2011年真题解析
- 格式:doc
- 大小:55.00 KB
- 文档页数:17
1.【解析】D。
本题考查政治常识。
党的十七大报告提出“以改善民生为重点的社会建设”,并提出了社会建设六大方面的内容。
第一是教育。
第二是就业。
第三是收入分配。
第四是覆盖城乡居民的保障体系。
第五是医疗公共卫生体制。
第六是完善社会管理,维护社会稳定和团结。
从中可看出D项不属于社会建设范畴。
2.【解析】C。
本题考查时事常识。
A项:2009年,我国的出口总额居世界第一;B项:二十国集团中具有广泛代表性的发展中国家包括南非、阿根廷、巴西、印度、印度尼西亚、墨西哥、沙特阿拉伯,中国并不是唯一的亚洲发展中国家;D项:我国与不丹、锡金两个边境国家仍未建立正式的外交关系。
3.【解析】B。
本题考查国情。
我国煤炭储藏量世界第一,所以排除A、C两项;现在我国一半左右的石油都依靠进口,所以排除D项。
4.【解析】B。
本题考查时事常识。
根据《国务院关于开展第六次全国人口普查的通知》,我国第六次人口普查的标准时点是2010年11月1日零点,第六次全国人口普查采用按现住地登记的原则。
人口普查所需经费,由中央和地方各级人民政府共同负担,并列入相应年度的财政预算,按时拨付、确保到位。
通知还要求,各级政府、各有关部门要严格执行《中华人民共和国统计法》和人口普查的有关规定。
人口普查取得的数据,严格限定用于普查目的,不得作为任何部门和单位对各级行政管理工作实施考核、奖惩的依据,不得作为对普查对象实施处罚的依据,所以B项正确。
5.【解析】C。
本题考查时事常识。
西部大开发的范围包括陕西省、甘肃省、青海省、宁夏回族自治区、新疆维吾尔自治区、四川省、重庆市、云南省、贵州省、西藏自治区、内蒙古自治区、广西壮族自治区等12个省、自治区、直辖市,所以C项错误。
6.【解析】A。
本题考查历史常识。
1947年9月,中共中央在河北省平山县西柏坡村召开全国土地会议,制定了《中国土地法大纲》,并于10月10日经中共中央批准正式公布。
由此展开了解放区的土改运动。
三大战役是指1948年9月至1949年1月,中国人民解放军同国民党军进行的战略决战,包括辽沈、淮海、平津三个战略性战役。
2011年考研数学二真题及答案解析2011年考研数学二真题及答案解析一、选择题部分1. 如图,矩形OABC中,AB=4,BC=3,M为BC的中点,点D,E分别在AO,CO上,满足AD=CE,连接DE、BM相交于F。
则DE/AB的值等于()。
A.1/3 B.1/4 C.1/2 D.2/3答案:A解析:根据题意,首先连接AM,然后用面积比解法。
设矩形OABC的面积为S,则S=AB×BC=12。
由于AD=CE,所以AM=CM,即BM=1.5,MF=BM/2=0.75。
在ΔABF中,AF是BM的中线,所以AF=BM/2=0.75。
设AC与DE交点为G,则AG=(BC+DE)/2=3+DE/2。
在ΔEBG中,EF是AM的中线,所以EF=AM/2=1.25。
因此,S[DEFG]/S[OABC]=[1-(MF/BC)]×[1-(EF/AB)]=2/3。
所以DE/AB=[S[DEFG]/S[OABC]]1/2=1/3。
2. 若(cosx+sinx)tanx=3,则tan3x的值为()。
A.1/2 B.1/3 C.1 D.3答案:D解析:将(cosx+sinx)tanx=3变形为cosx/(sinx+1/cosx)=3/sin^2(x)。
设y=sin(x),则cos(x)=√(1-y^2),所以上式化为(y+1/√(1-y^2))√(1-y^2)=3/y^2。
整理得y^5+3y^4+3y^3-8=0。
由于y=0不是方程的解,所以可将其化为(y+1)^3=y^2+3y+8/3。
又因为y^2+3y+8/3=(y+3/2)^2+7/12>0,所以y只可能为y=-1或y=-1/2。
当y=-1时,得cos(x)=0,sin(x)=-1,此时tan3x不存在。
当y=-1/2时,得cos(x)=√(1-1/4)=√3/2,sin(x)=-1/2。
因此sin(3x)=3sin(x)-4sin^3(x)=-3/4,cos(3x)=4cos^3(x)-3cos(x)=-1/2。
1、合理行政是依法行政的基本要求之一。
下列哪些做法体现了合理行政的要求?( )A.行政机关在作出重要决定时充分听取公众的意见B.行政机关要平等对待行政管理相对人C.行政机关行使裁量权所采取的措施符合法律目的D.非因法定事由并经法定程序,行政机关不得撤销已生效的行政决定【答案】BC2、社会主义法治理念的核心内容是“依法治国”。
关于“依法治国”,下列哪一选项是错误的?A. 依法治国以国家法律体系的健全、完善、规范、系统、协调为必要条件B. 依法治国依赖于法制完备,法律健全完备了,法治就实现了C. 依法治国应当树立宪法法律的权威D. 依法治国的实现,必须以规范和制约公权力为前提,做到职权法定、有权必有责、用权受监督、违法受追究【参考答案】:B参考解析:依法治国方略的实施是一项浩瀚庞大、复杂而艰巨的系统工程。
(1)坚持科学立法,构建和完善中国特色社会主义法律体系。
构建和完善中国特色社会主义法律体系是依法治国方略实拖的必要前提。
(2)坚持严格执法,切实做到依法行政。
法律的生命力在于实施。
行敢机关是实施法律法规的重要主体,依法行政是依法治国的一个关键环节,是法治国家对政府行政活动的基本要求。
一是要求合法行政。
二是要求合理行政。
三是要求程序正当。
四是要求高效便民。
五是要求诚实守信。
六是要求权责统一。
(3)坚持公正司沫,维护社会公平正义。
公正司法是维护社会公平正义的最后一道防线。
司法发挥着保证法律的正确实施,保障社会成员合法权益,建立和维护正常社会秩序等重要作用。
第一,要坚持司法公正。
第二,要实现司法高效。
第三,要树立司法权威。
(4)坚持全民守法,形成守法光荣的良好氛围。
社会成员知法、信法、仔法、用法,是依法治国方略实施的社会基础。
(5)强化监督制缃,构建权力制约监督体系与机制。
社会主义法治是“治官之治”和“治权之治”。
要从法律上构建起“以权力制约权力、以权利制约权力、以道德制约权力”的权力制约监督体系与机制,以保证执政党的权力阳立法、执法、司法等各种权力的设置和行使始终不偏离我国民主政治的正确轨道。
2011年内蒙古公务员考试行测真题解析(完整版)第一部分常识判断(共20题参考时限10分钟)1. 根据《中华人民共和国宪法》,我国的政权组织形式是:A. 人民民主专政B. 人民代表大会制度C. 统一的多民族国家D. 中国共产党领导的多党合作和政治协商制度解析:选B,人民民主专政是国体,人民代表大会制是政体。
2. 下列说法正确的是:A.十二大明确提出社会社会主意初级阶段的理论B.十三大提出建立社会主义市场经济体制C.十五大提出并论述了党在社会注意初级阶段的基本纲领D.十六大提出全面建设小康社会的奋斗目标解析:选D,十六大提出奋斗目标,十七大提出奋斗目标新要求,建议这部分知识要熟记而且能够明确区分。
3.下列关于我国行政法的说法正确的是:A.国家行政机关是最主要的行政主体;按照法定授权而获得行政权的组织,也可以成为行政主体。
B.未经行政确认的行为一旦实施,将受到相应的法律制裁。
C.法律、行政法规、国务院决定、地方性法规和各级人民政府的决定可以设定行政许可。
D.行政处罚的适用主体是人民法院、行政机关或法律、法规授权的组织。
解析:选A,C选项中省、自治区、直辖市人民政府可以制定政府规章设定临时性的行政许可,并非各级政府都可以设定行政许可。
D选项中法院属于司法审判机关,不属于行政处罚适用主体。
4.下列不属于公务员的是:A.某县党委委员B.某市工商行政管理局干部C.某国有企业工人D.某民主党派机关干部解析:选C,参见公务员报考职位表,除了参公职位,剩下都是公务员。
5.关于知识产权,下列说法正确的是:A.知识产权为权利人所专有,不能随意转让。
B.知识产权只在特定国家领域内发生法定效力。
C.知识产权如无设定期限,则永久有效。
D.企业的注册商标不属于其知识产权。
解析:选B,知识产权指“权利人对其所创作的智力劳动成果所享有的专有权利”,一般只在有限时间期内有效。
各种智力创造比如发明、文学和艺术作品,以及在商业中使用的标志、名称、图像以及外观设计,都可被认为是某一个人或组织所拥有的知识产权。
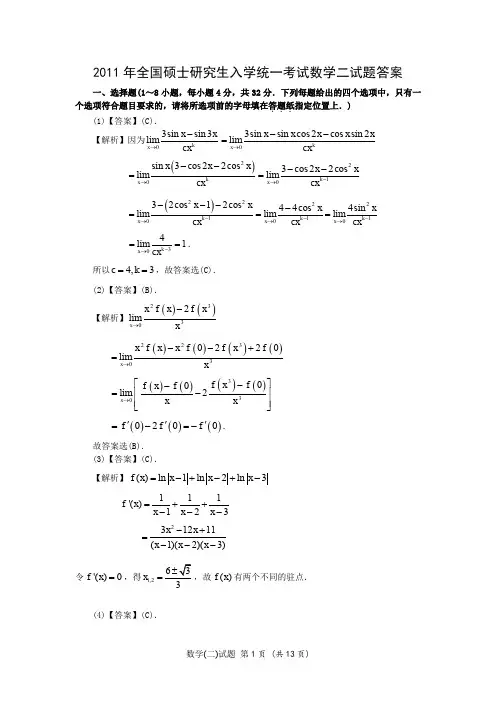
2011年全国硕士研究生入学统一考试数学三试题一、选择题:1~8小题,每小题4分,共32分。
下列每题给出的四个选项中,只有一个选项是符合题目要求的。
请将所选项前的字母填在答题纸指定位置上。
(1) 已知当0x →时,函数()3sin sin3f x x x =-与是k cx 等价无穷小,则(A) 1,4k c == (B) 1,4k c ==- (C) 3,4k c == (D) 3,4k c ==-(2) 已知()f x 在0x =处可导,且(0)0f =,则2330()2()lim x x f x f x x→-= (A) '2(0)f - (B) '(0)f - (C) '(0)f (D) 0 (3) 设{}n u 是数列,则下列命题正确的是(A) 若1nn u∞=∑收敛,则2121()n n n uu ∞-=+∑收敛(B) 若2121()n n n uu ∞-=+∑收敛,则1n n u ∞=∑收敛(C) 若1nn u∞=∑收敛,则2121()n n n uu ∞-=-∑收敛(D) 若2121()n n n uu ∞-=-∑收敛,则1n n u ∞=∑收敛(4) 设40ln(sin )I x dx π=⎰,4ln(cot )J x dx π=⎰,40ln(cos )K x dx π=⎰ 则I ,J ,K 的大小关系是(A) I J K << (B) I K J << (C) J I K << (D) K J I << (5) 设A 为3阶矩阵,将A 的第2列加到第1列得矩阵B ,再交换B 的第2行与第3行得单位矩阵记为1100110001P ⎛⎫ ⎪= ⎪ ⎪⎝⎭,2100001010P ⎛⎫ ⎪= ⎪ ⎪⎝⎭,则A = (A)12P P (B)112P P - (C)21P P (D) 121P P -(6) 设A 为43⨯矩阵,1η, 2η , 3η 是非齐次线性方程组Ax β=的3个线性无关的解,1k ,2k 为任意常数,则Ax β=的通解为(A)23121()2k ηηηη++-(B) 23221()2k ηηηη-+-(C) 23131221()()2k k ηηηηηη++-+-(D) 23221331()()2k k ηηηηηη-+-+-(7) 设1()F x ,2()F x 为两个分布函数,其相应的概率密度1()f x , 1()f x 是连续函数,则必为概率密度的是(A) 12()()f x f x (B)212()()f x F x(C) 12()()f x F x (D) 1221()()()()f x F x f x F x +(8) 设总体X 服从参数λ(0)λ>的泊松分布,11,,(2)n X X X n ≥ 为来自总体的简单随即样本,则对应的统计量111ni i T X n ==∑,121111n in i T X X n n -==+-∑ (A)1212,ET ET DT DT >> (B)1212,ET ET DT DT >< (C)1212,ET ET DT DT <> (D) 1212,ET ET DT DT <<二、填空题:9~14小题,每小题4分,共24分,请将答案写在答题纸指定位置上. (9) 设0()lim (13)xtt f x x t →=+,则'()f x =______.(10) 设函数(1)xy xz y=+,则(1,1)|dz =______.(11) 曲线tan()4y x y e π++=在点(0,0)处的切线方程为______.(12)曲线y =2x =及x 轴所围成的平面图形绕x 轴旋转所成的旋转体的体积______.(13) 设二次型123(,,)T f X X X x Ax =的秩为1,A 中行元素之和为3,则f 在正交变换下x Qy =的标准型为______.(14) 设二维随机变量(,)X Y 服从22(,;,;0)N μμσσ,则2()E XY =______. 三、解答题:15-23小题,共94分.请将解答写在答题纸指定的位置上.解答应写出文字说明、证明过程或演算步骤.(15) (本题满分10分)求极限0x →.(16) (本题满分10分)已知函数(,)f u v 具有连续的二阶偏导数,(1,1)2f =是(,)f u v 的极值,[](),(,)z f x y f x y =+。
2011 年经济类联考综合能力考试真题答案及解析一、逻辑推理(本大题共20 小题,每题2 分,共40 分;5 选1,多选为错)1.【答案】D【解析】题中的观点:鼓励推动中小企业,可以减少长期失业率。
选项D 认为很大比例的小公司在开办3 年内会倒闭,证明此方法不可行,对政治家的论点提出最大质疑。
选项C 也具有一定的削弱作用,但相比较D,削弱力度不如D 强。
B 为支持,A 和E 为无关选项。
2.【答案】B【解析】题干所反驳的观点的结论是:到21 世纪初,和发达国家相比,发展中国家将有更多的人死于艾滋病。
其根据是:艾滋病毒感染者人数在发达国家趋于稳定或略有下降,在发展中国家却持续快速上升。
题干对此所作的反驳实际上指出:上述观点把“死于艾滋病的人数”和“感染艾滋病毒的人数”这两个相近的概念错误地当作同一概念使用。
艾滋病毒感染者人数在发达国家虽低于发展中国家,但由于发达国家的艾滋病感染者从感染到发病,以及从发病到死亡的平均时间要大大短于发展中国家,因此,其实际死于艾滋病的人数仍可能多于发展中国家。
因此,B 项恰当地概括了题干中的反驳所使用的方法。
其他的选项均不是反驳者使用的方法。
3.【答案】E【解析】这位历史学家认为农业经济衰退时期的农村人口向城市迁移是造成英国城市人口上升而农村人口下降的原因。
E 选项表明的农业经济强劲时,城市人口增长相对稳定,即意味着农业强劲时,农村人I=1 未向城市转移,作为一个无因无果的论据,从反面支持了该历史学家的假说,因此E 为正确答案。
A 选项为题干推翻的观点;B 选项,“总人口数”与题干观点无关;C 选项与题干观点相反;D 选项中的观点与题中观点不符。
4.【答案】D【解析】Ⅰ不必假设,因为在全社会范围内比较,已经把通货膨胀的因素抵消了,即如果教师收入受到通货膨胀影响,那么其他行业也是如此。
Ⅱ不必假设,因为如果Ⅱ为真,则说明题干利用平均工资来进行比较缺乏可信性,反而对题干有消弱作用。
1.【考点】:行程问题【解析】:【参考答案】:B2.【考点】:非负性【解析】:⎪⎩⎪⎨⎧=-=+=-04505303c b a ⇒⎪⎪⎪⎩⎪⎪⎪⎨⎧=-==54353c b a ⇒454)35(3-=⨯-⨯=abc 。
【参考答案】:A3.【考点】: 容斥原理 【解析】: 【参考答案】:C4.【考点】【解析】:设正方体的边长为a,如图可知,2aAB BC OC ===,则a aa a OA 43)2()2()2(222=++=,球体的半径为R ,即R a =43,则R a 34=。
33938)34(R R V ==。
【参考答案】:BkmS 78=顺水:hkm V V V /30=+=→→→水静实h km V /28=→静h km V /2=→水kmS 78=逆水:h km V V V /26=-=→←←水静实h km V /28=←静hkm V /2=→水hhkm kmt 6.2/30781==hhkm kmt 3/26782==h h h t t t 6.536.221=+=+=OABC11115C 14C 11C ⨯⨯611238910145310111415=⨯⨯⨯⨯⨯⨯=⋅⋅=C C C C p 5.【考点】:比与比例 【解析】: 2006年 2007年 D R & 300250%201300=+GDP 10000%10110000+ 则%75.2%10110000250=+【参考答案】:D 6.【考点】:古典概率 【解析】:【参考答案】:E 7.【考点】:等差数列 【解析】:09.2001 09.2002 09.2003 09.2004 09.2005 09.2006 09.2007 2000 2200 2400 2600 2800 3000 3200 2007年九月底的在校学生有:09.2004入学、09.2005入学、09.2006入学、09.2007入学。
共116003200300028002600=+++名。
2011年中央、国家机关录用公务员考试《行政职业能力测验》试卷第一部分常识判断(共25题,参考时限15分钟)根据题目要求,在四个选项中选出一个最恰当的答案。
1.社会建设与人民幸福安康息息相关,党的十七大报告提出,要加快推进以改善民生为重点的社会建设,下列各项不属于社会建设范畴的是()A.在学校建立贫困生资助体系B.为低收入家庭提供住房保障C.扩大各项社会保险的覆盖范围D.强化政府服务职能,建设服务型政府2.随着综合国力的提升,我国在国际社会中的作用与影响越来越突出,下列说法正确的是()A.我国目前的出口贸易额在“金砖国家”中位居第二B.我国目前是二十国集团中唯一的亚洲发展中国家C.我国在哥本哈根气候峰会上提出了单位GDP碳减排的量化目标D.我国已与周边所有邻国建立了正式的外交关系3.我国的能源条件可以概括为()A.缺煤、富油、少气B.富煤、缺油、少气C.缺煤、缺油、多气D.富煤、富油、多气4.关于我国第六次人口普查,下列表述正确的是()A.其标准时点是2010年1月1日至2010年12月31日B.所取得的数据不得作为对普查对象实施处罚的依据C.所需经费由中央政府完全负担,列入相应年度的财政预算D.采用按户口所在地登记的原则5.2010年7月,党中央、国务院召开了西部大开发工作会议,总结西部大开发10年取得的巨大成就和丰富经验,全面分析国内外形势和西部大开发面临的新机遇、新挑战。
关于西部大开发战略,下列表述不正确的是()A.西部大开发在我国区域协调发展总体战略中居于优先地位B.西部大开发战略实施的最主要目的是解决沿海同内地的贫富差距C.西部大开发覆盖地域指陕、甘、宁、青、新等西北五省(区)及西藏自治区D.实施西部大开发的核心工作是保障和改善民生6.在西柏坡时期,党中央:①领导了解放区的土改运动;②召开了党的七届二中全会;③组织指挥了辽沈、淮海、平津三大战役。
上述历史事件出现的先后顺序是()A.①③②B.②①③C.②③①D.③①②7.下列说法不符合法律规定的是()A.甲村村委会在村民会议上提交了修建学校的经费筹集方案B.乙村村委会与村民李某签订山林承包合同,承包期为10年,到期后,村委会又将山林承包给该村村民赵某C.丙村有一座石灰矿,丙村村委会组织该村村民成立丙村经济合作社,以经济合作社的名义申请石灰矿的采矿许可证D.丁村享有选举权的村民有500人,其中300人参与了村委会主任选举,候选人王某、张某和黄某分别获得选票120票、100票和80票,因而王某当选8.根据我国《国防动员法》的有关规定,在国家的主权、统一、领土完整和安全遭受威胁时,决定全国总动员或局部动员和发布动员令的分别是()A.全国人民代表大会、国务院总理B.国家主席、国务院总理C.全国人民代表大会常务委员会、国家主席D.全国人民代表大会常务委员长、国家主席9.下列关于我国人大代表选举的表述,不正确的是()A.1953年通过的《选举法》规定,全国人大代表的选举,各省按每80万人选代表1人,直辖市和人口在50万以上的直辖市按每10万人选代表1人B.1979年修订的《选举法》规定,自治州、县、自治县人大代表中,农村每一代表的人口数4倍于镇每一代表所代表的人口数、省、自治区人大为5:1,全国人大为8:1C.1995年修改的《选举法》规定,省、自治区和全国人大代表中,农村每一代表与城市每一代表所代表的人口数为4:1,自治州、县、自治县仍是4:1D.2010年修改的《选举法》规定,全国人民代表大会代表名额,按照每一代表所代表的城乡人口数2:1的原则,以及保证各地区、各民族、各方面都有适当数量代表的要求进行分配10.下列关于人类航天史的说法,正确的是()A.载人飞船首次在地球轨道上实现交会和对接是在20世纪60年代B.前苏联宇航员加加林是世界上第一个进行太空行走的人C.成功将世界上第一颗人造地球卫星送入太空的是美国D.首次实现登月的载人飞船是“阿波罗13号”11.新中国成立后,我国在一些前沿技术领域取得了一批具有较大国际影响力的创新成果,下列全部属于近30年来取得的重大突破的一组是()A.哥德巴赫猜想、载人航天、古生物考古、南水北调B.月球探测、核电工程、反西格玛负超子、“陆相成油”理论C.超大规模集成电路、第三代移动通信、高性能计算机、超级杂交水稻D.激光照排技术、量子通讯、古生物考古、人工合成牛胰岛素结晶12.关于我国的军衔制度,下列说法正确的是()A.士兵军衔肩章版面底色有松枝绿色、深藏青色、深蓝灰色三种B.一般分帅、将、校、尉、士五个等级C.刘伯承、陈毅、粟裕等人曾被授予元帅军衔D.中国人民解放军第一次实行军衔制度是在1949年13.关于中国交通建设,下列说法不正确的是()A.目前国道线采用数字编号,分别以1、2、3、4开头B.我国自建的第一条铁路——京张铁路由詹天佑主持设计修建C.20世纪50年代,新中国第一架自制飞机在南昌试飞成功D.宋、元时期的泉州港是当时世界上最大的贸易港之一14.汇率变动会对一国对外经济活动产生影响,假如某国货币升值,则下列表述不正确的是()A.不利于出口贸易B.有利于公民出境旅游C.会导致热钱流入D.有利于消除贸易逆差15.下列关于我国经济发展现状的表达,不正确的是()A.人均国民生产总值已超过3000美元B.黄金储备量已超过1000吨C.对石油进口的依存度已接近30%D.第三产业增加值已接近第二产业16.我国民族关系中的“三个离不开”是指()A.少数民族的发展离不开自身的努力,离不开发达地区的帮助,离不开国家民族政策的支持B.汉族离不开少数民族,少数民族离不开汉族,少数民族之间也相互离不开C.民族关系的和谐离不开经济发展,离不开民族政策教育,离不开法制建设D.各民族的团结离不开共同繁荣,离不开共同发展,离不开共同进步17.2010年新成立的我国第三个副省级新区是()A.新疆喀什B.上海浦东C.天津滨海D.重庆两江18.下列有关地震的表述,不正确的是()A.2008年四川汶川地震是我国自1949年以来破坏性最强、波及范围最广的一次地震B.我国位于世界两大地震带——环太平洋地震带与欧亚地震带之间C.我国的地震带主要分布在台湾、西南、西北、华北、东南沿海五个区域D.震源的深度越浅,地震破坏力越大,波及范围也越广19.京剧作为我国著名剧种,和中医、国画并称为中国三大国粹,下列关于京剧的表述正确的是()A.人们习惯上称戏班、剧团为“杏园”B.京剧行当中的“净”是指女性角色C.“梅派”唱腔创始人是京剧艺术大师梅兰芳先生D.《梁山伯与祝英台》是京剧经典曲目之一20.关于我国的出土文物,下列说法正确的是()A.湖南长沙马王堆汉墓出土了素纱襌衣B.西安附近出土了大量殷商时期的刻有文字的龟甲和兽骨C.越王勾践剑是战国时期兵器冶炼技术的杰出成果D.洛阳出土的唐三彩以红、蓝、白三种颜色为主21.在几千年人类文明发展进程中,亚洲、非洲、美洲、欧洲都留下许多宝贵的文学、艺术和建筑遗产,下列文化遗产属于同一个大洲的是()A.《最后的晚餐》、雕塑“思想者”、雕塑“大卫”B.胡夫金字塔、狮身人面像、帕特农神庙C.《百年孤独》、《老人与海》、《海底两万里》D.《飞鸟集》、《高老头》、《源氏物语》22.下列有关书法艺术的表述,正确的是()A.东汉著名书法家张芝被称为“书圣”B.唐代书法家颜真卿是楷书四大家之一C.《真草千字文》是唐代著名书法家怀素的代表作D.“苏、黄、米、蔡”中的“黄”指的是黄公望23.下列有关天文知识的表述,正确的是()A.开普勒制成人类历史上第一台天文望远镜,并证实了哥白尼学说B.“四象”青龙、白虎、朱雀、玄武分别代表东、西、南、北四个方向C.世界最早的哈雷彗星记录是《诗经》中的“鲁庄公七年星陨如雨”D.月食发生时地球、月球、太阳在一条直线上,且月球居中24.下列关于日常生活中的做法,不正确的是()A.为了使用方便和最大限度地利用材料,机器上用的螺母大多是六角形B.在加油站不能使用手机,是因为手机在使用时产生的射频火花很容易引起爆炸,发生危险C.交通信号灯中红色被用做停车信号是因为红色波长最长D.家中遇到煤气泄漏事件应立即使用房间的电话报警25.下列有关生活常识的说法,不正确的是()A.夏天不宜穿深色衣服,深色衣服比浅色衣服更易吸收辐射热B.驱肠虫药若饭后服用,不易达到最好的驱虫效果C.按照建筑采光要求,相同高度的住宅群,昆明的楼房间距应该比哈尔滨的楼房间距大D.在汽车玻璃清洗液中加入适当比例的酒精,可使其抗冻效果更好第二部分言语理解与表达(共40题,参考时限35分钟)本部分包括表达与理解两方面的内容,请根据题目要求,在四个选项中选出一个最恰当的答案。
2011年山东省高考英语试卷第一部分听力(共两节,满分20分)1.(1分)What does the man like about the play?A.The story.B.The ending.C.The actor.2.(1分)Which place are the speakers trying to find?A.A hotel.B.A bank.C.A restaurant.3.(1分)At what time will the two speakers meet?A.5:20B.5:10C.4:40.4.(1分)What will the man do?A.Change the plan B.Wait for a phone call C.Sort things out.5.(1分)What does the woman want to do?A.See a film with the man.B.Offer the man some help C.Listen to some great music.6.(2分)听第6段材料,回答6、7题.6.Where is Ben?A.In the kitchen.B.At school.C.In the park.7.What will the children in the afternoon?A.Help set the table.B.Have a party.C.Do their homework.8.(2分)听第7段材料,回答第8、9题8.What are the two speakers talking about?A.A Family holiday.B.A business trip.C.A travel plan.9.Where did Rachel go?A.Spain.B.Italy.C.China.10.(3分)听第8段材料,回答第10至12题.10.How did the woman get to know about third﹣hand smoke?A.From young smokers.B.From a newspaper article.C.From some smoking parents.11.Why does the man say that he should keep away from babies?A.He has just become a father.B.He wears dirty clothes.C.He is a smoker.12.What does the woman suggest smoking parents should do?A.Stop smoking altogether.B.Smoke only outside their houses.C.Reduce dangerous matter in cigarettes.13.(4分)听第9段材料,回答第13至16题.13.Where does Michelle Ray come from?A.A middle﹣sized city B.A small town.C.A big city14.Which place would Michelle Ray take her visitors to for shopping?A.The Zen Garden B.The Highlands.C.The Red River area.15.What does Michelle Ray do for complete quiet?A.Go camping B.Study in a library.C.Read at home.16.What are the speakers talking about in general?A.Late﹣night shopping.B.Asian food.C.Louisville.17.(4分)听第10段材料,回答第17至20题.17.Why do some people say they never have dreams according to Dr Garfield?A.Thy forget about their dreams.B.Thy don't want to tell the truth.C.They have no bad experiences.18.Why did Davis stop having dreams?A.He got a serious heart attack.B.He was too sad about his brother's death C.He was frightened by a terrible dream.19.What is Dr Garfield s opinion about dreaming?A.It is very useful.B.It makes things worse.C.It prevents the mind from working.20.Why do some people turn off their dreams completely?A.To recover from illnesses.B.To recover from illnesses.C.To stay away from their problems.第二部分英语知识运用(共两节,满分15分)[来源:高&考%资(源#网]第一节,语法和词汇知识(共15小题;每小题1分,满分15分)从A、B、C、D四个选项中,选出可以填入空白处的最佳选项,并在答题卡上将该项涂黑。
2011年普通高等学校招生全国统一考试(天津卷)文科综合地理部分第Ⅰ卷本卷共11题,每题4分,共44分。
在每题给出的四个选项中,只有一个是符合题目要求的。
结合图文材料,回答1-3题。
1.图1 2010年卫星拍摄的京津地区夜景照片,从中可以看到所示城区的A.空间形态、道路格局 B.耗能状况、商业区分布C.空间结构、经济水平 D.人口密度、功能区分布【答案】A【解析】2010年卫星拍摄的京津地区夜景照片中白色区域就是北京、天津城市建设用地范围和轮廓,即从中可以看到所示城区的空间形态、道路格局。
为了引起人们对地球气候变化的关注,世界自然基金会发起“地球一小时”行动,倡议每年3月最后一个星期六的当地时间20:30-21:30熄灯。
2.若将此行动在一年中再增加一次,仍使世界各国都能参与,建议行动日期应选在A.2月的第一个星期六B.7月的第二个星期六C.9月的第三个星期六D.12月的第四个星期六【答案】C【解析】此题考查全球各国昼夜长短的变化,有些纬度高的国家甚至出现极昼极夜现象,所以此行动在一年中再增加一次,仍使世界各国都能参与,则要求使得高纬度国家没有出现极昼现象,即每年的3月21日和9月23日,结合选项,C.9月的第三个星期六满足条件。
天津海河三岔口周边地区历史上曾是小型的商品集散地,现在这里已成为全国闻名的大型的商品集散地。
3.这种商品文化的传承与发展,对当前天津城市发展生产的影响主要是A.扩大商业服务的地域范围B.提高商品制造业的比重C.奠定了中心商务区形成的基础D.调整了商业区的空间布局【答案】A【解析】海河三岔口周边地区已成为全国闻名的大型的商品集散地,与中心商务区形成条件不符,扩大天津商业服务的地域范围,与提高商品制造业的比重的无关。
某中学地理小组利用下图提供的信息开展探究学习。
结合图文材料,回答4-5题。
4.图中所示的L湖被污染。
学生经过分析确定,污染物主要来自A.城镇B.牧区C.林区D.矿区【答案】A【解析】图中所示的L湖被污染,根据图例信息的分布可知,污染物主要来自湖泊周边的城镇。
2011年考研英语(二)真题解析Section I Use of English1.【正确答案】[A][考点分析]此题考查动词辨析及语义需求。
[A]swept席卷[B]skipped跳过[C]walked走过[D]ridden搭乘原文that has____across the Web为定语从句,修饰前面the explosion of cyber-crime。
既然网络犯罪已经是爆炸式的,可见其范围广,因而应该是席卷了整个网络的,其他选项均不符合题意,因此答案为[A]。
2.【正确答案】[C][考点分析]此题考查介词辨析及语义需求。
[A]for因为[B]within在...之内[C]while同时[D]though尽管此句提出疑问,安全保障和隐私的保护,二者能否得兼,因此[C]为答案。
3.【正确答案】[B][考点分析]此题考查形容词辨析及语义需求。
[A]careless粗心的[B]lawless无法度的[C]pointless无意义的[D]helpless无助的前文提到网络犯罪泛滥,可见世界是日益无法度的,因此答案为[B]。
4.【正确答案】[D][考点分析]此题考查名词辨析及语义需求。
[A]reason原因[B]reminder提醒[C]compromise妥协[D]proposal建议原文Howard Schmidt…offered the federal government a____to make the Web a safer place(Howard Schmidt向政府提出,目的是加强网络安全)根据逻辑应该是想政府提出建议,因此[D]为答案。
5.【正确答案】[D][考点分析]此题考查名词辨析及语义需求。
[A]information信息[B]interference干涉[C]entertainment娱乐[D]equivalent等同物原文a“voluntary trusted identity”system的具体内容为:a physical key,a fingerprint and a photo ID card,根据逻辑只能选[D]。
2011年全国硕士研究生入学统一考试(英语二)全解析Section I Use of English一、文章题材结构分析本文是一篇说明性的文章,主要讨论了互联网上的身份验证问题。
作者首先提出,由于网络用户的匿名现象带来的隐私泄露和网络犯罪问题,然后针对这些问题介绍了一种称为“自愿信任身份识别”系统的解决方法,并对这种方法做了评述。
二、试题解析1.【答案】A【解析】本题目考生需要关注两点:(1)空格前的主语(2)空格后的介词短语。
鉴于此,考生需要从四个选项中选出一个不及物动词,能与空格前的主语that(指代the explosion of cyber crime 网络犯罪的激增)构成主谓逻辑,并与空格后的介词短语across the Web 构成动宾逻辑。
A 项swept(打扫,席卷)可以做不及物动词,并能与空前的主语和空后的介词短语构成顺畅的逻辑关系,即在文中表示“匿名制是造成网络犯罪席卷互联网的原因”,故A 为正确答案。
B 项skip 意为“跳过,掠过”;C 项walk 意为“走,步行”;D 项ride 意为“骑,乘,驾”虽可做不及物动词,但与空前主语和空后介词短语不构成完整的主谓搭配和动宾搭配,都是干扰项。
2.【答案】C【解析】本题目考生需要重点关注空格后的状语从句,状语从句引导词的选择主要考虑从句与主句之间的语意关系。
空格所在句子的主句是privacy be preserved(隐私得以保护),从句是省略了主语和助动词的bringing safety and security to the world(带来网络世界的安全),由此可以推断本句是要表达“在给世界带来安全保障的同时,隐私是否能够得以保护呢?”,C 项while 意为“在……的同时,当……的时候”,可以表示伴随关系,故为正确答案。
A 项for 表示因果关系;B 项within 表示“在……里面,不超出”;D 项though 表示让步关系;在搭配上与doing 并无典型用法,此外带入空格,整个句子逻辑也很不通顺,故为干扰选项。
2011年普通高等学校专升本招生考试公共英语试卷Part Ⅰ Vocabulary and Structure (1×40 points)Directions: There are 40 incomplete sentences in this part. For each sentence there are four choices marked A, B, C and D. Choose the ONE that best completes the sentence, and then you should mark the corresponding letter on the Answer Sheet.1. The shop assistant was dismissed as she was______of cheating customers.A. accusedB. chargedC. ScoldedD. cursed2. The murderer was brought in, with his hands______behind his back.A. being tiedB. having tiedC. to be tiedD.tied3. Needless to say, he______his good looks and sense of humor from his mother.A. inheritedB. carriedC. InhibitedD. resembled4. They have______ most carefully the time and the materials needed to complete the project.A. picked outB. left outC. taken outD. figured out5. The room is quite neat, it ______.A. doesn’t need to cleaningB. needn’t to cleaningC. doesn’t need cleaningD. needn’t cleaning6. ______right now, she would get there on Sunday.A. Would she leaveB. If she leaveC. Were she to leaveD.If she had left7. He must have stayed up late last night,______he ?A. mustn’tB. needn’tC. hasn’tD. didn’t8. ______he does not come, shall we go without him?A. SupposingB. To supposeC. SupposedD. to be supposed9. He will pass two milestones ______, that is, he will receive his master’s degree and find a challenging job.A. long agoB. not long agoC. before longD. long before10. Some diseases are ______by certain water animals.A. transportedB. transmittedC. transformedD. transplanted11. Our hopes ______at the first sight of the doctor.A. aroseB. raisedC. RoseD. aroused12. Eating too much fat can ______heart disease and cause high blood pressure.A. attribute toB. contribute toC. attend toD. devote to13. That ______lady is their English teacher.A. young beautiful foreignB. beautiful young foreignC. young foreign beautifulD. foreign young beautiful14. I don’t think it advis able that Tom ______to the job since he has no experience.A. is assignedB. will be assignedC. be assignedD. has been assigned15. He is ______of those boys who is willing to take on another assignment.A. the only oneB. only oneC. OneD. a16. I don’t think it will rain, but I’ll take an umbrella ______ it does.A. as ifB. in caseC. as thoughD. even if17. All the tasks______ahead of time, they decided to go on holiday for a week.A. had been fulfilledB. were fulfilledC. having been fulfilledD. been fulfilled18. He didn’t allow ______in his room, actually he didn’t allow his family_____at all.A. to smoke; to smokeB. smoking; to smokeC. to smoke; smokingD. smoking; smoking19. Susan is ______to lift the heavy box.A. strongB. enough strongC. strong enoughD. strong too20. By the end of this term, we______the textbook.A. finishB. have finishedC. will finishD. will have finished21. This hall can 1000 people. You can ______where you like.A. hold; seatB. be seated; seatedC. seat; be seatedD. hold; seating22. I like English and I spent every minute I can ______English.A. to studyB. studyingC. studiedD. study23. ______of his name, we had a lot of trouble in finding the patient.A. Not informedB. Not having informedC. Not having been informedD. Having not informed24. No matter how hard I searched my bag, my new pen was ______ .A. nowhere to find itB. nowhere to be foundC. to be found nowhereD. to be found anywhere25. Rather than ______the bus, he ran all the way home.A. takeB. to takeC. takenD. took26. ______with the book I brought yesterday, the one from the library doesn’t seem interesting.A. When compared; borrowedB. While comparing; borrowedC. Compare; borrowingD. Comparing; borrowing27. If you can’t see the words written on the blackboard very well, maybe you need ______ .A. examiningB. to have you eyes examinedC. to have examined your eyesD. to be examined your eyes28. She must be looking forward as much to ______from him as he himself is to from her.A. hear; hearingB. hearing; hearC. have heard; hearingD. hearing; hearing29. I sent invitations to 20 people, ______came.A. of whom only 10 of theseB. only 10 of these whoC. of whom only 10D. only 10 who30. of the land in that district ______covered with trees and grass.A. Two fifth; isB. Two fifths; areC. Two fifth; areD. Two fifths; is31. Free tickets will be given to ______phones us first.A. thatB. whoeverC. WhomeverD. who32. _____his words, there were no grounds to justify his complaints.A. Such beingB. Such wereC. Were suchD. Being such33. It was ten o’clock ______ he came back.A. thatB. whenC. soD. which34. ______difficulties we may come across, we will help one another to get them over.A. WhateverB. WhicheverC. HoweverD. What35. ______ raw materials into useful products is called manufacturing.A. TransformB. TransformingC. Being transformedD. When transforming36. Smoking should be ______in all public places like threats, cinemas and restaurants.A. bannedB. specifiedC. PassedD. preserved37. ______for your help, we wouldn’t have succeeded.A. Hadn’t it beenB. Had it not beenC. If it had beenD. If it were38. All the students were ______by the ______speech given by the headmaster.A. inspired; inspiredB. inspiring; inspiringC. inspired; inspiringD. inspiring; inspired39. He knows little of Maths, and ______of chemistry.A. much lessB. much moreC. even moreD. still more40. John is ______the age of Mary.A. oldB. twiceC. DoubleD. as old asPart Ⅱ Cloze (1×20 points)Directions: There are 20 blanks in the following passage. For each blank there are four choices marked A, B, C and D. You should choose the ONE that best fits into the passage and mark the corresponding letter on the Answer Sheet.Paris is the capital of the European nation of France. It is also one of the most beautiful and 41 cities in the world.Paris is called the City of Light. It is 42 an international fashion center. What modern women are 43 in Paris will soon be worn by many women 44 the world. Paris is also a famous world centre of education. For instance, the head quarters of UNESCO, the United Nations 45 , Scientific, and Cultural Organization, is in Paris.The Seine River 46 the city into two parts. Thirty two bridges 47 this scenic river. The oldest and 48 most well known is the Pont Neuf, 49 was built in the sixteenth century. TheSorbonne, a famous university, 50 on the Left Bank (south side) 51 the river. The beautiful white church Sacre Coeur lies 52 the hill called Montmartre on the Right Bank (north bank) of the Seine.There are many other famous places in Paris, 53 the famous museum the Louvre 54 the cathedral of Notre Dame. However, the most famous landmark in this city 55 the Eiffel Tower.Paris is named 56 a group of people 56 the Parisii. They 58 a small village on an island 59 the Seine River about two thousand years ago. This island, called the lle de la Cite, is 60 Notre Dame is located. Today around eight million people live in the Paris area.41. A. famous B. most famous C. famouser D. more famous42. A. as well B. too C. also D. as well as43. A. clothing B. dressing C. putting on D. wearing44. A. all over B. over all C. whole over D. over whole45. A. Educating B. Education C. Educationally D. Educational46. A. divides B. breaks C. arranges D. classifies47. A. pass B. cover C. cross D. lie48. A. perhaps B. possibly C. likely D. similarly49. A. it B. that C. where D. which50. A. is locating B. locates C. is located D. located51. A. on B. of C. over D. above52. A. on top of B. on top C. at top of D. top of53. A. as such B. such as C. such like D. like such54. A. and as well B. well as C. as well D. as well as55. A. must be B. has to be C. can be D. need be56. A. behind B. about C. after D. concerning57. A. called B. calling C. to be called D. being called58. A. have built B. built C. had built D. build59. A. among B. between C. in the middle of D. over60. A. in which B. which C. where D. thatPart Ⅲ Reading Comprehension (2×20 points)Directions: There are 4 passages in this part. Each passage is followed by some questions or incomplete statements. For each of them there are 4 choices marked A, B, C and D. You should decide on the best choice, and mark the corresponding letter on the Answer Sheet.Passage 1Researchers have found that REM (rapid eye movement) sleep is important to human beings. This type of sleep generally occurs four or five times during one night of sleep, lasting five minutes to forty minutes for each occurrence. The deeper a person’s sleep becomes, the longer the periods of rapid eye movement.There are physical changes in the body to show that a person has changed from NREM(non-rapid eye movement) to REM sleep. Breathing becomes faster, the heart rate increases, and, as the name implies, the eyes begin to move quickly.Accompanying these physical changes in the body is a very important characteristic of REM sleep. It is during REM sleep that a person dreams.61. According to the passage, how often does REM sleep occur in one night?A. OnceB. Twice.C. Four or five times.D. Forty times62. The word “deeper”in paragraph 1 is closest in meaning to which of t he following?A. Heavier.B. Louder.C. StrongerD. Happier.63. Which of the following shows that a person is NOT dreaming in his sleep?A. His eyes begin to move.B. His breathing becomes faster.C. His heart rate increases.D. His eyes stop moving.64. The subject of this passage is ______ .A. why people sleepB. the human need for REM sleepC. the characteristics of REM sleepD. physical changes in the human body65. Which of the following is the best title of the article?A. REM SleepB. Two Types of SleepC. SleepersD. What Happens to SleepersPassage 2Foxes and farmers have never got on well. These small dog like animals have long been accused of killing farm animals. They are officially classified as harmful and farmers try to keep their numbers down by shooting or poisoning them.Farmers can also call on the services of their local hunt to control the fox population. Hunting consists of pursuing a fox across the countryside, with a group of specially trained dogs, followed by men and women riding horses. When the dogs eventually catch the fox they kill it or a hunter shoots it.People who take part in hunting think of it as a sport; they wear a special uniform of red coats and white trousers, and follow strict codes of behavior. But owning a horse and hunting regularly is expensive, so most hunters are wealthy.It is estimated that up to 100,000 people watch or take part in fox hunting. But over the last couple of decades the number of people opposed to fox hunting, because they think it is brutal (残酷的), has risen sharply. Nowadays it is rare for a hunt to pass off without some kind of confrontation (冲突) between hunters and hunt saboteurs (阻拦者). Sometimes these incidents lead to violence, but mostly saboteurs interfere with the hunt by misleading riders and disturbing the trail of the fox’s smell, which the dogs follow.Noisy confrontations between hunters and saboteurs have become so common that they are almost as much a part of hunting as the pursuit of foxes itself. But this year supporters of fox hunting face a much bigger threat to their sport. A Labour Party Member of the Parliament, Mike Foster, is trying to get Parliament to approve a new law which will make the hunting of wild animals with dogs illegal. If the law is passed, wild animals like foxes will be protected under the ban in Britain.66. Rich people in Britain have been hunting foxes ______ .A. for recreationB. to limit the fox populationC. in the interests of the farmersD. to show off their wealth67. What is special about fox hunting in Britain?A. It involves the use of a deadly poison.B. It is a costly event which rarely occurs.C. The hunters have set rules to follow.D. The hunters have to go through strict training.68. Fox hunting opponents often interfere in the game ______ .A. by resorting to violenceB. by confusing the fox huntersC. by taking legal actionD. by demonstrating on the scene69. A new law may be passed by the British Parliament to ______ .A. prohibit farmers from hunting foxesB. forbid hunting foxes with dogsC. stop hunting wild animals in the countrysideD. prevent large scale fox hunting70. It can be inferred from the passage that ______ .A. killing foxes with poison is illegalB. limiting the fox population is unnecessaryC. hunting foxes with dogs is considered cruel and violentD. Fox hunting often leads to confrontation between the poor and the richPassage 3If you listen to American music, watch American television or magazines, you will probably agree that the most popular subject of these forms of entertainment is love. Romantic love always finds an audience in the United States. Falling in love, solving the problems of love, and achievingthe happy ending—the big wedding are subjects of interest to the adult as well as the teenage public. Millions of Americans celebrates Valentine’s Day with special cards and gifts that announces their love to their mates, their friends, their coworkers and their families. Popular songs tell us that “all the world loves a lover”. A popular saying is “Love conquers all”. Numerous columns in magazines and newspapers offer advice to the lovelorn, those with difficulties of the heart. To most Americans, romantic love is essential to a happy life.Not only do Americans believe in romantic love but they also believe that it is the best basis for marriage. Despite the high divorce rate in the United States, young men and women continue to marry on the basis of romantic love.Americans consider marriage to private arrangement between the two people involved. Young Americans feel free to choose their own marriage partners from any social ,economic, or religious background. The man or woman may have strong ties with parents, brothers, or sisters, but when he or she falls in love, the strongest feelings are supposed to be for the loved one. When an American couple marries, they generally plan to live apart from both sets of parents and build their own independent family structure.71. What is the most popular subject of all forms of entertainment?A. MarriageB. LoveC. FamilyD. Friendship72. Who is interested in the subject of love?A. Adults who are single.B. Teenagers whose parents are divorced.C. Old people who have no children.D. Both adults and teenagers.73. What do most Americans think of romantic love?A. It is central to a happy life.B. It is not the basis for marriage.C. It is not necessarily important in a person’s life.D. Many people long for it, but it is unbelievable.74. What factors do young Americans consider when choosing their own marriage partner?A. They will think about their background.B. They think economic background is essential.C. They won’t choose a marriage partner from different religious background.D. They don’t think social , econ omical or religious background is important.75. What does an American couple plan to do when they marry?A. They continue to live with their parents after their marriage.B. They plan to live by themselves.C. They plan to earn more money to buy a house.D. They plan to travel all over the world.Passage 4In 1939 two brothers,Mac and Dick McDonald, started a drive in restaurant in San Bernardino, California. They carefully chose a busy corner for their location. They had run their own businesses for years,first a theater,then a barbecue(烤肉)restaurant, then another drive in. But in their new operation,they offered a new,shortened menu: French fries,hamburgers,and sodas. To this small selection they added one new concept: quick service,no waiters or waitresses,and no tips.Their hamburgers sold for fifteen cents. Cheese was another four cents. Their French fries and hamburgers had a remarkable uniformity(一致性),for the brothers had developed a strict routine for the preparation of their food,and they insisted on their cooks’ sticking to their routine. Their new drive in became incredibly popular,particularly for lunch. People drove up by the hundreds during the busy noontime. The self service restaurant was so popular that the brothers had allowed ten copies of their restaurant to be opened. They were content with this modest success until they met Ray Kroc.Kroc was a salesman who met the McDonald brothers in 1954,when he was selling milkshake mixing machines. He quickly saw the unique appeal of the brothers’ fast food restaurants and bought the right to franchise(特许经营)other copies of their restaurants. The agreement included the right to duplicate the menu, the equipment,even their red and white buildings with the golden arches(拱门).Today M cDonald’s is really a household name. Its names for its sandwiches have come to mean hamburger in the decades since the day Ray Kroc watched people rush up to order fifteencent hamburgers. In 1976,McDonald’s had over $ 1 billion in total sales. Its first twenty two years is one of the most incredible success stories in modern American business history.76. This passage mainly talks about ______.A. the development of fast food servicesB. how McDonald’s became a billion dollar businessC. the business careers of Mac and Dick McDonaldD. Ray Kroc’s business talent77. Mac and Dick managed all of the following businesses except_______ .A. a drive inB. a cinemaC. a theaterD. a barbecue restaurant78. We may infer from this passage that ______.A. Mac and Dick McDonald never became wealthy for they sold their idea to Kroc.B. The location the McDonalds chose was the only source of the great popularity of theirdrive in.C. Forty years ago there were numerous fast food restaurants.D. Ray Kroc was a good businessman.79. The passage suggests that ______ .A. Creativity is an important element of business success.B. Ray Kroc was the close partner of the McDonald brothers.C. Mac and Dick McDonald became broken after they sold their ideas to Ray Kroc.D. California is the best place to go into business.80. As used in the second sentence of the third paragraph,the word “unique” means ______ .A. SpecialB. financialC. AttractiveD. peculiarPart Ⅳ Translation (1.5×10 points)Directions:There are 10 sentences in this section. Please translate sentences 8185 from Chinese into English, and translate sentences 8690 from English into Chinese. Write your answer on the Answer Sheet.81.我记得在哪里见过她。
2011年真题解析:法硕(非法学)基础课来源:万学教育发布时间:2011-03-11 15:20:57【阅读: 148次】一、单项选择题:1~40小题,每小题1分,共40分。
下列每题给出的四个选项中,只有一个选项是符合题目要求的。
23. 甲欲出售一辆汽车,乙向甲声称受丙委托购买该车,甲托人向丙核实,丙未予否认。
甲遂将该车交给乙,乙将车开走后不知去向,甲向丙要求付款遭拒绝。
此案的正确处理方法是()A.由甲自行承担损失B.由乙支付车款C.由丙支付车款D.由乙、丙承担连带付款责任【参考答案】C【考查知识点】代理24. 根据法律规定,按份共有人转让其应有份额时,其它共有人享有()A.禁止其转让的权利B.解除共有关系的权利C.同等条件下的优先购买权D.对转让份额的追及权【参考答案】C【考查知识点】按份共有25. 村民甲在自家院子里挖水沟,致邻居乙甲房屋地基下沉。
依据物权法,甲侵害了乙的()A.所有权B.地上权C.地役权D.建设用地【参考答案】A【考查知识点】所有权26. 依据物法权规定,下列财产中,可以抵押的是()A.正在建造的船舶B.宅基地使用权C.被查封的财产D.集体土地所有权【参考答案】C【考查知识点】抵押权的客体27. 下列行为中,构成无因管理的是()A.未受委托替朋友招待客人B.未成年人抢救落水儿童C.主动代同事值夜班D.代替配偶放弃继承权【参考答案】C【考查知识点】无因管理28. 工程师甲在本职工作范围内,利用单位的物质技术条件,创作完成了一项由单位承担责任的产品设计图。
根据法律规定,下列表述正确的是()A.该设计图的著作权由甲与其所在的单位共同享有B. 该设计图的著作权归属甲与其所在单位协商决定C. 该设计图的著作权由甲享有,甲的单位在业务范围内由两年优先使用权D.该设计图由甲享有署名权,由甲的单位享有著作权的其它权利【参考答案】D【考查知识点】职务作品的著作权归属29. 甲为撰写毕业论文,复印了某杂志上的一篇文章作为参考。
甲的这一行为属于()A.法定许可使用行为B.侵权行为C.合理使用行为D.强制许可使用行为【参考答案】A【考查知识点】侵犯著作权的行为方式30. 下列行为中,构成侵犯专利权的是()A.专为科学研究和实验而使用有关权利B.购买合法销售的专利产品后在转卖给他人C.临时过境的运输工具依互惠原则为自身需要在其设备中使用有关专利D.为生产经营目的使用不知道是未经专利人许可而制造并售出的专利产品【参考答案】D【考查知识点】专利权的侵权方式31. 依据合同法规定,双务合同履行中的抗辩权包括()A.同时履行抗辩权、先履行抗辩权和不安抗辩权B. 同时履行抗辩权、先履行抗辩权和先诉抗辩权C. 后履行抗辩权、合同无效抗辩权和不安抗辩权D. 后履行抗辩权、合同消灭抗辩权和先诉抗辩权【参考答案】A【考查知识点】抗辩权的种类。
32. 下列选项中,可以作为商标注册的是()A.“锐利”牌剪刀B.“耐穿”牌皮鞋C.“蝴蝶”牌缝纫机D.“精粉”牌馒头【参考答案】C【考查知识点】商标注册33. 根据法律规定,因技术进出口合同争议提起诉讼的期限为()A.1年B.2年C.3年D.4年【参考答案】D【考查知识点】特殊诉讼时效34. 根据婚姻法规定,法院审理离婚案件,准予离婚的情形是()A.夫妻感情确已破裂B.婚姻关系确已破裂C.一方有过错D.双方已就子女抚养和财产分割协商一致【参考答案】A【考查知识点】诉讼离婚35. 根据婚姻法规定,离婚时,原为夫妻共同生活所负的债务,应当共同偿还;共同财产不足清偿的,其处理办法是()A.双方不再负清偿责任B.由双方协议清偿;协议不成时,由人民法院判决C. 由双方协议清偿;协议不成时,依法由双方各清偿一半D. 由双方协议清偿;协议不成时,依法由经济条件较好的一方清偿【参考答案】B【考查知识点】离婚的法律后果36. 在我国,有权宣告婚姻无效的机关是()A.公安机关B.人民法院C.婚姻登记机关D.基层组织【参考答案】BC【考查知识点】无效婚姻37. 下列情形中,收养关系有效的是()A.29周岁的某单身女子收养1周岁的孤儿B.44周岁的某单身男子收养5周岁的女孩C.46周岁的某单身女子收养12周岁的男孩D.48周岁的某男与妻子生育一女后共同收养父母尚健在的周岁男孩【参考答案】C【考查知识点】收养的条件38. 养子女与生父母之间的权利义务关系因收养关系的成立而()A.中止B.中断C.延缓D.解除【参考答案】D【考查知识点】收养的法律后果39. 下列人身权中,属于自然人专有的是()A.名誉劝B.肖像劝C.信用权D.荣誉权【参考答案】B【考查知识点】人身权40. 下列有关租赁合同与融资租赁合同异同的表述,不正确的是()A.租赁合同与融资租赁合同的标的物均属于非消耗物B. 租赁合同与融资租赁合同均属于双务、有偿、诺成、要式合同C. 租赁合同对出租人资格没有限制;融资租赁合同中的出租人须具备法定资格D. 租赁合同的租金为使用租赁物的代价;融资租赁合同中的租金为融资的代价【参考答案】B【考查知识点】融资租赁合同与租赁合同二、多项选择题:41一50小题,每小题2分,共20分。
下列每题给出的四个选项中,至少有两个选项是符合题目要求的。
多选、少选均不得分。
41.下列行为中,属于犯罪未遂的有()A.甲在发表分裂国家的演讲时,被群众扭送到公安机关B.乙为制造列车倾覆事故,在轨道上安装了脱轨装置,该装置被巡道工及时拆除C.丙欲杀害张某,用猎枪射击骑马的张某后即逃走,结果将马打死,造成张某轻伤D.丁正在撬保险柜时,某同伙打来电话,告知该保险柜中没有值钱的东西,丁便离去【参考答案】CD【考查知识点】犯罪未遂42.被判处管制的罪犯、被判处缓刑的罪犯和被假释的罪犯应共同遵守的规定有()A.遵守法律、法规,服从监督B.遵守有关机关关于会客的规定C.按有关机关的规定报告自己的活动情况D.离开所居住的市、县或者迁居,应当报经有关机关批准【参考答案】ACD【考查知识点】缓刑与假释的考察43.下列人员中,可以成为逃脱罪主体的有()A.依法被判处管制的罪犯B.依法被关押的罪犯C.依法被关押的被告人D.依法被关押的犯罪嫌疑人【参考答案】BCD【考查知识点】脱逃罪的主体44.下列犯罪中,应按数罪并罚原则处理的有()A.参加黑社会性质组织又杀人的B.拐卖妇女过程中奸淫被拐卖的妇女的C.民事案件的审判人员因受贿而枉法裁判的D.在走私犯罪过程中采用暴力方法抗拒缉私人员缉私的【参考答案】AC【考查知识点】参加黑社会性质组织罪、拐卖妇女罪、走私罪、枉法裁判罪45.甲伪造食盐专营许可证,从盐业公司购进30吨食盐进行销售。
同时,还从一非法生产者处购进明知系假冒注册商标的非碘盐,冒充碘盐进行销售,销售金额达30万元。
关于本案,下列说法中正确的有()A.甲的行为构成非法经营罪B.甲的行为构成假冒注册商标罪C.甲的行为构成销售伪劣产品罪D.甲伪造国家机关证件的行为与非法经营的行为具有牵连关系【参考答案】ACD【考查知识点】牵连犯、非法经营罪、销售伪劣产品罪、假冒注册商标罪46. 下列行为中,可以代理的有()A.立遗嘱B.申请商标注册C.订立合同D.参加行政诉讼【参考答案】BCD【考查知识点】代理47. 下列选项中,物权变动的情形包括()A.政府征收了甲村的土地B.乙将自己的彩电赠与了好友C.丙在其宅基地上建造了房屋D.法院判决所有权有争议的汽车属于丁【参考答案】ABCD【考查知识点】物权变动原因48. 根据法律规定,定金的种类包括()A.立约定金B.解约定金C.违约定金D.守约定金【参考答案】ABC【考查知识点】定金种类49. 甲与妻子乙育有一子一女,儿子与其妻丁生有一子戊,儿子于2005年遇车祸死亡。
儿子去世后,甲、乙老无生活来源,丙拒不赡养,甲、乙主要由再婚的丁供养。
甲于2010年3月死亡,留下房屋3间。
依照继承法规定,可以参加第一顺序继承的人有()A.乙B.丙C.丁D.戊【参考答案】CD【考查知识点】第一顺序继承人的范围50. 一般侵权行为为民事责任的抗辩事由包括()A.不可抗力B.受害人的故意C.意外事件D.受害人同意【参考答案】AD【考查知识点】一般侵权行为民事责任的抗辩事由。
三、简答题:51~54小题,每小题6分,共24分。
51.简述犯罪预备的成立条件。
【参考答案】犯罪预备,指为了犯罪,准备工具、制造条件的行为。
有犯罪预备行为,因意志以外的原因而未能着手实行的,是预备犯。
预备犯是犯罪的未完成形态之一。
成立条件:1、行为人具有为便利实行、完成某种犯罪的主观意图。
2、客观上犯罪人进行了准备工具、制造条件等犯罪的预备活动。
3、犯罪的预备行为由于犯罪分子意志以外的原因被阻止在犯罪预备阶段,未能进展到着手实行犯罪。
【考查知识点】犯罪预备的概念;犯罪预备的三个特征52.简述渎职罪的概念和构成要件。
【参考答案】概念:渎职罪是指国家机关工作人员在公务活动中滥用职权、玩忽职守、徇私舞弊、妨碍国家管理活动,致使公共财产或者国家与人民的利益遭受重大损失的行为。
构成要件:侵害的客体是国家机关的正常活动;客观方面表现为行为人实施滥用职权吗、玩忽职守的等行为,致使公共财产、国家与人民利益遭受重大损失的行为;主体是国家机关工作人员,主观方面包括故意和过失两种心理状态。
【考查知识点】渎职罪53. 简述诚实信用原则的含义和功能。
【参考答案】诚实信用原则,是指民事主体从事民事活动时,应当诚实守信,正当行使民事权利并履行民事义务,不实施欺诈和规避法律的行为,在不损害他人利益和社会利益的前提下追求自己的利益。
诚实信用原则的法律要求具体体现在以下三个方面:民事主体在从事民事活动时,必须将有关事项和真实情况如实告知对方,禁止隐瞒事实真相和欺骗对方当事人。
民事主体之间一旦作出意思表示并且达成合意,就必须重合同、守信用,正当行使权利和履行义务。
法律禁止当事人背信弃义、擅自毁约的行为。
民事活动过程中发生损害,民事主体双方均应及时采取合理的补救措施,避免和减少损失。
诚实信用原则的功能有以下两点:指导民事主体进行民事活动。
诚实信用原则要求民事主体在从事民事活动时必须具备诚实、善意的内心要求。
诚实信用原则赋予法官司法裁判的自由裁量权。
一方面,法官依据诚实信用原则对法律条文进行解释,从而解决具体的法律问题。
另一方面,当法律存在漏洞时,诚实信用原则授权法官依据诚实信用原则对其进行补充的权力。
【考查知识点】诚实信用原则54. 简述我国侵权责任法中适用无过错责任原则的主要情形。
【参考答案】无过错责任原则是指依据法律的规定,无论行为人主观上有无过错,只要行为人的行为导致了损害结果的发生,就必须承担民事责任的归责原则。
侵权责任法中适用无过错责任原则的情形主要有:1.国家机关及其工作人员因执行职务致人损害所应承担的民事责任。