24时计时法与普计时法对照表
- 格式:xls
- 大小:23.00 KB
- 文档页数:1
24时计时法与普通计时法对照表整理好在我们的日常生活中,计时法是非常重要的。
它帮助我们准确地安排时间、规划活动。
常见的计时法有24 时计时法和普通计时法。
下面,我们就来详细整理一下它们的对照表。
24 时计时法,顾名思义,是将一天的时间按照 24 个小时来计算。
从 0 时开始,一直到 24 时结束。
这种计时法在很多场合都被广泛应用,比如交通运输、科学研究、国际交流等。
普通计时法,则通常将一天分为两段,即上午和下午(或者晚上)。
以 12 时为一个节点。
接下来,我们通过具体的时间来对比这两种计时法。
先从凌晨开始。
凌晨 0 时,在 24 时计时法中就是 0 时,而在普通计时法中则表示为凌晨 0 时。
凌晨 1 时,24 时计时法是 1 时,普通计时法是凌晨 1 时。
凌晨 2 时,同样,24 时计时法是 2 时,普通计时法是凌晨 2 时。
以此类推,一直到早上 5 时,两种计时法的表述都是一致的,分别是 5 时和早上 5 时。
早上 6 时,24 时计时法是 6 时,普通计时法是早上 6 时。
早上 7 时,还是 7 时和早上 7 时的对应。
当到了早上 8 时,24 时计时法依然是 8 时,普通计时法是早上 8 时。
早上 9 时,9 时和早上 9 时相对应。
早上 10 时,为 10 时和早上 10 时。
早上 11 时,就是 11 时和早上 11 时。
接下来到了中午 12 时,这是一个关键的节点。
24 时计时法是 12 时,普通计时法是中午 12 时。
过了中午 12 时,两种计时法就开始有所不同了。
下午 1 时,24 时计时法是 13 时,因为过了 12 时,就要在原来的时间上加 12 。
普通计时法则是下午 1 时。
下午 2 时,24 时计时法是 14 时,普通计时法是下午 2 时。
下午 3 时,对应的是 15 时和下午 3 时。
下午 4 时,是 16 时和下午 4 时。
下午 5 时,为 17 时和下午 5 时。
下午 6 时,24 时计时法是 18 时,普通计时法是下午 6 时。
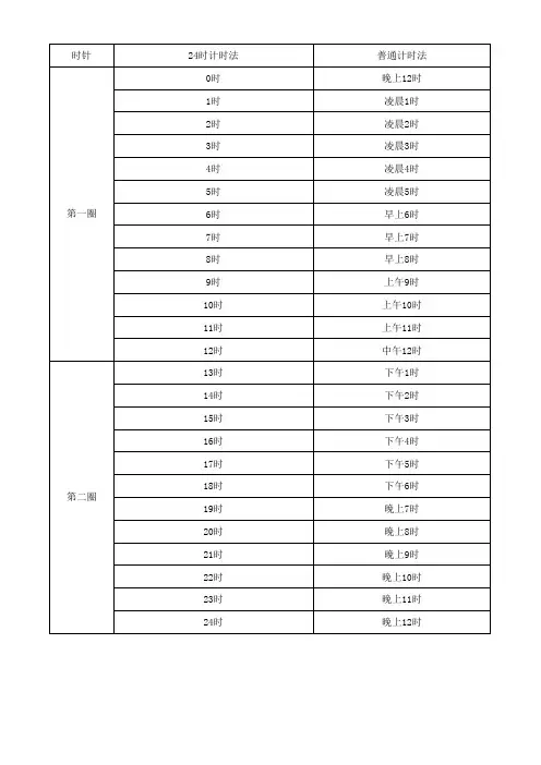
普通计时法和24时计时法普通计时法(12时记时法)后半天:中午12时——晚上12时(凌晨0时)24时计时法:0时——24时1. 用普通计时法表示时刻。
0:00——凌晨0:00 13:00——下午1:001:00——凌晨1:00 14:00——下午2:002:00——凌晨2:00 15:00——下午3:003:00——凌晨3:00 16:00——下午4:004:00——凌晨4:00 17:00——下午5:005:00——凌晨5:00 18:00——下午6:006:00——凌晨6:00 19:00——晚上7:00 7:00——早晨7:00 20:00——晚上8:008:00——早晨8:00 21:00——晚上9:009:00——上午9:00 22:00——晚上10:0010:00——上午10:00 23:00——晚上11:0011:00——上午11:00 24:00——晚上12:00(半夜0:00)12:00——中午12:00用普通计时法表示时刻时,时刻前面都要写上什么时候几点,例如:中午12:00,晚上12:00。
2. 用24时计时法表示下面时刻。
凌晨0:00——0:00 下午1:00——13:00凌晨1:00——1:00 下午2:00——14:00凌晨2:00——2:00 下午3:00——15:00凌晨3:00——3:00 下午4:00——16:00凌晨4:00——4:00 下午5:00——17:00凌晨5:00——5:00 下午6:00——18:00凌晨6:00——6:00 晚上7:00——19:00早晨7:00——7:00 晚上8:00——20:00早晨8:00——8:00 晚上9:00——21:00上午9:00——9:00 晚上10:00——22:00上午10:00——10:00 晚上11:00——23:00上午11:00——11:00 晚上12:00——24:00(0:00)中午12:00——12:0000-03(拂晓) 03-06() 06-09(清晨) 09-12(上午) 12-15(中午) 15-18(下午) 18-21(傍晚) 21-00(深夜/午夜)。
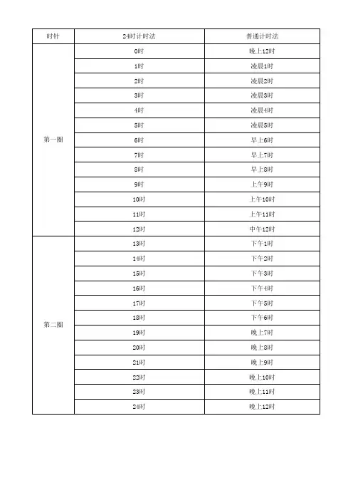
普通计时法和24时计时法时间对应图
钟表转的第一圈钟表转的第二圈
凌晨早上上午中午下午晚上
普通计时法: 1、2、3、4、5、6、7、8、9、10、11、12、 1、 2、 3、 4、 5、 6、 7、 8、 9、 10、11、12、
24时计时法:1、2、3、4、5、6、7、8、9、10、11、12、 13、14、15、16、17、18、19、20、21、22、23、24
转换方法:
普通计时法转换成24时计时法可分为两段:
钟表转第一圈的时间转换成24时计时法时,小时数和分钟数都不用变,只要将普通计时法前面表示时间段的词语去掉,并将格式改写成00︰00或某时某分即可。
钟表转第二圈的时间转换成24时计时法时,小时数要加上12,分钟数不用变,并将普通计时法前面表示时间段的词语去掉,最后将格式改写成00︰00或某时某分即可。
24时计时法转换成普通计时法:
首先在时间的前面加上表示时间段的词语,其次把大于12的小时数减去12所得的差作为小时数,小于等于12的小时数和所有的分钟数都不变,最后将格式改写ⅩⅩ某时某分即可(横线上填表示时间段的词语)。
通俗【2 】计时法和24时计时法时)24时计时法:0时——24时1. 用通俗计时法表示时刻.0:00——凌晨0:00 13:00——下昼1:001:00——凌晨1:00 14:00——下昼2:002:00——凌晨2:00 15:00——下昼3:003:00——凌晨3:00 16:00——下昼4:004:00——凌晨4:00 17:00——下昼5:005:00——凌晨5:00 18:00——下昼6:006:00——凌晨6:00 19:00——晚上7:007:00——凌晨7:00 20:00——晚上8:008:00——凌晨8:00 21:00——晚上9:009:00——上午9:00 22:00——晚上10:0010:00——上午10:00 23:00——晚上11:0011:00——上午11:00 24:00——晚上12:00(半夜0:00)12:00——正午12:00用通俗计时法表示时刻时,时刻前面都要写上什么时刻几点,例如:正午12:00,晚上12:00.2. 用24时计时法表示下面时刻.凌晨0:00——0:00 下昼1:00——13:00凌晨1:00——1:00 下昼2:00——14:00凌晨2:00——2:00 下昼3:00——15:00凌晨3:00——3:00 下昼4:00——16:00凌晨4:00——4:00 下昼5:00——17:00凌晨5:00——5:00 下昼6:00——18:00凌晨6:00——6:00 晚上7:00——19:00凌晨7:00——7:00 晚上8:00——20:00凌晨8:00——8:00 晚上9:00——21:00上午9:00——9:00 晚上10:00——22:00上午10:00——10:00 晚上11:00——23:00上午11:00——11:00 晚上12:00——24:00(0:00)正午12:00——12:0000-03(破晓) 03-06(黎明) 06-09(凌晨) 09-12(上午) 12-15(正午) 15-18(下昼) 18-21(傍晚) 21-00(深夜/午夜)。
普通计时法和时计时法时
间对应图及转换方法
The Standardization Office was revised on the afternoon of December 13, 2020
普通计时法和24时计时法时间对应图
钟表转的第一圈钟表转的第二圈
凌晨早上上午中午下午晚上
普通计时法: 1、2、3、4、5、6、7、8、9、10、11、12、 1、 2、 3、 4、 5、 6、 7、 8、 9、 10、11、12、
24时计时法:1、2、3、4、5、6、7、8、9、10、11、12、 13、14、15、16、17、18、19、20、21、22、23、24
转换方法:
普通计时法转换成24时计时法可分为两段:
钟表转第一圈的时间转换成24时计时法时,小时数和分钟数都不用变,只要将普通计时法前面表示时间段的词语去掉,并将格式改写成00︰00或某时某分即可。
钟表转第二圈的时间转换成24时计时法时,小时数要加上12,分钟数不用变,并将普通计时法前面表示时间段的词语去掉,最后将格式改写成00︰00或某时某分即可。
24时计时法转换成普通计时法:
首先在时间的前面加上表示时间段的词语,其次把大于12的小时数减去12所得的差作为小时数,小于等于12的小时数和所有的分钟数都不变,最后将格式改写ⅩⅩ某时某分即可(横线上填表示时间段的词语)。
普通计时法和24时计时法时间对应图
钟表转的第一圈
钟表转的第二圈
凌晨早上上午中午下午
晚上
普通计时法: 1、2、3、4、5、6、7、8、9、10、11、12、 1、2、 3、 4、 5、 6、 7、 8、 9、 10、11、12、
24时计时法:1、2、3、4、5、6、7、8、9、10、11、12、
13、14、15、16、17、18、19、20、21、22、23、24
转换方法:
普通计时法转换成24时计时法可分为两段:
钟表转第一圈的时间转换成24时计时法时,小时数和分钟数都不用变,只要将普通计时法前面表示时间段的词语去掉,并将格式改写成00︰00或某时某分即可。
钟表转第二圈的时间转换成24时计时法时,小时数要加上12,分钟数不用变,并将普通计时法前面表示时间段的词语去掉,最后将格式改写成00︰00或某时某分即可。
24时计时法转换成普通计时法:
首先在时间的前面加上表示时间段的词语,其次把大于12的小时数减去12所得的差作为小时数,小于等于12的小时数和所有的分钟数都不变,最后将格式改写ⅩⅩ某时某分即可(横线上填表示时间段的词语)。
24时计时法与普通计时法对照表整理好在我们的日常生活中,计时法是非常重要的。
它帮助我们准确地安排时间,规划活动。
其中,24 时计时法和普通计时法是两种常见的计时方式。
接下来,让我们详细地了解一下它们,并整理出一份清晰的对照表。
首先,我们来看看 24 时计时法。
24 时计时法是把一天的时间从 0 时开始,一直到 24 时结束,依次进行计时。
这种计时法在很多领域都被广泛应用,比如交通运输、科学研究、军事等。
例如,火车的时刻表通常就是用 24 时计时法来表示的,“15:30 发车”就表示下午 3 点 30 分出发。
而普通计时法,也叫 12 时计时法,是把一天分为上午和下午两个时段,每个时段 12 个小时。
在表述时间时,需要加上“上午”“下午”“晚上”等词语来区分。
比如,“上午 8 点”“下午 2 点”“晚上 9 点”。
下面是为大家整理的 24 时计时法与普通计时法的对照表:| 24 时计时法|普通计时法||||| 00:00 |晚上 12 点(凌晨 0 点)|| 01:00 |凌晨 1 点|| 02:00 |凌晨 2 点|| 04:00 |凌晨 4 点|| 05:00 |凌晨 5 点|| 06:00 |早上 6 点|| 07:00 |早上 7 点|| 08:00 |早上 8 点|| 09:00 |上午 9 点|| 10:00 |上午 10 点|| 11:00 |上午 11 点|| 12:00 |中午 12 点|| 13:00 |下午 1 点|| 14:00 |下午 2 点|| 15:00 |下午 3 点|| 16:00 |下午 4 点|| 17:00 |下午 5 点|| 18:00 |下午 6 点|| 19:00 |晚上 7 点|| 21:00 |晚上 9 点|| 22:00 |晚上 10 点|| 23:00 |晚上 11 点|通过这个对照表,我们可以更清晰地看到两种计时法之间的转换关系。
在实际生活中,我们需要根据不同的场景和需求来选择使用哪种计时法。
普通计时法和24时计时法时间对应图
钟表转的第一圈钟表转的第二圈
凌晨早上上午中午下午
晚上
普通计时法: 1、2、3、4、5、6、7、8、9、10、11、12、 1、 2、 3、 4、 5、 6、 7、 8、 9、 10、11、12、
24时计时法:1、2、3、4、5、6、7、8、9、10、11、12、 13、14、15、16、17、18、19、20、21、22、23、24
转换方法:
普通计时法转换成24时计时法可分为两段:
钟表转第一圈的时间转换成24时计时法时,小时数和分钟数都不用变,只要将普通计时法前面表示时间段的词语去掉,并将格式改写成00︰00或某时某分即可。
钟表转第二圈的时间转换成24时计时法时,小时数要加上12,分钟数不用变,并将普通计时法前面表示时间段的词语去掉,最后将格式改写成00︰00或某时某分即可。
24时计时法转换成普通计时法:
首先在时间的前面加上表示时间段的词语,其次把大于12的小时数减去12所得的差作为小时数,小于等于12的小时数和所有的分钟数都不变,最后将格式改写ⅩⅩ某时某分即可(横线上填表示时间段的词语)。
普通计时法和24时计时法1. 用普通计时法表示时刻。
0:00——凌晨0:00 13:00——下午1:001:00——凌晨1:00 14:00——下午2:002:00——凌晨2:00 15:00--下午3:003:00——凌晨3:00 16:00——下午4:004:00——凌晨4:00 17:00——下午5:005:00--凌晨5:00 18:00--下午6:006:00——凌晨6:00 19:00—-晚上7:007:00-—早晨7:00 20:00——晚上8:008:00—-早晨8:00 21:00—-晚上9:009:00--上午9:00 22:00—-晚上10:0010:00——上午10:00 23:00—-晚上11:0011:00-—上午11:00 24:00——晚上12:00(半夜0:00) 12:00——中午12:00用普通计时法表示时刻时,时刻前面都要写上什么时候几点,例如:中午12:00,晚上12:00.2. 用24时计时法表示下面时刻。
凌晨0:00——0:00 下午1:00——13:00凌晨1:00——1:00 下午2:00——14:00凌晨2:00——2:00 下午3:00——15:00凌晨3:00——3:00 下午4:00-—16:00凌晨4:00-—4:00 下午5:00——17:00凌晨5:00——5:00 下午6:00-—18:00凌晨6:00——6:00 晚上7:00——19:00早晨7:00—-7:00 晚上8:00——20:00早晨8:00——8:00 晚上9:00—-21:00上午9:00——9:00 晚上10:00——22:00上午10:00-—10:00 晚上11:00--23:00上午11:00—-11:00 晚上12:00—-24:00(0:00)中午12:00——12:0000—03(拂晓) 03—06(黎明) 06-09(清晨) 09—12(上午) 12-15(中午) 15—18(下午) 18—21(傍晚) 21—00(深夜/午夜)。
普通计时法和时计时法 The following text is amended on 12 November 2020.普通计时法和24时计时法普通计时法(12时记时法)后半天:中午12时——晚上12时(凌晨0时)24时计时法:0时——24时1. 用普通计时法表示时刻。
0:00——凌晨0:00 13:00——下午1:001:00——凌晨1:00 14:00——下午2:002:00——凌晨2:00 15:00——下午3:003:00——凌晨3:00 16:00——下午4:004:00——凌晨4:00 17:00——下午5:005:00——凌晨5:00 18:00——下午6:006:00——凌晨6:00 19:00——晚上7:00 7:00——早晨7:00 20:00——晚上8:008:00——早晨8:00 21:00——晚上9:009:00——上午9:00 22:00——晚上10:0010:00——上午10:00 23:00——晚上11:0011:00——上午11:00 24:00——晚上12:00(半夜0:00)12:00——中午12:00用普通计时法表示时刻时,时刻前面都要写上什么时候几点,例如:中午12:00,晚上12:00。
2. 用24时计时法表示下面时刻。
凌晨0:00——0:00 下午1:00——13:00凌晨1:00——1:00 下午2:00——14:00凌晨2:00——2:00 下午3:00——15:00凌晨3:00——3:00 下午4:00——16:00凌晨4:00——4:00 下午5:00——17:00凌晨5:00——5:00 下午6:00——18:00凌晨6:00——6:00 晚上7:00——19:00早晨7:00——7:00 晚上8:00——20:00早晨8:00——8:00 晚上9:00——21:00上午9:00——9:00 晚上10:00——22:00上午10:00——10:00 晚上11:00——23:00上午11:00——11:00 晚上12:00——24:00(0:00)中午12:00——12:0000-03(拂晓) 03-06() 06-09(清晨) 09-12(上午) 12-15(中午) 15-18(下午) 18-21(傍晚) 21-00(深夜/午夜)。