建筑、人防工程施工监理服务收费说明表
- 格式:doc
- 大小:43.00 KB
- 文档页数:5
监理服务费取费一览表根据国家发展改革委、建设部关于印发《建设工程监理与相关服务收费管理规续:注:施工监理服务收费按照下列公式计算:(1)施工监理服务收费=施工监理服务收费基准价×(1±浮动幅度值)(2)施工监理服务收费基准价=施工监理服务收费基价○1×专业调整系数○2×工程复杂调整系数○3×高程调整系数○4○2建筑市政工程专业调整系数:邮电、电信、广电工艺工程为0.9;建筑、人防、市政工程为1.0;园林绿化工程为0.8○3工程复杂调整系数(建筑、人防工程复杂程度)一般(I级),系数0.85,工程特征:功能单一、技术要求简单的小型公共建筑工程;高度<24m的一般公共建筑工程;小型仓储建筑工程;简单的设备用房及其他配套用房工程;简单的建筑环境及室外工程;相当于一星级饭店及以下标准的室内装修工程;人防疏散干道、支干道及人防连接通道等人防配套工程较复杂(II级),系数1,工程特征:大中型公共建筑工程;技术要求较复杂或有地区性意义的小型公共建筑工程;高度24~50m的一般公共建筑工程;20层及以下一般标准的居住建筑工程;仿古建筑,一般标准的古建筑、保护性建筑以及地下建筑工程;大中型仓储建筑工程;一般标准的建筑环境和室外工程;相当于二、三星级饭店标准的室内装修工程;防护级别为四级及以下同时建筑面积<10000m²的人防工程复杂(III级),系数1.15,工程特征:高级大型公共建筑工程;技术要求复杂或具有经济、文化、历史等意义的省(市)级中小型公共建筑工程;高度>50m的公共建筑工程;20层以上居住建筑和20层及以下高标准居住建筑工程;高标准的古建筑、保护性建筑和地下建筑工程;高标准的建筑环境和室外工程;相当于四、五星级饭店标准的室内装修,特殊声学装修工程;防护级别为三级以上或者建筑面积≥10000m²的人防工程;另:1. 大型建筑工程指20001m²以上的建筑,中型指5001~20000m²的建筑,小型指5000 m²以下的建筑;2. 古建筑、保护性建筑等,根据具体情况,附加调整系数为1.1~1.3。
监理服务费取费一览表据国家发展改革委、建设部关于印发《建设工程监理与相关服务收费管理规定》注:施工监理服务收费按照下列公式计算:(1)施工监理服务收费=施工监理服务收费基准价×(1±浮动幅度值)(2)施工监理服务收费基准价=施工监理服务收费基价○1×专业调整系数○2×工程复杂调整系数○3×高程调整系数○4○2建筑市政工程专业调整系数:邮电、电信、广电工艺工程为0.9;建筑、人防、市政工程为1.0;园林绿化工程为0.8○3工程复杂调整系数(建筑、人防工程复杂程度)一般(I级),系数0.85,工程特征:功能单一、技术要求简单的小型公共建筑工程;高度<24m的一般公共建筑工程;小型仓储建筑工程;简单设备用房及其他配套用房工程;简单的建筑环境及室外工程;相当于一星级饭店及以下标准室内装修工程;人防疏散干道、支干道及人防连接通道等人防配套工程较复杂(II级),系数1,工程特征:大中型公共建筑工程;技术要求较复杂或有地区性意义的小型公共建筑工程;高度24~50m的一般公共建筑工程;20层及以下一般标准的居住建筑工程;仿古建筑,一般标准的古建筑、保护性建筑以及地下建筑工程;大中型仓储建筑工程;一般标准的建筑环境和室外工程;相当于二、三星级饭店标准的室内装修工程;防护级别为四级及以下同时建筑面积<10000m²的人防工程复杂(III级),系数1.15,工程特征:高级大型公共建筑工程;技术要求复杂或具有经济、文化、历史等意义的省(市)级中小型公共建筑工程;高度>50m的公共建筑工程;20层以上居住建筑和20层及以下高标准居住建筑工程;高标准的古建筑、保护性建筑和地下建筑工程;高标准的建筑环境和室外工程;相当于四、五星级饭店标准室内装修,特殊声学装修工程;防护级别为三级以上或者建筑面积≥10000m²的人防工程;另:1. 大型建筑工程指20001 m²以上建筑,中型指5001~20000 m²的建筑,小型指5000 m²以下的建筑;2. 古建筑、保护性建筑等,根据具体情况,附加调整系数为1.1~1.3。
工程建设监理收费标准(发改价格【2007】670号)单位:万元注:本表为施工监理收费基价,监理费按内插法计算,如工程造价为6000万元工程监理费计算方法如下:120.8+(181.0-120.8)/(8000-5000)×(6000-5000)=140.87万元关于印发《建设工程监理与相关服务收费管理规定》的通知发改价格[2007]670号(国家发展改革委、建设部2007年3月30日颁布,5月1日实施)国务院有关部门,各省、自治区、直辖币发展改革委、物价局、建设厅(委):为规范建设工程监理及相关服务收费行为,维护委托双方合法权益,促进工程监理行业健康发展,我们制定了《建设工程监理与相关服务收费管理规定》,现印发给你们,自2007年5月1日起执行。
原国家物价局、建设部下发的《关于发布工程建设监理费有关规定的通知》([1992]价费字479号)自本规定生效之日起废止。
附:建设工程监理与相关服务收费管理规定中华人民共和国国家发展和改革委员会中华人民共和国建设部二00七年三月三十日建设工程监理与相关服务收费管理规定第一条为规范建设工程监理与相关服务收费行为,维护发包人和监理人的合法权益,根据《中华人民共和国价格法》及有关法律、法规,制定本规定。
第二条建设工程监理与相关服务,应当遵循公开、公平、公正、自愿和诚实信用的原则。
依法须招标的建设工程,应通过招标方式确定监理人。
监理服务招标应优先考虑监理单位的资信程度、监理方案的优劣等技术因素。
第三条发包人和监理人应当遵守国家有关价格法律法规的规定,接受政府价格主管部门的监督、管理。
第四条建设工程监理与相关服务收费根据建设项目性质不同情况,分别实行政府指导价或市场调节价。
依法必须实行监理的建设工程施工阶段的监理收费实行政府指导价;其它建设工程施工阶段的监理收费和其它阶段的监理与相关服务收费实行市场调节价。
第五条实行政府指导价的建设工程施工阶段监理收费,其基准价根据《建设工程监理与相关服务收费标准》计算,浮动幅度为上下20%。
施工监理服务收费按照下列公式计算:(1)施工监理服务收费=施工监理服务收费基准价×(1±浮动幅度值)(2)施工监理服务收费基准价=施工监理服务收费基价×专业调整系数×工程复杂程度调整系数×高程调整系数工程复杂程度分为一般、较复杂和复杂三个等级,其调整系数分别为:一般(Ⅰ级)0.85;较复杂(Ⅱ级)1.0;复杂(Ⅲ级)1.15。
计算施工监理服务收费时,工程复杂程度在相应章节的《工程复杂程度表》中查找确定。
(3)高程调整系数如下:海拔高程2001m以下的为1.0;海拔高程2001~3000m为1.1;海拔高程3001~3500m为1.2;海拔高程3501~4000m为1.3;海拔高程 4001m以上的,高程调整系数由发包人和监理人协商确定。
7 建筑市政工程7.1建筑市政工程范围适用于建筑、人防、市政公用、园林绿化、电信、广播电视、邮政、电信工程。
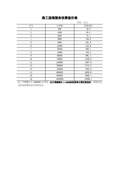
7.2 建筑市政工程复杂程度7.2.1 建筑、人防工程建设工程监理与相关服务的主要工作内容施工监理服务收费基价表注:计费额大于1000000万元的,以计费额乘以1.039%的收费率计算收费基价。
其他未包含的其收费由双方协商议定。
施工监理服务收费专业调整系数表工程类型专业调整系数1.矿山采选工程黑色、有色、黄金、化学、非金属及其他矿采选工程 0.9选煤及其他煤炭工程 1.0矿井工程,铀矿采选工程 1.12.加工冶炼工程冶炼工程 0.9船舶水工工程 1.0各类加工 1.0核加工工程 1.23.石油化工工程石油工程 0.9化工、石化、化纤、医药工程 1.0核化工工程 1.24.水利电力工程风力发电、其他水利工程 0.9火电工程、送变电工程 1.0核能、水电、水库工程 1.25.交通运输工程机场场道、助航灯光工程 0.9铁路、公路、城市道路、轻轨及机场空管工程 1.0水运、地铁、桥梁、隧道、索道工程 1.16.建筑市政工程园林绿化工程 0.8建筑、人防、市政公用工程 1.0邮政、电信、广播电视工程 1.07.农业林业工程农业工程 0.9林业工程 0.9建设工程监理与相关服务人员人工日费用标准注:本表适用于提供短期服务的人工费用标准。
-----工程建设监理收费标准(发改价格【2007】670号)单位:万元序号计费额收费基价150016.52100030.13300078.145000120.858000181.0610000218.6720000393.4840000708.2960000991.410800001255.8111000001507.0122000002712.5134000004882.6146000006835.6158000008658.416100000010390.1注:本表为施工监理收费基价,监理费按内插法计算,如工程造价为6000万元工程监理费计算方法如下:120.8+(181.0-120.8)/(8000-5000)×(6000-5000)=140.87万元关于印发《建设工程监理与相关服务收费管理规定》的通知发改价格[2007]670号(国家发展改革委、建设部2007年3月30日颁布,5月1日实施)国务院有关部门,各省、自治区、直辖币发展改革委、物价局、建设厅(委):为规范建设工程监理及相关服务收费行为,维护委托双方合法权益,促进工程监理行业健康发展,我们制定了《建设工程监理与相关服务收费管理规定》,现印发给你们,自2007年5月1日起执行。
原国家物价局、建设部下发的《关于发布工程建设监理费有关规定的通知》([1992]价费字479号)自本规定生效之日起废止。
附:建设工程监理与相关服务收费管理规定中华人民共和国国家发展和改革委员会中华人民共和国建设部二00七年三月三十日建设工程监理与相关服务收费管理规定第一条为规范建设工程监理与相关服务收费行为,维护发包人和监理人的合法权益,-----根据《中华人民共和国价格法》及有关法律、法规,制定本规定。
第二条建设工程监理与相关服务,应当遵循公开、公平、公正、自愿和诚实信用的原则。
依法须招标的建设工程,应通过招标方式确定监理人。
监理服务招标应优先考虑监理单位的资信程度、监理方案的优劣等技术因素。
监理服务费取费一览表根据国家发展改革委、建设部关于印发《建设工程监理与相关服务收费管理规定》的通知(发改价格[2007]670号)文件,按直线内插法计算的监理服务收费基价。
注:施工监理服务收费按照下列公式计算:(1)施工监理服务收费=施工监理服务收费基准价×(1±浮动幅度值)(2)施工监理服务收费基准价=施工监理服务收费基价①×专业调整系数②×工程复杂调整③×高程调整系数④①建筑市政工程专业调整系数:邮电、电信、广电工艺工程为0.9;建筑、人防、市政工程为1.0;园林绿化工程为0.8③工程复杂调整系数(建筑、人防工程复杂程度)一般(I级),系数0.85,工程特征:功能单一、技术要求简单的小型公共建筑工程;高度<24m的一般公共建筑工程;小型仓储建筑工程;简单的设备用房及其他配套用房工程;简单的建筑环境及室外工程;相当于一星级饭店及以下标准的室内装修工程;人防疏散干道、支干道及人防连接通道等人防配套工程较复杂(II级),系数1,工程特征:大中型公共建筑工程;技术要求较复杂或有地区性意义的小型公共建筑工程;高度24~50m的一般公共建筑工程;20层及以下一般标准的居住建筑工程;仿古建筑,一般标准的古建筑、保护性建筑以及地下建筑工程;大中型仓储建筑工程;一般标准的建筑环境和室外工程;相当于二、三星级饭店标准的室内装修工程;防护级别为四级及以下同时建筑面积<10000m²的人防工程复杂(III级),系数1.15,工程特征:高级大型公共建筑工程;技术要求复杂或具有经济、文化、历史等意义的省(市)级中小型公共建筑工程;高度>50m的公共建筑工程;20层以上居住建筑和20层及以下高标准居住建筑工程;高标准的古建筑、保护性建筑和地下建筑工程;高标准的建筑环境和室外工程;相当于四、五星级饭店标准的室内装修,特殊声学装修工程;防护级别为三级以上或者建筑面积≥10000m²的人防工程;另:1. 大型建筑工程指20001 m²以上的建筑,中型指5001~20000 m²的建筑,小型指5000 m²以下的建筑;2. 古建筑、保护性建筑等,根据具体情况,附加调整系数为1.1~1.3。
工程报批报建第三方服务收费规定农民工工资保证金:工程造价的2%
物业质量保修金:多层30元/平米、高层36元/平米、别墅42元/平米、公建36元/平米
房地产综合开发管理费:4.4元/平米
1、人防费:建筑物首层面积x600元/平米10层以上2000
2、环评费:建筑面积x5元/平米
3、防雷审查费:建筑面积x1.3元/平米
4、墙改费:建筑面积x10元/平米
5、劳保基金:中标价x2.6%
6、质检费:中标价x0.07%
7、放线、验线费:建筑物栋数x4488元/每栋
8、施工图审查费用:建筑面积(重复楼号x30%)x3.7元/平米(左右),公建48元/平米左右
9、竣工测量费:建筑物栋数x1000元/平米
10、消防电检:建筑面积x1.5元/平米
11、市政配套费:建筑面积x255元/平米(公建205元/平米)12、规划证服务费:建筑面积x2.6元/平米
13、节能验收建筑面积x1元/平米,门窗气密性按照组x1000元/组
14、燃气监理、验收费:
15、开口费
16、绿化补偿费
17、中标手续费:建筑面积x0.46元/平米
18、排污费:建筑面积x2.0元/平米(乙方交纳)
19、水土保持费
20、开发许可证:建筑面积x3.0元/平米
21、房产交易手续费:建筑面积x3.0元/平米印花税
22、印花税
23、大证登记费:建筑面积x0.8元/平米
24、水质检测:1500元/次。
25、预测绘费:建筑面积x1.36元/平米。
26、面积测绘费:建筑面积x1.36元/平米。
工程建设监理收费标准(发改价格【2007】670号)单位:万元注:本表为施工监理收费基价,监理费按内插法计算,如工程造价为6000万元工程监理费计算方法如下:120.8+(181.0-120.8)/(8000-5000)×(6000-5000)=140.87万元关于印发《建设工程监理与相关服务收费管理规定》的通知发改价格[2007]670号(国家发展改革委、建设部2007年3月30日颁布,5月1日实施)国务院有关部门,各省、自治区、直辖币发展改革委、物价局、建设厅(委):为规范建设工程监理及相关服务收费行为,维护委托双方合法权益,促进工程监理行业健康发展,我们制定了《建设工程监理与相关服务收费管理规定》,现印发给你们,自2007年5月1日起执行。
原国家物价局、建设部下发的《关于发布工程建设监理费有关规定的通知》([1992]价费字479号)自本规定生效之日起废止。
附:建设工程监理与相关服务收费管理规定中华人民共和国国家发展和改革委员会中华人民共和国建设部二00七年三月三十日建设工程监理与相关服务收费管理规定第一条为规范建设工程监理与相关服务收费行为,维护发包人和监理人的合法权益,根据《中华人民共和国价格法》及有关法律、法规,制定本规定。
第二条建设工程监理与相关服务,应当遵循公开、公平、公正、自愿和诚实信用的原则。
依法须招标的建设工程,应通过招标方式确定监理人。
监理服务招标应优先考虑监理单位的资信程度、监理方案的优劣等技术因素。
第三条发包人和监理人应当遵守国家有关价格法律法规的规定,接受政府价格主管部门的监督、管理。
第四条建设工程监理与相关服务收费根据建设项目性质不同情况,分别实行政府指导价或市场调节价。
依法必须实行监理的建设工程施工阶段的监理收费实行政府指导价;其它建设工程施工阶段的监理收费和其它阶段的监理与相关服务收费实行市场调节价。
第五条实行政府指导价的建设工程施工阶段监理收费,其基准价根据《建设工程监理与相关服务收费标准》计算,浮动幅度为上下20%。
国家发展改革委、建设部关于印发《建设工程监理与相关服务收费管理规定》的通知发改价格[2007]670号国务院有关部门,各省、自治区、直辖市发展改革委、物价局、建设厅(委):为规范建设工程监理与相关服务收费行为,维护委托双方合法权益,促进我国工程监理行业的健康发展,国家发展和改革委员会、建设部组织国务院有关部门和有关行业组织,制定了《建设工程监理与相关服务收费管理规定》,自2007年5月1日开始施行。
原国家物价局、建设部下发的《关于发布工程建设监理费有关规定的通知》([1992]价费字479号)自本规定生效之日起废止。
附:建设工程监理与相关服务收费管理规定附件:建设工程监理与相关服务收费管理规定第一条为规范建设工程监理与相关服务收费行为,维护发包人和监理人的合法权益,根据《中华人民共和国价格法》及有关法律、法规,制定本规定。
第二条本规定适用于中华人民共和国境内建设项目的建设工程监理与相关服务收费。
第三条建设工程监理与相关服务的发包与承包应当遵循公开、公平、公正、自愿和诚实信用的原则。
依据《中华人民共和国招标投标法》等法律法规,发包人有权自主选择监理人,监理人自主决定是否接受委托。
第四条发包人和监理人应当遵守国家有关价格法律、法规的规定,维护正常的价格秩序,接受政府价格主管部门的监督、管理。
第五条建设工程监理与相关服务收费根据建设项目投资额的不同情况,分别实行政府指导价和市场调节价。
建设项目总投资额3000万元及以上的建设工程施工阶段的监理收费实行政府指导价;建设项目总投资额3000万元以下的建设工程施工阶段的监理收费和其它阶段的监理与相关服务收费实行市场调节价。
第六条实行政府指导价的建设工程施工阶段监理收费,其基准价根据《建设工程监理与相关服务收费标准》计算,浮动幅度为上下20%。
发包人和监理人应当根据建设项目的实际情况在规定的浮动幅度内协商确定收费额。
实行市场调节价的建设工程监理与相关服务收费,由发包人和监理人协商确定收费额。
施工监理服务收费基价表
单位:万元
注:计费额大于1000000万元的,以计费额乘以1.039%的收费率计算收费基价。
其他未包含的其收费由双方协商议定。
附表三
施工监理服务收费专业调整系数表工程类型专业调整系数1.矿山采选工程
黑色、有色、黄金、化学、非金属及其他矿采选工程 0.9
选煤及其他煤炭工程 1.0
矿井工程、铀矿采选工程 1.1
2.加工冶炼工程
冶炼工程 0.9
船舶水工工程 1.0
各类加工 1.0
核加工工程 1.2
3.石油化工工程
石油工程 0.9
化工、石化、化纤、医药工程 1.0
核化工工程 1.2
4.水利电力工程
风力发电、其他水利工程 0.9
火电工程、送变电工程 1.0
核能、水电、水库工程 1.2 5.交通运输工程
机场场道、助航灯光工程 0.9
铁路、公路、城市道路、轻轨及机场空管工程 1.0
水运、地铁、桥梁、隧道、索道工程 1.1
6.建筑市政工程
园林绿化工程 0.8
建筑、人防、市政公用工程 1.0
邮政、电信、广电电视工程 1.0
7.农业林业工程
农业工程 0.9
林业工程 0.9
附表四
建设工程监理与相关服务人员人工日费用标准
注:本表适用于提供短期服务的人工费用标准。
建设工程监理与相关服务收费标准1 总则1.0.1 建设工程监理与相关服务是指监理人接受发包人的委托,提供建设工程施工阶段的质量、进度、费用控制管理和安全生产监督管理、合同、信息等方面协调管理服务,以及勘察、设计、保修等阶段的相关服务。
各阶段的工作内容见《建设工程监理与相关服务的主要工作内容》(附表一)。
1.0.2 建设工程监理与相关服务收费包括建设工程施工阶段的工程监理(以下简称“施工监理”)服务收费和勘察、设计、保修等阶段的相关服务(以下简称“其他阶段的相关服务”)收费。
1.0.3 铁路、水运、公路、水电、水库工程的施工监理服务收费按建筑安装工程费分档定额计费方式计算收费。
其他工程的施工监理服务收费按照建设项目工程概算投资额分档定额计费方式计算收费。
1.0.4 其他阶段的相关服务收费一般按相关服务工作所需工日和《建设工程监理与相关服务人员人工日费用标准》(附表四)收费。
1.0.5 施工监理服务收费按照下列公式计算:(1)施工监理服务收费=施工监理服务收费基准价×(1士浮动幅度值)(2)施工监理服务收费基准价=施工监理服务收费基价X专业调整系数X工程复杂程度调整系数×高程调整系数1.0.6 施工监理服务收费基价施工监理服务收费基价是完成国家法律法规、规范规定的施工阶段监理基本服务内容的价格。
施工监理服务收费基价按《施工监理服务收费基价表》(附表二)确定,计费额处于两个数值区间的,采用直线内插法确定施工监理服务收费基价。
1.0.7 施工监理服务收费基准价施工监理服务收费基准价是按照本收费标准规定的基价和1.0.5(2)计算出的施工监理服务基准收费额。
发包人与监理人根据项目的实际情况,在规定的浮动幅度范围内协商确定施工监理服务收费合同额。
1.0.8 施工监理服务收费的计费额施工监理服务收费以建设项目工程概算投资额分档定额计费方式收费的,其计费额为工程概算中的建筑安装工程费、设备购置费和联合试运转费之和,即工程概算投资额。
-----工程建设监理收费标准(发改价格【2007】670号)单位:万元序号计费额收费基价150016.52100030.13300078.145000120.858000181.0610000218.6720000393.4840000708.2960000991.410800001255.8111000001507.0122000002712.5134000004882.6146000006835.6158000008658.416100000010390.1注:本表为施工监理收费基价,监理费按内插法计算,如工程造价为6000万元工程监理费计算方法如下:120.8+(181.0-120.8)/(8000-5000)×(6000-5000)=140.87万元关于印发《建设工程监理与相关服务收费管理规定》的通知发改价格[2007]670号(国家发展改革委、建设部2007年3月30日颁布,5月1日实施)国务院有关部门,各省、自治区、直辖币发展改革委、物价局、建设厅(委):为规范建设工程监理及相关服务收费行为,维护委托双方合法权益,促进工程监理行业健康发展,我们制定了《建设工程监理与相关服务收费管理规定》,现印发给你们,自2007年5月1日起执行。
原国家物价局、建设部下发的《关于发布工程建设监理费有关规定的通知》([1992]价费字479号)自本规定生效之日起废止。
附:建设工程监理与相关服务收费管理规定中华人民共和国国家发展和改革委员会中华人民共和国建设部二00七年三月三十日建设工程监理与相关服务收费管理规定第一条为规范建设工程监理与相关服务收费行为,维护发包人和监理人的合法权益,-----根据《中华人民共和国价格法》及有关法律、法规,制定本规定。
第二条建设工程监理与相关服务,应当遵循公开、公平、公正、自愿和诚实信用的原则。
依法须招标的建设工程,应通过招标方式确定监理人。
监理服务招标应优先考虑监理单位的资信程度、监理方案的优劣等技术因素。
2020年监理费标准监理费收取标准建设工程监理是保障工程质量、安全、进度和合同履约的重要环节。
为规范建设工程监理与相关服务的收费管理,制定本指导意见。
一、建设工程监理与相关服务收费1.新《管理规定》界定的监理服务范围包括勘案、设计、施工和保修四个阶段。
其中,施工阶段服务称为“施工(工程)监理”,其它阶段服务称为“相关服务”。
根据委托范围及工作内容分别按相应收费标准计取服务费用。
2.依法必须实行监理的建设工程,其施工监理服务收费实行政府指导价。
其它建设工程的施工监理和相关服务收费实行市场调节价,由发包人与监理人参考政府指导价协商确定。
3.施工监理服务费用计取1)施工监理服务收费=施工监理服务收费基准价×(1±A%),其中A为浮动幅度,在~20之间取定,由发包人和监理人根据工程情况协商确定。
2)施工监理服务收费基准价=施工监理服务收费基价×专业调整系数×工程复杂程度调整系数×高程调整系数(常州地区均为1)。
3)单份监理合同涉及多个不同复杂程度的单位工程时,如难度大的工程建筑面积或造价达总工程量40%以上,则整个建设项目复杂调整系数可按相应系数中最高值取定。
4)计费额500万元以下的工程项目均按3.3%的费率计算收费基价。
即500万元以下项目的收费基价=计费额×3.3%。
5)铁路、水运、公路、水电、水库工程的计费额按其建筑安装工程费分档定额计算;其它工程的计费额按照建设项目工程概算投资额分档定额计算。
4.勘察、设计、保修等阶段的相关服务费用计取,一般按实际工作所需工日,参照建设工程监理与相关服务人员人工日费用标准计取。
二、建设工程监理与相关服务承发包1.依法必须招标的建设项目按现行规定及相应程序办理公开或邀请招标手续。
2.可直接发包的建设项目1)估算监理费18万元及以下的建设项目,直接在市建设局建筑业管理办公室办理合同备案等相关手续。
2)估算监理费18万元以上的建设项目,应填写《工程监理人员审核及基价收费核定单》,经市建设局建筑业管理办公室审核后,再进入市建设工程交易中心办理相关直接发包手续。
附二施工监理服务收费基价表单位:万元注:计费额大于.l000000万元的,以计费额乘以l.039%的收费率计算改费基价,其他未包含的其收费由双方协商议定。
1.0.5 施工监理服务收费按照下列公式计算:(1)施工监理服务收费=施工监理服务收费基准价×(1±浮动幅度值)(2)施工监理服务收费基准价=施工监理服务收费基价×专业调整系数×工程复杂程度调整系数×高程调整系数3.3.2.2监理服务收费:监理服务费用计算为:(报价计算方法采用直线内插法)(1)施工监理服务收费=施工监理服务收费基准价×(1-浮动幅度值20%)(2)施工监理服务收费基准价=施工监理服务收费价×专业调整系数×工程复杂程度调度系数×高程调整系数即:施工监理服务收费价=78.1万元施工监理服务收费基准价=78.1*1.1*1*1=85.91万元。
施工监理服务收费=85.91万元*(1-20%)=68.72万元。
施工监理服务收费费率=68.72/3000 = 2.29%。
附表三施工监理服务收费专业调整系数表工程类型专业调整系数1.矿山采选工程黑色、有色、黄金、化学、非金属及其他矿采选工程 0.9选煤及其他煤炭工程 1.0矿井工程、铀矿采选工程 1.1 2.加工冶炼工程冶炼工程 0.9船舶水工工程 1.0各类加工工程 1.0核加工工程 1.2 3.石油化工工程石油工程 0.9化工、石化、化纤、医药工程 1.0核化工工程 1.2 4.水利电力工程风力发电、其他水利工程 0.9火电工程、送变电工程 1.0核能、水电、水库工程 1.25.交通运输工程机场道路、助航灯光工程 0.9铁路、公路、城市道路、轻轨及机场空管工程1.0水运、地铁、桥梁、隧道、索道程 1.1 6.建筑市政工程园林绿化工程 0.8建筑、人防、市政公用工程 1.0邮电、电信、广播电视工程 1.0 7.农业林业工程农业工程 0.9林业工程 0.9。
工程建设监理收费标准(发改价格【2007】670号)单位:万元注:本表为施工监理收费基价,监理费按内插法计算,如工程造价为6000万元工程监理费计算方法如下:120.8+(181.0-120.8)/(8000-5000)×(6000-5000)=140.87万元关于印发《建设工程监理与相关服务收费管理规定》的通知发改价格[2007]670号(国家发展改革委、建设部2007年3月30日颁布,5月1日实施)国务院有关部门,各省、自治区、直辖币发展改革委、物价局、建设厅(委):为规范建设工程监理及相关服务收费行为,维护委托双方合法权益,促进工程监理行业健康发展,我们制定了《建设工程监理与相关服务收费管理规定》,现印发给你们,自2007年5月1日起执行。
原国家物价局、建设部下发的《关于发布工程建设监理费有关规定的通知》([1992]价费字479号)自本规定生效之日起废止。
附:建设工程监理与相关服务收费管理规定中华人民共和国国家发展和改革委员会中华人民共和国建设部二00七年三月三十日建设工程监理与相关服务收费管理规定第一条为规范建设工程监理与相关服务收费行为,维护发包人和监理人的合法权益,根据《中华人民共和国价格法》及有关法律、法规,制定本规定。
第二条建设工程监理与相关服务,应当遵循公开、公平、公正、自愿和诚实信用的原则。
依法须招标的建设工程,应通过招标方式确定监理人。
监理服务招标应优先考虑监理单位的资信程度、监理方案的优劣等技术因素。
第三条发包人和监理人应当遵守国家有关价格法律法规的规定,接受政府价格主管部门的监督、管理。
第四条建设工程监理与相关服务收费根据建设项目性质不同情况,分别实行政府指导价或市场调节价。
依法必须实行监理的建设工程施工阶段的监理收费实行政府指导价;其它建设工程施工阶段的监理收费和其它阶段的监理与相关服务收费实行市场调节价。
第五条实行政府指导价的建设工程施工阶段监理收费,其基准价根据《建设工程监理与相关服务收费标准》计算,浮动幅度为上下20%。
施工监理收费计算方法,环境监理可参照计算一、施工监理收费基价表单位:万元注:计费额大于1000000万元得,以计费额乘以1、039%得收费率计算收费基价。
其她未包含得其收费由双方协商议定。
二、施工监理收费专业调整系数表工程类型专业调整系数1.矿山采选工程黑色、有色、黄金、化学、非金属及其她矿采选工程0、9选煤及其她煤炭工程1、0矿井工程,铀矿采选工程1、1 2、加工冶炼工程冶炼工程0、9 船舶水工工程1、0 各类加工、冶炼工程1、0 核加工工程1、2 3、石油化工工程石油工程0、9化工、石化、化纤、医药工程1、0核化工工程1、2 4、水利电力工程风力发电、其她水利工程0、9火电工程、送变电工程1、0核能、水电、水库工程1、2 5.交通运输工程机场场道、机场空管工程与助航灯光工程0、9铁路、公路、城市道路、轻轨工程1、0水运、地铁、桥梁、隧道、索道工程1、1 6.建筑市政工程园林绿化工程0、8建筑、人防、市政公用工程1、0邮电、电信、广播电视工程1、0 7.农业林业工程农业工程0、9林业工程0、9三、建设工程监理与相关服务人员人工日费用标准注:本表适用于提供短期服务得人工费用标准。
四、收费基价直线内插法计算公式y=y 1+2121y y x x --(x-x 1)注: 1)x 1、x 2为《建设工程监理与相关服务收费标准》附表二中计费额得区段值;y 1、y 2为对应于x 1、x 2得收费基价;x 为某区段间得插入值;y 为对应于x 由插入法计算而得得收费基价。
2)计费额小于500万元得,以计费额乘以3、3%得收费率计算收费基价;3)计费额大于1,000,000万元得,以计费额乘以1、039%得收费率计算收费基价。
【例】若计算得计费额为600万,计算其收费基价。
根据《建设工程监理与相关服务收费标准》附表二:施工监理服务收费基价表,计费额处于区段值500万(收费基价为16、5万)与1000万(收费基价为30、1万)之间,则对应于600万计费额得收费基价()万元22.1950060050010005.161.305.16y =-⨯--+=Y(收费基价) y y (计费额)2 1。
建筑、人防工程施工监理服务收费说明表
注:1.本表依据《建设工程监理与相关服务收费标准》编制,仅涉及建筑、人防工程。
2.施工监理服务收费=施工监理服务收费基准价×(1±浮动幅度值);
施工监理服务收费基准价=施工监理服务收费基价×高程系数×工程复杂程度调整系数×专业调整系数
3.海拔2001米以下的高程系数为1。
4.工程复杂程度调整系数详见《建设工程监理与相关服务收费标准》7.2.1。
复杂程度Ⅰ级调整系数为0.85,复杂程度Ⅱ级调整系数为1.0,复杂程度Ⅲ级调整系数为1.15。