甘肃岷县第一中学2021届高三第一次模拟考试数学试卷 含答案
- 格式:pdf
- 大小:436.80 KB
- 文档页数:12
2021届甘肃省高三第一次高考诊断考试数学(理)试题一、选择题:本题共12小题,每小题5分,共60分.在每小题给出的四个选项中,只有一项是符合题目要求的.1.()A. B. C. D.【答案】A2.已知全集,集合,,那么集合()A. B. C. D.【答案】C3.已知平面向量,的夹角为,,,则()A. 4B. 2C.D.【答案】B4.抛物线的焦点到双曲线的渐近线的距离是()A. B. C. D.【答案】C5.已知函数的图象如图所示,则的解析式可能是()A. B.C. D.【答案】D【解析】6.若函数在为增函数,则实数的取值范围是()A. B.C. D.【答案】A7.若某程序框图如图所示,则该程序运行后输出的值是()A. B. C. D.【答案】C8.《数术记遗》是《算经十书》中的一部,相传是汉末徐岳(约公元2世纪)所著,该书主要记述了:积算(即筹算)太乙、两仪、三才、五行、八卦、九宫、运筹、了知、成数、把头、龟算、珠算计数14种计算器械的使用方法.某研究性学习小组3人分工搜集整理14种计算器械的相关资料,其中一人4种、另两人每人5种计算器械,则不同的分配方法有()A. B.C. D.【答案】A9.在中,,,,则的面积为()A. 15B.C. 40D.【答案】B10.四棱锥的顶点均在一个半径为3的球面上,若正方形的边长为4,则四棱锥的体积最大值为()A. B. C. D.【答案】D11.直线过抛物线的焦点,且交抛物线于,两点,交其准线于点,已知,,则()A. 2B.C.D. 4【答案】C12.已知函数是函数的导函数,,对任意实数都有,则不等式的解集为()A. B. C. D.【答案】B二、填空题:本题共4小题,每小题5分,共20分.13.若实数,满足约束条件,则的最大值是_____.【答案】814.已知,均为锐角,,,则_____.【答案】15.直三棱柱中,底面为正三角形,,是的中点,异面直线与所成角的余弦值是,则三棱柱的表面积等于_____.【答案】16.已知定义在上的偶函数,满足,且在区间上是增函数,①函数的一个周期为4;②直线是函数图象的一条对称轴;③函数在上单调递增,在上单调递减;④函数在内有25个零点;其中正确的命题序号是_____(注:把你认为正确的命题序号都填上)【答案】①②④三、解答题:共70分.解答应写出文字说明、证明过程或演算步骤.第17~21题为必考题,每个试题考生都必须作答.第22、23题为选考题,考生根据要求作答.17.已知等差数列满足,.(Ⅰ)求的通项公式;(Ⅱ)设是等比数列的前项和,若,,求.【答案】(I);(Ⅱ),或【解析】【分析】(I)由,可计算出首项和公差,进而求得通项公式。
2021年高三第一次摸底考试数学试题 Word 版含答案一、填空题:本大题共14小题,每小题5分,共70分。
1、若}1log |{},822|{2>∈=≤≤∈=x R x B Z x A x ,则=__________。
2、设,若是的充分不必要条件,则实数的取值范围是_______________。
3、已知复数,,那=______________。
4、若角的终边落在射线上,则=____________。
5、在数列中,若,,,则该数列的通项为 。
6、甲、乙两名射击运动员参加某大型运动会的预选赛,他们分别射击了5次,成绩如下表(单位:环)如果甲、乙两人中只有1人入选,则入选的最佳人选应是 。
7、在闭区间 [-1,1]上任取两个实数,则它们的和不大于1的概率是 。
8、已知对称中心为原点的双曲线与椭圆有公共的焦点,且它们的离心率互为倒数,则该椭圆的标准方程为___________________。
9、阅读下列程序:Read S1For I from 1 to 5 step 2SS+IPrint SEnd forEnd输出的结果是 。
10、给出下列四个命题,其中不正确命题的序号是 。
①若;②函数的图象关于x=对称;③函数为偶函数,④函数是周期函数,且周期为2。
11、若函数在上是增函数,则的取值范围是____________。
12、设,则的最大值是_________________。
13、棱长为1的正方体中,若E 、G 分别为、的中点,F 是正方形的中心,则空间四边形BGEF 在正方体的六个面内射影的面积的最大值为 。
14、已知平面上的向量、满足,,设向量,则的最小值是 。
二、解答题:本大题共6小题,共90分。
请在答题卡指定区域.......内作答,解答时应写出文字说明、证明过程或演算步骤。
15、设函数,其中向量R x x x n x m ∈==),2sin 3,(cos ),1,cos 2(,(1)求的最小正周期;(2)在中,分别是角的对边,求的值。
2021年甘肃省高考数学一诊试卷(理科)一、选择题(共12小题).1.已知集合A={x|x2﹣2x﹣3<0},B={﹣1,1,2},则A∩B=()A.{1,2}B.{﹣1,1,2}C.{0,1,2}D.{﹣1,0,1,2,3}2.若复数z满足(1+2i)z=||,则z的共轭复数是()A.i B.i C.i D.i3.抛物线y2=﹣2px(p>0)的准线经过椭圆=1的右焦点,则p=()A.2B.4C.8D.124.甲、乙两名射击运动爱好者在相同条件下各射击10次,中靶环数情况如图所示.则甲、乙两人中靶环数的方差分别为()A.7,7B.7,1.2C.1.1,2.3D.1.2,5.45.已知函数f(x)=x(e x﹣e﹣x),则f(x)()A.是奇函数,且在(0,+∞)单调递减B.是奇函数,且在(0,+∞)单调递增C.是偶函数,且在(0,+∞)单调递减D.是偶函数,且在(0,+∞)单调递增6.已知m,n表示两条不同直线,α,β表示两个不同平面.设有四个命题:p1:若m∥α,m⊥n,则n⊥α;p2:若m∥α,n⊥α,则m⊥n;p3:若m∥α,α⊥β,则m∥β;p4:若m∥α,m∥β,则α∥β.则下列复合命题中为真命题的是()A.p1∧p2B.¬p1∧p4C.p2∨p3D.p3∨p47.由伦敦著名建筑事务所SteynStudio设计的南非双曲线大教堂惊艳世界,该建筑是数学与建筑完美结合造就的艺术品.若将如图所示的大教堂外形弧线的一段近似看成双曲线=1(a>0,b>0)下支的一部分,且此双曲线的下焦点到渐近线的距离为2,离心率为2,则该双曲线的渐近线方程为()A.y=±x B.y=±x C.y=±x D.y=±2x8.已知α是第四象限角,且sinα=﹣,则cos(2α+)=()A.B.C.D.9.圆x2+y2=4上任意一点M到直线3x+4y﹣15=0的距离大于2的概率为()A.B.C.D.10.玉琮是一种内圆外方的筒型玉器,它与玉璧、玉圭、玉璋、玉璜、玉琥被称为“六器”,是古人用于祭祀神祇的一种礼器.《周礼》中载有“以玉作六器,以礼天地四方,以苍璧礼天,以黄琮礼地”等文.如图为齐家文化玉琮,该玉琮中方内空,形状对称,圆筒内径2.0cm,外径2.4cm,通高6.0cm,方高4.0cm,则其体积约为()(单位:cm3)A.23.04﹣3.92πB.34.56﹣3.92πC.34.56﹣3.12πD.23.04﹣3.12π11.在△ABC中,A=120°,BC=6,则△ABC的面积的最大值为()A.B.1C.D.312.若对任意的x∈(1,+∞),不等式eλx﹣≥0(λ>0)恒成立,则λ的最小值为()A.B.C.D.二、填空题(共4小题).13.设a=log2021,b=,c=log2022,则a,b,c的大小关系是.(按照从大到小的顺序排列)14.已知向量与向量夹角为60°,且||=1,=(3,4),要使2+λ与垂直,则λ=.15.(1﹣2x)5(1+x)4展开式中x3的系数为.16.函数f(x)=cos2x﹣sin2x,x∈R,有下列命题:①y=f(x)的表达式可改写为y=2cos(2x+);②直线x=是函数f(x)图象的一条对称轴;③函数f(x)的图象可以由函数y=2sin2x的图象向右平移个单位长度得到;④满足f(x)≤的x的取值范围是{x|﹣+kπ≤x≤+kπ,k∈Z}.其中正确的命题序号是.(注:把你认为正确的命题序号都填上)三、解答题:共70分。
2021届甘肃省高三第一次高考诊断考试数学(理)试题一、单选题1.()A.B.C.D.【答案】A【解析】利用复数的除法运算,将复数化简为的形式,由此得出正确选项.【详解】依题意,原式,故选A.【点睛】本小题主要考查复数的除法运算,考查运算求解能力,属于基础题.2.已知全集,集合,,那么集合()A.B.C.D.【答案】C【解析】先求得集合的补集,然后求其与集合的交集.【详解】依题意,故,故选C.【点睛】本小题主要考查集合补集的运算,考查集合交集的运算,属于基础题.3.已知平面向量,的夹角为,,,则()A.4 B.2 C.D.【答案】B【解析】将两边平方,利用向量数量积的运算求解得出数值,然后开方得到结果. 【详解】依题意.故选B.【点睛】本小题主要考查向量的数量积运算,考查向量模的坐标表示,属于基础题.4.抛物线的焦点到双曲线的渐近线的距离是()A.B.C.D.【答案】C【解析】求得抛物线的焦点,双曲线的渐近线,再由点到直线的距离公式求出结果.【详解】依题意,抛物线的焦点为,双曲线的渐近线为,其中一条为,由点到直线的距离公式得.故选C.【点睛】本小题主要考查抛物线的焦点坐标,考查双曲线的渐近线方程,考查点到直线的距离公式,属于基础题.5.已知函数的图象如图所示,则的解析式可能是()A.B.C.D.【答案】D【解析】根据函数图像上的特殊点,对选项进行排除,由此得出正确选项.【详解】对于A,B两个选项,,不符合图像,排除A,B选项.对于C选项,,不符合图像,排除C选项,故选D.【点睛】本小题主要考查根据函数图像选择相应的解析式,考查利用特殊值法解选择题,属于基础题. 6.若函数在为增函数,则实数的取值范围是()A.B.C.D.【答案】A【解析】利用函数的导函数在区间恒为非负数列不等式,用分离常数法求得的取值范围.【详解】依题意,在区间上恒成立,即,当时,,故,在时为递增函数,其最大值为,故.所以选A.【点睛】本小题主要考查利用导数求解函数单调性有关的问题,考查正切函数的单调性,属于中档题.7.若某程序框图如图所示,则该程序运行后输出的值是()A.B.C.D.【答案】C【解析】运行程序,当时退出程序,输出的值.【详解】运行程序,,判断否,,判断否,,……,以此类推,,判断是,退出循环,输出,故选C.【点睛】本小题主要考查计算循环结构程序框图输出的结果,属于基础题.8.《数术记遗》是《算经十书》中的一部,相传是汉末徐岳(约公元2世纪)所著,该书主要记述了:积算(即筹算)太乙、两仪、三才、五行、八卦、九宫、运筹、了知、成数、把头、龟算、珠算计数14种计算器械的使用方法.某研究性学习小组3人分工搜集整理14种计算器械的相关资料,其中一人4种、另两人每人5种计算器械,则不同的分配方法有()A.B.C.D.【答案】A【解析】本题涉及平均分组问题,先计算出分组的方法,然后乘以得出总的方法数.【详解】先将种计算器械分为三组,方法数有种,再排给个人,方法数有种,故选A.【点睛】本小题主要考查简单的排列组合问题,考查平均分组要注意的地方,属于基础题.9.在中,,,,则的面积为()A.15 B.C.40 D.【答案】B【解析】先利用余弦定理求得,然后利用三角形面积公式求得三角形的面积.【详解】由余弦定理得,解得,由三角形面积得,故选B.【点睛】本小题主要考查余弦定理解三角形,考查三角形的面积公式,属于基础题.10.四棱锥的顶点均在一个半径为3的球面上,若正方形的边长为4,则四棱锥的体积最大值为()A.B.C.D.【答案】D【解析】设正方形的中心为,当在于球心的连线上时,四棱锥高最高,体积取得最大值,利用勾股定理计算出高,然后求得四棱锥的最大体积.【详解】设正方形的中心为,当在于球心的连线上时,四棱锥高最高,由于底面面积固定,则高最高时,四棱锥体积取得最大值.设高为,,球的半径为,故,解得.故四棱锥的体积的最大值为.故选D. 【点睛】本小题主要考查几何体外接球有关问题,考查四棱锥体积的计算,所以基础题.11.直线过抛物线的焦点,且交抛物线于,两点,交其准线于点,已知,,则()A.2 B.C.D.4【答案】C【解析】过分别做准线的垂线交准线于两点,设,根据抛物线的性质可知,,根据平行线段比例可知,即,解得,又,即,解得,故选C.【点睛】抛物线的定义在解题中的应用,当已知曲线是抛物线时,可利用抛物线上的点满足定义,点到焦点的距离转化点为到准线的距离,这样可利用三角形相似或是平行线段比例关系可求得距离弦长以及相关的最值等问题12.已知函数是函数的导函数,,对任意实数都有,则不等式的解集为()A.B.C.D.【答案】B【解析】令,,所以函数是减函数,又,所以不等式的解集为本题选择B选项.二、填空题13.若实数,满足约束条件,则的最大值是_____.【答案】8【解析】画出可行域,将基准直线向下平移到可行域边界位置,由此求得目标函数的最大值.【详解】画出可行域如下图所示,由图可知,目标函数在点处取得最大值,且最大值为.【点睛】本小题主要考查利用线性规划求目标函数的最大值的方法,属于基础题.14.已知,均为锐角,,,则_____.【答案】【解析】先求得的值,然后求得的值,进而求得的值.【详解】由于为锐角,且,故,.由,解得,由于为锐角,故.【点睛】本小题主要考查同角三角函数的基本关系式,考查两角差的正切公式,属于中档题.15.直三棱柱中,底面为正三角形,,是的中点,异面直线与所成角的余弦值是,则三棱柱的表面积等于_____.【答案】【解析】作出异面直线与所成角,利用余弦定理求出三棱柱的高,进而求得三棱柱的表面积.【详解】设是的中点,画出图像如下图所示,由于,故是异面直线与所成角.设三棱柱的高为,则,,由于异面直线与所成角的余弦值是,在三角形中,由余弦定理得,解得.故三棱柱的表面积为.【点睛】本小题主要考查线线所成角,考查余弦定理,考查三棱柱的表面积,属于基础题.16.已知定义在上的偶函数,满足,且在区间上是增函数,①函数的一个周期为4;②直线是函数图象的一条对称轴;③函数在上单调递增,在上单调递减;④函数在内有25个零点;其中正确的命题序号是_____(注:把你认为正确的命题序号都填上)【答案】①②④【解析】先求得,由此函数的周期性.通过证明求得函数的对称轴,根据奇偶性、周期性和单调性画出函数的图像,由此判断③④的真假.【详解】令得,即,由于函数为偶函数,故.所以,所以函数是周期为的周期函数,故①正确.由于函数为偶函数,故,所以是函数图像的一条对称轴,故②正确.根据前面的分析,结合函数在区间上是增函数,画出函数图像如下图所示.由图可知,函数在上单调递减,故③错误.根据图像可知,,零点的周期为,共有个零点,故④正确.综上所述正确的命题有①②④.【点睛】本小题主要考查函数的周期性、单调性、对称性等性质,考查数形结合的数学思想方法,属于中档题.三、解答题17.已知等差数列满足,.(Ⅰ)求的通项公式;(Ⅱ)设是等比数列的前项和,若,,求.【答案】(I);(Ⅱ),或【解析】(I)由,可计算出首项和公差,进而求得通项公式。
2021年高三上学期一诊模拟考试理数试题 含解析一、选择题:本大题共12个小题,每小题5分,共60分.在每小题给出的四个选项中,只有一项是符合题目要求的.1.如果复数i a a a a z )23(222+-+-+=为纯虚数,那么实数的值为( ) A.-2 B.1 C.2 D.1或-2 【答案】A考点:复数的相关概念. 2.已知集合,,则( )A. B.(1,3) C. D.(1,2) 【答案】D 【解析】试题分析:由,得,所以,又,所以,故选D . 考点:1、函数的定义域与值域;2、集合的交集运算.3.直线过点(0,2),被圆0964:22=+--+y x y x C 截得的弦长为,则直线的方程是( )A. B. C. D. 或 【答案】D【解析】试题分析:将圆的方程化为标准方程为:,所以圆心为,半径为2.由弦长公式,得,解得.显然直线的斜率存在,设的方程为,即,则由点到直线的距离公式,得,解得或,所以直线的方程为或,故选D .考点:1、点到直线的距离;2、弦长公式;3、直线的方程.【知识点睛】求直线与圆相交所得弦的长主要是有两种方法,一是直接利用弦长公式,其中为圆的半径,为圆心到直线的距离,其次运用根与系数的关系及弦长公式:=2212121[()4]k x x x x ++-.4.执行如图所示的程序框图后,输出的结果为( )A. B. C. D. 【答案】C考点:程序框图.5.已知各项不为0的等差数列满足,数列是等比数列,且,则=( ) A.1 B.8 C.4 D.2 【答案】B 【解析】试题分析:设等差数列的公差为,则由题意,得0)(3237277=++--d a a d a ,解得或(舍去),所以33738107774()()8b b b b b q b q b q==,故选B . 考点:1、等差数列的通项公式;2、等比数列的通项公式.6.已知函数是定义在上的奇函数,若对于任意的实数,都有,且当时,,则)2016()2015()2014(f f f +-+的值为( )A.-1B.-2C.2D.1 【答案】A 【解析】试题分析:因为对于任意的实数,都有,所以当,是以2为周期的函数,又是定义在上的奇函数,所以(2014)(2015)(2016)f f f +-+=+=2(0)(1)(0)(1)log 21f f f f -+=-=-=-,故选A .考点:1、函数的奇偶性;2、周期函数.【知识点睛】(1)若函数为偶函数,则函数在轴两侧单调性相反;若函数为奇函数,则函数在原点两侧的单调性相同;(2)利用函数的奇偶性把研究整个函数具有的性质问题转化到只研究部分(一半)区间上的问题,是简化问题的一种途径.7.对于函数,现有下列命题:①函数是奇函数;②函数的最小正周期是;③点是函数的图象的一个对称中心;④函数在区间上单调递增,其中是真命题的为( ) A.②④ B.①④ C.②③ D.①③ 【答案】B考点:1、命题真假的判定;2、函数的奇偶性;3、利用导数研究函数的单调性;4、函数的图象与性质.8.设满足约束条件⎪⎩⎪⎨⎧≥≥≥+-≤--0,002063y x y x y x ,若目标函数的最大值为12,则的最小值为( )A. B. C. D.4 【答案】A 【解析】试题分析:作出满足约束条件下平面区域,如图所示,由图知当目标函数经过点取得最大值12,即,亦即,所以=131325()666b a b a a b a b ++≥+=,当且仅当,即时等号成立,故选A .考点:1、简单的线性规划问题;2、基本不等式.【方法点睛】运用线性规划求解最值时,关键是要搞清楚目标函数所表示的直线的斜率与可行域便捷直线的斜率之间的大小关系,以好确定在哪个端点,目标函数取得最大值,在哪个端点,目标函数取得最小值;已知﹙﹚求的最小值,通常转化为=(),展开后利用基本不等式求解.9.在中,内角的对边长分别为,已知,且=,则()A.6B.4C.2D.1【答案】C考点:1、两角和与差的正弦;2、正余弦定理.10.已知正三棱锥的正视图、侧视图和俯视图如图所示,则该正三棱锥侧视图的面积是()A. B. C. D.6【答案】D考点:1、棱锥的三视图;2、棱锥的侧面积.11.抛物线的焦点为,已知点为抛物线上的两个动点,且满足.过弦的中点作抛物线准线的垂线,垂足为,则的最大值为( )A.2B.C.1D. 【答案】B 【解析】试题分析:过分别作抛物线准线的垂线,垂足分别为,连接,设,,则由抛物线定义,得,,所以.在中由余弦定理得:222222cos120AB a b ab a b ab =+-︒=++,所以=222a ba b ab +++=≤,当且仅当时等号成立,故选B .考点:1、抛物线的定义;2、余弦定理;3、基本不等式.12.若函数在上的值域为,则称函数为“和谐函数”.下列函数中:①;②;③;④,“和谐函数”的个数为( )A.1个B.2个C.3个D.4个 【答案】C考点:1、新定义;2、函数的单调性.第Ⅱ卷(共90分)二、填空题(每题5分,满分20分,将答案填在答题纸上) 13.已知函数则_____________. 【答案】 【解析】试题分析:1331111((()))((log ))((1))(2)()log 3322f f f f f f f f f -==-===. 考点:分段函数求值.【方法点睛】对于分段函数结合复合函数的求值问题,一定要先求内层函数的值,因为内层函数的函数值就是外层函数的自变量的值.另外,要注意自变量的取值对应着哪一段区间,就使用哪一段解析式,体现考纲中要求了解简单的分段函数并能应用.14.二项式的展开式中,二项式系数最大的项是第4项,则其展开式中的常数项是_________. 【答案】-20 【解析】试题分析:由题意知,展开式中有7项,.因为rr r r r rrr xC xx C T 262666612)1()21()2(---+-=-=,令,得,所以常数项为. 考点:二项式定理.15.中,,的平分线交边于,且,,则的长为___________. 【答案】考点:余弦定理.【一题多解】由题意三点共线,且,则,根据角平分线的性质,所以,222221214416()339999AD AD AC AB AC AB AC AB ==+=++⋅=,所以.16.四点在半径为的球面上,且, ,,则三棱锥的体积是____________. 【答案】20 【解析】试题分析:根据题意构造长方体,其面上的对角线构成三棱锥,如图所示,设长方体的长、宽、高分别为,则有2222222254150a b a c a b c ⎧+=⎪+=⎨⎪++=⎩,解得,,,所以三棱锥的体积为-=20.考点:1、棱锥的体积;2、长方体的性质.三、解答题 (本大题共6小题,共70分.解答应写出文字说明、证明过程或演算步骤.)17.(本小题满分12分)已知数列的首项,且满足)(0)1(11*++∈=+-N n a a a n n n .(1)求数列的通项公式; (2)设,求数列的前n 项和. 【答案】(1);(2).考点:1、等差数列的定义;2、数列的通项;3、错位相减法.【易错点睛】用错位相减法求和时,应注意:(1)要善于识别题目类型,特别是等比数列公比为负数的情形;(2)在写出“”与“”的表达式时应特别注意将两式“错项对齐”以便下一步准确写出“”的表达式;(3)在应用错位相减法求和时,若等比数列的公比为参数,应分公比等于1和不等于1两种情况求解.18.(本小题满分12分)某校从参加高一年级期中考试的学生中随机抽出60名学生,将其数学成绩(均为整数)分成六段 后得到如图所示的部分频率分布直方图.观察图形的信息,回答下列问题:(1)求分数在记2分,用表示抽取结束后的总记分,求的分布列和数学期望.【答案】(1)分数在的有人,并且的可能取值为0,1,2,3,4. ......................7分则;,590207)2(260227118115=+==C C C C P ξ; ;. ..........................9分 所以的分布列为...................................11分1.2590514295813590207211827111870)(=⨯+⨯+⨯+⨯+⨯=ξE . ........................12分考点:1、频率分布直方图;2、平均分;3、分布列;4、数学期望.19.(本小题满分12分)如图,在直四棱柱中,底面是边长为1的正方形,侧棱,是侧棱的中点.(1)求证:平面⊥平面;(2)求二面角的正切值.【答案】(1)见解析;(2).试题解析:(1)证明:如图,在矩形中,E为中点且,,(2)解:方法一:因为平面,所以平面⊥平面, 所以只需在平面内过点作于,而平面. 如图,过作于,连接,则就是二面角的平面角. .....................8分在中,55211111=⋅==BC B C EB BC S EF EBC △, 所以5532211=-=EF E C F C . 在中,1030sin 1111=⋅=∠⋅=AC AB F C G FC F C FG . ..................10分设平面的一个法向量为,则,同理可得,平面的一个法向量为, ..................10分 代入公式有:515353,cos =⋅>=<n m , 所以二面角的平面角的正切值大小为. .................12分考点:1、空间垂直关系的判定;2、二面角.20.(本小题满分12分)椭圆)0(1:2222>>=+b a by a x C ,作直线交椭圆于两点,为线段的中点,为坐标原点,设直线的斜率为,直线的斜率为,.(1)求椭圆的离心率;(2)设直线与轴交于点,且满足,当的面积最大时,求椭圆的方程.【答案】(1);(2).【解析】(2)由(1)知,得,可设椭圆的方程为:,设直线的方程为:,代入椭圆的方程有06634)32(222=-+-+c my y m ,.......6分因为直线与椭圆相交,所以0)66)(32(448222>-+-=∆c m m ,由韦达定理:,.又,所以,代入上述两式有:,..........8分 所以32)66)(32(448232*********+-+-=∆=-=∆m c m m a y y OD S OPQ ..................9分2633211832182≤+=+=m m m m, .......................10分 当且仅当时,等号成立,此时,代入,有成立,所以所求椭圆的方程为:. .........................12分考点:1、椭圆的几何性质;2、直线与椭圆的位置关系;3、基本不等式.【方法点睛】直线与圆锥曲线相交时,常常借助根与系数的关系解决弦长问题.直线方程与圆锥曲线方程联立,消去后得到关于的一元二次方程.当时,直线与圆锥曲线相交,设交点为,,直线的斜率为,则直线被圆锥曲线截得的弦长212||()AB x x =+.21.(本小题满分12分)已知函数.(1)若恒成立,试确定实数的取值范围; (2)证明:)2,(410)11(1ln 154ln 83ln 32ln 22≥∈++<++-+⋅⋅⋅+++*n N n n n n n n n . 【答案】(1);(2)见解析.考点:1、导数与最值的关系;2、不等式恒成立问题.【方法点睛】由函数的极值、最值逆求参数的值(或取值范围)问题,往往需要对参数进行分类讨论,如何划分参数讨论的区间成为思维的难点.由于这类问题涉及函数的单调区间,因此分类的标准是使函数在指定的区间内其导数的符号能够确定为正或为负.请从下面所给的22 , 23 ,24三题中任选一题做答,如果多做,则按所做的第一题计分.22.(本小题满分10分)【选修4-1:几何证明选讲】如图,在中,于,于,交于点,若,.(1)求证:;(2)求线段的长度.【答案】(1)见解析;(2).即3053532=⨯+⨯=⋅+⋅=BE BF CD CF BC , ........................8分 所以. . ..................10分考点:1、四点共圆;2、割线定理.23.(本小题满分10分)【选修4-4:坐标系与参数方程】已知曲线的参数方程为:为参数),直线的参数方程为:为参数),点,直线与曲线交于两点.(1)写出曲线和直线在直角坐标系下的标准方程;(2)求的值.【答案】(1)曲线的标准方程为:;直线的标准方程为:.(2).考点:1、参数方程与普通方程的互化;2、直线与椭圆的位置关系.24.(本小题满分10分)【选修4-5:不等式选讲】(1)设函数a x x x f --++=21)(的定义域为,试求的取值范围;(2)已知实数满足,求的最小值.【答案】(1);(2).考点:1、绝对值不等式的解法;2、柯西不等式.。
2021年高三上学期第一次模拟考试数学理试题 Word版含答案1.本试卷满分为150分;2.考试时间为120分钟,考试过程中不得使用计算器;3.所有题目均做在答题卷上.一、选择题:在每小题给出的四个选项中,只有一项是符合题目要求的,请把正确答案的代号填在题后的括号内(本大题共8个小题,每小题5分,共40分)。
1.集合,,若,则的值为()A.0 B.1 C.2 D.42.设函数则不等式的解集是()A.B.C.D.3.函数是()A.奇函数B.偶函数C.非奇非偶函数D.既是奇函数又是偶函数4.命题“对任意的,”的否定是()A.不存在,B.存在,C.存在,D.对任意的,5.下列四个函数中,在区间(-1,0)上为减函数的是()A.B.y=cosx C.D.6.若一系列函数的解析式相同,值域相同,但定义域不同,则称这些函数为“孪生函数”,那么函数解析式为,值域为{5,19}的“孪生函数”共有()A.10个B.9个C.8个D.7个7.已知函数是定义在实数集R上的不恒为零的偶函数,且对任意实数都有,则的值是()A. 0B.C. 1D.8..对于正实数,记为满足下述条件的函数构成的集合:且,有.下列结论中正确的是( ) A.若,,则B.若,,且,则C.若,,则D.若,,且,则9.已知定义在上的函数满足:对任意,都有成立,且,设,则三者的大小关系是()A.B.C.D.10.对于函数与和区间,如果存在,使,则称是函数与在区间上的“友好点”.现给出组函数:①,;②,;③,;④,;其中在区间,上存在“友好点”的有()A.①②B.②③C.①④D.③④二.填空题:本大题共6小题,考生作答5小题,没小题5分,共25分.(一)选做题(请考生在第11,12,13三题中任选两题作答,如果全做,则按前两题记分)11.(选修4-5:不等式选讲)函数的最大值等于.12.(选修4-4:极坐标与参数方程)在平面直角坐标系中,以坐标原点为极点,轴的非负半轴为极轴建立极坐标系.已知直线的极坐标方程为,曲线的参数方程为(为参数).若直线与曲线交于两点,则= .13.(几何证明选讲选做题)如图所示,AB是半径等于3的圆O的直径,CD是圆O的弦,BA,DC的延长线交于点P,若PA=4,PC=5,则______.14.设p:x-x-20>0,q:<0,则p是非q的条件.15.定义在R上的函数满足:,当时,,则f(xx)=__________。
数学试卷本试卷分为第Ⅰ卷(选择题)和第Ⅱ卷(非选择题)两部分,共150分,考试用时120分钟.第Ⅰ卷 选择题(共45分)参考公式: ·如果事件A ,B 互斥,那么P(A ∪B)=P(A)+P(B) ·如果事件A ,B 相互独立,那么P(AB)=P(A)P(B) ·柱体的体积公式V =Sh.其中S 表示柱体的底面积,h 表示柱体的高. ·锥体的体积公式V =13Sh.其中S 表示锥体的底面积,h 表示锥体的高.一、选择题(本大题共9小题,每小题5分,共45分.在每小题给出的四个选项中,只有一项是符合题目要求的.)1.设集合A ={1,2,6},B ={2,4},C ={x ∈R|-1≤x ≤5},则(A ∪B)∩C =( ) A .{2} B .{1,2,4}C .{1,2,4,6}D .{x ∈R|-1≤x ≤5}2.设a ∈R ,则“|a -1|≤1”是“-a2+3a ≥0”的( ) A .充分非必要条件 B .必要非充分条件 C .充要条件 D .既非充分也非必要条件3.已知过点P(2,2)的直线与圆(x -1)2+y2=5相切,且与直线ax -y +1=0垂直,则a 等于( )A .-12B .1C .2 D.124广告费用x(万元) 1 2 4 5 销售额y(万元)10263549根据上表可得回归方程y^=b^·x +a^的b^约等于9,据此模型预报广告费用为6万元时,销售额约为( )A .54万元B .55万元C .56万元D .57万元5.设a =sin π6,b =log23,c =⎝⎛⎭⎫1423,则( )A .a<c<bB .b<a<cC .c<a<bD .c<b<a6.著名数学家华罗庚先生曾说:“数缺形时少直观,形缺数时难入微,数形结合百般好,隔裂分家万事休”.如函数f(x)=ex -e -xx2的图象大致是( )7.已知双曲线x2a2-y2b2=1(a>0,b>0)的左顶点与抛物线y2=2px(p>0)的焦点的距离为4,且双曲线的一条渐近线与抛物线的准线的交点坐标为(-2,-1),则双曲线的焦距为( )A .2 5B .2 3C .4 3D .4 58.已知函数f(x)=cosx -|sinx|,那么下列说法错误的是( ) A .f(x)是偶函数 B .f(x)在[-π,0]上恰有一个零点 C .f(x)是周期函数 D .f(x)在[-π,0]上是增函数9.已知函数f(x)=⎩⎪⎨⎪⎧|x +1|,-7≤x ≤0,lnx ,e -2≤x<e ,g(x)=x2-2x ,设a 为实数,若存在实数m ,使f(m)-2g(a)=0,则实数a 的取值范围为( )A .[-1,+∞)B .(-∞,-1]∪[3,+∞)C .[-1,3]D .(-∞,3]第Ⅱ卷 非选择题(共105分)二、填空题(本大题共6小题,每小题5分,共30分.把答案填在相应的横线上.) 10.设复数z 满足(1+i)z =3-i(i 为虚数单位),则|z|=________.11.二项式⎝⎛⎭⎪⎫2x -13x 8的展开式中,常数项为________.(用数字作答)12.在直三棱柱ABC -A1B1C1中,若四边形AA1C1C 是边长为4的正方形,且AB =3,BC =5,M 是AA1的中点,则三棱锥A1-MBC1的体积为________.13.一个口袋中装有大小相同的2个黑球和3个红球,从中摸出两个球,则恰有一个黑球的概率是________;若X 表示摸出黑球的个数,则E(X)=________.14.若a>0,b>0,当(a +4b)2+1ab取得最小值为________时,a +b =________.15.如图,在等腰△ABC 中,AB =AC =3,D ,E 与M ,N 分别是AB ,AC 的三等分点,且DN →·ME →=-1,则tanA =________,AB →·BC →=________.三、解答题(本大题共5小题,共75分.解答应写出文字说明,证明过程或演算步骤.) 16.(本小题满分14分)已知函数f(x)=32sin2x -cos2x -12.(1)求f(x)的最小值,并写出取得最小值时的自变量x的集合;(2)设△ABC的内角A,B,C所对的边分别为a,b,c,且c=3,f(C)=0,若sinB=2sinA,求a,b的值.17.(本小题满分14分)如图,在三棱柱ABC-A1B1C1中,已知BC=1,BB1=2,∠BCC1=90°,AB⊥侧面BB1C1C.(1)求直线BC1与底面ABC所成角的正弦值;(2)在棱CC1(不包含端点C,C1)上确定一点E的位置,使得EA⊥EB1(要求说明理由);(3)在(2)的条件下,若AB=2,求二面角A-EB1-A1的大小.18.(本小题满分15分)已知点A(1,2)是离心率为22的椭圆C:x2b2+y2a2=1(a>b>0)上的一点.斜率为2的直线BD交椭圆C于B、D两点,且A、B、D三点不重合.(1)求椭圆C的方程;(2)求证:直线AB、AD的斜率之和为定值;(3)△ABD的面积是否存在最大值?若存在,求出这个最大值;若不存在,说明理由?19.(本小题满分16分)已知正项等比数列{an}满足a1=2,2a2=a4-a3,数列{bn}满足bn =1+2log2an.(1)求数列{an},{bn}的通项公式; (2)令cn =an·bn ,求数列{cn}的前n 项和Sn ;(3)若λ>0,且对所有的正整数n 都有2λ2-kλ+2>bnan 成立,求k 的取值范围.20.(本小题满分16分)已知函数f(x)=-12ax2+(1+a)x -lnx(a ∈R).(1)当a =0时,求函数f(x)的最小值; (2)当a>0时,求函数f(x)的单调区间;(3)当a =0时,设函数g(x)=xf(x),若存在区间[m ,n]⎣⎡⎭⎫12,+∞,使得函数g(x)在[m ,n]上的值域为[k(m +2)-2,k(n +2)-2],求实数k 的取值范围.数学答案1.B [命题立意]本题考查集合的交集、并集运算.[解析]∵A ={1,2,6},B ={2,4},∴A ∪B ={1,2,4,6},又∵C ={x|-1≤x ≤5},∴(A ∪B)∩C ={1,2,4},故选B.2.A [命题立意]本题考查不等式解法、充分、必要条件的判断. [解析]由|a -1|≤1得0≤a ≤2,由-a2+3a ≥0得0≤a ≤3,∵[0,2][0,3],∴“|a -1|≤1”是“-a2+3a ≥0”的充分非必要条件,故选A. 3.C [命题立意]本题考查直线与直线、直线与圆的位置关系.[解析]∵(2-1)2+22=5,∴点P(2,2)在圆(x -1)2+y2=5上,又∵圆心C(1,0),∴kPC =2-02-1=2,又∵切线与直线ax -y +1=0垂直,∴a =2.故选C. 4.D [命题立意]本题考查回归方程.[解析]x =1+2+4+54=3,y =10+26+35+494=30.∵回归方程y^=9x +a^过(x ,y),∴a^=3,即回归方程为y^=9x +3,当x =6时,代入可得y^=57,故选D.5.C [命题立意]本题考查比较大小.[解析]∵a =sin π6=12,b =log23>1,c =⎝⎛⎭⎫1423<⎝⎛⎭⎫1412=12,∴c<a<b.故选C.6.B [命题立意]本题考查函数的图象与性质. [解析]定义域为{x|x ≠0},∵f(-x)=e -x -ex(-x )2=-f(x),∴f(x)为奇函数,图象关于原点对称,排除A ;当x>0时,f(x)>0,排除D ;当x →+∞时,f(x)→+∞,排除C ,故选B.7.A [命题立意]本题考查双曲线、抛物线的几何性质.[解析]由题意知抛物线y2=2px(p>0)的准线方程为x =-p2=-2,∴p =4.∴焦点为(2,0),∴双曲线的左顶点为(-2,0),即a =2,又∵(-2,-1)在双曲线的渐近线上,∴b =1,∴c =a2+b2=5,∴焦距为2c =25,故选A.8.D [命题立意]本题考查三角函数的图象与性质.[解析]∵f(-x)=cos(-x)-|sin(-x)|=cosx -|sinx|=f(x),∴f(x)为偶函数,A 正确;当x ∈[-π,0]时f(x)=cosx +sinx =2sin ⎝⎛⎭⎫x +π4,在⎣⎡⎦⎤-π,-3π4上单调递减,在⎣⎡⎦⎤-3π4,0 上单调递增,只有一个零点x =-π4,故B 正确,D 错误;∵f(x +2π)=cos(x +2π)-|sin(x+2π)|=cosx -|sinx|=f(x),∴f(x)是周期函数,C 正确.故选D.9.C [命题立意]本题考查分段函数、函数值域、存在性问题求参数取值范围. [解析]当-7≤x ≤0时,f(x)=|x +1|∈[0,6].当e -2≤x<e 时,f(x)=lnx ∈[-2,1),∴f(x)的值域为[-2,6],∵g(x)=x2-2x ,∴2g(a)=2a2-4a ,∵存在实数m ,使f(m)-2g(a)=0,∴-2≤2a2-4a ≤6,解得-1≤a ≤3,故选C.10.5 [命题立意]本题考查复数的除法运算、复数的模.[解析]∵(1+i)z =3-i ,∴z =3-i 1+i ,∴|z|=⎪⎪⎪⎪⎪⎪3-i 1+i =|3-i||1+i|=102= 5.11.112 [命题立意]本题考查二项展开式中的特定项.[解析]⎝ ⎛⎭⎪⎫2x -13x 8的展开式的通项为Tr +1=Cr8(2x)8-r·⎝⎛⎭⎪⎫-13x r =(-1)r·28-rCr8·x8-43r ,令8-43r =0,得r =6,∴常数项为(-1)6·22C68=112.12.4 [命题立意]本题考查棱锥的体积.[解析]在直三棱柱ABC -A1B1C1中,有AA1⊥A1C1,又∵四边形AA1C1C 是边长为4的正方形,AB =3,BC =5,∴AC2+AB2=BC2,∴AC ⊥AB ,∴A1C1⊥A1B1,又∵A1B1∩AA1=A1,∴A1C1⊥平面A1MB.又∵M 是AA1中点,∴三棱锥A1-MBC1的体积为V A1-MBC1=VC1-A1MB =13×S △A1MB ×A1C1=4.13.35 45 [命题立意]本题考查古典概型、离散型随机变量的分布列、数学期望. [解析]恰有一个黑球的概率P =C12C13C25=35,X 的可能取值为0,1,2,P(X =0)=C23C25=310,P(X =1)=35,P(X =2)=C22C25=110,∴X 的分布列为,∴E(X)=0×310+1×35+2×110=45.14.8 54[命题立意]本题考查基本不等式.[解析]∵a>0,b>0,∴a +4b ≥4ab ,当且仅当a =4b 时等号成立,∴(a +4b)2+1ab ≥16ab+1ab ≥8.当且仅当16ab =1ab时等号成立.由⎩⎪⎨⎪⎧a =4b ,16ab =1ab ,解得⎩⎪⎨⎪⎧a =1,b =14,∴当(a +4b)2+1ab 取得最小值8时a +b =54.15.43 -185[命题立意]本题考查向量的数量积. [解析]以BC 所在直线为x 轴,BC 中点为原点,建立如图所示的平面直角坐标系,设OC=a(a>0).则B(-a ,0),C(a ,0),A(0,9-a2),D ⎝ ⎛⎭⎪⎫-a 3,29-a23,E ⎝ ⎛⎭⎪⎫-2a 3,9-a23,M ⎝ ⎛⎭⎪⎫a 3,29-a23,N ⎝ ⎛⎭⎪⎫2a3,9-a23,∴DN →=⎝ ⎛⎭⎪⎫a ,-9-a23,ME →=⎝ ⎛⎭⎪⎫-a ,-9-a23,又∵DN →·ME →=-1,∴-a2+9-a29=-1,解得a =355,∴A ⎝⎛⎭⎫0,655,B ⎝⎛⎭⎫-355,0,C ⎝⎛⎭⎫355,0,∴AB →=⎝⎛⎭⎫-355,-655,AC →=⎝⎛⎭⎫355,-655,BC →=⎝⎛⎭⎫655,0,∴cosA =AB →·AC →|AB →|·|AC →|=-95+3653×3=35,∴AB →·BC →=-185,∴sinA =45,∴tanA =43.16.[命题立意]本题考查二倍角公式、辅助角公式、三角函数性质、正、余弦定理等知识. [解题思路](1)利用二倍角公式、辅助角公式将函数f(x)化为正弦型函数再求最值;(2)由(1)及f(C)=0求出角C ,利用正弦、余弦定理解方程即可.[解](1)f(x)=32sin2x -1+cos2x 2-12=32sin2x -cos2x2-1 =sin ⎝⎛⎭⎫2x -π6-1 当2x -π6=2kπ-π2,即x =kπ-π6(k ∈Z)时,f(x)的最小值为-2,此时自变量x 的集合为:⎩⎨⎧⎭⎬⎫xx =kπ-π6,k ∈Z 或写成⎩⎨⎧⎭⎬⎫xx =kπ+5π6,k ∈Z .(2)∵f(C)=0,∴sin ⎝⎛⎭⎫2C -π6-1=0 又∵0<C<π,∴2C -π6=π2,即C =π3.在△ABC 中,sinB =2sinA ,由正弦定理知b =2a , 又∵c =3,∴由余弦定理知(3)2=a2+b2-2abcos π3,即a2+b2-ab =3,联立,得⎩⎪⎨⎪⎧a2+b2-ab =3,b =2a ,∴⎩⎪⎨⎪⎧a =1,b =2.17.[命题立意]本题考查证明线线垂直、线面角、二面角.[解题思路](1)建立空间直角坐标系,利用向量法求线面角正弦值;(2)设E 点坐标,利用EA →·EB1→=0求出E 点坐标,从而确定E 点位置;(3)分别求出平面AEB1和平面A1B1E 的法向量,利用向量法求得二面角大小.[解]如图,以B 为原点建立空间直角坐标系,则B(0,0,0),C1(1,2,0),B1(0,2,0). (1)直三棱柱ABC -A1B1C1中, 平面ABC 的法向量BB1→=(0,2,0), 又BC1→=(1,2,0),设BC1与平面ABC 所成角为θ, 则sinθ=|cos 〈BB1→,BC1→〉|=255.(2)设E(1,y ,0),A(0,0,z),则EB1→=(-1,2-y ,0),EA →=(-1,-y ,z), ∵EA ⊥EB1,∴EA →·EB1→=1-y(2-y)=0, ∴y =1,即E(1,1,0), ∴E 为CC1的中点.(3)∵A(0,0,2),则AE →=(1,1,-2),B1E →=(1,-1,0), 设平面AEB1的法向量n =(x1,y1,z1), 则⎩⎪⎨⎪⎧n·AE →=0,n·B1E →=0,∴⎩⎨⎧x1+y1-2z1=0,x1-y1=0,取x1=1,则n =(1,1,2), ∵BE →=(1,1,0),BE →·B1E →=1-1=0∴BE ⊥B1E ,又A1(0,2,2),A1B1→=(0,0,-2),∴BE →·A1B1→=0,∴BE ⊥A1B1, ∴BE ⊥平面A1B1E ,∴平面A1B1E 的法向量BE →=(1,1,0), ∴cos 〈n ,BE →〉=BE →·n |BE →||n|=22,又二面角A -EB1-A1的平面角为锐二面角. ∴二面角A -EB1-A1为45°.18.[命题立意]本题考查椭圆的方程、直线与圆锥曲线的位置关系、最值问题.[解题思路](1)由e 和点在椭圆上列方程组求出a ,b ,得椭圆方程;(2)设直线BD 的方程与椭圆方程联立消y 得关于x 的一元二次方程,利用韦达定理和斜率公式整理即可证得kAB +kAD =0;(3)利用弦长公式得|BD|的表达式,利用点到直线的距离公式得△ABD 中BD 边上的高,从而写出S △ABD 的表达式,求得最大值.[解](1)∵e =22=c a ,1b2+2a2=1,a2=b2+c2, ∴a =2,b =2,c =2, ∴x22+y24=1. (2)设D(x1,y1),B(x2,y2), 设直线BD 的方程为y =2x +m.∴⎩⎨⎧y =2x +m ,2x2+y2=44x2+22mx +m2-4=0,∴Δ=-8m2+64>0-22<m<2 2. x1+x2=-22m , ① x1x2=m2-44, ②设直线AB 、AD 的斜率分别为:kAB 、kAD ,则 kAD +kAB =y1-2x1-1+y2-2x2-1=2x1+m -2x1-1+2x2+m -2x2-1=22+m ⎣⎢⎡⎦⎥⎤x1+x2-2x1x2-(x1+x2)+1,将①、②式代入上式整理得 22+m ⎣⎢⎡⎦⎥⎤x1+x2-2x1x2-(x1+x2)+1=0,即kAD +kAB =0.(3)∵|BD|=1+k2|x1-x2|=1+(2)2·(x1+x2)2-4x1x2, =364-8m24=628-m2, 设d 为点A 到直线BD :y =2x +m 的距离,∴d =|m|3,∴S △ABD =12|BD|d =24(8-m2)m2≤2,当且仅当m =±2时取等号, ∵±2∈(-22,22),∴当m =±2时,△ABD 的面积最大,最大值为 2.19.[命题立意]本题考查等差数列的通项公式、错位相减法求和、数列单调性、恒成立求参数的取值范围等知识.[解题思路](1)由等比数列通项公式解方程求出公比q ,得{an}通项,代入已知得{bn}通项;(2)错位相减法求{cn}的前n 项和;(3)利用作差法判断数列⎩⎨⎧⎭⎬⎫bn an 的单调性,将恒成立问题转化为最值问题,得k<2λ+12λ,再利用基本不等式求出最小值即得k 的取值范围.[解](1)设等比数列{an}的公比为q ,则q >0, 由2a2=a4-a3可得2a2=a2q2-a2q ,由于各项都为正数,∴2=q2-q ,即q2-q -2=0,∵q >0,解得q =2,∴an =a1qn -1=2n.bn =1+2log2an =1+2log22n =2n +1; (2)由(1)可得cn =an·bn =(2n +1)·2n , ∴Sn =3·21+5·22+7·23+…+(2n +1)·2n , 得2Sn =3·22+5·23+…+(2n -1)·2n +(2n +1)·2n +1, 两式相减得:-Sn =3·21+2·22+2·23+…+2·2n -(2n +1)·2n +1=6+8(1-2n -1)1-2-(2n +1)·2n +1=6+2·2n +1-8-(2n +1)·2n +1=-2-(2n -1)·2n +1, 因此,Sn =(2n -1)·2n +1+2;(3)∵bn an =2n +12n∴bn +1an +1-bn an =2n +32n +1-2n +12n =(2n +3)-(4n +2)2n +1=1-2n2n +1,∵n ≥1,∴1-2n <0,即bn +1an +1-bn an =1-2n 2n +1<0,则有bn +1an +1<bnan.∴数列⎩⎨⎧⎭⎬⎫bn an 是单调递减数列,则数列⎩⎨⎧⎭⎬⎫bn an 的最大项为b1a1=32.由题意可知,关于λ的不等式2λ2-kλ+2>32对任意的λ>0恒成立,∴k <2λ+12λ.由基本不等式知2λ+12λ≥22λ·12λ=2,当λ=12时,等号成立,∴k <2, 实数k 的取值范围是(-∞,2).20.[命题立意]本题考查利用导数求函数的最值、单调区间、方程的根.[解题思路](1)对f(x)求导、判单调得最小值;(2)对f(x)求导,按a 与1的大小情况分三类讨论f(x)的单调区间;(3)先对g(x)求导,判断g(x)在⎣⎡⎭⎫12,+∞上的单调性,将问题转化为g(x)=k(x +2)-2即k =g (x )+2x +2在⎣⎡⎭⎫12,+∞上至少有两个不同的正根m 、n.构造函数F(x)=g (x )+2x +2,对F(x)求导,判断单调性、极值、结合图象得k 的取值范围.[解](1)当a =0时,f(x)=x -lnx(x >0),f′(x)=1-1x, 令f′(x)=0,即1-1x=0,解得x =1, 令f′(x)>0得到x >1,令f′(x)<0得到0<x <1,故函数f(x)在(0,1)上单调递减,在(1,+∞)上单调递增, 故f(x)min =f(1)=1;(2)当a >0时,函数f(x)=-12ax2+(1+a)x -lnx 则f′(x)=-ax +1+a -1x =-(x -1)(ax -1)x, 若a =1时,f′(x)≤0,f(x)单调递减,若a >1时,1a<1, 当x >1或0<x <1a 时,f′(x)<0,当1a<x <1,f′(x)>0, 即f(x)在区间⎝⎛⎭⎫0,1a ,(1,+∞)上单调递减,在区间⎝⎛⎭⎫1a ,1上单调递增, 若0<a <1时,1a>1, 若x >1a 或0<x <1时,f′(x)<0,当1<x <1a时,f′(x)>0, 即f(x)在区间(0,1),⎝⎛⎭⎫1a ,+∞上单调递减,在区间⎝⎛⎭⎫1,1a 上单调递增; 综上,a =1时,函数f(x)的减区间为(0,+∞),无增区间;a >1时,函数f(x)的减区间为⎝⎛⎭⎫0,1a ,(1,+∞),增区间为⎝⎛⎭⎫1a ,1; 0<a <1时,函数f(x)的减区间为(0,1),⎝⎛⎭⎫1a ,+∞,增区间为⎝⎛⎭⎫1,1a . (3)当a =0时,设函数g(x)=xf(x)=x2-xlnx ,则g′(x)=2x -lnx -1,g″(x)=2-1x =2x -1x(x >0), 当x ≥12,g″(x)≥0,g′(x)为增函数, g′(x)≥g′⎝⎛⎭⎫12=ln2>0,g(x)为增函数,g(x)在区间[m ,n]⎣⎡⎭⎫12,+∞上递增. ∵g(x)在[m ,n]上的值域是[k(m +2)-2,k(n +2)-2],∴g(x)=k(x +2)-2在⎣⎡⎭⎫12,+∞上至少有两个不同的正根m ,n ⎝⎛⎭⎫12≤m<n ,k =g (x )+2x +2, 令F(x)=x2-xlnx +2x +2,求导得F′(x)=x2+3x -2lnx -4(x +2)2⎝⎛⎭⎫x ≥12, 令G(x)=x2+3x -2lnx -4⎝⎛⎭⎫x ≥12, 则G′(x)=2x +3-2x =(2x -1)(x +2)x ⎝⎛⎭⎫x ≥12,∴G′(x)>0,G(x)在⎣⎡⎭⎫12,+∞递增,G ⎝⎛⎭⎫12<0,G(1)=0,当x ∈⎣⎡⎦⎤12,1,G(x)<0,∴F′(x)<0当x ∈[1,+∞),G(x)>0,∴F′(x)>0, ∴F(x)在⎣⎡⎦⎤12,1上递减,在[1,+∞)上递增, ∴F(1)<k ≤F ⎝⎛⎭⎫12,∴k ∈⎝⎛⎦⎤1,9+ln410.。
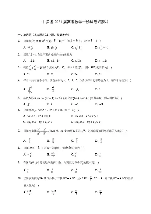
甘肃省2021届高考数学一诊试卷(理科)一、单选题(本大题共12小题,共60.0分) 1.已知集合A ={x|x 2≤x},B ={x|y =ln(1−3x)},则A ∩B =( )A. (0,13)B. [0,13)C. (13,1]D. (13,+∞)2.复数i(2−i)在复平面内对应的点的坐标为A. (−2,1)B. (2,−1)C. (1,2)D. (−1,2)3.椭圆x 236+y 220=1的两个焦点为F 1、F 2,弦AB 经过F 2,则△ABF 1的周长为( )A. 22B. 23C. 24D. 254.样本中共有五个个体,其值分别为a ,0,1,2,3.若该样本的平均值为1,则样本方差为( )A.B.C.D. 25.函数f(x)=ax 2+(a 2−1)x −3a 是定义在[4a +2,a 2+1]的偶函数,则a 的值为( )A. ±1B. 1C. −1D. −36.已知命题p :∀x ∈R ,x 4+x <0,则¬p 是( )A. ∀x ∈R ,x 4+x ≥0B. ∀x ∈R ,x 4+x >0C. ∃x 0∈R ,x 04+x 0≥0 D. ∃x 0∈R ,x 04+x 0>0 7. 已知双曲线(a >0,b >0)的离心率为,则双曲线的两渐近线的夹角为( )A.B.C.D.8.已知tanα=2,α为第一象限角,则sin2α的值为( )A. −35B. 4√55C. 45D. 359.在区间(0,1)中随机地取出两个数,则两数之和小于25的概率是( )A. 45B. 225C. 425D. 95010. 已知表面积为24π的球外接于三棱锥S −ABC ,且∠BAC =π3,BC =4,则三棱锥S −ABC 的体积最大值为( )A. 8√23B. 16√23C. 163D. 32311.已知四边形ABCD,∠BAD=120°,∠BCD=60°,AB=AD=2,则AC的最大值为()A. 4√33B. 4 C. 8√33D. 812.将周长为4的矩形ABCD绕AB旋转一周所得圆柱体积最大时,AB长为()A. 43B. 23C. 13D. 1二、单空题(本大题共4小题,共20.0分)13.某种动物繁殖数量y(只)与时间x(年)的关系为y=alog2(x+1),设这种动物第一年有100只,到第7年它们发展到________只.14.已知单位向量a⃗,b⃗ 满足a⃗⋅b⃗ =√22,则a⃗与b⃗ 夹角的大小为______ ;|a⃗−x b⃗ |(x∈R)的最小值为______ .15.(12−4x)7的展开式中x3的系数为______.16.给出下列命题:①函数f(x)=x2+1x2+2的最小值是0;②“若x2=4,则x=2”的否命题;③若b2=ac,则a,b,c成等比数列;④在△ABC中,若sinA>sinB,则BC>AC.其中所有真命题的序号是______ .三、解答题(本大题共7小题,共82.0分)17.已知等差数列{a n}满足:a3=7,a5+a7=26,{a n}的前n项和为S n.(1)求a n及S n;(2)求数列{1S n}的前n项和T n.18.从1到9的九个数字中取三个偶数四个奇数,试问:(Ⅰ)能组成多少个没有重复数字的七位数?(Ⅱ)在(Ⅰ)中的七位数中三个偶数排在一起的有几个?(Ⅲ)在(Ⅰ)中的七位数中,偶数排在一起、奇数也排在一起的有几个?19. 如图,多面体ABCDEF 中,四边形ABCD 为菱形,在梯形ABEF中,AF//BE ,AF ⊥AB ,AB =BE =2AF =2,平面ABEF ⊥平面ABCD .(1)证明:BD ⊥平面AFC ; (2)若多面体ABCDEF 的体积为4√33,∠ADC 为锐角,求∠ADC 的大小.20. 如图,在平面直角坐标系xOy 中,已知椭圆C:x 2a2+y 2b 2=1(a >b >0)的左、右顶点分别为A 1(2,0),A 2(2,0),右准线方程为x =4.过点A 1的直线交椭圆C 于x 轴上方的点P ,交椭圆C 的右准线于点D.直线A 2D 与椭圆C 的另一交点为G ,直线OG 与直线A 1D 交于点H .(1)求椭圆C 的标准方程;(2)若HG ⊥A 1D ,试求直线A 1D 的方程; (3)如果A 1H ⃗⃗⃗⃗⃗⃗⃗⃗ =λA 1P ⃗⃗⃗⃗⃗⃗⃗ ,试求λ的取值范围.21. 已知函数在处有极大值7.(Ⅰ)求的解析式;(Ⅱ)求在=1处的切线方程.22. 选修4−4:坐标系与参数方程在平面直角坐标系xOy中,曲线C1的参数方程为(φ为参数),在以O为极点,x 轴的正半轴为极轴的极坐标系中,曲线C2是圆心为(3,),半径为1的圆.(Ⅰ)求曲线C1,C2的直角坐标方程;(Ⅱ)设M为曲线C1上的点,N为曲线C2上的点,求|MN|的取值范围.23. 已知函数f(x)=a x+b(a>0,a≠1)满足f(x+y)=f(x)⋅f(y),且f(3)=8.(1)求实数a,b的值;(2)若不等式|x−1|<m的解集为(b,a),求实数m的值.【答案与解析】1.答案:B解析:解:∵A={x|0≤x≤1},B={x|1−3x>0}={x|x<13},∴A∩B=[0,13).故选:B.可以求出集合A,B,然后进行交集的运算即可.考查描述法、区间表示集合的定义,一元二次不等式的解法,对数函数的定义域,以及交集的运算.2.答案:C解析:本题考查了复数的几何意义,由复数的四则运算得i(2−i)=1+2i,直接根据复数的几何意义求解即可.解:∵i(2−i)=1+2i,∴z对于的点为(1,2),故选C.3.答案:C解析:解:∵椭圆x236+y220=1的两个焦点为F1、F2,弦AB经过F2,∴△ABF1的周长=4a=4×6=24.故选:C.利用椭圆定义求解.本题考查三角形周长的求法,是基础题,解题时要认真审题,注意椭圆性质的合理运用.4.答案:D解析:由题意知:1=,∴a=−1.∴方差为[(−1−1)2+(0−1)2+(1−1)2+(2−1)2+(3−1)2]=(4+1+0+1+4)=2.解析:解:∵函数f(x)=ax2+(a2−1)x−3a是定义在[4a+2,a2+1]的偶函数∴4a+2+a2+1=0即a2+4a+3=0∴a=−1或a=−3当a=−1时,f(x)=−x2+3在[−2,2]上是偶函数,满足题意当a=−3时,f(x)=−3x2+8x+9在[−10,10]上不是偶函数,舍去综上可得,a=−1故选C由偶函数的定义域关于原点对称,可求a,然后把a的值代入函数f(x)进行检验即可本题主要考查了偶函数的定义的应用,解题中不要漏掉对函数的定义域关于原点对称的考虑6.答案:C解析:解:特称性命题的否定是先改变量词,然后否定结论,即∃x0∈R,x04+x0≥0.故选:C.根据含有量词的命题的否定即可得到结论.本题主要考查含有量词的命题的否定,比较基础.7.答案:A解析:本题考查的是双曲线的离心率与渐近线.由离心率求出双曲线的渐近线的斜率,从而求出渐近线的倾斜角,从而求得结论.解:由离心率e=ca=√2,所以双曲线的渐近线的斜率k=ba =√b2a2=√c2−a2a2=√e2−1=1,所以双曲线的渐近线的倾斜角为π4,所经双曲线的两渐近线的夹角为π2.8.答案:C解析:解:由tanα=2=sinαcosα,α为第一象限角,sin 2α+cos 2α=1, ∴sinα=2√5,cosα=1√5,所以sin2α=2⋅2√5⋅1√5=45, 故选:C .由条件利用同角三角函数的基本关系求得sinα、cosα的值,再利用二倍角公式,求得sin2α的值. 本题主要考查同角三角函数的基本关系,二倍角公式的应用,属于基础题.9.答案:B解析:本题主要考查几何概型的概率计算,属于基础题.设随机取出的两个数分别为x ,y ,建立条件关系,利用几何概型的概率公式即可得到结论. 解:设取出两个数为x ,y ;则{0<x <10<y <1,若这两数之和小于25,则有{0<x <10<y <1x +y <25,根据几何概型,原问题可以转化为求不等式组{0<x <10<y <1x +y <25表示的区域与{0<x <10<y <1表示区域的面积之比问题, 易得其概率为12×25×251×1=225.故选:B .10.答案:B解析:解:设球的半径为R ,球心为O ,如图所示,∵球O的表面积是24π,∴4πR2=24π,解得R=√6.设△ABC的外心为O1,外接圆的半径为r,则O1B=r=12×4sinπ3=√3,∴OO1=√OB2−O1B2=√63.∴O1S=4√63.在△ABC中,由余弦定理可得:16=b2+c2−2bccosπ3,化为b2+c2=bc+16≥2bc,∴bc≤16,当且仅当b=c=4时取等号.∴三棱锥S−ABC的体积V=13×12bcsinπ3×4√63≤2√69×√32×16=16√23,故选:B.设球的半径为R,球心为O,如图所示,由球O的表面积是24π,可得4πR2=24π,解得R.设△ABC的外心为O1,外接圆的半径为r,则O1B=r=12×4sinπ3=√3可得OO1=√OB2−O1B2=√63,O1S=4√63.在△ABC中,由余弦定理可得:16=b2+c2−2bccosπ3,利用基本不等式的性质可得bc≤16,利用三棱锥P−ABC的体积V=13×12bcsinπ3×4√63,即可得出.本题考查了三棱锥外接球的性质、勾股定理、三棱锥的体积计算公式、正弦定理余弦定理、基本不等式的性质,考查了推理能力与计算能力,属于中档题.11.答案:B解析:本题主要考查正弦定理、余弦定理的应用,判断四边形ABCD 为圆内接四边形,是解题的关键,属于中档题.由题意可得,四边形ABCD 为圆内接四边形,AC 的最大值为直径.根据AB =AD =2,可得∠BAC =60°,∠ACB =30°,∠ABC =90°.△ABC 中,由正弦定理求得AC 的值.∵四边形ABCD 中,∠BAD =120°,∠BCD =60°,∴四边形ABCD 为圆内接四边形, 故AC 的最大值为直径.∵AB =AD =2,∴∠BAC =12∠BAD =60°,∠ACB =12∠BCD =30°,∴∠ABC =90°. △ABC 中,由正弦定理可得AC sin90°=AB sin30°=212,∴AC =4,故选B .12.答案:B解析:解:因为矩形ABCD 的周长为4,设BC =x(0<x <2),则AB =2−x , 所以将周长为4的矩形ABCD 绕AB 旋转一周所得圆柱的体积为: V(x)=πx 2(2−x)=π(2x 2−x 3),(0<x <2), 则V′(x)=π(4x −3x 2),令V′(x)=0,解得x =43, 当0<x <43时,V′(x)>0,则V(x)单调递增, 当43<x <2时,V′(x)<0,则V(x)单调递减,所以当x =43,即BC =43,AB =23时,V(x)取得最大值V(43)=32π27,所以将周长为4的矩形ABCD 绕AB 旋转一周所得圆柱体积最大时,AB 长为23. 故选:B .设BC =x ,则AB =2−x ,利用圆柱的体积公式,表示出圆柱的体积,再利用导数求解最值即可. 本题考查了导数在几何中的应用,解题的关键是列出圆柱体积的表达式,考查了逻辑推理能力与化简计算能力,属于中档题.13.答案:300解析:解:当x =1时,100=alog 22,所a =100,所以y =100log 2(x +1).当x =7时,y =100log 2(7+1)=300. 故答案为:300.根据这种动物第1年有100只,先确定函数解析式,再计算第7年的繁殖数量. 本题考查学生对函数解析式的理解,考查运算能力,属于基础题.14.答案:4 √2 解析:解:∵cos <a ⃗ ,b ⃗ >=a⃗ ⋅b ⃗ |a ⃗ ||b⃗ |=√22,且<a ⃗ ,b ⃗ >∈[0,π],∴a ⃗ 与b ⃗ 夹角的大小为π4;∵|a ⃗ −x b ⃗ |=√(a ⃗ −x b ⃗ )2=√x 2−√2x +1=√22)12,∴x =√22时,|a ⃗ −x b ⃗ |取最小值√22.故答案为:π4,√22.根据条件可求出cos <a ⃗ ,b ⃗ >的值,进而可得出a ⃗ ,b ⃗ 夹角的大小;可求出|a ⃗ −x b ⃗ |=√x 2−√2x +1然后配方即可求出|a ⃗ −x b ⃗ |的最小值.本题考查了向量夹角的余弦公式,向量长度的求法,向量数量积的运算,配方求二次函数最值的方法,考查了计算能力,属于基础题.15.答案:−140解析:解:由T r+1=C 7r ⋅(12)7−r ⋅(−4x)r =(−4)r ⋅(12)7−r ⋅C 7r⋅x r . 取r =3,可得(12−4x)7的展开式中x 3的系数为(−4)3×(12)4×C 73=−140. 故答案为:−140.写出二项展开式的通项,由x 得指数为3求得r 值,则答案可求. 本题考查二项式系数的性质,关键是熟记二项展开式的通项,是基础题.16.答案:②④解析:解:对于①,设t =x 2+2≥2,则y =t +1t −2在[2,+∞)上单调递增, 从而y min =2+12−2=12,即f(x)的最小值为12,故①是假命题;对于②,由x 2≠4,得x ≠±2,则“若x 2=4,则x =2”的否命题是真命题,故②是真命题; 对于③,当a =b =0时,b 2=ac =0,此时,a ,b ,c 不能构成等比数列,故③是假命题; 对于④,因为A ,B 是△ABC 的内角,所以0<A +B <π, 又因为sinA >sinB ,所以A >B ,则BC >AC ,故④是真命题. 故答案为:②④.利用换元法以及函数的单调性求解最小值判断①;写出否命题,判断真假,判断②;反例判断③;正弦定理判断④.本题考查命题的真假的判断与应用,考查四种命题的逆否关系,正弦定理以及等比数列的判断,函数的性质的应用,的中档题.17.答案:解:(1)等差数列{a n }满足:a 3=7,a 5+a 7=26,则:{a 3=7a 5+a 7=26,解得a 1=3,d =2.所以a n =3+2(n −1)=2n +1. S n =3n +n(n−1)2⋅2=n 2+2n .(2)由(1)可知,S n =n 2+2n , 则1S n=12(1n −1n+2),所以T n =1S 1+1S 2+⋯+1Sn−1+1S n,=12(1−13+12−14+13−15+⋯+1n−1−1n+1+1n −1n+2), =12(1+12−1n+1−1n+2), =34−12(1n+1+1n+2).解析:(1)直接利用已知条件求出数列的通项公式和数列的和. (2)利用数列的和公式,进一步利用裂项相消法求出数列的和.本题考查的知识要点:数列的通项公式的求法及应用,裂项相消法的应用.18.答案:解:(Ⅰ)由题意知本题是一个分步计数问题,第一步在4个偶数中取3个,有C 43种结果, 第二步在5个奇数中取4个,有C 54种结果,第三步得到的7个数字进行排列有A 77种结果,∴符合题意的七位数有C 43C 54A 77=100800.(Ⅱ)上述七位数中,三个偶数排在一起可以把三个偶数看成一个元素进行排列,三个元素之间还有一个排列,有C 43C 54A 55A 33=14400.(Ⅲ)上述七位数中,3个偶数排在一起有A 33种情况,4个奇数也排在一起有A 44种情况, 共有C 43C 54A 33A 44A 22=5760个.解析:(Ⅰ)本题是一个分步计数问题,第一步在4个偶数中取3个,有C43种结果,第二步在5个奇数中取4个,有C54种结果,第三步得到的7个数字进行排列有A77种结果,根据分步计数原理得到结果.(Ⅱ)上述七位数中三个偶数排在一起可以把三个偶数看成一个元素进行排列,三个元素之间还有一个排列,得到结果.(Ⅲ)由(1)第一、二步,将3个偶数排在一起,有A33种情况,4个奇数也排在一起有A44种情况,将奇数与偶数进行全排列计算可得答案.本题考查排列组合及简单计数问题,本题解题的关键是对于要求相邻的元素要采用捆绑法,对于不相邻的元素要采用插空法,本题是一个比较典型的排列组合问题19.答案:证明:(1)∵平面ABEF⊥平面ABCD,AF⊥AB,AF⊂平面ABEF,平面ABEF∩平面ABCD= AB,∴AF⊥平面ABCD,又BD⊂平面ABCD,∴AF⊥BD,∵四边形ABCD为菱形,∴BD⊥AC,又AF∩AC=A,∴BD⊥平面AFC;解:(2)该几何体是由三棱锥F−ADC与四棱锥C−ABEF组合而成,由AF//BE,AF⊥AB,得BE⊥AB,又平面ABEF⊥平面ABCD,∴C到AB的距离等于C到平面ABEF的距离.设A到CD的距离为d,则C到AB的距离也是d,又AB=BE=2AF=2,多面体ABCDEF的体积为4√33,∴V F−ADC+V C−ABEF=13×12×d×2×1+13×12×(1+2)×2×d=4√33,解得d=√3,则sin∠ADC=dAD =√32,又∠ADC为锐角,可得∠ADC=π3.解析:(1)由已知结合面面垂直的性质可得AF⊥平面ABCD,则AF⊥BD,再由四边形ABCD为菱形,得BD⊥AC,由直线与平面垂直的判定可得BD⊥平面AFC;(2)由多面体的体积求出A到线段CD的距离,求解直角三角形可得∠ADC的大小.本题考查直线与平面垂直的判定,考查空间想象能力与思维能力,训练了多面体体积的求法,是中档题.20.答案:解:(1)由椭圆的左、右顶点分别为A 1(2,0),A 2(2,0),右准线方程为x =4,则a =2,a 2c=4,则c =1,b 2=a 2−c 2=3, ∴椭圆方程:x 24+y 23=1①,(2)设直线A 1D :y =k(x +2)(k >0)②, 则与右准线x =4的交点D(4,6k), 又A 2(2,0),∴设直线A 2D :y =3k(x −2),联立①得, {y =3k (x −2)x 24+y 23=1,解得:G(24k 2−21+12k 2,−12k 1+12k 2), 则直线OG 的斜率为k OG =−6k12k 2−1③, ∵OG ⊥A 1D ,故−6k12k 2−1·k =−1, 又k >0,解得k =√66,则直线A 1D :y =√66(x +2)(3)由(2)中③知,设直线OG :y =−6k12k 2−1x , 联立②得,{y =−6k12k 2−1x x 24+y 23=1,解得:H(−24k 2+212k 2+5,12k 12k 2+5), 联立①②得,{y =k (x +2)x 24+y 23=1,解得P(6−8k 23+4k 2,12k 3+4k 2), ∵A 1H ⃗⃗⃗⃗⃗⃗⃗⃗ =λA 1P ⃗⃗⃗⃗⃗⃗⃗ ,∴(x H +2,y H )=λ(x P +2,y P ),则y H =λy P , λ=y H y P=12k12k 2+512k 3+4k 2=3+4k 212k 2+5=112k 2+9−43+4k 2=13−43+4k 2,∵f(k)在(0,+∞)为减函数, ∴λ∈(13,35).解析:本题考查椭圆的标准方程及简单几何性质,直线与椭圆的位置关系,考查向量的坐标运算,考查函数的最值,考查计算能力,属于中档题.(1)由题意可知a=2,a2c=4,则c=1,b2=a2−c2=3,,求得椭圆方程;(2)求得椭圆的准线方程,设P,求得PA和PB的方程,代入椭圆方程,求得M和N点坐标,根据向量数量积的坐标运算,即可求得λ=λ=y Hy P =12k12k2+512k3+4k2=3+4k212k2+5=112k2+9−43+4k2=13−43+4k2,根据函数的性质即可求得λ的取值范围.21.答案:(Ⅰ)(Ⅱ)解析:试题分析:解:(Ⅰ),,∴.(Ⅱ)∵又∵f(1)=∴切线方程为考点:导数的应用点评:导数常应用于求曲线的切线方程、求函数的最值与单调区间、证明不等式和解不等式中参数的取值范围等。
2021届高三数学上学期第一次摸底试题(含解析)注意事项:1、答卷前,考生务必将自己的姓名、准考证号填写在答题卡上.2、回答选择题时,选出每小题答案后,用2B铅笔把答题卡上对应题目的答案标号涂黑.如需改动,用橡皮擦干净后,再选涂其它答案标号.回答非选择题时,将答案写在答题卡上,写在本试卷上无效.3、考试结束后,将本试卷和答题卡一并交回.一、选择题:本题共8小题,每小题5分,共40分.在每小题给出的四个选项中,只有一项是符合题目要求的.1. 已知集合,,则()A. B.C. D.【答案】B【解析】【分析】解一元二次不等式可得集合,再求交集即可.【详解】因为,,所以,故选:B.【点睛】本题主要考查集合的交集运算,涉及一元二次不等式的解法,属于基础题.2. 若复数z满足,则()A. B. C. D. 2【答案】B【解析】【分析】根据复数z满足,利用复数的除法得到,再利用求模公式求解.【详解】因为复数z满足,所以,所以,故选:B【点睛】本题主要考查复数的运算和复数的模,属于基础题. 3. 特岗教师是中央实施的一项对中西部地区农村义务教育的特殊政策.某教育行政部门为本地两所农村小学招聘了6名特岗教师,其中体育教师2名,数学教师4名.按每所学校1名体育教师,2名数学教师进行分配,则不同的分配方案有()A. 24B. 14C. 12D. 8【答案】C【解析】【分析】先把4名数学教师平分为2组,再把2名体育教师分别放入这两组,最后把这两组教师分配到两所农村小学,即可计算出结果.【详解】先把4名数学教师平分为2组,有种方法,再把2名体育教师分别放入这两组,有种方法,最后把这两组教师分配到两所农村小学,共有种方法.故选:C.【点睛】本题考查计数原理和排列组合应用,属于基础题.4. 居民消费价格指数是反映一定时期内城乡居民所购买的生活消费品和服务项目价格变动趋势和程度的相对数,是对城市居民消费价格指数和农村居民消费价格指数进行综合汇总计算的结果.通过该指数可以观察和分析消费品的零售价格和服务项目价格变动对城乡居民实际生活费支出的影响程度.如图,是疫情期间我国的居民消费价格指数与食品类居民消费价格指数折线图,据此图,下列分析中不合理的是()A. 居民消费价格指数变化幅度相对不大B. 食品类居民消费价格指数变化幅度相对较大C. 食品类居民消费价格指数高于居民消费价格指数D. 食品类居民消费价格指数与居民消费价格指数的变化趋势很不一致【答案】D【解析】【分析】根据折线图,逐个分析选项即可得选项合理,选项不合理.【详解】对于选项:由折线图可知,居民消费价格指数线比较平缓,所以居民消费价格指数变化幅度相对不大,所以选项合理;对于选项:由折线图可知,食品类居民消费价格指数线起伏较大,所以品类居民消费价格指数变化幅度相对较大,所以选项合理;对于选项:由折线图可知,食品类居民消费价格指数线一直在居民消费价格指数线上方,所以食品类居民消费价格指数高于居民消费价格指数,所以选项合理;对于选项:食品类居民消费价格指数与居民消费价格指数的变化趋势大致一致,所以选项不合理,故选:D【点睛】本题主要考查了对统计折线图的分析和理解能力,意在考查学生对该知识的理解掌握水平..5. 下图是一个正方体的展开图,则在该正方体中()A. 直线与直线平行B. 直线与直线相交C. 直线与直线异面垂直D. 直线与直线异面且所成的角为60°【答案】D【解析】【分析】首先画出正方体的展开图的立体图,从而得到直线与直线为异面直线,再求异面直线所成角即可得到答案.【详解】正方体的展开图的立体图形如图所示:由图知:直线与直线为异面直线,故A,B错误;连接,,因为,所以或其补角为异面直线与所成角.又因为为等边三角形,所以.所以直线与直线异面且所成的角为60°,故C错误,D正确.故选:D【点睛】本题主要考查异面直线成角问题,属于简单题.6. 已知,若,则()A. B. C. D.【答案】A【解析】【分析】根据增函数加增函数是增函数和奇函数定义可知函数是增函数且是奇函数,即有,得到,即可解得.【详解】因为均为增函数,所以是增函数,又因为,所以函数是奇函数,化为,所以即.故选:A【点睛】本题考查了判断函数的单调性、奇偶性,解题中需要根据增函数加增函数是增函数和奇函数定义判断,属于基本题型,关键是要准确掌握基本初等函数的单调性和指数的运算性质.7. 已知,都是单位向量,满足,则()A. B. C. D.【答案】A【解析】【分析】首先根据得到,从而得到,,再计算即可.【详解】因为,所以,得到.因为,,所以.故选:A【点睛】本题主要考查平面向量的夹角公式,熟记公式为解题关键,属于简单题.8. 已知,则()A. 的值域为B. 在上单调C. 为的周期D. 为图像的对称中心【答案】D【解析】【分析】化为分段函数,根据三角函数的性质进而逐一分析各个答案的正误,可得结论.【详解】∵,函数的值域为,故A错误;在区间上单调递增,在上单调递减,故B错误;的周期为,故C错误;因为,,所以为图象的对称中心,故D正确;故选:D.【点睛】本题主要以命题的真假判断与应用为载体,考查了三角函数的图象和性质,属于中档题.二、选择题:本题共4小题,每小题5分,共20分.在每小题给出的选项中,有多项符合题目要求.全部选对的得5分,有选错的得0分,部分选对的得3分.9. 设,,则()A. B. C. D.【答案】CD【解析】【分析】根据指数函数,对数函数,幂函数的单调性可判断.【详解】对于A,当时,单调递减,所以由可得,故A错误;对于B,当时,单调递减,所以由可得,故B错误;对于C,当时,在单调递增,由可得,故C正确;对于D,当时,单调递减,所以由可得,则,即,故D正确.故选:CD.【点睛】本题考查利用指数函数、对数函数、幂函数的单调性判断大小,属于基础题.10. 若的展开式中的系数是,则()A. B. 所有项系数之和为1C. 二项式系数之和为D. 常数项为【答案】ABC【解析】【分析】首先根据展开式中的系数是得到,从而判断A正确,令得到所有项系数之和为,从而判断B正确,根据二项式系数之和为,从而判断C正确,根据的常数项为,从而判断D错误.【详解】对选项A,的展开式中项为,所以,解得,故A正确;由A知:,令,所有项系数之和为,故B正确;对选项C,二项式系数之和为,故C正确;对选项D,的常数项为,故D错误.【点睛】本题主要考查二项式的定理的各项系数之和,项的系数之和,常数项,属于中档题.11. 已知双曲线的一条渐近线,设,是C的左右焦点,点P在l上,且,O为坐标原点,则()A. C的虚轴长为B.C. D. 的面积为【答案】ABD【解析】【分析】求出双曲线的标准方程和基本量,根据双曲线的定义及直角三角形的有关性质逐一选择..【详解】由渐近线,可得,,,所以虚轴长,A正确;由,为直角三角形,B正确;因为点P不在双曲线上,根据双曲线的定义,C不正确;由渐近线,知,,,D正确.【点睛】本题考查由根据渐近线方程确定双曲线的基本量,同时考查双曲线的定义,属于基础题.12. 已知.()A. 的零点个数为4B. 的极值点个数为3C. x轴为曲线的切线D. 若,则【答案】BC【解析】【分析】首先根据得到,分别画出和的图像,从而得到函数的单调性和极值,再依次判断选项即可得到答案.【详解】,令,得到.分别画出和的图像,如图所示:由图知:有三个解,即有三个解,分别为,,.所以,,为增函数,,,为减函数,,,为增函数,,,为减函数.所以当时,取得极大值为,当时,取得极小值为,当时,取得极大值为,所以函数有两个零点,三个极值点,A错误,B正确.因为函数的极大值为,所以轴为曲线的切线,故C正确.因为在为增函数,为减函数,所以存在,满足,且,显然,故D错误.故选:BC【点睛】本题主要考查导数的综合应用,考查利用导数研究函数的零点,极值点和切线,属于难题.三、填空题:本题共4小题,每小题5分,共20分.13. 已知x,y满足约束条件,则的最小值为_______.【答案】2【解析】【分析】作出不等式组对应的平面区域,利用的几何意义即可得到结论.【详解】由,得,作出不等式组对应的平面区域如图:由图象可知当直线过点时,直线的在轴的截距最小,此时最小,由,解得,此时,故答案为:2【点睛】本题主要考查线性规划的应用,利用数形结合是解决线性规划题目的常用方法.14. 已知等差数列的公差不为零,若,,成等比数列,则______.【答案】0【解析】【分析】设等差数列的公差为,,根据,,成等比数列,得到,再根据等差数列的通项公式可得结果.【详解】设等差数列的公差为,,因为,,成等比数列,所以,所以,整理得,因为,所以,所以.故答案为:0.【点睛】本题考查了等比中项,考查了等差数列通项公式基本量的运算,属于基础题.15. F是抛物线的焦点,P是C上且位于第一象限内的点,点P在C的准线上的射影为Q,且,则外接圆的方程为_____.【答案】【解析】【分析】由题可判断为直角三角形,即外接圆的圆心为中点,求出圆心和半径即可写出圆的方程.【详解】由抛物线方程可知焦点,准线方程为,,,即,则,,,即为直角三角形,外接圆的圆心为中点,即圆心为,半径为,外接圆的方程为.故答案为:.【点睛】本题考查抛物线的简单性质,考查圆的方程的求解,属于基础题.16. 己知四棱台中,上、下底面都是正方形,下底面棱长为2,其余各棱长均为1,则该四棱台的外接球的表面积为____________.【答案】【解析】【分析】画出如图的图形,根据直角三角形计算出相关量,由此计算出外接球的半径,即可求出球表面积.【详解】如图,在四棱台中,连接,设,,连接并延长到点O,设O为四棱台外接球心,连接,在平面中,作,垂足为,则,在直角三角形中,,,在直角三角形中,,在直角三角形中,,,,解得,,该四棱台的外接球的表面积为.故答案为:【点睛】本题考查几何体外接球问题,属于中档题.四、解答题:本题共6小题,共70分.解答应写出文字说明、证明过程或演算步骤.17. 在中,角的对边分别为,.有以下3个条件:①;②;③.请在以上3个条件中选择一个,求面积的最大值.注:如果选择多个条件分别解答,按第一个解答计分.【答案】答案见解析.【解析】【分析】若选择①:利用正弦定理得到,再利用以及两角和与差的正弦公式得到,最后利用三角形的面积公式求解即可;若选择②:利用正弦定理得到,再利用以及两角和的正弦公式得到,再利用余弦定理以及三角形的面积公式求解即可;若选择③:先利用基本不等式得到,再利用余弦定理得到,最后利用三角形的面积公式求解即可.【详解】若选择①:由正弦定理得:可将化为:,又,所以,所以,即,,,,所以(当时取到等号),所以面积的最大值为2.若选择②:由正弦定理可将化:,又,所以,所以,即,,又,,又由余弦定理可得:(当且仅当时取等号),,所以面积的最大值为.若选择③:因为,所以,(当且仅当时取等号),又由余弦定理得:(当且仅当时取等号),,(当且仅当时取等号),所以面积的最大值为.【点睛】本题主要考查了利用正弦定理和余弦定理以及三角形的面积公式解三角形.属于中档题.18. 在数列中,,,.(1)证明为等比数列;(2)求.【答案】(1)证明见解析;(2).【解析】【分析】(1)由,构造出的关系,然后利用等比数列的通项公式即可求解.(2)由(1)得,利用累加法求解通项即可【详解】解:(1)由得,又,所以是以1为首项,以2为公比等比数列.(2)由(1)得,所以,.所以时,..因此,.当时,也满足上式,故.【点睛】本题考查利用构造法和累加法求数列的通项公式问题,属于一般题19. 在四棱锥中,底面,底面是边长为2的菱形,,E是的中点.(1)求证:平面平面;(2)直线与平面所成角为45°,求二面角的余弦值.【答案】(1)证明详见解析;(2).【解析】【分析】(1)利用线面垂直证明面面垂直;(2)建立空间直角坐标系,用两个平面的法向量求面面角即可.【详解】(1)连接,由题意可知是等边三角形,又E 是的中点,所以;由底面,底面,所以,且,所以,平面,且平面,所以平面平面.(2)由(1)可知,在平面上的射影为,所以直线与平面所成角为.在中,.所以,在中,,.以E为原点,的方向为x轴正方向,的方向为y轴正方向,为单位长,建立如图所示的空间直角坐标系.由题设可得,,,所以,.设是平面的法向量,则,得,可取.由(1)知是平面的一个法向量,则.所以二面角的余弦值为.【点睛】本题考查了面面垂直的判断方法,考查了利用空间向量求面面角的问题.20. 田忌赛马的故事出自《史记》中的《孙子吴起列传》.齐国的大将田忌很喜欢赛马,有一回,他和齐威王约定,要进行一场比赛.双方各自有三匹马,马都可以分为上,中,下三等.上等马都比中等马强,中等马都比下等马强,但是齐威王每个等级的马都比田忌相应等级的马强一些,比赛共三局,每局双方分别各派一匹马出场,且每匹马只赛一局,胜两局或三局的一方获得比赛胜利,在比赛之前,双方都不知道对方马的出场顺序.(1)求在第一局比赛中田忌胜利的概率:(2)若第一局齐威王派出场的是上等马,而田忌派出场的是下等马,求本场比赛田忌胜利的概率;(3)写出在一场比赛中田忌胜利的概率(直接写出结果).【答案】(1);(2);(3).【解析】【分析】(1)首先将田忌的三匹马按照上、中、下三等分别记为、、,齐威王的三匹马按照上、中、下三等分别记为、、,列出第一局双方参赛的马匹的全部情况,再找到田忌胜利的情况,即可得到答案.(2)首先设事件“第一局齐威王派出场的是上等马,而田忌派出场的是下等马”,事件“田忌获得本场比赛胜利”,列举出事件,的个数,利用条件概率公式即可的得到答案.(3)根据题意直接写出答案即可.【详解】将田忌的三匹马按照上、中、下三等分别记为、、,齐威王的三匹马按照上、中、下三等分别记为、、,并且用马的记号表示该马上场比赛.(1)设事件“第一局双方参赛的马匹”,事件“在第一局比赛中田忌胜利”,由题意得,,则在第一局比赛中田忌胜利的概率是.(2)设事件“第一局齐威王派出场的是上等马,而田忌派出场的是下等马”,事件“田忌获得本场比赛胜利”,由题意得,,则本场比赛田忌胜利的概率是.(3)【点睛】本题主要考查古典概率的求法,同时考查了条件概率,考查学生分析问题的能力,属于中档题.21. 已知椭圆的离心率为,直线交于,两点;当时,.(1)求E的方程;(2)设A在直线上的射影为D,证明:直线过定点,并求定点坐标.【答案】(1);(2)证明见解析,定点.【解析】【分析】(1)首先根据题意得到,椭圆过点,从而得到,,即可得到椭圆的标准方程.(2)首先设,,则,联立椭圆与直线得到,利用根系关系得到,再写出直线,利用根系关系即可得到定点.【详解】(1)由题意得,整理得,由时,,得到椭圆过点,得.因此,,故的方程是.(2)设,,则.将代入得,,,.从而①.直线,设直线与x轴的交点为,则,.所以,将①式代入上式可得.故直线过定点.【点睛】本题第一问考查椭圆的标准方程,第二问考查直线与椭圆的位置关系,同时考查学生的计算能力,属于中档题. 22. 已知,函数.(1)求函数的最小值;(2)若,证明,.(提示:)【答案】(1);(2)证明见解析.【解析】【分析】(1)利用导数分析函数的单调性,进而可求得函数的最小值;(2)构造函数,利用导数证得,由此可证得所证不等式成立.【详解】(1),该函数的定义域为,则,.当时,,函数单调递减;当时,,函数单调递增,因此,函数的最小值为;(2)令,则.由(1)得,当时,,即,即,所以,当时,,函数单调递减;当时,,函数单调递增,所以的最小值为.由(1)得时,,所以,等号当且仅当时成立,所以当,时,有,即,所以.故原不等式得证.【点睛】本题考查利用导数求解函数的最值,同时也考查了利用导数证明函数不等式,考查计算能力与推理能力,属于中等题.2021届高三数学上学期第一次摸底试题(含解析)注意事项:1、答卷前,考生务必将自己的姓名、准考证号填写在答题卡上.2、回答选择题时,选出每小题答案后,用2B铅笔把答题卡上对应题目的答案标号涂黑.如需改动,用橡皮擦干净后,再选涂其它答案标号.回答非选择题时,将答案写在答题卡上,写在本试卷上无效.3、考试结束后,将本试卷和答题卡一并交回.一、选择题:本题共8小题,每小题5分,共40分.在每小题给出的四个选项中,只有一项是符合题目要求的.1. 已知集合,,则()A. B.C. D.【答案】B【解析】【分析】解一元二次不等式可得集合,再求交集即可.【详解】因为,,所以,故选:B.【点睛】本题主要考查集合的交集运算,涉及一元二次不等式的解法,属于基础题.2. 若复数z满足,则()A. B. C. D. 2【答案】B【解析】【分析】根据复数z满足,利用复数的除法得到,再利用求模公式求解.【详解】因为复数z满足,所以,所以,故选:B【点睛】本题主要考查复数的运算和复数的模,属于基础题.3. 特岗教师是中央实施的一项对中西部地区农村义务教育的特殊政策.某教育行政部门为本地两所农村小学招聘了6名特岗教师,其中体育教师2名,数学教师4名.按每所学校1名体育教师,2名数学教师进行分配,则不同的分配方案有()A. 24B. 14C. 12D. 8【答案】C【解析】【分析】先把4名数学教师平分为2组,再把2名体育教师分别放入这两组,最后把这两组教师分配到两所农村小学,即可计算出结果.【详解】先把4名数学教师平分为2组,有种方法,再把2名体育教师分别放入这两组,有种方法,最后把这两组教师分配到两所农村小学,共有种方法.故选:C.【点睛】本题考查计数原理和排列组合应用,属于基础题.4. 居民消费价格指数是反映一定时期内城乡居民所购买的生活消费品和服务项目价格变动趋势和程度的相对数,是对城市居民消费价格指数和农村居民消费价格指数进行综合汇总计算的结果.通过该指数可以观察和分析消费品的零售价格和服务项目价格变动对城乡居民实际生活费支出的影响程度.如图,是疫情期间我国的居民消费价格指数与食品类居民消费价格指数折线图,据此图,下列分析中不合理的是()A. 居民消费价格指数变化幅度相对不大B. 食品类居民消费价格指数变化幅度相对较大C. 食品类居民消费价格指数高于居民消费价格指数D. 食品类居民消费价格指数与居民消费价格指数的变化趋势很不一致【答案】D【解析】【分析】根据折线图,逐个分析选项即可得选项合理,选项不合理.【详解】对于选项:由折线图可知,居民消费价格指数线比较平缓,所以居民消费价格指数变化幅度相对不大,所以选项合理;对于选项:由折线图可知,食品类居民消费价格指数线起伏较大,所以品类居民消费价格指数变化幅度相对较大,所以选项合理;对于选项:由折线图可知,食品类居民消费价格指数线一直在居民消费价格指数线上方,所以食品类居民消费价格指数高于居民消费价格指数,所以选项合理;对于选项:食品类居民消费价格指数与居民消费价格指数的变化趋势大致一致,所以选项不合理,故选:D【点睛】本题主要考查了对统计折线图的分析和理解能力,意在考查学生对该知识的理解掌握水平..5. 下图是一个正方体的展开图,则在该正方体中()A. 直线与直线平行B. 直线与直线相交C. 直线与直线异面垂直D. 直线与直线异面且所成的角为60°【答案】D【解析】【分析】首先画出正方体的展开图的立体图,从而得到直线与直线为异面直线,再求异面直线所成角即可得到答案.【详解】正方体的展开图的立体图形如图所示:由图知:直线与直线为异面直线,故A,B错误;连接,,因为,所以或其补角为异面直线与所成角.又因为为等边三角形,所以.所以直线与直线异面且所成的角为60°,故C错误,D正确.故选:D【点睛】本题主要考查异面直线成角问题,属于简单题.6. 已知,若,则()A. B. C. D.【答案】A【解析】【分析】根据增函数加增函数是增函数和奇函数定义可知函数是增函数且是奇函数,即有,得到,即可解得.【详解】因为均为增函数,所以是增函数,又因为,所以函数是奇函数,化为,所以即.故选:A【点睛】本题考查了判断函数的单调性、奇偶性,解题中需要根据增函数加增函数是增函数和奇函数定义判断,属于基本题型,关键是要准确掌握基本初等函数的单调性和指数的运算性质.7. 已知,都是单位向量,满足,则()A. B. C. D.【答案】A【解析】【分析】首先根据得到,从而得到,,再计算即可.【详解】因为,所以,得到.因为,,所以.故选:A【点睛】本题主要考查平面向量的夹角公式,熟记公式为解题关键,属于简单题.8. 已知,则()A. 的值域为B. 在上单调C. 为的周期D. 为图像的对称中心【答案】D【解析】【分析】化为分段函数,根据三角函数的性质进而逐一分析各个答案的正误,可得结论.【详解】∵,函数的值域为,故A错误;在区间上单调递增,在上单调递减,故B错误;的周期为,故C错误;因为,,所以为图象的对称中心,故D正确;故选:D.【点睛】本题主要以命题的真假判断与应用为载体,考查了三角函数的图象和性质,属于中档题.二、选择题:本题共4小题,每小题5分,共20分.在每小题给出的选项中,有多项符合题目要求.全部选对的得5分,有选错的得0分,部分选对的得3分.9. 设,,则()A. B. C. D.【答案】CD【解析】【分析】根据指数函数,对数函数,幂函数的单调性可判断.【详解】对于A,当时,单调递减,所以由可得,故A错误;对于B,当时,单调递减,所以由可得,故B错误;对于C,当时,在单调递增,由可得,故C正确;对于D,当时,单调递减,所以由可得,则,即,故D正确.故选:CD.【点睛】本题考查利用指数函数、对数函数、幂函数的单调性判断大小,属于基础题.10. 若的展开式中的系数是,则()A. B. 所有项系数之和为1C. 二项式系数之和为D. 常数项为【答案】ABC【解析】【分析】首先根据展开式中的系数是得到,从而判断A正确,令得到所有项系数之和为,从而判断B正确,根据二项式系数之和为,从而判断C正确,根据的常数项为,从而判断D错误.【详解】对选项A,的展开式中项为,所以,解得,故A正确;由A知:,令,所有项系数之和为,故B正确;对选项C,二项式系数之和为,故C正确;对选项D,的常数项为,故D错误.故选:ABC【点睛】本题主要考查二项式的定理的各项系数之和,项的系数之和,常数项,属于中档题.11. 已知双曲线的一条渐近线,设,是C的左右焦点,点P在l上,且,O为坐标原点,则()A. C的虚轴长为B.C. D. 的面积为【答案】ABD【解析】【分析】求出双曲线的标准方程和基本量,根据双曲线的定义及直角三角形的有关性质逐一选择..【详解】由渐近线,可得,,,所以虚轴长,A正确;由,为直角三角形,B正确;因为点P不在双曲线上,根据双曲线的定义,C不正确;由渐近线,知,,,D正确.故选: ABD【点睛】本题考查由根据渐近线方程确定双曲线的基本量,同时考查双曲线的定义,属于基础题.。
2021年高考第一次联合模拟考试数学理试卷含答案第Ⅰ卷注意事项:第Ⅰ卷共12小题,每小题5分,共60分,在每小题给出的四个选项中,只有一项是符合题目要求的。
参考公式:如果事件A、B互斥,那么 P(A+B)=P(A)+P(B)如果事件A、B相互独立,那么P(A·B)=P(A)·P(B)如果事件A在一次试验中发生的概率是p,那么n次独立重复试验中事件A 恰好发生k次的概率(k=0,1,2,…,n)球的表面积公式S=4R,其中R表示球的半径球的体积公式V=,其中R表示球的半径一、选择题1. 已知集合A={x||x|≤2,x∈R},B={x|≤2,x∈Z},则A∩B=A. (0,2)B. [0,2]C. {0,2}D. {0,1,2}2. 若(a+4i)i=b+i(a,b∈R),i为虚数单位,则a+b=A. 3B. 5C. -3D. -53. 函数f(x)=3+sinx,x∈[0,1)的反函数的定义域是A. [0,1)B. [1,3+sin1)C. [0,4)D. [0,+ )4. 设S是等差数列{a}的前n项和,S=3(a+a),则的值为A. B. C. D.5. 已知函数y=2sin(2x+)(||<)的图象经过点(0,1),则该函数的一条对称轴方程为A. x=B. x=C. x=-D. x=-6. 已经双曲线x-my=m(m>0)的一条渐近线与直线2x-y+3=0垂直,则该双曲线的准线方程为A. x=B. x=C. x=D. x=7. 设(x-b)=b+bx+bx+…+bx,如果b+b=-6,则实数b的值为A. B. - C. 2 D. -28. 在△ABC中,D为BC边上的点,=+,则的最大值为A. 1B.C.D.9. 已知三棱锥S-ABC的所有顶点都在球O的球面上,SA⊥平面ABC,SA=2,AB=1,AC=2,∠BAC=60°,则球O的表面积为A. 4B. 12C. 16D. 6410. 定义在R上的函数y=f(x)是增函数,且函数y=f(x-3)的图象关于点(3,0)成中心对称,若s,t满足f(s-2s)≥-f(2t-t),则A. s≥tB. s<tC. |s-1|≥|t-1|D. s+t≥011. 设抛物线C的方程为y=4x,O为坐标原点,P为抛物线的准线与其对称轴的交点,过焦点F且垂直于x轴的直线交抛物线于M、N两点,若直线PM与ON相交于点Q,则cos∠MQN=A. B. - C. D. -12. 在8×8棋盘的64个方格中,共有由整数个小方格组成的大小或位置不同的正方形的个数为A. 64B. 128C. 204D. 408第Ⅱ卷注意事项:第Ⅱ卷共10小题,共90分。
甘肃省2021版高三上学期数学第一次联考试卷(I)卷姓名:________ 班级:________ 成绩:________一、单选题 (共10题;共20分)1. (2分)(2018·南宁模拟) 设全集,集合,,则()A .B .C .D .2. (2分)如图,F1和F2分别是双曲线的两个焦点,A和B是以O为圆心,以为半径的圆与该双曲线左支的两个交点,且是等边三角形,则该双曲线的离心率为()A .B .C .D .3. (2分) (2019高二下·金华期末) 设,是两个不重合的平面,l,m是空间两条不重合的直线,下列命题不正确的是()A . 若,,则B . 若,,则C . 若,,则D . 若,,则4. (2分) (2020高三上·四川月考) 已知点在表示的平面区域内,则的最小值为()A .B .C .D .5. (2分) (2017高二下·嘉兴期末) 两圆与的位置关系是()A . 内含B . 相交C . 相切D . 相离6. (2分)设实数,则的大小关系为()A .B .C .D .7. (2分) (2019高三上·成都月考) 已知函数,设方程的四个实根从小到大依次为,对于满足条件的任意一组实根,下列判断中一定成立的是()A .B .C .D .8. (2分) (2020高三上·宁海月考) 如图所示,平面平面,二面角,已知,,直线与平面,平面所成角均为,与所成角为,若,则的最大值是()A .B .C .D .9. (2分)(2020·海南模拟) 已知函数,则在上不单调的一个充分不必要条件可以是()A .B .C . 或D .10. (2分) (2018高三上·重庆期末) 已知关于的不等式存在唯一的整数解,则实数的取值范围是()A .B .C .D .二、填空题 (共7题;共7分)11. (1分) (2018高二下·龙岩期中) 是虚数单位,复数满足,则 =________.12. (1分)某几何体的三视图如图所示,则该几何体的体积为________13. (1分)如果C + C + C +…+ C = ,则(1+x)2n的展开式中系数最大的项为________.14. (1分) (2019高一下·上海月考) 在中,、、分别为角、、的对边,且,则角的取值范围是________.15. (1分)若A、B、C、D四人站成一排照相,A、B相邻的排法总数为k,则二项式的展开式中含x2项的系数为________.16. (1分) (2020高二上·温州期末) 设抛物线,点是抛物线的焦点,点在轴正半轴上(异于点),动点在抛物线上,若是锐角,则的范围为________.17. (1分) (2020高一下·浙江期末) 已知,,满足,存在实数m,对于任意x,y,使得恒成立,则m的最大值为________.三、解答题 (共5题;共50分)18. (10分) (2017高一上·扶余月考) 已知函数为定义域在上的增函数,且满足,(1)求,的值;(2)如果,求x的取值范围.19. (10分)(2017·邯郸模拟) 在三棱柱ABC﹣A1B1C1中,CA=CB,侧面ABB1A1是边长为2的正方形,点E,F分别在线段AAl , A1B1上,且AE= ,A1F= ,CE⊥EF,M为AB中点(1)证明:EF⊥平面CME;(2)若CA⊥CB,求直线AC1与平面CEF所成角的正弦值.20. (10分) (2020高一下·宁波期中) 设数列的前项和为,且,数列满足 .(1)求;(2)求数列的前n项和 .21. (10分)(2018·齐齐哈尔模拟) 设抛物线的顶点为坐标原点,焦点在轴的正半轴上,点是抛物线上的一点,以为圆心,2为半径的圆与轴相切,切点为 .(I)求抛物线的标准方程:(Ⅱ)设直线在轴上的截距为6,且与抛物线交于 , 两点,连接并延长交抛物线的准线于点 ,当直线恰与抛物线相切时,求直线的方程.22. (10分)(2017·新课标Ⅰ卷文) 已知函数 f(x)=ex(ex﹣a)﹣a2x.(12分)(1)讨论 f(x)的单调性;(2)若f(x)≥0,求a的取值范围.参考答案一、单选题 (共10题;共20分)答案:1-1、考点:解析:答案:2-1、考点:解析:答案:3-1、考点:解析:答案:4-1、考点:解析:答案:5-1、考点:解析:答案:6-1、考点:解析:答案:7-1、考点:解析:答案:8-1、考点:解析:答案:9-1、考点:解析:答案:10-1、考点:解析:二、填空题 (共7题;共7分)答案:11-1、考点:解析:答案:12-1、考点:解析:答案:13-1、考点:解析:答案:14-1、考点:解析:答案:15-1、考点:解析:答案:16-1、考点:解析:答案:17-1、考点:解析:三、解答题 (共5题;共50分)答案:18-1、答案:18-2、考点:解析:答案:19-1、答案:19-2、考点:解析:答案:20-1、答案:20-2、考点:解析:。
2021年高三上学期第一次模拟考试数学试题 Word 版含答案锥体的体积公式:,其中为底面积,为高.一、填空题(本大题共14小题,每小题5分,计70分. 不需写出解答过程,请把答案写在答题纸的指定位置上) 1.已知集合,,则= ▲ .2.已知复数(是虚数单位),则 ▲ .3.书架上有本数学书,本物理书,从中任意取出本, 则取出的两本书都是数学书的概率为 ▲ . 4.运行如图所示的伪代码,其结果为 ▲ . 5.某校高一年级有学生人,高二年级有学生人, 现采用分层抽样的方法从全校学生中抽出人,其中 从高一年级学生中抽出人,则从高三年级学生中抽 取的人数为 ▲ .6.在平面直角坐标系中,已知抛物线的顶点在坐标原点,焦点在轴上,若曲线经过点,则其焦点到准线的距离为 ▲ .7.已知实数满足则目标函数的最小值为 ▲ .8.设一个正方体与底面边长为,侧棱长为的正四棱锥的体积相等,则该正方体的棱长为 ▲ .9.在中,设分别为角的对边,若,,,则边= ▲ . 10.设是等比数列的前项和,,若 ,则的最小值为 ▲ .11.如图,在中,,,,则的值为 ▲ .12.过点的直线与圆相交于两点,若点恰好是线段的中点,则直线的方程为 ▲ .13.设是定义在上的奇函数,且,设 若函数有且只有一个零点,则实数的取值范围是S ←1For I From 1 To 7第4题ABCD第11题图▲ .14.设函数的图象上存在两点,使得是以为直角顶点的直角三角形(其中为坐标原点),且斜边的中点恰好在轴上,则实数的取值范围是 ▲ .二、解答题(本大题共6小题,计90分.解答应写出必要的文字说明,证明过程或演算步骤,请把答案写在答题纸的指定区域内) 15.(本小题满分14分)设函数()sin()(0,0,,)22f x A x A x R ππωϕωϕ=+>>-<<∈的部分图象如图所示.(1)求函数的解析式; (2)当时,求的取值范围.16.(本小题满分14分)如图,已知直三棱柱的侧面是正方形,点是侧面的中心,,是棱的中点. (1)求证:平面; (2)求证:平面平面.17.(本小题满分14分)如图所示,是两个垃圾中转站,在的正东方向千米处,的南面为居民生活区. 为了妥善第15题图ACBMOA 1C 1B 1第16题图处理生活垃圾,政府决定在的北面建一个垃圾发电厂. 垃圾发电厂的选址拟满足以下两个要求(可看成三个点):①垃圾发电厂到两个垃圾中转站的距离与它们每天集中的生活垃圾量成反比,比例系数相同;②垃圾发电厂应尽量远离居民区(这里参考的指标是点到直线的距离要尽可能大). 现估测得两个中转站每天集中的生活垃圾量分别约为吨和吨,问垃圾发电厂该如何选址才能同时满足上述要求?18.(本小题满分16分)如图,在平面直角坐标系中,设点是椭圆上一点,从原点向圆作两条切线分别与椭圆交于点,直线的斜率分别记为.(1)若圆与轴相切于椭圆的右焦点,求圆的方程; (2)若.①求证:; ②求的最大值.B A ··居民生活区 第17题图北第18题图19.(本小题满分16分)已知函数在处的切线方程为.(1)求的值;(2)若对任意的,都有成立,求的取值范围;(3)若函数的两个零点为,试判断的正负,并说明理由.20.(本小题满分16分)设数列共有项,记该数列前项中的最大项为,该数列后项中的最小项为,.(1)若数列的通项公式为,求数列的通项公式;(2)若数列满足,,求数列的通项公式;(3)试构造一个数列,满足,其中是公差不为零的等差数列,是等比数列,使得对于任意给定的正整数,数列都是单调递增的,并说明理由.南京市、盐城市xx届高三年级第一次模拟考试数学附加题部分(本部分满分40分,考试时间30分钟)21.(在A、B、C、D四小题中只能选做2题,每小题10分,计20分.请把答案写在答题纸的指定区域内)A.(选修4—1:几何证明选讲)如图,为⊙的直径,直线与⊙相切于点,,,、为垂足,连接. 若,,求的长.CDB.(选修4—2:矩阵与变换)设矩阵的一个特征值为,若曲线在矩阵变换下的方程为,求曲线的方程.C.(选修4—4:坐标系与参数方程)在极坐标系中,已知点的极坐标为,圆的极坐标方程为,试判断点和圆的位置关系.D.(选修4—5:不等式选讲)已知正实数满足.(第22、23题,每小题10分,计20分.请把答案写在答题纸的指定区域内)22.(本小题满分10分)直三棱柱中,,,,,.(1)若,求直线与平面所成角的正弦值;(2)若二面角的大小为,求实数的值.23.(本小题满分10分)设集合,记的含有三个元素的子集个数为,同时将每一个子集中的三个元素由小到大排列,取出中间的数,所有这些中间的数的和记为. (1)求,,,的值;(2)猜想的表达式,并证明之.南京市、盐城市xx 届高三年级第一次模拟考试数学参考答案一、填空题:本大题共14小题,每小题5分,计70分.1. 2. 3. 4. 5. 6. 7. 8. 9. 10. 11. 12. 13. 14.二、解答题:本大题共6小题,计90分.解答应写出必要的文字说明,证明过程或演算步骤,请把答案写在答题纸的指定区域内.15.解:(1)由图象知,, …………2分又,,所以,得. …………4分 所以,将点代入,得,即,又,所以. …………6分B ACDB 1A 1C 1第22题图所以. …………8分(2)当时,,…………10分所以,即. …………14分16.证明:(1)在中,因为是的中点,是的中点,所以. ..............4分又平面,平面,所以平面. ..............6分(2)因为是直三棱柱,所以底面,所以,又,即,而面,且,所以面. (8)分而面,所以,又是正方形,所以,而面,且,所以面. (12)分又面,所以面面. ..............14分17.解法一:由条件①,得. (2)分设,则222(5)16(3)8cos2165105x x xPABx x+-∠==+⨯⨯, ..............6分所以点到直线的距离, ...............10分所以当,即时,取得最大值15千米.即选址应满足千米,千米. ...............14分解法二:以所在直线为轴,线段的中垂线为轴,建立平面直角坐标系. (2)分则.由条件①,得. ...............4分设,则,化简得,,即点的轨迹是以点()为圆心、为半径的圆位于轴上方的半圆. 则当时,点到直线的距离最大,最大值为千米.所以点的选址应满足在上述坐标系中其坐标为即可. ...............14分18.解:(1)因为椭圆右焦点的坐标为,所以圆心的坐标为, ...............2分从而圆的方程为. …………4分 (2)①因为圆与直线相切,所以,即, …………6分 同理,有,所以是方程的两根, …………8分 从而222000122220001545(1)1451444545454x x y k k x x x ---+-====----. …………10分②设点,联立,解得, …………12分同理,,所以222212222211224444()()14141414k k OP OQ k k k k ⋅=+⋅+++++ 22221211222212114(1)4(1)4411614141414k k k k k k k k ++++=⋅=⋅++++ ……………14分, 当且仅当时取等号. 所以的最大值为. ……………16分 19. 解:(1)由题意得,因函数在处的切线方程为,所以,得. ……………4分 (2)由(1)知对任意都成立,所以,即对任意都成立,从而. ……………6分 又不等式整理可得,令,所以22(1)()2(1)(1)(2)0x xe x e g x x x x x-'=+-=-+=,得, ……………8分当时,,函数在上单调递增, 同理,函数在上单调递减,所以,综上所述,实数的取值范围是. ……………10分(3)结论是. ……………11分证明:由题意知函数,所以,易得函数在单调递增,在上单调递减,所以只需证明即可. ……12分 因为是函数的两个零点,所以,相减得, 不妨令,则,则,所以,,即证,即证, ……………14分 因为,所以在上单调递增,所以,综上所述,函数总满足成立. ……………16分 20.解:(1)因为单调递增,所以,,所以,. ……………4分 (2)根据题意可知,,,因为,所以可得即,又因为,所以单调递增, ……………7分则,,所以,即,,所以是公差为2的等差数列,,. ……………10分(3)构造,其中,. ……………12分下证数列满足题意.证明:因为,所以数列单调递增,所以,, ……………14分 所以,,因为2121111[1()][1()]()0222i i i i i r r ++++-=-----=>,所以数列单调递增,满足题意. ……………16分(说明:等差数列的首项任意,公差为正数,同时等比数列的首项为负,公比,这样构造的数列都满足题意.)附加题答案21. A 、解:因为与相切于,所以, …………2分又因为为的直径,所以.又,所以,所以,所以. …………4分 又,,所以.所以,所以, ………… 6分 又,所以. …………10分 B 、由题意,矩阵的特征多项式,因矩阵有一个特征值为2,,所以. …………4分 所以,即,代入方程,得,即曲线的方程为. ………10分C 、解:点的直角坐标为, …………2分圆的直角坐标方程为, …………6分 则点到圆心的距离, 所以点在圆外. …………10分 D、解:因24(12121212)a b c d ≤+++++++, (6)分又,所以224≤,即≤…………10分22.解:分别以所在直线为轴建立空间直角坐标系.则,,,,, …………2分(1)当时,为的中点,所以,,,,设平面的法向量为则,所以取,又111111cos ,||||3DB n DB n DB n ⋅<>===,所以直线与平面所成角的正弦值为. …………6分(2),,,,设平面的法向量为,则,所以取. …………8分又平面的一个法向量为,由题意得,所以,解得或(不合题意,舍去),所以实数的值为. …………10分23.解:(1),,,. ……………4分(2)猜想. (5)分下用数学归纳法证明之.证明:①当时,由(1)知猜想成立;②假设当时,猜想成立,即,而,所以得. ……6分则当时,易知,而当集合从变为时,在的基础上增加了1个2,2个3,3个4,…,和个,……………8分所以,即.所以当时,猜想也成立.综上所述,猜想成立. ……………10分(说明:未用数学归纳法证明,直接求出来证明的,同样给分.)uN28193 6E21 渡s;32489 7EE9 绩 y620602 507A 偺40526 9E4E 鹎30425 76D9 盙29979 751B 甛。
2021年高三第一次模拟考试 数学 Word 版含答案一、填空题:本大题共14小题,每小题5分,计70分. 1.设集合,集合,若,则 ▲ . 答案:12.若复数(其中为虚数单位)的实部与虚部相等,则实数 ▲ . 答案:-13.在一次射箭比赛中,某运动员次射箭的环数依次是,则该组数据的方差是 ▲ .答案:4.甲、乙两位同学下棋,若甲获胜的概率为,甲、乙下和棋的概率为,则乙获胜的概率为 ▲ . 答案:解读:为了体现新的《考试说明》,此题选择了互斥事件,选材于课本中的习题。
5.若双曲线的右焦点与抛物线的焦点重合,则 ▲ . 答案:6.运行如图所示的程序后,输出的结果为 ▲ .答案:42解读:此题的答案容易错为22。
7.若变量满足,则的最大值为 ▲ .答案:88.若一个圆锥的底面半径为,侧面积是底面积的倍,则该圆锥的体积为 ▲ .答案:9.若函数图象的两条相邻的对称轴之间的距离为,且该函数图象关于点成中心对称,,则 ▲ . 答案:10.若实数满足,且,则的最小值为 ▲ . 答案:4 11.设向量,,则“”是“”成立的 ▲ 条件 (选填“充分不必要”、“必要不充分”、“充要”、“既不充分也不必要”) . 答案:必要不充分 12.在平面直角坐标系中,设直线与圆交于两点,为坐标原点,若圆上一点满足,则 ▲ . 答案:解读:方法1:(平面向量数量积入手)22225325539244164416OC OA OB OA OA OB OB ⎛⎫=+=+⋅⋅+ ⎪⎝⎭,即:,整理化简得:,过点作的垂线交于,则,得,又圆心到直线的距离为,所以,所以,.第6题图方法2:(平面向量坐标化入手)设,,,由得,, 则22222222121211112222535325251525251544441616816168x y x x y y x y x y x y x y ⎛⎫⎛⎫+=+++=+++++ ⎪ ⎪⎝⎭⎝⎭由题意得,,联立直线与圆的方程,由韦达定理可解得:. 方法3:(平面向量共线定理入手)由得,设与交于点,则三点共线。
2021年高三上学期第一次模拟数学试卷(理科)含解析一、选择题:本题共10小题,每小题5分,在每小题给出的四个选项中,只有一项是符合题目要求的.1.已知集合M={x|x2﹣2x﹣8≤0},集合N={x|lgx≥0},则M∩N=()A.{x|﹣2≤x≤4} B.{x|x≥1} C.{x|1≤x≤4} D.{x|x≥﹣2}2.下列函数中,在其定义域内既是偶函数又在(﹣∞,0)上单调递增的函数是()D.f(x)=sinxA.f(x)=x2B.f(x)=2|x|C.f(x)=log23.设φ∈R,则“φ=”是“f(x)=cos(2x+φ)为奇函数”的()A.充分不必要条件B.必要不充分条件C.充要条件D.既不充分也不必要条件4.由曲线y=,直线y=x所围成的封闭曲线的面积是()A.B.C.D.15.已知﹣<α<0,sinα+cosα=,则的值为()A.B.C.D.6.若变量x,y满足约束条件,且z=2x+y的最大值和最小值分别为m和n,则m﹣n=()A.5 B.6 C.7 D.87.己知命题“∃x∈R,2x2+(a﹣1)x+≤0是假命题,则实数a的取值范围是()A.(﹣∞,﹣1)B.(﹣1,3)C.(﹣3,+∞)D.(﹣3,1)8.将函数y=sin(2x﹣)图象向左平移个单位,所得函数图象的一条对称轴的方程是()A.x= B.x= C.x= D.x﹣=9.函数y=2x2﹣e|x|在[﹣2,2]的图象大致为()A.B.C.D.10.设函数f′(x)是函数f(x)(x∈R)的导函数,f(0)=1,且3f(x)=f′(x)﹣3,则4f(x)>f′(x)的解集为()A.(,+∞)B.(,+∞)C.(,+∞)D.(,+∞)二、填空题:本题共5小题,每小题5分.11.已知cos(﹣θ)=,则sin(+θ)的值是.12.已知a>0,b>0,a+b=2,则y=+的最小值为.13.已知f(x)=,若f(a)=﹣3,则f(6﹣a)=.14.若函数f(x)=|2x﹣2|﹣b有两个零点,则实数b的取值范围是.15.对于函数f(x)=,有下列5个结论:①任取x1,x2∈[0,+∞),都有|f(x1)﹣f(x2)|≤2;②函数y=f(x)在区间[4,5]上单调递增;③f(x)=2kf(x+2k)(k∈N),对一切x∈[0,+∞)恒成立;+④函数y=f(x)﹣ln(x﹣1)有3个零点;⑤若关于x的方程f(x)=m(m<0)有且只有两个不同实根x1,x2,则x1+x2=3.则其中所有正确结论的序号是.(请写出全部正确结论的序号)三、解答题:解答应写出文字说明、证明过程或演算步骤.16.已知函数f(x)=cosx•sin(x+)﹣cos2x+,x∈R.(Ⅰ)求f(x)的最小正周期;(Ⅱ)求f(x)在闭区间[﹣,]上的最大值和最小值.17.已知函数f(x)=ax2+blnx(x>0)在x=1处有极值.(Ⅰ)求a,b的值;(Ⅱ)求出函数y=f(x)的单调区间.18.已知函数f(x)=Asin(ωx+φ)(A>0,ω>0,|φ|<满足下列条件:①周期T=π;②图象向左平移个单位长度后关于y轴对称;③f(0)=1.(Ⅰ)求函数f(x)的解析式;(Ⅱ)设α,β∈(0,),f(α﹣)=﹣,f(β+)=,求cos(2α﹣2β)的值.19.已知函数f(x)=x3﹣ax2+10,(I)当a=1时,求曲线y=f(x)在点(2,f(2))处的切线方程;(II)在区间[1,2]内至少存在一个实数x,使得f(x)<0成立,求实数a的取值范围.20.设函数f(x)=a﹣lnx(a>0).(1)若f(x)在[1,+∞)上递增,求a的取值范围;(2)求f(x)在[1,4]上的最小值.21.已知函数f(x)=lnx﹣ax2+(a﹣1)x(a<0).(Ⅰ)求函数f(x)的单调区间;(Ⅱ)记函数f(x)=F(x)的图象为曲线C.设点A(x1,y1),B(x2,y2)是曲线C上的不同两点.如果在曲线C上存在点M(x0,y0),使得:①x0=;②曲线C在点M处的切线平行于直线AB,则称函数F(x)存在“中值相依切线”.试问:函数f(x)是否存在“中值相依切线”,请说明理由.xx学年山东师大附中高三(上)第一次模拟数学试卷(理科)参考答案与试题解析一、选择题:本题共10小题,每小题5分,在每小题给出的四个选项中,只有一项是符合题目要求的.1.已知集合M={x|x2﹣2x﹣8≤0},集合N={x|lgx≥0},则M∩N=()A.{x|﹣2≤x≤4}B.{x|x≥1} C.{x|1≤x≤4}D.{x|x≥﹣2}【考点】交集及其运算.【分析】求出M中不等式的解集确定出M,求出N中x的范围确定出N,找出M与N的交集即可.【解答】解:由M中不等式变形得:(x﹣4)(x+2)≤0,解得:﹣2≤x≤4,即M=[﹣2,4],由N中lgx≥0,得到x≥1,即N=[1,+∞),则M∩N=[1,4],故选:C.2.下列函数中,在其定义域内既是偶函数又在(﹣∞,0)上单调递增的函数是()A.f(x)=x2B.f(x)=2|x|C.f(x)=log2D.f(x)=sinx【考点】奇偶性与单调性的综合.【分析】根据函数奇偶性和单调性的定义和性质分别进行判断即可.【解答】解:A.f(x)=x2是偶函数,在(﹣∞,0)上单调递减,不满足条件.B.f(x)=2|x|是偶函数,在(﹣∞,0)上单调递减,不满足条件.C.f(x)=﹣log2是偶函数,在(﹣∞,0)上单调递增,满足条件.D.f(x)=sinx是奇函数,不满足条件.故选:C.3.设φ∈R,则“φ=”是“f(x)=cos(2x+φ)为奇函数”的()A.充分不必要条件B.必要不充分条件C.充要条件 D.既不充分也不必要条件【考点】必要条件、充分条件与充要条件的判断.【分析】利用充分、必要条件性质判断即可.【解答】解:若φ=,则有f(x)=cos(2x+)=﹣sin2x,为奇函数,充分条件;若f(x)=cos(2x+φ)为奇函数,则有f(﹣x)=﹣f(x),即cos(﹣2x+φ)=﹣cos(2x+φ),不一定φ=,不必要条件,则“φ=”是“f(x)=cos(2x+φ)为奇函数”的充分不必要条件,故选:A.4.由曲线y=,直线y=x所围成的封闭曲线的面积是()A. B. C. D.1【考点】定积分在求面积中的应用.【分析】联立方程组求出定积分的上下限,再根据定积分的几何意义即可求出.【解答】解:联立方程组得到或,故由曲线y=,直线y=x所围成的封闭曲线的面积是(﹣x)dx=(﹣)|==,故选:A.5.已知﹣<α<0,sinα+cosα=,则的值为()A. B. C. D.【考点】同角三角函数基本关系的运用.【分析】先求出sin2α,再求出cos2α,即可求出的值.【解答】解:∵sinα+cosα=,∴1+2sinαcosα=,∴sin2α=﹣,∵﹣<α<0,sinα+cosα=,∴﹣π<2α<0,|sinα|<|cosα|,∴cos2α=,∴==,故选:C.6.若变量x,y满足约束条件,且z=2x+y的最大值和最小值分别为m和n,则m﹣n=()A.5 B.6 C.7 D.8【考点】简单线性规划.【分析】作出不等式组对应的平面区域,利用z的几何意义,进行平移即可得到结论.【解答】解:作出不等式组对应的平面区域如图:由z=2x+y,得y=﹣2x+z,平移直线y=﹣2x+z,由图象可知当直线y=﹣2x+z经过点A,直线y=﹣2x+z的截距最小,此时z最小,由,解得,即A(﹣1,﹣1),此时z=﹣2﹣1=﹣3,此时n=﹣3,平移直线y=﹣2x+z,由图象可知当直线y=﹣2x+z经过点B,直线y=﹣2x+z的截距最大,此时z最大,由,解得,即B(2,﹣1),此时z=2×2﹣1=3,即m=3,则m﹣n=3﹣(﹣3)=6,故选:B.7.己知命题“∃x∈R,2x2+(a﹣1)x+≤0是假命题,则实数a的取值范围是()A.(﹣∞,﹣1)B.(﹣1,3)C.(﹣3,+∞)D.(﹣3,1)【考点】命题的真假判断与应用.【分析】写出原命题的否命题,据命题p与¬p真假相反,得到恒成立,令判别式小于0,求出a的范围.【解答】解:∵“∃x∈R,2x2+(a﹣1)x+≤0”的否定为“∀x∈R,“∵“∃x∈R,2x2+(a﹣1)x+”为假命题∴“为真命题即恒成立∴解得﹣1<a<3故选B8.将函数y=sin(2x﹣)图象向左平移个单位,所得函数图象的一条对称轴的方程是()A.x= B.x= C.x= D.x﹣=【考点】函数y=Asin(ωx+φ)的图象变换.【分析】由条件利用y=Asin(ωx+φ)的图象变换规律,正弦函数的图象的对称性,得出结论.【解答】解:将函数y=sin(2x﹣)图象向左平移个单位,所得函数图象对应的函数的解析式为y=sin[2(x+)﹣]=sin(2x+),当x=时,函数取得最大值,可得所得函数图象的一条对称轴的方程是x=,故选:C.9.函数y=2x2﹣e|x|在[﹣2,2]的图象大致为()A.B.C.D.【考点】函数的图象.【分析】根据已知中函数的解析式,分析函数的奇偶性,最大值及单调性,利用排除法,可得答案.【解答】解:∵f(x)=y=2x2﹣e|x|,∴f(﹣x)=2(﹣x)2﹣e|﹣x|=2x2﹣e|x|,故函数为偶函数,当x=±2时,y=8﹣e2∈(0,1),故排除A,B;当x∈[0,2]时,f(x)=y=2x2﹣e x,∴f′(x)=4x﹣e x=0有解,故函数y=2x2﹣e|x|在[0,2]不是单调的,故排除C,故选:D10.设函数f′(x)是函数f(x)(x∈R)的导函数,f(0)=1,且3f(x)=f′(x)﹣3,则4f(x)>f′(x)的解集为()A.(,+∞)B.(,+∞)C.(,+∞)D.(,+∞)【考点】函数的单调性与导数的关系.【分析】根据题意,设函数f(x)=ae bx+c,由f(0)=1得a+c=1;再由3f(x)=f′(x)﹣3,得;由此求出f(x)的解析式,再解不等式4f(x)>f′(x)即可.【解答】解:∵3f(x)=f′(x)﹣3,∴f′(x)=3f(x)+3;可设f(x)=ae bx+c,由f(0)=1,∴a+c=1;又3f(x)=f′(x)﹣3,∴3ae bx+3c=abe bx﹣3,即(3a﹣ab)e bx=﹣3﹣3c,∴,解得b=3,c=﹣1,a=2;∴f(x)=2e3x﹣1,x∈R;又4f(x)>f′(x),∴8e3x﹣4>6e3x,即e3x>2,解得x>,所求不等式的解集为(,+∞).故选:B.二、填空题:本题共5小题,每小题5分.11.已知cos(﹣θ)=,则sin(+θ)的值是.【考点】运用诱导公式化简求值.【分析】直接利用诱导公式化简求解即可.【解答】解:cos(﹣θ)=,则sin(+θ)=cos(﹣﹣θ)=cos(﹣θ)=.故答案为:.12.已知a>0,b>0,a+b=2,则y=+的最小值为.【考点】基本不等式.【分析】利用题设中的等式,把y的表达式转化成()()展开后,利用基本不等式求得y 的最小值.【解答】解:∵a+b=2,∴=1∴y==()()=++≥+2=(当且仅当b=2a时等号成立)则的最小值是故答案为:.13.已知f(x)=,若f(a)=﹣3,则f(6﹣a)=.【考点】对数的运算性质;函数的值;分段函数的应用.【分析】分类讨论满足f(a)=﹣3的a值,进而可得f(6﹣a)的值.【解答】解:当a≤1时,f(a)=2a﹣1﹣2=﹣3无解,当a>1时,解f(a)=﹣log2(a+1)=﹣3得:a=7,∴f(6﹣a)=f(﹣1)=2﹣2﹣2=,故答案为:14.若函数f(x)=|2x﹣2|﹣b有两个零点,则实数b的取值范围是0<b<2.【考点】函数的零点.【分析】由函数f(x)=|2x﹣2|﹣b有两个零点,可得|2x﹣2|=b有两个零点,从而可得函数y=|2x﹣2|函数y=b的图象有两个交点,结合函数的图象可求b的范围【解答】解:由函数f(x)=|2x﹣2|﹣b有两个零点,可得|2x﹣2|=b有两个零点,从而可得函数y=|2x﹣2|函数y=b的图象有两个交点,结合函数的图象可得,0<b<2时符合条件,故答案为:0<b<215.对于函数f(x)=,有下列5个结论:①任取x1,x2∈[0,+∞),都有|f(x1)﹣f(x2)|≤2;②函数y=f(x)在区间[4,5]上单调递增;③f(x)=2kf(x+2k)(k∈N),对一切x∈[0,+∞)恒成立;+④函数y=f(x)﹣ln(x﹣1)有3个零点;⑤若关于x的方程f(x)=m(m<0)有且只有两个不同实根x1,x2,则x1+x2=3.则其中所有正确结论的序号是①④⑤.(请写出全部正确结论的序号)【考点】命题的真假判断与应用;分段函数的应用.【分析】作出f(x)=的图象,分别利用函数的性质进行判断即可.【解答】解:f(x)=的图象如图所示:①∵f(x)的最大值为1,最小值为﹣1,∴任取x1、x2∈[0,+∞),都有|f(x1)﹣f(x2)|≤2恒成立,故①正确;②函数在区间[4,5]上的单调性和[0,1]上的单调性相同,则函数y=f(x)在区间[4,5]上不单调;故②错误;③f()=2f(+2)=4f(+4)=6f(+6)≠8f(+8),故不正确;故③错误,④如图所示,函数y=f(x)﹣ln(x﹣1)有3个零点;故④正确,⑤当1≤x≤2时,函数f(x)关于x=对称,若关于x的方程f(x)=m(m<0)有且只有两个不同实根x1,x2,则=,则x1+x2=3成立,故⑤正确,故答案为:①④⑤.三、解答题:解答应写出文字说明、证明过程或演算步骤.16.已知函数f(x)=cosx•sin(x+)﹣cos2x+,x∈R.(Ⅰ)求f(x)的最小正周期;(Ⅱ)求f(x)在闭区间[﹣,]上的最大值和最小值.【考点】三角函数中的恒等变换应用;三角函数的周期性及其求法.【分析】(Ⅰ)根据两角和差的正弦公式、倍角公式对解析式进行化简,再由复合三角函数的周期公式求出此函数的最小正周期;(Ⅱ)由(Ⅰ)化简的函数解析式和条件中x的范围,求出的范围,再利用正弦函数的性质求出再已知区间上的最大值和最小值.【解答】解:(Ⅰ)由题意得,f(x)=cosx•(sinxcosx)====所以,f(x)的最小正周期=π.(Ⅱ)由(Ⅰ)得f(x)=,由x∈[﹣,]得,2x∈[﹣,],则∈[,],∴当=﹣时,即=﹣1时,函数f(x)取到最小值是:,当=时,即=时,f(x)取到最大值是:,所以,所求的最大值为,最小值为.17.已知函数f(x)=ax2+blnx(x>0)在x=1处有极值.(Ⅰ)求a,b的值;(Ⅱ)求出函数y=f(x)的单调区间.【考点】函数在某点取得极值的条件;利用导数研究函数的单调性.【分析】(1)函数f(x)=ax2+blnx在x=1处有极值,得到f(1)=,f′(1)=0得到a、b 即可;(2)找到函数的定义域,求出导函数,列表讨论,能求出函数f(x)的单调区间..【解答】解:(Ⅰ)因为函数f(x)=ax2+blnx,所以.…又函数f(x)在x=1处有极值,所以即…可得,b=﹣1.…经检验,此时f'(x)在x=1的左右符号相异,所以,b=﹣1.…(Ⅱ)由(Ⅰ)可知,其定义域是(0,+∞),且.…当x变化时,f′(x),f(x)的变化情况如下表:x(0,1)1 (1,+∞)f′(x)﹣0 +f(x)单调递减极小值单调递增所以函数y=f(x)的单调减区间是(0,1),单调增区间是(1,+∞).…18.已知函数f(x)=Asin(ωx+φ)(A>0,ω>0,|φ|<满足下列条件:①周期T=π;②图象向左平移个单位长度后关于y轴对称;③f(0)=1.(Ⅰ)求函数f(x)的解析式;(Ⅱ)设α,β∈(0,),f(α﹣)=﹣,f(β+)=,求cos(2α﹣2β)的值.【考点】由y=Asin(ωx+φ)的部分图象确定其解析式;函数y=Asin(ωx+φ)的图象变换.【分析】(Ⅰ)根据f(x)的周期求出ω的值,根据f(x)的图象平移以及g(x)的图象关于y轴对称,求出φ的值,再由f(0)=1求出A的值,即得f(x)的解析式;(Ⅱ)根据f(α﹣)与f(β+)的值求出cos2α、cos2β,再根据α、β的范围求出sin2α、sin2β,从而求出cos(2α﹣2β)的值.【解答】解:(Ⅰ)∵f(x)的周期为T==π,∴ω=2;又函数f(x)的图象向左平移个单位长度,变为g(x)=Asin[2(x+)+φ],由题意,g(x)的图象关于y轴对称,∴2×+φ=+kπ,k∈Z;又|φ|<,∴φ=,∴函数f(x)=Asin(2x+);又f(0)=1,∴Asin=1,解得A=2,∴函数f(x)=2sin(2x+);(Ⅱ)由f(α﹣)=﹣,f(β+)=,得2sin(2α﹣+)=﹣,2sin(2β++)=,∴cos2α=,cos2β=;又α、β∈(0,),∴2α、2β∈(0,),∴sin2α=,sin2β=,∴cos(2α﹣2β)=cos2αcos2β+sin2αsin2β=×+×=.19.已知函数f(x)=x3﹣ax2+10,(I)当a=1时,求曲线y=f(x)在点(2,f(2))处的切线方程;(II)在区间[1,2]内至少存在一个实数x,使得f(x)<0成立,求实数a的取值范围.【考点】利用导数研究曲线上某点切线方程;利用导数求闭区间上函数的最值.【分析】(I)求出导函数,求出f′(2)即切线的斜率,求出f(2),利用点斜式写出切线的方程.(II)分离出参数a,构造函数g(x),求出g(x)的导函数,判断出g(x)在区间[1,2]内的单调性,求出g(x)的最小值,求出a的范围.【解答】解:(I)当a=1时,f′(x)=3x2﹣2x,f(2)=14,曲线y=f(x)在点(2,f(2))处的切线斜率k=f′(2)=8,所以曲线y=f(x)在点(2,f(2))处的切线方程为8x﹣y﹣2=0.(II).有已知得:,设,,∵1≤x≤2∴g′(x)<0所以g(x)在[1,2]上是减函数.∴,所以.20.设函数f(x)=a﹣lnx(a>0).(1)若f(x)在[1,+∞)上递增,求a的取值范围;(2)求f(x)在[1,4]上的最小值.【考点】利用导数求闭区间上函数的最值;利用导数研究函数的单调性.【分析】(1)求导函数,根据f(x)在[1,+∞)上递增,可得在[1,+∞)上,恒成立,由此可求a的取值范围;(2)由,x∈[1,4],分类讨论,确定函数的单调性,从而可求f(x)在[1,4]上的最小值.【解答】解:(1)求导函数,可得∵f(x)在[1,+∞)上递增,∴在[1,+∞)上,恒成立∴在[1,+∞)上,∴a≥2∴a的取值范围为[2,+∞);(2)由,x∈[1,4]①当a≥2时,在x∈[1,4]上,f'(x)≥0,∴f min(x)=f(1)=a②当0≤a≤1时,在x∈[1,4]上,f'(x)≤0,∴f min(x)=f(4)=2a﹣2ln2③当1<a<2时,在上f'(x)≤0,在上f'(x)≥0此时综上所述:21.已知函数f(x)=lnx﹣ax2+(a﹣1)x(a<0).(Ⅰ)求函数f(x)的单调区间;(Ⅱ)记函数f(x)=F(x)的图象为曲线C.设点A(x1,y1),B(x2,y2)是曲线C上的不同两点.如果在曲线C上存在点M(x0,y0),使得:①x0=;②曲线C在点M处的切线平行于直线AB,则称函数F(x)存在“中值相依切线”.试问:函数f(x)是否存在“中值相依切线”,请说明理由.【考点】利用导数研究曲线上某点切线方程;利用导数研究函数的单调性.【分析】(I)根据对数函数的定义求得函数的定义域,再根据f(x)的解析式求出f(x)的导函数,然后分别令导函数大于0和小于0得到关于x的不等式,求出不等式的解集即可得到相应的x的范围即分别为函数的递增和递减区间;(II)假设函数f(x)的图象上存在两点A(x1,y1),B(x2,y2),使得AB存在“中值相依切线”,根据斜率公式求出直线AB的斜率,利用导数的几何意义求出直线AB的斜率,它们相等,再通过构造函数,利用导数研究函数的单调性和最值即可证明结论.【解答】解:(Ⅰ)函数f(x)的定义域是(0,+∞).…由已知得,.…(1)当a>0时,令f'(x)>0,解得0<x<1;令f'(x)<0,解得x>1.所以函数f(x)在(0,1)上单调递增,在(1,+∞)上单调递减.…(2)当a<0时,①当时,即a<﹣1时,令f'(x)>0,解得或x>1;令f'(x)<0,解得.所以,函数f(x)在和(1,+∞)上单调递增,在上单调递减;…②当时,即a=﹣1时,显然,函数f(x)在(0,+∞)上单调递增;…③当时,即﹣1<a<0时,令f'(x)>0,解得0<x<1或;令f'(x)<0,解得.所以,函数f(x)在(0,1)和上单调递增,在上单调递减.…综上所述,(1)当a>0时,函数f(x)在(0,1)上单调递增,在(1,+∞)上单调递减;(2)当a<﹣1时,函数f(x)在和(1,+∞)上单调递增,在上单调递减;(3)当a=﹣1时,函数f(x)在(0,+∞)上单调递增;(4)当﹣1<a<0时,函数f(x)在(0,1)和上单调递增,在上单调递减.…(Ⅱ)假设函数f(x)存在“中值相依切线”.设A(x1,y1),B(x2,y2)是曲线y=f(x)上的不同两点,且0<x1<x2,则,.==…曲线在点M(x0,y0)处的切线斜率k=f'(x0)==,…依题意得:=.化简可得:=,即==.…设(t>1),上式化为:,即.…令,=.因为t>1,显然g'(t)>0,所以g(t)在(1,+∞)上递增,显然有g(t)>2恒成立.所以在(1,+∞)内不存在t,使得成立.综上所述,假设不成立.所以,函数f(x)不存在“中值相依切线”.…xx年1月8日31694 7BCE 篎O39924 9BF4 鯴36967 9067 遧22764 58EC 壬25889 6521 攡38669 970D 霍21424 53B0 厰=!C p"。
甘肃省岷县第一中学2021-2022高一数学上学期期末模拟考试试题本试卷满分150分,考试时间120分钟 一、选择题(每小题5分,共60分)1.已知全集{}U 1,2,3,4,5,6,7= ,集合{}A 1,3,5,6= ,则[A U ( )A .{}1,3,5,6B .{}2,3,7C .{}2,4,7D .{}2,5,72.已知a b c a b a c αββ⊂⊂⊂⊥⊥,,,,,则( ) A .αβ⊥B .αβ C .α与β相交D .以上都有可能3.已知点A (1,1),B (3,3),则线段AB 的垂直平分线的方程是( ) A .B .C .D .4.函数f (x )=15x -+1x -的定义域为( ) A .(),1-∞ B .[)1,+∞C .[)()1,55,⋃+∞ D .()()1,55,⋃+∞ 5.已知1,(1)()3,(1)x x f x x x +≤⎧=⎨-+>⎩,那么5[()]2f f 的值是( )A.32 B. 52 C. 92 D. 12- 6.过点(3,0)和点(4,)的直线的倾斜角是( )A .30° B.60° C.120° D.150° 7.点(5,-3)到直线x +2=0的距离等于( ) A .7B .5C .3D .28.如图是一个几何体的三视图,则该几何体的表面积为A .46B .48C .50D .529.在正方体1111ABCD A B C D -中,直线11A C 与平面11ABC D 所成角的正弦值为( )A .1B C D .1210.直线l 过点(0,2)且圆2220x y x +-=相切,则直线的l 的方程为( ) A .3480x y +-= B .3420x y ++= C .3480x y +-=或0x =D .3420x y ++=或0x =11.已知圆M :222=+y x 与圆N :3)2()1(22=-+-y x ,那么两圆的位置关系是( ) A .内切B .相交C .外切D .外离12.函数1()24xf x x =+的零点在区间( ). A .(3,2)--B .(2,1)--C .(1,0)-D .(0,1)二、填空题(每小题5分,共20分)13.已知A(4,2).B(2,b),直线AB 的斜率为3,则b= .14.直线l 1:x +my +6=0与l 2:(m -2)x +3y +2m =0,若12l l //则m =__________;15.已知正方体的棱长为a a=___________. 16.已知a ,b ,c 是空间中的三条相互不重合的直线,给出下列说法:①若a b ∥,b c ∥,则ac ;②若a 与b 相交,b 与c 相交,则a 与c 相交;③若a ⊂平面α,b ⊂平面β,则a ,b 一定是异面直线;④若a ,b 与c 成等角,则a b ∥.其中正确的说法是______(填序号).三、解答题:(共70分)解答应写出文字说明、证明过程或演算步骤。
甘肃省2021版高考数学一模试卷(I)卷姓名:________ 班级:________ 成绩:________一、填空题 (共12题;共14分)1. (1分) (2019高二上·嘉定月考) ________.2. (2分) (2019高一上·嘉兴期中) 已知全集,集合,,则________; ________.3. (1分) (2019高一上·都匀期中) 若不等式,则不等式的解集为________.(用集合或区间表示)4. (2分) (2019高二上·宁波期末) 设复数,其中为虚数单位,则的虚部是________, ________.5. (1分) (2016高三上·大连期中) 函数f(x)=|sinx|+|cosx|的最小正周期为m,函数g(x)=sin3x﹣sinx的最大值为n,则mn=________.6. (1分)(2019·浦东模拟) 若函数的图象恒过点,则函数的图象一定经过定点________.7. (1分) (2018高三上·合肥月考) 已知的夹角为 ________.8. (1分) (2019高二下·南昌期中) 已知圆锥的全面积是底面积的3倍,那么该圆锥的侧面展开图扇形的圆心角为________.9. (1分) (2019高二下·赤峰月考) 三位同学参加跳高、跳远、铅球项目的比赛.若每人都选择其中两个项目,则有且仅有两人选择的项目完全相同的概率是________.10. (1分)(2017·枣庄模拟) 在的展开式中,x的系数为________.(用数字作答)11. (1分) (2019高二下·九江期中) 5位大学毕业生分配到3家单位,每家单位至少录用1人,则不同的分配方法有________种.12. (1分)(2017·宝山模拟) 椭圆(θ为参数)的焦距为________.二、选择题 (共4题;共8分)13. (2分) (2020高一上·云南月考) “关于的方程的至少有一个负数根”的一个充分不必要条件是()A .B .C .D .14. (2分) (2020高二上·深圳月考) 某高中有三个年级,其中高一学生900人,高二学生860人,现采用分层抽样的方法调查学生的视力情况,在抽取的样本中有高二学生43人、高三学生39人,则该高中的学生总人数应为()A . 2600B . 2580C . 2540D . 250015. (2分) (2016高二下·九江期末) 如图,用A,B,C,D四类不同的元件连接成系统(A,B,C,D是否正常工作是相互独立的),当元件A,B至少有一个正常工作,且C,D至少有一个正常的工作时,系统正常工作.已知元件A,B,C,D正常工作的概率依次为0.80,0.90,0.90,0.70,则系统正常工作的概率为()A . 0.9994B . 0.9506C . 0.4536D . 0.546416. (2分)函数y= ,(k>0)在[4,6]上的最大值为1,则k的值是()A . 1B . 2C . 3D . 4三、解答题 (共5题;共50分)17. (10分) (2020高三上·潍坊期中) 已知正三棱柱的底面边长为2,点,分别为棱与的中点.(1)求证:直线平面;(2)若该正三棱柱的体积为,求直线与平面所成角的余弦值.18. (5分) (2016高二下·揭阳期中) 设F1、F2分别为椭圆Γ: =1(a>b>0)的左、右两个焦点,若椭圆上一点M(1,)到两个焦点的距离之和等于4.又已知点A是椭圆的右顶点,直线l交椭圆Γ于E、F两点(E、F与A点不重合),且满足AE⊥AF.(Ⅰ)求椭圆的标准方程;(Ⅱ) O为坐标原点,若点P满足2 ,求直线AP的斜率的取值范围.19. (10分)已知数列{an}中,有an+1=an+4且a1+a4=14(1)求{an}的通项公式an与前n项和公式Sn;(2)令bn= (k∈Z),若{bn}是等差数列,数列{ }的前n项和Tn≤ 恒成立,求正整数m 的最小值.20. (15分) (2016高一上·无锡期末) 已知t为实数,函数f(x)=2loga(2x+t﹣2),g(x)=logax,其中0<a<1.(1)若函数y=g(ax+1)﹣kx是偶函数,求实数k的值;(2)当x∈[1,4]时,f(x)的图象始终在g(x)的图象的下方,求t的取值范围;(3)设t=4,当x∈[m,n]时,函数y=|f(x)|的值域为[0,2],若n﹣m的最小值为,求实数a的值.21. (10分) (2017高二上·广东月考) 已知中心在原点的双曲线的右焦点为,右顶点为.(1)求双曲线的方程;(2)若直线与双曲线交于不同的两点,,且线段的垂直平分线过点,求实数的取值范围.参考答案一、填空题 (共12题;共14分)1-1、2-1、3-1、4-1、5-1、6-1、7-1、8-1、9-1、10-1、11-1、12-1、二、选择题 (共4题;共8分)13-1、14-1、15-1、16-1、三、解答题 (共5题;共50分) 17-1、17-2、19-1、19-2、20-1、20-2、20-3、21-1、21-2、第11 页共11 页。