24时计时法
- 格式:ppt
- 大小:752.00 KB
- 文档页数:3
24时计时法的书写格式
24时计时法的书写格式是一种将一天内的所有时间精确地表示出来的方法。
它按照24小时计时,晚上的时间可以大于等于12点,叫12-AM,早上的时间可以小于等于12点,叫12-PM。
24时计时法书写格式有以下几点需要注意:
一、24小时书写格式的分组准则
24小时书写格式将时间分成两个组,即“AM”和“PM”;
二、24小时书写格式的标记准则
AM时间的标记是小写“am”,PM时间的标记是小写“pm”;
三、24小时书写格式的数字准则
一天12小时,在AM中位于0-11点,在PM中位于12-23点;
四、24小时书写格式的单位准则
每个小时单位是以一个“:”来表示,而分钟单位以“分”来表示;
五、24小时书写格式的例子
以15:25为例,在AM中,表示为3:25;在PM中,表示为15:25;
24时计时法的书写格式是一种把一天内的时间具体表示出来的方法,它的好处是能够将一整天的时间把控到最精确的程度,让我们对时间不再模糊。
通过以上简单介绍,你们也应该了解了24时计时法书写格
式的书写规则,当你日常处理某些与时间有关的事宜时,可以用24时计时法来进行书写,以获得更高的计时效率。
一、初步感知:1.猜谜语:短腿腿,圆脸膛,耳朵长在脑袋上,肚里声声滴嗒响,提醒我们起早床。
2.请你说说下面的节目预报表分别是上午、下午、还是晚上的什么时候?08:30 金色童年09:00 儿童英语12:00 新闻30分14:00 成长在线18:00 大风车22:00 晚间新闻二、普通计时法的含义:(12时计时法)提问:请问你上午10时和晚上10时分别在做什么呢?答:。
像这样,在10时的前面加上上午或者晚上的词语,这种计时法叫做普通计时法。
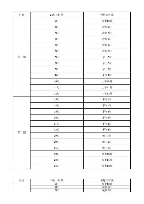
三、24时计时法的含义:在一日(昼夜)里,钟表上时针正好走两圈,共24小时,所以,经常采用从0时到24时的计时法,通常叫做“24时计时法”。
(一天有24小时)四、普通计时法与24时计时法的区别与相互转化1.再次观察之前的节目预报表,找出两种计时法的不同之处。
08:30 金色童年上午8:3009:00 儿童英语上午9:0012:00 新闻30分中午12:0014:00 成长在线下午2:0018:00 大风车晚上6:0022:00 晚间新闻晚上10:00区别:(1)普通计时法用0-12时来计时,而且要指明上午、下午、晚上;(2)24时计时法不用加文字说明,只用数字0-24时表示.2. 既然人们习惯于用普通计时法,那24时计时法怎样才能很快看出是早上还是晚上7时,这个转化是很重要的,看下面的节目表。
24时计时法普通计时法08:30 上午8:3009:00 上午9:0012:00 中午12:0014:00 -12 下午2:0018:00 -12 晚上6:0022:00 -12 晚上10:00(补充介绍时间词:12:00是个特殊的时刻,12:00之前一般叫上午,12:00以后一般叫下午,18:00以后一般叫晚上.)规律小结:把普通计时法转化成24时计时法,如果时刻没超过12,就把前面的文字去掉就行了,如果超过了12,去掉文字再加12。
相反,把24时计时法转化成普通计时法,没超过12的在前面加上上午,下午之类的文字就行,如果超过12时,只要减12,再在前面添加上午、下午之类的文字就行。
24时计时法的写法
1、24时计时法是从夜里12时(0时)开始到中午12时,时针走一圈是12小时,从中午12时(0时)时针又走一圈也是12小时,一共24小时,也就是一日=24小时。
2、12时计时法是用“凌晨”、“早晨”、“上午”、等来描述一天从0时到中午12时,这段时间里的时刻,用“下午”、“晚上”、“夜里”等来描述一天从中午12时到晚上12时,这段时间里的时刻。
24时计时法是用得最为普遍的计时法,24时计时法是广播电台、车站、邮电局等部门采用的0到24时计时法,按照这种计时法,下午1时就是13:00,下午2时就是14:00……夜里12时就是24:00,又是第二天的0:00。
24时计时法练习题一、什么是24时计时法24时计时法是一种时间计量方法,将一天分为24个小时,每个小时又细分为60分钟,每分钟细分为60秒。
这种计时法源于古代埃及,被广泛应用于现代军事、航空航天、科学研究等领域。
二、24时计时法练习题1. 早上7点30分过后多少分钟还有两小时?在24时计时法中,早上7点30分可以表示为07:30。
如果要计算过后多少分钟还有两小时,可以将07:30加上两小时,即09:30。
然后将09:30转换为分钟,9小时乘以60分钟再加上30分钟,等于570分钟。
所以,早上7点30分过后还有570分钟。
2. 下午3点15分过后多少分钟是晚上8点40分?下午3点15分可以表示为15:15,在24时计时法中。
要计算过后多少分钟是晚上8点40分,可以将15:15加上5小时25分钟,即20:40。
然后将20:40转换为分钟,20小时乘以60分钟再加上40分钟,等于1240分钟。
所以,下午3点15分过后等于1240分钟是晚上8点40分。
3. 上午9点到下午12点之间的时间间隔是多少小时?上午9点可以表示为09:00,在24时计时法中。
要计算到下午12点的时间间隔,可以将12:00减去09:00,即12小时减去9小时,等于3小时。
所以,上午9点到下午12点之间的时间间隔是3小时。
4. 下午6点30分到第二天早上9点之间的时间间隔是多少小时?下午6点30分可以表示为18:30,在24时计时法中。
要计算到第二天早上9点的时间间隔,可以将第二天早上9点转换为24小时制,即09:00。
然后将09:00加上24小时,再减去18:30,即33.5小时减去18.5小时,等于15小时。
所以,下午6点30分到第二天早上9点之间的时间间隔是15小时。
5. 现在是晚上11点45分,过后30分钟是几点几分?晚上11点45分可以表示为23:45,在24时计时法中。
要计算过后30分钟是几点几分,可以将23:45加上30分钟,即00:15。
12时和24时计时法转换顺口溜
12时化24时,凌晨到中午12点不用变,中午1点到夜间12点都加12。
24时化12时,凌晨到中午12点不用变,只加上午,早上,凌晨,13点到24点都减12,并加上下午,晚上等。
24小时解析
24时计时法是从夜里12时开始到中午12时,时针走一圈是12小时,从中午12时时针又走一圈也是12小时,也就是一日=24小时。
12时计时法是用凌晨、早晨、上午、等来描述一天从0时到中午12时,这段时间里的时刻,用下午、晚上、夜里等来描述一天从中午12时到晚上12时,这段时间里的时刻。
24时计时法是用得最为普遍的计时法,24时计时法是广播电台、车站、邮电局等部门采用的0到24时计时法,按照这种计时法,下午1时就是13:00,下午2时就是14:00……夜里12时就是24:00,又是第二天的0:00。
深夜12时是一日的开始,1天的24小时又分为两段,每段12小时。
从深夜12时起到中午12时叫做上午,再从中午12时起到深夜12时叫做下午。
生活中通常采用这种计时法。
1。
在三年级的数学课程中,学生开始接触一些较为基础的计算方法,如加减乘除等。
而今天我将为大家介绍一种特殊的计算方法——24时计时法。
24时计时法,简单来说,就是把一天的时间按照24小时制来计算。
在这种计时方法中,一天被分成了24个时辰,每个时辰等于一小时,即60分钟。
这是我们日常生活中比较常见的一种计时方法,也是一种十分重要的计算方法。
在应用中,如果要计算时间的长短,我们常常采用24时计时法来进行计算,好处在于精度高、易于计算。
具体来说,一天被分成了24个小时,每小时被分成了60分钟,每分钟被分成了60秒,这样的刻度能够帮助我们更准确地计算时间的长短。
这种计算方法对于日常生活中的时间安排以及学习数学都很有用处。
例如,我们可以通过该方法计算早上7点到下午3点的时间长短,具体计算方法是:3-7=4,即早上7点到下午3点一共过去了4个小时。
又如,我们在计算机考试中可以使用该计算方法来轻松计算考试时间的长短,比如,考试时间是上午8点至下午4点,即一共需要考试8小时,这样我们就能更好地安排我们的考试时间,并在考试中有着更加清晰精准的意识。
24时计时法是一种重要的计算方法,不仅可以帮助我们更好地安排时间,还能帮助我们更好地学习数学。
在日常生活和学习中,运用
这种计算方法可以帮助我们更好地掌握时间,提高效率,是一种十分实用的技巧。
三年级上册数学教案-7.1,24时计时法详解24时计时法是我们日常生活中计算时间的一种方法,也是数学中的一个常见概念。
在三年级上册的数学教学中,教师们也会讲到这个概念,并让学生学习如何运用24时计时法进行时间计算。
本文将详细介绍24时计时法的概念、作用、应用以及相关的数学知识点,帮助学生更好地理解和运用这个方法。
一、什么是24时计时法24时计时法是我们日常生活中常用的一种时间记法。
它将1天分为24小时,每小时包含60分钟,每分钟由60秒构成。
这意味着,24小时共包含了86400秒。
使用24时计时法,我们可以更加准确地记忆和计算时间,方便我们日常生活中的各种活动安排。
二、24时计时法的作用24时计时法的作用主要有以下几个面:1.便于记忆和计算时间:使用24时计时法可以让我们更加容易地计算时间,对于快速、准确地收集信息和规划时间具有重要作用。
2.方便协调国际时间:由于不同国家和地区的时差不同,使用24时计时法可以帮助人们更好地协调国际时间。
3.便于进行日常生活安排:使用24时计时法可以帮助人们更加有效地规划日常生活,如统计工作时间、安排休息时间等。
三、24时计时法的应用1.计算时间差:使用24时计时法可以轻松计算两个时间之间的时间差。
例如,计算两个事件之间相隔多少小时、多少分钟、多少秒等。
2.规划时间表:使用24时计时法可以帮助人们更好地规划时间表,安排各项活动和任务。
例如,在写作业之前,先安排好自己的时间,合理分配每个任务所需的时间,可以增加工作效率。
3.统计工作时间:许多职业需要统计工作时间,如计时员、计程车司机等。
使用24时计时法可以帮助人们更加准确地记录工作时间,从而避免出现误差。
四、相关数学知识点1.转换单位:在使用24时计时法时,需要将时间的单位进行转换。
从秒到分钟,需要将秒数除以60;从分钟到小时,需要将分钟数除以60。
2.加减法运算:在计算时间差时,需要使用加减法运算,根据题目所给的信息计算两个时间之间的差距。
24小时计时法的说课稿9篇24小时计时法的说课稿9篇说课稿包括教学设计、教学目标、教学步骤、教学方法、教学资源、评价方式等内容。
它旨在通过文字材料的形式对教学进行系统的分析和解释,展示教师的教学思路和专业能力。
现在随着小编一起往下看看24小时计时法的说课稿,希望你喜欢。
24小时计时法的说课稿精选篇1小学数学三年级上册《24时计时法》教案教学目标:1.让学生在具体的生活情景中,了解24时计时法的特征,会用24时计时法正确表示一天中的某一时刻,并能正确进行两种计时法的互换。
2.经历认识、收集、应用24时计时法的过程,体会24时计时法在生活中的应用,建立时间观念。
3.在探索24时计时法与普通计时法的互换中,促进思维发展。
教学重点:能正确地把用24时记时法表示的时间,与用普通记时法表示的时间进行互换。
教学难点:理解和发现普通记时法与24时记时法之间的联系与区别。
教学过程:一、导入新课。
出示钟面(上面是7时)1.同学们,在前边我们已经认识时钟,看看现在是几时?(7时)你们昨天7时在干什么?(看电视、吃早餐、睡觉)为什么会这样呢?2.揭示课题:24时计时法【从学生熟悉的情境引入数学学习,唤醒了学生已有知识经验。
新课伊始,设疑激趣,一方面引起学生强烈的好奇心,另一方面也为学生主动参与学习活动明确了方向。
】二、围绕目标,合作学习。
1.关于24时计时法你有哪些了解?2、.谈话交流。
a.晚上12时谈话:春节联欢晚会新年的钟声是什么时候敲响的呢?思考:这是夜里12时,是旧的一天的结束,新的一天的开始。
我们把这一刻称为0时。
闭上眼睛想一想,时针一天正好走几圈呢?接着演示时针是怎样走的。
b.上午7时思考:现在是几时?你在做什么?c.中午12时追问:上午的学习结束,该吃午饭了。
是几时?到中午12时为止,钟表上的时针走了几圈?经过了多少小时?d.晚上7时怎样用24时计时法表示?有什么电视节目?(思想教育:关心国家大事)e.又到晚上12时思考:这一天钟表上的时针走了几圈?经过了多少小时呢?1日=时?3. 怎样用24时计时法来表示一天中不同的时刻吗?4.反馈练习a. 0时指什么时候?b.上午7时,用24时计时法怎么表示?中午12时怎么表示呢?c.下午1时用24时计时法该怎么表示呢?d.下午7时,用24时计时法该怎么表示?【利用钟面模型的课件,激发学生浓厚的学习兴趣,让学生在认真观察的基础上感知一天中不同的时间段,时针在钟面上转两圈,一昼夜共有24个小时,建立0时的概念。