计算机控制技术与系统思考题与习题
- 格式:doc
- 大小:346.00 KB
- 文档页数:7
《计算机控制技术》复习思考题第一章自动控制系统基本概念1.自动控制系统的组成一个简单的自动控制系统,均可概括成两大部分:一部分是自动化装置控制下的生产设备,称为被控对象;另一部分是为实现自动控制所必须的自动化仪表设备,简称为自动化装置,它包括测量变送器、调节器和执行器等。
简单的自动控制系统由被控对象、测量变送器、调节器及执行器四大部分组成。
2.术语a)被控对象?调节器?执行器?测量变送器?b)被控变量,y?设定值,g?测量值,z?偏差,e?干扰,f?调节参数?在被控对象中,需要控制一定数值的工艺参数叫做被控变量,用字母y表示。
被控变量的测量值用字母:表示,按生产工艺的要求,被控变量希望保持的具体数值称为设定值,用字母譬表示。
被控变量的测量值与设定值之间的差值叫做偏差,用字母e表示,e=g-z。
在生产过程中,凡能影响被控变量偏离设定值的种种因素称为干扰,用字母,表示。
用来克服干扰对被控变量的影响,实现控制作用的参数叫做调节参数。
c)反馈?负反馈、正反馈?把系统(或环节)的输出信号直接或经过一些环节重新返回到输入端的做法叫做反馈。
如果反馈信号能够使原来的信号减弱,也就是反馈信号取负值,那么就叫做负反馈。
如果反馈信号取正值,反馈信号使原来的信号加强,那么就叫做正反馈。
自动控制系统绝对不能单独采用正反馈。
d)闭环系统?一个一个信号沿着箭头的方向传送,最后又回到原来的起点,形成一个闭合的回路,如此循环往复,直到被控对象的被控变量值达到或接近设定值为止,所以这种自动控制系统是闭环系统。
自动控制系统是具有被控变量负反馈的闭环系统。
3.自动控制系统方框图?4.自动控制系统的分类?按照工艺过程需要控制的参数值即设定值是否变化和如何变化来分类,而将闭环自动控制系统分为定值控制系统、随动控制系统和程序控制系统三大类。
按调节器具有的控制规律来分类,如位式、比例、比例积分、比例微分、比例积分微分等控制系统。
定值控制系统、随动控制系统和程序控制系统?5.过渡过程a)静态、动态?自动控制系统的平衡(静态)是暂时的、相对的和有条件的,不平衡(动态)才是普遍的、绝对的、无条件的。
自动控制原理课后习题1.简答题。
(1)什么是控制系统?控制系统是由控制器、被控对象、控制目标和反馈装置组成的一种系统,用来实现对被控对象的控制和调节。
(2)控制系统的分类有哪些?控制系统可以分为开环控制系统和闭环控制系统。
开环控制系统是指控制器的输出不受被控对象的影响,而闭环控制系统是指控制器的输出受到被控对象的影响并进行调节。
(3)什么是控制对象?控制对象是指控制系统中需要被控制或调节的对象,可以是机械、电气、液压等各种设备和系统。
2.计算题。
(1)某电动机的转速控制系统,控制电压为220V,电动机额定转速为1500rpm,控制器输出电压为180V时,电动机的实际转速为多少?解,根据电动机的转速控制系统原理,实际转速可以通过控制电压和额定转速的比例关系计算得出。
实际转速 = 控制器输出电压 / 控制电压× 额定转速 = 180V / 220V × 1500rpm = 1227.27rpm。
所以,电动机的实际转速为1227.27rpm。
(2)某水箱的液位控制系统,控制器输出信号为4-20mA,对应的液位范围为0-100cm,若控制器输出信号为12mA时,水箱的实际液位为多少?解,根据液位控制系统的标定原理,可以通过控制器输出信号和液位范围的比例关系计算得出实际液位。
实际液位 = (控制器输出信号4mA) / (20mA 4mA) × 液位范围= (12mA 4mA) / (20mA 4mA) × 100cm = 60cm。
所以,水箱的实际液位为60cm。
3.分析题。
(1)为什么在控制系统中需要引入反馈?在控制系统中引入反馈可以实现对被控对象的实时监测和调节,使控制系统能够更加准确地达到控制目标。
(2)闭环控制系统和开环控制系统各有什么优缺点?闭环控制系统能够实现对被控对象的实时监测和调节,具有较高的控制精度,但系统稳定性较差,容易产生振荡和不稳定现象;而开环控制系统系统稳定性较好,但控制精度较低,无法实时监测和调节被控对象。
计算机控制技术期末复习试题附答案一、选择题1. 下面哪个不是计算机控制系统的组成部分?A. 控制器B. 传感器C. 运算器D. 计算机主机答案:D2. 控制器的作用是什么?A. 输入信息B. 处理信息C. 输出信息D. 以上都是答案:B3. 在控制系统中,传感器的作用是什么?A. 输入信息B. 处理信息C. 输出信息D. 以上都是答案:A4. 控制器与执行器之间的信息传递通常采用哪种形式?A. 电信号B. 光信号C. 音频信号D. 无线信号答案:A二、填空题1. 在控制系统中,PID是什么的缩写?答案:比例-积分-微分2. 当一个过程变量小于或大于设定值时,控制器需要发出一个____信号来调节执行器。
答案:控制3. 开环控制系统中,控制器完全依赖于____来判断并调节执行器。
答案:设定值三、解答题1. 请解释闭环控制系统和开环控制系统的区别。
答案:闭环控制系统和开环控制系统是两种基本的控制系统结构。
闭环控制系统通过传感器获得反馈信息,将反馈信息与设定值进行比较后进行调节,以使系统输出接近设定值。
开环控制系统则没有反馈环节,控制器仅仅根据设定值来调节执行器。
闭环控制系统具有较好的稳定性和鲁棒性,能够减小外界干扰对系统的影响,但由于需要进行反馈调节,系统可能存在一定的响应延迟。
开环控制系统较为简单,但容易受到干扰的影响,对系统稳定性要求较高。
四、简答题1. 请简述计算机控制技术在工业自动化中的应用。
答案:计算机控制技术在工业自动化中广泛应用,其主要作用是实现对生产过程的自动控制。
通过传感器获取实时数据,计算机控制系统可以实时监测和控制生产过程中的各项参数,将实际数值与设定值进行比较,并通过执行器调节控制。
这种自动化控制能够提高生产效率、降低成本,同时还可以减少人为操作中的误差,提高产品的质量稳定性。
在工业生产中,计算机控制技术广泛应用于各种制造过程中,如汽车制造、电子设备制造、化工生产等。
通过计算机控制技术,可以实现生产过程中的自动监测、自动调节、自动报警等功能,从而提高生产效率,降低生产成本,提高产品的一致性和稳定性。
计算机控制技术练习题1. 数据传输和处理1.1. 数据传输计算机控制技术中最基本的任务之一是实现数据传输。
请回答以下问题:1.简要解释什么是数据传输。
数据传输是指将数据从一个地方传送到另一个地方的过程。
在计算机控制技术中,数据传输通常指在计算机内部或计算机与外部设备之间传输数据。
2.列举一些常见的数据传输接口。
–USB(通用串行总线)–HDMI(高清晰度多媒体接口)–Ethernet(以太网)–SATA(串行ATA)–PCI(外部组件互连)1.2. 数据处理计算机控制技术中的另一个重要任务是数据处理。
请回答以下问题:1.简要解释什么是数据处理。
数据处理是指对输入的数据进行操作、转换、计算、存储和输出的过程。
数据处理的目的是根据特定的需求和算法,对数据进行加工处理,得到最终的结果。
2.列举一些常见的数据处理技术。
–数据压缩:将数据编码为更紧凑的形式,减少存储和传输的需求。
–数据加密:对数据进行加密,以保护其安全性。
–数据转换:将数据从一种格式转换为另一种格式,以适应不同的应用需求。
–数据过滤:根据规则或条件,筛选和提取所需的数据。
–数据聚合:将多个数据源的数据合并成一个集合。
2. 控制系统设计2.1. 控制系统基础控制系统是计算机控制技术中的核心概念。
请回答以下问题:1.简要解释什么是控制系统。
控制系统是由传感器、执行器、控制器和反馈环路等组成的一种系统,用于监测和调节一个或多个输出变量,以实现对系统行为的控制。
2.列举一些常见的控制系统应用。
–自动化生产线控制–温度控制系统–机器人控制系统–汽车自动驾驶系统–航空航天控制系统2.2. 控制系统设计方法设计控制系统时,需要采用一定的方法和技巧来确保系统的稳定性和性能。
请回答以下问题:1.简要解释什么是PID控制器。
PID控制器是一种常用的控制器设计方法,它基于比例、积分和微分三个部分对误差信号进行调节,以实现对系统的控制。
PID控制器具有简单、稳定性好等优点,在许多工业应用中得到广泛使用。
实验一 典型环节的电路模拟一、实验目的1.熟悉THKKL-5型 控制理论·计算机控制技术实验箱及“THKKL-5”软件的使用; 2.熟悉各典型环节的阶跃响应特性及其电路模拟;3.测量各典型环节的阶跃响应曲线,并了解参数变化对其动态特性的影响。
二、实验设备1.THKKL-5型 控制理论·计算机控制技术实验箱;2.PC 机一台(含“THKKL-5”软件)、USB 数据采集卡、37针通信线1根、16芯数据排线、USB 接口线。
三、实验内容1.设计并组建各典型环节的模拟电路;2.测量各典型环节的阶跃响应,并研究参数变化对其输出响应的影响。
四、实验原理自控系统是由比例、积分、微分、惯性等环节按一定的关系组建而成。
熟悉这些典型环节的结构及其对阶跃输入的响应,将对系统的设计和分析十分有益。
本实验中的典型环节都是以运放为核心元件构成,其原理框图 如图1-1所示。
图中Z 1和Z 2表示由R 、C 构成的复数阻抗。
1.比例(P )环节比例环节的特点是输出不失真、不延迟、成比例地复现输出信号的变化。
图1-1 它的传递函数与方框图分别为:KS U S U S G i O ==)()()(当U i (S)输入端输入一个单位阶跃信号,且比例系数为K 时的响应曲线如图1-2所示。
2.积分(I )环节 图1-2积分环节的输出量与其输入量对时间的积分成正比。
它的传递函数与方框图分别为:设U i (S)为一单位阶跃信号,当积分系数为T 时的响应曲线如图1-3所示。
TsS U S U s G i O 1)()()(==图1-33.比例积分(PI)环节比例积分环节的传递函数与方框图分别为:)11(11)()()(21211212CS R R R CS R R R CS R CS R S U S U s G i O +=+=+==其中T=R 2C ,K=R 2/R 1设U i (S)为一单位阶跃信号,图1-4示出了比例系数(K)为1、积分系数为T 时的PI 输出响应曲线。
实验一 典型环节的电路模拟一、实验目的1.熟悉THKKL-5型 控制理论·计算机控制技术实验箱及“THKKL-5”软件的使用; 2.熟悉各典型环节的阶跃响应特性及其电路模拟;3.测量各典型环节的阶跃响应曲线,并了解参数变化对其动态特性的影响。
二、实验设备1.THKKL-5型 控制理论·计算机控制技术实验箱;2.PC 机一台(含“THKKL-5”软件)、USB 数据采集卡、37针通信线1根、16芯数据排线、USB 接口线。
三、实验内容1.设计并组建各典型环节的模拟电路;2.测量各典型环节的阶跃响应,并研究参数变化对其输出响应的影响。
四、实验原理自控系统是由比例、积分、微分、惯性等环节按一定的关系组建而成。
熟悉这些典型环节的结构及其对阶跃输入的响应,将对系统的设计和分析十分有益。
本实验中的典型环节都是以运放为核心元件构成,其原理框图 如图1-1所示。
图中Z 1和Z 2表示由R 、C 构成的复数阻抗。
1.比例(P )环节比例环节的特点是输出不失真、不延迟、成比例地复现输出信号的变化。
图1-1 它的传递函数与方框图分别为:KS U S U S G i O ==)()()(当U i (S)输入端输入一个单位阶跃信号,且比例系数为K 时的响应曲线如图1-2所示。
2.积分(I )环节 图1-2积分环节的输出量与其输入量对时间的积分成正比。
它的传递函数与方框图分别为:设U i (S)为一单位阶跃信号,当积分系数为T 时的响应曲线如图1-3所示。
TsS U S Us G i O1)()()(==图1-33.比例积分(PI)环节比例积分环节的传递函数与方框图分别为:)11(11)()()(21211212CSR R R CSR R R CSR CS R S U S U s G i O +=+=+==其中T=R 2C ,K=R 2/R 1设U i (S)为一单位阶跃信号,图1-4示出了比例系数(K)为1、积分系数为T 时的PI 输出响应曲线。
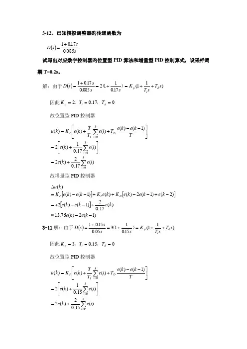
3-12、已知模拟调整器旳传递函数为()s.s .s D 08501701+= 试写出对应数字控制器旳位置型PID 算法和增量型PID 控制算式,设采样周期T=0.2s 。
解:由于())11(17011208501701s T sT K s .s .s .s D d i p ++=+=+=)( 因此07.102===d i p T T K ,,故位置型PID 控制器∑∑∑===+=⎥⎦⎤⎢⎣⎡+=⎥⎦⎤⎢⎣⎡--++=ki k i D k i I P i e k e i e k e T k e k e T i e T T k e K k u 000)(7.102)(2)(7.101)(2)1()()()()( 故增量型PID 控制器[][][])1(2)(76.13)(7.102)1()(2)2()1(2)()()1()()(--≈+--+=-+--++--=∆k e k e k e k e k e k e k e k e K k e K k e k e K k u D I P3-11解:由于())11(1501130501501s T sT K s .s .s .s D d i p ++=+=+=)( 因此05.103===d i p T T K ,,故位置型PID 控制器∑∑∑===+=⎥⎦⎤⎢⎣⎡+=⎥⎦⎤⎢⎣⎡--++=ki k i D k i I P i e k e i e k e T k e k e T i e T T k e K k u 000)(5.102)(2)(5.101)(2)1()()()()(故增量型PID 控制器[][][])1(2)(33.15)(5.102)1()(2)2()1(2)()()1()()(--≈+--+=-+--++--=∆k e k e k e k e k e k e k e k e K k e K k e k e K k u D I P4-3、.单位反馈系统旳持续对象传递函数为10()(1)G s s s =+,设采样周期1T s =,试确定它对单位阶跃输入旳最小拍控制器()D z ,并计算出系统旳输出量序列()y k 及控制量序列()u k解: (1)广义对象脉冲传函(z)G--1-1-1-11-10 3.679z (1+0.718z )(z)=Z[]=(1)(1-z )(1-0.369z )Ts e G s s s + (2)单位阶跃信号-11(z)=1-zR -1(z)=z Φ,-1(z)=1-(z)=1-z e ΦΦ(3)-1-11(z)0.2717(1-0.3679z )(z)==(z)1-(z)1+0.718D G z ΦΦ -1-1-2-3-1z (z)=(z)R(z)==+++.......1-zY z z z Φ -1-1-1-2-3-4-5(z)=D(z)E(z)0.2717(1-0.3679z )=1+0.718z=0.2718-0.2951+0.2119z -0.15z +0.109z -0.07847z +....U z 4-9设被控对象旳传递函数为32()41s G s e s -=+,期望旳闭环系统时间常数4.5T s τ=,采样周期1T s =,试用达林算法设计数字控制器。
实验三 线性系统稳态误差的研究一、实验目的1. 了解不同典型输入信号对于同一个系统所产生的稳态误差。
2.了解一个典型输入信号对不同类型系统所产生的稳态误差。
3.研究系统的开环增益K 对稳态误差的影响。
二、实验设备1.THBCC-1型 信号与系统·控制理论及计算机控制技术实验平台2.PC 机1台(含上位机软件) 37针通信线1根3.双踪慢扫描示波器1台(可选)三、实验内容1. 观测0型二阶系统的单位阶跃和斜坡响应,并测出它们的稳态误差。
2.观测Ⅰ型二阶系统的单位阶跃和斜坡响应,并测出它们的稳态误差。
3.观测Ⅱ型二阶系统的单位斜坡和抛物线响应,并测出它们的稳态误差。
四、实验原理下图为控制系统的方框图:该系统的误差为E(S)的表达式为G(S)1R(S)E(S)+= 式中G(S)和H(S)分别为系统前向通道和反馈通道中的传递函数。
由上式可知,系统的误差不仅与其结构参数有关,而且也与其输入信号R(S)的大小有关。
本实验就是研究系统的稳态误差与上述因素间的关系。
有关0型、Ⅰ型和Ⅱ型系统跟踪不同的输入信号时稳态误差的理论计算及其实验参考模拟电路,请参见附录。
五、实验步骤1.利用实验平台上的模拟电路单元,设计(具体可参考本实验附录中的图3-2,观测波形时在输出端可以加入反相器进行观测)一个由两个惯性环节组成的0型二阶闭环系统的模拟电路。
待检查电路接线无误后,接通实验平台的电源总开关,并开启±5V ,±15V 直流稳压电源。
2.利用示波器(慢扫描示波器或虚拟示波器)观测0型二阶模拟电路的阶跃特性,并测出其稳态误差。
3.利用示波器观测0型二阶模拟电路的斜坡响应曲线,据此确定其稳态误差。
4.参考实验步骤1、2、3,,设计(具体可参考本实验附录中的图3-4,观测波形时在输出端可以加入反相器进行观测)一个由一个积分环节和一个惯性环节组成的Ⅰ型二阶闭环系统的模拟电路。
并用示波器观测该系统的阶跃特性和斜坡特性,并分别测出其稳态误差。
计算机控制技术课后习题详解答案文档编制序号:[KKIDT-LLE0828-LLETD298-POI08]第一章计算机控制系统概述习题参考答案1.计算机控制系统的控制过程是怎样的计算机控制系统的控制过程可归纳为以下三个步骤:(1)实时数据采集:对被控量的瞬时值进行检测,并输入给计算机。
(2)实时决策:对采集到的表征被控参数的状态量进行分析,并按已定的控制规律,决定下一步的控制过程。
(3)实时控制:根据决策,适时地对执行机构发出控制信号,完成控制任务。
2.实时、在线方式和离线方式的含义是什么(1)实时:所谓“实时”,是指信号的输入、计算和输出都是在一定时间范围内完成的,即计算机对输入信息以足够快的速度进行处理,并在一定的时间内作出反应并进行控制,超出了这个时间就会失去控制时机,控制也就失去了意义。
(2)“在线”方式:在计算机控制系统中,如果生产过程设备直接与计算机连接,生产过程直接受计算机的控制,就叫做“联机”方式或“在线”方式。
(3)“离线”方式:若生产过程设备不直接与计算机相连接,其工作不直接受计算机的控制,而是通过中间记录介质,靠人进行联系并作相应操作的方式,则叫做“脱机”方式或“离线”方式。
3.微型计算机控制系统的硬件由哪几部分组成各部分的作用是什么由四部分组成。
(1)主机:这是微型计算机控制系统的核心,通过接口它可以向系统的各个部分发出各种命令,同时对被控对象的被控参数进行实时检测及处理。
主机的主要功能是控制整个生产过程,按控制规律进行各种控制运算(如调节规律运算、最优化计算等)和操作,根据运算结果作出控制决策;对生产过程进行监督,使之处于最优工作状态;对事故进行预测和报警;编制生产技术报告,打印制表等等。
图微机控制系统组成框图(2)输入输出通道:这是微机和生产对象之间进行信息交换的桥梁和纽带。
过程输入通道把生产对象的被控参数转换成微机可以接收的数字代码。
过程输出通道把微机输出的控制命令和数据,转换成可以对生产对象进行控制的信号。
微型计算机控制技术课后答案在学习微型计算机控制技术课程过程中,我们都会碰到一些难以理解或需要进一步思考的问题。
为了帮助大家更好地掌握课程知识,本文将提供一些课后答案,希望对你的学习有所帮助。
1. 什么是微型计算机控制技术?微型计算机控制技术指的是将微型计算机与各类设备、系统结合起来实现自动控制的技术。
它利用微型计算机作为控制核心,通过软件和硬件的配合,实现对运动、温度、压力等各种参数的测量、控制和调节。
2. 微型计算机控制技术的应用领域有哪些?微型计算机控制技术广泛应用于工业生产、交通运输、农业生产、医疗卫生、航空航天等领域。
在工业生产中,微型计算机控制技术可用于生产线的自动化控制、仪器仪表的检测与控制以及质量管理等方面。
3. 什么是微控制器?微控制器是一种集成了微处理器核心、存储器和外设接口等功能的芯片。
它内部集成了CPU、内存、输入输出设备等基本部件,通常可作为一个完整的控制系统使用。
常见的微控制器有单片机和嵌入式微控制器。
4. 单片机和嵌入式微控制器有什么区别?单片机是一种完整的微型计算机系统,包含有核心处理器、存储器和各种外设接口。
它可以单独使用,无需与其他硬件设备配合。
而嵌入式微控制器则是指将微控制器嵌入其他设备或系统中,用于实现特定功能的控制。
5. 微型计算机控制技术的软件开发工具有哪些?常见的微型计算机控制技术软件开发工具有Keil C51、IAR Embedded Workbench、MPLAB等。
这些工具可以帮助开发人员编写、调试嵌入式软件,并将其下载到目标系统中运行。
6. 什么是中断?中断是一种特殊的事件,它会打断程序的正常执行流程,去执行一个与之相关的处理程序。
在微控制器中,中断通常用于处理紧急事件或实时控制要求较高的任务。
7. 微型计算机控制技术中的GPIO是什么意思?GPIO是General Purpose Input/Output的缩写,意为通用输入输出。
它是微控制器上的一种接口,可以通过设置和读取电平状态来实现与外部设备的交互。
实验一A/D与D/A转换实验项目名称:A/D与D/A转换实验项目性质:普通所属课程名称:计算机控制技术实验计划学时:2学时一、实验目的1.通过实验了解实验系统的结构与使用方法;2.通过实验了解模拟量通道中模数转换与数模转换的实现方法。
二、实验内容和要求1.了解A/D与D/A芯片转换性能,输入一定值的电压,测取模数转换的特性,并分析之;2.在上位机输入一十进制代码,完成通道的数模转换实验。
三、实验主要仪器设备和材料1.THTJ-1型计算机控制技术实验箱2.THVLW-1型USB数据采集卡一块(含37芯通信线、USB电缆线各1根)3.PC机1台(含上位机软件“THTJ-1”)四、实验方法、步骤及结果测试1、打开实验箱电源。
并按下面的电路图1设计一阶跃信号输出电路,然后将U0输出端连接到“数据采集接口单元”的“AD1”通道,同时将采集卡接口单元的“DA1”输出端连接到接口单元的“AD2”输入端:图12、启动计算机,在桌面双击图标“THTJ-1”软件,在打开的软件界面上点击“开始采集”按钮;3. 点击软件“系统”菜单下的“AD/DA实验”,在AD/DA实验界面上点击“开始/停止”按钮,观测采集卡上AD转换器的转换结果,在输入电压为-10V~+10V,对应的数字量为0~16384(A/D转换是14位的),如输入1V时应为00,0011,0101,0000(850)(其中后几位将处于实时刷新状态)。
调节阶跃信号的大小,然后继续观AD转换器的转换结果,并与理论值(详见本实验五说明)进行比较;(双,3) 4通道模拟量输入和2通道模拟量输出4) 8k深度的FIFO保证数据的完整性5) 8路开关量输入,8路开关量输出2.编程实现测试信号的产生利用上位机的“脚本编程器”可编程实现各种典型信号的产生,如正弦信号,方波信号,斜坡信号,抛物线信号等。
其函数表达式分别为:1) 正弦信号)s i n (ϕω+=t A y ,π2=T经编程得到如下图。
计算机控制技术与系统思考题与习题本页仅作为文档封面,使用时可以删除This document is for reference only-rar21year.March《计算机控制技术与系统》课程思考题与习题第一章绪论简述计算机控制技术发展史。
简述计算机控制系统的类型、结构和特点。
计算机控制与常规控制主要不同点在哪里典型计算机控制系统有哪几部分组成,画出方框图。
什么叫做动态系统对计算机控制系统的基本要求是什么简述调节系统与跟踪系统(随动系统)的特点。
典型计算机集成制造系统(CIMS)有哪四个功能系统和两个支持系统第二章过程通道采样定理对于采样周期的选取有什么意义写出采样过程的数学描述形式。
影响采样周期选择的因素主要有哪些多路采样装置的主要作用是什么,常用采样器包括哪些过程通道的采样周期T是否越小越好,为什么A转换的工作方式主要有哪几种,简述其原理。
2.7A/D转换的工作方式主要有哪几种,简述其原理。
简述模入通道结构与各组成部分功能。
简述过程通道的类型和基本功能。
简述开关量通道的基本构成形式和主要作用。
简述开关量通道的抗干扰措施有哪些。
模出通道的类型主要有哪几种,各有什么特点保持器在过程通道中的作用是什么,举例分析。
某热工过程有16点温度信号,变化范围: 150--850 C, 采用微机监测。
求解问题: 1、若经A/D 转换后的数字量每个脉冲对应的实际温度小于等于 C , 则A/D分辨率至少为多少才能保证该精度2、写出A/D 转换后的数字量与被测点实际温度间关系式。
3、该处理方式零点迁移量为多少第三章 理论基础求下图示离散系统脉冲传递函数G(z)已知采样系统如下图所示,求下图示离散系统脉冲传递函数G(z)和当闭环系统稳定时K 的取值范围。
分析下图所示采样系统,当采样周期T=1,开环增益K=5时的稳定性。
给定传递函数110+s K,试以10倍的转角频率为近似的截止频率m ω,求满足采样定理的采样频率s ω和采样周期T 。
4.设计题(1)解:电路原理图如下图所示:程序清单如下:MOV DPTR,#7FFFH ;8255A初始化,方式0MOV A,#98H ;PC3~PC0输出方式,PC7~PC4输入方式MOVX @DPTR,AKEY1:ACALL KS1JNZ LK1NI:ACALL DL6ms ;调用延时子程序,延时6msAJMP KEY1LK1:ACALL DL6ms ;延时12msACALL DL6msACALL KS1JNZ LK2ACALL DL6msAJMP KEY1LK2:MOV R2,#FEH ;扫描模式→R2(按列逐列扫描)MOV R4,#00H ;R4为列计数器LK4:MOV DPTR,#7FFEH ;扫描模式→8255A的PC口MOV A,R2MOVX @DPTR,AMOVX A,@DPTR ;读8255A的PC口JB ACC.7,LONE ;转判1行,ACC.7=1,说明0行无键闭合MOV A,#00H ;0行有键闭合,首键号0→AAJMP LKPLONE: JB ACC.6,LTWO ;转判2行MOV A,#04H ;1行有键闭合,首键号4→AAJMP LKPLTWO: JB ACC.5,LTHR ;转判3行MOV A,#08H ;2行有键闭合,首键号8→AAJMP LKPLTHR:JB ACC.4,NEXT ;转判下一列,MOV A,#0CH ;3行有键闭合,首键号12→ALKP:ADD A,R4 ;求键号=列号+行首键号PUSH ACC ;键号进栈保护LK3:ACALL DL6ms ;判断键释放否ACALL KS1JNZ LK3 ;A=0,说明键释放POP ACC ;键号→ACJNE A,#09H,COM ;AJMP DIGPRO ;等于9,转数字键处理COM:JNC FUNPRO ;大于9,转功能键处理AJMP DIGPRO ;小于9,转数字键处理RETNEXT: INC R4 ;列计数器加1MOV A,R2 ;判断是否扫描到最后一列JNB ACC.3,KND ;若ACC.3=0,说明已经到最后一列RL A ;扫描模式左移一位,准备扫描下一列MOV R2,AAJMP LK4KND:AJMP KEY1KS1:MOV DPTR,##7FFEH ;全“0”→扫描口PC口MOV A,#00HMOVX @DPTR,AMOVX A,@DPTR ;读PC7~PC4状态CPL AANL A,#0F0HRETDL6ms:MOV R5,#0CHDL1:MOV R6,#0FFHDL2:DJNZ R6,DL2DJNZ R5,DL1RET(2)ORG 0000HLJMP MAINORG 0003HLJMP LK1ORG 0300HMAIN: MOV DPTR,#7FFFH ;8255A初始化,方式0MOV A,#98H ;PC3~PC0输出方式,PC7~PC4输入方式MOVX @DPTR,A…LK1:ACALL DL6ms ;延时12msACALL DL6msACALL KS1JNZ LK2AJMP KNDLK2:MOV R2,#FEH ;扫描模式→R2(按列逐列扫描)MOV R4,#00H ;R4为列计数器LK4:MOV DPTR,#7FFEH ;扫描模式→8255A的PC口MOV A,R2MOVX @DPTR,AMOVX A,@DPTR ;读8255A的PC口JB ACC.7,LONE ;转判1行,ACC.7=1,说明0行无键闭合MOV A,#00H ;0行有键闭合,首键号0→AAJMP LKPLONE: JB ACC.6,LTWO ;转判2行MOV A,#04H ;1行有键闭合,首键号4→AAJMP LKPLTWO: JB ACC.5,LTHR ;转判3行MOV A,#08H ;2行有键闭合,首键号8→AAJMP LKPLTHR:JB ACC.4,NEXT ;转判下一列,MOV A,#0CH ;3行有键闭合,首键号12→ALKP:ADD A,R4 ;求键号=列号+行首键号PUSH ACC ;键号进栈保护LK3:ACALL DL6ms ;判断键释放否ACALL KS1JNZ LK3 ;A=0,说明键释放POP ACC ;键号→ACJNE A,#09H,COM ;AJMP DIGPRO ;等于9,转数字键处理COM:JNC FUNPRO ;大于9,转功能键处理AJMP DIGPRO ;小于9,转数字键处理RETNEXT: INC R4 ;列计数器加1MOV A,R2 ;判断是否扫描到最后一列JNB ACC.3,KND ;若ACC.3=0,说明已经到最后一列RL A ;扫描模式左移一位,准备扫描下一列MOV R2,AAJMP LK4 KND : RETIKS1: MOV DPTR ,##7FFEH ;全“0” →扫描口PC 口 MOV A ,#00H MOVX @DPTR ,AMOVX A ,@DPTR ;读PC7~PC4状态 CPL AANL A ,#0F0H RETDL6ms :MOV R5,#0CH DL1: MOV R6,#0FFH DL2: DJNZ R6,DL2DJNZ R5,DL1 RET(3) 设计思路:设置一个标志模型单元,比如20H 单元,令20H.3、20H.2、20H.1和20H.0分别为四位数据的标志位,如果该位为0,且不显示,则对应的标志位置1,在取数据前将该单元清0。
第一章计算机控制系统概述习题参考答案1.计算机控制系统的控制过程是怎样的?计算机控制系统的控制过程可归纳为以下三个步骤:(1)实时数据采集:对被控量的瞬时值进行检测,并输入给计算机。
(2)实时决策:对采集到的表征被控参数的状态量进行分析,并按已定的控制规律,决定下一步的控制过程。
(3)实时控制:根据决策,适时地对执行机构发出控制信号,完成控制任务。
2.实时、在线方式和离线方式的含义是什么?(1)实时:所谓“实时”,是指信号的输入、计算和输出都是在一定时间范围内完成的,即计算机对输入信息以足够快的速度进行处理,并在一定的时间内作出反应并进行控制,超出了这个时间就会失去控制时机,控制也就失去了意义。
(2)“在线”方式:在计算机控制系统中,如果生产过程设备直接与计算机连接,生产过程直接受计算机的控制,就叫做“联机”方式或“在线”方式。
(3)“离线”方式:若生产过程设备不直接与计算机相连接,其工作不直接受计算机的控制,而是通过中间记录介质,靠人进行联系并作相应操作的方式,则叫做“脱机”方式或“离线”方式。
3.微型计算机控制系统的硬件由哪几部分组成?各部分的作用是什么?由四部分组成。
(1)主机:这是微型计算机控制系统的核心,通过接口它可以向系统的各个部分发出各种命令,同时对被控对象的被控参数进行实时检测及处理。
主机的主要功能是控制整个生产过程,按控制规律进行各种控制运算(如调节规律运算、最优化计算等)和操作,根据运算结果作出控制决策;对生产过程进行监督,使之处于最优工作状态;对事故进行预测和报警;编制生产技术报告,打印制表等等。
图1.1微机控制系统组成框图(2)输入输出通道:这是微机和生产对象之间进行信息交换的桥梁和纽带。
过程输入通道把生产对象的被控参数转换成微机可以接收的数字代码。
过程输出通道把微机输出的控制命令和数据,转换成可以对生产对象进行控制的信号。
过程输入输出通道包括模拟量输入输出通道和数字量输入输出通道。
计算机控制技术习题及答案
《计算机控制技术习题及答案》
计算机控制技术是现代工业生产中不可或缺的重要技术之一,它通过计算机系统对生产过程进行监控和控制,提高了生产效率和质量。
为了帮助学习者更好地掌握计算机控制技术的知识,以下是一些习题及答案,供大家参考和学习。
1. 什么是PLC?它的作用是什么?
答:PLC即可编程逻辑控制器,它是一种专门用于工业控制的计算机。
它的作用是接收输入信号,进行逻辑运算,然后输出控制信号,实现对生产过程的自动控制。
2. 请简要说明PID控制器的工作原理。
答:PID控制器是一种常用的控制器,它通过比较实际值和设定值的差异,计算出控制量的误差,并根据比例、积分和微分三个参数来调节控制量,使实际值逐渐接近设定值。
3. 什么是HMI?它在工业控制中起到什么作用?
答:HMI即人机界面,它是工业控制系统中的一个重要组成部分,用于实现人机交互。
通过HMI,操作人员可以直观地监控生产过程,进行参数设置和控制操作。
4. 请简要说明工业以太网的特点及其在工业控制中的应用。
答:工业以太网是一种专门用于工业控制领域的通信网络,具有高可靠性、高带宽和实时性强的特点。
它在工业控制中广泛应用于设备之间的数据通信和远程监控。
以上是一些关于计算机控制技术的习题及答案,希望能够帮助大家更好地理解
和掌握这一重要技术。
在学习过程中,还可以通过实际操作和练习来加深对知识的理解,提高自己的技能水平。
计算机控制技术的应用范围非常广泛,掌握好这门技术对于提升自身竞争力和就业前景都具有重要意义。
第1章概述1.什么是自动控制、控制系统、自动化和控制论?[指导信息]:参见1.1自动控制的基本概念。
自动控制(autocontrol):不用人力来实现的控制,通常可用机械、电气等装置来实现。
通常相对手动控制而言。
控制系统(control system):通过控制来实现特定功能目标的系统。
而系统(system)是由相互联系、相互作用要素组成的具有一定结构和功能的有机整体。
控制系统通常有一定的规模和复杂性,否则常称为控制装置或控制机构。
自动化(automation):在无人工干预情况下,一个或多个控制系统或装置按规定要求和目标的实现过程。
自动化强调的是自动控制过程,其核心概念是信息。
控制论(cybernetics):研究各类系统的调节和控制规律的科学。
各类系统包括动物(及人类)和机器系统。
自从1948 年诺伯特·维纳发表了著名的《控制论——关于在动物和机中控制和通讯的科学》一书以来,控制论的思想和方法已经渗透到了几乎有的自然科学和社会科学领域。
控制论着重于研究过程中的数学关系。
2.控制的本质是什么?[指导信息]:参见1.1.2 自动控制中的基本问题。
控制过程本质上是一系列的信息过程,如信息获取、信息传输、信息加工、信息施效等。
控制系统中的目标信息、被控对象的初始信息、被控对象和环境的反馈信息、指令信息、执行信息等,通常由电子或机械的信号来表示。
3.自动控制中有哪些基本问题?[指导信息]:参见1.1.2 自动控制中的基本问题。
自动控制中的基本问题包括:自动控制系统的结构、过程、目标和品质等。
结构包括组成及其关系两个部分;控制过程主要为一系列的信息过程,如信息获取、信息传输、信息加工、信息施效等;目标规则体现了系统的功能;控制品质即为控制的质量,可通过系统的性能指标来评价。
4.一个控制系统由哪些部分组成?试结合一个实例来说明。
[指导信息]:参见1.1.2 自动控制中的基本问题。
一个控制系统可以由控制单元、执行单元、反馈单元、被控对象、目标规则组成,它们的相互关系参见图1 5所示。
《计算机控制技术与系统》课程
思考题与习题
第一章绪论
1.1简述计算机控制技术发展史。
1.2简述计算机控制系统的类型、结构和特点。
1.3计算机控制与常规控制主要不同点在哪里?
1.4典型计算机控制系统有哪几部分组成,画出方框图。
1.5什么叫做动态系统?
1.6对计算机控制系统的基本要求是什么?
1.7简述调节系统与跟踪系统(随动系统)的特点。
1.8典型计算机集成制造系统(CIMS)有哪四个功能系统和两个支持系统?第二章过程通道
2.1采样定理对于采样周期的选取有什么意义?
2.2写出采样过程的数学描述形式。
2.3影响采样周期选择的因素主要有哪些?
2.4多路采样装置的主要作用是什么,常用采样器包括哪些?
2.5过程通道的采样周期T是否越小越好,为什么?
2.6D/A转换的工作方式主要有哪几种,简述其原理。
2.7A/D转换的工作方式主要有哪几种,简述其原理。
2.8简述模入通道结构与各组成部分功能。
2.9简述过程通道的类型和基本功能。
2.10简述开关量通道的基本构成形式和主要作用。
2.11简述开关量通道的抗干扰措施有哪些。
2.12模出通道的类型主要有哪几种,各有什么特点?
2.13保持器在过程通道中的作用是什么,举例分析。
2.14某热工过程有16点温度信号,变化范围: 150--850 C, 采用微机监测。
求解问题:
1、 若经A/D 转换后的数字量每个脉冲对应的实际温度小于等于0.01οC , 则A/D
分辨率至少为多少才能保证该精度?
2、写出A/D 转换后的数字量与被测点实际温度间关系式。
3、该处理方式零点迁移量为多少?
第三章 理论基础
3.1求下图示离散系统脉冲传递函数G(z)
3.2已知采样系统如下图所示,求下图示离散系统脉冲传递函数G(z)和当闭环系统稳定时K
的取值范围。
3.3分析下图所示采样系统,当采样周期T=1,开环增益K=5时的稳定性。
3.4给定传递函数1
10+s K ,试以10倍的转角频率为近似的截止频率m ω,求满足采样定理的采样频率s ω和采样周期T 。
3.5证明离散系统脉冲响应的z 变换即为离散系统传递函数。
3.6设离散系统结构如下图所示,图中D(z)为数字PID 调节器,其差分方程为
)]2()1(2)([)()]1()([)(-+--++--=k e k e k e K k e K k e k e K k u d i p
T
试求当r(t)为单位阶跃函数时系统的稳态误差。
3.7试分析下列差分方程所描述系统的稳定性
)()()1(k bx k ay k y =-+
3.8求下列x(t)信号的z 变换
⎩⎨⎧≥=<==-0
00)(t e t t x at 第四章 控制算法
4.1计算机控制系统的常规设计方法是如何考虑的?
4.2写出PID 控制规律的离散位置式和增量式表达式,求出z 传递函数D(z)。
4.3 PID 算法的理想型和实际型的主要差别在哪里,为什么要提出实际型算式?
4.4 简述PID 算法的主要变形型式和特点。
4.5设计PID 算法控制程序时需考虑哪些问题?
4.6简述Smith 预估控制算法的设计思想,其主要特点是什么?
4.7某主汽温系统采用Smith 预估补偿控制,设包括零阶保持器在内的广义对象
s
T e k s e e s G s
Ts s 1101.1)(+-=---ττ (m T =τ, 取整,T 为采样周期), 阀门系数为2k ,控制器为PID 规律。
求解问题:
1、画出主汽温系统Smith 预估补偿控制原理框图(不考虑扰动和测量环节)。
2、导出控制系统计算机实现过程和控制器位置式算式。
2、 设计Smith 预估控制程序框图。
4.8试说明扩充响应曲线法与扩充临界比例带法适用于何种对象。
4.9分析比较PID 和PDFF 两种结构形式的特点,并且说明PDFF 结构形式的应用
价值。
4.10数字控制算法中引入非线性不灵敏环节的主要作用是什么,非线性环节实现
的形式主要有哪几种?非线性不灵敏区的设置原则是什么?
第五章 直接数字设计
5.1直接数字设计法的设计思想是什么?其设计控制系统的前提是什么?
5.2离散系统控制器的主要设计方法包括哪几种?最少拍和有限拍属于哪种类
型?
5.3设被控对象为一阶惯性加纯迟延,含零阶保持器的广义对象Z 传递函数为
G z K z z z l a a ()()=-----1111
σσ a aT e ()σ=- 根据达林算法期望的闭环响应传递函数为:
M z z z z
l ()()=-----1111σσ (/στ=-T e , τ为M z ()的时间常数) 证明由此设计的控制器D(z), 经消除振铃现象后为理想的PI 控制器。
5.4设被控对象传递函数为
02211252G s S
S ().(.)=+ 经采样(T=1)和零阶保持后,其对应的广义Z 传递函数为:
G z z z z z z ().(.)(.)
()(.)=++-------02651278102110286111121
试求:1、系统对于单位阶跃输入的最少拍无波纹稳定控制器D(z);
2、控制量U(z)、系统输出Y(z)及在各采样点时刻上的值;
3、系统输出在几拍之后进入稳态。
5.5设跟踪系统如下图示,被控对象传递函数为
)11.0)(1(10)(++=
S S S s G p
ZOH 为零阶保持器,采样周期T=0.5S ,试设计单位阶跃输入时的有限拍控制器
Gc(z)。
5.6设跟踪系统如下图示,被控对象传递函数为
)1(1)(+=S S s G p
采样周期T=1S ,试设计单位阶跃输入时的有限拍控制器Gc(z)。
第六章 现代控制理论设计方法
6.1简述基于状态空间描述的离散系统控制器设计方法主要包括哪几种?
6.2简述基于状态空间描述的离散系统控制器极点配置设计法。
6.3简述基于状态空间描述的离散系统控制器最优设计法。
6.4简述分离性原理的设计思想。
6.5离散控制系统设计中为什么要引入状态观测器,简述状态观测器的类型和各自特点。
6.6基于极点配置法设计观测器的基本原则是什么?
6.7设离散系统状态方程为
⎩⎨⎧=+=+)
()()()()1(k Cx k y k Gu k Fx k x 用状态观测器实现系统状态重构,并以状态估计值构成预估状态线性反馈控
制:)()(^
k x L k u -=
其中状态观测器和反馈控制规律采用极点配置法设计。
求解问题:
(1)导出整个系统的特征方程,并分析系统性能与特征方程根之间的关系;
(2)给出系统按极点配置设计控制器的步骤;
(3)试求当输入0)(=k r ,平衡状态为零态,考虑零静差时,对应的PI 控制规律。
第七章 总线与接口技术
7.1简述的总线类型和特点,计算机应用系统为什么要采用总线。
7.2什么是接口技术,主要内容是什么?
7.3简述同步串行和异步串行通信的差异,各适用于什么场合?
7.4简述IEEE488和RS232C总线标准的作用。
7.5简述计算机总线的发展历程。
7.6简述国际ISO组织制定的计算机通网络信协议模型,画出模型图。
第八章可靠性与抗干扰措施
8.1什么是系统的可靠性,主要指标有哪些?
8.2提高计算机控制系统可靠性的主要方法有哪些?
8.3简述差错控制技术的主要内容和特点。
8.4简述容错技术的主要内容和特点。
8.5简述RAS技术的主要内容和特点。
8.6提高系统软件可靠性的技术措施有哪些?
8.7干扰的类型有哪些,主要传播途径包括哪些?
8.8模拟量通道的抗干扰措施有哪些,画图分析双层屏蔽技术的抗干扰原理。
8.9开关量通道的抗干扰措施主要有哪些?
8.10已知计算机控制系统可靠性单元结构如图(1)、(2)所示,试求图(1)、(2)
系统的平均无故障工作时间MTBF。
λλλ2λ2λλλ2λ2
(1)(2)
第九章实时监控软件设计
9.1简述实时监控软件的主要功能和特点。
9.2简述计算机操作系统的分类和特点,实时操作系统的主要内容包括哪些?
9.3什么是数据结构,其在应用软件设计中的主要作用是什么?
9.4实时控制软件的设计原则是什么,设计语言如何考虑?
9.5简述结构化设计法、模块化设计法和面向对象设计法的思想和主要内容。
9.6实时监控软件主要包括哪几个组成部分?
第十章现场总线技术
10.1简述现场总线的发展历史。
10.2现场总线的种类有哪些,主要研制公司的产品包括哪几种?
10.3现场总线控制系统(FCS)与常规DCS系统相比较的优势之处在哪里?
10.4画图简述现场总线控制系统的拓扑结构。
10.5简述现场总线技术的国际发展动态。
10.6我国发电厂现场总线控制系统(FCS)今后的发展和应用前景如何?10.7简述Profibus、FF、CAN现场总线的结构特点和主要内容。