ZDB联盟一模】已知,,则__________,__________.【答案】【解析】因为,,所以因为,所以,因此 .【2-3】【江苏省淮安市五模】已知,且,则的值为.【答案】【解析】由得,而,则,所以,又,则,所以;【领悟技法】三角函数式的化简要遵循“三看”原则:(1)一看“角”,通过看角之间的差别与联系,把角进行合理的拆分,从而正确使用公式;(2)二看“函数名称”,看函数名称之间的差异,从而确定使用的公式;(3)三看“结构特征”,分析结构特征,找到变形的方向.【触类旁通】【变式一】已知,,则的值为()A.B.C.D.【答案】A【变式二】已知,且,则的值为__________.【答案】【解析】因为,所以,,,又因为,所以.【变式三】已知,(1)求的值;(2)求的值.【答案】(1);(2).【解析】(1)由得(2)原式考点3 三角恒等式的证明 【3-1】求证:2α=41sin 2α. 【解析】∵左边=2α=2α=2α=2=cos αsin 2αcos 2α=21sin αcos α =41sin 2α=右边. ∴原式成立.【3-2】求证:sin αsin β=sin α2α+β-2cos(α+β). 【解析】证法一:右边=sin αα+βsin α=sin αα+βsin α =sin αα+β-α]=sin αsin β=左边.证法二:sin α2α+β-sin αsin β=sin α2α+β-sin β=sin αα+βsin α=2cos(α+β), 所以sin α2α+β-2cos(α+β)=sin αsin β.【3-3】已知,,且,.证明:.【解析】,即,,,,又,,,,,.【领悟技法】1.三角恒等式的证明主要有两种类型:绝对恒等式与条件恒等式.(1)证明绝对恒等式要根据等式两边的特征,化繁为简,左右归一,变更论证,通过三角恒等式变换,使等式的两边化异为同.(2)条件恒等式的证明则要认真观察,比较已知条件与求证等式之间的联系,选择适当途径.常用代入法、消元法、两头凑等方法.(3)变角:目的是沟通题设条件与结论中所涉及的角,其手法通常是“配凑”.变名:通过变换函数名称达到减少函数种类的目的,其手法通常有“切化弦”、“升幂与降幂”等. 2.变换技巧:(1)拆角、拼角技巧:2α=(α+β)+(α-β);β=2α+β-2α-β;2α-β=.(3)化简技巧:切化弦、“1”的代换等 【触类旁通】【变式一】求证:.【解析】左边=cos αsin α+=右边.故原式得证.【变式二】已知,证明:.考点4 三角函数公式的综合应用【4-1】【2018湖北省部分重点中学起点】设函数,其中θ∈,则导数f ′(1)的取值范围是________.【答案】[,2]【解析】由题【4-2】【2018届浙江省杭州市第二中学6月热身】已知,则__________;__________.【答案】或. .【解析】分析:先把两边平方得到,利用弦切互化所得方程可以化成关于的方程,解出后可求.详解:由可以得到,故,也就是,整理得到,故或.当时,;当时,.故填或,.【4-3】【2018届江苏省南京市三模】在平面直角坐标系中,锐角的顶点为坐标原点,始边为轴的正半轴,终边与单位圆的交点分别为.已知点的横坐标为,点的纵坐标为.(1)求的值;(2)求的值.【答案】(1);(2).(2)因为点Q的纵坐标为,所以sinβ=.又因为β为锐角,所以cosβ=.因为cosα=,且α为锐角,所以sinα=,因此sin2α=2sinαcosα=,所以sin(2α-β) =.因为α为锐角,所以0<2α<π.又cos2α>0,所以0<2α<,又β为锐角,所以-<2α-β<,所以2α-β=.点睛:(1)本题主要考查三角函数的坐标定义,考查同角的三角关系,考查三角恒等变换,意在考查学生对这些基础知识的掌握能力及分析推理计算能力.(2)第2问易错,再求得sin(2α-β) 后,容易错误地得到2α-β=或研究三角问题,一定要注意角的问题,所以先要求出-<2α-β<,再得出2α-β=.【领悟技法】高考对两角和与差的正弦、余弦、正切公式及二倍角公式的考查还往往渗透在研究三角函数性质中.需要利用这些公式,先把函数解析式化为的形式,再进一步讨论其定义域、值域和最值、单调性、奇偶性、周期性、对称性等性质.【触类旁通】【变式一】【2018届山东省桓台第二中学4月月考】已知函数为奇函数,且,其中.(Ⅰ)求的值;(Ⅱ)若,,求的值.【答案】(1)(2)或【解析】试题分析:(1)由为奇函数得,解得的值;再根据,得(2)根据解析式化简得,再根据两角和正弦余弦公式以及二倍角公式化简得的值.(Ⅱ)由(Ⅰ)知因为所以又,所以或①由所以②由,得所以综上,或【变式二】【2017浙江温州二模】已知函数.(1)求函数的最小正周期;(2)若,,求的值.【答案】(1);(2).【解析】试题解析:(1)∴函数的最小正周期是(2)∴,,∴,又.∴∴,∴.【易错试题常警惕】易错典例:若sin θ,cos θ是关于x的方程5x2-x+a=0(a是常数)的两根,θ∈(0,π),求cos 2θ的值.易错分析:不注意挖隐含条件,角的取值范围,处理好开方、平方关系,避免出现增解与漏解的错误.正确解析:由题意知:sin θ+cos θ=51,∴(sin θ+cos θ)2=251.∴sin 2θ=-2524,即2sin θcos θ=-2524<0.则sin θ与cos θ异号.又sin θ+cos θ=51>0,∴2π<θ<43π.∴π<2θ<23π.故cos 2θ=-=-257.温馨提醒:求解三角函数问题,应灵活运用公式,特别注意已知等式中角的取值范围,涉及开方求值问题,注意正负号的选取.【学科素养提升之思想方法篇】数形结合百般好,隔裂分家万事休——数形结合思想我国著名数学家华罗庚曾说过:"数形结合百般好,隔裂分家万事休。
""数"与"形"反映了事物两个方面的属性。