汽车理论第六版第一章课后答案1-10
- 格式:docx
- 大小:12.43 KB
- 文档页数:1
第一章汽车的动力性1.1试说明轮胎滚动阻力的定义,产生机理和作用形式。
答:车轮滚动时,由于车轮的弹性变形、路面变形和车辙摩擦等原因所产生的阻碍汽车行驶的力称为轮胎滚动阻力。
产生机理和作用形式:(1)弹性轮胎在硬路面上滚动时,轮胎的变形是主要的,由于轮胎有内部摩擦,产生弹性迟滞损失,使轮胎变形时对它做的功不能全部回收。
由于弹性迟滞,地面对车轮的法向作用力并不是前后对称的,这样形成的合力 轮中心(向车轮前进方向偏移 a )。
如果将法向反作用力平移至与通过车轮中心的垂线重合, 矩T fF z a 。
为克服该滚动阻力偶矩,需要在车轮中心加一推力 (2)轮胎在松软路面上滚动时,由于车轮使地面变形下陷,在车轮前方实际形成了具有一定坡度的斜面,对车 轮前进产生阻力。
(3 )轮胎在松软地面滚动时,轮辙摩擦会引起附加阻力。
(4)车轮行驶在不平路面上时,引起车身振荡、减振器压缩和伸长时做功,也是滚动阻力的作用形式。
1.2滚动阻力系数与哪些因素有关?答:滚动阻力系数与路面的种类、行驶车速以及轮胎的构造、材料和气压有关。
这些因素对滚动阻力系数的具体 影响参考课本P9。
1.3确定一轻型货车的动力性能(货车可装用4挡或5挡变速器,任选其中的一种进行整车性能计算):1) 绘制汽车驱动力与行驶阻力平衡图。
2) 求汽车最高车速,最大爬坡度及克服该坡度时相应的附着率。
3) 绘制汽车行驶加速度倒数曲线,用图解积分法求汽车用2档起步加速行驶至 70km/h 的车速-时间曲线,或者 用计算机求汽车用 2档起步加速行驶至 70km/h 的加速时间。
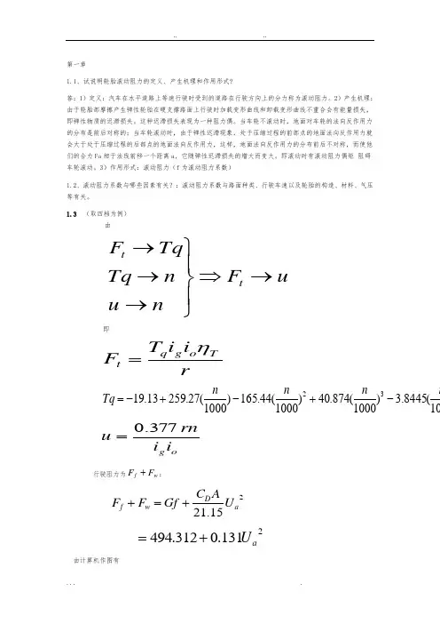
轻型货车的有关数据: 汽油发动机使用外特性的Tq-n 曲线的拟合公式为T q19.313 295.27(-^) 165.44(-^)240.874(旦)33.8445^^)4q1000 1000 1000 1000式中,Tq 为发动机转矩(N?m ) ;n 为发动机转速(r/min )。
发动机的最低转速 n min =600r/min,最高转速n max =4000r/min 。
第一章1.1、试说明轮胎滚动阻力的定义、产生机理和作用形式?答:1)定义:汽车在水平道路上等速行驶时受到的道路在行驶方向上的分力称为滚动阻力。
2)产生机理:由于轮胎内部摩擦产生弹性轮胎在硬支撑路面上行驶时加载变形曲线和卸载变形曲线不重合会有能量损失,即弹性物质的迟滞损失。
这种迟滞损失表现为一种阻力偶。
当车轮不滚动时,地面对车轮的法向反作用力的分布是前后对称的;当车轮滚动时,由于弹性迟滞现象,处于压缩过程的前部点的地面法向反作用力就会大于处于压缩过程的后部点的地面法向反作用力,这样,地面法向反作用力的分布前后不对称,而使他们的合力Fa 相对于法线前移一个距离a, 它随弹性迟滞损失的增大而变大。
即滚动时有滚动阻力偶矩a F T z f = 阻碍车轮滚动。
3)作用形式:滚动阻力fw F f = rT F f f=(f 为滚动阻力系数)1.2、滚动阻力系数与哪些因素有关?提示:滚动阻力系数与路面种类、行驶车速以及轮胎的构造、材料、气压等有关。
1.3、确定一轻型货车的动力性能(货车可装用4档或5档变速器,任选其中的一种进行整车性能计算): 1)绘制汽车驱动力与行驶阻力平衡图。
2)求汽车的最高车速、最大爬坡度及克服该坡度时相应的附着率。
3)绘制汽车行驶加速倒数曲线,用图解积分法求汽车有Ⅱ档起步加速行驶至70km/h 的车速-时间曲线,或者用计算机求汽车用Ⅱ档起步加速至70km/h 的加速时间。
轻型货车的有关数据:汽油发动机使用外特性的Tq —n 曲线的拟合公式为432)1000(8445.3)1000(874.40)1000(44.165)1000(27.25913.19n n n n Tq -+-+-= 式中, Tq 为发功机转矩(N ·m);n 为发动机转速(r /min)。
发动机的最低转速nmin=600r/min ,最高转速nmax=4000 r /min 装载质量 2000kg 整车整备质量 1800kg 总质量 3880 kg 车轮半径 0.367 m 传动系机械效率 ηт=0.85 波动阻力系数 f =0.013空气阻力系数×迎风面积 CDA =2.772m 主减速器传动比 i 0=5.83飞轮转功惯量 If =0.218kg ·2m 二前轮转动惯量 Iw1=1.798kg ·2m 四后轮转功惯量 Iw2=3.598kg ·2m 变速器传动比 ig (数据如下表)轴距 L =3.2m 质心至前铀距离(满载) α=1.947m 质心高(满载) h g =0.9m 解答: 1)(取四档为例) 由uF n u n Tq Tq F t t →⇒⎪⎭⎪⎬⎫→→→即ri i T F To g q t η=432)1000(8445.3)1000(874.40)1000(44.165)1000(27.25913.19n n n n Tq -+-+-=og i i rnu 377.0=行驶阻力为w fF F +:215.21a D w f U A C Gf F F +=+2131.0312.494aU +=由计算机作图有※本题也可采用描点法做图: 由发动机转速在min /600n minr =,min /4000n max r =,取六个点分别代入公式:……………………………… 2)⑴最高车速: 有w f t F F F +=⇒2131.0312.494a t U F +=分别代入a U 和t F 公式:2)09.6*83.53697.0*377.0(131.0312.494367.085.0*83.5*9.6*n T q +=把q T 的拟和公式也代入可得: n>4000 而4000max=n r/min∴93.9483.5*0.14000*367.0*377.0max ==U Km/h⑵最大爬坡度:挂Ⅰ档时速度慢,Fw 可忽略:⇒)(max w f t i F F F F +-=⇒GfF Gi t -=max⇒013.08.9*388014400max max-=-=f G F i t=0.366(3)克服该坡度时相应的附着率zx F F =ϕ忽略空气阻力和滚动阻力得:6.0947.12.3*366.0/=====a il l a i F Fi z ϕ 3)①绘制汽车行驶加速倒数曲线(已装货):40.0626)(1f D g du dt a -==δ (GFw Ft D -=为动力因素)Ⅱ时,22022111r i i I m r I m T g f w ηδ++=∑2222367.085.0*83.5*09.3*218.038001367.0598.3798.1380011+++==1.128ri i T F To g q t η=432)1000(8445.3)1000(874.40)1000(44.165)1000(27.25913.19n n n n Tq -+-+-=215.21a D w U A C F =由以上关系可由计算机作出图为:②用计算机求汽车用Ⅳ档起步加速至70km/h 的加速时间。
第一章1.1、试说明轮胎滚动阻力的定义、产生机理和作用形式?答:1)定义:汽车在水平道路上等速行驶时受到的道路在行驶方向上的分力称为滚动阻力。
2)产生机理:由于轮胎内部摩擦产生弹性轮胎在硬支撑路面上行驶时加载变形曲线和卸载变形曲线不重合会有能量损失,即弹性物质的迟滞损失。
这种迟滞损失表现为一种阻力偶。
当车轮不滚动时,地面对车轮的法向反作用力的分布是前后对称的;当车轮滚动时,由于弹性迟滞现象,处于压缩过程的前部点的地面法向反作用力就会大于处于压缩过程的后部点的地面法向反作用力,这样,地面法向反作用力的分布前后不对称,而使他们的合力Fa 相对于法线前移一个距离a, 它随弹性迟滞损失的增大而变大。
即滚动时有滚动阻力偶矩 a F T z f = 阻碍车轮滚动。
3)作用形式:滚动阻力 fw F f = rT F f f = (f 为滚动阻力系数)1.2、滚动阻力系数与哪些因素有关?滚动阻力系数与路面种类、行驶车速以及轮胎的构造、材料、气压等有关。
1.3、确定一轻型货车的动力性能(货车可装用4档或5档变速器,任选其中的一种进行整车性能计算):1)绘制汽车驱动力与行驶阻力平衡图。
2)求汽车的最高车速、最大爬坡度及克服该坡度时相应的附着率。
3)绘制汽车行驶加速倒数曲线,用图解积分法求汽车有Ⅱ档起步加速行驶至70km/h 的车速-时间曲线,或者用计算机求汽车用Ⅱ档起步加速至70km/h 的加速时间。
轻型货车的有关数据:汽油发动机使用外特性的Tq —n 曲线的拟合公式为432)1000(8445.3)1000(874.40)1000(44.165)1000(27.25913.19n n n n Tq -+-+-= 式中, Tq为发功机转矩(N ·m);n 为发动机转速(r /min)。
发动机的最低转速n min =600r/min ,最高转速n max =4000 r /min装载质量 2000kg整车整备质量 1800kg 总质量 3880 kg 车轮半径 0.367 m 传动系机械效率 ηт=0.85 波动阻力系数 f =0.013 空气阻力系数×迎风面积 CDA =2.772m主减速器传动比 i0=5.83 飞轮转功惯量 If =0.218kg ·2m二前轮转动惯量 Iw1=1.798kg ·2m四后轮转功惯量 Iw2=3.598kg ·2m变速器传动比 ig(数据如下表)轴距 L =3.2m 质心至前铀距离(满载) α=1.947m 质心高(满载) hg =0.9m解答:1)(取四档为例)由uF n u n Tq Tq F t t →⇒⎪⎭⎪⎬⎫→→→ri i T F To g q t η=432)1000(8445.3)1000(874.40)1000(44.165)1000(27.25913.19n n n n Tq -+-+-=og i i rnu 377.0=行驶阻力为w fF F +:215.21a D w f U A C Gf F F +=+ 2131.0312.494aU +=由计算机作图有※本题也可采用描点法做图:由发动机转速在min /600n min r =,min /4000n max r =,取六个点分别代入公式: ……………………………… 2)⑴最高车速:有w f t F F F +=⇒2131.0312.494a t U F += 分别代入a U 和t F 公式:2)09.6*83.53697.0*377.0(131.0312.494367.085.0*83.5*9.6*n T q +=把q T 的拟和公式也代入可得: n>4000而4000max =n r/min∴93.9483.5*0.14000*367.0*377.0max ==U Km/h⑵最大爬坡度:挂Ⅰ档时速度慢,Fw 可忽略:⇒)(max w f t i F F F F +-=⇒GfF Gi t -=max⇒013.08.9*388014400max max -=-=f G F i t =0.366(3)克服该坡度时相应的附着率 zxF F =ϕ忽略空气阻力和滚动阻力得:6.0947.12.3*366.0/=====a il l a i F Fi z ϕ 3)①绘制汽车行驶加速倒数曲线(已装货):40.0626)(1f D g du dt a -==δ (GFw Ft D -=为动力因素)Ⅱ时,22022111r i i I m r I m Tg f w ηδ++=∑2222367.085.0*83.5*09.3*218.038001367.0598.3798.1380011+++= =1.128ri i T F To g q t η=432)1000(8445.3)1000(874.40)1000(44.165)1000(27.25913.19n n n n Tq -+-+-=215.21a D w U A C F =由以上关系可由计算机作出图为:②用计算机求汽车用Ⅳ档起步加速至70km/h 的加速时间。
第一章 汽车的动力性1.1试说明轮胎滚动阻力的定义,产生机理和作用形式。
答:车轮滚动时,由于车轮的弹性变形、路面变形和车辙摩擦等原因所产生的阻碍汽车行驶的力称为轮胎滚动阻力。
产生机理和作用形式:(1)弹性轮胎在硬路面上滚动时,轮胎的变形是主要的,由于轮胎有内部摩擦,产生弹性迟滞损失,使轮胎变形时对它做的功不能全部回收。
由于弹性迟滞,地面对车轮的法向作用力并不是前后对称的,这样形成的合力z F 并不沿车轮中心(向车轮前进方向偏移a )。
如果将法向反作用力平移至与通过车轮中心的垂线重合,则有一附加的滚动阻力偶矩f z T F a =⋅。
为克服该滚动阻力偶矩,需要在车轮中心加一推力P F 与地面切向反作用力构成一力偶矩。
(2)轮胎在松软路面上滚动时,由于车轮使地面变形下陷,在车轮前方实际形成了具有一定坡度的斜面,对车轮前进产生阻力。
(3)轮胎在松软地面滚动时,轮辙摩擦会引起附加阻力。
(4)车轮行驶在不平路面上时,引起车身振荡、减振器压缩和伸长时做功,也是滚动阻力的作用形式。
1.2滚动阻力系数与哪些因素有关?答:滚动阻力系数与路面的种类、行驶车速以及轮胎的构造、材料和气压有关。
这些因素对滚动阻力系数的具体影响参考课本P9。
第三章 汽车动力装置参数的选定3.1改变1.3题中轻型货车的主减速器传动比,做出0i 为5.17、5.43、5.83、6.17、6.33时的燃油经济性—加速时间曲线,讨论不同0i 值对汽车性能的影响。
解:加速时间的结算思路与方法:在算加速时间的时候,关键是要知道在加速的过程中,汽车的行驶加速度dudt随着车速的变化。
由汽车行驶方程式:0221.15tq g TD a T i i C A duGf Gi u m rdtηδ=+++,可以的到: 021[()]21.15tq g TD a T i i C A du Gf u dt m r ηδ=-+(0i F =) 由于对于不同的变速器档位,车速a u 与发动机转速n 的对应关系不同,所以要针对不同的变速器档位,求出加速度a 随着车速a u 变化的关系。
第一章 汽车的动力性1.1试说明轮胎滚动阻力的定义,产生机理和作用形式。
答:车轮滚动时,由于车轮的弹性变形、路面变形和车辙摩擦等原因所产生的阻碍汽车行驶的力称为轮胎滚动阻力。
产生机理和作用形式:(1)弹性轮胎在硬路面上滚动时,轮胎的变形是主要的,由于轮胎有内部摩擦,产生弹性迟滞损失,使轮胎变形时对它做的功不能全部回收。
由于弹性迟滞,地面对车轮的法向作用力并不是前后对称的,这样形成的合力z F 并不沿车轮中心(向车轮前进方向偏移a )。
如果将法向反作用力平移至与通过车轮中心的垂线重合,则有一附加的滚动阻力偶矩f z T F a =⋅。
为克服该滚动阻力偶矩,需要在车轮中心加一推力P F 与地面切向反作用力构成一力偶矩。
(2)轮胎在松软路面上滚动时,由于车轮使地面变形下陷,在车轮前方实际形成了具有一定坡度的斜面,对车轮前进产生阻力。
(3)轮胎在松软地面滚动时,轮辙摩擦会引起附加阻力。
(4)车轮行驶在不平路面上时,引起车身振荡、减振器压缩和伸长时做功,也是滚动阻力的作用形式。
1.2滚动阻力系数与哪些因素有关?答:滚动阻力系数与路面的种类、行驶车速以及轮胎的构造、材料和气压有关。
这些因素对滚动阻力系数的具体影响参考课本P9。
第三章 汽车动力装置参数的选定3.1改变1.3题中轻型货车的主减速器传动比,做出0i 为5.17、5.43、5.83、6.17、6.33时的燃油经济性—加速时间曲线,讨论不同0i 值对汽车性能的影响。
解:加速时间的结算思路与方法:在算加速时间的时候,关键是要知道在加速的过程中,汽车的行驶加速度dudt随着车速的变化。
由汽车行驶方程式:0221.15tq g TD a T i i C A duGf Gi u m rdtηδ=+++,可以的到: 021[()]21.15tq g TD a T i i C A du Gf u dt m r ηδ=-+(0i F =) 由于对于不同的变速器档位,车速a u 与发动机转速n 的对应关系不同,所以要针对不同的变速器档位,求出加速度a 随着车速a u 变化的关系。
第一章1.1、试说明轮胎滚动阻力的定义、产生机理和作用形式?答:1)定义:汽车在水平道路上等速行驶时受到的道路在行驶方向上的分力称为滚动阻力。
2)产生机理:由于轮胎部摩擦产生弹性轮胎在硬支撑路面上行驶时加载变形曲线和卸载变形曲线不重合会有能量损失,即弹性物质的迟滞损失。
这种迟滞损失表现为一种阻力偶。
当车轮不滚动时,地面对车轮的法向反作用力的分布是前后对称的;当车轮滚动时,由于弹性迟滞现象,处于压缩过程的前部点的地面法向反作用力就会大于处于压缩过程的后部点的地面法向反作用力,这样,地面法向反作用力的分布前后不对称,而使他们的合力Fa 相于法线前移一个距离a, 它随弹性迟滞损失的增大而变大。
即滚动时有滚动阻力偶矩 阻碍车轮滚动。
3)作用形式:滚动阻力(f 为滚动阻力系数)1.2、滚动阻力系数与哪些因素有关?:滚动阻力系数与路面种类、行驶车速以及轮胎的构造、材料、气压等有关。
1.3 (取四档为例)由uF n u n Tq Tq F t t →⇒⎪⎭⎪⎬⎫→→→即ri i T F To g q t η=3210(8445.3)1000(874.40)1000(44.165)1000(27.25913.19nn n n Tq -+-+-= og i i rn u 377.0=行驶阻力为w fF F +:215.21a D w f U A C Gf F F +=+2131.0312.494aU +=由计算机作图有※本题也可采用描点法做图: 由发动机转速在m in/600n minr =,m in/4000n maxr =,取六个点分别代入公式:……………………………… 2)⑴最高车速: 有w f tF F F +=⇒2131.0312.494at U F +=分别代入a U 和t F 公式:2)09.6*83.53697.0*377.0(131.0312.494367.085.0*83.5*9.6*n T q +=把q T 的拟和公式也代入可得: n>4000 而4000m ax=n r/min∴93.9483.5*0.14000*367.0*377.0max==U Km/h⑵最大爬坡度:挂Ⅰ档时速度慢,Fw 可忽略: ⇒)(max w f t i F F F F +-=⇒GfF Gi t -=max⇒013.08.9*388014400max max-=-=f G F i t =0.366(3)克服该坡度时相应的附着率 zxF F =ϕ忽略空气阻力和滚动阻力得:6.0947.12.3*366.0/=====a il l a i F Fi z ϕ3)①绘制汽车行驶加速倒数曲线(已装货):40.0626)(1f D g du dt a -==δ (GFwFt D -=为动力因素)Ⅱ时,22022111r i i I m r ImT g f wηδ++=∑2222367.085.0*83.5*09.3*218.038001367.0598.3798.1380011+++= =1.128ri i T F To g q t η=321000(8445.3)1000(874.40)1000(44.165)1000(27.25913.19nn n n Tq -+-+-= 215.21a D wU A C F = 由以上关系可由计算机作出图为:②用计算机求汽车用Ⅳ档起步加速至70km/h 的加速时间。
第一章 汽车的动力性1.1试说明轮胎滚动阻力的定义,产生机理和作用形式。
答:车轮滚动时,由于车轮的弹性变形、路面变形和车辙摩擦等原因所产生的阻碍汽车行驶的力称为轮胎滚动阻力。
产生机理和作用形式:(1)弹性轮胎在硬路面上滚动时,轮胎的变形是主要的,由于轮胎有内部摩擦,产生弹性迟滞损失,使轮胎变形时对它做的功不能全部回收。
由于弹性迟滞,地面对车轮的法向作用力并不是前后对称的,这样形成的合力z F 并不沿车轮中心(向车轮前进方向偏移a )。
如果将法向反作用力平移至与通过车轮中心的垂线重合,则有一附加的滚动阻力偶矩f z T F a =⋅。
为克服该滚动阻力偶矩,需要在车轮中心加一推力P F 与地面切向反作用力构成一力偶矩。
(2)轮胎在松软路面上滚动时,由于车轮使地面变形下陷,在车轮前方实际形成了具有一定坡度的斜面,对车轮前进产生阻力。
(3)轮胎在松软地面滚动时,轮辙摩擦会引起附加阻力。
(4)车轮行驶在不平路面上时,引起车身振荡、减振器压缩和伸长时做功,也是滚动阻力的作用形式。
1.2滚动阻力系数与哪些因素有关?答:滚动阻力系数与路面的种类、行驶车速以及轮胎的构造、材料和气压有关。
这些因素对滚动阻力系数的具体影响参考课本P9。
第三章 汽车动力装置参数的选定3.1改变1.3题中轻型货车的主减速器传动比,做出0i 为5.17、5.43、5.83、6.17、6.33时的燃油经济性—加速时间曲线,讨论不同0i 值对汽车性能的影响。
解:加速时间的结算思路与方法:在算加速时间的时候,关键是要知道在加速的过程中,汽车的行驶加速度dudt随着车速的变化。
由汽车行驶方程式:0221.15tq g TD a T i i C A duGf Gi u m rdtηδ=+++,可以的到: 021[()]21.15tq g TD a T i i C A du Gf u dt m r ηδ=-+(0i F =) 由于对于不同的变速器档位,车速a u 与发动机转速n 的对应关系不同,所以要针对不同的变速器档位,求出加速度a 随着车速a u 变化的关系。
第一章1.1、试说明轮胎滚动阻力的定义、产生机理和作用形式?答:1)定义:汽车在水平道路上等速行驶时受到的道路在行驶方向上的分力称为滚动阻力。
2)产生机理:由于轮胎内部摩擦产生弹性轮胎在硬支撑路面上行驶时加载变形曲线和卸载变形曲线不重合会有能量损失,即弹性物质的迟滞损失。
这种迟滞损失表现为一种阻力偶。
当车轮不滚动时,地面对车轮的法向反作用力的分布是前后对称的;当车轮滚动时,由于弹性迟滞现象,处于压缩过程的前部点的地面法向反作用力就会大于处于压缩过程的后部点的地面法向反作用力,这样,地面法向反作用力的分布前后不对称,而使他们的合力Fa 相对于法线前移一个距离a, 它随弹性迟滞损失的增大而变大。
即滚动时有滚动阻力偶矩a F T z f = 阻碍车轮滚动。
3)作用形式:滚动阻力fw F f = rT F f f=(f 为滚动阻力系数)1.2、滚动阻力系数与哪些因素有关?提示:滚动阻力系数与路面种类、行驶车速以及轮胎的构造、材料、气压等有关。
1.3、确定一轻型货车的动力性能(货车可装用4档或5档变速器,任选其中的一种进行整车性能计算): 1)绘制汽车驱动力与行驶阻力平衡图。
2)求汽车的最高车速、最大爬坡度及克服该坡度时相应的附着率。
3)绘制汽车行驶加速倒数曲线,用图解积分法求汽车有Ⅱ档起步加速行驶至70km/h 的车速-时间曲线,或者用计算机求汽车用Ⅱ档起步加速至70km/h 的加速时间。
轻型货车的有关数据:汽油发动机使用外特性的Tq —n 曲线的拟合公式为432)1000(8445.3)1000(874.40)1000(44.165)1000(27.25913.19n n n n Tq -+-+-= 式中, Tq 为发功机转矩(N ·m);n 为发动机转速(r /min)。
发动机的最低转速nmin=600r/min ,最高转速nmax=4000 r /min 装载质量 2000kg 整车整备质量 1800kg 总质量 3880 kg 车轮半径 0.367 m 传动系机械效率 ηт=0.85 波动阻力系数 f =0.013空气阻力系数×迎风面积 CDA =2.772m 主减速器传动比 i 0=5.83飞轮转功惯量 If =0.218kg ·2m 二前轮转动惯量 Iw1=1.798kg ·2m 四后轮转功惯量 Iw2=3.598kg ·2m 变速器传动比 ig (数据如下表)轴距 L =3.2m 质心至前铀距离(满载) α=1.947m 质心高(满载) h g =0.9m 解答: 1)(取四档为例) 由uF n u n Tq Tq F t t →⇒⎪⎭⎪⎬⎫→→→即ri i T F To g q t η=432)1000(8445.3)1000(874.40)1000(44.165)1000(27.25913.19n n n n Tq -+-+-=og i i rnu 377.0=行驶阻力为w fF F +:215.21a D w f U A C Gf F F +=+2131.0312.494aU +=由计算机作图有※本题也可采用描点法做图: 由发动机转速在min /600n minr =,min /4000n max r =,取六个点分别代入公式:……………………………… 2)⑴最高车速: 有w f t F F F +=⇒2131.0312.494a t U F +=分别代入a U 和t F 公式:2)09.6*83.53697.0*377.0(131.0312.494367.085.0*83.5*9.6*n T q +=把q T 的拟和公式也代入可得: n>4000 而4000max=n r/min∴93.9483.5*0.14000*367.0*377.0max ==U Km/h⑵最大爬坡度:挂Ⅰ档时速度慢,Fw 可忽略:⇒)(max w f t i F F F F +-=⇒GfF Gi t -=max⇒013.08.9*388014400max max-=-=f G F i t=0.366(3)克服该坡度时相应的附着率zx F F =ϕ忽略空气阻力和滚动阻力得:6.0947.12.3*366.0/=====a il l a i F Fi z ϕ 3)①绘制汽车行驶加速倒数曲线(已装货):40.0626)(1f D g du dt a -==δ (GFw Ft D -=为动力因素)Ⅱ时,22022111r i i I m r I m T g f w ηδ++=∑2222367.085.0*83.5*09.3*218.038001367.0598.3798.1380011+++==1.128ri i T F To g q t η=432)1000(8445.3)1000(874.40)1000(44.165)1000(27.25913.19n n n n Tq -+-+-=215.21a D w U A C F =由以上关系可由计算机作出图为:②用计算机求汽车用Ⅳ档起步加速至70km/h 的加速时间。
n第一章1.1、试说明轮胎滚动阻力的定义、产生机理和作用形式?答:1)定义:汽车在水平道路上等速行驶时受到的道路在行驶方向上的分力称为滚动阻力。
2)产生机理:由于轮胎内部摩擦产生弹性轮胎在硬支撑路面上行驶时加载变形曲线和卸载变形曲线不重合会有能量损失,即弹性物质的迟滞损失。
这种迟滞损失表现为一种阻力偶。
当车轮不滚动时,地面对车轮的法向反作用力的分布是前后对称的;当车轮滚动时,由于弹性迟滞现象,处于压缩过程的前部点的地面法向反作用力就会大于处于压缩过程的后部点的地面法向反作用力,这样,地面法向反作用力的分布前后不对称,而使他们的合力Fa相对于法线前移一个距离a, 它随弹性迟滞损失的增大而变大。
即滚动时有滚动阻力偶矩阻碍车轮滚动。
3)作用形式:滚动阻力<f为滚动阻力系数)1.2、滚动阻力系数与哪些因素有关?提示:滚动阻力系数与路面种类、行驶车速以及轮胎的构造、材料、气压等有关。
1.3、确定一轻型货车的动力性能<货车可装用4档或5档变速器,任选其中的一种进行整车性能计算):1)绘制汽车驱动力与行驶阻力平衡图。
2)求汽车的最高车速、最大爬坡度及克服该坡度时相应的附着率。
3)绘制汽车行驶加速倒数曲线,用图解积分法求汽车有Ⅱ档起步加速行驶至70km/h的车速-时间曲线,或者用计算机求汽车用Ⅱ档起步加速至70km/h 的加速时间。
轻型货车的有关数据:汽油发动机使用外特性的Tq—n曲线的拟合公式为式中, Tq为发功机转矩(N·m>;n为发动机转速(r/min>。
发动机的最低转速n min=600r/min ,最高转速n max=4000 r/min 装载质量 2000kg整车整备质量 1800kg总质量 3880 kg车轮半径 0.367 m传动系机械效率ηт=0.85波动阻力系数f=0.013空气阻力系数×迎风面积 C D A=2.77主减速器传动比i0=5.83飞轮转功惯量I f=0.218kg·二前轮转动惯量I w1=1.798kg·四后轮转功惯量I w2=3.598kg·变速器传动比 i g(数据如下表>轴距L=3.2m质心至前铀距离(满载>α=1.947m 质心高(满载>h g=0.9m 解答:1)<取四档为例)由即行驶阻力为:由计算机作图有※本题也可采用描点法做图:由发动机转速在,,取六个点分别代入公式:………………………………2)⑴最高车速:有分别代入和公式:把的拟和公式也代入可得:n>4000而r/min∴Km/h⑵最大爬坡度:挂Ⅰ档时速度慢,可忽略:=0.366<3)克服该坡度时相应的附着率忽略空气阻力和滚动阻力得:3)①绘制汽车行驶加速倒数曲线<已装货):40.0626<为动力因素)Ⅱ时,1.128由以上关系可由计算机作出图为:②用计算机求汽车用Ⅳ档起步加速至70km/h的加速时间。
第一章 汽车的动力性1.1试说明轮胎滚动阻力的定义,产生机理和作用形式。
答:车轮滚动时,由于车轮的弹性变形、路面变形和车辙摩擦等原因所产生的阻碍汽车行驶的力称为轮胎滚动阻力。
产生机理和作用形式:(1)弹性轮胎在硬路面上滚动时,轮胎的变形是主要的,由于轮胎有内部摩擦,产生弹性迟滞损失,使轮胎变形时对它做的功不能全部回收。
由于弹性迟滞,地面对车轮的法向作用力并不是前后对称的,这样形成的合力z F 并不沿车轮中心(向车轮前进方向偏移a )。
如果将法向反作用力平移至与通过车轮中心的垂线重合,则有一附加的滚动阻力偶矩f z T F a =⋅。
为克服该滚动阻力偶矩,需要在车轮中心加一推力P F 与地面切向反作用力构成一力偶矩。
(2)轮胎在松软路面上滚动时,由于车轮使地面变形下陷,在车轮前方实际形成了具有一定坡度的斜面,对车轮前进产生阻力。
(3)轮胎在松软地面滚动时,轮辙摩擦会引起附加阻力。
(4)车轮行驶在不平路面上时,引起车身振荡、减振器压缩和伸长时做功,也是滚动阻力的作用形式。
1.2滚动阻力系数与哪些因素有关?答:滚动阻力系数与路面的种类、行驶车速以及轮胎的构造、材料和气压有关。
这些因素对滚动阻力系数的具体影响参考课本P9。
1.3 确定一轻型货车的动力性能(货车可装用4挡或5挡变速器,任选其中的一种进行整车性能计算):1)绘制汽车驱动力与行驶阻力平衡图。
2)求汽车最高车速,最大爬坡度及克服该坡度时相应的附着率。
3)绘制汽车行驶加速度倒数曲线,用图解积分法求汽车用2档起步加速行驶至70km/h 的车速-时间曲线,或者用计算机求汽车用2档起步加速行驶至70km/h 的加速时间。
轻型货车的有关数据:汽油发动机使用外特性的Tq-n 曲线的拟合公式为式中,Tq 为发动机转矩(N •m );n 为发动机转速(r/min )。
发动机的最低转速n min =600r/min,最高转速n max =4000r/min 。
发动机的最低转速n mi n =600r/min装载质量整车整备质量 总质量 车轮半径传动系机械效率 波动阻力系数 空气阻力系数x 迎风面积 主减速器传动比飞轮转功惯量 二前轮转动惯量,最高转速 n max =4000 r /min2000kg 1800kg 3880 kg0.367 m nT = 0.85 f = 0.0132CDA = 2.77mi0 = 5.832If = 0.218kg • m 2 Iw1 = 1.798kg • m 2第一章1.1、 试说明轮胎滚动阻力的定义、产生机理和作用形式 ?答:1)定义:汽车在水平道路上等速行驶时受到的道路在行驶方向上的分力称 为滚动阻力。
2)产生机理:由于轮胎内部摩擦产生弹性轮胎在硬支撑路面上行驶时加载 变形曲线和卸载变形曲线不重合会有能量损失,即弹性物质的迟滞损失。
这 种迟滞损失表现为一种阻力偶。
当车轮不滚动时,地面对车轮的法向反作用力的分布是前后对称的;当车轮滚动时,由于弹性迟滞现象,处于压缩过程的前部点的地面法向反作用 力就会大于处于压缩过程的后部点的地面法向反作用力,这样,地面法向反 作用力的分布前后不对称,而使他们的合力 Fa 相对于法线前移一个距离a, 它随弹性迟滞损失的增大而变大。
即滚动时有 滚动阻力偶矩 T f F z a 阻 碍车轮滚动。
T f3)作用形式:滚动阻力 卜f 皿 Ff — (f 为滚动阻力系数)1.2、 滚动阻力系数与哪些因素有关?滚动阻力系数与路面种类、行驶车速以及轮胎的构造、材料、气压等有关。
1.3、确定一轻型货车的动力性能(货车可装用 4档或5档变速器,任选 其中的一种进行整车性能计算):1) 绘制汽车驱动力与行驶阻力平衡图。
2) 求汽车的最高车速、最大爬坡度及克服该坡度时相应的附着率。
3) 绘制汽车行驶加速倒数曲线,用图解积分法求汽车有H 档起步加速行 驶至70km/h 的车速-时间曲线,或者用计算机求汽车用H 档起步加速至 70km/h 的加速时间。
第1章 汽车动力性1.1试说明轮胎滚动阻力的定义、产生机理和作用形式。
答:1)定义:汽车在水平道路上等速行驶时受到的道路在行驶方向上的分力称为滚动阻力。
2)产生机理:由于轮胎内部摩擦,使得轮胎在硬支撑路面上行驶时加载变形曲线和卸载变形曲线不重合,会产生能量损失,即弹性迟滞损失。
这种迟滞损失表现为一种阻力偶。
当车轮不滚动时,地面对车轮的法向反作用力的分布是前后对称的;当车轮滚动时,由于弹性迟滞现象,处于压缩过程的前部点的地面法向反作用力就会大于处于压缩过程的后部点的地面法向反作用力,这样,地面法向反作用力的分布前后不对称,而使他们的合力z F 相对于法线前移一个距离a , 它随弹性迟滞损失的增大而变大。
即滚动时有滚动阻力偶矩a F T z f ⋅=阻碍车轮滚动。
3)作用形式:滚动阻力Wf F f =,r T F f f =(f 为滚动阻力系数)1.2滚动阻力系数与哪些因素有关? 答:滚动阻力系数与行驶车速、轮胎的结构、气压、驱动力、路面条件等有关。
1.7 答案:1) 对于F-F 型轿车:最大驱动力等于前轮附着力 ϕϕϕmg F F z %5.611===t1max F对于F-R 型轿车:最大驱动力等于后轮附着力ϕϕϕmg F F z %)7.551(2-===t2max F ϕ44.3%m g= t 2m ax t 1m a x F F > 显然F-F 型轿车总的附着力利用情况较好。
2)0.2=ϕ时N mg F F z 64.1928%5.611====ϕϕϕtmax F极限车速: 215.21a D w f U A C Gf F F +=+=tmax F h km /8.194U amax =极限爬坡度:max max sin cos ααG Gf F F i f +=+=tmax F即 max 2max sin *8.9*1600sin 1*02.0*8.9*1600αα+-=1928.64解出max sin α m a x m a xt a n α=i 极限加速度:dt dU mGf F F j f δ+=+=tmax F 解出0094.11600*102.0*8.9*160064.928max =-=-=1F tmax m Gf dt dU δ (2)同理可有:当7.0=ϕ时情况1.8答案:解:<1> 先求汽车质量换算系数 δ:22022111r i i I m r I m T g f w ηδ++=∑ 代入数据有:δ=1.4168根据发动机最大转矩实现的最大驱动力为: N r i i T F m tq t 36.659701max ===ηt1max F 应有的最大加速度为:dt du mδ=t1max F 91.2)dtdu (max =⇒ 此时N dt du m L h L b GF g z 27.6180)(max 1=-= 此时:6.01max 1>z t F F 不满足附着条件,将出现打滑现象,在加速过程中发动机扭矩不能否充分发挥。
D 第一章1.1、试说明轮胎滚动阻力的定义、产生机理和作用形式?答:1)定义:汽车在水平道路上等速行驶时受到的道路在行驶方向上的分力称为滚动阻力。
2)产生机理:由于轮胎内部摩擦产生弹性轮胎在硬支撑路面上行驶时加载变形曲线和卸载变形曲线不重合会有能量损失,即弹性物质的迟滞损失。
这种迟滞损失表现为一种阻力偶。
当车轮不滚动时,地面对车轮的法向反作用力的分布是前后对称的;当车轮滚动时,由于弹性迟滞现象,处于压缩过程的前部点的地面法向反作用力就会大于处于压缩过程的后部点的地面法向反作用力,这样,地面法向反作用力的分布前后不对称,而使他们的合力Fa 相对于法线前移一个距离a, 它随弹性迟滞损失的增大而变大。
即滚动时有滚动阻力偶矩 a F T z f = 阻碍车轮滚动。
3)作用形式:滚动阻力fw F f = rT F ff = (f 为滚动阻力系数)1.2、滚动阻力系数与哪些因素有关?提示:滚动阻力系数与路面种类、行驶车速以及轮胎的构造、材料、气压等有关。
1.3、解答:1)(取四档为例) 由u F n u n Tq Tq F t t →⇒⎪⎭⎪⎬⎫→→→ 即 ri i T F To g q t η=432)1000(8445.3)1000(874.40)1000(44.165)1000(27.25913.19n n n n Tq -+-+-=og i i rnu 377.0=行驶阻力为w f F F +: 215.21a D w f U A C Gf F F +=+ 2131.0312.494aU +=由计算机作图有※本题也可采用描点法做图:由发动机转速在m in /600n min r =,m in /4000n max r =,取六个点分别代入公式:……………………………… 2)⑴最高车速:有w f t F F F +=⇒2131.0312.494a t U F += 分别代入a U 和t F 公式:2)09.6*83.53697.0*377.0(131.0312.494367.085.0*83.5*9.6*n T q += 把q T 的拟和公式也代入可得: n>4000而4000m ax =n r/min∴93.9483.5*0.14000*367.0*377.0max ==U Km/h ⑵最大爬坡度:挂Ⅰ档时速度慢,Fw 可忽略: ⇒)(max w f t i F F F F +-=⇒GfF Git -=max⇒013.08.9*388014400max max -=-=f G F i t =0.366(3)克服该坡度时相应的附着率 zxF F =ϕ 忽略空气阻力和滚动阻力得:6.0947.12.3*366.0/=====a il l a i F Fi zϕ 3)①绘制汽车行驶加速倒数曲线(已装货):40.0626)(1f D g du dt a -==δ (G FwFt D -=为动力因素) Ⅱ时,22022111r i i I m r I m Tg f wηδ++=∑2222367.085.0*83.5*09.3*218.038001367.0598.3798.1380011+++= =1.128ri i T F To g q t η=432)1000(8445.3)1000(874.40)1000(44.165)1000(27.25913.19n n n n Tq -+-+-=215.21a D w U A C F =由以上关系可由计算机作出图为:②用计算机求汽车用Ⅳ档起步加速至70km/h 的加速时间。
第一章1.1、试说明轮胎滚动阻力的定义、产生机理和作用形式?答:1)定义:汽车在水平道路上等速行驶时受到的道路在行驶方向上的分力称为滚动阻力。
2)产生机理:由于轮胎内部摩擦产生弹性轮胎在硬支撑路面上行驶时加载变形曲线和卸载变形曲线不重合会有能量损失,即弹性物质的迟滞损失。
这种迟滞损失表现为一种阻力偶。
当车轮不滚动时,地面对车轮的法向反作用力的分布是前后对称的;当车轮滚动时,由于弹性迟滞现象,处于压缩过程的前部点的地面法向反作用力就会大于处于压缩过程的后部点的地面法向反作用力,这样,地面法向反作用力的分布前后不对称,而使他们的合力Fa 相对于法线前移一个距离a, 它随弹性迟滞损失的增大而变大。
即滚动时有滚动阻力偶矩 a F T z f = 阻碍车轮滚动。
3)作用形式:滚动阻力fw F f =rT F f f =(f 为滚动阻力系数)1.2、滚动阻力系数与哪些因素有关?提示:滚动阻力系数与路面种类、行驶车速以及轮胎的构造、材料、气压等有关。
1.3、解答:1)(取四档为例) 由u F n u n Tq Tq F t t →⇒⎪⎭⎪⎬⎫→→→ 即ri i T F To g q t η=432)1000(8445.3)1000(874.40)1000(44.165)1000(27.25913.19nn n n Tq -+-+-=og i i rnu 377.0=行驶阻力为w f F F +: 215.21a D w f U A C Gf F F +=+ 2131.0312.494aU +=由计算机作图有※本题也可采用描点法做图:由发动机转速在min /600n min r =,min /4000n max r =,取六个点分别代入公式:……………………………… 2)⑴最高车速: 有w f t F F F +=⇒2131.0312.494a t U F += 分别代入a U 和t F 公式:2)09.6*83.53697.0*377.0(131.0312.494367.085.0*83.5*9.6*n T q +=把q T 的拟和公式也代入可得: n>4000而4000max =n r/min ∴93.9483.5*0.14000*367.0*377.0max ==U Km/h⑵最大爬坡度:挂Ⅰ档时速度慢,Fw 可忽略: ⇒)(m a x w f t i F F F F +-=⇒GfF Git -=max⇒013.08.9*388014400m a x m a x -=-=f G F i t =0.366(3)克服该坡度时相应的附着率 zxF F =ϕ 忽略空气阻力和滚动阻力得: 6.0947.12.3*366.0/=====a il l a i F Fi zϕ 3)①绘制汽车行驶加速倒数曲线(已装货):40.0626)(1f D g du dt a -==δ (G Fw Ft D -=为动力因素) Ⅱ时,22022111ri i I m r ImTg f wηδ++=∑ 2222367.085.0*83.5*09.3*218.038001367.0598.3798.1380011+++= =1.128ri i T F To g q t η=432)1000(8445.3)1000(874.40)1000(44.165)1000(27.25913.19n n n n Tq -+-+-=215.21a D w U A C F =由以上关系可由计算机作出图为:②用计算机求汽车用Ⅳ档起步加速至70km/h 的加速时间。
汽车理论第六版第一章课后答案1-10
1、试说明轮胎滚动阻力的定义、产生机理和作用形式?
定义:汽车在水平道路上等速行驶时受到的道路在行驶方向上的分力称为滚动阻力。
产生机理:由于轮胎内部摩擦产生弹性轮胎在硬支撑路面上行驶时加载变形曲线和卸载变形曲线不重合会有能量损失,即弹性物质的迟滞损失。
这种迟滞损失表现为一种阻力偶。
作用形式:滚动阻力
2、滚动阻力系数与哪些因素有关?
滚动阻力系数与路面种类、行驶车速以及轮胎的构造、材料、气压等有关。
确定一轻型货车的动力性能:绘制汽车驱动力与行驶阻力平衡图。
求汽车的最高车速、最大爬坡度及克服
3、轻型货车的有关数据:汽油发动机使用外特性的Tqn曲线的拟合公式为432、10、85、n为发动机转速。