第十章三重积分练习题
- 格式:pdf
- 大小:110.85 KB
- 文档页数:3
内容提要: 一、二重积分1、二重积分的概念与性质2、二重积分的计算:(1)-x 型域:.)()(:21⎩⎨⎧≤≤≤≤b x a x y x D ϕϕ()⎰⎰⎰⎰⎥⎦⎤⎢⎣⎡=b a x x Ddx dy y x f d y x f )()(21,),(ϕϕσ(2)-y 型域:⎩⎨⎧≤≤≤≤)()(:21y x y dy c D ψψ()⎰⎰⎰⎰⎥⎦⎤⎢⎣⎡=d cy y Ddy dx y x f d y x f )()(21,),(ψψσ当积分区域既是-x 型,又是-y 型域时,会交换积分次序。
(3)极坐标:⎩⎨⎧≤≤≤≤βθαθϕθϕ)()(:21r D ,⎪⎩⎪⎨⎧→→→θσθθrdrd d r y r x sin cos⎰⎰⎰⎰=DDrdrd r r f d y x f θθθσ)sin ,cos (),(⎰⎰⎥⎦⎤⎢⎣⎡=βαθϕθϕθθθd rdr r r f )()(21)sin ,cos ( 二、三重积分1、三重积分的概念与性质2、三重积分的计算:(1)-xy 型域:()()}),(,,,|),,{(21xy D y x y x z z y x z z y x ∈≤≤=Ω 先一后二:()()()()⎰⎰⎰⎰⎰⎰⎥⎦⎤⎢⎣⎡=ΩxyD y x z y x z d dz z y x f dv z y x f σ,,21,,,,先二后一:,若被积函数不含变量y x ,,且积分区域Ω被平面0z z =所截平面区域面积容易计算,可先计算此面积,再计算定积分即可。
(2)球坐标:⎪⎩⎪⎨⎧===ϕθϕθϕcos sin sin cos sin r z r y r x其中,πθπϕ20,0,0≤≤≤≤+∞<≤r()()()⎰⎰⎰⎰⎰⎰⎥⎦⎤⎢⎣⎡⎥⎦⎤⎢⎣⎡=Ωππθϕθϕϕϕθϕθϕ200,02sin cos ,sin sin ,cos sin ,,d d dr r r r r f dv z y x f r 三、重积分的应用:空间曲面的面积 设∑:D ∈=),(),,(y x y x f z 为光滑曲面.⎰⎰++=Dσd f f S y x 221《高等数学》单元自测题答案第十章 重积分一、填空题:1.已知积分区域10,10:≤≤≤≤y x D ,则二重积分=+⎰⎰Dd y x σ)(___1________。
三重积分1.将I=zdvΩ⎰⎰⎰分别表示成直角坐标,柱面坐标和球面坐标下的三次积分,并选择其中一种计算出结果.其中Ω是由曲面z=222y x --及z=x 2+y 2所围成的闭区域.分析 为计算该三重积分,我们先把积分区域投影到某坐标平面上,由于是由两张曲面222y x z --=及22y x z +=,而由这两个方程所组成的方程组22222,z x y z x y ⎧=--⎨=+⎩极易消去z ,我们把它投影到xoy 面上.然后,为在指定的坐标系下计算之,还应该先把Ω的边界曲面用相应的坐标表示,并找出各种坐标系下各个变量的取值范围,最后作代换即可.解 将Ω投影到xoy 平面上,由22222,z x y z x y ⎧=--⎨=+⎩消去z 得 (x 2+y 2)2=2-(x 2+y 2),或(x 2+y 2+2)(x 2+y 2-1)=0,于是有 x 2+y 2=1.即知,Ω在xoy 平面上的投影为圆域D :x 2+y 2≤1 .为此在D 内任取一点Q(x ,y),过Q 作平行于z 轴的直线自下而上穿过Ω.穿入时碰到的曲面为22y x z +=,离开时碰到的曲面为222y x z --=(不画图,仅用代数方法也易判断22y x z +=≤222y x z --=),这是因为x 2+y 2≤1)(1) 直角坐标系下,我们分直角坐标及柱面坐标,下边找z 的变化范围从而化为三重积分.因此再由D :x 2+y 2≤1,有22y x z +=≤222y x z --=,于是在直角坐标下,Ω可表示为Ω :2222221111,2,x x y x x y z x y -≤≤⎧⎪--≤≤-⎨⎪+≤≤--⎩,于是有I=⎰⎰----221111x x dy dx ⎰--+22222y x y x zdz.(2) 柱面坐标下首先把Ω的表面方程用柱面坐标表示,这时z=x 2+y 2表示为z= 2ρ,z=222y x --表示为z=22ρ-.再由投影区域D 为x 2+y 2≤1.故0ρ≤≤1,0≤θ≤2π.于是Ω可表示为Ω:⎪⎪⎩⎪⎪⎨⎧-≤≤≤≤≤≤.2,10,2022ρρρπθz将所给三重积分中的体积元素υd 用υd =dz d d θρρ去替换,有I=Ω⎰⎰⎰υzd =Ω⎰⎰⎰dzd d z θρρ=⎰πθ20d ⎰1ρd ⎰-2222ρρρdz.(3) 球面坐标下用球面坐标代换两曲面的方程,得曲面z=x2+y2变为ρ=φφ2sin cos ;曲面z=222y x --变为ρ=2.由Ω在xoy 平面上的投影为x 2+y 2≤1知0θ≤≤2π,下边找φ的变化范围.正z 轴在Ω内,即Ω内有点P ,使→op 与→oz 夹角为零,即φ的下界为零.又曲面z=x 2+y2与xoy 平面相切,故φ的上界为2π,于是0≤φ≤2π再找ρ的变化范围.原点在Ω的表面上,故ρ取到最小值为零.为找ρ的上界,从原点出发作射线穿过Ω,由于Ω的表面由两张曲面所组成,因而ρ的上界随相应的φ的不同而不同.为此在两曲面的交线⎪⎩⎪⎨⎧--=+=22222y x z y x z ,上取一点A(0,1,1),故A 所对应的4πφ=.当24πφπ≤≤时,r 的上界由曲面r=φφ2sin cos 所给,故这时r φφφφcsc cot sin cos 2≤≤.即r 的变化范围为0⎪⎪⎩⎪⎪⎨⎧≤≤≤≤≤≤时。
三重积分1.将I=zdvΩ⎰⎰⎰分别表示成直角坐标,柱面坐标和球面坐标下的三次积分,并选择其中一种计算出结果.其中Ω是由曲面z=222y x --及z=x 2+y 2所围成的闭区域.分析 为计算该三重积分,我们先把积分区域投影到某坐标平面上,由于是由两张曲面222y x z --=及22y x z +=,而由这两个方程所组成的方程组22222,z x y z x y ⎧=--⎨=+⎩极易消去z ,我们把它投影到xoy 面上.然后,为在指定的坐标系下计算之,还应该先把Ω的边界曲面用相应的坐标表示,并找出各种坐标系下各个变量的取值范围,最后作代换即可.解 将Ω投影到xoy 平面上,由22222,z x y z x y ⎧=--⎨=+⎩消去z 得 (x 2+y 2)2=2-(x 2+y 2),或(x 2+y 2+2)(x 2+y 2-1)=0,于是有 x 2+y 2=1.即知,Ω在xoy 平面上的投影为圆域D :x 2+y 2≤1 .为此在D 内任取一点Q(x ,y),过Q 作平行于z 轴的直线自下而上穿过Ω.穿入时碰到的曲面为22y x z +=,离开时碰到的曲面为222y x z --=(不画图,仅用代数方法也易判断22y x z +=≤222y x z --=),这是因为x 2+y 2≤1)(1) 直角坐标系下,我们分直角坐标及柱面坐标,下边找z 的变化范围从而化为三重积分.因此再由D :x 2+y 2≤1,有22y x z +=≤222y x z --=,于是在直角坐标下,Ω可表示为Ω :2222221111,2,x x y x x y z x y -≤≤⎧⎪--≤≤-⎨⎪+≤≤--⎩,于是有I=⎰⎰----221111x x dy dx ⎰--+22222y x y x zdz.(2) 柱面坐标下首先把Ω的表面方程用柱面坐标表示,这时z=x 2+y 2表示为z= 2ρ,z=222y x --表示为z=22ρ-.再由投影区域D 为x 2+y 2≤1.故0ρ≤≤1,0≤θ≤2π.于是Ω可表示为Ω:⎪⎪⎩⎪⎪⎨⎧-≤≤≤≤≤≤.2,10,2022ρρρπθz将所给三重积分中的体积元素υd 用υd =dz d d θρρ去替换,有I=Ω⎰⎰⎰υzd =Ω⎰⎰⎰dzd d z θρρ=⎰πθ20d ⎰1ρd ⎰-2222ρρρdz.(3) 球面坐标下用球面坐标代换两曲面的方程,得曲面z=x2+y2变为ρ=φφ2sin cos ;曲面z=222y x --变为ρ=2.由Ω在xoy 平面上的投影为x 2+y 2≤1知0θ≤≤2π,下边找φ的变化范围.正z 轴在Ω内,即Ω内有点P ,使→op 与→oz 夹角为零,即φ的下界为零.又曲面z=x 2+y2与xoy 平面相切,故φ的上界为2π,于是0≤φ≤2π再找ρ的变化范围.原点在Ω的表面上,故ρ取到最小值为零.为找ρ的上界,从原点出发作射线穿过Ω,由于Ω的表面由两张曲面所组成,因而ρ的上界随相应的φ的不同而不同.为此在两曲面的交线⎪⎩⎪⎨⎧--=+=22222y x z y x z ,上取一点A(0,1,1),故A 所对应的4πφ=.当24πφπ≤≤时,r 的上界由曲面r=φφ2sin cos 所给,故这时r φφφφcsc cot sin cos 2≤≤.即r 的变化范围为0⎪⎪⎩⎪⎪⎨⎧≤≤≤≤≤≤时。
三重积分题一、计算三重积分∫∫∫_V (x2 + y2 + z2) dV,其中V是由x2 + y2 ≤ 1, 0 ≤ z ≤ 1定义的圆柱体。
A. π/2B. πC. 3π/2D. 2π(答案:D)二、三重积分∫∫∫_V xyz dV,在区域V: 0 ≤ x ≤ 1, 0 ≤ y ≤ 1, 0 ≤ z ≤ 1内的值为?A. 0B. 1/2C. 1D. 3/2(答案:A)三、计算三重积分∫∫∫_V (x + y + z) dV,其中V是由0 ≤ x ≤ 1, 0 ≤ y ≤ 1, 0 ≤ z ≤ 1定义的立方体。
A. 0B. 1C. 3/2D. 2(答案:C)四、三重积分∫∫∫_V (sin(x)cos(y)z) dV,在区域V: 0 ≤ x ≤π, 0 ≤ y ≤π, 0 ≤ z ≤ 1内的值为?A. 0B. 1C. -1D. 2(答案:A)五、计算三重积分∫∫∫_V e(x+y+z) dV,其中V是由0 ≤ x ≤ 1, 0 ≤ y ≤ 1, 0 ≤z ≤ 1定义的立方体,并假设e的近似值为2.718。
A. e - 1B. e2 - 1C. e3 - 1D. e4 - 1(答案:C)注:此题需要用到e的幂次性质进行积分。
六、三重积分∫∫∫_V (x2y2z2) dV,在区域V: -1 ≤ x ≤ 1, -1 ≤ y ≤ 1, -1 ≤ z ≤ 1内的值为?A. 0B. 1/8C. 1/4D. 1(答案:A)七、计算三重积分∫∫∫_V (1/(1+x2+y2+z2)) dV,其中V是由x2 + y2 + z2 ≤ 1定义的球体。
A. π2/2B. π2C. 2π2D. 4π2(答案:A)注:此题需要用到球坐标变换进行积分。
八、三重积分∫∫∫_V (cos(x2+y2+z2)) dV,在区域V: 0 ≤ x ≤√π, 0 ≤ y ≤√π, 0 ≤ z ≤√π,且假设cos的近似值在积分中可直接使用,其值为?A. 0B. (π(3/2))/2 * (sin(π) - sin(0))C. π(3/2) * (cos(π) - cos(0))D. -π(3/2) * (sin(π) - sin(0))(答案:B)注:此题需要注意到cos函数的周期性,并正确计算积分上下限。
习题9 三重积分一、填空题1、若{}22(,,)|1,01x y z x y z Ω=+≤≤≤,则d z v Ω⎰⎰⎰= 。
2、d z v Ω⎰⎰⎰= ,其中222{(,,)|1,0}x y z x y z z Ω=++≤≥3、曲面z =被1z =截下部分的面积为 。
4、曲面22z x y =+被1z =截下部分的体积为 。
5、锥面z =被柱面22z x =所割下部分的面积为 。
二、解答题1、I=d x v Ω⎰⎰⎰,其中Ω是由1x y z ++=与三个坐标平面所围的闭区域。
2、()x y z dxdydz Ω++⎰⎰⎰ 其中Ω:由平面1x y z ++=及三坐标面所围成的区域。
3、I=22()d x y v Ω+⎰⎰⎰,其中Ω是由2222x y z z ++= 所围成的闭区域。
4、I=⎰⎰⎰Ω+•dvyxz)(22,其中Ω是由球面222yxz--=与圆锥面22yxz+=所围成的闭区域。
5、⎰⎰⎰Ω++dvzyx)(222,Ω={2224,0x y z z++≤≥}。
6、⎰⎰⎰Ω+•dvyxz)(22,Ω是由球面222yxz--=与圆锥面22yxz+=所围成的闭区域。
7、⎰⎰⎰Ω++dvzyx222,Ω是由球面zzyx2222=++所围成的闭区域。
8、求函数22y x z +=在区域D :x 4y x x 222≤+≤上与z=0所围成的体积。
9、求由平面1,0,0,0=++===z y x z y x 所围成的几何体的体积。
10、在由椭圆1422≤+y x 绕其长轴旋转一周而成的椭球体上,沿长轴方向打一穿过中心的圆孔,并使剩下部分的体积恰好等于椭球体体积的一半,求该圆孔的直径。
931 化三重积分⎰⎰⎰Ω=dxdydz z y x f I ),,(为三次积分其中积分区域分别是(1)由双曲抛物面xy z 及平面x y 10 z 0所围成的闭区域解 积分区域可表示为 {(x y z )| 0z xy 0y 1x 0x 1} 于是 ⎰⎰⎰-=xyx dzz y x f dy dx I 01010),,((2)由曲面z x 2y 2及平面z 1所围成的闭区域解 积分区域可表示为}11 ,11 ,1|),,{(2222≤≤--≤≤--≤≤+=Ωx x y x z y x z y x于是 ⎰⎰⎰+----=111112222),,(y x x xdz z y x f dy dx I(3)由曲面z x 22y 2及z 2x 2所围成的闭区域解 曲积分区域可表示为}11 ,11 ,22|),,{(22222≤≤--≤≤---≤≤+=Ωx x y x x z y x z y x于是 ⎰⎰⎰-+----=22222221111),,(x y x x x dz z y x f dy dx I提示 曲面z x 22y 2与z 2x 2的交线在xOy 面上的投影曲线为x 2+y 2=1(4)由曲面cz xy (c 0) 12222=+by a x z 0所围成的在第一卦限内的闭区域解 曲积分区域可表示为}0 ,0 ,0|),,{(22a x x a ab yc xyz z y x ≤≤-≤≤≤≤=Ω于是 ⎰⎰⎰-=c xy x a a b adz z y x f dy dx I 000),,(22提示 区域的上边界曲面为曲面c z xy 下边界曲面为平面z 02 设有一物体 占有空间闭区域{(x y z )|0x 1 0y 1 0z 1} 在点(x y z )处的密度为(x y z )x y z 计算该物体的质量解 ⎰⎰⎰⎰⎰⎰++==Ω101010)(dz z y x dy dx dxdydz M ρ⎰⎰++=1010)21(dy y x dx⎰⎰+=++=1010102)1(]2121[dx x dx y y xy 23)1(21102=+=x3如果三重积分⎰⎰⎰Ωdxdydz z y x f ),,(的被积函数f (xy z )是三个函数f 1(x )、f 2(y )、f 3(z )的乘积 即f (x y z ) f 1(x )f 2(y )f 3(z ) 积分区域{(x y z )|a x b c y d l z m } 证明这个三重积分等于三个单积分的乘积即⎰⎰⎰⎰⎰⎰=Ωmldcbadzz f dy y f dx x f dxdydz z f y f x f )()()()()()(321321证明 ⎰⎰⎰Ωdxdydz z f y f x f )()()(321dx dy dz z f y f x f ba dcml]))()()(([321⎰⎰⎰=dx dy dz z f y f x f b a d c m l]))()()(([321⎰⎰⎰=⎰⎰⎰=m ldcb adx dy y f dz z f x f )])()()()([(231dx x f dy y f dz z f bam ld c)]())()()([(123⎰⎰⎰=⎰⎰⎰=d cbam ldx x f dy y f dz z f )())()()((123⎰⎰⎰=d cmlb adzz f dy y f dx x f )()()(3214计算⎰⎰⎰Ωdxdydzz xy 32 其中是由曲面z xy 与平面y x x 1和z 0所围成的闭区域 解 积分区域可表示为 {(x y z )| 0z xy 0y x 0x 1}于是 ⎰⎰⎰Ωdxdydz z xy 32⎰⎰⎰=xyxdz z dy y xdx 030210⎰⎰=xxy dy z y xdx 004210]4[⎰⎰=x dy y dx x 051054136412811012==⎰dx x5 计算⎰⎰⎰Ω+++3)1(z y x dxdydz 其中为平面x 0 y 0 z 0x y z 1所围成的四面体 解 积分区域可表示为 {(x y z )| 0z 1x y 0y 1x 0x 1}于是 ⎰⎰⎰Ω+++3)1(z y x dxdydz ⎰⎰⎰---+++=y x x dz z y x dy dx 1031010)1(1 ⎰⎰--++=xdy y x dx 1021]81)1(21[dx x x ⎰+-+=10]8183)1(21[ )852(ln 21-=提示⎰⎰⎰Ω+++3)1(z y x dxdydz ⎰⎰⎰---+++=y x x dz z y x dy dx 1031010)1(1 ⎰⎰---+++-=xyx dy z y x dx 101021])1(21[⎰⎰--++=x dy y x dx 10210]81)1(21[ dx y y x x-⎰-++-=101]81)1(21[dx x x ⎰+-+=10]8183)1(21[ 102]16183)1ln(21[x x x +-+= )852(ln 21-=6计算⎰⎰⎰Ωxyzdxdydz其中为球面x 2y 2z 21及三个坐标面所围成的在第一卦限内的闭区域解 积分区域可表示为}10 ,10 ,10|),,{(222≤≤-≤≤--≤≤=Ωx x y y x z z y x 于是 ⎰⎰⎰Ωxyzdxdydz ⎰⎰⎰---=222101010x y x xyzdz dy dx⎰⎰---=2102210)1(21x dy y x xy dx ⎰-=1022)1(81dx x x 481=7计算⎰⎰⎰Ωxzdxdydz其中是由平面z 0 z y y 1以及抛物柱面y x 2所围成的闭区域 解 积分区域可表示为 {(x y z )| 0z y x 2y 1 1x 1}于是 ⎰⎰⎰Ωxzdxdydz ⎰⎰⎰-=yx zdz dy xdx 01112⎰⎰-=1211221x dy y xdx)1(61116=-=⎰-dx x x8计算⎰⎰⎰Ωzdxdydz其中是由锥面22y x Rh z +=与平面zh (R 0h 0)所围成的闭区域解 当0z h 时 过(0 0 z )作平行于xOy 面的平面 截得立体的截面为圆D z 222)(z h R y x =+ 故D z 的半径为z h R 面积为222z h R π 于是⎰⎰⎰Ωzdxdydz⎰⎰⎰zD hdxdy zdz 0⎰==h h R dz z hR 0223224ππ9 利用柱面坐标计算下列三重积分(1)⎰⎰⎰Ωzdv其中是由曲面222y x z --=及z x 2y 2所围成的闭区域解 在柱面坐标下积分区域可表示为 021222ρρ-≤≤z于是 ⎰⎰⎰Ωzdv ⎰⎰⎰-=1022022ρρπρρθzdz d d ⎰--=1042)2(212ρρρρπdπρρρρπ127)2(1053=--=⎰d(2)⎰⎰⎰Ω+dvy x )(22 其中是由曲面x 2y 22z 及平面z 2所围成的闭区域解 在柱面坐标下积分区域可表示为02 02222≤≤z ρ于是 dv y x )(22+Ω⎰⎰⎰dz d d θρρρ⋅=Ω⎰⎰⎰2⎰⎰⎰=22123202ρπρρθdz d d⎰⎰-=205320)212(ρρρθπd d ⎰==ππθ2031638d10 利用球面坐标计算下列三重积分(1)⎰⎰⎰Ω++dvz y x )(222 其中是由球面x 2y 2z 21所围成的闭区域 解 在球面坐标下积分区域可表示为 02 00r 1于是 ⎰⎰⎰Ω++dv z y x )(222⎰⎰⎰Ω⋅=θϕϕd drd r sin 4⎰⎰⎰=104020sin dr r d d ππϕϕθπ54=(2)⎰⎰⎰Ωzdv其中闭区域由不等式x 2y 2(z a )2a 2 x 2y 2z 2 所确定解 在球面坐标下积分区域可表示为ϕπϕπθcos 20 ,40 ,20a r ≤≤≤≤≤≤于是⎰⎰⎰⎰⎰⎰ΩΩ⋅=θϕϕϕd drd r r zdv sin cos 2⎰⋅=404)cos 2(41cos sin 2πϕϕϕϕπd a4405467cos sin 8a d a πϕϕϕππ==⎰11 选用适当的坐标计算下列三重积分(1)⎰⎰⎰Ωxydv其中为柱面x 2y 21及平面z 1 z 0 x 0 y 0所围成的在第一卦限内的闭区域解 在柱面坐标下积分区域可表示为10 ,10 ,20≤≤≤≤≤≤z ρπθ于是 ⎰⎰⎰Ωxydv ⎰⎰⎰Ω⋅⋅=dz d d θρρθρθρsin cos⎰⎰⎰==101032081cos sin dz d d ρρθθθπ别解 用直角坐标计算⎰⎰⎰Ωxydv ⎰⎰⎰-=1010102dz ydy xdx x ⎰⎰-=21010x ydy xdx ⎰-=103)22(dx x x 81]84[1042=-=x x (2)⎰⎰⎰Ω++dvz y x 222 其中是由球面x 2y 2z 2z 所围成的闭区域解 在球面坐标下积分区域可表示为ϕπϕπθcos 0 ,20 ,20≤≤≤≤≤≤r于是 ⎰⎰⎰Ω++dv z y x 222⎰⎰⎰⋅=ϕππϕϕθcos 022020sin dr r r d d10cos 41sin 2204πϕϕϕππ=⋅=⎰d(3)⎰⎰⎰Ω+dvy x )(22 其中是由曲面4z 225(x 2y 2)及平面z 5所围成的闭区域解 在柱面坐标下积分区域可表示为 525 ,20 ,20≤≤≤≤≤≤z ρρπθ于是 ⎰⎰⎰Ω+dv y x )(22⎰⎰⎰=52520320ρπρρθdz d dπρρρπ8)255(2203=-=⎰d(4)⎰⎰⎰Ω+dvy x )(22 其中闭区域由不等式Az y x a ≤++≤<2220 z所确定解 在球面坐标下积分区域可表示为Ar a ≤≤≤≤≤≤ ,20 ,20πϕπθ于是 ⎰⎰⎰Ω+dv y x )(22θϕϕθϕϕϕd drd r r r sin )sin sin cos sin (2222222⎰⎰⎰Ω+=)(154sin 55420320a A dr r d d Aa -==⎰⎰⎰πϕϕθππ12 利用三重积分计算下列由曲面所围成的立体的体积(1)z 6x 2y 2及22y x z +=解 在柱面坐标下积分区域可表示为0 2 02 z 62于是 ⎰⎰⎰⎰⎰⎰ΩΩ==dz d d dv V θρρ⎰⎰⎰-=262020ρρπρρθdz d d⎰=--=2032332)6(2πρρρρπd(2)x 2y 2z 22az (a 0)及x 2y 2z 2(含有z 轴的部分)解 在球面坐标下积分区域可表示为ϕπϕπθcos 20 ,40 ,20a r ≤≤≤≤≤≤于是 ⎰⎰⎰⎰⎰⎰ΩΩ==θϕϕd drd r dv V sin 2⎰⎰⎰=ϕππϕϕθcos 2024020sin a dr r d d34033sin cos 382a d a πϕϕϕππ==⎰(3)22y x z +=及zx 2y 2解 在柱面坐标下积分区域可表示为 02 01 2z于是 6)(2103210202πρρρπρρθρρπ=-===⎰⎰⎰⎰⎰⎰⎰Ωd dz d d dv V(4)225y x z --=及x 2y 24z解 在柱面坐标下积分区域可表示为 22541 ,20 ,20ρρρπθ-≤≤≤≤≤≤z于是 ⎰⎰⎰-=22541220ρρπρρθdz d d V)455(32)45(22022-=--=⎰πρρρρπd13 球心在原点、半径为R 的球体 在其上任意一点的密度的大小与这点到球心的距离成正比 求这球体的质量 解 密度函数为222),,(z y x k z y x ++=ρ 在球面坐标下积分区域可表示为02r R于是 ⎰⎰⎰Ω++=dv z y x k M 2224220sin R k dr r kr d d R πϕϕθππ=⋅=⎰⎰⎰。
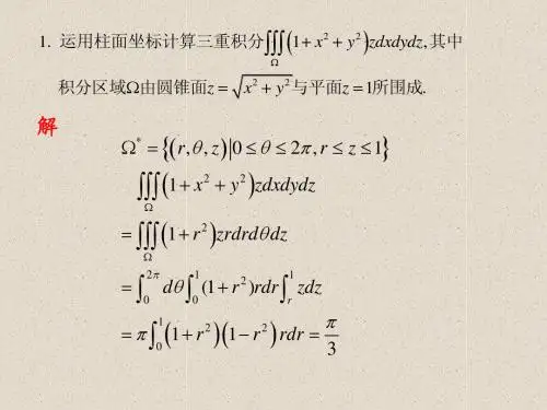
高等数学三重积分例题一、计算三重积分∭_varOmega z dV,其中varOmega是由锥面z = √(x^2)+y^{2}与平面z = 1所围成的闭区域。
1. 利用柱坐标计算在柱坐标下x = rcosθ,y = rsinθ,z = z,dV = rdzdrdθ。
锥面z=√(x^2)+y^{2}在柱坐标下就是z = r。
由锥面z = r与平面z = 1所围成的闭区域varOmega,其在柱坐标下的范围为:0≤slantθ≤slant2π,0≤slant r≤slant1,r≤slant z≤slant1。
2. 计算积分则∭_varOmegaz dV=∫_0^2πdθ∫_0^1rdr∫_r^1zdz。
先计算关于z的积分:∫_r^1zdz=(1)/(2)(1 r^2)。
再计算关于r的积分:∫_0^1r×(1)/(2)(1 r^2)dr=(1)/(2)∫_0^1(rr^3)dr=(1)/(2)((1)/(2)-(1)/(4))=(1)/(8)。
最后计算关于θ的积分:∫_0^2πdθ = 2π。
所以∭_varOmegaz dV=(1)/(8)×2π=(π)/(4)。
二、计算三重积分∭_varOmega(x + y+z)dV,其中varOmega是由平面x = 0,y = 0,z = 0及x + y+z = 1所围成的四面体。
1. 利用直角坐标计算对于由平面x = 0,y = 0,z = 0及x + y + z=1所围成的四面体varOmega,其范围为0≤slant x≤slant1,0≤slant y≤slant1 x,0≤slant z≤slant1 x y。
则∭_varOmega(x + y + z)dV=∫_0^1dx∫_0^1 xdy∫_0^1 x y(x + y + z)dz。
2. 计算积分先计算关于z的积分:∫_0^1 x y(x + y+z)dz=(x + y)z+(1)/(2)z^2big|_0^1 x y=(x + y)(1 x y)+(1)/(2)(1 x y)^2展开得x + y-(x^2+2xy + y^2)+(1)/(2)(1 2x 2y+x^2+2xy + y^2)进一步化简为x + y x^2-2xy y^2+(1)/(2)-x y+(1)/(2)x^2+xy+(1)/(2)y^2即(1)/(2)-x^2-xy (1)/(2)y^2。
重积分练习题含答案第十章重积分练习结论1:如果积分区域D 关于y 对称,}0,),(),{(1≥∈=x D y x y x D 则=--=-=DD y x f y x f d y x f y x f y x f d y x f 1),(),(),(2),(),(0),(时当时当σσ结论2:如果积分区域D 关于x 轴对称,}0,),(),{(1≥∈=y D y x y x D 则=--=-=DD y x f y x f d y x f y x f y x f d y x f 1),(),(),(2),(),(0),(时当时当σσ结论3:如果积分区域D 关于坐标原点O 对称,则=---=--=DD y x f y x f d y x f y x f y x f d y x f 1),(),(),(2),(),(0),(时当时当σσ其中}0,),(),{(1≥∈=x D y x y x D结论4:如果积分区域D 关于直线=y x 对称,则=DDd x y f d y x f σσ),(),(练习11.求σ-=??d x y I D2,其中2y 0,1x 1:D ≤≤≤≤-2.证明??-=xab abady y b y f dy y f dx ))(()((f 连续)3. 设)(x f 在区间],[b a 上连续,且0)(>x f ,试证明? ->b aba ab dx x f dx x f 2)()(1)(4.计算[]??++Ddxdy y x yf x )(122,其中D 由3x y =,1=y ,1-=x 围成。
5.计算vdv y x I )(22,v 是由yOz 平面上曲线z y 2=绕z 轴旋转所得平面2=z ,8=z 所围区域。
6. 设函数)(x f 连续,[]d v y x f zt F v++=)()(222,其中{}H z t yx z y x V ≤≤≤+=0,),,222(,试求dtdF 和2)(limtt F t →7. 求曲面221y x z ++=在点)3,1,1(0-M 的切平面与曲面22y x z +=所围立体的体积V8.设半径为R 的球面∑的球心在定球面)0(222>=++a a z y x 上,问当R 取何值时,∑在定球面内部的那部分1∑的面积最大?练习21.计算??Dxyd σ,其中区域D 是由抛物线12-=x y 及直线x y -=1所围成的区域-8272.计算??+Dyx d eσ,其中D 是由1≤+y x 所确定的区域 ??? ?-e e 13.计算??+Ddxdy y x )sin(,其中D 为正方形区域:ππ≤≤≤≤y x 0,0 )2(π4.更换积分次序① ??211),(x xdy y x f dx ② ??-π0sin sin2),(xx dy y x f dx5.计算由平面0,0,6===++y x z y x 及42=+y x 所围成的立体的体积 ??3646. 球体2222+x y z R +≤与Rz z y x 2222≤++的公共部分为一立体,求其体积3125R π7. 计算三重积分Ωzdxdydz ,其中Ω为由圆锥面的22yx z +=及平面1=z 所围成区域 ??4π8. 分别用柱面坐标、球面坐标和直角坐标计算三重积分Ω=zdv x I 2,其中Ω是由球面2222=++z y x 及圆锥面22y x z +=所围成(含z 轴部分) ??12π9. 求球面2222a z y x =++含在圆柱面ax y x =+2 2内部的那部分面积(0>a )))2(2(2-πa重积分练习一参考答案1.求σ-=d x y I D2,其中2y 0,1x 1:D ≤≤≤≤-解:如图,曲线2x y =把区域D 分为1D 和2D ,其中1x 1D 1≤≤-:,2x y 0≤≤;2y x,1x 1:D 22≤≤≤≤-σ-+σ-=σ-=d x y d y xd x y I 21D 2D 2D2()()??--=-?+-?=1122112221513xx dyx y dx dy y xdx2.证明??-=x ab abady y b y f dy y f dx ))(()((f 连续)证:左端=??xabady y f dx )(,??≤≤≤≤bx a x y a D ,作出积分域交换积分顺序,?? ≤≤≤≤by a b x y D左端==xab ady y f dx )(??by b adx y f dy )(?=-=b ady y b y f ))((右端,证毕!注:本题还可这样证明:令?--=t axat adx x t x f dy y f dx t F ))(()()(,证明0)(0)(=?='t F t F3.设)(x f 在区间],[b a 上连续,且0)(>x f ,试证明?->b abaa b dx x f dx x f 2)()(1)(证:设平面区域},),({b y a b x a y x D ≤≤≤≤=,D 关于直线x y =对称=∴b ab ab ady y f dx x f dx x f dx x f )(1)()(1)(222)()()()()(221)()()()(21)()()()(21)()()()(a b d x d y d x d yy f x f y f x f d x d y y f x f y f x f d x d y x f y f y f x f d x d y x f y f d x d y y f x f DDD DDD-==≥+=+==4.计算[]??++Ddxdy y x yf x )(122,其中D 由3x y =,1=y ,1-=x 围成。
三重积分计算详解例题当我们进行三重积分计算时,通常会遇到一个三维空间中的函数,我们希望求解该函数在某个特定区域上的体积、质量、质心等物理量。
下面我将以一个具体的例题来详细解释三重积分的计算过程。
假设我们要计算函数f(x, y, z) = x^2 + y^2 + z^2在球体x^2 + y^2 + z^2 <= 1上的体积。
首先,我们需要确定积分的顺序,由于球体的形状对称性较好,我们选择球坐标系进行积分。
球坐标系下,积分区域为0 ≤ r ≤ 1, 0 ≤ θ ≤ π, 0 ≤ φ ≤ 2π。
接下来,我们可以按照r、θ、φ的顺序进行积分。
首先对r进行积分,然后是θ,最后是φ。
具体的计算过程如下:∫∫∫(球体内部) x^2 + y^2 + z^2 dV = ∫[0, 2π] ∫[0, π] ∫[0, 1] (r^2) r^2 sin(θ) dr dθ dφ。
其中,dV = r^2 sin(θ) dr dθ dφ是球坐标系下的体积元素。
对r进行积分后得到,∫[0, 2π] ∫[0, π] ∫[0, 1] r^4sin(θ) dr dθ dφ = 2π ∫[0, π] sin(θ) dθ ∫[0, 1]r^4 dr.继续计算可得,2π (-cos(π) + cos(0)) (1/5) = 2π (2) (1/5) = 4π/5。
因此,函数f(x, y, z) = x^2 + y^2 + z^2在球体x^2 + y^2+ z^2 <= 1上的体积为4π/5。
这就是对三重积分计算的详细解释。
在实际应用中,我们可以根据具体情况选择合适的坐标系和积分顺序,通过逐步积分来求解体积、质心等物理量。
希望这个例题能够帮助你更好地理解三重积分的计算过程。
三重积分例题
1. 嘿,来看看这道三重积分例题呀!就像在一个复杂的迷宫里找宝藏,比如求一个奇形怪状的立体体积,那可真得好好琢磨琢磨呢!
2. 哇哦,这道三重积分例题可有意思啦!好比要给一个不规则的大蛋糕算出它的大小,你不想试试怎么解吗?
3. 嘿呀,瞧瞧这道三重积分例题!就像是要弄清楚一个神秘盒子里到底装了多少东西,是不是很有挑战性?
4. 哎呀,这道三重积分例题真不简单呢!仿佛是在破解一个超级难的密码锁,谁能解开它呀?
5. 嘿,这道三重积分例题很特别哟!好像是要给一片乱七八糟的云朵计算它的质量,你能想明白怎么算吗?
6. 哇,这道三重积分例题够厉害的!就如同要给一个歪歪扭扭的建筑算出它的用料,这可不容易啊!
7. 嘿哟,这道三重积分例题挺有趣的呢!好比要搞清楚一个奇怪形状的水池能装多少水,有意思吧?
8. 哎呀呀,这道三重积分例题有点难搞哦!仿佛是要从一堆乱麻中找出关键线索,你敢挑战吗?
9. 嘿,快来看这道三重积分例题!就像要给一个奇幻世界里的魔法物品计算能量,是不是很神奇?
10. 哇塞,这道三重积分例题太有迷惑性了!简直就是要在一个迷雾森林里找到正确的路,谁能解得开呀?
我的观点结论:三重积分例题真的是丰富多彩,每一道都有它独特的魅力和挑战,让人忍不住想要去探索和求解。
第十章 习题二三重积分一.选择题1.设2222:(0)x y z a z Ω++≤≥,1Ω为Ω在第一卦限的部分,则有( C ) (A )⎰⎰⎰⎰⎰⎰ΩΩ=14xdv dv x ; (B )⎰⎰⎰⎰⎰⎰ΩΩ=14ydv dv y ;(C )⎰⎰⎰⎰⎰⎰ΩΩ=14zdv dv z ; (D )⎰⎰⎰⎰⎰⎰ΩΩ=14xyzdv zdv xy .2.设dv z y x f t f t z y x )(41)(2222222⎰⎰⎰≤++++=π在),0(+∞上恒正且可微,则( B )(A )t t f t f =')()(; (B )2)()(t t f t f ='; (C )3)()(t t f t f ='; (D )4)()(t t f t f ='. 二.填空题1.⎰⎰⎰≤++=⋅⋅+⋅⋅+⋅⋅1222222222)sin sin sin sin sin sin sin sin (sin z y x dv z y x z y x z y x 0 .2.=⎰⎰⎰Ωθϕϕd drd r 22sin 261π ,其中Ω:10≤≤r ,πθ20≤≤,20πϕ≤≤.三.计算题(每题均请画出积分区域) 1.将11000(,,)x x yI dx dy f x y z dz -+=⎰⎰⎰的积分顺序调整成先对x 、再对z 、最后对y 做积分。
解:先交换x,y ,易见1100(,,)y x yI dy dx f x y z dz -+=⎰⎰⎰再交换z ,x ,1100(,,)y x yI dy dx f x y z dz -+=⎰⎰⎰111110(,,)(,,)yy yyz ydy dz f x y z dx dy dz f x y z dx ---=+⎰⎰⎰⎰⎰⎰。
2.计算22221201sin(1)x y x y dxdy z dz --+≤-⎰⎰⎰.解:交换积分顺序,先二后一:=-⎰⎰⎰--≤+dz z dxdy y x y x 22221021)1sin()1cos 1(2-π3.计算dxdydz y x ⎰⎰⎰Ω2,其中Ω为三个坐标面及平面12=++z y x 所围成的闭区域。