高中数学放缩法公式[001]
- 格式:doc
- 大小:124.50 KB
- 文档页数:3
数列与不等式综合问题一裂项放缩 放缩法证明与数列求和有关的不等式中,很多时候要留一手,即采用有保留的方法,保留数列第一项或前两项,从数列第二项或第三项开始放缩,这样才不至于结果放得过大或过小。
常见裂项放缩技巧:例1 求证(1) 变式训练 [2016·湖南怀化质检]设数列{a n }的前n 项和为S n ,已知a 1=1,2S n n =a n +1-13n 2-n -23,n ∈N *. 求数列{a n }的通项(1)公式;(2)证明:1a 1+1a 2+…+1a n<74. [2014·广东高考]设各项均为正数的数列{a n }的前n 项和为S n ,且S n 满足S 2n -(n 2+n -3)S n -3(n 2+n )=0,n ∈N *.(1)求a 1的值;(2)求数列{a n }的通项公式;(3)证明:对一切正整数n ,有1a 1?a 1+1?+1a 2?a 2+1?+…+1a n ?a n +1?<13. 二等比放缩(一般的,形如 的数列,求证都可以等比放缩)例4 [2014·课标全国卷Ⅱ]已知数列{a n }满足a 1=1,a n +1=3a n +1.(1)证明⎩⎨⎧⎭⎬⎫a n +12是等比数列,并求{a n }的通项公式; (2)证明1a 1+1a 2+…+1a n<32. 变式训练【2012.广东理】已知数列{a n }满足111221,1n n n s a a ++=-+=(1)求{a n }的通项公式2311111()21212121n n *++++<∈++++N 例求证:,n n n n n a a b a a b =-=-12111....nk a a a +++<231111+++......+12222n<(2)证明:对一切正整数n ,都有121113 (2)n a a a +++< 三伯努利不等式应用及推广 对任意的实数()()*1,11nx x nx n N >-+≥+∈有伯努利不等式 例:求证()1111+11+1....13521n ⎛⎫⎛⎫⎛⎫++> ⎪⎪ ⎪-⎝⎭⎝⎭⎝⎭变式训练【2008,福建理】已知函数()()ln 1f x x x =+-(1)求f (x )的单调区间(2)记f (x )在[]()0,n n N ∈上的最小值是n b ,令()ln 1n n a x b =+-,求证1313211224242......1...n na a a a a a a a a a a a -+++< 伯努利不等式的推广对任意的实数,例,【2006,江西理】已知数列{a n }满足()11133,2221n n n na a a n a n --==≥+- (1)已知数列{a n }满足(2)证明:对于一切正整数n ,不等式123...2!n a a a a n <恒成立。
常见不等式放缩公式
不等式缩放法是数学中一种用来更改不等式范围的方法,它还可以帮助更好地
描述不同类型的数据或数据集。
它有助于更好地比较不同数据之间的相对关系,并帮助我们更好地理解这些数据。
不等式是一种衡量两个变量之间关系的公式,它可以被表达为一组数学关系,
它定义了一组解对应于变量之间的关系。
比如,x>y表明x大于y,而x<y表明x
小于y。
不等式放缩法将不等式范围替换为一个更简单的范围,这样可以使关系更容易
理解。
不等式的放缩可以是线性的或逻辑的。
一般来说,在线性放缩中,变量之间的关系会在另一组变量之间保持不变。
例如,如果两个变量之间的关系是a>b,那
么在线性放缩中,这样的关系会变成c>d,这意味着变量之间的差距也将保持不变。
而逻辑放缩则是引入一个新变量,这个新变量可以被用来简化不等式范围。
而
经过线性放缩之后,原始不等式中的一些变量可能会被新的放缩变量取代。
此外,对于复杂的不等式,放缩公式也可以用来帮助你更容易理解它们之间的
关系。
比如,如果你有一个更复杂的不等式a> b+c,你可以将这个不等式放缩为
d>e+f,这样就方便理解它们之间的关系。
总而言之,不等式放缩法是一种非常有用的工具,它可以帮助我们对复杂的不
等式有更好的理解,同时也可以帮助我们更好地比较不同数据或数据集之间的关系。
由于它有助于更好地理解变量之间的关系,因此它可以为我们提供更好的决策结果。
4.3.4放缩法1.放缩法这也是分析法的一种特殊情况,它的根据是不等式的传递性— a≤b,b≤c,则a≤c,只要证明"大于或等于a 的"b≤c 就行了. (5)放缩法:将不等式一侧适当的放大或缩小以达证题目的. 2.放缩法的方法有:①添加或舍去一些项,如:a a >+12;n n n >+)1(; ②将分子或分母放大(或缩小); ③利用基本不等式,如:4lg 16lg 15lg )25lg 3lg (5lg 3log 2=<=+<⋅; 2)1()1(++<+n n n n ; ④先放缩再求和(或先求和再放缩) ⑤先放缩,后裂项(或先裂项再放缩) ⑥逐项放大或缩小⑦固定一部分项,放缩另外的项; ⑧先适当组合, 排序, 再逐项比较或放缩 ⑨利用常用结论:kkk k k 21111<++=-+;k k k k k 111)1(112--=-< ; 111)1(112+-=+>k k k k k (程度大) )1111(21)1)(1(111122+--=+-=-<k k k k k k ; (程度小)1.证明当k 是大于1的整数时,,我们可以用放缩法的一支——“逐步放大法”,证明如下:2. 若水杯中的b 克糖水里含有a 克糖,假如再添上m 克糖,糖水会变得更甜,试将这一事实用数学关系式反映出来,并证明之.分析:本例反映的事实质上是化学问题,由浓度概念(糖水加糖甜更甜)可知)0,0(>>>++<m a b mb m a b a . 解:由题意得)0,0(>>>++<m a b mb ma b a . 证法一:(比较法))()()()()(m b b a b m m b b m b a m a b b a m b m a +-=++-+=-++. 0,0>>>m a b ,0,0>+>-∴m b a b ,ba mb m a m b b a b m >++>+-∴即0)()(.证法二:(放缩法)00>>>m a b 且 ,mb m a m b mb aa mb b m b a b a ++<++=++=∴)()(. 证法三:(数形结合法)如图,在Rt ∆ABC 及Rt ∆ADF 中,AB=a ,AC=b ,BD=m ,作CE ∥BD .ADF ABC ∆∆∽ , mb m a CE b m a CF b m a b a ++=++<++=∴.A3. 已知a ,b ∈R ,且a+b=1. 求证:()()2252222≥+++b a . 证法一:(比较法)a b b a R b a -=∴=+∈1,1,,()()2222259224()22a b a b a b ∴+++-=+++- 2222911(1)4222()0222a a a a a =+-+-=-+=-≥即()()2252222≥+++b a (当且仅当21==b a 时,取等号).证法二:(分析法) ()()2258)(4225222222≥++++⇐≥+++b a b a B a ⎪⎩⎪⎨⎧≥-⇐≥++-+-=⇐0)21(22584)1(1222a a a ab 因为显然成立,所以原不等式成立. 证法三:(均值换元法)∵1a b +=,所以可设t a +=21,t b -=21, ∴左边=()()22221122(2)(2)22a b t t +++=+++-+22255252522222t t t ⎛⎫⎛⎫=++-=+≥⎪ ⎪⎝⎭⎝⎭=右边. 当且仅当t=0时,等号成立.点评:形如a+b=1结构式的条件,一般可以采用均值换元. 证法七:(利用一元二次方程根的判别式法)设y=(a+2)2+(b+2)2,由a+b=1,有1322)3()2(222+-=-++=a a a a y , 所以013222=-+-y a a ,因为R a ∈,所以0)13(244≥-⋅⋅-=∆y ,即225≥y . 故()()2252222≥+++b a . 证法四:(反证法)假设225)2()2(22<+++b a ,则 2258)(422<++++b a b a .由a+b=1,得a b -=1,于是有22512)1(22<+-+a a . 所以0)21(2<-a ,这与0212≥⎪⎭⎫ ⎝⎛-a 矛盾.所以()()2252222≥+++b a . 证法五:(放缩法)∵1a b += ∴左边=()()()()222222222a b a b +++⎡⎤+++≥⎢⎥⎣⎦()2125422a b =++=⎡⎤⎣⎦=右边. 点评:根据欲证不等式左边是平方和及a+b=1这个特点,选用基本不等式22222⎪⎭⎫⎝⎛+≥+b a b a .4.设实数x ,y 满足y+x 2=0,0<a<1.求证:812log )(log +≤+a yx a a a . 证明:(分析法)要证812log )(log +≤+a yx a a a , 10<<a ,只要证:812a a a yx ≥+,又222y x yxyxaaa a a +=+≥+ ,∴只需证:41a ayx ≥+. ∴只需证41≤+y x ,即证0412≥+-x x ,此式显然成立.∴原不等式成立.5.设m 等于a ,b 和1中最大的一个,当m x >时,求证:22<+x bx a . 分析:本题的关键是将题设条件中的文字语言“m 等于a ,b 和1中最大的一个”翻译为符号语言“a m ≥,b m ≥,1≥m ”,从而知a m x ≥>. 证明:(综合法)a m x ≥> ,,1x m b x m >≥>≥.22222 1.2a b x xa b a bx x x x x x x x∴+≤+=+<+=.6.已知,,a b c R +∈,1a b c ++=,求证:222111100()()()3a b c a b c +++++≥证明 ∵ 1a b c ++=∴ 1=2222222()2223()a b c a b c ab bc ca a b c ++=+++++≤++∴ 22213a b c ++≥又 ∵22222222111111()()27a b c a b c a b c ++=++++≥⨯= ∴ 222222222111111()()()()6()a b c a b c a b c a b c +++++=++++++110062733≥++= ∴ 222111100()()()3a b c a b c +++++≥7.若a , b , c , d ∈R +,求证:21<+++++++++++<ca d db dc c a c b bd b a a证明: 记m =ca d db dc c a c b bd b a a +++++++++++∵a , b , c , d ∈R + ∴1=+++++++++++++++>c b ad db a dc c a c b a bd c b a a m2=+++++++<cd dd c c b a b b a a m ∴1 < m < 2 即原式成立8.当 n > 2 时,求证:1)1(log )1(log <+-n n n n 证明: ∵n > 2 ∴0)1(log ,0)1(log >+>-n n n n∴2222)1(log 2)1(log )1(log )1(log )1(log ⎥⎦⎤⎢⎣⎡-=⎥⎦⎤⎢⎣⎡++-<+-n n n n n n n n n n 12log 22=⎥⎦⎤⎢⎣⎡<n n ∴n > 2时, 1)1(log )1(log <+-n n n n 9. 求证:213121112222<++++n证明:nn n n n 111)1(112--=-< ∴2121113121211113121112222<-=+-++-+-+<++++n n n n10.设x > 0, y > 0,y x y x a +++=1, yyx x b +++=11,求证:a < b 证明:yyx x y x y y x x y x y x +++<+++++=+++11111 11.lg9•lg11 < 1证明:122299lg 211lg 9lg 11lg 9lg 222=⎪⎭⎫⎝⎛<⎪⎭⎫ ⎝⎛=⎪⎭⎫ ⎝⎛+≤⋅12.若a > b > c , 则0411≥-+-+-ac c b b a 证明:c a c b b a c b b a c b b a -=⎪⎪⎭⎫ ⎝⎛-+-≥--≥-+-4)()(22))((1211213.)2,(11211112≥∈>+++++++n R n nn n n 证明:左边11111122222=-+=++++>n nn n n n n n 14.121211121<+++++≤n n n 证明:11121<⋅+≤≤⋅n n n n 中式 15.已知a , b , c > 0, 且a 2 + b 2 = c 2,求证:a n + b n < c n (n ≥3, n ∈R *)证明: ∵122=⎪⎭⎫⎝⎛+⎪⎭⎫ ⎝⎛c b c a ,又a , b , c > 0, ∴22,⎪⎭⎫ ⎝⎛<⎪⎭⎫ ⎝⎛⎪⎭⎫ ⎝⎛<⎪⎭⎫ ⎝⎛c b c b c a c a n n∴<⎪⎭⎫ ⎝⎛+⎪⎭⎫ ⎝⎛n n c b c a 122=⎪⎭⎫⎝⎛+⎪⎭⎫ ⎝⎛c b c a ⇒ a n + b n < c n16.已知,,x y z R ∈,且2228,24x y z x y z ++=++= 求证:4443,3,3333x y z ≤≤≤≤≤≤ 证明:显然2222()()8,8202x y x y x y z xy z z +-++=-==-+ ,x y ∴是方程22(8)8200t z x z z --+-+=的两个实根, 由0≥得443z ≤≤,同理可得443y ≤≤,443x ≤≤17. 设a ,b 为不相等的两正数,且a 3-b 3=a 2-b 2,求证143<+<a b 。
导数大题中最常用的放缩大法相信不少读者在做高考导数解答题时都有这样的感悟,将复杂的函数求导,再对导函数求导,再求导,然后就没有然后了......如果懂得了最常见的放缩,如:人教版课本中常用的结论⑴sin ,(0,)x x x π<∈,变形即为sin 1x x<,其几何意义为sin ,(0,)y x x π=∈上的的点与原点连线斜率小于1.⑵1x e x >+⑶ln(1)x x >+⑷ln ,0x x x e x <<>.将这些不等式简单变形如下: exx ex e x e x x x x x 1ln ,,1,1ln 11-≥≥+≥-≤≤-那么很多问题将迎刃而解。
例析:(2018年广州一模)x e x x f x x ax x f 2)(,0,1ln )(⋅≤>++=若对任意的设恒成立,求a 的取值范围。
放缩法:由可得:1+≥x e x 2)1(ln 1ln 2)1(ln )1(ln 1ln ln 22=+-++≥+-=+-=+-+x x x x x x e x x xe x x e x x x x高考中最常见的放缩法可总结如下,供大家参考。
第一组:对数放缩(放缩成一次函数)ln 1x x ≤-,ln x x <,()ln 1x x +≤ (放缩成双撇函数)()11ln 12x x x x ⎛⎫<-> ⎪⎝⎭,()11ln 012x x x x ⎛⎫>-<< ⎪⎝⎭, )ln 1x x<>,)ln 01x x ><<, (放缩成二次函数)2ln x x x ≤-,()()21ln 1102x x x x +≤--<<,()()21ln 102x x x x +≥-> (放缩成类反比例函数)1ln 1x x≥-,()()21ln 11x x x x ->>+,()()21ln 011x x x x -<<<+, ()ln 11x x x +≥+,()()2ln 101x x x x +>>+,()()2ln 101x x x x +<<+第二组:指数放缩(放缩成一次函数)1x e x ≥+,x e x >,x e ex ≥, (放缩成类反比例函数)()101x e x x ≤≤-,()10x e x x<-<, (放缩成二次函数)()21102x e x x x ≥++>,2311126x e x x x ≥+++, 第三组:指对放缩()()ln 112x e x x x -≥+--=第四组:三角函数放缩()sin tan 0x x x x <<>,21sin 2x x x ≥-,22111cos 1sin 22x x x -≤≤-. 第五组:以直线1y x =-为切线的函数ln y x =,11x y e -=-,2y x x =-,11y x=-,ln y x x =. 拓展阅读:为何高考中总是考这些超越函数呢?和x e x ln 因为高考命题专家是大学老师,他们站在高观点下看高中数学,一览无遗。
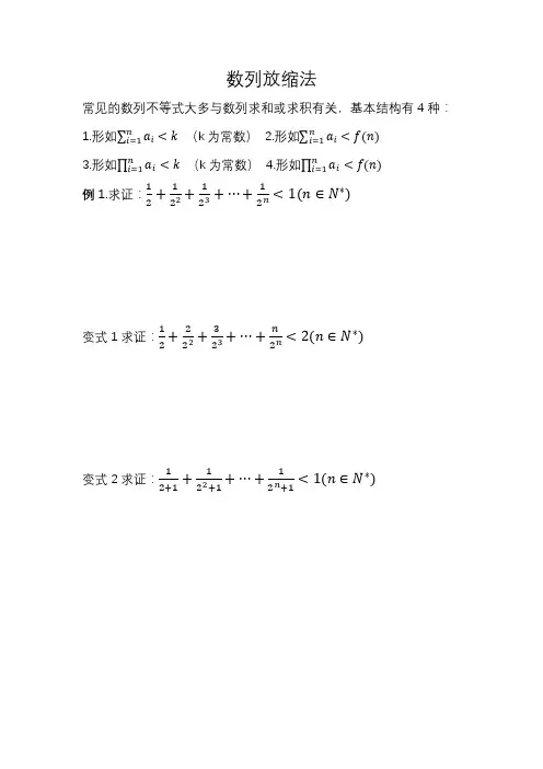
数列放缩法常见的数列不等式大多与数列求和或求积有关,基本结构有4种:1.形如∑a i n i=1<k (k 为常数)2.形如∑a i n i=1<f (n )3.形如∏a i n i=1<k (k 为常数)4.形如∏a i ni=1<f (n )例1.求证:12+122+123+⋯+12n<1(n ∈N ∗)变式1求证:12+222+323+⋯+n 2n<2(n ∈N ∗)变式2求证:12+1+122+1+⋯+12n +1<1(n ∈N ∗)变式3求证:12+1+222+2+⋯+n2n+n<2(n∈N∗)例2.求证:11×3+13×5+⋯+1(2n−1)(2n+1)<12(n∈N∗)变式1求证:11×3+13×5+⋯+1(2n−1)(2n+1)≤13(n∈N∗)变式2求证:12×3+13×5+⋯+1(n+1)(2n+1)<512(n∈N∗)例3.求证:1+122+132+⋯⋅1+n2<2(n∈N∗)变式1求证:1+122+132+⋯⋅1+n2<74(n∈N∗)变式2求证:1+122+132+⋯⋅1+n2<53(n∈N∗)变式3求证:1+132+152+⋯⋅1(2n−1)2<54(n∈N∗)例4.已知数列{a n},a n=2n2n−1(n∈N∗)求证:∑a i(a i−1)ni=1<3变式.已知数列{a n},a n=2n2n−1(n∈N∗)求证:∑a i(a i−1)ni=1<25 9例5. 求证:13−2+132−22+⋯+13n−2n<32(n∈N∗)变式.求证:13−2+132−2+⋯+13n−2<1714(n∈N∗)例6. 求证:2(√n+1−1)<1+√2+√3+⋯+√n<2√n(n∈N∗)变式.求证:1+√2+√3+⋯+√n<√2(√2n+1−1)(n∈N∗)例7. 求证:12×34×56⋯2n−12n<√12n+1(n ∈N ∗)变式.求证:(1+1)(1+14)(1+17)⋯(1+13n−2)>√3n +13(n ∈N ∗)常见放缩公式: 平方型:1n (n+1)<1n 2<1n (n−1) (n ≥2)1n 2<1n 2−1=12(1n−1−1n+1)(n ≥2) 1n 2=44n 2<44n 2−1=2(12n −1−12n +1) 1(2n −1)2<14n (n −1)=14(1n −1−1n)(n ≥2)立方型:1n 3<1n (n 2−1)=12n (1n−1−1n+1)=12[1(n−1)n−1n (n+1)] (n ≥2)根式型:2(√n+1−√n)=2√n+1+√n<1√n=22√n<2√n+√n−1=2(√n−√n−1)1√n =2√22√2n<2√2√2n−1+√2n+1=√2(√2n+1−√2n−1) 1√n+2=22√n+2<2√n+2+√n=√n+2−√n1√n(n+1)<1√n+√n−1=√n−√n−1指数型:1a n−b n ≤1a n−1(a−b)(a>b≥1)证:1a n−b n =1a n−1[a−b⋅(ba)n−1]≤1a n−1[a−b⋅(ba)]=1a n−1(a−b)1a n−b≤1a n−1(a−b)(a>b≥1)证:1a n−b =1a n−1(a−ba n−1)≤1a n−1(a−ba0)=1a n−1(a−b)13n<13n−2≤13n−114n<14n−3≤14n−114n<14n−1≤13⋅4n−1奇偶型:2n−1 2n <2n−1√(2n−1)(2n+1)<√2n−12n+1。
高等(泰勒、定积分)放缩这种放缩其实是不难的,题目出来出去也就这么几种,这种放缩类型的题在高考中尤其受欢迎,近几年也频频出现,它有着浓厚的高等数学背景,大多跟泰勒展开和定积分有关,下面我们先简单介绍一下泰勒公式和定积分的知识。
一 在初等数学中,我们可直接认为泰勒公式是:(2)()20000000()()()()()()()...()1!2!!n n f x f x f x f x f x x x x x x x n '=+-+-++-特别的,取00x =,我们有(2)()2(0)(0)(0)()(0)...1!2!!n nf f f f x f x x x n '=++++下面列举常见的泰勒展开式:()()()()21213521...1!2!!1sin ...3!5!21!nxn n n n x x x e o x n x x x x x o x n --=+++++-=-++++- ()()()224211cos 1...2!4!2!nn n x x x x o x n +-=-++++ ()()()()35512312tan 31511ln 1...123nn n x x x x o x x x x x x o x n+=++++=-+++-+ ()211...1n n x x x o x x=+++++- 上述泰勒展开式是用于函数放缩的有力工具,可以将一切难看的函数(sin,cos,ln 等)转化为一元多项式,便于导数求解。
定积分其实从几何图形上理解就是求面积,比如求函数2()f x x =的图像与x 轴从1到3围成的图形的面积(如下图)阴影部分的面积S 3233331111180313333x dx x ===⨯-⨯=⎰。
积分的运算就相当于导数的逆运算,322311,33x x x x 求导就是的原函数就是,所以放缩中就会利用构造图形比较面积大小来出题,这时它的背景就是定积分,著名的2003年江苏高考压轴题就是典型的例子,后面会有介绍。
高中数学导数放缩法导数作为数学中重要的概念,是微积分中的一个基础知识。
在高中数学中,导数是一个重要的内容,学生需要掌握导数的定义、性质和计算方法。
其中,导数的放缩法是导数的一种重要应用,能够帮助我们简化复杂的导数计算,提高计算的效率。
一、导数的定义及性质回顾在学习导数的放缩法之前,我们先来回顾一下导数的定义及性质。
在数学中,函数y = f(x)在点x处的导数定义为:f'(x) = lim(h->0)[f(x+h)-f(x)]/h这个极限表示当自变量在点x处偏离x时,函数值的变化情况。
导数有一些重要的性质,比如:1.常数函数的导数为0:即对于常数k,f(x) = k的导数为f'(x) = 02.和函数的导数:(u + v)' = u' + v'3.差函数的导数:(u - v)' = u' - v'4.常数倍函数的导数:(ku)' = ku'5.积函数的导数:(uv)' = u'v + uv'6.商函数的导数:(u/v)' = (u'v - uv')/v^2这些性质在导数的计算中起着非常重要的作用,能够帮助我们简化计算过程。
接下来,我们将介绍导数的放缩法,以及如何运用这一方法简化导数的计算。
二、导数的放缩法原理导数的放缩法是指根据导数的定义及性质,通过放缩函数的表达式,将复杂的导数计算化简为简单的计算。
具体来说,导数的放缩法主要有以下几种形式:1.基本放缩法:指利用导数的性质,将一个复杂函数拆分成几个简单函数的和、差、积或商,然后利用导数的性质求导,最后将得到的导数组合起来得到原函数的导数。
2.递推放缩法:指通过递推的方式,将一个复杂函数的导数化简为一个或多个简单函数的导数,然后根据导数的性质组合起来得到原函数的导数。
3.反函数放缩法:指利用反函数的性质,将一个函数的导数与其反函数的导数之间建立联系,通过求导得到原函数的导数。
2010高考数学备考之放缩技巧证明数列型不等式,因其思维跨度大、构造性强,需要有较高的放缩技巧而充满思考性和挑战性,能全面而综合地考查学生的潜能与后继学习能力,因而成为高考压轴题及各级各类竞赛试题命题的极好素材。
这类问题的求解策略往往是:通过多角度观察所给数列通项的结构,深入剖析其特征,抓住其规律进行恰当地放缩;其放缩技巧主要有以下几种: 一、裂项放缩 例1.(1)求∑=-nk k12142的值; (2)求证:35112<∑=nk k. 解析:(1)因为121121)12)(12(21422+--=+-=-n n n n n ,所以122121114212+=+-=-∑=n n n k n k (2)因为⎪⎭⎫ ⎝⎛+--=-=-<12112121444111222n n n n n ,所以35321121121513121112=+<⎪⎭⎫ ⎝⎛+--++-+<∑=n n k nk 奇巧积累:(1)⎪⎭⎫ ⎝⎛+--=-<=1211212144441222n n n nn(2))1(1)1(1)1()1(21211+--=-+=+n n n n n n n C C n n (3))2(111)1(1!11)!(!!11≥--=-<<⋅-=⋅=+r r r r r r n r n r n nC Tr rrn r (4)25)1(123112111)11(<-++⨯+⨯++<+n n n n (5)nn nn21121)12(21--=- (6)n n n -+<+221(7))1(21)1(2--<<-+n n n n n (8) nn n n n n n 2)32(12)12(1213211221⋅+-⋅+=⋅⎪⎭⎫ ⎝⎛+-+- (9)⎪⎭⎫ ⎝⎛++-+=+++⎪⎭⎫ ⎝⎛+-+=-+k n n k k n n n k k n k n k 11111)1(1,11111)1(1(10) !)1(1!1!)1(+-=+n n n n (11)21212121222)1212(21-++=-++=--+<n n n n n n n(11))2(121121)12)(12(2)22)(12(2)12)(12(2)12(21112≥---=--=--<--=----n n n n n n n n n n n n n n(12) 111)1(1)1(1)1)(1(11123--+⋅⎪⎪⎭⎫ ⎝⎛+--=+-<⋅=n n n n n n n n n n n n11112111111+--<-++⋅⎪⎭⎫ ⎝⎛+--=n n n n n n n(13) 3212132122)12(332)13(2221n n nn n n n n n <-⇒>-⇒>-⇒>⋅-=⋅=+(14)!)2(1!)1(1)!2()!1(!2+-+=+++++k k k k k k (15) )2(1)1(1≥--<+n n n n n(15)111)11)((1122222222<++++=+++--=-+-+j i j i j i j i j i j i j i例2.(1)求证:)2()12(2167)12(151311222≥-->-++++n n n (2)求证:nn 412141361161412-<++++ (3)求证:1122642)12(531642531423121-+<⋅⋅⋅⋅-⋅⋅⋅⋅++⋅⋅⋅⋅+⋅⋅+n nn(4) 求证:)112(2131211)11(2-+<++++<-+n nn解析:(1)因为⎪⎭⎫ ⎝⎛+--=+->-12112121)12)(12(1)12(12n n n n n ,所以 )12131(211)12131(211)12(112--+>+-+>-∑=n n i ni(2))111(41)1211(414136116141222nn n -+<+++=++++(3)先运用分式放缩法证明出1212642)12(531+<⋅⋅⋅⋅-⋅⋅⋅⋅n nn ,再结合nn n -+<+221进行裂项,最后就可以得到答案(4)首先nn n n n++=-+>12)1(21,所以容易经过裂项得到nn 131211)11(2++++<-+再证21212121222)1212(21-++=-++=--+<n n n n n n n而由均值不等式知道这是显然成立的,所以)112(2131211-+<++++n n例3.求证:35191411)12)(1(62<++++≤++n n n n解析:一方面:因为⎪⎭⎫ ⎝⎛+--=-=-<12112121444111222n n n n n ,所以35321121121513121112=+<⎪⎭⎫ ⎝⎛+--++-+<∑=n n knk 另一方面:1111)1(143132111914112+=+-=+++⨯+⨯+>++++n n n n n n 当3≥n 时,)12)(1(61++>+n n n n n,当1=n 时,2191411)12)(1(6n n n n ++++=++ ,当2=n 时,2191411)12)(1(6nn n n ++++<++ ,所以综上有35191411)12)(1(62<++++≤++n n n n例 4.(2008年全国一卷) 设函数()ln f x x x x =-.数列{}n a 满足101a <<.1()n n a f a +=.设1(1)b a ∈,,整数11ln a b k a b-≥.证明:1k a b +>.解析:由数学归纳法可以证明{}n a 是递增数列,故存在正整数k m ≤,使b a m ≥,则b a a k k ≥>+1,否则若)(k m b a m ≤<,则由101<<≤<b a a m 知0ln ln ln 11<<≤b a a a a a m m m ,∑=+-=-=k m m m k k k k a a a a a a a111ln ln ,因为)ln (ln 11b a k a a km m m <∑=,于是b a b a b a k a a k =-+≥+>+)(|ln |11111例5.已知m m m m m n S x N m n ++++=->∈+ 321,1,,,求证: 1)1()1(11-+<+<++m n m n S m n .解析:首先可以证明:nx x n +≥+1)1(∑=++++++++--=-++---+--=nk m m m m m m m m k k n n n n n 111111111])1([01)2()1()1( 所以要证1)1()1(11-+<+<++m n m n S m n 只要证:∑∑∑=+++++++++==++-+=-++--+-+=-+<+<--nk m m m m m m m m m n k m n k m m k k n n n n n k m k k 111111111111111])1[(2)1()1(1)1()1(])1([ 故只要证∑∑∑=++==++-+<+<--nk m m nk m nk m m k k k m k k 1111111])1[()1(])1([,即等价于m m m m m k k k m k k -+<+<--+++111)1()1()1(,即等价于11)11(11,)11(11++-<+-+<++m m kk m k k m而正是成立的,所以原命题成立. 例6.已知n n n a 24-=,nn na a a T +++=212,求证:23321<++++nT T T T .解析:)21(2)14(3421)21(241)41(4)222(444421321n n nn n n nT -+-=-----=+++-++++=所以123)2(22232234232323422234342)21(2)14(3422111111+⋅-⋅⋅=+⋅-⋅=-+=-+-=-+-=++++++n n nn n n n n n n n n n n nn T⎪⎭⎫ ⎝⎛---=--⋅⋅=+12112123)12)(122(2231n n nn n 从而231211217131311231321<⎪⎭⎫ ⎝⎛---++-+-=+++++n n nT T T T 例7.已知11=x ,⎩⎨⎧∈=-∈-==),2(1),12(Z k k n n Z k k n n x n,求证:*))(11(21114122454432N n n x x x x x x n n ∈-+>++⋅+⋅+证明:nnn n n n x x n n 222141141)12)(12(11424244122=⋅=>-=+-=+,因为 12++<n n n ,所以)1(2122214122n n n n nx x n n -+=++>>+所以*))(11(21114122454432N n n x x x x x x n n ∈-+>++⋅+⋅+二、函数放缩例8.求证:)(665333ln 44ln 33ln 22ln *N n n n n n∈+-<++++ .解析:先构造函数有xxx x x 11ln 1ln -≤⇒-≤,从而)313121(1333ln 44ln 33ln 22ln nn n n +++--<++++因为⎪⎭⎫ ⎝⎛++++++⎪⎭⎫ ⎝⎛++++++⎪⎭⎫ ⎝⎛+=+++n n n n 31121219181716151413121313121 6533323279189936365111n n n n n =⎪⎪⎭⎫ ⎝⎛+⋅++⎪⎭⎫ ⎝⎛++⎪⎭⎫ ⎝⎛++>---所以6653651333ln 44ln 33ln 22ln +-=--<++++n n n n nn例9.求证:(1))2()1(212ln 33ln 22ln ,22≥+--<+++≥n n n n n n ααααααα解析:构造函数xx x f ln )(=,得到22ln ln n n n n≤αα,再进行裂项)1(1111ln 222+-<-≤n n n n n ,求和后可以得到答案解析:构造函数后即可证明例12.求证:32)]1(1[)321()211(->++⋅⋅⨯+⋅⨯+n e n n解析:1)1(32]1)1(ln[++->++n n n n ,叠加之后就可以得到答案 例13.证明:)1*,(4)1(1ln 54ln 43ln 32ln >∈-<+++++n N n n n n n 解析:构造函数)1(1)1()1ln()(>+---=x x x x f ,求导,可以得到:12111)('--=--=x x x x f ,令0)('>x f 有21<<x ,令0)('<x f 有2>x ,所以0)2()(=≤f x f ,所以2)1ln(-≤-x x ,令12+=n x 有,1ln 22-≤n n 所以211ln -≤+n n n,所以)1*,(4)1(1ln 54ln 43ln 32ln >∈-<+++++n N n n n n n例14. 已知112111,(1).2n n na a a n n+==+++证明2n a e <.解析:nn n n n a n n a n n a )21)1(11(21))1(11(1+++<+++=+, 然后两边取自然对数,可以得到nn n a n n a ln )21)1(11ln(ln 1++++<+ 然后运用x x <+)1ln(和裂项可以得到答案)放缩思路:⇒+++≤+n nn a n n a )2111(21⇒++++≤+n n n a n n a ln )2111ln(ln 21 nn n n a 211ln 2+++≤。
a a 2 2 1 a a 高考专题 放缩法缩法是不等式证明中一种常用的方法,也是一种非常重要的方法。
在证明过程中,适当地进行放缩, 可以化繁为简、化难为易,达到事半功倍的效果。
但放缩的范围较难把握,常常出现放缩之后得不出结论或得出相反结论的现象。
因此,使用放缩法时,如何确定放缩目标尤为重要。
要想正确确定放缩目标,就必须根据欲证结论, 抓住题目的特点。
掌握放缩技巧, 真正做到弄懂弄通, 并且还要根据不同题目的类型, 采用恰到好处的放缩方法,才能把题解活,从而培养和提高自己的思维和逻辑推理能力,分析问题和解决 问题的能力。
数列与不等式的综合问题常常出现在高考的压轴题中,是历年高考命题的热点,这类问题能有效地考查学生综合运用数列与不等式知识解决问题的能力.本文介绍一类与数列和有关的不等式问题,解决这类问题常常用到放缩法,而求解途径一般有两条:一是先求和再放缩,二是先放缩再求和. 一.先求和后放缩例 1.正数数列 a n 的前 n 项的和 S n ,满足 2S na n 1,试求:( 1)数列 a n 的通项公式;( 2)设 b n1 a n a n,数列 1b n 的前 n 项的和为 1 B n ,求证: B n2解:( 1)由已知得 4S n(a n 1) 2,n 2 时,4S n 1( a n 11)2,作差得:4a nn2 a nn 12a n 1 ,所以 ( a na n 1 )( a n a n 12) 0 ,又因为 a n 为正数数列,所以 a na n 1 2 ,即 a n 是公差为 2 的等差数列,由2 S 1a 1 1,得 a 1 1 ,所以 a n2n 1( 2) b n1a n a n 1( 2n 11)( 2n 1)1 (1 2 2n 1 12n 1) ,所以1 1 1 1 B n(1 2 3 3 512 n 1 1)2n 1111 2 2(2 n 1)2注:一般先分析数列的通项公式.如果此数列的前n 项和能直接求和或者通过变形后求和,则采用先求和再放缩的方法来证明不等式.求和的方式一般要用到等差、等比、差比数列(这里所谓的差比数列,即指数列 { a n } 满足条件 a n 1a nf n )求和或者利用分组、裂项、倒序相加等方法来求和.二.先放缩再求和1. 放缩后成等差数列,再求和例 2.已知各项均为正数的数列{ a} 的前 n 项和为 S ,且 a2a2S .nnnnna2 a 2 (1) 求证: S nnn 1;4(2) 求证:S nSSSS n 1 112n22解:(1)在条件中,令n 1,得 2a 2S 1 2a 1 , a 1a 11 2,又由条件 nn 2S n 有2n 1n 1 2S n 1 ,上述两式相减,注意到 a n 1 S n 1S n 得(a n 1a n )( a n 1a n 1) 0a na n 1 a n0 ∴ a n 1a n 1aaa 112S nnn所以, a n1 1 (n 1) n , S nn(n 1) 2所以 S nn(n 1) 21 n 22(n 1) 2222a n a n 1 4( 2)因为 nn(n 1)n 1 ,所以n2n(n 1) 2n 1 ,所以2S 1S 21 2 2 3 S n22 n( n 1) 23 n 1 222 2n 23n 2 2S n 1 1; S S 1 2 222n n(n 1) S n 22 222. 放缩后成等比数列,再求和例 3.( 1)设 a , n ∈N *, a ≥2,证明: a2 n( a) n(a 1)a n;( 2)等比数列 {} 中, a 11 ,前 n 项的和为,且 A 27, A 9 , A 8成等差数列.设b nan1 a n,数列 {}前 n 项的和为,证明:<1.3解:( 1)当 n 为奇数时,≥ a ,于是, a2n( a)na n(a n1) (a 1) a n.当 n 为偶数时, a - 1≥ 1,且≥ a 2,于是a2n( a)na n (an1)( a21) an(a 1)( a 1) an( a 1) a n.( 2)∵ A Aa a , AAa , a aa ,∴公比 qa 9 1 .97898991 899a 82 ∴ a n( 1 )n. b 4 1 1 1 nnn . 21 ( )n42( 2)3 2∴ B n b 1 b 2 b 1 13 2 3 221 3 2n1 (1 1 )1 2 22311 21 (1 1 ) 1 . 32 n 33. 放缩后为差比数列,再求和例 4.已知数列 { a n } 满足: a 11 , a n 1(1n2n ) a n (n 1,2,3 ) .求证:a n 1 a n 3n 12 n 1证明:因为 a (1 n )a ,所以 a 与 a 同号,又因为 a 1 0 ,所以 a 0 , n 1 2 nn n 1 n 1 n 即 a n 1 a nnn a n 20 ,即 a n 1 a n .所以数列 { a n } 为递增数列,所以 a n a 1 1 , 即 a n 1 a nn n a n 2 n n ,累加得: a n a 1 2 1 2 2 22 n 1 2n 1 .令 S 1 2n 1 1 1 2 ,所以 S n 1 ,两式相减得: n 2 2 2 2n 12 n 2 2 23 2n 2n2 S 11 11 n 2322 22 1 n n 1n221 ,所以 S nn 12 n 1 ,所以 a n2n 1 3n 1 ,2故 得 a n 1 a n3n 1 2n 1.4. 放缩后为裂项相消,再求和例 5.在 m ( m ≥ 2)个不同数的排列 P 1P 2 中,若 1≤ i < j ≤ m 时>(即前面某数大于后面某数) ,则称与 构成一个逆序 . 一个排列的全部逆序的总数称为该排列的逆序数 . 记排列 (n1)n(n 1) 321 的逆序数为,如排列 21 的逆序数 a 1 1 ,排列 321 的逆序数 a 3 6 .( 1)求 a 4、a 5,并写出的表达式;( 2)令 b na n a n 1a n 1 a n,证明 2nb 1 b 2 b n 2n 3 , 1,2, .解( 1)由已知得 a 410, a 5 15 , a nn (n 1)n(n 1) 2 1.2( 2)因为 b na n a n 1a n 1 a nn n 2n 2 n 2 n 2 n 2 n2,n1,2, ,所以 b 1b 2b n2n .又因为 b n n n 2n 2n2 22, nn n 2 1,2, , 所以 b 1b 2 b n2n2[( 1 1 ) ( 1 1 ) 1 3 2 4( 1 1 )] n n 2 = 2 n 32 2n 1 n 22n 3 . 综上, 2nb 1 b 2 b n2n 3, n 1,2, .1 1 注:常用放缩的结论: ( 1)kk 11 1 k(k 1) k21 k( k 1) 11(k2)k 1 k( 2). 2( 1k1) 2 1 k 1kk 1k2 k k 12(1k 11 )( k2)k1.设 a 常见高考放缩法试题 , b 都是各项为正数的数列, 对任意的正整数 n ,都有 a,b ,a 成等差数列,b 2, a,b 2 成nnnnn 1nn 1n 1等比数列.na ( 1)试问b n 是否成等差数列?为什么?( 2)如果 a1, b2 ,求数列 1的前 n 项和 S .11nn2. 已知等差数列{ a n }中, a 2 = 8, S 6 = 66.(Ⅰ)求数列{ a n }的通项公式;(Ⅱ)设 b n2 , T n(n 1)a nb 1 b 2b n ,求证: T 1 .63. 已知数列 { a } 中a 3 , a2 1 ( n ≥ 2, nN ),数列 { b } ,满足 b1( n N )n1n5a n 1nna n 1( 1)求证数列 { b n } 是等差数列;( 2)求数列 { a n } 中的最大项与最小项,并说明理由;( 3)记 S nb 1 b 2b n ,求 lim (n n1) b n .4. 已知数列 {} 中, a 1>0, 且 1=3a n ,2S n 1( Ⅰ) 试求 a 1 的值,使得数列 {} 是一个常数数列;( Ⅱ) 试求 a 1 的取值范围 , 使得 1>对任何自然数 n 都成立; ( Ⅲ) 若 a 1 = 2 ,设 = |1- ( n = 1 , 2,3, ) ,并以表示数列 {} 的前 n 项的和,求证 : <5 .25. ( 1)已知: x (0 ) ,求证1 lnx 1 1 ;x 1x x( 2)已知: nN 且n 2 ,求证:1 12 31 1 1ln n 1。
不等式放缩的万能解法不等式放缩是一种重要的不等式技巧,可以用来化简和证明复杂的不等式问题。
不等式放缩法可以分为取平均数和加均值不等式两种方法。
下面详细介绍这两种方法。
一、取平均数法取平均数法是不等式放缩中常用的一种方法。
它的基本思想是用不等式两边的平均数代替两个数,从而使不等式更易于处理。
下面描述取平均数法的运用步骤:1.将不等式中的变量全部提到一边,令不等式右边为0,即将不等式转化为a(x)≥0(其中a(x)是函数表达式)。
2.对a(x)进行适当的平均化处理,将其表示为两个平方数之差或两个次幂之比。
3.应用柯西不等式或均值不等式等不等式,将不等式继续简化。
4.进一步处理化简后的不等式,尽量将其化为简单明了的形式。
例如,我们要证明:当x>0时,有以下不等式成立:(1+x)ln(1+x) > x1.将不等式转化为:f(x)=(1+x)ln(1+x)−x>0。
2.考虑将f(x)表示成两个平方数之差,可以作如下变换:f(x)=(x+1)(ln(x+1)−x/(x+1))=(x+1)ln[(x+1)/e^(x/(x+1))]3.令y=(x+1)/e^(x/(x+1)),那么f(x)就可以表示成f(x)=ln(y)(y−e^−x)>0。
4.根据$f(x)=ln(y)(y−e^{-x})>0$,则y>e^x,即(y−e^-x)/y<1。
故有:f(x)=ln(y)(y−e^−x)>ln(y)(1−y/e^x)。
应用柯西不等式,有:f(x)=ln(y)(y−e^−x)>ln[y(1−y/e^x)]4.化简上式,执行以下步骤:f(x)>ln[(1+x)/(1+(1/e^x^))]. 因此,$f(x)>ln[(1+x)/(1+(1/e^x^))]−1/e^x$5.由于ln(x)是一个凸函数,使用函数的凸性可以证明上式成立。
因此,原命题得证。
二、加均值不等式法加均值不等式是不等式放缩中常用的一种方法。
高考专题 放缩法缩法是不等式证明中一种常用的方法,也是一种非常重要的方法。
在证明过程中,适当地进行放缩,可以化繁为简、化难为易,达到事半功倍的效果。
但放缩的范围较难把握,常常出现放缩之后得不出结论或得出相反结论的现象。
因此,使用放缩法时,如何确定放缩目标尤为重要。
要想正确确定放缩目标,就必须根据欲证结论,抓住题目的特点。
掌握放缩技巧,真正做到弄懂弄通,并且还要根据不同题目的类型,采用恰到好处的放缩方法,才能把题解活,从而培养和提高自己的思维和逻辑推理能力,分析问题和解决问题的能力。
数列与不等式的综合问题常常出现在高考的压轴题中,是历年高考命题的热点,这类问题能有效地考查学生综合运用数列与不等式知识解决问题的能力.本文介绍一类与数列和有关的不等式问题,解决这类问题常常用到放缩法,而求解途径一般有两条:一是先求和再放缩,二是先放缩再求和.一.先求和后放缩例1.正数数列{}n a 的前n 项的和n S ,满足12+=n n a S ,试求:(1)数列{}n a 的通项公式; (2)设11+=n n n a a b ,数列{}n b 的前n 项的和为n B ,求证:21<n B解:(1)由已知得2)1(4+=n n a S ,2≥n 时,211)1(4+=--n n a S ,作差得:1212224----+=n n n n n a a a a a ,所以0)2)((11=--+--n n n n a a a a ,又因为{}n a 为正数数列,所以21=--n n a a ,即{}n a 是公差为2的等差数列,由1211+=a S ,得11=a ,所以12-=n a n(2))121121(21)12)(12(111+--=+-==+n n n n a a b n n n ,所以21)12(2121)1211215131311(21<+-=+---+-=n n n B n 注:一般先分析数列的通项公式.如果此数列的前n 项和能直接求和或者通过变形后求和,则采用先求和再放缩的方法来证明不等式.求和的方式一般要用到等差、等比、差比数列(这里所谓的差比数列,即指数列{}n a 满足条件()n f a a n n =-+1)求和或者利用分组、裂项、倒序相加等方法来求和.二.先放缩再求和1.放缩后成等差数列,再求和例2.已知各项均为正数的数列{}n a 的前n 项和为n S ,且22n n n a a S +=.(1) 求证:2214n n n a a S ++<;(2) 求证:112122n n n S S S S S +-<++⋅⋅⋅+<解:(1)在条件中,令1=n ,得1112122a S a a ==+,1011=∴>a a ,又由条件n n n S a a 22=+有11212+++=+n n n S a a ,上述两式相减,注意到n n n S S a -=++11得)1)((11=--+++n n n n a a a a01>+∴>+n n n a a a∴11n n a a +-=所以, n n a n =-⨯+=)1(11,(1)2n n n S +=所以42)1(212)1(21222++=++∙<+=n n n a a n n n n S(2)因为1)1(+<+<n n n n ,所以212)1(2+<+<n n n n ,所以2)1(23222121+++⨯+⨯=++n n S S S n 212322++++<n 2122312-=+=+n S n n ;222)1(2222121nn S n n n S S S =+=+++>++2.放缩后成等比数列,再求和例3.(1)设a ,n ∈N *,a ≥2,证明:n n na a a a⋅+≥--)1()(2;(2)等比数列{a n }中,112a =-,前n 项的和为A n ,且A 7,A 9,A 8成等差数列.设nn n a a b -=12,数列{b n }前n 项的和为B n ,证明:B n <13.解:(1)当n 为奇数时,a n ≥a ,于是,n n n n na a a a a a⋅+≥+=--)1()1()(2.当n 为偶数时,a -1≥1,且a n ≥a 2,于是n n n n n n n a a a a a a a a a a a ⋅+≥⋅-+=⋅-≥-=--)1()1)(1()1()1()(22.(2)∵9789A A a a -=+,899A A a -=-,899a a a +=-,∴公比9812a q a ==-.∴nn a )21(-=. nn n nn n b 231)2(41)21(141⋅≤--=--=.∴n n b b b B ++=2131)211(31211)211(213123123123122<-=--⋅=⋅++⋅+⋅≤n n .3.放缩后为差比数列,再求和例4.已知数列{}n a 满足:11=a ,)3,2,1()21(1 =+=+n a na n n n .求证:11213-++-≥>n n n n a a 证明:因为n nn a na )21(1+=+,所以1+n a 与n a 同号,又因为011>=a ,所以0>n a ,即021>=-+n nn n a na a ,即n n a a >+1.所以数列{}n a 为递增数列,所以11=≥a a n ,即n n n n n n a n a a 221≥=-+,累加得:121212221--+++≥-n n n a a .令12212221--+++=n n n S ,所以n n n S 2122212132-+++= ,两式相减得:n n n n S 212121212121132--++++=- ,所以1212-+-=n n n S ,所以1213-+-≥n n n a ,故得11213-++-≥>n n n n a a .4.放缩后为裂项相消,再求和例5.在m (m ≥2)个不同数的排列P 1P 2…P n 中,若1≤i <j ≤m 时P i >P j (即前面某数大于后面某数),则称P i 与P j 构成一个逆序. 一个排列的全部逆序的总数称为该排列的逆序数. 记排列321)1()1( -+n n n 的逆序数为a n ,如排列21的逆序数11=a ,排列321的逆序数63=a .(1)求a 4、a 5,并写出a n 的表达式;(2)令nn n n n a aa ab 11+++=,证明32221+<++<n b b b n n ,n =1,2,….解(1)由已知得15,1054==a a ,2)1(12)1(+=+++-+=n n n n a n .(2)因为 ,2,1,22222211==+⋅+>+++=+=++n nn n n n n n n a a a a b n n n n n ,所以n b b b n 221>+++ .又因为 ,2,1,222222=+-+=+++=n n n n n n n b n ,所以)]211()4121()3111[(2221+-++-+-+=+++n n n b b b n =32221232+<+-+-+n n n n .综上, ,2,1,32221=+<++<n n b b b n n .注:常用放缩的结论:(1))2(111)1(11)1(11112≥--=-<<+=+-k kk k k k k k k k(2).)2)(111(212112)111(2≥--=-+<<++=+-k kk k k kk k k k常见高考放缩法试题1. 设{}{},n n a b 都是各项为正数的数列,对任意的正整数n ,都有21,,n n n a b a +成等差数列,2211,,n n n b a b ++成等比数列.(1)试问{}n b 是否成等差数列?为什么?(2)如果111,2a b ==,求数列1n a ⎧⎫⎨⎬⎩⎭的前n 项和n S .2. 已知等差数列{n a }中,2a =8,6S =66.(Ⅰ)求数列{n a }的通项公式;(Ⅱ)设n n a n b )1(2+=,n n b b b T +++= 21,求证:n T ≥16.3. 已知数列{n a }中531=a ,112--=n n a a (n ≥2,+∈N n ),数列}{nb ,满足11-=n n a b (+∈N n )(1)求证数列{n b }是等差数列;(2)求数列{n a }中的最大项与最小项,并说明理由;(3)记++=21b b S n …n b +,求1)1(lim +-∞→n nS b n n .4. 已知数列{a n }中,a 1>0, 且a n +1=23na +, (Ⅰ)试求a 1的值,使得数列{a n }是一个常数数列;(Ⅱ)试求a 1的取值范围,使得a n +1>a n 对任何自然数n 都成立;(Ⅲ)若a 1 = 2,设b n = | a n +1-a n | (n = 1,2,3,…),并以S n 表示数列{b n }的前n 项的和,求证:S n <25.5. (1)已知:)0(∞+∈x ,求证xx x x 11ln 11<+<+;(2)已知:2≥∈n N n 且,求证:11211ln 13121-+++<<+++n n n 。
“放缩法”证明不等式的基本策略
1、添加或舍弃一些正项(或负项)
例1、已知*
21().n n a n N =-∈求证:
*12
231
1...().23n n a a a n n N a a a +-<+++∈ 证明: 111211111111
.,1,2,...,,2122(21)2 3.222232
k k k k k k
k k a k n a +++-==-=-≥-=--+-Q
1222311111111
...(...)(1),2322223223
n n n n a a a n n n a a a +∴
+++≥-+++=-->-
*122311...().232
n n a a a n n
n N a a a +∴-<+++<∈ 若多项式中加上一些正的值,多项式的值变大,多项式中加上一些负的值,多项式的
值变小。
由于证明不等式的需要,有时需要舍去或添加一些项,使不等式一边放大或缩小,利用不等式的传递性,达到证明的目的。
本题在放缩时就舍去了22k
-,从而是使和式得到化简.
2、先放缩再求和(或先求和再放缩)
例2、函数f (x )=
x
x 414+,求证:f (1)+f (2)+…+f (n )>n +
)(2
1
21*1
N n n ∈-+. 证明:由f (n )=
n
n 414+=1-
11
11422n n
>-+⋅ 得f (1)+f (2)+…+f (n )>n
2211221122112
1
⋅-
++⋅-
+⋅-Λ
)(21
2
1)2141211(41*11N n n n n n ∈-+=++++-=+-Λ.
此题不等式左边不易求和,此时根据不等式右边特征, 先将分子变为常数,再对分母进行放缩,从而对左边可以进行求和. 若分子, 分母如果同时存在变量时, 要设法使其中之一变为常量,分式的放缩对于分子分母均取正值的分式。
如需放大,则只要把分子放大或分母缩小即可;如需缩小,则只要把分子缩小或分母放大即可。
3、逐项放大或缩小
例3、设)1(433221+++⨯+⨯+⨯=n n a n Λ求证:2)1(2)1(2
+<<+n a n n n 证明:∵ n n n n =>+2)1( 2
1
2)21()1(2+=+<+n n n n
∴ 2
1
2)1(+<+<n n n n
∴ 2
)
12(31321++++<<++++n a n n ΛΛ, ∴2)1(2)1(2+<<+n a n n n
本题利用21
2
n n +<<,对n a 中每项都进行了放缩,从而得到可以求和的
数列,达到化简的目的。
4、固定一部分项,放缩另外的项;
例4、求证:2222111171234
n ++++<L 证明:21111(1)1n n n n n
<=---Q
2222211111111151171()().1232231424
n n n n ∴
++++<++-++-=+-<-L L 此题采用了从第三项开始拆项放缩的技巧,放缩拆项时,不一定从第一项开始,须根据具体题型分别对待,即不能放的太宽,也不能缩的太窄,真正做到恰倒好处。
5、函数放缩
例5.求证:)(66
5333ln 44ln 33ln 22ln *N n n n n n ∈+-<++++Λ.
解析:先构造函数有
x x x x x 1
1ln 1ln -≤⇒-≤,从而)313121(1333ln 44ln 33ln 22ln n n n
n +++--<++++ΛΛ 因为⎪
⎭⎫ ⎝⎛++++++⎪⎭⎫ ⎝⎛++++++⎪⎭⎫ ⎝⎛+=+++n n n n 3112121
9181716151413121313
121ΛΛΛ
6533323279189936365111n
n n n n =⎪⎪⎭⎫ ⎝⎛+⋅++⎪⎭⎫ ⎝⎛++⎪⎭⎫ ⎝⎛++>
---Λ
所以66
53651333ln 44ln 33ln 2
2ln +-=--<++++n n n n n n Λ 6、裂项放缩
例6 求证:35
1
1
2
<
∑=n
k k
.
解析:因为⎪
⎭
⎫ ⎝⎛+--=-=
-
<121121
2144
4
1112
2
2
n n n n n ,所以353211211215
1
31211
1
2
=
+<⎪⎭⎫ ⎝⎛+--++-+<∑=n n k
n
k Λ 7、均值不等式放缩
例
7.设.)1(3221+++⋅+⋅=n n S n Λ求证
.2
)1(2)1(2
+<<+n S n n n
解析: 此数列的通项为.,,2,1,)1(n k k k a k Λ=+=
2121)1(+=++<
+<k k k k k k Θ,)
21
(1
1∑∑==+<<∴n k n n k k S k , 即.
2)1(22)1(2)1(2
+<++<<+n n n n S n n n
注:①应注意把握放缩的“度”:上述不等式右边放缩用的是均值不等式
2
b
a a
b +≤
,若放成
1)1(+<+k k k 则得
2
)1(2)3)(1()1(2
1+>++=
+<∑=n n n k S n
k n ,就放过“度”了!
②根据所证不等式的结构特征来选取所需要的重要不等式,这里
n
a a n
a a a a a a n n
n
n n n
2
211111
1++≤++≤
≤++ΛΛΛΛ
其中,3,2=n 等的各式及其变式公式均可供选用。
8、二项放缩
n n
n n n n C C C +++=+=Λ10)11(2,121
0+=+≥n C C n n n ,
22
222
10++=
++≥n n C C C n n n n
)2)(1(2≥->n n n n。