2008年辽宁省高考文科数学试卷及答案
- 格式:doc
- 大小:772.00 KB
- 文档页数:8
2008年普通高等学校招生全国统一考试(新课标全国卷)一、选择题:本大题共12小题,每小题5分,满分60分。
在每小题给出的四个选项中, 只有一项是符合题目要求的。
1、已知集合M ={ x|(x + 2)(x -1) < 0 },N ={ x| x + 1 < 0 },则M ∩N =( ) A. (-1,1) B. (-2,1)C. (-2,-1)D. (1,2)2、双曲线221102x y -=的焦距为( )3、已知复数1z i =-,则21z z =-( ) A. 2B. -2C. 2iD. -2i4、设()ln f x x x =,若0'()2f x =,则0x =( )A. 2e B. e C. ln 22D. ln 25、已知平面向量a r =(1,-3),b r =(4,-2),a b λ+r r 与a r垂直,则λ是( )A. -1B. 1C. -2D. 26、右面的程序框图,如果输入三个实数a 、b 、c ,要求输出这三个数中最大的数, 那么在空白的判断框中,应该填入下面四个选项中的( ) A. c > xB. x > cC. c > bD. b > c7、已知1230a a a >>>,则使得2(1)1i a x -<(1,2,3)i =都成立的x 取值范围是( )A.(0,11a ) B. (0,12a ) C. (0,31a ) D. (0,32a )8、设等比数列{}n a 的公比2q =,前n 项和为n S ,则42S a =( ) A. 2 B. 4 C.152D.1729、平面向量a r ,b r共线的充要条件是( )A. a r ,b r 方向相同B. a r ,b r 两向量中至少有一个为零向量C. R λ∃∈, b a λ=r rD. 存在不全为零的实数1λ,2λ,120a b λλ+=r r r10、点P (x ,y )在直线4x + 3y = 0上,且满足-14≤x -y ≤7,则点P 到坐标原点距离的取值范围是( ) A. [0,5]B. [0,10]C. [5,10]D. [5,15]11、函数()cos 22sin f x x x =+的最小值和最大值分别为( )A. -3,1B. -2,2C. -3,32 D. -2,3212、已知平面α⊥平面β,α∩β= l ,点A ∈α,A ∉l ,直线AB ∥l ,直线AC ⊥l ,直线m ∥α,m ∥β,则下列四种位置关系中,不一定...成立的是( ) A. AB ∥m B. AC ⊥m C. AB ∥βD. AC ⊥β二、填空题:本大题共4小题,每小题5分,满分20分。
2008 年全国统一高考数学试卷(文科)(全国卷Ⅱ)一、选择题(共12 小题,每小题5 分,满分60 分)1.(5 分)若sinα<0 且tanα>0,则α是()A.第一象限角B.第二象限角C.第三象限角D.第四象限角2.(5 分)设集合M={m∈Z|﹣3<m<2},N={n∈Z|﹣1≤n≤3},则M∩N=()A.{0,1} B.{﹣1,0,1}C.{0,1,2} D.{﹣1,0,1,2}3.(5 分)原点到直线x+2y﹣5=0 的距离为()A.1 B.C.2D.4.(5分)函数f(x)=﹣x 的图象关于()A.y 轴对称B.直线y=﹣x 对称C.坐标原点对称D.直线y=x 对称5.(5 分)若x∈(e﹣1,1),a=lnx,b=2lnx,c=ln3x,则()A.a<b<c B.c<a<b C.b<a<c D.b<c<a6.(5 分)设变量x,y 满足约束条件:,则z=x﹣3y 的最小值()A.﹣2 B.﹣4 C.﹣6 D.﹣87.(5 分)设曲线y=ax2在点(1,a)处的切线与直线2x﹣y﹣6=0 平行,则a= ()A.1 B.C.D.﹣18.(5 分)正四棱锥的侧棱长为,侧棱与底面所成的角为60°,则该棱锥的体积为()A.3 B.6 C.9 D.189.(5分)的展开式中x 的系数是()A.﹣4 B.﹣3 C.3 D.410.(5 分)函数f(x)=sinx﹣cosx 的最大值为()A.1 B.C.D.211.(5 分)设△ABC 是等腰三角形,∠ABC=120°,则以A,B 为焦点且过点C 的双曲线的离心率为()A.B.C.D.12.(5 分)已知球的半径为2,相互垂直的两个平面分别截球面得两个圆,若两圆的公共弦长为2,则两圆的圆心距等于()A.1 B.C.D.2二、填空题(共4 小题,每小题5 分,满分20 分)13.(5分)设向量,若向量与向量共线,则λ=.14.(5 分)从10 名男同学,6 名女同学中选3 名参加体能测试,则选到的3 名同学中既有男同学又有女同学的不同选法共有种(用数字作答)15.(5 分)已知F 是抛物线C:y2=4x 的焦点,A,B 是C 上的两个点,线段AB 的中点为M(2,2),则△ABF 的面积等于.16.(5 分)平面内的一个四边形为平行四边形的充要条件有多个,如两组对边分别平行,类似地,写出空间中的一个四棱柱为平行六面体的两个充要条件:充要条件①;充要条件②.(写出你认为正确的两个充要条件)三、解答题(共6 小题,满分70 分)17.(10 分)在△ABC 中,cosA=﹣,cosB=.(I)求sinC 的值;(II)设BC=5,求△ABC 的面积.18.(12 分)等差数列{a n}中,a4=10 且a3,a6,a10 成等比数列,求数列{a n}前20 项的和S20.19.(12 分)甲、乙两人进行射击比赛,在一轮比赛中,甲、乙各射击一发子弹.根据以往资料知,甲击中8 环,9 环,10 环的概率分别为0.6,0.3,0.1,乙击中8 环,9 环,10 环的概率分别为0.4,0.4,0.2.设甲、乙的射击相互独立.(I)求在一轮比赛中甲击中的环数多于乙击中环数的概率;(II)求在独立的三轮比赛中,至少有两轮甲击中的环数多于乙击中环数的概率.20.(12 分)如图,正四棱柱ABCD﹣A1B1C1D1 中,AA1=2AB=4,点E 在CC1 上且C1E=3EC.(I)证明:A1C⊥平面BED;(II)求二面角A1﹣DE﹣B 的大小.21.(12 分)设a∈R,函数f(x)=ax3﹣3x2.(I)若x=2 是函数y=f(x)的极值点,求a 的值;(II)若函数g(x)=f(x)+f′(x),x∈[0,2],在x=0 处取得最大值,求a 的取值范围.22.(12 分)设椭圆中心在坐标原点,A(2,0),B(0,1)是它的两个顶点,直线y=kx(k>0)与AB 相交于点D,与椭圆相交于E、F 两点.(I)若,求k 的值;(II)求四边形AEBF 面积的最大值.2008 年全国统一高考数学试卷(文科)(全国卷Ⅱ)参考答案与试题解析一、选择题(共12 小题,每小题5 分,满分60 分)1.(5 分)若sinα<0 且tanα>0,则α是()A.第一象限角B.第二象限角C.第三象限角D.第四象限角【考点】GC:三角函数值的符号.【分析】由正弦和正切的符号确定角的象限,当正弦值小于零时,角在第三四象限,当正切值大于零,角在第一三象限,要同时满足这两个条件,角的位置是第三象限,实际上我们解的是不等式组.【解答】解:sinα<0,α在三、四象限;tanα>0,α在一、三象限.故选:C.【点评】记住角在各象限的三角函数符号是解题的关键,可用口诀帮助记忆:一全部,二正弦,三切值,四余弦,它们在上面所述的象限为正2.(5 分)设集合M={m∈Z|﹣3<m<2},N={n∈Z|﹣1≤n≤3},则M∩N=()A.{0,1} B.{﹣1,0,1} C.{0,1,2} D.{﹣1,0,1,2}【考点】1E:交集及其运算.【分析】由题意知集合M={m∈z|﹣3<m<2},N={n∈z|﹣1≤n≤3},然后根据交集的定义和运算法则进行计算.【解答】解:∵M={﹣2,﹣1,0,1},N={﹣1,0,1,2,3},∴M∩N={﹣1,0,1},故选:B.【点评】此题主要考查集合和交集的定义及其运算法则,是一道比较基础的题.3.(5 分)原点到直线x+2y﹣5=0 的距离为()A.1 B.C.2 D.【考点】IT:点到直线的距离公式.【分析】用点到直线的距离公式直接求解.【解答】解析:.故选:D.【点评】点到直线的距离公式是高考考点,是同学学习的重点,本题是基础题.4.(5 分)函数f(x)=﹣x 的图象关于()A.y 轴对称B.直线y=﹣x 对称C.坐标原点对称D.直线y=x 对称【考点】3M:奇偶函数图象的对称性.【分析】根据函数f(x)的奇偶性即可得到答案.【解答】解:∵f(﹣x)=﹣+x=﹣f(x)∴是奇函数,所以f(x)的图象关于原点对称故选:C.【点评】本题主要考查函数奇偶性的性质,是高考必考题型.5.(5 分)若x∈(e﹣1,1),a=lnx,b=2lnx,c=ln3x,则()A.a<b<c B.c<a<b C.b<a<c D.b<c<a【考点】4M:对数值大小的比较.【分析】根据函数的单调性,求a 的范围,用比较法,比较a、b 和a、c 的大小.【解答】解:因为a=lnx 在(0,+∞)上单调递增,故当x∈(e﹣1,1)时,a∈(﹣1,0),于是b﹣a=2lnx﹣lnx=lnx<0,从而b<a.又a﹣c=lnx﹣ln3x=a(1+a)(1﹣a)<0,从而a<c.综上所述,b<a<c.故选:C.【点评】对数值的大小,一般要用对数的性质,比较法,以及0 或1 的应用,本题是基础题.6.(5 分)设变量x,y 满足约束条件:,则z=x﹣3y 的最小值()A.﹣2 B.﹣4 C.﹣6 D.﹣8【考点】7C:简单线性规划.【专题】11:计算题.【分析】我们先画出满足约束条件:的平面区域,求出平面区域的各角点,然后将角点坐标代入目标函数,比较后,即可得到目标函数z=x﹣3y 的最小值.【解答】解:根据题意,画出可行域与目标函数线如图所示,由图可知目标函数在点(﹣2,2)取最小值﹣8故选:D.【点评】用图解法解决线性规划问题时,分析题目的已知条件,找出约束条件和目标函数是关键,可先将题目中的量分类、列出表格,理清头绪,然后列出不等式组(方程组)寻求约束条件,并就题目所述找出目标函数.然后将可行域各角点的值一一代入,最后比较,即可得到目标函数的最优解.7.(5 分)设曲线y=ax2在点(1,a)处的切线与直线2x﹣y﹣6=0 平行,则a= ()A.1 B.C.D.﹣1【考点】6H:利用导数研究曲线上某点切线方程.【分析】利用曲线在切点处的导数为斜率求曲线的切线斜率;利用直线平行它们的斜率相等列方程求解.【解答】解:y'=2ax,于是切线的斜率k=y'|x=1=2a,∵切线与直线2x﹣y﹣6=0 平行∴有2a=2∴a=1故选:A.【点评】本题考查导数的几何意义:曲线在切点处的导数值是切线的斜率.8.(5 分)正四棱锥的侧棱长为,侧棱与底面所成的角为60°,则该棱锥的体积为()A.3 B.6 C.9 D.18【考点】LF:棱柱、棱锥、棱台的体积.【专题】11:计算题.【分析】先求正四棱锥的高,再求正四棱锥的底面边长,然后求其体积.【解答】解:高,又因底面正方形的对角线等于,∴底面积为,∴体积故选:B.【点评】本题考查直线与平面所成的角,棱锥的体积,注意在底面积的计算时,要注意多思则少算.9.(5 分)的展开式中x 的系数是()A.﹣4 B.﹣3 C.3 D.4【考点】DA:二项式定理.【分析】先利用平方差公式化简代数式,再利用二项展开式的通项公式求出第r+1 项,令x 的指数为1 求得展开式中x 的系数.【解答】解:=(1﹣x)4(1﹣x)4的展开式的通项为T r+1=C4r(﹣x)r=(﹣1)r C4r x r令r=1 得展开式中x 的系数为﹣4故选:A.【点评】本题考查二项展开式的通项公式是解决二项展开式的特定想问题的工具.10.(5 分)函数f(x)=sinx﹣cosx 的最大值为()A.1 B.C.D.2【考点】H4:正弦函数的定义域和值域;HJ:函数y=Asin(ωx+φ)的图象变换.【专题】11:计算题.【分析】根据两角和与差的正弦公式进行化简,即可得到答案.【解答】解:,所以最大值是故选:B.【点评】本题主要考查两角和与差的正弦公式和正弦函数的最值问题.三角函数中化为一个角的三角函数问题是三角函数在高考中的热点问题.11.(5 分)设△ABC 是等腰三角形,∠ABC=120°,则以A,B 为焦点且过点C 的双曲线的离心率为()A.B.C.D.【考点】KC:双曲线的性质.【专题】11:计算题;16:压轴题.【分析】根据题设条件可知2c=|AB|,所以,由双曲线的定义能够求出2a,从而导出双曲线的离心率.【解答】解:由题意2c=|AB|,所以,由双曲线的定义,有,∴故选:B.【点评】本题考查双曲线的有关性质和双曲线定义的应用.12.(5 分)已知球的半径为2,相互垂直的两个平面分别截球面得两个圆,若两圆的公共弦长为2,则两圆的圆心距等于()A.1 B.C.D.2【考点】LG:球的体积和表面积.【专题】11:计算题;5F:空间位置关系与距离.【分析】求解本题,可以从三个圆心上找关系,构建矩形利用对角线相等即可求解出答案.【解答】解:设两圆的圆心分别为O1、O2,球心为O,公共弦为AB,其中点为E,则OO1EO2 为矩形,于是对角线O1O2=OE,而OE==,∴O1O2=故选:C.【点评】本题考查球的有关概念,两平面垂直的性质,是基础题.10 610 6 10 6 10 6二、填空题(共 4 小题,每小题 5 分,满分 20 分) 13.(5 分)设向量 ,若向量与向量共线,则 λ= 2 .【考点】96:平行向量(共线).【分析】用向量共线的充要条件:它们的坐标交叉相乘相等列方程解. 【解答】解:∵a=(1,2),b=(2,3), ∴λα+b=(λ,2λ)+(2,3)=(λ+2,2λ+3). ∵向量 λα+b 与向量 c=(﹣4,﹣7)共线, ∴﹣7(λ+2)+4(2λ+3)=0, ∴λ=2. 故答案为 2【点评】考查两向量共线的充要条件.14.(5 分)从 10 名男同学,6 名女同学中选 3 名参加体能测试,则选到的 3 名同学中既有男同学又有女同学的不同选法共有 420种(用数字作答)【考点】D5:组合及组合数公式. 【专题】11:计算题;32:分类讨论.【分析】由题意分类:①男同学选 1 人,女同学中选 2 人,确定选法;②男同学 选 2 人,女同学中选 1 人,确定选法;然后求和即可.【解答】解:由题意共有两类不同选法,①男同学选 1 人,女同学中选 2 人,不同选法 C 1C 2=150; ②男同学选 2 人,女同学中选 1 人,不同选法 C 2C 1=270;共有:C 1C 2+C 2C 1=150+270=420 故答案为:420【点评】本题考查组合及组合数公式,考查分类讨论思想,是基础题.15.(5 分)已知 F 是抛物线 C :y 2=4x 的焦点,A ,B 是 C 上的两个点,线段 AB, 的中点为 M (2,2),则△ABF 的面积等于 2 .【考点】K8:抛物线的性质.【专题】5D :圆锥曲线的定义、性质与方程. 【分析】设 A (x 1,y 1),B (x 2,y 2),则=4x 2,两式相减可得:(y 1+y 2)(y 1﹣y 2)=4(x 1﹣x 2),利用中点坐标公式、斜率计算公式可得 k AB ,可得直线 AB 的方程为:y ﹣2=x ﹣2,化为 y=x ,与抛物线方程联立可得 A ,B 的坐标,利用弦长公式可得|AB |,再利用点到直线的距离公式可得点 F 到直线 AB 的距离 d ,利用三角形面积公式求得答案.【解答】解:∵F 是抛物线 C :y 2=4x 的焦点,∴F (1,0).设 A (x 1,y 1),B (x 2,y 2),则, =4x 2,两式相减可得:(y 1+y 2)(y 1﹣y 2)=4(x 1﹣x 2), ∵线段 AB 的中点为 M (2,2),∴y 1+y 2=2×2=4,又=k AB ,4k AB =4,解得 k AB =1,∴直线 AB 的方程为:y ﹣2=x ﹣2,化为 y=x ,联立 ,解得,,∴|AB |==4.点 F 到直线 AB 的距离 d=,∴S △ABF ===2,故答案为:2.【点评】本题主要考查了直线与抛物线相交问题弦长问题、“点差法”、点到直线的距离公式、三角形的面积计算公式,考查了推理能力与计算能力,属于难题.16.(5 分)平面内的一个四边形为平行四边形的充要条件有多个,如两组对边分别平行,类似地,写出空间中的一个四棱柱为平行六面体的两个充要条件:充要条件①三组对面分别平行的四棱柱为平行六面体;充要条件②平行六面体的对角线交于一点,并且在交点处互相平分;.(写出你认为正确的两个充要条件)【考点】29:充分条件、必要条件、充要条件;L2:棱柱的结构特征.【专题】16:压轴题;21:阅读型.【分析】本题考查的知识点是充要条件的定义及棱柱的结构特征及类比推理,由平行六面体与平行四边形的定义相似,故我们可以类比平行四边形的性质,类比推断平行六面体的性质.【解答】解:类比平行四边形的性质:两组对边分别平行的四边形为平行四边形,则我们类比得到:三组对面分别平行的四棱柱为平行六面体.类比平行四边形的性质:两条对角线互相平分,则我们类比得到:平行六面体的对角线交于一点,并且在交点处互相平分;故答案为:三组对面分别平行的四棱柱为平行六面体;平行六面体的对角线交于一点,并且在交点处互相平分;【点评】类比推理的一般步骤是:(1)找出两类事物之间的相似性或一致性;(2)用一类事物的性质去推测另一类事物的性质,得出一个明确的命题(猜想).三、解答题(共6 小题,满分70 分)17.(10 分)在△ABC 中,cosA=﹣,cosB=.(I)求sinC 的值;(II)设BC=5,求△ABC 的面积.【考点】GG:同角三角函数间的基本关系;GP:两角和与差的三角函数.【专题】11:计算题.【分析】(Ⅰ)先利用同角三角函数的基本关系求得sinA 和sinB 的值,进而根据sinC=sin(A+B)利用正弦的两角和公式求得答案.(Ⅱ)先利用正弦定理求得AC,进而利用三角形面积公式求得三角形的面积.【解答】解:(Ⅰ)∵在△ABC 中,A+B+C=180°,sinC=sin(180﹣(A+B))=sin(A+B)由,得,由,得.所以.(Ⅱ)由正弦定理得.所以△ABC 的面积S=BC•AC•sinC=×5××=.【点评】本题主要考查了同角三角函数的基本关系的应用和正弦的两角和公式的应用.考查了学生对三角函数基础知识的理解和灵活运用.18.(12 分)等差数列{a n}中,a4=10 且a3,a6,a10 成等比数列,求数列{a n}前20 项的和S20.【考点】85:等差数列的前n 项和.【专题】54:等差数列与等比数列.【分析】先设数列{a n}的公差为d,根据a3,a6,a10 成等比数列可知a3a10=a62,把d 和a4 代入求得d 的值.再根据a4 求得a1,最后把d 和a1 代入S20 即可得到答案.【解答】解:设数列{a n}的公差为d,则a3=a4﹣d=10﹣d,a6=a4+2d=10+2d,a10=a4+6d=10+6d.由a3,a6,a10 成等比数列得a3a10=a62,即(10﹣d)(10+6d)=(10+2d)2,整理得10d2﹣10d=0,解得d=0 或d=1.当d=0 时,S20=20a4=200.当d=1 时,a1=a4﹣3d=10﹣3×1=7,于是=20×7+190=330.【点评】本题主要考查了等差数列和等比数列的性质.属基础题.19.(12 分)甲、乙两人进行射击比赛,在一轮比赛中,甲、乙各射击一发子弹.根据以往资料知,甲击中8 环,9 环,10 环的概率分别为0.6,0.3,0.1,乙击中8 环,9 环,10 环的概率分别为0.4,0.4,0.2.设甲、乙的射击相互独立.(I)求在一轮比赛中甲击中的环数多于乙击中环数的概率;(II)求在独立的三轮比赛中,至少有两轮甲击中的环数多于乙击中环数的概率.【考点】C8:相互独立事件和相互独立事件的概率乘法公式.【专题】11:计算题.【分析】(Ⅰ)甲、乙的射击相互独立,在一轮比赛中甲击中的环数多于乙击中环数包括三种情况,用事件分别表示为A=A1•B1+A2•B1+A2•B2,且这三种情况是互斥的,根据互斥事件和相互独立事件的概率公式得到结果.(Ⅱ)由题意知在独立的三轮比赛中,至少有两轮甲击中的环数多于乙击中环数表示三轮中恰有两轮或三轮甲击中环数多于乙击中的环数,这两种情况是互斥的,根据互斥事件和相互独立事件的概率公式得到结果.【解答】解:记A1,A2 分别表示甲击中9 环,10 环,B1,B2 分别表示乙击中8环,9 环,A 表示在一轮比赛中甲击中的环数多于乙击中的环数,B 表示在三轮比赛中至少有两轮甲击中的环数多于乙击中的环数,C1,C2 分别表示三轮中恰有两轮,三轮甲击中环数多于乙击中的环数.(I)甲、乙的射击相互独立在一轮比赛中甲击中的环数多于乙击中环数包括三种情况,用事件分别表示为A=A1•B1+A2•B1+A2•B2,且这三种情况是互斥的,根据互斥事件和相互独立事件的概率公式得到∴P(A)=P(A1•B1+A2•B1+A2•B2)=P(A1•B1)+P(A2•B1)+P(A2•B2)=P(A1)•P(B1)+P(A2)•P(B1)+P(A2)•P(B2)=0.3×0.4+0.1×0.4+0.1×0.4=0.2.(II)由题意知在独立的三轮比赛中,至少有两轮甲击中的环数多于乙击中环数表示三轮中恰有两轮或三轮甲击中环数多于乙击中的环数,这两种情况是互斥的,即B=C1+C2,∵P(C1)=C32[P(A)]2[1﹣P(A)]=3×0.22×(1﹣0.2)=0.096,P(C2)=[P(A)]3=0.23=0.008,∴P(B)=P(C1+C2)=P(C1)+P(C2)=0.096+0.008=0.104.【点评】考查运用概率知识解决实际问题的能力,包括应用互斥事件和相互独立事件的概率,相互独立事件是指两事件发生的概率互不影响,这是可以作为一个解答题的题目,是一个典型的概率题.20.(12 分)如图,正四棱柱ABCD﹣A1B1C1D1 中,AA1=2AB=4,点E 在CC1 上且C1E=3EC.(I)证明:A1C⊥平面BED;(II)求二面角A1﹣DE﹣B 的大小.【考点】LW:直线与平面垂直;MJ:二面角的平面角及求法.【专题】14:证明题;15:综合题;35:转化思想.【分析】法一:(Ⅰ)要证A1C⊥平面BED,只需证明A1C 与平面BED 内两条相交直线BD,EF 都垂直;(Ⅱ)作GH⊥DE,垂足为H,连接A1H,说明∠A1HG 是二面角A1﹣DE﹣B 的平面角,然后解三角形,求二面角A1﹣DE﹣B 的大小.法二:建立空间直角坐标系,(Ⅰ)求出,证明A1C⊥平面DBE.(Ⅱ)求出 平面 DA 1E 和平面 DEB 的法向量,求二者的数量积可求二面角 A 1﹣ DE ﹣B 的大小. 【解答】解:解法一:依题设知 AB=2,CE=1.(I ) 连接 AC 交 BD 于点 F ,则BD ⊥AC .由三垂线定理知,BD ⊥A 1C .(3 分)在平面 A 1CA 内,连接 EF 交 A 1C 于点 G , 由于,故 Rt △A 1AC ∽Rt △FCE ,∠AA 1C=∠CFE ,∠CFE 与∠FCA 1 互余.于是 A 1C ⊥EF .A 1C 与平面 BED 内两条相交直线 BD ,EF 都垂直,所以 A 1C ⊥平面 BED .(6 分)(II ) 作 GH ⊥DE ,垂足为 H ,连接 A 1H .由三垂线定理知 A 1H ⊥DE ,故∠A 1HG 是二面角 A 1﹣DE ﹣B 的平面角.(8 分),. ,又, ..所以二面角 A 1﹣DE ﹣B 的大小为.((12 分))解法二:以 D 为坐标原点,射线 DA 为 x 轴的正半轴,建立如图所示直角坐标系 D ﹣xyz .依题设,B (2,2,0),C (0,2,0),E (0,2,1),A 1(2,0,4).,.(3 分)(Ⅰ)因为,,故 A 1C ⊥BD ,A 1C ⊥DE . 又 DB ∩DE=D ,所以 A 1C ⊥平面 DBE .(6 分)(Ⅱ)设向量=(x ,y ,z )是平面 DA 1E 的法向量,则,.,.故2y+z=0,2x+4z=0.令y=1,则z=﹣2,x=4,=(4,1,﹣2).(9 分)等于二面角A1 ﹣DE﹣B 的平面角,所以二面角A1﹣DE﹣B 的大小为.(12分)【点评】本题考查直线与平面垂直的判定,二面角的求法,考查空间想象能力,逻辑思维能力,是中档题.21.(12 分)设a∈R,函数f(x)=ax3﹣3x2.(I)若x=2 是函数y=f(x)的极值点,求a 的值;(II)若函数g(x)=f(x)+f′(x),x∈[0,2],在x=0 处取得最大值,求a 的取值范围.【考点】6C:函数在某点取得极值的条件;6D:利用导数研究函数的极值;6E:利用导数研究函数的最值.【专题】16:压轴题.【分析】(Ⅰ)导函数在x=2 处为零求a,是必要不充分条件故要注意检验(Ⅱ)利用最大值g(0)大于等于g(2)求出a 的范围也是必要不充分条件注意检验【解答】解:(Ⅰ)f'(x)=3ax2﹣6x=3x(ax﹣2).因为x=2 是函数y=f(x)的极值点,所以f'(2)=0,即6(2a﹣2)=0,因此a=1.经验证,当a=1 时,x=2 是函数y=f(x)的极值点.(Ⅱ)由题设,g(x)=ax3﹣3x2+3ax2﹣6x=ax2(x+3)﹣3x(x+2).当g(x)在区间[0,2]上的最大值为g(0)时,g(0)≥g(2),即0≥20a﹣24.故得.反之,当时,对任意x ∈ [0 ,2] ,==≤0,而g(0)=0,故g(x)在区间[0,2]上的最大值为g(0).综上,a 的取值范围为.【点评】当函数连续且可导,极值点处的导数等于零是此点为极值点的必要不充分条件,所以解题时一定注意检验.22.(12 分)设椭圆中心在坐标原点,A(2,0),B(0,1)是它的两个顶点,直线y=kx(k>0)与AB 相交于点D,与椭圆相交于E、F 两点.(I)若,求k 的值;(II)求四边形AEBF 面积的最大值.【考点】96:平行向量(共线);KH:直线与圆锥曲线的综合.【专题】11:计算题;16:压轴题.【分析】(1)依题可得椭圆的方程,设直线AB,EF 的方程分别为x+2y=2,y=kx,D(x0,kx0),E(x1,kx1),F(x2,kx2),且x1,x2 满足方程(1+4k2)x2=4,进而求得x2 的表达式,进而根据求得x0 的表达式,由D 在AB 上知x0+2kx0=2,进而求得x0 的另一个表达式,两个表达式相等求得k.(Ⅱ)由题设可知|BO|和|AO|的值,设y1=kx1,y2=kx2,进而可表示出四边形AEBF 的面积进而根据基本不等式的性质求得最大值.【解答】解:(Ⅰ)依题设得椭圆的方程为,直线AB,EF 的方程分别为x+2y=2,y=kx(k>0).如图,设D(x0,kx0),E(x1,kx1),F(x2,kx2),其中x1<x2,且x1,x2 满足方程(1+4k2)x2=4,故.①由知x0﹣x1=6(x2﹣x0),得;由D 在AB 上知x0+2kx0=2,得.所以,化简得24k2﹣25k+6=0,解得或.(Ⅱ)由题设,|BO|=1,|AO|=2.由(Ⅰ)知,E(x1,kx1),F(x2,kx2),不妨设y1=kx1,y2=kx2,由①得x2>0,根据E 与F 关于原点对称可知y2=﹣y1>0,故四边形AEBF 的面积为S=S△OBE +S△OBF+S△OAE+S△OAF=•(﹣y1)==x2+2y2= = = ,当x2=2y2时,上式取等号.所以S 的最大值为.【点评】本题主要考查了直线与圆锥曲线的综合问题.直线与圆锥曲线的综合问题是支撑圆锥曲线知识体系的重点内容,问题的解决具有入口宽、方法灵活多样等,而不同的解题途径其运算量繁简差别很大.。
2008年全国统一高考数学试卷(文科)(全国卷Ⅱ)一、选择题(共12小题,每小题5分,满分60分)1.(5分)若sinα<0且tanα>0,则α是()A.第一象限角B.第二象限角C.第三象限角D.第四象限角2.(5分)设集合M={m∈Z|﹣3<m<2},N={n∈Z|﹣1≤n≤3},则M∩N=()A.{0,1}B.{﹣1,0,1}C.{0,1,2}D.{﹣1,0,1,2}3.(5分)原点到直线x+2y﹣5=0的距离为()A.1 B.C.2 D.4.(5分)函数f(x)=﹣x的图象关于()A.y轴对称B.直线y=﹣x对称 C.坐标原点对称D.直线y=x对称5.(5分)若x∈(e﹣1,1),a=lnx,b=2lnx,c=ln3x,则()A.a<b<c B.c<a<b C.b<a<c D.b<c<a6.(5分)设变量x,y满足约束条件:,则z=x﹣3y的最小值()A.﹣2 B.﹣4 C.﹣6 D.﹣87.(5分)设曲线y=ax2在点(1,a)处的切线与直线2x﹣y﹣6=0平行,则a=()A.1 B.C.D.﹣18.(5分)正四棱锥的侧棱长为,侧棱与底面所成的角为60°,则该棱锥的体积为()A.3 B.6 C.9 D.189.(5分)的展开式中x的系数是()A.﹣4 B.﹣3 C.3 D.410.(5分)函数f(x)=sinx﹣cosx的最大值为()A.1 B.C.D.211.(5分)设△ABC是等腰三角形,∠ABC=120°,则以A,B为焦点且过点C的双曲线的离心率为()A.B.C.D.12.(5分)已知球的半径为2,相互垂直的两个平面分别截球面得两个圆,若两圆的公共弦长为2,则两圆的圆心距等于()A.1 B.C.D.2二、填空题(共4小题,每小题5分,满分20分)13.(5分)设向量,若向量与向量共线,则λ=.14.(5分)从10名男同学,6名女同学中选3名参加体能测试,则选到的3名同学中既有男同学又有女同学的不同选法共有种(用数字作答)15.(5分)已知F是抛物线C:y2=4x的焦点,A,B是C上的两个点,线段AB 的中点为M(2,2),则△ABF的面积等于.16.(5分)平面内的一个四边形为平行四边形的充要条件有多个,如两组对边分别平行,类似地,写出空间中的一个四棱柱为平行六面体的两个充要条件:充要条件①;充要条件②.(写出你认为正确的两个充要条件)三、解答题(共6小题,满分70分)17.(10分)在△ABC中,cosA=﹣,cosB=.(Ⅰ)求sinC的值;(Ⅱ)设BC=5,求△ABC的面积.18.(12分)等差数列{a n}中,a4=10且a3,a6,a10成等比数列,求数列{a n}前20项的和S20.19.(12分)甲、乙两人进行射击比赛,在一轮比赛中,甲、乙各射击一发子弹.根据以往资料知,甲击中8环,9环,10环的概率分别为0.6,0.3,0.1,乙击中8环,9环,10环的概率分别为0.4,0.4,0.2.设甲、乙的射击相互独立.(Ⅰ)求在一轮比赛中甲击中的环数多于乙击中环数的概率;(Ⅱ)求在独立的三轮比赛中,至少有两轮甲击中的环数多于乙击中环数的概率.20.(12分)如图,正四棱柱ABCD﹣A1B1C1D1中,AA1=2AB=4,点E在CC1上且C1E=3EC.(Ⅰ)证明:A1C⊥平面BED;(Ⅱ)求二面角A1﹣DE﹣B的大小.21.(12分)设a∈R,函数f(x)=ax3﹣3x2.(Ⅰ)若x=2是函数y=f(x)的极值点,求a的值;(Ⅱ)若函数g(x)=f(x)+f′(x),x∈[0,2],在x=0处取得最大值,求a的取值范围.22.(12分)设椭圆中心在坐标原点,A(2,0),B(0,1)是它的两个顶点,直线y=kx(k>0)与AB相交于点D,与椭圆相交于E、F两点.(Ⅰ)若,求k的值;(Ⅱ)求四边形AEBF面积的最大值.2008年全国统一高考数学试卷(文科)(全国卷Ⅱ)参考答案与试题解析一、选择题(共12小题,每小题5分,满分60分)1.(5分)(2008•全国卷Ⅱ)若sinα<0且tanα>0,则α是()A.第一象限角B.第二象限角C.第三象限角D.第四象限角【分析】由正弦和正切的符号确定角的象限,当正弦值小于零时,角在第三四象限,当正切值大于零,角在第一三象限,要同时满足这两个条件,角的位置是第三象限,实际上我们解的是不等式组.【解答】解:sinα<0,α在三、四象限;tanα>0,α在一、三象限.故选:C.2.(5分)(2008•全国卷Ⅱ)设集合M={m∈Z|﹣3<m<2},N={n∈Z|﹣1≤n ≤3},则M∩N=()A.{0,1}B.{﹣1,0,1}C.{0,1,2}D.{﹣1,0,1,2}【分析】由题意知集合M={m∈z|﹣3<m<2},N={n∈z|﹣1≤n≤3},然后根据交集的定义和运算法则进行计算.【解答】解:∵M={﹣2,﹣1,0,1},N={﹣1,0,1,2,3},∴M∩N={﹣1,0,1},故选B.3.(5分)(2008•全国卷Ⅱ)原点到直线x+2y﹣5=0的距离为()A.1 B.C.2 D.【分析】用点到直线的距离公式直接求解.【解答】解析:.故选D.4.(5分)(2008•全国卷Ⅱ)函数f(x)=﹣x的图象关于()A.y轴对称B.直线y=﹣x对称 C.坐标原点对称D.直线y=x对称【分析】根据函数f(x)的奇偶性即可得到答案.【解答】解:∵f(﹣x)=﹣+x=﹣f(x)∴是奇函数,所以f(x)的图象关于原点对称故选C.5.(5分)(2008•全国卷Ⅱ)若x∈(e﹣1,1),a=lnx,b=2lnx,c=ln3x,则()A.a<b<c B.c<a<b C.b<a<c D.b<c<a【分析】根据函数的单调性,求a的范围,用比较法,比较a、b和a、c的大小.【解答】解:因为a=lnx在(0,+∞)上单调递增,故当x∈(e﹣1,1)时,a∈(﹣1,0),于是b﹣a=2lnx﹣lnx=lnx<0,从而b<a.又a﹣c=lnx﹣ln3x=a(1+a)(1﹣a)<0,从而a<c.综上所述,b<a<c.故选C6.(5分)(2008•全国卷Ⅱ)设变量x,y满足约束条件:,则z=x﹣3y的最小值()A.﹣2 B.﹣4 C.﹣6 D.﹣8【分析】我们先画出满足约束条件:的平面区域,求出平面区域的各角点,然后将角点坐标代入目标函数,比较后,即可得到目标函数z=x﹣3y的最小值.【解答】解:根据题意,画出可行域与目标函数线如图所示,由图可知目标函数在点(﹣2,2)取最小值﹣8故选D.7.(5分)(2008•全国卷Ⅱ)设曲线y=ax2在点(1,a)处的切线与直线2x﹣y ﹣6=0平行,则a=()A.1 B.C.D.﹣1【分析】利用曲线在切点处的导数为斜率求曲线的切线斜率;利用直线平行它们的斜率相等列方程求解.【解答】解:y'=2ax,于是切线的斜率k=y'|x=1=2a,∵切线与直线2x﹣y﹣6=0平行∴有2a=2∴a=1故选:A8.(5分)(2008•全国卷Ⅱ)正四棱锥的侧棱长为,侧棱与底面所成的角为60°,则该棱锥的体积为()A.3 B.6 C.9 D.18【分析】先求正四棱锥的高,再求正四棱锥的底面边长,然后求其体积.【解答】解:高,又因底面正方形的对角线等于,∴底面积为,∴体积故选B9.(5分)(2008•全国卷Ⅱ)的展开式中x的系数是()A.﹣4 B.﹣3 C.3 D.4【分析】先利用平方差公式化简代数式,再利用二项展开式的通项公式求出第r+1项,令x的指数为1求得展开式中x的系数.【解答】解:=(1﹣x)4=C4r(﹣x)r=(﹣1)r C4r x r(1﹣x)4的展开式的通项为T r+1令r=1得展开式中x的系数为﹣4故选项为A.10.(5分)(2008•全国卷Ⅱ)函数f(x)=sinx﹣cosx的最大值为()A.1 B.C.D.2【分析】根据两角和与差的正弦公式进行化简,即可得到答案.【解答】解:,所以最大值是故选B.11.(5分)(2008•全国卷Ⅱ)设△ABC是等腰三角形,∠ABC=120°,则以A,B 为焦点且过点C的双曲线的离心率为()A.B.C.D.【分析】根据题设条件可知2c=|AB|,所以,由双曲线的定义能够求出2a,从而导出双曲线的离心率.【解答】解:由题意2c=|AB|,所以,由双曲线的定义,有,∴故选B.12.(5分)(2008•全国卷Ⅱ)已知球的半径为2,相互垂直的两个平面分别截球面得两个圆,若两圆的公共弦长为2,则两圆的圆心距等于()A.1 B.C.D.2【分析】求解本题,可以从三个圆心上找关系,构建矩形利用对角线相等即可求解出答案.【解答】解:设两圆的圆心分别为O1、O2,球心为O,公共弦为AB,其中点为E,则OO1EO2为矩形,于是对角线O1O2=OE,而OE==,∴O1O2=故选C.二、填空题(共4小题,每小题5分,满分20分)13.(5分)(2008•全国卷Ⅱ)设向量,若向量与向量共线,则λ=2.【分析】用向量共线的充要条件:它们的坐标交叉相乘相等列方程解.【解答】解:∵a=(1,2),b=(2,3),∴λa+b=(λ,2λ)+(2,3)=(λ+2,2λ+3).∵向量λa+b与向量c=(﹣4,﹣7)共线,∴﹣7(λ+2)+4(2λ+3)=0,∴λ=2.故答案为214.(5分)(2008•全国卷Ⅱ)从10名男同学,6名女同学中选3名参加体能测试,则选到的3名同学中既有男同学又有女同学的不同选法共有420种(用数字作答)【分析】由题意分类:①男同学选1人,女同学中选2人,确定选法;②男同学选2人,女同学中选1人,确定选法;然后求和即可.【解答】解:由题意共有两类不同选法,①男同学选1人,女同学中选2人,不同选法C101C62=150;②男同学选2人,女同学中选1人,不同选法C102C61=270;共有:C101C62+C102C61=150+270=420故答案为:42015.(5分)(2008•全国卷Ⅱ)已知F是抛物线C:y2=4x的焦点,A,B是C上的两个点,线段AB的中点为M(2,2),则△ABF的面积等于2.【分析】设A(x1,y1),B(x2,y2),则,=4x2,两式相减可得:(y1+y2)(y1﹣y2)=4(x1﹣x2),利用中点坐标公式、斜率计算公式可得k AB,可得直线AB的方程为:y﹣2=x﹣2,化为y=x,与抛物线方程联立可得A,B的坐标,利用弦长公式可得|AB|,再利用点到直线的距离公式可得点F到直线AB的距离d,利用三角形面积公式求得答案.【解答】解:∵F是抛物线C:y2=4x的焦点,∴F(1,0).设A(x1,y1),B(x2,y2),则,=4x2,两式相减可得:(y1+y2)(y1﹣y2)=4(x1﹣x2),∵线段AB的中点为M(2,2),∴y1+y2=2×2=4,又=k AB,4k AB=4,解得k AB=1,∴直线AB的方程为:y﹣2=x﹣2,化为y=x,联立,解得,,∴|AB|==4.点F到直线AB的距离d=,===2,∴S△ABF故答案为:2.16.(5分)(2008•全国卷Ⅱ)平面内的一个四边形为平行四边形的充要条件有多个,如两组对边分别平行,类似地,写出空间中的一个四棱柱为平行六面体的两个充要条件:充要条件①三组对面分别平行的四棱柱为平行六面体;充要条件②平行六面体的对角线交于一点,并且在交点处互相平分;.(写出你认为正确的两个充要条件)【分析】本题考查的知识点是充要条件的定义及棱柱的结构特征及类比推理,由平行六面体与平行四边形的定义相似,故我们可以类比平行四边形的性质,类比推断平行六面体的性质.【解答】解:类比平行四边形的性质:两组对边分别平行的四边形为平行四边形,则我们类比得到:三组对面分别平行的四棱柱为平行六面体.类比平行四边形的性质:两条对角线互相平分,则我们类比得到:平行六面体的对角线交于一点,并且在交点处互相平分;故答案为:三组对面分别平行的四棱柱为平行六面体;平行六面体的对角线交于一点,并且在交点处互相平分;三、解答题(共6小题,满分70分)17.(10分)(2008•全国卷Ⅱ)在△ABC中,cosA=﹣,cosB=.(Ⅰ)求sinC的值;(Ⅱ)设BC=5,求△ABC的面积.【分析】(Ⅰ)先利用同角三角函数的基本关系求得sinA和sinB的值,进而根据sinC=sin(A+B)利用正弦的两角和公式求得答案.(Ⅱ)先利用正弦定理求得AC,进而利用三角形面积公式求得三角形的面积.【解答】解:(Ⅰ)∵在△ABC中,A+B+C=180°,sinC=sin(180﹣(A+B))=sin(A+B)由,得,由,得.所以.(Ⅱ)由正弦定理得.所以△ABC的面积==.18.(12分)(2008•全国卷Ⅱ)等差数列{a n}中,a4=10且a3,a6,a10成等比数列,求数列{a n}前20项的和S20.【分析】先设数列{a n}的公差为d,根据a3,a6,a10成等比数列可知a3a10=a62,把d和a4代入求得d的值.再根据a4求得a1,最后把d和a1代入S20即可得到答案.【解答】解:设数列{a n}的公差为d,则a3=a4﹣d=10﹣d,a6=a4+2d=10+2d,a10=a4+6d=10+6d.由a3,a6,a10成等比数列得a3a10=a62,即(10﹣d)(10+6d)=(10+2d)2,整理得10d2﹣10d=0,解得d=0或d=1.当d=0时,S20=20a4=200.当d=1时,a1=a4﹣3d=10﹣3×1=7,于是=20×7+190=330.19.(12分)(2008•全国卷Ⅱ)甲、乙两人进行射击比赛,在一轮比赛中,甲、乙各射击一发子弹.根据以往资料知,甲击中8环,9环,10环的概率分别为0.6,0.3,0.1,乙击中8环,9环,10环的概率分别为0.4,0.4,0.2.设甲、乙的射击相互独立.(Ⅰ)求在一轮比赛中甲击中的环数多于乙击中环数的概率;(Ⅱ)求在独立的三轮比赛中,至少有两轮甲击中的环数多于乙击中环数的概率.【分析】(Ⅰ)甲、乙的射击相互独立,在一轮比赛中甲击中的环数多于乙击中环数包括三种情况,用事件分别表示为A=A1•B1+A2•B1+A2•B2,且这三种情况是互斥的,根据互斥事件和相互独立事件的概率公式得到结果.(Ⅱ)由题意知在独立的三轮比赛中,至少有两轮甲击中的环数多于乙击中环数表示三轮中恰有两轮或三轮甲击中环数多于乙击中的环数,这两种情况是互斥的,根据互斥事件和相互独立事件的概率公式得到结果.【解答】解:记A1,A2分别表示甲击中9环,10环,B1,B2分别表示乙击中8环,9环,A表示在一轮比赛中甲击中的环数多于乙击中的环数,B表示在三轮比赛中至少有两轮甲击中的环数多于乙击中的环数,C1,C2分别表示三轮中恰有两轮,三轮甲击中环数多于乙击中的环数.(Ⅰ)甲、乙的射击相互独立在一轮比赛中甲击中的环数多于乙击中环数包括三种情况,用事件分别表示为A=A1•B1+A2•B1+A2•B2,且这三种情况是互斥的,根据互斥事件和相互独立事件的概率公式得到∴P(A)=P(A1•B1+A2•B1+A2•B2)=P(A1•B1)+P(A2•B1)+P(A2•B2)=P(A1)•P(B1)+P(A2)•P(B1)+P(A2)•P(B2)=0.3×0.4+0.1×0.4+0.1×0.4=0.2.(Ⅱ)由题意知在独立的三轮比赛中,至少有两轮甲击中的环数多于乙击中环数表示三轮中恰有两轮或三轮甲击中环数多于乙击中的环数,这两种情况是互斥的,即B=C1+C2,∵P(C1)=C32[P(A)]2[1﹣P(A)]=3×0.22×(1﹣0.2)=0.096,P(C2)=[P(A)]3=0.23=0.008,∴P(B)=P(C1+C2)=P(C1)+P(C2)=0.096+0.008=0.104.20.(12分)(2008•全国卷Ⅱ)如图,正四棱柱ABCD﹣A1B1C1D1中,AA1=2AB=4,点E在CC1上且C1E=3EC.(Ⅰ)证明:A1C⊥平面BED;(Ⅱ)求二面角A1﹣DE﹣B的大小.【分析】法一:(Ⅰ)要证A1C⊥平面BED,只需证明A1C与平面BED内两条相交直线BD,EF都垂直;(Ⅱ)作GH⊥DE,垂足为H,连接A1H,说明∠A1HG是二面角A1﹣DE﹣B的平面角,然后解三角形,求二面角A1﹣DE﹣B的大小.法二:建立空间直角坐标系,(Ⅰ)求出,证明A1C⊥平面DBE.(Ⅱ)求出平面DA1E和平面DEB的法向量,求二者的数量积可求二面角A1﹣DE﹣B的大小.【解答】解:解法一:依题设知AB=2,CE=1.(Ⅰ)连接AC交BD于点F,则BD⊥AC.由三垂线定理知,BD⊥A1C.(3分)在平面A1CA内,连接EF交A1C于点G,由于,故Rt△A1AC∽Rt△FCE,∠AA1C=∠CFE,∠CFE与∠FCA1互余.于是A1C⊥EF.A1C与平面BED内两条相交直线BD,EF都垂直,所以A1C⊥平面BED.(6分)(Ⅱ)作GH⊥DE,垂足为H,连接A1H.由三垂线定理知A1H⊥DE,故∠A1HG是二面角A1﹣DE﹣B的平面角.(8分),,.,.又,..所以二面角A1﹣DE﹣B的大小为.((12分))解法二:以D为坐标原点,射线DA为x轴的正半轴,建立如图所示直角坐标系D﹣xyz.依题设,B(2,2,0),C(0,2,0),E(0,2,1),A1(2,0,4).,.(3分)(Ⅰ)因为,,故A1C⊥BD,A1C⊥DE.又DB∩DE=D,所以A1C⊥平面DBE.(6分)(Ⅱ)设向量=(x,y,z)是平面DA1E的法向量,则,.故2y+z=0,2x+4z=0.令y=1,则z=﹣2,x=4,=(4,1,﹣2).(9分)等于二面角A1﹣DE﹣B的平面角,所以二面角A1﹣DE﹣B的大小为.(12分)21.(12分)(2008•全国卷Ⅱ)设a∈R,函数f(x)=ax3﹣3x2.(Ⅰ)若x=2是函数y=f(x)的极值点,求a的值;(Ⅱ)若函数g(x)=f(x)+f′(x),x∈[0,2],在x=0处取得最大值,求a的取值范围.【分析】(Ⅰ)导函数在x=2处为零求a,是必要不充分条件故要注意检验(Ⅱ)利用最大值g(0)大于等于g(2)求出a的范围也是必要不充分条件注意检验【解答】解:(Ⅰ)f'(x)=3ax2﹣6x=3x(ax﹣2).因为x=2是函数y=f(x)的极值点,所以f'(2)=0,即6(2a﹣2)=0,因此a=1.经验证,当a=1时,x=2是函数y=f(x)的极值点.(Ⅱ)由题设,g(x)=ax3﹣3x2+3ax2﹣6x=ax2(x+3)﹣3x(x+2).当g(x)在区间[0,2]上的最大值为g(0)时,g(0)≥g(2),即0≥20a﹣24.故得.反之,当时,对任意x∈[0,2],==≤0,而g(0)=0,故g(x)在区间[0,2]上的最大值为g(0).综上,a的取值范围为.22.(12分)(2008•全国卷Ⅱ)设椭圆中心在坐标原点,A(2,0),B(0,1)是它的两个顶点,直线y=kx(k>0)与AB相交于点D,与椭圆相交于E、F两点.(Ⅰ)若,求k的值;(Ⅱ)求四边形AEBF面积的最大值.【分析】(1)依题可得椭圆的方程,设直线AB,EF的方程分别为x+2y=2,y=kx,D(x0,kx0),E(x1,kx1),F(x2,kx2),且x1,x2满足方程(1+4k2)x2=4,进而求得x2的表达式,进而根据求得x0的表达式,由D在AB上知x0+2kx0=2,进而求得x0的另一个表达式,两个表达式相等求得k.(Ⅱ)由题设可知|BO|和|AO|的值,设y1=kx1,y2=kx2,进而可表示出四边形AEBF 的面积进而根据基本不等式的性质求得最大值.【解答】解:(Ⅰ)依题设得椭圆的方程为,直线AB,EF的方程分别为x+2y=2,y=kx(k>0).如图,设D(x0,kx0),E(x1,kx1),F(x2,kx2),其中x1<x2,且x1,x2满足方程(1+4k2)x2=4,故.①由知x0﹣x1=6(x2﹣x0),得;由D在AB上知x0+2kx0=2,得.所以,化简得24k2﹣25k+6=0,解得或.(Ⅱ)由题设,|BO|=1,|AO|=2.由(Ⅰ)知,E(x1,kx1),F(x2,kx2),不妨设y1=kx1,y2=kx2,由①得x2>0,根据E与F关于原点对称可知y2=﹣y1>0,故四边形AEBF的面积为S=S△OBE +S△OBF+S△OAE+S△OAF=•(﹣y1)==x2+2y2===,当x2=2y2时,上式取等号.所以S的最大值为.。
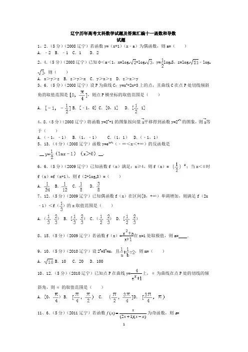
辽宁历年高考文科数学试题及答案汇编十一函数和导数试题1、2.(5分)(2008辽宁)若函数y=(x+1)(x ﹣a )为偶函数,则a=( ) A .﹣2 B .﹣1 C .1 D .22、4.(5分)(2008辽宁)已知0<a <1,x=log a+log a,y=log a 5,z=log a﹣log a,则( )A .x >y >zB .z >y >xC .y >x >zD .z >x >y3、6.(5分)(2008辽宁)设P 为曲线C :y=x 2+2x+3上的点,且曲线C 在点P 处切线倾斜角的取值范围是,则点P 横坐标的取值范围是( )A .B .[﹣1,0]C .[0,1]D .[,1]4、8.(5分)(2008辽宁)将函数y=2x+1的图象按向量平移得到函数y=2x+1的图象,则等于( ) A .(﹣1,﹣1) B .(1,﹣1) C .(1,1) D .(﹣1,1)5、13.(4分)(2008辽宁)函数y=e 2x+1(﹣∞<x <+∞)的反函数是.6、6.(5分)(2009辽宁)已知函数f (x )满足:x≥4,则f (x )=;当x <4时f (x )=f (x+1),则f (2+log 23)=( ) A .B .C .D .7、12.(5分)(2009辽宁)已知偶函数f (x )在区间[0,+∞)单调增加,则满足f (2x ﹣1)<f ()的x 取值范围是( )A .(,)B .[,)C .(,)D .[,)8、15.(5分)(2009辽宁)若函数f (x )=在x=1处取极值,则a= .9、10.(5分)(2010辽宁)设2a=5b=m ,且,则m=( )A .B .10C .20D .10010、12.(5分)(2010辽宁)已知点P 在曲线y=上,α为曲线在点P 处的切线的倾斜角,则α的取值范围是( ) A .[0,) B .C .D .11、6.(5分)(2011辽宁)若函数))(12()(a x x xx f -+=为奇函数,则a =( )A.21 B. 32 C. 43D. 1 12、11.(5分)(2011辽宁)函数)(x f 的定义域为R ,2)1(=-f ,对任意R ∈x ,2)(>'x f ,则42)(+>x x f 的解集为 ( )A.(1-,1)B.(1-,+∞)C.(∞-,1-)D.(∞-,+∞)13、16.(5分)(2011辽宁)已知函数()e 2x f x x a =-+有零点,则a 的取值范围是___________.14、8.(5分)(2012辽宁)函数y=x 2﹣lnx 的单调递减区间为( ) A . (﹣1,1]B . (0,1]C . [1,+∞)D . (0,+∞)15、7.(5分)(2013辽宁)已知函数f (x )=ln ﹣3x )+1,则f (lg2)+fA . ﹣1B . 0C . 1D . 2(a ﹣2)x ﹣a 2+8.设H 1(x )=max{f (x ),g (x )},H 2(x )=min{f (x ),g (x )}(max (p ,q )表示p ,q 中的较大值,min (p ,q )表示p ,q 中的较小值),记H 1(x )的最小值为A ,2 A . a ﹣2a ﹣16 B . a +2a ﹣16 C . ﹣16 D . 16 17、3.(5分)(2014辽宁)已知a=,b=log 2,c=log,则( ) A . a >b >cB . a >c >bC . c >b >aD . c >a >b18、10.(5分)(2014辽宁)已知f (x )为偶函数,当x≥0时,f (x )=,则不等式f (x ﹣1)≤的解集为( ) A .[,]∪[,] B .[﹣,﹣]∪[,] .[,]∪[,]D .[﹣,﹣]∪[,]. [﹣6,﹣]C20、6.(5分)(2014辽宁)对于c >0,当非零实数a ,b 满足4a 2﹣2ab+b 2﹣c=0且使|2a+b|最大时,++的最小值为 .解答题1、22.(14分)(2008辽宁)设函数f (x )=ax 3+bx 2﹣3a 2x+1(a ,b ∈R )在x=x 1,x=x 2处取得极值,且|x 1﹣x 2|=2.(Ⅰ)若a=1,求b 的值,并求f (x )的单调区间; (Ⅱ)若a >0,求b 的取值范围.2、21.(12分)(2009辽宁)设f (x )=e x (ax 2+x+1),且曲线y=f (x )在x=1处的切线与x 轴平行.(1)求a 的值,并讨论f (x )的单调性; (2)证明:当.3、21.(12分)(2010辽宁)已知函数f (x )=(a+1)lnx+ax 2+1. (Ⅰ)讨论函数f (x )的单调性;(Ⅱ)设a≤﹣2,证明:对任意x 1,x 2∈(0,+∞),|f (x 1)﹣f (x 2)|≥4|x 1﹣x 2|. 4、20.(12分)(2011辽宁)设函数)(x f =x +ax 2+b ln x ,曲线y =)(x f 过P (1,0),且在P 点处的切斜线率为2.(I )求a ,b 的值; (II )证明: )(x f ≤2x -2. 5、21.(12分)(2012辽宁)设,证明:(Ⅰ)当x >1时,f (x )<( x ﹣1); (Ⅱ)当1<x <3时,.6、21.(12分)(2013辽宁)(1)证明:当x ∈[0,1]时,;(2)若不等式对x ∈[0,1]恒成立,求实数a 的取值范7、21.(12分)(2014辽宁)已知函数f (x )=π(x ﹣cosx )﹣2sinx ﹣2,g (x )=(x ﹣π)+﹣1.证明:(Ⅰ)存在唯一x 0∈(0,),使f (x 0)=0;(Ⅱ)存在唯一x 1∈(,π),使g (x 1)=0,且对(Ⅰ)中的x 0,有x 0+x 1>π.答案1、解:f(1)=2(1﹣a),f(﹣1)=0∵f(x)是偶函数∴2(1﹣a)=0,∴a=1,故选C.2、解:x=log a+log a=log a,y=log a5=log a,z=log a﹣log a=log a,∵0<a<1,又<<,∴log a>log a>log a,即y>x>z.故选 C.3、解:设点P的横坐标为x0,∵y=x2+2x+3,∴y′=2x0+2,利用导数的几何意义得2x0+2=tanα(α为点P处切线的倾斜角),又∵,∴0≤2x0+2≤1,∴.故选:A.4、解:设=(h,k)则函数y=2x+1的图象平移向量后所得图象的解析式为y=2x﹣h+1+k ∴∴∴=(﹣1,﹣1)故选A5、解:∵,所以反函数是故答案为:.6、解:∵3<2+log23<4,所以f(2+log23)=f(3+log23)且3+log23>4∴f(2+log23)=f(3+log23)=故选A .7、解:∵f(x )是偶函数,故f (x )=f (|x|)∴f(2x ﹣1)=f (|2x ﹣1|),即f (|2x ﹣1|)<f (||) 又∵f(x )在区间[0,+∞)单调增加 得|2x ﹣1|<,解得<x <. 故选A . 8、解:f′(x )==.因为f (x )在1处取极值, 所以1是f′(x )=0的根, 将x=1代入得a=3. 故答案为3 9、解:,∴m 2=10,又∵m>0,∴.故选A10、解:因为y′===,∵,∴e x+e ﹣x+2≥4, ∴y′∈[﹣1,0) 即tan α∈[﹣1,0), ∵0≤α<π ∴≤α<π故选:D11、解:∵ 函数))(12()(a x x xx f -+=为奇函数,∴(2)(2),f f -=2(41)(2)a --+--即2=(41)(2)a +-,解得12a =.故选A12、解:设()()(24)g x f x x =-+ , ()()2g x f x ''-=.因为对任意x ∈R ,2)(>'x f ,所以对任意x ∈R ,()0g x '>,则函数g (x )在R 上单调递增.又因为g (-1)=(1)(24)0f ---+=,故()0g x >,即()24f x x >+的解集为(1,)-+∞ 故选B 。
绝密★启用前2008年全国各地高考试题文科数学(必修1+选修Ⅰ)本试卷第Ⅰ卷(选择题)和第Ⅱ卷(非选择题)两部分。
第Ⅰ卷1至2页。
第Ⅱ卷3至9页。
考试结束后,将本试卷和答题卡一并交回。
考生注意事项:1.答题前,考生在答题卡上务必用直径0.5毫米黑色墨水签字笔将自己的姓名、准考证号填写清楚,并贴好条形码。
请认真核准条形码上的准考证号、姓名和科目。
2.每小题选出答案后,用2B铅笔把答题卡上对应题目的答案标号涂黑,如需改动,用橡皮擦干净后,再选涂其他答案标号,在试题卷上作答无效.........。
3.本卷共12小题,每小题5分,共60分。
在每小题给出的四个选项中,只有一项是符合题目要求的。
参考公式:如果事件A、B互斥,那么球的表面积公式P(A+B)=P(A)+P(B) S=4ΠR2如果事件A、B相互独立,那么其中R表示球的半径P(A+B)=P(A)+P(B) S=4ΠR2P(A·B)=P(A)·P(B) 球的体积公式ΠR3如果事件A在一次试验中发生的概率是P,那么V=43n次独立重复试验中事件A恰好发生k次的概率其中R表示球的半径P n(k)=C k n P k(1-p)n-k(k=0,1,2,…,n)一、选择题(1)函数y(A){x|x≤1}(B) {x|x≥1}(C){x|x≥1或x≤0}(D) {x|0≤x≤1}(2)汽车经过启动、加速行驶、匀速行驶、减速行驶之后停车,若把这一过程中汽车的行驶路程s看作时间t的函数,其图像可能是(3)(1+2x )5的展开式中x 2的系数 (A)10(B)5 (C)52 (D)1(4)曲线y =x 3-2x +4在点(1,3)处的切线的倾斜角为 (A)30°(B)45°(C)60°(D)12°(5)在△ABC 中,AB =c ,AC =b .若点D 满足BC =2DC ,则AD = (A)c b 3132+ (B)b c 3235- (C)c b 3132- (D)c b 3231+ (6)y =(sin x -cos x )2-1是(A)最小正周期为2π的偶像函数(B)最小正周期为2π的奇函数(C)最小正周期为π的偶函数(D)最小正周期为π的奇函数(7)已知等比数列{a n }满足a 1+a 2=3,a 2+ a 3=6,则a 1= (A)64(B)81(C)128(D)243(8)若函数y =f (x )的图像与函数y =1n 1+x 的图像关于直线y =x 对称,则f (x )= (A)22e-x(B) x2e(C) 12e+x(D) 22e+x(9)为得到函数y =cos(x +3π)的图像,只需将函数y =sin x 的图像 (A)向左平移6π个长度单位 (B)向右平移6π个长度单位(C)向左平移65π 个长度单位 (D)向右平移65π个长度单位(10)若直线bya x +=1与图122=+y x 有公共点,则(A)122≤+b a (B) 122≥+b a (C)11122≤+b a (D) 11122≥+ba(11)已知三棱柱ABC -111C B A 的侧棱与底面边长都相等,1A 在底面ABC 内的射影为△ABC 的中心,则A 1B 与底面ABC 所成角的正弦值等于(A)31(B)32 (C)33 (D)32 (12)将1,2,3填入3×3的方格中,要求每行、第列都没有重复数字,下面是一种填法,则不同的填写方法共有 (A)6种 (B)12种 (C)24种 (D)48种2008年全国各地高考试题文科数学(必修+选修1)第Ⅱ卷注意事项:1.答题前,考生先在答题卡上用直径0.5毫米黑色墨水签字笔将自己的姓名、准考证号填写清楚,然后贴好条形码。
2008年普通高等学校招生全国统一考试文科数学(必修+选修I)本试卷分第Ⅰ卷(选择题)和第Ⅱ卷(非选择题)两部分.第Ⅰ卷1至2页.第Ⅱ卷3至10页.考试结束后,将本试卷和答题卡一并交回.第Ⅰ卷注意事项:1.答第Ⅰ卷前,考生务必将自己的姓名、准考证号、考试科目涂写在答题卡上.2.每小题选出答案后,用铅笔把答题卡上对应题目的答案标号涂黑.如需改动,用橡皮擦干净后,再选涂其它答案标号.不能答在试题卷上.3.本卷共12小题,每小题5分,共60分.在每小题给出的四个选项中,只有一项是符合题目要求的. 参考公式:如果事件A B ,互斥,那么 球的表面积公式()()()P A B P A P B +=+24πS R =如果事件A B ,相互独立,那么 其中R 表示球的半径()()()P A B P A P B = 球的体积公式如果事件A 在一次试验中发生的概率是p ,那么 34π3V R =n 次独立重复试验中事件A 恰好发生k 次的概率 其中R 表示球的半径()(1)(012)k kn k k n P k C p p k n -=-= ,,,,一、选择题1.若sin 0α<且tan 0α>是,则α是( ) A .第一象限角 B . 第二象限角 C . 第三象限角 D . 第四象限角 【答案】C【解析】sin 0α<,α在三、四象限;tan 0α>,α在一、三象限,∴选C2.设集合{|32}M m m =∈-<<Z ,{|13}N n n M N =∈-=Z 则,≤≤( )A .{}01,B .{}101-,,C .{}012,,D .{}1012-,,, 【答案】B【解析】{}1,0,1,2--=M ,{}3,2,1,0,1-=N ,∴{}1,0,1-=N M 【高考考点】集合的运算,整数集的符号识别 3.原点到直线052=-+y x 的距离为( ) A .1B .3C .2D .5【答案】D【解析】52152=+-=d【高考考点】点到直线的距离公式4.函数1()f x x x=-的图像关于( ) A .y 轴对称 B . 直线x y -=对称 C . 坐标原点对称 D . 直线x y =对称【答案】C 【解析】1()f x x x=-是奇函数,所以图象关于原点对称 【高考考点】函数奇偶性的性质5.若13(1)ln 2ln ln x e a x b x c x -∈===,,,,,则( ) A .a <b <cB .c <a <bC . b <a <cD . b <c <a【答案】C【解析】由0ln 111<<-⇒<<-x x e ,令x t ln =且取21-=t 知b <a <c 6.设变量x y ,满足约束条件:222y x x y x ⎧⎪+⎨⎪-⎩,,.≥≤≥,则y x z 3-=的最小值为( )A .2-B .4-C .6-D .8- 【答案】D【解析】如图作出可行域,知可行域的顶点是A (-2,2)、B(32,32)及C(-2,-2) 于是8)(m in -=A z7.设曲线2ax y =在点(1,a )处的切线与直线062=--y x 平行,则=a ( ) A .1B .12C .12-D .1-【答案】A【解析】ax y 2'=,于是切线的斜率a y k x 2'1===,∴有122=⇒=a a8.正四棱锥的侧棱长为32,侧棱与底面所成的角为︒60,则该棱锥的体积为( ) A .3 B .6C .9D .18【答案】B【解析】高360sin 32=︒=h ,又因底面正方形的对角线等于32,∴底面积为 6332212=⨯⨯⨯=S ,∴体积63631=⨯⨯=V 【备考提示】在底面积的计算时,要注意多思则少算9.44)1()1(x x +-的展开式中x 的系数是( )A .4-B .3-C .3D .4【答案】A【解析】41666141404242404-=-+=-+C C C C C C 【易错提醒】容易漏掉1414C C 项或该项的负号 10.函数x x x f cos sin )(-=的最大值为( ) A .1 B .2 C .3D .2【答案】B【解析】)4sin(2cos sin )(π-=-=x x x x f ,所以最大值是2【高考考点】三角函数中化为一个角的三角函数问题【备考提示】三角函数中化为一个角的三角函数问题是三角函数在高考中的热点问题11.设ABC △是等腰三角形,120ABC ∠=,则以A B ,为焦点且过点C 的双曲线的离心率为( )A .221+ B .231+ C . 21+ D .31+【答案】B【解析】由题意BC c =2,所以c c AC 3260sin 220=⨯⨯=,由双曲线的定义,有c a c c BC AC a )13(2322-=⇒-=-=,∴231131+=-==ac e 【高考考点】双曲线的有关性质,双曲线第一定义的应用12.已知球的半径为2,相互垂直的两个平面分别截球面得两个圆.若两圆的公共弦长为2,则两圆的圆心距等于( ) A .1 B .2C .3D .2【答案】C【解析】设两圆的圆心分别为1O 、2O ,球心为O ,公共弦为AB ,其中点为E ,则21EO OO 为矩形,于是对角线OE O O =21,而3122222=-=-=AE OA OE ,∴321=O O【高考考点】球的有关概念,两平面垂直的性质2008年普通高等学校招生全国统一考试文科数学(必修+选修I)第Ⅱ卷二、填空题:本大题共4小题,每小题5分,共20分.把答案填在题中横线上. 13.设向量(12)(23)==,,,a b ,若向量λ+a b 与向量(47)=--,c 共线,则=λ . 【答案】 2【解析】λ+a b =)32,2(++λλ则向量λ+a b 与向量(47)=--,c 共线274322=⇒--=++⇔λλλ14.从10名男同学,6名女同学中选3名参加体能测试,则选到的3名同学中既有男同学又有女同学的不同选法共有 种(用数字作答) 【答案】 420【解析】4202701501621026110=+=+C C C C15.已知F 是抛物线24C y x =:的焦点,A B ,是C 上的两个点,线段AB 的中点为(22)M ,,则ABF △的面积等于 . 【答案】 2【解析】设过M 的直线方程为)2(2-=-x k y ,由0)1(444)2(22222=-+-⇒⎩⎨⎧=-=-k kx x k xy x k y ∴k x x 421=+,2221)1(4k k x x -=,由题意144=⇒=k k ,于是直线方程为x y =421=+x x ,021=x x ,∴24=AB ,焦点F (1,0)到直线x y =的距离21=d∴ABF △的面积是216.平面内的一个四边形为平行四边形的充要条件有多个,如两组对边分别平行,类似地,写出空间中的一个四棱柱为平行六面体的两个充要条件:充要条件① ; 充要条件② . (写出你认为正确的两个充要条件)【答案】两组相对侧面分别平行;一组相对侧面平行且全等;对角线交于一点;底面是平行四边形.注:上面给出了四个充要条件.如果考生写出其他正确答案,同样给分.三、解答题:本大题共6小题,共70分.解答应写出文字说明,证明过程或演算步骤. 17.(本小题满分10分) 在ABC △中,5cos 13A =-,3cos 5B =. (Ⅰ)求sinC 的值;(Ⅱ)设5BC =,求ABC △的面积.18.(本小题满分12分)等差数列{}n a 中,410a =且3610a a a ,,成等比数列,求数列{}n a 前20项的和20S .19.(本小题满分12分)甲、乙两人进行射击比赛,在一轮比赛中,甲、乙各射击一发子弹.根据以往资料知,甲击中8环,9环,10环的概率分别为0.6,0.3,0.1,乙击中8环,9环,10环的概率分别为0.4,0.4,0.2. 设甲、乙的射击相互独立.(Ⅰ)求在一轮比赛中甲击中的环数多于乙击中环数的概率;(Ⅱ)求在独立的三轮比赛中,至少有两轮甲击中的环数多于乙击中环数的概率. 20.(本小题满分12分) 如图,正四棱柱1111ABCD A B C D -中,124AA AB ==,点E 在1CC 上且EC E C 31=.(Ⅰ)证明:1AC ⊥平面BED ; (Ⅱ)求二面角1A DE B --的大小. 21.(本小题满分12分)设a ∈R ,函数233)(x ax x f -=.(Ⅰ)若2=x 是函数)(x f y =的极值点,求a 的值;(Ⅱ)若函数()()()[02]g x f x f x x '=+∈,,,在0=x 处取得最大值,求a 的取值范围. 22.(本小题满分12分)设椭圆中心在坐标原点,(20)(01)A B ,,,是它的两个顶点,直线)0(>=k kx y 与AB 相交于点D ,与椭圆相交于E 、F 两点.(Ⅰ)若6ED DF =,求k 的值;(Ⅱ)求四边形AEBF 面积的最大值.AB CD EA 1B 1C 1D 12008年普通高等学校招生全国统一考试 文科数学试题(必修+选修Ⅰ)参考答案和评分参考评分说明:1.本解答给出了一种或几种解法供参考,如果考生的解法与本解答不同,可根据试题的主要 考查内容比照评分参考制订相应的评分细则.2.对计算题,当考生的解答在某一步出现错误时,如果后继部分的解答未改变该题的内容和难度,可视影响的程度决定后继部分的给分,但不得超过该部分正确解答应得分数的一半;如果后继部分的解答有较严重的错误,就不再给分.3.解答右端所注分数,表示考生正确做到这一步应得的累加分数. 4.只给整数分数.选择题不给中间分.一、选择题1.C 2.B 3.D 4.C 5.C 6.D 7.A 8.B 9.A 10.B 11.B 12.C 二、填空题13.2 14.420 15.216.两组相对侧面分别平行;一组相对侧面平行且全等;对角线交于一点;底面是平行四边形. 注:上面给出了四个充要条件.如果考生写出其他正确答案,同样给分. 三、解答题 17.解:(Ⅰ)由5cos 13A =-,得12sin 13A =, 由3cos 5B =,得4sin 5B =. ······························································································· 2分所以16sin sin()sin cos cos sin 65C A B A B A B =+=+=. ··············································· 5分(Ⅱ)由正弦定理得45sin 13512sin 313BC B AC A ⨯⨯===. ······················································ 8分 所以ABC △的面积1sin 2S BC AC C =⨯⨯⨯1131652365=⨯⨯⨯83=. ··························· 10分 18.解:设数列{}n a 的公差为d ,则3410a a d d =-=-, 642102a a d d =+=+,1046106a a d d =+=+. ····································································································· 3分由3610a a a ,,成等比数列得23106a a a =,即2(10)(106)(102)d d d -+=+, 整理得210100d d -=,解得0d =或1d =. ············································································································· 7分 当0d =时,20420200S a ==. ························································································· 9分 当1d =时,14310317a a d =-=-⨯=, 于是2012019202S a d ⨯=+207190330=⨯+=. ·························································· 12分 19.解:记12A A ,分别表示甲击中9环,10环,12B B ,分别表示乙击中8环,9环,A 表示在一轮比赛中甲击中的环数多于乙击中的环数,B 表示在三轮比赛中至少有两轮甲击中的环数多于乙击中的环数,12C C ,分别表示三轮中恰有两轮,三轮甲击中环数多于乙击中的环数.(Ⅰ)112122A A B A B A B =++ , ···················································································· 2分112122()()P A P A B A B A B =++ 112122()()()P A B P A B P A B =++112122()()()()()()P A P B P A P B P A P B =++0.30.40.10.40.10.40.2=⨯+⨯+⨯=. ············································································· 6分 (Ⅱ)12B C C =+, ············································································································· 8分22213()[()][1()]30.2(10.2)0.096P C C P A P A =-=⨯⨯-=, 332()[()]0.20.008P C P A ===,1212()()()()0.0960.0080.104P B P C C P C P C =+=+=+=. ···································· 12分20.解法一:依题设,2AB =,1CE =.(Ⅰ)连结AC 交BD 于点F ,则BD AC ⊥.由三垂线定理知,1BD AC ⊥. ···························································································· 3分 在平面1A CA 内,连结EF 交1AC 于点G ,由于1AA ACFC CE==故1Rt Rt A AC FCE △∽△,1AAC CFE ∠=∠, CFE ∠与1FCA ∠互余.于是1AC EF ⊥. 1AC 与平面BED 内两条相交直线BDEF ,都垂直, 所以1AC ⊥平面BED .········································································································ 6分 (Ⅱ)作GH DE ⊥,垂足为H ,连结1A H .由三垂线定理知1A H DE ⊥,故1A HG ∠是二面角1A DE B --的平面角. ······································································ 8分EF ==CE CF CG EF ⨯==,EG ==13EG EF =,13EF FD GH DE ⨯=⨯=又1A C ==11AG AC CG =-=11tan AG A HG HG∠== 所以二面角1A DE B --的大小为arctan ······························································· 12分 解法二:以D 为坐标原点,射线DA 为x 轴的正半轴, 建立如图所示直角坐标系D xyz -.依题设,1(220)(020)(021)(204)B C E A ,,,,,,,,,,,.(021)(220)DE DB ==,,,,,,11(224)(204)AC DA =--= ,,,,,. ······································ 3分 (Ⅰ)因为10AC DB = ,10AC DE =, 故1AC BD ⊥,1AC DE ⊥. 又DB DE D = ,AB CD EA 1B 1C 1D 1 FH G所以1AC ⊥平面DBE . ········································································································ 6分 (Ⅱ)设向量()x y z =,,n 是平面1DA E 的法向量,则DE ⊥n ,1DA ⊥ n .故20y z +=,240x z +=.令1y =,则2z =-,4x =,(412)=-,,n . ··································································· 9分 1AC <> ,n 等于二面角1A DE B --的平面角,111cos 42AC AC AC <>==,n n n . 所以二面角1A DE B --的大小为arccos 42······························································ 12分 21.解:(Ⅰ)2()363(2)f x ax x x ax '=-=-.因为2x =是函数()y f x =的极值点,所以(2)0f '=,即6(22)0a -=,因此1a =. 经验证,当1a =时,2x =是函数()y f x =的极值点. ···················································· 4分 (Ⅱ)由题设,3222()336(3)3(2)g x ax x ax x ax x x x =-+-=+-+. 当()g x 在区间[02],上的最大值为(0)g 时,(0)(2)g g ≥,即02024a -≥.故得65a ≤. ························································································································· 9分 反之,当65a ≤时,对任意[02]x ∈,,26()(3)3(2)5g x x x x x +-+≤23(210)5xx x =+- 3(25)(2)5xx x =+- 0≤,而(0)0g =,故()g x 在区间[02],上的最大值为(0)g .综上,a 的取值范围为65⎛⎤-∞ ⎥⎝⎦,. ······················································································ 12分22.(Ⅰ)解:依题设得椭圆的方程为2214x y +=,直线AB EF ,的方程分别为22x y +=,(0)y kx k =>. ················································ 2分 如图,设001122()()()D x kx E x kx F x kx ,,,,,,其中12x x <, 且12x x ,满足方程22(14)4k x +=,故21x x =-=由6ED DF = 知01206()x x x x -=-,得021215(6)77x x x x =+==;由D 在AB 上知0022x kx +=,得0212x k=+. 所以212k =+,化简得2242560k k -+=,解得23k =或38k =. ············································································································ 6分 (Ⅱ)解法一:根据点到直线的距离公式和①式知,点E F ,到AB 的距离分别为1h ==2h ==. ····································································· 9分又AB ==,所以四边形AEBF 的面积为121()2S AB h h =+ 12==第 11 页 共 11 页=≤当21k =,即当12k =时,上式取等号.所以S的最大值为 ······························· 12分 解法二:由题设,1BO =,2AO =.设11y kx =,22y kx =,由①得20x >,210y y =->,故四边形AEBF 的面积为BEF AEF S S S =+△△222x y =+······························································································································· 9分===当222x y =时,上式取等号.所以S的最大值为 ·················································· 12分。
我是一个经历高考的人,尤记当年的艰苦时光。
三点一线,但我挺过来了。
现在把历年的高考试卷,传于网上,有答案。
希望对各位有所帮助,最后祝各位同仁高考考出好的成绩。
考上理想的大学,不辜负家长的期望,你的理想,努力吧,奋斗吧,拼搏吧,永远支持你!2008年普通高等学校招生全国统一考试文科数学(必修+选修Ⅰ)本试卷分第I 卷(选择题)和第II 卷(非选择题)两部分.第I 卷1至2页,第II 卷3至9页.考试结束后,将本试卷和答题卡一并交回.第Ⅰ卷注意事项: 1.答题前,考生在答题卡上务必用直径0.5毫米黑色墨水签字笔将自己的姓名、准考证号、填写清楚 ,并贴好条形码.请认真核准条形码上的准考证号、姓名和科目. 2.每小题选出答案后,用2B铅笔把答题卡上对应题目的答案标号涂黑,如需改动,用橡皮擦干净后,再选涂其他答案标号.在试题卷上作答无效.3.本卷共12小题,每小题5分,共60分.在每小题给出的四个选项中,只有一项是符合题目要求的. 参考公式: 如果事件A B ,互斥,那么 球的表面积公式()()()P A B P A P B +=+24πS R =如果事件A B ,相互独立,那么 其中R 表示球的半径()()()P A B P A P B =球的体积公式如果事件A 在一次试验中发生的概率是P ,那么34π3V R =n 次独立重复试验中事件A 恰好发生k 次的概率其中R 表示球的半径()(1)(01,2)k k n kn n P k C P P k n -=-=,,,一、选择题1.函数y =A .{|1}x x ≤B .{|0}x x ≥C .{|10}x x x ≥或≤D .{|01}x x ≤≤2.汽车经过启动、加速行驶、匀速行驶、减速行驶之后停车,若把这一过程中汽车的行驶路程s 看作时间t 的函数,其图像可能是3.512x ⎛⎫+ ⎪⎝⎭的展开式中2x 的系数为A .10B .5C .52D .14.曲线324y x x =-+在点(13),处的切线的倾斜角为 A .30°B .45°C .60°D .120°5.在ABC △中,=c ,=b .若点D 满足2BD DC =,则AD =A .32b +31c B .35c-32bC .32b-31c D .31b+32c6.2(sin cos )1y x x =--是A .最小正周期为2π的偶函数B .最小正周期为2π的奇函数C .最小正周期为π的偶函数D .最小正周期为π的奇函数7.已知等比数列{}n a 满足122336a a a a +=+=,,则7a =A .64B .81C .128D .2438.若函数()y f x =的图象与函数1y =的图象关于直线y x =对称,则()f x =A .e 2x-2B .e 2xC .e 2x+1D . e 2x+29.为得到函数πcos 3y x ⎛⎫=+⎪⎝⎭的图象,只需将函数y=sinx 的图像 A .向左平移π6个长度单位 B .向右平移π6个长度单位 C .向左平移5π6个长度单位D .向右平移5π6个长度单位A .B .C .D .10.若直线1x ya b+=与圆x 2+y 2=1有公共点,则 A .a 2+b 2≤1 B .a 2+b 2≥1 C .22111a b+≤D .2211a b+≥1 11.已知三棱柱ABC - A 1B 1C 1的侧棱与底面边长都相等,A 1在底面ABC 内的射影为ABC △的中心,则1AB 与底面ABC 所成角的正弦值等于A .13BCD .2312.将1,2,3填入33⨯的方格中,要求每行、每列都没有重复数字,下面是一种填法,则不同的填写方法共有A .6种B .12种C .24种D .48种2008年普通高等学校招生全国统一考试文科数学(必修+选修Ⅰ)第Ⅱ卷注意事项:1.答题前,考生先在答题卡上用直径0.5毫米黑色墨水签字笔将自己的姓名、准考证号填写清楚,然后贴好条形码.请认真核准条形码上的准考证号、姓名和科目.2.第Ⅱ卷共7页,请用直径0.5毫米黑色墨水签字笔在答题卡上各题的答题区域内作答,在试题卷上作答无效.3.本卷共10小题,共90分.二、填空题:本大题共4小题,每小题5分,共20分.把答案填在题中横线上.(注意:在试题卷上作答无效)13.若x y ,满足约束条件03003x y x y x ⎧+⎪-+⎨⎪⎩,,,≥≥≤≤则2z x y =-的最大值为 .14.已知抛物线y=ax 2-1的焦点是坐标原点,则以抛物线与两坐标轴的三个交点为顶点的三角形面积为 .15.在ABC △中,90A ∠=,3tan 4B =.若以A B ,为焦点的椭圆经过点C ,则该椭圆的离心率e = .16.已知菱形ABCD 中,2AB =,120A ∠=,沿对角线BD 将ABD △折起,使二面角A BD C --为120,则点A 到BCD △所在平面的距离等于 .三、解答题:本大题共6小题,共70分.解答应写出文字说明,证明过程或演算步骤. 17.(本小题满分10分)(注意:在试题卷上作答无效)设ABC △的内角A 、B 、C 所对的边长分别为a 、b 、c ,且a cos B =3,b sin A =4.(Ⅰ)求边长a ;(Ⅱ)若ABC △的面积10S =,求ABC △的周长l . 18.(本小题满分12分)(注意:在试题卷上作答无效)四棱锥A - BCDE 中,底面BCDE 为矩形,侧面ABC ⊥底面BCDE ,BC =2,CD =AB AC =.(Ⅰ)证明:AD ⊥CE ;(Ⅱ)设侧面ABC 为等边三角形,求二面角C - AD - E 的大小.19.(本小题满分12分)(注意:在试题卷上作答无效)在数列{a n }中,a 1=1, a n+1=2a n +2n . (Ⅰ)设12nn n a b -=.证明:数列{}n b 是等差数列; (Ⅱ)求数列{}n a 的前n 项和n S . 20.(本小题满分12分)(注意:在试题卷上作答无效)已知5只动物中有1只患有某种疾病,需要通过化验血液来确定患病的动物.血液化验结果呈阳性的即为患病动物,呈阴性的即没患病.下面是两种化验方案:方案甲:逐个化验,直到能确定患病动物为止.方案乙:先任取3只,将它们的血液混在一起化验.若结果呈阳性则表明患病动物为这3只中的1只,然后再逐个化验,直到能确定患病动物为止;若结果呈阴性则在另外2只中任取1只化验.DE AB求依方案甲所需化验次数不少于依方案乙所需化验次数的概率. 21.(本小题满分12分)(注意:在试题卷上作答无效)已知函数32()1f x x ax x =+++,a ∈R . (Ⅰ)讨论函数()f x 的单调区间;(Ⅱ)设函数()f x 在区间2133⎛⎫-- ⎪⎝⎭,内是减函数,求a 的取值范围. 22.(本小题满分12分)(注意:在试题卷上作答无效)双曲线的中心为原点O ,焦点在x 轴上,两条渐近线分别为12l l ,,经过右焦点F 垂直于1l 的直线分别交12l l ,于A B ,两点.已知OA AB OB 、、成等差数列,且BF 与FA 同向. (Ⅰ)求双曲线的离心率;(Ⅱ)设AB 被双曲线所截得的线段的长为4,求双曲线的方程.2008年普通高等学校招生全国统一考试文科数学参考答案(I )依题设得 43sin cos =A b B a 由正弦定理得 B Ab a sin sin =所以43s i n c o s =B B )cos 1(169sin 169cos 222B B B -==即 259cos 2=B 依题设知 a 2cos 2B=9 所以 a 2=25,得a=5 (II )因为S=,2sin 21c A bc = 所以,由S=10得c=5 应用余弦定理得b=52cos 222=-+B ac c a故△ABC 的周长l =a+b+c=2(5+5)18.解法一:(I)作AO ⊥BC ,垂足为O ,连接OD ,由题设知,AO ⊥底面BCDE ,且O 为BC 中点, 由21==DE CD CD OC 知,Rt △OCD ∽Rt △CDE , 从而∠ODC=∠CED ,于是CE ⊥OD , 由三垂线定理知,AD ⊥CE(II )作CG ⊥AD ,垂足为G ,连接GE 。
2008年全国高考文科数学试卷及答案2008年全国普通高等学校招生统一考试数学试卷(文史类) 考生注意:1.答卷前,考生务必将姓名、高考准考证号、校验码等填写清楚.2.本试卷共有21道试题,满分150分.考试时间120分钟.请考生用钢笔或圆珠笔将答案直接写在试卷上.一.填空题本大题共有11题,只要求直接填写结果,每个空格填对得4分,否则一律得零分.1.不等式|x?1|?1的解集是.2.若集合A?{x|x?2}、B?{x|x?a}满足A?B?2,则实数a?.3.若复数z满足z?i(2?z),则z?.4.若函数f(x)的反函数f?1(x)?log2x,则f(x)?.?????????5.若向量a、b满足|a|?1,|b|?2,且a与b的夹角为,则|a?b|?.36.若直线ax?y?1?0经过抛物线y2?4x的焦点,则实数a?.7.若z是实系数方程x?2x?p?0的一个虚根,且|z|?2,则p?.8.在平面直角坐标系中,从五个点:A(0,0)、B(2,0)、C(1,1)、D(0,2)、E(2,2)中任取三个,这三点能构成三角形的概率是.9.若函数f(x)?(x?a)(bx?2a)是偶函数,且它的值域为(??,4],则该函数的解析f(x)?.10.已知总体的各个体的值小到大依次为2,3,3,7,a,b,12,,,20,且总体的中位数为.若要使该总体的方差最小,则a、b的取值分别是.11.在平面直角坐标系中,点A、B、C的坐标分别为(0,1)、(4,2)、(2,6).如果P(x,y)是?ABC围成的区域上的点,那么当w?xy取得最大值时,点P 的坐标是.二.选择题本大题共有4 题,每题都给出代号为A,B,C,D的四个结论,其中有且只有一个结论是正确的,必须把正确结论的代号写在题后的圆括号内,选对得4分,不选、选错或者选出的代号超过一个,一律得零分.2x2y2??1上的点.若F1、F2是椭圆的两个焦点,则|PF1|?|PF2|等于12.设P椭圆2516 A .4 B.5C.8D.10 13.给定空间中的直线l及平面?.条件“直线l与平面?内两条相交直线都垂直”是“直线l 与平面?垂直”的A.充分非必要条件B.必要非充分条件C.充要条件D.既非充分又非必要条件14.若数列{an}是首项为1,公比为a?值是A.1B.2C.3的无穷等比数列,且{an}各项的和为a,则a的215D.2415.如图,在平面直角坐标系中,?是一个与x轴的正半轴、y轴的正半轴分别相切于点C、D 的定圆所围成的区域,A、B、C、D是该圆的四等分点.若点P(x,y)、点P?(x?,y?)满足x?x?且y?y?,则称P优于P?.如果?中的点Q满足:不存在?中的其它点优于Q,那么所有这样的点Q组成的集合是劣弧? ?C.CD?D.DA A.?AB B.BC三.解答题本大题共有6题,解答下列各题必须写出必要的步骤.16.E是BC1的中点.求直线DE与平面如图,在棱长为2的正方体ABCD?A1BC11D1中,ABCD所成角的大小.17.如图,某住宅小区的平面图呈扇形AOC.小区的两个出入口设置在点A及点C处.小区里有两条笔直的小路AD、DC,且拐弯处的转角为120.已知某人从C沿CD 走到D用了10分钟,从D沿DA走到A 用了6分钟.若此人步行的速度为每分钟50米,求该扇形的半径OA的长.18.本题共有2个小题,第1小题满分5分,第2小题满分10分.已知函数f(x)?sin2x,g(x)?cos(2x?的图象分别交于M、N两点.??6),直线x?t与函数f(x)、g(x)?时,求|MN|的值;4? 求|MN|在t?[0,]时的最大值. 2 当t? 19.本题共有2个小题,第1小题满分8分,第2小题满分8分.已知函数f(x)?2?x1.2|x|若f(x)?2,求x的值;若2tf(2t)?mf(t)?0对于t?[1,2]恒成立,求实数m的取值范围.20.本题共有3个小题,第1小题满分3分,第2小题满分6分,第3小题满分7分.x2?y2?1.已知双曲线C:2求双曲线C的渐近线方程;已知点M的坐标为(0,1).设P是双曲线C上的点,Q是点P关于原点的对称?????????点.记??MP?MQ.求?的取值范围;已知点D、E、M的坐标分别为(?2,?1)、(2,?1)、(0,1),P为双曲线C上在第一象限内的点.记l为经过原点与点P的直线,s为?DEM截直线l所得线段的长.试将s表示为直线l 的斜率k的函数.21.本题共有3个小题,第1小题满分4分,第2小题满分6分,第3小题满分8分.已知数列{an}:a1?1,a2?2,a3?r,an?3?an?2,与数列{bn}:.记b1?1,b2?0,b3??1,b4?0,bn?4?bnTn?b1a1?b2a2?b3a3???bnan.若a1?a2?a3???a12?64,求r的值;求证:当n是正整数时,T12n??4n;已知r?0,且存在正整数m,使得在T12m?1,T12m?2,?,T12m?12中有4项为100.求r的值,并指出哪4项为100.2007年全国普通高等学校招生统一考试数学试卷(文史类)答案要点一、填空题1.(0,2) 2.2 3.1?i 4.2 8.x5.79.?2x?4 26.-1 7. 4 4 510.a?,b? 11.(,5) 52二、选择题题号12 答案三、解答题D 13C 14 15 B D 16.解:过E作EF?BC,交BC于F,连接DF.∵EF?平面ABCD ∴?EDF是直线DE与平面ABCD所成的角.?? 4分题意,得EF?∵CF?1CC1?1.21CB?1,∴DF?5.?? 8分2∵EF?DF,∴tan?EDF?EF5?.??10分DF55.?? 12分5故直线DE与平面ABCD所成角的大小是arctan 17.解法一:设该扇形的半径为r米.题意,得?CD?500,DA?300,?CDO?60.?? 4分在?CDO中,CD?OD?2CD?OD?cos60?OC,?? 6分即500?(r?300)?2?500?(r?300)?解得r?2222?21?r2,?? 9分24900?445.11答:该扇形的半径OA 的长约为445米.?? 13分解法二:连接AC,作OH?AC,交AC于H.?? 2分题意,得CD?500,AD?300,?CDA?120.?? 4分在?ACD中,AC?CD?AD?2AD?CD?cos120?500 ?300?2?500?300?22?222?1?7002 2∴AC?700,?? 6分AC2?AD2?CD211cos?CAD??.?? 9分2AC?CD14在直角?HAO中,AH?350,cos?HAO?∴OA?11,14AH4900??445.cos?HAO11答:该扇形的半径OA的长约为445米.?? 13分18.解:|MN|?|sin(2??42?3|?.??5分?|1?cos32|MN|?|sin2t?cos(2t? ?3|sin(2t?∵t?[0,)?cos(2???)|.?? 2分46??33)|?|sin2t?cos2t|.??8分622?6)|.??11分?2],2t??6?[??,??],??13分66?∴|MN|的最大值为3.??15分19.解:当x?0时,f(x)?0;当x?0时,f(x)?2?条件可知2?xxx1.??2分2x12xxx?22?2?2?1?02?1?2.??6分,即,解得x2∵2?0,∴x?log2(1?2).??8分当t?[1,2]时,2(2?即m(2?1)??(2?1),2t∵2?0,∴m??(2?1).??13分2tt2t11t)?m(2?)?0,??10分22t2t2t4t ∵t?[1,2],∴?(1?22t)?[?17,?5],故m的取值范围是[?5,??).??16分20.解:所求渐近线方程为y?22x?0,y?x?0.??3分22设P的坐标为(x0,y0),则Q的坐标为(?x0,?y0).?????MP??????MQ??(xx 2320,y0?1)?(?0,?y0)??x20?y0?1??2x0?2.∵|x0|?2,∴?的取值范围是(??,?1].若P为双曲线C上第一象限内的点,则直线l的斜率k?(0,22).计算可得,当k?(0,1]时,s(k)?221?k21?k2;当k?(1,222)时,s(k)?2k?1k?k21?k2.?s?21?k2,0?k?1,∴表示为直线l的斜率k的函数是s(k)???1?k222k?1.???k?k21?k2,12?k?22. 21.解:a1?a2?a3???a12 ?1?2?r?3?4?r?(r?2) ?5?6?(r?4)?7?8?(r?6)?48?4r.∵48?4r?64,∴r?4.用数学归纳法证明:当n?Z?时,T12n??4n.①当n?1时,T12?a1?a3?a5?a7?a9?a11??4,等式成立.②假设n?k时等式成立,即T12k??4k,那么当n?k?1时,??4分??7分??9分??11分??15分??16分??2分??4分??6分T12(k?1)?T12k?a12k?1?a12k?3?a12k?5?a12k?7?a12k?9?a12k?11??8分??4k?(8k?1)?(8k?r)?(8k?4)?(8k?5 )?(8k?r?4)?(8k?8) ??4k?4??4(k?1),等式也成立.根据①和②可以断定:当当n?Z时,T12n??4n.??10分?T12m??4m.当n?12m?1,12m?2时,Tn?4m?1;当n?12m?3,12m?4时,Tn??4m?1?r;当n?12m?5,12m?6时,Tn?4m?5?r;当n?12m?7,12m?8时,Tn??4m?r;当n?12m?9,12m?10时,Tn?4m?4;当n?12m?11,12m?12时,Tn??4m?4.∵4m?1是奇数,?4m?1?r,?4m?r,?4m?4均为负数,∴这些项均不可能取得100.∴4m?5?r?4m?4?100,解得m?24,r?1,此时T293,T294,T297,T298为100.??15分??18分。
2008年普通高等学校招生全国统一考试数学(文科)卷一、选择题:本大题共10小题,每小题5分,共50分。
在每小题给出的四个选项中,只有一项是符合题目要求的。
(1)已知集合{|0}A x x =>,{|12}B x x =-≤≤,则A B =(A ){|1}x x ≥- (B ){|2}x x ≤ (C ){|02}x x <≤ (D ){|12}x x -≤≤ (2)函数2(sin cos )1y x x =++的最小正周期是 (A )2π(B )π (C )32π (D )2π(3)已知a ,b 都是实数,那么“22b a >”是“a >b ”的(A )充分而不必要条件 (B )必要而不充分条件 (C )充分必要条件 (D )既不充分也不必要条件 (4)已知{}n a 是等比数列,41252==a a ,,则公比q =(A )21-(B )2- (C )2 (D )21(5)0,0a b ≥≥,且2a b +=,则(A )12ab ≤(B )12ab ≥(C )222a b +≥ (D )223a b +≤(6)在)5)(4)(3)(2)(1(-----x x x x x 的展开式中,含4x 的项的系数是(A )-15 (B )85 (C )-120 (D )274(7)在同一平面直角坐标系中,函数])20[)(232cos(ππ,∈+=x x y 的图象和直线21=y 的交点个数是(A )0 (B )1 (C )2 (D )4 (8)若双曲线12222=-by ax 的两个焦点到一条准线的距离之比为3:2,则双曲线的离心率是(A )3 (B )5 (C )3 (D )5 (9)对两条不相交的空间直线a 和b ,必定存在平面α,使得(A ),a b αα⊂⊂ (B ),//a b αα⊂ (C ),a b αα⊥⊥ (D ),a b αα⊂⊥ABCD(10)若0,0≥≥b a ,且当⎪⎩⎪⎨⎧≤+≥≥1,0,0y x y x 时,恒有1≤+by ax ,则以a ,b 为坐标点(,)P a b 所形成的平面区域的面积等于 (A )12(B )4π(C )1 (D )2π二.填空题:本大题共7小题,每小题4分,共28分。
2008年普通高等学校招生全国统一考试文科数学(必修+选修Ⅰ)本试卷分第错误!未找到引用源。
卷(选择题)和第错误!未找到引用源。
卷(非选择题)两部分.第错误!未找到引用源。
卷1至2页,第错误!未找到引用源。
卷3至9页.考试结束后,将本试卷和答题卡一并交回.第Ⅰ卷考生注意: 1.答题前,考生在答题卡上务必用直径0.5毫米黑色墨水签字笔将自己的姓名、准考证号、填写清楚 ,并贴好条形码.请认真核准条形码上的准考证号、姓名和科目. 2.每小题选出答案后,用2B铅笔把答题卡上对应题目的答案标号涂黑,如需改动,用橡皮擦干净后,再选涂其他答案标号.在试题卷上作答无效.......... 3.本卷共12小题,每小题5分,共60分.在每小题给出的四个选项中,只有一项是符合题目要求的. 参考公式: 如果事件A B ,互斥,那么 球的表面积公式()()()P A B P A P B +=+24πS R =如果事件A B ,相互独立,那么 其中R 表示球的半径()()()P A B P A P B =球的体积公式如果事件A 在一次试验中发生的概率是P ,那么34π3V R =n 次独立重复试验中事件A 恰好发生k 次的概率其中R 表示球的半径()(1)(01,2)k k n kn n P k C P P k n -=-= ,,,一、选择题1.函数y ) A .{|1}x x ≤B .{|0}x x ≥C .{|10}x x x ≥或≤D .{|01}x x ≤≤1D 解析:依题意,10,0x x -≥⎧⎨≥⎩解得, 0≤x ≤1,所以函数y ={|01}x x ≤≤,选择D;点评:本题考查了不等式的解法,函数定义域的求法以及交集、并集等集合运算,是基础题目。
2.汽车经过启动、加速行驶、匀速行驶、减速行驶之后停车,若把这一过程中汽车的行驶路程s 看作时间t 的函数,其图像可能是( )2A 解析:(法一)由于汽车经过启动、加速行驶、匀速行驶、减速行驶之后停车,所以,从路程与时间的图像看,其图像的切线斜率由逐渐增大、定值、逐渐减小,易知,A 正确; (法二)根据汽车加速行驶212s at =、匀速行驶s=vt 、减速行驶212s at =-并结合图像易知选择A ;点评:本题考查了学生的识图能力与导数的概念及几何意义。
2008年普通高等学校招生全国统一考试(新课标全国卷)一、选择题:本大题共12小题,每小题5分,满分60分。
在每小题给出的四个选项中, 只有一项是符合题目要求的。
1、已知集合M ={ x|(x + 2)(x -1) < 0 },N ={ x| x + 1 < 0 },则M ∩N =( ) A. (-1,1) B. (-2,1)C. (-2,-1)D. (1,2)2、双曲线221102x y -=的焦距为( )3、已知复数1z i =-,则21z z =-( ) A. 2B. -2C. 2iD. -2i4、设()ln f x x x =,若0'()2f x =,则0x =( )A. 2e B. e C. ln 22D. ln 25、已知平面向量a r =(1,-3),b r =(4,-2),a b λ+r r 与a r垂直,则λ是( )A. -1B. 1C. -2D. 26、右面的程序框图,如果输入三个实数a 、b 、c ,要求输出这三个数中最大的数, 那么在空白的判断框中,应该填入下面四个选项中的( ) A. c > xB. x > cC. c > bD. b > c7、已知1230a a a >>>,则使得2(1)1i a x -<(1,2,3)i =都成立的x 取值范围是( )A.(0,11a ) B. (0,12a ) C. (0,31a ) D. (0,32a )8、设等比数列{}n a 的公比2q =,前n 项和为n S ,则42S a =( ) A. 2 B. 4 C.152D.1729、平面向量a r ,b r共线的充要条件是( )A. a r ,b r 方向相同B. a r ,b r 两向量中至少有一个为零向量C. R λ∃∈, b a λ=r rD. 存在不全为零的实数1λ,2λ,120a b λλ+=r r r10、点P (x ,y )在直线4x + 3y = 0上,且满足-14≤x -y ≤7,则点P 到坐标原点距离的取值范围是( ) A. [0,5]B. [0,10]C. [5,10]D. [5,15]11、函数()cos 22sin f x x x =+的最小值和最大值分别为( )A. -3,1B. -2,2C. -3,32 D. -2,3212、已知平面α⊥平面β,α∩β= l ,点A ∈α,A ∉l ,直线AB ∥l ,直线AC ⊥l ,直线m ∥α,m ∥β,则下列四种位置关系中,不一定...成立的是( ) A. AB ∥m B. AC ⊥m C. AB ∥βD. AC ⊥β二、填空题:本大题共4小题,每小题5分,满分20分。
我是一个经历高考的人,尤记当年的艰苦时光。
三点一线,但我挺过来了。
现在把历年的高考试卷,传于网上,有答案。
希望对各位有所帮助,最后祝各位同仁高考考出好的成绩。
考上理想的大学,不辜负家长的期望,你的理想,努力吧,奋斗吧,拼搏吧,永远支持你!2008年普通高等学校招生全国统一考试文科数学(必修+选修Ⅰ)本试卷分第I 卷(选择题)和第II 卷(非选择题)两部分.第I 卷1至2页,第II 卷3至9页.考试结束后,将本试卷和答题卡一并交回.第Ⅰ卷注意事项: 1.答题前,考生在答题卡上务必用直径0.5毫米黑色墨水签字笔将自己的姓名、准考证号、填写清楚 ,并贴好条形码.请认真核准条形码上的准考证号、姓名和科目. 2.每小题选出答案后,用2B铅笔把答题卡上对应题目的答案标号涂黑,如需改动,用橡皮擦干净后,再选涂其他答案标号.在试题卷上作答无效.3.本卷共12小题,每小题5分,共60分.在每小题给出的四个选项中,只有一项是符合题目要求的. 参考公式: 如果事件A B ,互斥,那么 球的表面积公式()()()P A B P A P B +=+24πS R =如果事件A B ,相互独立,那么 其中R 表示球的半径()()()P A B P A P B =球的体积公式如果事件A 在一次试验中发生的概率是P ,那么34π3V R =n 次独立重复试验中事件A 恰好发生k 次的概率其中R 表示球的半径()(1)(01,2)k kn k n n P k C P P k n -=-=,,,一、选择题1.函数y =A .{|1}x x ≤B .{|0}x x ≥C .{|10}x x x ≥或≤D .{|01}x x ≤≤2.汽车经过启动、加速行驶、匀速行驶、减速行驶之后停车,若把这一过程中汽车的行驶路程s 看作时间t 的函数,其图像可能是3.512x ⎛⎫+ ⎪⎝⎭的展开式中2x 的系数为A .10B .5C .52D .14.曲线324y x x =-+在点(13),处的切线的倾斜角为A .30°B .45°C .60°D .120°5.在ABC △中,=c ,AC =b .若点D 满足2BD DC =,则AD =A .32b +31c B .35c-32b C .32b-31c D .31b+32c 6.2(sin cos )1y x x =--是A .最小正周期为2π的偶函数B .最小正周期为2π的奇函数C .最小正周期为π的偶函数D .最小正周期为π的奇函数7.已知等比数列{}n a 满足122336a a a a +=+=,,则7a =A .64B .81C .128D .2438.若函数()y f x =的图象与函数ln1y =的图象关于直线y x =对称,则()f x =A .e 2x-2B .e 2xC .e 2x+1D . e 2x+29.为得到函数πcos 3y x ⎛⎫=+⎪⎝⎭的图象,只需将函数y=sinx 的图像 A .向左平移π6个长度单位 B .向右平移π6个长度单位 C .向左平移5π6个长度单位D .向右平移5π6个长度单位A .B .C .D .10.若直线1x ya b+=与圆x 2+y 2=1有公共点,则 A .a 2+b 2≤1 B .a 2+b 2≥1 C .22111a b+≤D .2211a b+≥1 11.已知三棱柱ABC - A 1B 1C 1的侧棱与底面边长都相等,A 1在底面ABC 内的射影为ABC △的中心,则1AB 与底面ABC 所成角的正弦值等于A .13B.3CD .2312.将1,2,3填入33⨯的方格中,要求每行、每列都没有重复数字,下面是一种填法,则不同的填写方法共有A .6种B .12种C .24种D .48种2008年普通高等学校招生全国统一考试文科数学(必修+选修Ⅰ)第Ⅱ卷注意事项:1.答题前,考生先在答题卡上用直径0.5毫米黑色墨水签字笔将自己的姓名、准考证号填写清楚,然后贴好条形码.请认真核准条形码上的准考证号、姓名和科目.2.第Ⅱ卷共7页,请用直径0.5毫米黑色墨水签字笔在答题卡上各题的答题区域内作答,在试题卷上作答无效.3.本卷共10小题,共90分.二、填空题:本大题共4小题,每小题5分,共20分.把答案填在题中横线上.(注意:在试题卷上作答无效)13.若x y ,满足约束条件03003x y x y x ⎧+⎪-+⎨⎪⎩,,,≥≥≤≤则2z x y =-的最大值为 .14.已知抛物线y=ax 2-1的焦点是坐标原点,则以抛物线与两坐标轴的三个交点为顶点的三角形面积为 .15.在ABC △中,90A ∠=,3tan 4B =.若以A B ,为焦点的椭圆经过点C ,则该椭圆的离心率e = .16.已知菱形ABCD 中,2AB =,120A ∠=,沿对角线BD 将ABD △折起,使二面角A BD C --为120,则点A 到BCD △所在平面的距离等于 .三、解答题:本大题共6小题,共70分.解答应写出文字说明,证明过程或演算步骤. 17.(本小题满分10分)(注意:在试题卷上作答无效)设ABC △的内角A 、B 、C 所对的边长分别为a 、b 、c ,且a cos B =3,b sin A =4.(Ⅰ)求边长a ;(Ⅱ)若ABC △的面积10S =,求ABC △的周长l . 18.(本小题满分12分)(注意:在试题卷上作答无效)四棱锥A - BCDE 中,底面BCDE 为矩形,侧面ABC ⊥底面BCDE ,BC =2,CD =AB AC =.(Ⅰ)证明:AD ⊥CE ;(Ⅱ)设侧面ABC 为等边三角形,求二面角C - AD - E 的大小.19.(本小题满分12分)(注意:在试题卷上作答无效)在数列{a n }中,a 1=1, a n+1=2a n +2n . (Ⅰ)设12nn n a b -=.证明:数列{}n b 是等差数列; (Ⅱ)求数列{}n a 的前n 项和n S . 20.(本小题满分12分)(注意:在试题卷上作答无效)已知5只动物中有1只患有某种疾病,需要通过化验血液来确定患病的动物.血液化验结果呈阳性的即为患病动物,呈阴性的即没患病.下面是两种化验方案:方案甲:逐个化验,直到能确定患病动物为止.方案乙:先任取3只,将它们的血液混在一起化验.若结果呈阳性则表明患病动物为这3只中的1只,然后再逐个化验,直到能确定患病动物为止;若结果呈阴性则在另外2只中任取1只化验.CDE AB求依方案甲所需化验次数不少于依方案乙所需化验次数的概率. 21.(本小题满分12分)(注意:在试题卷上作答无效)已知函数32()1f x x ax x =+++,a ∈R . (Ⅰ)讨论函数()f x 的单调区间;(Ⅱ)设函数()f x 在区间2133⎛⎫-- ⎪⎝⎭,内是减函数,求a 的取值范围. 22.(本小题满分12分)(注意:在试题卷上作答无效)双曲线的中心为原点O ,焦点在x 轴上,两条渐近线分别为12l l ,,经过右焦点F 垂直于1l 的直线分别交12l l ,于A B ,两点.已知OA AB OB 、、成等差数列,且BF 与FA 同向. (Ⅰ)求双曲线的离心率;(Ⅱ)设AB 被双曲线所截得的线段的长为4,求双曲线的方程.2008年普通高等学校招生全国统一考试文科数学参考答案(I )依题设得 43sin cos =A b B a 由正弦定理得 B A b a sin sin = 所以43s i n c o s =B B )cos 1(169sin 169cos 222B B B -==即 259cos 2=B 依题设知 a 2cos 2B=9 所以 a 2=25,得a=5 (II )因为S=,2sin 21c A bc = 所以,由S=10得c=5 应用余弦定理得b=52cos 222=-+B ac c a故△ABC 的周长l=a+b+c=2(5+5)18.解法一:(I)作AO ⊥BC ,垂足为O ,连接OD ,由题设知,AO ⊥底面BCDE ,且O 为BC 中点, 由21==DE CD CD OC 知,Rt △OCD ∽Rt △CDE , 从而∠ODC=∠CED ,于是CE ⊥OD , 由三垂线定理知,AD ⊥CE(II )作CG ⊥AD ,垂足为G ,连接GE 。
2008年普通高等学校招生全国统一考试 文科数学(必修+选修I)
一、选择题:本大题共12小题,每小题5分,共60分.在每小题给出的四个选项中,只有一项是符合题目要求的.
1.若sin0且tan0是,则是 A.第一象限角 B. 第二象限角 C. 第三象限角 D. 第四象限角
2.设集合{|32}MmmZ,{|13}NnnMNZ则,≤≤
A.01, B.101,, C.012,, D.1012,,, 3.原点到直线052yx的距离为 A.1 B.3 C.2 D.5 4.函数1()fxxx的图像关于 A.y轴对称 B. 直线xy对称 C. 坐标原点对称 D. 直线xy对称 5.若13(1)ln2lnlnxeaxbxcx,,,,,则 A.a
6.设变量xy,满足约束条件:222yxxyx,,.≥≤≥,则yxz3的最小值为 A.2 B.4 C.6 D.8 7.设曲线2axy在点(1,a)处的切线与直线062yx平行,则a
A.1 B.12 C.12 D.1 8.正四棱锥的侧棱长为32,侧棱与底面所成的角为60,则该棱锥的体积为 A.3 B.6 C.9 D.18 9.44)1()1(xx的展开式中x的系数是 A.4 B.3 C.3 D.4 10.函数xxxfcossin)(的最大值为
A.1 B. 2 C.3 D.2 11.设ABC△是等腰三角形,120ABC,则以AB,为焦点且过点C的双曲线的离心率为
A.221 B. 231 C. 21 D.31 12.已知球的半径为2,相互垂直的两个平面分别截球面得两个圆.若两圆的公共弦长为2,则两圆的圆心距等于
A.1 B.2 C.3 D.2 二、填空题:本大题共4小题,每小题5分,共20分.把答案填在题中横线上. 13.设向量(12)(23),,,ab,若向量ab与向量(47),c共线,则 . 14.从10名男同学,6名女同学中选3名参加体能测试,则选到的3名同学中既有男同学又有女同学的不同选法共有 种(用数字作答)
2008年(辽宁卷)数学(文科考生使用)一、选择题:本大题共12小题,每小题5分,共60分,在每小题给出的四个选项中,只有一项是符合题目要求的.1.已知集合{}31M x x =-<<,{}3N x x =-≤,则M N = ( ) A .∅B .{}3x x -≥C .{}1x x ≥D .{}1x x <2.若函数(1)()y x x a =+-为偶函数,则a =( ) A .2-B .1-C .1D .23.圆221x y +=与直线2y kx =+没有..公共点的充要条件是( )A .(k ∈B . (k ∈C .()k ∈--+ ∞,∞D .()k ∈--+ ∞,∞4.已知01a <<,log log a a x =+1log 52a y =,log log a az =,则( ) A .x y z >>B .z y x >>C .y x z >>D .z x y >>5.已知四边形A B C D 的三个顶点(02)A ,,(12)B --,,(31)C ,,且2BC AD =,则顶点D 的坐标为( )A .722⎛⎫⎪⎝⎭,B .122⎛⎫-⎪⎝⎭, C .(32), D .(13),6.设P 为曲线C :223y x x =++上的点,且曲线C 在点P 处切线倾斜角的取值范围为04π⎡⎤⎢⎥⎣⎦,,则点P 横坐标的取值范围为( ) A .112⎡⎤--⎢⎥⎣⎦, B .[]10-,C .[]01,D .112⎡⎤⎢⎥⎣⎦,7.4张卡片上分别写有数字1,2,3,4,从这4张卡片中随机抽取2张,则取出的2张卡片上的数字之和为奇数的概率为( ) A .13B .12C .23D .348.将函数21xy =+的图象按向量a 平移得到函数12x y +=的图象,则( )A .(11)=--,aB .(11)=-,aC .(11)=,aD .(11)=-,a9.已知变量x y ,满足约束条件1031010y x y x y x +-⎧⎪--⎨⎪-+⎩≤,≤,≥,则2z x y =+的最大值为( )A .4B .2C .1D .4-10.一生产过程有4道工序,每道工序需要安排一人照看.现从甲、乙、丙等6名工人中安排4人分别照看一道工序,第一道工序只能从甲、乙两工人中安排1人,第四道工序只能从甲、丙两工人中安排1人,则不同的安排方案共有( ) A .24种 B .36种 C .48种 D .72种11.已知双曲线22291(0)y m x m -=>的一个顶点到它的一条渐近线的距离为15,则m =( ) A .1B .2C .3D .412.在正方体1111ABC D A B C D -中,E F ,分别为棱1A A ,1C C 的中点,则在空间中与三条直线11A D ,E F ,C D 都相交的直线( ) A .不存在B .有且只有两条C .有且只有三条D .有无数条第Ⅱ卷(非选择题共90分)二、填空题:本大题共4小题,每小题4分,共16分. 13.函数21()x y e x +=-<<+∞∞的反函数是 .14.在体积为的球的表面上有A 、B ,C 三点,AB =1,BC,A ,C 两点的球面距离为3π,则球心到平面ABC 的距离为_________.15.6321(1)x x x ⎛⎫++ ⎪⎝⎭展开式中的常数项为 .16.设02x π⎛⎫∈ ⎪⎝⎭,,则函数22sin 1sin 2x y x +=的最小值为 .三、解答题:本大题共6小题,共74分.解答应写出文字说明,证明过程或演算步骤.17.(本小题满分12分) 在A B C △中,内角A B C ,,对边的边长分别是a b c ,,,已知2c =,3C π=.(Ⅰ)若A B C △,求a b ,;(Ⅱ)若sin 2sin B A =,求A B C △的面积. 18.(本小题满分12分)某批发市场对某种商品的周销售量(单位:吨)进行统计,最近100周的统计结果如下表所示:周销售量 2 3 4频数20 50 30(Ⅰ)根据上面统计结果,求周销售量分别为2吨,3吨和4吨的频率; (Ⅱ)若以上述频率作为概率,且各周的销售量相互独立,求(ⅰ)4周中该种商品至少有一周的销售量为4吨的概率; (ⅱ)该种商品4周的销售量总和至少为15吨的概率. 19.(本小题满分12分)如图,在棱长为1的正方体A B C D A B C D ''''-中,AP=BQ=b (0<b <1),截面PQEF ∥A D ',截面PQGH ∥A D '.(Ⅰ)证明:平面PQEF 和平面PQGH 互相垂直; (Ⅱ)证明:截面PQEF 和截面PQGH 面积之和是定值,并求出这个值; (Ⅲ)若12b =,求D E '与平面PQEF 所成角的正弦值.20.(本小题满分12分)在数列||n a ,||n b 是各项均为正数的等比数列,设()n n nb c n a =∈*N .(Ⅰ)数列||n c 是否为等比数列?证明你的结论;(Ⅱ)设数列|ln |n a ,|ln |n b 的前n 项和分别为n S ,n T .若12a =,21n nS n T n =+,求数列||n c 的前n 项和. 21.(本小题满分12分)在平面直角坐标系xOy 中,点P到两点(0-,,(0的距离之和等于4,设点P 的轨迹为C . (Ⅰ)写出C 的方程;(Ⅱ)设直线1y kx =+与C 交于A ,B 两点.k 为何值时O A ⊥O B ?此时A B 的值是多少?22.(本小题满分14分)设函数322()31()f x ax bx a x a b =+-+∈R ,在1x x =,2x x =处取得极值,且122x x -=.(Ⅰ)若1a =,求b 的值,并求()f x 的单调区间; (Ⅱ)若0a >,求b 的取值范围.A BCDE FPQ H A ' B 'C 'D ' G2008年(辽宁卷)数学文科参考答案和评分参考.1.D 2.C 3.B 4.C 5.A 6.A 7.C 8.A9.B 10.B11.D12.D . 13.1(ln 1)(0)2y x x =-> 14.3215.351617.本小题主要考查三角形的边角关系等基础知识,考查综合计算能力.满分12分. 解:(Ⅰ)由余弦定理得,224a b ab +-=, 又因为A B C △1sin 2ab C =4ab =.···························· 4分 联立方程组2244a b ab ab ⎧+-=⎨=⎩,,解得2a =,2b =.······················································ 6分(Ⅱ)由正弦定理,已知条件化为2b a =, ································································· 8分 联立方程组2242a b ab b a ⎧+-=⎨=⎩,,解得3a =3b =.所以A B C △的面积1sin 23S ab C ==.·······························································12分18.本小题主要考查频率、概率等基础知识,考查运用概率知识解决实际问题的能力.满分12分. 解:(Ⅰ)周销售量为2吨,3吨和4吨的频率分别为0.2,0.5和0.3. ························· 4分 (Ⅱ)由题意知一周的销售量为2吨,3吨和4吨的频率分别为0.2,0.5和0.3,故所求的概率为(ⅰ)4110.70.7599P =-=. ············································································· 8分(ⅱ)334240.50.30.30.0621P C =⨯⨯+=. ·······················································12分19.本小题主要考查空间中的线面关系和面面关系,解三角形等基础知识,考查空间想象能力与逻辑思维能力.满分12分.解法一:(Ⅰ)证明:在正方体中,AD A D ''⊥,AD AB '⊥, 又由已知可得PF A D '∥,PH AD '∥,PQ AB ∥,所以PH PF ⊥,PH PQ ⊥, 所以PH ⊥平面PQEF .所以平面PQEF 和平面PQGH 互相垂直.·································································· 4分 (Ⅱ)证明:由(Ⅰ)知PF PH '==,,又截面PQEF 和截面PQGH 都是矩形,且PQ =1,所以截面PQEF 和截面PQGH 面积之和是)P A P Q '+⨯=····································································· 8分 (Ⅲ)解:设A D '交P F 于点N ,连结E N , 因为AD '⊥平面PQEF ,所以D E N '∠为D E '与平面PQEF 所成的角. 因为12b =,所以P Q E F ,,,分别为A A ',B B ',B C ,A D 的中点.可知4D N '=,32D E '=.所以4sin 322D EN '==∠. ················································································12分解法二:以D 为原点,射线DA ,DC ,DD ′分别为x ,y ,z 轴的正半轴建立如图的空间直角坐标系D -xyz .由已知得1D F b =-,故(100)A ,,,(101)A ',,,(000)D ,,,(001)D ',,,(10)P b ,,,(11)Q b ,,,(110)E b -,,, (100)F b -,,,(11)G b ,,,(01)H b ,,.(Ⅰ)证明:在所建立的坐标系中,可得(010)(0)PQ PF b b ==-- ,,,,,, (101)P H b b =--,,,(101)(101)AD A D ''=-=-- ,,,,,.因为00A D P Q A D P F ''== ,,所以AD '是平面PQEF 的法向量. 因为00A D PQ A D PH ''== ,,所以A D ' 是平面PQGH 的法向量. 因为0AD A D ''= ,所以A D AD ''⊥ ,所以平面PQEF 和平面PQGH 互相垂直. ···································································· 4分(Ⅱ)证明:因为(010)E F =- ,,,所以EF PQ EF PQ ∥,=,又PF PQ ⊥,所以PQEFA BCDEFP Q HA 'B 'C 'D 'GN为矩形,同理PQGH 为矩形.在所建立的坐标系中可求得)PH b =-,PF =,所以PH PF +=1PQ =,所以截面PQEF 和截面PQGH············································· 8分(Ⅲ)解:由(Ⅰ)知(101)AD '=-,,是平面PQEF 的法向量.由P 为A A '中点可知,Q E F ,,分别为B B ',B C ,A D 的中点.所以1102E ⎛⎫ ⎪⎝⎭,,,1112D E ⎛⎫'=- ⎪⎝⎭ ,,,因此D E '与平面PQEF 所成角的正弦值等于|cos |2AD D E ''<>=,. ··························································································12分20.本小题主要考查等差数列,等比数列,对数等基础知识,考查综合运用数学知识解决问题的能力.满分12分.解:(Ⅰ)n c 是等比数列. ·························································································· 2分 证明:设n a 的公比为11(0)q q >,n b 的公比为22(0)q q >,则11121110n n n n n nn n n n c b a b a qc a b b a q +++++===≠ ,故n c 为等比数列.··········································· 5分 (Ⅱ)数列ln n a 和ln n b 分别是公差为1ln q 和2ln q 的等差数列.由条件得1112(1)ln ln 22(1)21ln ln 2n n n a q n n n n b q -+=-++,即11122ln (1)ln 2ln (1)ln 21a n q nb n q n +-=+-+. ···················································································· 7分故对1n =,2,…,212111211(2ln ln )(4ln ln 2ln ln )(2ln ln )0q q n a q b q n a q -+--++-=.于是121112112ln ln 04ln ln 2ln ln 02ln ln 0.q q a q b q a q -=⎧⎪--+=⎨⎪-=⎩,,将12a =代入得14q =,216q =,18b =. ································································10分从而有11816424n nn n c --== .所以数列n c 的前n 项和为 24444(41)3nn+++=-…. ·······································12分 21.本小题主要考查平面向量,椭圆的定义、标准方程及直线与椭圆位置关系等基础知识,考查综合运用解析几何知识解决问题的能力.满分12分. 解:(Ⅰ)设P (x ,y ),由椭圆定义可知,点P 的轨迹C是以(0(0-,,为焦点,长半轴为2的椭圆.它的短半轴1b ==,故曲线C 的方程为2214yx +=. ·················································································· 4分 (Ⅱ)设1122()()A x y B x y ,,,,其坐标满足2214 1.y x y kx ⎧+=⎪⎨⎪=+⎩, 消去y 并整理得22(4)230k x kx ++-=, 故1212222344k x x x x k k +=-=-++,.······································································· 6分OA OB ⊥,即12120x x y y +=. 而2121212()1y y k x x k x x =+++,于是222121222223324114444kkk x x y y k k k k -++=---+=++++.所以12k =±时,12120x x y y +=,故OA OB ⊥. ······················································· 8分当12k =±时,12417x x +=,121217x x =-.AB ==而22212112()()4x x x x x x -=+-23224434134171717⨯⨯=+⨯=,所以17AB = ····································································································12分22.本小题主要考查函数的导数,单调性、极值,最值等基础知识,考查综合利用导数研究函数的有关性质的能力.满分14分解:22()323f x ax bx a '=+-.① ··············································································· 2分 (Ⅰ)当1a =时, 2()323f x x bx '=+-;由题意知12x x ,为方程23230x bx +-=的两根,所以123x x -=由122x x -=,得0b =. ··························································································· 4分 从而2()31f x x x =-+,2()333(1)(1)f x x x x '=-=+-.当(11)x ∈-,时,()0f x '<;当(1)(1)x ∈--+ ∞,,∞时,()0f x '>.故()f x 在(11)-,单调递减,在(1)--∞,,(1)+,∞单调递增.···································· 6分 (Ⅱ)由①式及题意知12x x ,为方程223230x bx a +-=的两根,所以123x x a-=.从而221229(1)x x b a a -=⇔=-,由上式及题设知01a <≤. ························································································· 8分 考虑23()99g a a a =-,22()1827273g a a a a a ⎛⎫'=-=--⎪⎝⎭. ········································································10分 故()g a 在203⎛⎫ ⎪⎝⎭,单调递增,在213⎛⎫ ⎪⎝⎭,单调递减,从而()g a 在(]01,的极大值为2433g ⎛⎫= ⎪⎝⎭.又()g a 在(]01,上只有一个极值,所以2433g ⎛⎫= ⎪⎝⎭为()g a 在(]01,上的最大值,且最小值为(1)0g =.所以2403b ⎡⎤∈⎢⎥⎣⎦,,即b 的取值范围为33⎡-⎢⎣⎦. ···············································14分。