解一元一次方程专项练习
- 格式:doc
- 大小:140.50 KB
- 文档页数:2
一元一次方程专题训练经典练习题一、解下列一元一次方程1、2x+2=3x+62、 3x-11=253、2(x-1)+3(1-x)=04、5x(2-3.140)=2(x-6)5、0.8x +2=1.6x-26、10%(x+2)=17、2(x+5)=3(x-6) 8、1-2(x-3)=3(x+2)9、3(x-1)=2(x+2)+(1-x) 10、4x-[2+(3x-6)]=111、2x-20%(x+3)=12÷10 12、7x+5(x-2)= 2(x+10)13、4x-4=2(2+x)-3(x+1) 14、1- 12x=215、3- 13x=2(x+1) 16、2(x-34)=8-x17、12(2x+1)+1=2(2-x) 18、x-13(x-5)=2319、-x= -3(x-4) 20、7x·(5 - 4·12)= 5+x21、0.1+x2=2 22、x-10.2=3(x-1)23、x-10.3+x+20.3=2 24 、12+13x =23+125、2x-10.5= 2-3x+20.326、错误! =3x27、错误! =3 28、错误! =错误!29、12{13[14(x+1)+1]+2} =2 30、25(300+x)-35(200+x)=400·110二、一元一次方程应用题1、一艘船在两个码头之间航行,水流的速度是3千米/时,顺水航行需要2小时,逆水航行需要3小时,求两码头之间的距离。
2、小华从家里骑自行车到学校。
若每小时行15千米,可比预定时间早到15分钟;若每小时行9千米,可比预定时间晚到15分钟;求从家里到学校的路程有多少千米?3、小兵由A地到B地,若以每小时12千米的速度,他将比原计划的时间迟到20分,若以每小时15千米的速度前进,则比原计划的时间早4分钟到达B地,求A、B两地间的距离。
4、甲、乙两人同时从A地前往相距25.5千米的B地,甲骑自行车,乙步行,甲的速度比乙的速度的2倍还快2千米/时,甲先到达B地后,立即由B地返回,在途中遇到乙,这时距他们出发的时间时已过了3小时。
解一元一次方程1、712=+x ;2、825=-x ;3、7233+=+x x ;4、735-=+x x ; 解:(移项)(合并) (化系数为1)5、914211-=-x x ;6、2749+=-x x ;7、162=+x ;8、9310=-x ; 解:(移项)(合并) (化系数为1)9、x x -=-324; 10、4227-=+-x x ;11、8725+=-x x ;12、32141+=-x x 解:(移项)(合并) (化系数为113、1623+=x x 14、253231+=-x x ;15、152+=--x x ; 16、23312+=--xx 解:(移项)(合并) (化系数为1).17、 475.0=)++(x x ; 18、2-41)=-(x ; 19、511)=-(x ; 20、212)=---(x ; 解:(去括号)(移项) (合并) (化系数为1)21、)12(5111+=+x x ; 22、32034)=-(-x x . 23、5058=)-+(x ; 24、293)=-(x ; 解:(去括号)(移项) (合并) (化系数为1)25、3-243)=+(x ; 26、2-122)=-(x ; 27、443212+)=-(x x ; 28、323236)=+(-x ; 解:(去括号)(移项) (合并) (化系数为1)29、x x 2570152002+)=-(; 30、12123)=+(x .31、452x x =+; 32、3423+=-x x ; 解:(去分母)(去括号) (移项) (合并) (化系数为1)33、)-()=+(3271131x x ; 34、)-()=+(131141x x ; 35、142312-+=-x x ; 解:(去分母)(去括号) (移项) (合并) (化系数为136、)+(-)=-(2512121x x . 37、)+()=+(20411471x x ; 38、)-(-)=+(731211551x x . 解:(去分母)(去括号) (移项) (合并) (化系数为139、432141=-x ; 40、83457=-x ; 41、815612+=-x x ; 42、629721-=-x x ; 解:(去分母)(去括号)(移项) (合并) (化系数为143、1232151)=-(-x x ; 44、1615312=--+x x ; 45、x x 2414271-)=+(; 解:(去分母)(去括号) (移项) (合并) (化系数为146、259300300102200103)=-()-+(x x . 47、307221159138)=-()--()--(x x x ; 解:(去分母)(去括号) (移项) (合并) (化系数为148、51413121-=+x x ; 49、13.021.02.015.0=-+--x x ; 50、3.01-x -5.02+x =12. 解:(化整)(去分母) (去括号) (移项) (合并) (化系数为1【参考答案】1、【答案】 (1)3=x ; (2)2=x ; (3)4=x ; (4)6=x ;(5)37=x ; (6)12=-x ; (7)4=x ; (8)32=-x .、【答案】 (9)25=-x ; (10)56=x ; (11)5=-x ; (12)31=-x ;(13)1=x ; (14)32=x ; (15)35=-x ; (16)1=x .2、【答案】(17)1=x ;(18)1=-x ; (19)56=x ; (20)3=-x ; (21)4=x ; (22)9=x . 、【答案】(23)7=-x ; (24)23=-x ; (25)11=-x ; (26)4=-x ; (27)21=x ; (28)910=x ; (29)6=x ; (30)23=x .3、【答案】 (31)8=x ; (32)51=x ; (33)16=-x ; (34)7=x ; (35)52=-x ;(36)3=x ; (37)28=-x ; (38)165=-x .、【答案】 (39)5=x ; (40)1413=x ; (41)1=-x ; (42)320=-x ; (43)1225=x ; (44)3=-x ; (45)87=x ; (46)216=x .4、【答案】 (47)3=x ; (48)1532=-x ; (49)1364=x ; (50)229=x .。
一、“移项+系数化1”针对练习(1)8x﹣5=3x;(2)6x﹣7=4x﹣5;(3)2x+17=32﹣3x;(4)7x+6=16﹣3x;(5)3x﹣4=2x+5;(6)4x﹣1=2x+5;(7)4﹣3x=6﹣5x;(8).(9)3x+7=32﹣2x;(10)5x+3=﹣2x﹣11;(11)3x﹣8=x+4;(12)5x+2=3x﹣18;(13)2﹣5x=3x+4;(14)5x﹣2x=9;(15)9﹣3y=5y+5.(16)5x﹣8=8x+1;(17)4x﹣1=2x+2.(18)3x+3=8﹣12x;(19)4x﹣2=2x+6;(20)3x﹣2=4x+1;(21)3x﹣6=2x+1;(22)x+4=x﹣2.(23);(24);(25).(26);(27)1.5:6=1:x.(28)6x﹣7=4x﹣5;(29)x+3x=﹣16;(30)9﹣3x=5x+5.(31);(32).(33);(34).(35)6x+6=2x﹣2;(36)3x+9=12;(二)“去括号”针对练习(1)3﹣5(x+1)=2x;(2)3(x﹣3)=x+1;(3)3(1﹣x)=1+2x;(4)8x=﹣2(x+4);(5)7﹣3(x﹣1)=﹣x;(6)2x﹣2(3x+1)=6;(7)5x﹣2(x﹣1)=3;(8)8﹣3(3x+2)=6;(9)x﹣3;(10)7x+2(3x﹣3)=20;(11)4﹣2x=﹣3(2﹣x);(12)4﹣3(2﹣x)=5x;(13)3(x+2)﹣2=x+2;(14)3(x﹣7)+5(x﹣4)=15;(15)x+2(x﹣3)=3(1﹣x);(16)2(3﹣x)=﹣4(x+5);(17)4﹣2(x+4)=2(x﹣1);(18)4(2x﹣1)﹣3(5x+1)=14;(19)3(2x﹣1)=5﹣2(x+2);(20)2((x﹣2)﹣3((4x﹣1)=5((1﹣x).(21)3(20﹣y)=6y﹣4(y﹣11);(22)1﹣3(x+1)=2(1﹣0.5x);(23)3(2x﹣7)=1﹣(x+8);(24);(25)3(x﹣1)+5(x﹣1)=16.(26)7x+2(3x﹣3)=20;(27)3x﹣4(x+1)=6﹣2(2x﹣5);(28)3(x﹣1)﹣2(x+10)=﹣6;(29)3(y﹣7)﹣5(4﹣y)=15;(30)2x﹣3(x﹣1)=5(1﹣x);(31)3x﹣2(x﹣1)=2+3(4﹣x).(32)5(x﹣4)+3(x+6)=14.(33)2(x﹣2)﹣(4x﹣1)=3(1﹣x);(34)2(x+1)=﹣5(x﹣2);(35)x﹣3=2(x﹣3)﹣6(1﹣x);(36)2(x+2)=3(x﹣1);(37)3x﹣2=5(x+2);(38)2(x+4)﹣10=5(x﹣2)+10x;(39)9y﹣2(﹣y+4)=3.(40)2(x﹣3)=1﹣3(x+1);(三)“去分母”针对练习(1);(2).(3).(4).(5)=1.(6);(7).(8).(11).(12).(13).(14).(15).(16).(17).(18).(19).(20).(23).(24).(25);(26).(27)﹣1.(28).(29).(30)5x=2x+5;(31)=.(32).(35).(36).(37)﹣1=.(38)=4.(39).(40).(41).(42)﹣1=.(43)=1.(44).(45)=1﹣.(46).(47).(48).(49).答案与解析(一)“移项+系数化1”针对练习(1)8x﹣5=3x;【解答】解:(1)移项得:8x﹣3x=5,合并同类项得:5x=5,系数化为1得:x=1,∴原方程的解为:x=1;(2)6x﹣7=4x﹣5;【解答】解:(1)移项,可得:6x﹣4x=﹣5+7,合并同类项,可得:2x=2,系数化为1,可得:x=1.(3)2x+17=32﹣3x;【解答】解:(1)2x+3x=32﹣17,5x=15,x=3;(4)7x+6=16﹣3x;【解答】解:(1)7x+6=16﹣3x,移项,得7x+3x=16﹣6,合并同类项,得10x=10,系数化为1,得x=1;(5)3x﹣4=2x+5;【解答】解:(1)3x﹣4=2x+5,移项,得3x﹣2x=5+4,合并同类项,得x=9;(6)4x﹣1=2x+5;【解答】解:(1)4x﹣1=2x+5,移项,得:4x﹣2x=5+1,合并同类项,得:2x=6,系数化为1,得:x=3;(7)4﹣3x=6﹣5x;﹣3x+5x=6﹣4,2x=2,x=1;(8)解方程:.【解答】解:,移项,得,合并同类项,得,系数化为1,得x=.(9)3x+7=32﹣2x;【解答】解:(1)移项合并得:5x=25,解得:x=5;(10)5x+3=﹣2x﹣11;【解答】解:(1)5x+3=﹣2x﹣11,移项,得5x+2x=﹣11﹣3,合并同类项,得7x=﹣14,系数化成1,得x=﹣2;(11)3x﹣8=x+4;【解答】解:(1)3x﹣8=x+4,3x﹣x=4+8,2x=12,x=6;(12)5x+2=3x﹣18;【解答】解:(1)5x+2=3x﹣18,移项,5x﹣3x=﹣18﹣2,合并同类项,2x=﹣20,系数化为1,x=﹣10;(13)2﹣5x=3x+4;移项,得﹣5x﹣3x=4﹣2,合并同类项,得﹣8x=2,系数化为1,得x=;(14)5x﹣2x=9;【解答】解:(1)5x﹣2x=9,合并同类项,得3x=9,系数化为1,得x=3;(15)9﹣3y=5y+5.【解答】(2)9﹣3y=5y+5,移项,得﹣3y﹣5y=5﹣9,合并同类项,得﹣8y=﹣4,系数化为1,得.(16)5x﹣8=8x+1;【解答】解:(1)5x﹣8=8x+1移项得:5x﹣8x=1+8,合并同类项得;﹣3x=9,系数化为1得;x=﹣3;(17)4x﹣1=2x+2.【解答】解:(1)移项,可得:4x﹣2x=2+1,合并同类项,可得:2x=3,系数化为1,可得:x=1.5.(18)3x+3=8﹣12x;【解答】解:(1)3x+3=8﹣12x,移项,得3x+12x=8﹣3,合并同类项,得15x=5,系数化为1,得x=;(19)4x﹣2=2x+6;【解答】解:(1)4x﹣2=2x+6,移项,得4x﹣2x=6+2,合并同类项,得2x=8,系数化为1,得x=4;(20)3x﹣2=4x+1;【解答】解:(1)移项,可得:3x﹣4x=1+2,合并同类项,可得:﹣x=3,系数化为1,可得:x=﹣3.(21)3x﹣6=2x+1;【解答】解:(1)3x﹣6=2x+1,移项,得3x﹣2x=6+1,合并同类项,得x=7;(22)x+4=x﹣2.【解答】(2)x+4=x﹣2,移项,得﹣=﹣2﹣4,合并同类项,得﹣=﹣6,系数化为1,得x=9.(23);【解答】解:(1)移项,可得:x=5%+14,合并同类项,可得:x=14.05,系数化为1,可得:x=.(24);【解答】(2)合并同类项,可得:1.4x=2.1,系数化为1,可得:x=1.5.(25).【解答】(3)∵,∴1.6x=,系数化为1,可得:x=.(26);【解答】解:(1)整理原方程,得:;系数化为1,得:x=;所以原方程的解为:x=;(27)1.5:6=1:x.【解答】(2)整理原方程,得:1.5x=6;系数化为1,得:x=4;所以原方程的解为:x=4.(28)6x﹣7=4x﹣5;【解答】解:(1)6x﹣7=4x﹣5,6x﹣4x=﹣5+7,2x=2,x=1;(29)x+3x=﹣16;【解答】解:(1)4x=﹣16,x=﹣4;(30)9﹣3x=5x+5.【解答】(2)﹣3x﹣5x=5﹣9,﹣8x=﹣4,x=.(31);【解答】解:(1),去分母,得:18x=2,系数化为1,得:x=;(32).【解答】(2).整理方程,得:=12,去分母,得:8x=36,系数化为1,得:x=.(33);【解答】解:(1)x系数化为1得:x=;(34).【解答】(2)方程整理得:x=6×,即x=4,解得:x=8.(35)6x+6=2x﹣2;【解答】解:(1)移项得:6x﹣2x=﹣2﹣6,合并同类项得:4x=﹣8,解得:x=﹣2;(36)3x+9=12;【解答】解:(1)移项得,3x=12﹣9,合并同类项得,3x=3,两边都除以3得,x=1;(二)“去括号”针对练习(1)3﹣5(x+1)=2x;【解答】(1)3﹣5(x+1)=2x,3﹣5x﹣5=2x,﹣5x﹣2x=5﹣3,﹣7x=2,x=﹣;(2)3(x﹣3)=x+1;【解答】解:(2)去括号,得3x﹣9=x+1,移项,得3x﹣x=9+1,合并,得2x=10,系数化为1,得x=5;(3)3(1﹣x)=1+2x;【解答】解:(3)去括号,得3﹣3x=1+2x,移项,得﹣3x﹣2x=1﹣3,合并同类项,得﹣5x=﹣2,解得x=0.4;(4)8x=﹣2(x+4);【解答】(4)去括号,可得:8x=﹣2x﹣8,移项,可得:8x+2x=﹣8,合并同类项,可得:10x=﹣8,系数化为1,可得:x=﹣0.8.(5)7﹣3(x﹣1)=﹣x;【解答】(5)7﹣3(x﹣1)=﹣x,7﹣3x+3=﹣x,﹣3x+x=﹣3﹣7,﹣2x=﹣10,x=5;(6)2x﹣2(3x+1)=6;【解答】解:(6)2x﹣2(3x+1)=6,去括号,得2x﹣6x﹣2=6,移项,得2x﹣6x=6+2,合并同类项,得﹣4x=8,系数化成1,得x=﹣2;(7)5x﹣2(x﹣1)=3;【解答】解:(7)原方程去括号得:5x﹣2x+2=3,移项得:5x﹣2x=3﹣2,合并同类项得:3x=1,系数化为1得:x=;(8)8﹣3(3x+2)=6;【解答】解:(8)去括号得:8﹣9x﹣6=6,移项合并得:﹣9x=4,解得:x=﹣;(9)x﹣3;【解答】(9)x﹣3,5(3x﹣6)=12x﹣90,15x﹣30=12x﹣90,15x﹣12x=﹣90+30,3x=﹣60,x=﹣20;(10)7x+2(3x﹣3)=20;【解答】解:(10)去括号得,7x+6x﹣6=20,移项得,7x+6x=20+6,合并同类项得,13x=26,x的系数化为1得,x=2;(11)4﹣2x=﹣3(2﹣x);【解答】解:(11)4﹣2x=﹣3(2﹣x),去括号得:4﹣2x=﹣6+3x,移项合并得:5x=10,系数化为1得:x=2;(12)4﹣3(2﹣x)=5x;【解答】解:(12)4﹣3(2﹣x)=5x,去括号,得:4﹣6+3x=5x,移项,得:3x﹣5x=﹣4+6,合并同类项,得:﹣2x=2,系数化为1,得:x=﹣1;(13)3(x+2)﹣2=x+2;【解答】解:(13)3(x+2)﹣2=x+2;3x+6﹣2=x+2,3x﹣x=2﹣6+2,2x=﹣2x=﹣1.(14)3(x﹣7)+5(x﹣4)=15;【解答】解:(14)去括号得:3x﹣21+5x﹣20=15,移项、合并同类项得:8x=56,系数化1得:x=7.(15)x+2(x﹣3)=3(1﹣x);【解答】解:(15)x+2(x﹣3)=3(1﹣x),去括号,得:x+2x﹣6=3﹣3x,移项、合并同类项,得:6x=9,系数化为1,得:;(16)2(3﹣x)=﹣4(x+5);【解答】(16)2(3﹣x)=﹣4(x+5),去括号,得6﹣2x=﹣4x﹣20,移项,得4x﹣2x=﹣20﹣6,合并同类项,得2x=﹣26,系数化为1,得x=﹣13;(17)4﹣2(x+4)=2(x﹣1);【解答】解:(17)4﹣2(x+4)=2(x﹣1),去括号得:4﹣2x﹣8=2x﹣2,移项得:2x+2x=4﹣8+2,合并同类项得:4x=﹣2,系数化为1得:;(18)4(2x﹣1)﹣3(5x+1)=14;【解答】解:(18)原方程去括号得:8x﹣4﹣15x﹣3=14,移项得:8x﹣15x=14+4+3,合并同类项得:﹣7x=21,系数化为1得:x=﹣3;(19)3(2x﹣1)=5﹣2(x+2);【解答】解:(19)6x﹣3=5﹣2x﹣4,6x+2x=5﹣4+3,8x=4,x=;(20)2(x﹣2)﹣3(4x﹣1)=5(1﹣x).【解答】(20)2x﹣4﹣12x+3=5﹣5x,2x﹣12x+5x=5+4﹣3,﹣5x=6,x=﹣.(21)3(20﹣y)=6y﹣4(y﹣11);【解答】解:(21)去括号得:60﹣3y=6y﹣4y+44,移项合并得:5y=16,解得:y=3.2;(22)1﹣3(x+1)=2(1﹣0.5x);【解答】(22)1﹣3(x+1)=2(1﹣0.5x),1﹣3x﹣3=2﹣x,﹣3x+x=2+3﹣1,﹣2x=4,x=﹣2;(23)3(2x﹣7)=1﹣(x+8);【解答】解:(23)3(2x﹣7)=1﹣(x+8),6x﹣21=1﹣x﹣86x+x=﹣7+21,7x=14,x=2;(24);【解答】(24),去分母,得2x﹣1+3=18(2x﹣1),去括号,得2x﹣1+3=36x﹣18,移项,得2x﹣36x=﹣18+1﹣3,合并同类项,得﹣34x=﹣20,系数化为1,得x=;(25)3(x﹣1)+5(x﹣1)=16.【解答】解:(25)3(x﹣1)+5(x﹣1)=16,去括号,得3x﹣3+5x﹣5=16,移项,得3x+5x=16+3+5,合并同类项,得8x=24,系数化成1,得x=3;(26)7x+2(3x﹣3)=20;【解答】解:(26)7x+2(3x﹣3)=20,去括号,得7x+6x﹣6=20,移项,得7x+6x=20+6,合并同类项,得13x=26,系数化成1,得x=2;(27)3x﹣4(x+1)=6﹣2(2x﹣5);【解答】解:(27)3x﹣4(x+1)=6﹣2(2x﹣5)去括号得:3x﹣4x﹣4=6﹣4x+10,移项得:3x﹣4x+4x=6+10+4,合并同类项得:3x=20,系数化为1得;;(28)3(x﹣1)﹣2(x+10)=﹣6;【解答】解:(28)去括号得,3x﹣3﹣2x﹣20=﹣6,移项得,3x﹣2x=﹣6+3+20,合并同类项得,x=17;(29)3(y﹣7)﹣5(4﹣y)=15;【解答】解:(29)去括号得,3y﹣21﹣20+5y=15,移项得,3y+5y=15+21+20,合并同类项可得,8y=56系数化为1得,y=7;(30)2x﹣3(x﹣1)=5(1﹣x);【解答】解:(30)2x﹣3(x﹣1)=5(1﹣x),去括号得:2x﹣3x+3=5﹣5x,移项得:2x﹣3x+5x=5﹣3,合并同类项得:4x=2,把系数化为1得:x=.(31)3x﹣2(x﹣1)=2+3(4﹣x).【解答】(31)3x﹣2(x﹣1)=2+3(4﹣x),去括号,得3x﹣2x+2=2+12﹣3x,移项,得3x﹣2x+3x=2+12﹣2,合并同类项,得4x=12,系数化为1,得x=3.(32)5(x﹣4)+3(x+6)=14.【解答】(32)去括号,可得:5x﹣20+3x+18=14,移项,可得:5x+3x=14+20﹣18,合并同类项,可得:8x=16,系数化为1,可得:x=2.(33)2(x﹣2)﹣(4x﹣1)=3(1﹣x);【解答】解:(33)2(x﹣2)﹣(4x﹣1)=3(1﹣x);去括号得:2x﹣4﹣4x+1=3﹣3x移项得:2x﹣4x+3x=3+4﹣1,合并得:x=6;(34)2(x+1)=﹣5(x﹣2);【解答】解:(34)2(x+1)=﹣5(x﹣2),去括号得:2x+2=﹣5x+10,移项得:2x+5x=10﹣2,合并同类项得:7x=8,系数化为1得:;(35)x﹣3=2(x﹣3)﹣6(1﹣x);【解答】解:(35)x﹣3=2(x﹣3)﹣6(1﹣x),去括号,得x﹣3=2x﹣6﹣6+6x,移项,得x﹣2x﹣6x=﹣6﹣6+3,合并同类项,得﹣7x=﹣9,系数化成1,得x=;(36)2(x+2)=3(x﹣1);【解答】(36)去括号得:2x+4=3x﹣3,移项得:2x﹣3x=﹣3﹣4,合并同类项得:﹣x=﹣7,解得:x=7;(37)3x﹣2=5(x+2);【解答】解:(37)去括号得,3x﹣2=5x+10,移项合并得:2x=﹣12,解得:x=﹣6;(38)2(x+4)﹣10=5(x﹣2)+10x;【解答】解:(38)去括号得:2x+8﹣10=5x﹣10+10x,移项得:2x﹣5x﹣10x=﹣10﹣8+10,合并同类项得:﹣13x=﹣8,解得:x=;(39)9y﹣2(﹣y+4)=3.【解答】(39)去括号得:9y+2y﹣8=3,移项得:9y+2y=3+8,合并同类项得:11y=11,解得:y=1.(40)2(x﹣3)=1﹣3(x+1);【解答】解:(40)去括号得:2x﹣6=1﹣3x﹣3,移项得:2x+3x=1﹣3+6,合并同类项得:5x=4,解得:x=0.8;(三)“去分母”针对练习(1);【解答】(1)去分母,可得:3(3y﹣1)﹣12=2(5y﹣7),去括号,可得:9y﹣3﹣12=10y﹣14,移项,可得:9y﹣10y=﹣14+3+12,合并同类项,可得:﹣y=1,系数化为1,可得:y=﹣1.(2).【解答】(2).去分母,可得:4(5y+4)+3(y﹣1)=24﹣(5y﹣5),去括号,可得:20y+16+3y﹣3=24﹣5y+5,移项,可得:20y+3y+5y=24+5﹣16+3,合并同类项,可得:28y=16,系数化为1,可得:y=.(3).【解答】(3)去分母得:4(5y+1)=3(9y+1)﹣8(1﹣y),去括号得:20y+4=27y+3﹣8+8y,移项、合并同类项得:﹣15y=﹣9,系数化1得:.(4).【解答】(4),去分母,得:6﹣2(2x﹣1)=3+x,去括号,得:6﹣4x+2=3+x,移项、合并同类项,得:﹣5x=﹣5,系数化为1,得:x=1.(5)=1.【解答】(5)3(x﹣2)+2(5﹣2x)=6,3x﹣6+10﹣4x=6,3x﹣4x=6+6﹣10,﹣x=2,x=﹣2.(6);【解答】(6),去分母,得2(2x﹣1)=3(3x+5),去括号,得4x﹣2=9x+15,移项,得4x﹣9x=2+15,合并同类项,得﹣5x=17,系数化为1,得x=﹣;(7).【解答】(7),去分母,得2(3x﹣2)﹣(5x+1)=18,去括号,得6x﹣4﹣5x﹣1=18,移项,得6x﹣5x=18+4+1,合并同类项,得x=23.(8).【解答】(8),去分母,得x﹣3﹣2(2x+1)=4,去括号,得x﹣3﹣4x﹣2=4,移项,得x﹣4x=4+3+2,合并同类项,得﹣3x=9,系数化成1,得x=﹣3.(9).【解答】(9)分母化为整数得:,去分母得:3(3x﹣4)+12=2(5x﹣2),去括号得:9x﹣12+12=10x﹣4,即:9x=10x﹣4,移项、合并同类项得:x=4.(10).【解答】(10),去分母,得:2(2x+1)﹣(x﹣1)=6,去括号,得:4x+2﹣x+1=6,移项,合并同类项,得3x=3,系数化为1,得:x=1.(11).【解答】(11)去分母得:2(2x﹣1)﹣(x+2)=12,去括号得:4x﹣2﹣x﹣2=12,移项得:4x﹣x=12+2+2,合并同类项得:3x=16,系数化为1得:,∴原方程的解为:.(12).【解答】(12),3(3x﹣1)=6﹣(x﹣1),9x﹣3=6﹣x+1,9x+x=6+1+3,10x=10,x=1;(13).【解答】(13),4(2x﹣1)﹣12x=3(2x+1)﹣12,8x﹣4﹣12x=6x+3﹣12,8x﹣12x﹣6x=3﹣12+4,﹣10x=﹣5,x=.(14).【解答】(14)原方程去分母得:2(7﹣5x)=4﹣(3x﹣1),去括号得:14﹣10x=4﹣3x+1,移项得:﹣10x+3x=4+1﹣14,合并同类项得:﹣7x=﹣9,系数化为1得:x=.(15).【解答】(15),去分母,得3(x+1)﹣6=2(2﹣3x),去括号,得3x+3﹣6=4﹣6x,移项,得3x+6x=4﹣3+6,合并同类项,得9x=7,系数化成1,得x=.(16).【解答】(16),去分母得,2(2x﹣3)=5(3x﹣1)+10,去括号得,4x﹣6=15x﹣5+10,移项得,4x﹣15x=﹣5+10+6,合并同类项得,﹣11x=11,x的系数化为1得,x=﹣1.(17).【解答】(17)原方程去分母得:3x﹣2=6+2(x﹣1),去括号得:3x﹣2=6+2x﹣2,移项得:3x﹣2x=6﹣2+2,合并同类项得:x=6.(18).【解答】(18)去分母得:3(2x+1)﹣12=12x﹣2(5x﹣3),去括号得:6x+3﹣12=12x﹣10x+6,移项合并得:4x=15,解得:x=.(19).【解答】(19)方程去分母得:18x+3x﹣3=18﹣4x+4,移项合并得:25x=25,解得:x=1.(20).【解答】(20)去分母得:1.2x+9﹣1.2=0.9﹣2x,移项合并得:3.2x=﹣6.9,解得:x=﹣.(21).【解答】(21),去分母,得2x+1=6﹣2(5x﹣2),去括号,得2x+1=6﹣10x+4,移项,得2x+10x=6+4﹣1,合并同类项,得12x=9,系数化成1,得x=.(22).【解答】(22),3(3y﹣1)﹣12=2(5y﹣7),9y﹣3﹣12=10y﹣14,9y﹣10y=﹣14+12+3,﹣y=1,y=﹣1.(23).【解答】(52)去分母得:10y﹣5(y﹣1)=30﹣2(y+2),去括号得:10y﹣5y+5=30﹣2y﹣4,移项得:10y﹣5y+2y=30﹣4﹣5,合并同类项得:7y=21,解得:y=3.(24).【解答】(24),去分母,方程两边同时乘以最小公倍数6,2(2x+1)=3(x﹣1),去括号,4x+2=3x﹣3,移项,合并同类项,4x﹣3x=﹣3﹣2,系数化为1,x=﹣5.(25);【解答】(25),去分母,得3(3y﹣1)﹣2(5y﹣7)=12,去括号,得9y﹣3﹣10y+14=12,移项,得9y﹣10y=12+3﹣14,合并同类项,得﹣y=1,系数化为1,得y=﹣1;(26).【解答】(26),原方程可化为,去分母,得4(x﹣20)+3(30﹣7x)=12,去括号,得4x﹣80+90﹣21x=12,移项,得4x﹣21x=12+80﹣90,合并同类项,得﹣17x=2,系数化为1,得x=﹣.(27)﹣1.【解答】(51)去分母得:4(2y﹣1)=3(y+2)﹣12,去括号得:8y﹣4=3y+6﹣12,移项合并得:5y=﹣2,解得:y=﹣.(28).【解答】(28),去分母,得7(1﹣2x)=3(3x+1)﹣63,去括号,得7﹣14x=9x+3﹣63,移项,得﹣14x﹣9x=3﹣63﹣7,合并同类项,得﹣23x=﹣67,系数化成1,得x=.(29).【解答】(29)去分母得,2(2x﹣1)=3(3x+5)﹣6,去括号得,4x﹣2=9x+15﹣6,移项得,4x﹣9x=15﹣6+2,合并同类项得,﹣5x=11,x的系数化为1得,x=﹣.(30)5x=2x+5;【解答】解:(30)5x=2x+5,5x﹣2x=5﹣,3x=5,x=;(31)=.【解答】(31)=,5x﹣10=2x+2,5x﹣2x=2+10,3x=12,x=4.(32).【解答】(32)整理得:,去分母得:3(3x﹣1)﹣2(2x+9)=﹣48,去括号得:9x﹣3﹣4x﹣18=﹣48,移项得:9x﹣4x=﹣48+18+3,合并同类项得:5x=﹣27,系数化为1得;.(33).【解答】(33)去分母得,4(2x﹣6)﹣3(x+18)=12,去括号得,8x﹣24﹣3x﹣54=12,移项得,8x﹣3x=12+24+54,合并同类项得,5x=90,系数化为1得,x=18.(34).【解答】(34)去分母可得,10(x+2)﹣20(2x﹣1)=﹣2,去括号得,10x+20﹣40x+20=﹣2,移项得,10x﹣40x=﹣2﹣20﹣20,合并同类项得,﹣30x=﹣42,系数化为1得,.(35).【解答】(35),去分母得:3(x+2)﹣2(x﹣1)=12,去括号得:3x+6﹣2x+2=12,移项合并得:x=4.(36).【解答】(36),去分母,得:4x﹣2(2x+3)=24﹣(8﹣x),去括号,得:4x﹣4x﹣6=24﹣8+x,移项,得:4x﹣4x﹣x=24﹣8+6,合并同类项,得:﹣x=22,系数化为1,得:x=﹣22.【解答】(37)﹣1=去分母得:3(x+1)﹣6=2(2﹣3x),去括号得:3x+3﹣6=4﹣6x,移项并合并得:9x=7,系数化为1得:x=.(38)=4.【解答】(38)去分母,可得:3(x﹣3)+2(x﹣1)=24,去括号,可得:3x﹣9+2x﹣2=24,移项,可得:3x+2x=24+9+2,合并同类项,可得:5x=35,系数化为1,可得:x=7.(39).【解答】(39),去分母,得2(2x+1)﹣(5x﹣1)=﹣6,去括号,得4x+2﹣5x+1=﹣6,移项,得4x﹣5x=﹣6﹣1﹣2,合并同类项,得﹣x=﹣9,系数化为1,得x=9.(40).【解答】(40).2(2x+1)﹣(10x+1)=4,4x+2﹣10x﹣1=4,4x﹣10x=4﹣2+1,﹣6x=3.x=﹣0.5.【解答】(41)1﹣=,去分母得:15﹣3(x﹣3)=5(4﹣x),去括号得:15﹣3x+9=20﹣5x,移项得:﹣3x+5x=20﹣15﹣9,合并同类项得:2x=﹣4,把系数化为1得:x=﹣2.(42)﹣1=.【解答】(42)去分母得:3(3y﹣1)﹣12=2(5y﹣7),去括号得:9y﹣3﹣12=10y﹣14,移项得:9y﹣10y=﹣14+3+12,合并得:﹣y=1,解得:y=﹣1.(43)=1.【解答】(43)﹣=1,5(x+2)﹣3(2x﹣3)=15,5x+10﹣6x+9=15,5x﹣6x=15﹣10﹣9,﹣x=﹣4,x=4.(44).【解答】(44),去分母得:3(3x+5)=2×2x,去括号得:9x+15=4x,移项得:9x﹣4x=﹣15,合并同类项得:5x=﹣15,系数化为1得:x=﹣3.(45)=1﹣.【解答】(45)=1﹣,去分母,得2(2x﹣1)=4﹣(3﹣x),去括号,得4x﹣2=4﹣3+x,移项,得4x﹣x=4﹣3+2,合并同类项,3x=3,系数化成1,得x=1.(46).【解答】(46)去分母,得5×3x﹣2(4x﹣2)=﹣10,去括号,得15x﹣8x+4=﹣10,移项,得15x﹣8x=﹣10﹣4,合并同类项,得7x=﹣14,系数化为1,得x=﹣2.(47).【解答】(47)去分母得:2(1+2x)=3(1﹣x),去括号得:2+4x=3﹣3x,移项得:4x+3x=3﹣2,合并同类项得:7x=1,解得:x=.(48)解方程:.【解答】(50)解:,去分母,得2x+3(30﹣x)=30,去括号,得2x+90﹣3x=30,移项,得2x﹣3x=30﹣90,合并同类项,得﹣x=﹣60,系数化为1,得x=60.(49).【解答】(49)去分母,得3(x+2)﹣2(2x﹣3)=24,去括号,得3x+6﹣4x+6=24,移项,得3x﹣4x=24﹣6﹣6,合并,得﹣x=12,系数化为1,得x=﹣12.。
解一元一次方程1、712=+x ;2、825=-x ;3、7233+=+x x ;4、735-=+x x ; 解:(移项)(合并) (化系数为1)5、914211-=-x x ;6、2749+=-x x ;7、162=+x ;8、9310=-x ; 解:(移项)(合并) (化系数为1)9、x x -=-324; 10、4227-=+-x x ;11、8725+=-x x ;12、32141+=-x x 解:(移项)(合并) (化系数为113、1623+=x x 14、253231+=-x x ;15、152+=--x x ; 16、23312+=--xx 解:(移项)(合并) (化系数为1).17、 475.0=)++(x x ; 18、2-41)=-(x ; 19、511)=-(x ; 20、212)=---(x ;解:(去括号)(移项) (合并) (化系数为1)21、)12(5111+=+x x ; 22、32034)=-(-x x . 23、5058=)-+(x ; 24、293)=-(x ; 解:(去括号)(移项) (合并) (化系数为1)25、3-243)=+(x ; 26、2-122)=-(x ; 27、443212+)=-(x x ; 28、323236)=+(-x ; 解:(去括号)(移项) (合并) (化系数为1)29、x x 2570152002+)=-(; 30、12123)=+(x .31、452x x =+; 32、3423+=-x x ; 解:(去分母)(去括号) (移项) (合并) (化系数为1)33、)-()=+(3271131x x ; 34、)-()=+(131141x x ; 35、142312-+=-x x ; 解:(去分母)(去括号) (移项) (合并) (化系数为136、)+(-)=-(2512121x x . 37、)+()=+(20411471x x ; 38、)-(-)=+(731211551x x . 解:(去分母)(去括号) (移项) (合并) (化系数为139、432141=-x ; 40、83457=-x ; 41、815612+=-x x ; 42、629721-=-x x ; 解:(去分母)(去括号) (移项) (合并) (化系数为143、1232151)=-(-x x ; 44、1615312=--+x x ; 45、x x 2414271-)=+(; 解:(去分母)(去括号) (移项) (合并) (化系数为146、259300300102200103)=-()-+(x x . 47、307221159138)=-()--()--(x x x ; 解:(去分母)(去括号) (移项) (合并) (化系数为148、51413121-=+x x ; 49、13.021.02.015.0=-+--x x ; 50、3.01-x -5.02+x =12. 解:(化整)(去分母) (去括号) (移项) (合并) (化系数为1【参考答案】1、【答案】 (1)3=x ; (2)2=x ; (3)4=x ; (4)6=x ;(5)37=x ; (6)12=-x ; (7)4=x ; (8)32=-x .1.1、【答案】 (9)25=-x ; (10)56=x ; (11)5=-x ; (12)31=-x ;(13)1=x ; (14)32=x ; (15)35=-x ; (16)1=x .2、【答案】(17)1=x ;(18)1=-x ; (19)56=x ; (20)3=-x ; (21)4=x ; (22)9=x . 2.1、【答案】(23)7=-x ; (24)23=-x ; (25)11=-x ; (26)4=-x ; (27)21=x ; (28)910=x ; (29)6=x ; (30)23=x .3、【答案】 (31)8=x ; (32)51=x ; (33)16=-x ; (34)7=x ; (35)52=-x ;(36)3=x ; (37)28=-x ; (38)165=-x .3.1、【答案】 (39)5=x ; (40)1413=x ; (41)1=-x ; (42)320=-x ; (43)1225=x ; (44)3=-x ; (45)87=x ; (46)216=x .4、【答案】 (47)3=x ; (48)1532=-x ; (49)1364=x ; (50)229=x .。
初中数学解一元一次方程经典练习题(含答案)解下列一元一次方程:1、3x+7 =2x+14;2、59 x + 2.5 = 23 x + 2.4;3、6(x+1)+7(x+2)= 8(x+3);4、x=2−x 3 + 2+x 4 ;5、2x +3(21+x )=6x +5(9+x );6、5−x 3 + 6-x = 1−x 2 + 20+x 4 ;7、23 [ x - 15( x +1)]= 14(x+14);8、4+3x−10.7 =2- 2x−30.5 ;9、5(x-2)+6x= 0.8(x+4)-3;10、3x+4(x+1)+5(x+2)=50;11、 13 - 15(16 x -1;12、1= x + x 2 + x 4 + x 6 + x12 ;参考答案1、3x+7=2x+14;解:3x+7=2x+143x-2x=14-7x=7故原方程的解是:x=72、59 x + 2.5 = 23 x + 2.4; 解:59 x + 2.5 = 23 x + 2.4 59 x - 23 x =2.4-2.5 5−2×39 x= -0.1 −19x= -0.1x= -0.9故原方程的解是:x= -0.93、6(x+1)+7(x+2)= 8(x+3);解:6(x+1)+7(x+2)= 8(x+3)6x+6+7x+14 =8x+2413x+20 =8x+2413x-8x=24-205x= 4x= 45故原方程的解是:x= 454、x= 2−x3 + 2+x4;解:x= 2−x3 + 2+x412x =4(2-x)+3(2+x)12x=8-4x+6+3x12x=14-x12x+x =1413x=14x= 1413故原方程的解是:x= 14135、2x +3(21+x)=6x +5(9+x);解:2x +3(21+x)=6x +5(9+x)2x+63+3x =6x+45+5x5x+63 =11x+455x-11x=45-63-6x= -18x=3故原方程的解是:x=36、5−x3 + 6-x = 1−x2+ 20+x4;解:5−x3 + 6-x = 1−x2+ 20+x4等式两边同时乘以124(5-x)+12(6-x)=6(1-x)+3(20+x)20-4x+72-12x =6-6x+60+3x-16x+92 =-3x+66-16x+3x =-92+66-13x= -26x=2故原方程的解是:x=27、23[ x - 15( x +1)]=14(x+14);解:23[ x - 15( x +1)]=14(x+14)等式两边同时乘以128 [ x - 15( x +1)]=3(x+14)8x- 85( x +1)=3x+42- 85( x +1)= 3x-8x+42- 85( x +1)= -5x+42等式两边同时乘以5-8(x+1)=5(-5x+42)-8x-8 =-25x+21025x-8x=210+817x=218x= 21817故原方程的解是:x=218178、4+ 3x−10.7 =2- 2x−30.5 ;解:4+ 3x−10.7 =2- 2x−30.5等式两边同时乘以0.7×0.54×0.7×0.5 +0.5(3x-1)=2×0.7×0.5 -0.7(2x-3)1.4+1.5x-0.5= 0.7-1.4x+2.10.9+1.5x= -1.4x+2.81.5x+1.4x=2.8-0.92.9x= 1.9x= 1929 故原方程的解是:x= 19299、5(x -2)+6x= 0.8(x+4)-3;解:5(x -2)+6x= 0.8(x+4)-35x-10+6x =0.8x+3.2-35x+6x-0.8x =3.2-3+10(5+6-0.8)x=10.210.2x=10.2x=1故原方程的解是:x=110、3x+4(x+1)+5(x+2)=50; 解:3x+4(x+1)+5(x+2)=503x+4x+4+5x+10=503x+4x+5x= 50-4-10(3+4+5)x= 3612x= 36x= 3故原方程的解是:x=311、 13 - 15(16 x -1;解: 13 - 15(16 x -1等号两边同时乘以15 - 15(16 x -1)] = x 等号左边去中括号(16 x -1)=x 等号左边去小括号- 16 x +1=x等号两边同时乘以2430x-4x+24=24x26x+24=24x2x= -24x= -12故原方程的解是:x= -1212、1= x + x2 + x4+ x6+ x12;解:1= x + x2 + x4+ x6+ x12等式两边同时乘以12 12=12x+6x+3x+2x+x12=24xx= 12故原方程的解是:x= 12。
一元一次方程20道练习题1. 解方程:2x + 3 = 72. 解方程:5x 2 = 133. 解方程:3x + 4 = 194. 解方程:4x 5 = 115. 解方程:7x + 2 = 396. 解方程:8x 3 = 357. 解方程:6x + 5 = 418. 解方程:9x 4 = 459. 解方程:10x + 3 = 8310. 解方程:11x 5 = 7711. 解方程:12x + 4 = 9612. 解方程:13x 6 = 9313. 解方程:14x + 5 = 11914. 解方程:15x 7 = 11315. 解方程:16x + 6 = 13216. 解方程:17x 8 = 12917. 解方程:18x + 7 = 15518. 解方程:19x 9 = 15119. 解方程:20x + 8 = 16820. 解方程:21x 10 = 167请仔细阅读每个方程,理解其含义,并使用一元一次方程的解法来求解。
祝您练习愉快!一元一次方程20道练习题1. 解方程:3x 7 = 42. 解方程:5x + 6 = 293. 解方程:7x 2 = 454. 解方程:9x + 3 = 725. 解方程:11x 4 = 876. 解方程:13x + 5 = 1067. 解方程:15x 6 = 1238. 解方程:17x + 7 = 1409. 解方程:19x 8 = 15710. 解方程:21x + 9 = 17411. 解方程:23x 10 = 19112. 解方程:25x + 11 = 20813. 解方程:27x 12 = 22514. 解方程:29x + 13 = 24215. 解方程:31x 14 = 25916. 解方程:33x + 15 = 27617. 解方程:35x 16 = 29318. 解方程:37x + 17 = 31019. 解方程:39x 18 = 32720. 解方程:41x + 19 = 344请仔细阅读每个方程,理解其含义,并使用一元一次方程的解法来求解。
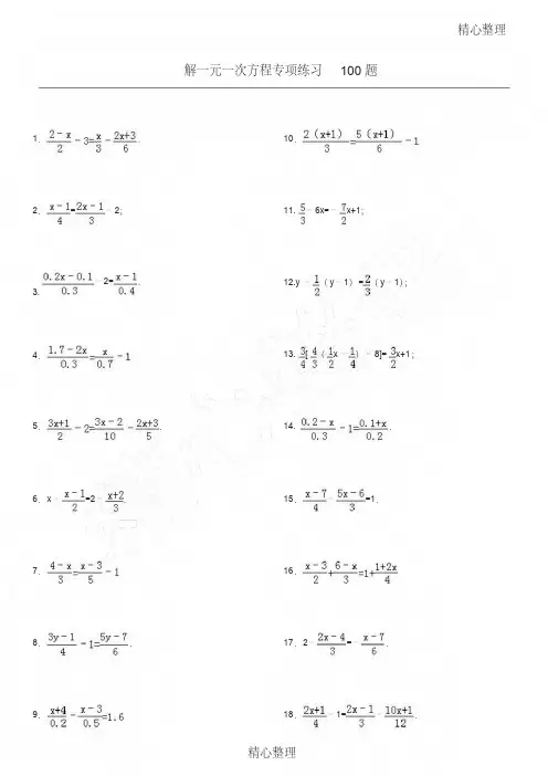
解一元一次方程专项练习100题1..2.=﹣2;3.﹣2=.4.5..6.x ﹣=2﹣.7.8..9.10.11. ﹣6x=﹣x+1;12. y ﹣(y﹣1)=(y﹣1);13. [(x ﹣)﹣8]=x+1;14..15.﹣=1.16.17.2﹣=﹣.18.﹣1=﹣.19..20..21.22..23.;24..25..26.27..28. 2﹣=x ﹣;29. ﹣1=.30..31.(x﹣1)=2﹣(x+2).32..33.34.35. ;36. .37..38.39.40.41.42. x ﹣43.;44. .45.(x﹣1)﹣(3x+2)=﹣(x ﹣1).46.47.;48. .49.+1=;50. 75%(x﹣1)﹣25%(x﹣4)=25%(x+6)51.52.53.54.55.56.57. ;58. .59. 2x ﹣(x﹣3)=[x ﹣(3x+1)].60.61.62.x+=1﹣63..64.65. ﹣=.66.=67.68.69.70.=;71. 3(x+2)﹣2(x ﹣)=5﹣4x.72. 2x ﹣73.74.[(﹣1)﹣2]﹣x=2.75.﹣1=.76.,77..78.79.80. ;81. .82.83.84.85. ﹣=.86.=1﹣.87.88..89..90..91.92. ;93..94..95.;96. .97..98. ;99. [(x﹣1)﹣3]=2x﹣5;100..解一元一次方程100题难题解析1.去分母得:3(2﹣x)﹣18=2x﹣(2x+3),去括号得: 6﹣3x﹣18=﹣3,移项合并得:﹣3x=9,∴x=﹣32.去分母得,3(x﹣1)=4(2x﹣1)﹣24,去括号得,3x﹣3=8x﹣4﹣24,移项、合并同类项得,5x=25,系数化为1得,x=5;3. 原方程变形为:﹣2=,去分母得,4(2x﹣1)﹣24=3(10x﹣10),去括号得,8x﹣4﹣24=30x﹣30,移项、合并同类项得,22x=2,系数化为1得,x=4.去分母得,7(1.7﹣2x)=3x﹣2.1去括号,11.9﹣14x=3x﹣2.1移项合并同类项得,﹣17x=﹣14系数化为1得,x=.5.原方程变形成5(3x+1)﹣20=3x﹣2﹣2(2x+3) 15x﹣15=﹣x﹣816x=7∴6.去分母得:6x﹣3(x﹣1)=12﹣2(x+2)去括号得:6x﹣3x+3=12﹣2x﹣4移项得:6x﹣3x+2x=12﹣4﹣3合并得:5x=5系数化为1得:x=1.7.去分母得:5(4﹣x)=3(x﹣3)﹣15,化简可得: 2x=11,系数化1得: x=8.原式可变形为:3(3y﹣1)﹣12=2(5y﹣7)去括号得: 9y﹣3﹣12=10y﹣14移项得: 9y﹣10y=﹣14+12+3合并得:﹣y=1系数化1得: y=﹣19.原方程分母化整得:去分母,得 5(x+4)﹣2(x﹣3)=1.6,去括号,得 5x+20﹣2x+6=1.6,移项、合并同类项,得 15x=﹣122,系数化1,得 x=10.去分母得:4(x+1)=5(x+1)﹣6,去括号得: 4x+4=5x+5﹣6,移项、合并得:﹣x=﹣5,系数化为1得: x=5.11. 移项,合并得x=,化系数为1,得x=;12. 去分母,得6y﹣3(y﹣1)=4(y﹣1),去括号,得 6y﹣3y+3=4y﹣4,移项,合并得 y=7;13. 去括号,得(x ﹣)﹣6=x+1,x ﹣﹣6=x+1,移项,合并得x=;14. 原方程变形为﹣1=,去分母,得2(2﹣10x)﹣6=3(1+10x),去括号,得 4﹣20x﹣6=3+30x,移项,合并得﹣50x=5,化系数为1,得 x=﹣.15.去分母得:3(x﹣7)+4(5x﹣6)=12,去括号得: 3x﹣21+20x﹣24=12,移项得: 3x+6x=12+21+24,合并同类项得: 9x=57,化系数为1得: x=16.去分母:6(x﹣3)+4(6﹣x)=12+3(1+2x),去括号:6x﹣18+24﹣4x=12+3+6x,移项:6x﹣4x﹣6x=12+3+18﹣24,化简:﹣4x=9,化系数为1:x=﹣.17.去分母得:12﹣2(2x﹣4)=﹣(x﹣7),去括号得: 12﹣4x+8=﹣x+7,移项得:﹣4x+x=7﹣20,合并得:﹣3x=﹣13,系数化为1得: x=.18.去分母得:3(2x+1)﹣12=4(2x﹣1)﹣(10x+1),去括号得: 6x+3﹣12=8x﹣4﹣10x﹣1,移项合并同类项得: 8x=4,系数化为得: x=19.去分母得:2(5x﹣7)+12=3(3x﹣1)去括号得: 10x﹣14+12=9x﹣3移项得: 10x﹣9x=﹣3+14﹣12 系数化为1得: x=﹣120.去分母得:3(3x+4)﹣2(6x﹣1)=6去括号得: 9x+12﹣12x+2=6移项、合并同类项得:﹣3x=﹣8系数化为1得: x=21.去分母得:6(x+4)﹣30x+150=10(x+3)﹣15(x﹣2)去括号得: 6x+24﹣30x+150=10x+30﹣15x+30移项、合并得:﹣19x=﹣114化系数为1得: x=6.22.去分母得:4(2x﹣1)﹣3(3x﹣1)=24,去括号得: 8x﹣4﹣9x+3=24,移项合并得:﹣x=25,化系数为1得: x=﹣25 23. 原方程可以变形为:5x﹣10﹣2(x+1)=3, 5x﹣10﹣2x﹣2=3, 3x=15, x=5;24. 原方程可以变形为[x ﹣(x ﹣x+)﹣]=x+,(x ﹣x+x ﹣﹣)=x+,(x ﹣)=x+,,,x=﹣25.﹣=﹣12(2x﹣1)﹣(5﹣x)=3(x+3)﹣62x=10x=526.去括号得:x ﹣﹣8=x,移项、合并同类项得:﹣x=8,系数化为1得: x=﹣8.27.,去分母得:2x﹣(3x+1)=6﹣3(x﹣1),去括号得: 2x﹣3x﹣1=6﹣3x+3,移项、合并同类项得:2x=10,系数化为1得: x=528. 12﹣(x+5)=6x﹣2(x﹣1)12﹣x﹣5=6x﹣2x+2﹣x﹣6x+2x=2﹣12+5﹣5x=﹣5x=1;29.4(10﹣20x)﹣12=3(7﹣10x)40﹣80x﹣12=21﹣30x﹣80x+30x=21﹣40+12﹣50x=﹣7.30.去分母得:3(2x+1)﹣12=12x﹣(10x+1),去括号得:6x﹣9=2x﹣1,合并得: 4x=8,化系数为1得: x=2.31.去分母得:5(x﹣1)=20﹣2(x+2),去括号得: 5x﹣5=20﹣2x﹣4,移项合并得: 7x=21,系数化为1得: x=3.32.原方程可化为:去分母得:40x+60=5(18﹣18x)﹣3(15﹣30x),去括号得:40x+60=90﹣90x﹣45+90x,移项、合并得: 40x=﹣15,系数化为1得: x=33.原方程变形为:50(0.1x﹣0.2)﹣2(x+1)=3, 5x﹣10﹣2x﹣2=3,3x=15, x=5.34.去分母得:2(2x﹣1)=6﹣3x,去括号得: 4x﹣2=6﹣3x,移项得: 4x+3x=8,系数化为1得: x=35. 方程两边同乘15,得3(x﹣3)﹣5(x﹣4)=15,整理,得 3x﹣9﹣5x+20=15,解得﹣2x=4, x=﹣2.36. 方程两边同乘1,得50(0.1x﹣0.2)﹣2(x+1)=3,整理,得 5x﹣10﹣2x ﹣2=3,解得: 3x=15,∴x=5 37.去分母得:3y﹣18=﹣5+2(1﹣y),去括号得:3y﹣18=﹣5+2﹣2y,移项合并得: 5y=15,系数化为1得: y=3.38..解:去括号得:12﹣2y﹣2﹣3y=2,移项得:﹣2y﹣3y=2﹣12+2,合并同类项得:﹣5y=﹣8,系数化为1得:.39. 解:去分母得:3(2﹣x)﹣18=2x﹣(2x+3),去括号得:6﹣3x﹣18=2x﹣2x﹣3,移项得:﹣3x﹣2x+2x=﹣3﹣6+18(或﹣3x=﹣3﹣6+18),合并同类项得:﹣3x=9,系数化为1得:x=﹣340.去分母得:3x(x﹣1)﹣2(x+1)(x+6)﹣(x+1)(x﹣1)=6去括号得:3x2﹣3x﹣2x2﹣14x﹣12﹣x2+1=6合并得:﹣17x=17化系数为1得:x=﹣141. 原式通分得:,整理得:,将其变形得:﹣x+3=6,∴x=﹣3.42. 原式变形为:x+3=,将其通分并整理得:10x﹣25+3x﹣6=15x+45,即﹣2x=76,∴x=﹣38 43. 解:去分母得,3(x﹣7)﹣4(5x+8)=12,去括号得,3x﹣21﹣20x﹣32=12,移项合并同类项得,﹣17x=65,系数化为1得,x=;44. 解:去括号得,2x ﹣x+x ﹣=x ﹣,去分母得,24x﹣6x+3x﹣3=8x﹣8,移项合并同类项得,13x=﹣5,系数化为1得,x=﹣45.去分母得:15(x﹣1)﹣8(3x+2)=2﹣30(x ﹣1),∴21x=63,∴x=346.去括号,得a ﹣﹣2﹣a=2,去分母,得a﹣4﹣6﹣3a=6,移项,合并得﹣2a=16,化系数为1,得a=﹣8;47. 去分母,得5(x﹣3)﹣2(4x+1)=10,去括号,得5x﹣15﹣8x﹣2=10,移项、合并得﹣3x=27,化系数为1,得x=﹣9;48. 把分母化为整数,得﹣=2,去分母,得5(10x+40)﹣2(10x﹣30)=20,去括号,得50x+200﹣20x+60=20,移项、合并得30x=﹣240,化系数为1,得x=﹣849. +1=解:去分母,得3x+6=2(2﹣x);去括号,得3x+6=4﹣2x移项,得3x+2x=4﹣6合并同类项,得5x=﹣2系数化成1,得x=﹣;50. 75%(x﹣1)﹣25%(x﹣4)=25%(x+6)解:将原方程等价为:0.75(x﹣1)﹣0.25(x﹣4)=0.25(x+6)去括号,得0.75x﹣0.75﹣0.25x+1=0.25x+1.5移项,得0.75x﹣0.25x﹣0.25x=1.5﹣1+0.75合并同类项,得0.25x=1.25系数化成1,得x=551. 去分母得:5(x﹣3)﹣2(4x+1)=10,去括号得:5x﹣15﹣8x﹣2=10,移项、合并得:﹣3x=27,系数化为1得:x=﹣9.52. 去括号得:2x﹣4﹣x+2=4,移项、合并得:x=6.53. 去分母得:12x﹣(2x+1)=12﹣3(3x﹣2),去括号得:12x﹣2x﹣1=12﹣9x+6,移项、合并得:19x=19,系数化为1得:x=154. 去括号得:x﹣1﹣3﹣x=2,移项,合并同类项得:﹣x=6,系数化为1得:x=﹣8.55 去分母得:18x+3(x﹣1)=18﹣2(2x﹣1),去括号得:18x+3x﹣3=18﹣4x+2,移项,合并得:25x=23,系数化为1得:x=.56. 去分母得:3x﹣7﹣2(5x+8)=4,去括号得:3x﹣7﹣10x﹣16=4,移项、合并得:﹣7x=27,系数化为1得:x=﹣.57. 去分母得:3(3x+5)=2(2x﹣1),去括号得:9x+15=4x﹣2,移项合并得:5x=﹣17,系数化为1得:;58. 去分母得:(5x+2)﹣2(x﹣3)=2,去括号得:5x﹣2x=﹣6+2﹣2,移项合并得:3x=﹣6,系数化为1得:x=﹣259.去小括号得:2x ﹣x+2=[x ﹣x ﹣],去中括号得:2x ﹣x+2=x ﹣x ﹣,去分母得:12x﹣4x+12=2x﹣3x﹣1,移项、合并得:9x=﹣13,系数化为1得:x=﹣60. ,去分母得3(x﹣15)=﹣15﹣5(x+7),∴3x﹣45=﹣15﹣5x﹣35,∴x=;61. ,方程变形为,去分母得20x﹣20x+30=﹣2x+6,∴x=﹣1262.去分母得:15x+5(x+2)=15﹣3(x﹣6)去括号得:15x+5x+10=15﹣3x+18 移项得:15x+5x+3x=15+18﹣10合并得:23x=23系数化为1得:x=163.原方程可化为:﹣=,去分母得:4x+8﹣2(3x+4)=2(x﹣1),去括号得:4x+8﹣6x﹣8=2x﹣2,移项合并同类项得:﹣4x=﹣2,系数化为1得:x=64.原方程可化为:,去分母得:3(7x﹣1)=4(1﹣2x)﹣6(5x+1)去括号得:21x﹣3=4﹣8x﹣30x﹣6移项合并同类项得:59x=1系数化为1得:x=65.去分母得:4(3x﹣2)﹣6=7x﹣4.去括号得:12x﹣8﹣6=7x﹣4.移项、合并同类项得:5x=10.系数化为1得:x=2.66.原方程可以化为:=+1去分母得: 2(2x﹣1)=3(x+2)+6去括号得: 4x﹣2=3x+6+6即 x=1467 去分母得:4(2x﹣1)﹣3(2x﹣3)=12,整理得:2x﹣7=0,解得:x=3.5.68. 去括号,,∴,∴x+1=2,解得:x=169.去分母得:6(4x+9)﹣15(x﹣5)=30+20x 去括号得:24x+54﹣15x+75=30+20x移项,合并同类项得:﹣11x=﹣99化系数为1得:x=970. 去分母得:7(5﹣7x)=8(5x﹣2),去括号得:35﹣49x=40x﹣16,移项合并同类项得,﹣89x=﹣51,系数化为得:x=;71. 去括号得:3x+6﹣2x+3=5﹣4x,移项合并同类项得:5x=﹣4,系数化为得:x=﹣.72..去分母得:12x﹣2(5x﹣2)=24﹣3(3x+1),去括号得:12x﹣10x+4=24﹣9x﹣3,移项、合并得:11x=17,系数化为1得:x=.73.去分母得:6x﹣2(1﹣x)=(x+2)﹣6,去括号得:6x﹣2+2x=x+2﹣6,移项得:6x+2x﹣x=2﹣6+2,合并同类项得:7x=﹣2,系数化为得:x=74.去中括号得:(﹣1)﹣3﹣x=2,去括号、移项、合并得:﹣x=6,系数化为1得:x=﹣875. 去分母得:(2x+5)﹣24=3(3x﹣2),去括号得:8x+20﹣24=9x﹣6,移项得:8x﹣9x=﹣6﹣20+24,合并同类项得:﹣x=﹣2,系数化为1得:x=2.76.去括号得:x+++=1去分母得: x+1+6+56=64移项得: x=177.去分母得:3﹣(x﹣7)=12(x﹣10),去括号得:3﹣x+7=12x﹣120,移项、合并得:﹣13x=﹣130,系数化为1得:x=10 78.去分母得:8﹣(7+3x)=2(3x﹣10)﹣8x 去括号得: 8﹣7﹣3x=6x﹣20﹣8x移项合并得:﹣x=﹣21系数化为1得: x=2179.去括号,得3(x ﹣)+1=5x,3x ﹣+1=5x,6x﹣3+2=10x,移项、合并同类项得:﹣4x=1,系数化为1得: x=80.4(2x﹣1)﹣12=3(5x﹣3)8x﹣4﹣12=15x﹣9﹣7x=7x=﹣1;81.5(3x﹣1)=2(4x+2)﹣1015x﹣5=8x+4﹣107x=﹣1x=﹣.82.去括号得,2(﹣1)﹣4﹣2x=3,x﹣2﹣4﹣2x=3,移项合并同类项得,﹣x=9,系数化为得, x=﹣983. 去括号得:x﹣2﹣3x+1=1﹣x,解得:x=﹣2.84. 原方程可化为:=﹣,去分母得:3(7x﹣1)=4(1﹣0.2x)﹣6(5x+1),去括号得:21x﹣1=4﹣0.8x﹣30x﹣6,移项、合并同类项得:51.8x=﹣1,系数化为1得:x=85.原方程化为:﹣=,整理得: 12x=6,解得: x=86.原式变形为:+=1,把小数化为分数、整理得:,去分母得:4(4﹣x)=12﹣(2x﹣6),去括号得16﹣4x=12﹣2x+6,移项、合并得:﹣2x=2,系数化为1得:x=﹣187.去大括号,得:,去中括号得:,去小括号得:=0,移项得:y=3,系数化1得:y=688..原方程化为:(1分)去分母得:3(5x+9)+5(x﹣5)=5(1+2x)化简得:10x=3解得:.89.去分母得:5(3x+2)﹣15=3(7x﹣3)+2(x﹣2)去括号得:15x+10﹣15=21x﹣9+2x﹣4移项合并得:﹣8x=﹣8系数化为1得:x=190.去分母得:2(2x﹣5)+3(3﹣x)=12,去括号得:4x﹣10+9﹣3x=12,移项、合并得:x=13 91. 解:,,6x﹣3x+3=8x﹣8,6x﹣3x﹣8x=﹣8﹣3,﹣5x=﹣1,.92. 解:3(2x﹣1)=4(x﹣5)+12,6x﹣3=4x﹣20+12,6x﹣4x=﹣20+12+3,2x=﹣5,93.去分母得:4×3x﹣5(1.4﹣x)=2去括号得:12x﹣7+5x=0.2移项、合并得:17x=9系数化为1,得x=94.去分母得:2(3x﹣2)+10=5(x+3),去括号得:6x﹣4+10=5x+15,移项、合并同类项得:6x﹣5x=15﹣6,化系数为1得:x=995. 去分母,得3(x﹣3)﹣4(5x﹣4)=18,去括号,得3x﹣9﹣20x+16=18,移项、合并同类项,得﹣17x=11,系数化为1,得x=﹣;96. 去分母,得3(x+1)﹣12=2(2x﹣1),去括号,得3x+3﹣12=4x﹣2,移项、合并同类项,得﹣x=7,系数化为1,得x=﹣797.原方程可化为:(8x﹣3)﹣(25x﹣4)=12﹣10x,去括号得:8x﹣3﹣25x+4=12﹣10x,移项、合并同类项得:﹣7x=11,系数化为1得:x=98. 去分母得:4(2x+4)﹣6(4x﹣3)=3,去括号得:8x+16﹣24x+18=3,移项,合并同类项得:﹣16x=﹣31,系数化为1得:x=;99. 去中括号得:(x﹣1)﹣2=2x﹣5,去小括号得:x﹣1﹣2=2x﹣5,移项、合并同类项得:x=2100..把中分子,分母都乘以5得:5x﹣20,把中的分子、分母都乘以20得:20x﹣60.即原方程可化为:5x﹣20﹣2.5=20x﹣60.移项得:5x﹣20x=﹣60+20+2.5,合并同类项得:﹣15x=﹣37.5,化系数为1得:x=2.5。
一元一次方程专题训练经典练习题(含答案)-CAL-FENGHAI.-(YICAI)-Company One1一元一次方程专题训练经典练习题一、解下列一元一次方程1、2x+2=3x+62、 3x-11=253、2(x-1)+3(1-x )=04、5x (2-3.140)=2(x-6)5、0.8x +2=1.6x-26、10%(x+2)=17、2(x+5)=3(x-6) 8、1-2(x-3)=3(x+2)9、3(x-1)=2(x+2)+(1-x ) 10、4x-[2+(3x-6)]=111、2x-20%(x+3)=12÷10 12、7x+5(x-2)= 2(x+10)13、4x-4=2(2+x )-3(x+1) 14、1- 12 x=215、3- 13 x=2(x+1) 16、2(x- 34)=8-x17、12 (2x+1)+1=2(2-x ) 18、x- 13(x-5)= 2319、-x= -3(x-4) 20、7x ·(5 - 4· 12)= 5+x21、0.1+x 2 =2 22、 x-10.2 =3(x-1)23、x-10.3 + x+20.3 =2 24 、12 + 13x = 23 +125、 2x-10.5 = 2- 3x+20.3 26、错误! =3x27、错误! =3 28、错误! =错误!29、12{13[14(x+1)+1]+2} =2 30、 25(300+x )- 35(200+x )=400·110二、一元一次方程应用题1、 一艘船在两个码头之间航行,水流的速度是3千米/时,顺水航行需要2小时,逆水航行需要3小时,求两码头之间的距离。
2、小华从家里骑自行车到学校。
若每小时行15千米,可比预定时间早到15分钟;若每小时行9千米,可比预定时间晚到15分钟;求从家里到学校的路程有多少千米?3、小兵由A地到B地,若以每小时12千米的速度,他将比原计划的时间迟到20分,若以每小时15千米的速度前进,则比原计划的时间早4分钟到达B 地,求A、B两地间的距离。