listentothis英语中级听力答案解析修订版
- 格式:docx
- 大小:198.29 KB
- 文档页数:173
英语中级听力参考答案Answer Keys to Listen to This: 2Edited by莫显良、马军军、张凤英、陈燕L 1L 2L 3L 4L 5L 6L 7L 8L 9L 10L 11L 12L 13L 14L 15L 16L 17L 18L 19L 20L 21L 22L 23L 24L 25L 26L 27L 28L 29L 30L 31L 32L 33L 34L 35L 36Lesson 1Section ITask 1: This Is Your Life!A.Choose the best answer (a, b or c) to complete each of the following statements.1—6: caacbaB.True or False Questions.1—6: TFFFFTC.Identification.(1)—(b), (2)—(d), (3)—(f), (4)—(g), (5)—(a), (6)—(c), (7)—(e)plete the following résumé for Jason Douglas.Name: Jason DouglasFormer name: Graham SmithProfession: actorDate of birth: July 2, 19471952: started school1958: moved to Lane End Secondary School1966: went to the London School of Drama1969: left the London School of Drama1973: went to Hollywood1974: were in a movie with Maria MontroseTask 2: What Are Your Ambitions?A.Give brief answers to the following questions.1.Radio Station QRX.2.For a survey.3.Four.4.Six.5.(1) What’s your name?(2) What do you do for a living?(3) What do you do for fun?(4) What’s the most exciting thing that’s happened to you recently?(5) Who do you admire most in this world?(6) What do you want to be doing five years from now?B.Fill in the following chart with answers that each interviewee gives to the questions.Section IIA.Choose the best answer (a, b or c) for each of the following questions.1—6: abaccbB.True or False Questions.1—4: FTFFC.Fill in the following chart with information about the journey the Roman army madeaccording to Trevor.Designation: D CompanyNumber of men: one hundred and moreJourney: from France to BritainMeans of transcript: boatWeather conditions: stormyFood: cat foodDrink: rain waterConditions of weapons after landing: uselessFighting: noneEquipment lost or damaged: boat lost, guns full of water, supplies of wine lost Soldiers killed or wounded: about ten survivors, all others drowned or killed by coldD.Point out what is not true in Trevor’s story.The following did not exist in Roman times:petrol, newspaper, matches, trousers, tinned food, taps, guns, wine bottles.50 BC could not appear on a coin. 50-55 BC is counting backwards.E.Fill in the blanks according to what you hear on the tape.1.terrible, stormy, or more of us, shut in, so bad, sick, stuffy.2.pushed up onto the sands, climbed out, jumping into the, struggling to the, upto my shoulder, freezing.3.came and took us away, joined, going into the camp, a hot meal, clean clothes,given our pay.Section IIITask 1: Learning to Predict1.Answer: trying to write a letterReason: The speaker’s question suggests he needs a quiet surrounding to do something.2.Hint: the first speaker is a guest complaining about the conditions of Room 43which is a single room. The second speaker is a hotel clerk who suggests that the guest move to a double room.Answer: is the only single room available at the momentReason: The phrase “I’m afraid” often suggests a negative or unsatisfying answer.3.Answer: Where on earth did you get it?Reason: The second speaker’s surprised tone shows that the money is out of her expectation and she must be curious about how it is gained.4.Answer: You mustn’t discriminate against someone just because they are married.Reason: The word “but” suggests an opposite meaning.5.Answer: I wouldn’t mind being a prince.Reason: The man’s questioning tone shows he doesn’t agree with the woman.6.Answer: I’m not a workaholic.Reason: The word “but” suggests an opposite meaning.7.Answer: he had been.Reason: “But” and “possibly” both give some hint.Task 2: DictationPassage 1: The KnowledgeBecoming a London tax i driver isn’t easy. In order to obtain a licence to drive a taxi in London, candidates have to pass a detailed examination. They have to learn not only the streets, landmarks and hotels, but also the quickest way to get there. This iscalled “The Knowledge” by London Cab drivers and it can take years of study and practice to get ‘The Knowledge’. Candidates are examined not only on the quickest routes but also on the quickest routes at different times of the day. People who want to pass the examination spend much of their free time driving or even cycling around London, studying maps and learning the huge street directory by heart.Passage 2: The UndergroundTravelling on the London underground (the ‘tube’) presents few difficulties for visitors because of the clear colour- coded maps. It is always useful to have plenty of spare change with you because there are often long queues at the larger stations. If you have enough change you can buy your ticket from a machine. You will find signs which list the stations in alphabetical order, with the correct fares, near the machines. There are automatic barriers which are operated by the tickets. You should keep the ticket, because it is checked at the destination.Lesson 2Section ITask1: Film EditingA.True or False Questions.1—4: TFTFB.Fill in the following blanks to give a clear picture of what needs to be done beforea film is ready for distribution.1. The assistant:a. “Synching up”which means matching sound and pictures according to the numbersstamped along the edge of the film and sound tape.b. “Logging” which means recording the detail version of the film and the soundin a log book.2. The film editor:a. Make a first selection of the best takes.b. Prepare a “rough cut”– an initial version of the film.c. Prepare the “fine cut”– the final form of the film.3. Others:a. Approve the fine cut.b. “Dubbing” which means voices, music, background noises and sometimes specialeffects are put together.c. The “neg” cutters cut the original negatives on the film so that these matchthe edited film exactly.Task 2: A Vision of the FutureA.Choose the best answer for each of the following questions.1—6: abacccB.True of False Questions.1—4: TFTFC.Fill in the blanks to give a clear picture of the problems New York faces in the movie.1.40 million2.have no apartment, sleep on the steps of the building, crawl over sleeping peopleto get inside.3.nothing will grow, they never see the sun.4.soylent: soylent red, soylent yellow, and soylent green. 2, soybeans, soylentgreen, ocean plants.5.90 degree.6.electricity, ride bicycles to make it.Section IITask 1: American IndiansA.Answer the following questions briefly.1.1492.2.He thought that he had arrived in India.3.They were kind to them and wanted to help.4.(1) They wanted bigger farms and more land for themselves; (2) More immigrantscame from Europe.5.It was their mother. Everything came from and went back to their mother. And itwas for everybody.6.They started fighting back.7.By 1875 the Indians had lost the fight and had to live in “reservations”.8.The Indians are bad and the White man is good and brave in Hollywood films.B.Choose the best answer for each of the following questions.1—4: acbcTask 2: New AustraliansA.Identification:1.(1)—(d), (2)—(b), (3)—(a), (4)—(c)2.(a) more than 15 million,(b) 160, 000,(c) the year 1851,(d) 700, 000B.True or False questions.1—6: FTFFTTC.Fill in the blanks with events connected with the following time expressions.1.Italiansa.the 1850s and 1860s: Different states in Italy were fighting for independenceand some Italians went to Australia for political reasons. Some others wentthere for gold.b.1891: The first group of 300 Italians went to work in the sugar-cane fieldsof northern Australia.c.The end of the 19th century: Some good Italian fishermen went to westernAustralia.2.Greeksa.1830: The first Greeks went to work in vineyards in south-eastern Australia.b.The 1860s; There were about 500 Greeks in Australia.c.1890; There were Greek Cafes and restaurants all over Sydney and out in thecountryside.d.After WWII: Many Greeks arrived in Australia.Section IIITask 1: Learning to Predict1.Answer: It’s good exercise. Keeps you fit.Reason: The word “yeah” suggests that the boy will say something in agreement with the woman’s comment.2.Answer: We turn the music up really loud and start dancing.Reason: The phrase “why not” suggests that the boys will simply dance in the street.3.Answer: They can’t do it like me yet.Reason: The word “but” suggests an opposite meaning.4.Answer: It’s a very old book.Reason: The word “actually” also suggests an opposite meaning.5.Answer: Write down your address and I’ll get the boy to bring them round.Reason: The conversation takes place in a store. If the store owner agrees to deliver the goods, the only thing he wants to know will be the address of the customer.6.Answer: Tell us all about it over dinner.Reason: The woman sounds very much interested in the man’s experience. So she will certainly ask the man to tell her something about it.Task 2: DictationThe Foolish FrogOnce upon a time a big, fat frog lived in a tiny shallow pond. He knew every plant and stone in it, and he could swim across it easily. He was the biggest creature in the pond, so he was very important. When he croaked, the water-snails listened politely. And the water-beetles always swam behind him. He was very happy there.One day, while he was catching flies, a pretty dragon-fly passed by. ‘You’re a very fine frog,’ she sang, ‘but why don’t you live in a bigger pond? Come to my pond. You’ll find a lot of frogs there. You’ll meet some fine fish, and you’ 11 see the dangerous ducks. And you must see our lovely water-lilies. Life in a large pond is wonderful!’‘Perhaps it is rather dull here,’ thought the foolish frog. So he hopped after the dragon-fly.But he didn’t like the big, d eep pond. It was full of strange plants. The water-snails were rude to him, and he was afraid of the ducks. The fish didn’t like him, and he wasthe smallest frog there. He was lonely and unhappy.He sat on a water-lily leaf and croaked sadly to himself, ‘I don’t like it here.I think I’ll go home tomorrow.’But a hungry heron flew down and swallowed him up for supper.Lesson 3Section ITask 1: I Don’t See It That WayA.Conversation 1:1.Choose the best answer for each of the following statements.(1) — (2): ba2.Give brief answers to the following questions.(1)About 6 months ago.(2)It is defective and has ruined 4 of the customer’s favorite cassettes.(3)6 months.(4)10 days ago.3.Blank-filling.(1)bend the rule, make an exception for, make an exception for(2)adding insult to injury, make good on(3)brought it in, hold me to, onB.Conversation 2:1.Multiple choice. (1) — (2): ba2.True or False Questions. (1) — (4): FTTTC.Conversation 3:1.Give brief answers to the following questions.(1)Single.(2)5 years.(3)He has been loyal to the company and worked quite hard.(4)Asking for a raise.(5)Bob does his job adequately, but he doesn’t do it well enough to deservea raise.(6)Take more initiative and show more enthusiasm for the job.(7)To quit his job.(8)That’s a decision Bob will have to make for himself.Task 2: marriage CustomsA.Blank-filling.Speaker: Professor Robin StuartTopic: Marriage customs in different parts of the world; romantic business; arranged marriage; on the day of the wedding; arranged marriages; to have a look at one another; call the whole thing off; the wedding goes ahead; several wives.Conclusion: just as much chance of bringing happiness to the husband and wife as theWestern systems of choosing marriage partners.B.True or False Questions.1 — 3: TFTSection IITask 1: At the Dentist’sA.Multiple Choice. 1 — 4: baccB.True of False Questions. 1 — 6: FTFFTTTask 2: HiccupsA.Give brief answers to the following questions.1.He wants her to help him stop his hiccups.2. 3 hours.3.Everything he can think of.4.She’ll give the man 5 pounds if he hiccups again.5.The man has stopped hiccupping and owes Rosemary 5 pounds.B.Identification.(1) — (b), (2) — (d), (3) — (e), (4) — (a), (5) — (c) Section IIITask 1: Learning to Predict1.Answer: the Chinese then?Reason: “What about” suggests an alternative.2.Answer: they’ll still be hot when you get back.Reason: The woman’s words suggest that the shop is very close to their home.3.Hint: The woman is asking the man to buy a pack of fish and chips from a nearbyshop.Answer: there’s a queue.Reason: The phrase “not if” suggests a condition that hinders the fulfillment of an action.4.Answer: a good idea.Reason: The word “yes” shows an agreement.5.Answer: being a machine for that money.Reason: “I wouldn’t mind”suggests that the man will do what the woman doesn’t want because of certain attractive conditions.6.Answer: I want to play drums.Reason: The earlier sentence suggests that the man does not play drum for money.Consequently the explanation must be that he enjoys playing it.Task 2: DictationSleepIt’s clear that eve ryone needs to sleep. Most people rarely think about how and why they sleep, however. We know that if we sleep well, we feel rested. If we don’t sleep enough, we often feel tired and irritable. It seems there are two purposes of sleep: physical rest and emotional and psychological rest: We need to rest our bodies and ourminds. Both are important in order for us to be healthy. Each night we alternate between two kinds of sleep: active sleep and passive sleep. The passive sleep gives our body the rest that’s needed and prepares us for active sleep, in which dreaming occurs.Throughout the night, people alternate between passive and active sleep. The brain rests, then it becomes active, then dreaming occurs. The cycle is repeated: the brain rests, then it becomes active, then dreaming occurs. This cycle is repeated several times throughout the night~. During eight hours of sleep, people dream for a total d one and half hours on the average.Lesson 4Section ITask 1: Weather ForecastA.Multiple Choice. 1 — 2: acB.Fill in the following chart.Task 2: The 5 O’clock NewsA.Fill in the following chart.B.Give brief answers to the following questions based on the news report.1.It was closed down by government authorities.2.Testing confirmed that the town had been poisoned be the dumping of toxic chemicalsin town dumps.3. 3 weeks ago.4.200.5.Headaches, stomachaches, faintness and dizziness.6.Toxic wastes had leaked into the ground and contaminated the water supply.7.All the residents should leave the area, until the chemical company responsiblefor the toxic waste can determine whether the town can be cleaned up and made safe again.C.True of False Questions. 1—6: FTTFFTD.Fill in the following blanks (based on the news report).Teams Playing Result(1) Mexico — France 7 to 6(2) Canada — Argentina 3 to 3(3) Italy — Haiti2 to 1(with 30 minutes left to go)Section IITask 1: What Do You Like for Entertainment?A.Blank-filling.Reporter: Deborah TylerInterviewee: Students of the Brooklyn Academy of Dramatic ArtsMajor: Benny Gross —— pianoKimberley Martins —— modern danceB.Fill in the following chart about how often Benny and Kimberley go to the eight formsof artistic entertainment.C.Rearrange the forms of artistic entertainment that Benny and Kimberley like,beginning with the form that each one likes best.Benny: (3)—(1)—(4)—(6)—(2)—(8)Kimberley: (2)—(4)—(1)—(7)—(3)—(8)Task 2: Are You a Heavy Smoker?A.True or False Questions. 1—6: TFTTFTB.Multiple Choice. 1—6: cbcbacC.Blank-filling.Name: Doris BradleySex: femaleAge: 32Amount: 3 packets of 20 a weekFirst experience:Time: at the age of 17Place: at a partyOffered by: boyfriend, not husbandFeeling; awfully grown-upLater: started smoking 2 or 3 a day and gradually increased.Experience of giving up smoking: twice1. Time: 6 months before getting marriedReason: saving upResult: only cut it down from 30 a day, still smoked a little2. Time: when expecting a babyReason: according to doctor’s adviceResult: gave up completely for 7 or 8 months and took it up a couple of weeks after the baby was born, because the baby was being bottle fed.Time when she smokes most:1. watching TV2. reading books3. in company4. with friendsTime when she never smokes:1. doing the housework2. on an empty stomachSection IIITask 1: Learning to Predict1.Answer: They’d be exhausted at the end of each performance.Reason: “Otherwise” suggests a result of the opposite condition.2.Answer: I enjoyed it very much.Reason: “Apart from that I must say” often suggests an opposite statement toearlier comments.3.Answer: I stayed up late to finish it.Reason: “And” suggests that the speaker would finish the book at one sit.4.Answer: the book never really got started at all.Reason: After an opinion of agreement, the phrase “in fact”suggests a further comment; the expression “it’s only honest to say” usually introducesa confession- something which is probably not as good as the one mentioned.5.Answer: I tend to skip parts that don’t really hold my interest.Reason: “Otherwise” sugges ts a result of the opposite condition.6.Answer: it was rather long.Reason: “I must admit” suggests an agreement to the other person’s opinion. Task 2: DictationBooks Belong to the PastSir,I visited my old school yesterday. It hasn’t changed in thirty years. The pupils were sitting in the same desks and reading the same books. When are schools going to move into the modern world? Books belong to the past. In our homes radio and television bring us knowledge of the world. We can see and hear the truth for ourselves. If we want entertainment most of us prefer a modern film to a classical novel. In the business world computers store information, so that we no longer need encyclopaedias and dictionaries. But in the schools teachers and pupils still use books. There should be a radio and television set in every classroom, and a library of tapes and records in every school. The children of today will rarely open a book when they leave school. The children of tomorrow won’t need to read and Write at all.M. P. MillerLondonLesson 5Section ITask 1: An Unpleasant TripA.Give brief answers to the following questions.1.The Isle of Wight.2.They were not pleased with their hotel.3.He decided to write to the Manager of Happytours.4. A travel Agency.5.The hotel and travel arrangements.6.They will never book any future holidays through Happytours.B.Fill in he blanks with the words used in the brochure and by Mr. Wilson to describethe hotel and travel arrangement.Task 2: At the Travel AgencyA.Multiple Choice. 1—6: acbbcaB.True or False Questions. 1—6: TFTTFTC.Fill in the blanks with the two things that Miss Bush will do.1.her two friends, to stop over with her on the way back.2.Mr. Adams to stop with her in Cairo.Section IIA Saturday AfternoonA.Identification.Name IdentificationGillian Dr. Carmichael’s new researchassistantDr. Carmichael the president of St. Alfred’sHospitalMaurice Featherstone the gardener of the hospitalB.Multiple Choice. 1—6: cbaacaC.True or False Questions. 1—8: FFTF TFTTD.Fill in the blanks with information about Maurice.Name: Maurice FeatherstoneSex: maleAge: oldAppearance: clear, blue, honest eyes; white hair and a pinkish complexionTemperament: gentle and mild-manneredLength of stay in the hospital: 35 yearsReasons for entering the hospital:1.When he was 17, he burnt down his school.2.Over the next few years, there were a number of mysterious fires in hisneighborhood.ter he tried to set fire to the family mansion.Visits from family members: No.Bills: paid on time.E.Blank-filling.1.slightly uneasy, unlocked the gates, waved her through2.withdrawn, depressed, normal, kept locked up, all of them, too dangerous to livein normal society.3.with the staff, a surprise, let him go out for the afternoon, flower show, quiteexcited, a birthday cake, decorated the lounge.Section IIITask 1: Learning to Predict1.Answer: he fails to employ the correct question form.Reason: “Consequently” suggests a result of the facts mentioned earlier.2.Answer: difficulties may still arise.Reason: “even when” suggests that in spite facts, something else still exists.3.Answer: the student may not have clearly heard what was said.Reason: “In other words” is often followed by an explanation in clearer and easier words.4.Answer: may feel angry at receiving such orders.Reason: “However” suggests an opposite fact.5.Answer: whether crops should be used to produce food or should be used to producefuel.Reason: “That is” is also followed by an explanation.6.Answer: a small industrial sector.Reason: “At the same time” suggests the coexistence of two things. Here prediction is also based on common knowledge.Task 2: DictationThe School Holidays Are Too LongToday the children of this country have at last returned to work. After two months’ holiday pupils have started a new term. How many adults get such long holidays? Two to four weeks in the summer and public holidays--that’s all the working man gets. As for the average woman, she’s lucky to get a holiday at all. Children don’t need such long holidays. In term-time they start work later and finish earlier than anyone else.In the holidays most of them get bored, and some get into trouble. What a waste! If their overworked parents were given more free time instead, everyone would be happier.This isn’t just a national problem either--it’s worldwide.Dates may be different from country to country, b ut the pattern’s the same. Why should children do half as much work and get twice as much holiday as their parents?Lesson 6Section ITask 1: In the Path of the EarthquakeA.True or False Questions. 1—6: FTFTFFB.Map 1 is a layout of the Skinners’ farm. Mark out the plants and buildings in themap. Then in map 2 draw a new plan of the Skinners farm after the quake.Map 1:1. farm house2. garden path3. cypresstrees4. rose garden5. eucalyptus trees6. raspberrypatch7. cow shed 8. granaryMap 2:Task 2: A Funny Thing Happened to Me.A.Multiple Choice. 1—6: cabbcaB.Give brief answers to the following questions.st Friday.2.He was a student.3.In London.4.By taxi.5.The taxi got stuck in a traffic jam and the train had left by the time he gotto the station.6. 1 hour.7.The station buffet.8.An evening newspaper, the “Standard”.9.At a table near the window.10.He did the crossword puzzle.C.True or False Questions.1—6: FFTTFTD.Blank-filling.1.reached across, opened, took one, dipped, into, popped it into.2.get up and go, pushed back, stood up, hurried out of.Section IIConsolidation: A Very Beautiful StoryA.Give brief answers to the following questions.1. A tape from Gentleman Jim.2.Yesterday.3.Jim’s wife.4.There was a message hidden in the tape.5.Half the police force in London and 3 experts.6.Nothing had been found yet.7.Happy memories and things.8.In his words.B.True or False Statements.1—8: FTFF TTFTC.Discuss with your classmates what message is hidden in Gentleman Jim’s recording.D.Listen to the 2nd part of the policeman’s discussion and list all the things theyfeel unusual about Gentleman Jim’s recording.1.Jim keeps telling his wife to play the message over and over again.2.Jim tells his wife that she’ll find something comforting.3.Jim keeps saying “very beautiful” over and over again.4.The speech doesn’t sound natural.E.Listen to Gentleman Jim’s recording again and work out the message.Answer: There are 2 gold bricks in the garden under the big red rose tree.Section IIITask 1: Listening to Predict1.Answer: a glance at the headings of sections or sub-sections will show the orderin which the items are introduced.Reason: “In addition” is followed by a supplementary idea. Prediction here is also based on common knowledge.2.Answer: providing a summary which can be re-read later.Reason: “As well as” is often followed by an idea of the same importance as the one before “as well as”.3.Answer: may not appear in a bibliography.Reason: “However” suggests an opposite idea.4.Answer: (no more than try to cover the most important ones here.Reason: “Therefore” suggests a result.5.Answer: it doesn’t.Reason: “Unfortunately” suggests that something opposite to one’s expectation will happen.6.Answer: it’s still important.Reason: “Though” suggests that in spite of the fact that follows, something still happens.Task 2: DictationSign LanguageDeaf people, people who can’t hear, are still able to communicate quite well with a special language. It’s called sign language. The speaker of sign language uses hand gestures in order to communicate. Basic sign language has been used for a long, long time, but sign language wasn’t really developed until about 250 years ago. In the middle of the 1700s a Frenchman named Epée developed sign language. Epée was able to speak and hear, but he worked during most of h is life as a teacher of deaf people in France. Epée developed a large number of vocabulary words for sign language. Epée taught these words to his deaf students. Epée’s system used mostly picture :image signs. We call them picture image signs because the signs create a picture. For example, the sign for sleep is to put both hands together, and then to place the hands flat against the right side of your face, and then to lower your head slightly to the right. This action was meant to show the position of sleep. So we call it a picture image sign.Lesson 7Section ITask 1: Learning a Foreign LanguageA.Multiple Choice. 1—4: bcaaB.True or False Questions. 1—4: FTTFC.Give brief answers to the following questions.1.Albert Humphries.2.Balham, London.3. 4 years.4.He has been going to an evening class and has watched quite a lot of the BBCtelevision programmes.5.They use a different book in the class.6.They make the same mistakes as he does.7.It means being able to put together the right groups of words and to say themin a reasonably accurate way.Task 2: In the LibraryA.Multiple Choice. 1—6: bbcacaB.True or False Questions. 1—6: TTFTFTC.Give brief answers to the following questions.1.Round the corner.2. A 20p a day fine for each book.3.Tahiti.4.No.D.Blank-filling.1. 5 pounds, you damage them, entitles you, 2 records at a time, everything available,be much more popular than.2.telephone to renew the books.3.we get back, worth all the bother, some paperbacks in the airport, I’ve beensuch a nuisance.Section IITask 1: Lessoned World CollegesA.Give brief answers to the following questions.1.On the phone.2.Some information about the college.3.Robert Creighton.4.Julian’s friend in Spain.5.English.6.No. There are scholarships for all colleges, but parents will have to pay too.7.Yes. But academic ability is not the only thing important. Personal qualities will also be considered.8.Maturity, the ability to get on well with people from different countries.B.Blank-filling.1.the line, put you through to2.Pacific College, French, may be taught in Italian3.painting and modern dancing4.probably, the staff at the college, special activities, theatre studies,。
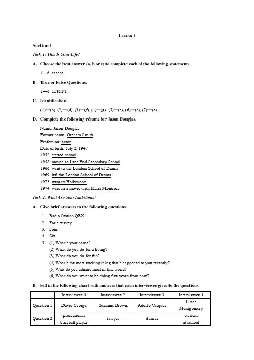
Lesson 1Section ITask 1: This Is Your Life!A.Choose the best answer (a, b or c) to complete each of the following statements.1—6: caacbaB.True or False Questions.1—6: TFFFFTC.Identification.(1)—(b), (2)—(d), (3)—(f), (4)—(g), (5)—(a), (6)—(c), (7)—(e)plete the following résumé for Jason Douglas.Name: Jason DouglasFormer name: Graham SmithProfession: actorDate of birth: July 2, 19471952: started school1958: moved to Lane End Secondary School1966: went to the London School of Drama1969: left the London School of Drama1973: went to Hollywood1974: were in a movie with Maria MontroseTask 2: What Are Your Ambitions?A.Give brief answers to the following questions.1.Radio Station QRX.2.For a survey.3.Four.4.Six.5.(1) What’s your name?(2) What do you do for a living?(3) What do you do for fun?(4) What’s the most exciting thing that’s happened to you recently?(5) Who do you admire most in this world?(6) What do you want to be doing five years from now?B.Fill in the following chart with answers that each interviewee gives to thequestions.Interviewee 1Interviewee 2Interviewee 3Interviewee 4Question 1David George Suzanne Brown Adolfo VasquezLinda MontgomeryQuestion 2professional lawyer dancer studentbaseball player at schoolQuestion 3Read classics-Dickens,Shakespearerunning-joggingwatch musicalmovieshang out withfriends-go for pizzaQuestion 4had his firstbabygot to runin the BostonMarathonmoved to the USwent to a BruceSpringsteenconcertQuestion 5his wife Martin LutherKing Jr.Sophia Loren her dadQuestion 6be a father offiveIn five yearswin the BostonMarathondo what he’sdoing right nowhas her ownbeauty salonSection IIA.Choose the best answer (a, b or c) for each of the following questions.1—6: abaccbB.True or False Questions.1—4: FTFFC.Fill in the following chart with information about the journey the Roman armymade according to Trevor.Designation: D CompanyNumber of men: one hundred and moreJourney: from France to BritainMeans of transcript: boatWeather conditions: stormyFood: cat foodDrink: rain waterConditions of weapons after landing: uselessFighting: noneEquipment lost or damaged: boat lost, guns full of water, supplies of wine lost Soldiers killed or wounded: about ten survivors, all others drowned or killed by coldD.Point out what is not true in Trevor’s story.The following did not exist in Roman times:petrol, newspaper, matches, trousers, tinned food, taps, guns, wine bottles.50 BC could not appear on a coin. 50-55 BC is counting backwards.E.Fill in the blanks according to what you hear on the tape.1.terrible, stormy, or more of us, shut in, so bad, sick, stuffy.2.pushed up onto the sands, climbed out, jumping into the, struggling to the,up to my shoulder, freezing.3.came and took us away, joined, going into the camp, a hot meal, cleanclothes, given our pay.Lesson 2Section ITask1: Film EditingA.True or False Questions.1—4: TFTFB.Fill in the following blanks to give a clear picture of what needs to be donebefore a film is ready for distribution.1. The assistant:a. “Synching up” which means matching sound and pictures according to thenumbers stamped along the edge of the film and sound tape.b. “Logging” which means recording the detail version of the film and thesound in a log book.2. The film editor:a. Make a first selection of the best takes.b. Prepare a “rough cut” – an initial version of the film.c. Prepare the “fine cut” – the final form of the film.3. Others:a. Approve the fine cut.b. “Dubbing” which means voices, music, background noises and sometimesspecial effects are put together.c. The “neg” cutters cut the original negatives on the film so that thesematch the edited film exactly.Task 2: A Vision of the FutureA.Choose the best answer for each of the following questions.1—6: abacccB.True of False Questions.1—4: TFTFC.Fill in the blanks to give a clear picture of the problems New York faces in themovie.1.40 million2.have no apartment, sleep on the steps of the building, crawl over sleepingpeople to get inside.3.nothing will grow, they never see the sun.4.soylent: soylent red, soylent yellow, and soylent green. 2, soybeans,soylent green, ocean plants.5.90 degree.6.electricity, ride bicycles to make it.Section IITask 1: American IndiansA.Answer the following questions briefly.1.1492.2.He thought that he had arrived in India.3.They were kind to them and wanted to help.4.(1) They wanted bigger farms and more land for themselves; (2) Moreimmigrants came from Europe.5.It was their mother. Everything came from and went back to their mother. Andit was for everybody.6.They started fighting back.7.By 1875 the Indians had lost the fight and had to live in “reservations”.8.The Indians are bad and the White man is good and brave in Hollywood films.B.Choose the best answer for each of the following questions.1—4: acbcTask 2: New AustraliansA.Identification:1.(1)—(d), (2)—(b), (3)—(a), (4)—(c)2.(a) more than 15 million,(b) 160, 000,(c) the year 1851,(d) 700, 000B.True or False questions.1—6: FTFFTTC.Fill in the blanks with events connected with the following time expressions.1.Italiansa.the 1850s and 1860s: Different states in Italy were fighting forindependence and some Italians went to Australia for political reasons.Some others went there for gold.b.1891: The first group of 300 Italians went to work in the sugar-canefields of northern Australia.c.The end of the 19th century: Some good Italian fishermen went to westernAustralia.2.Greeksa.1830: The first Greeks went to work in vineyards in south-easternAustralia.b.The 1860s; There were about 500 Greeks in Australia.c.1890; There were Greek Cafes and restaurants all over Sydney and out inthe countryside.d.After WWII: Many Greeks arrived in Australia.Lesson 3Section ITask 1: I Don’t See It That WayA.Conversation 1:1.Choose the best answer for each of the following statements.(1) — (2): ba2.Give brief answers to the following questions.(1)About 6 months ago.(2)It is defective and has ruined 4 of the customer’s favorite cassettes.(3)6 months.(4)10 days ago.3.Blank-filling.(1)bend the rule, make an exception for, make an exception for(2)adding insult to injury, make good on(3)brought it in, hold me to, onB.Conversation 2:1.Multiple choice. (1) — (2): ba2.True or False Questions.(1) — (4): FTTTC.Conversation 3:1.Give brief answers to the following questions.(1)Single.(2)5 years.(3)He has been loyal to the company and worked quite hard.(4)Asking for a raise.(5)Bob does his job adequately, but he doesn’t do it well enough todeserve a raise.(6)Take more initiative and show more enthusiasm for the job.(7)To quit his job.(8)That’s a decision Bob will have to make for himself.Task 2: marriage CustomsA.Blank-filling.Speaker: Professor Robin StuartTopic: Marriage customs in different parts of the world; romantic business;arranged marriage; on the day of the wedding; arranged marriages; to have a look at one another; call the whole thing off; the wedding goes ahead;several wives.Conclusion: just as much chance of bringing happiness to the husband and wife as the Western systems of choosing marriage partners.B.True or False Questions.1 — 3: TFTSection IITask 1: At the Dentist’sA.Multiple Choice. 1 — 4: baccB.True of False Questions. 1 — 6: FTFFTTTask 2: HiccupsA.Give brief answers to the following questions.1.He wants her to help him stop his hiccups.2. 3 hours.3.Everything he can think of.4.She’ll give the man 5 pounds if he hiccups again.5.The man has stopped hiccupping and owes Rosemary 5 pounds.B.Identification.(1) — (b), (2) — (d), (3) — (e), (4) — (a), (5) — (c)Lesson 4Section ITask 1: Weather ForecastA.Multiple Choice. 1 — 2: acB.Fill in the following chart.Weather Description TemperatureBritish Columbiadownto northernCaliforniarainingSeattle50 degreesSouthern California sunnywarmer temperatureSan Diego78 degrees Midwest clear but windyOklahoma City sunny with strongwinds65 degreesHouston cloudy69 degrees Miami cloudy, windy64 degreesNew York City heavy rains andhigh winds35 degreesMontreal snow flurries28 degreesToronto sunny30 degreesTask 2: The 5 O’clock NewsA.Fill in the following chart.Title Name Summary of the ReportNews anchor Charles Mckay Delta has been declareda health hazardConsumer reporter Sarah Coopera. Drinking beermoderatelyis good for health.b. The war againstcigarettesmoking is heating up.Sports announcer Jerry RyanResults of soccergames.B.Give brief answers to the following questions based on the news report.1.It was closed down by government authorities.2.Testing confirmed that the town had been poisoned be the dumping of toxicchemicals in town dumps.3. 3 weeks ago.4.200.5.Headaches, stomachaches, faintness and dizziness.6.Toxic wastes had leaked into the ground and contaminated the water supply.7.All the residents should leave the area, until the chemical companyresponsible for the toxic waste can determine whether the town can be cleaned up and made safe again.C.True of False Questions.1—6: FTTFFTD.Fill in the following blanks (based on the news report).Teams Playing Result(1) Mexico — France7 to 6(2) Canada — Argentina 3 to 3(3) Italy — Haiti(with 30 minutes left togo)2 to 1Section IITask 1: What Do You Like for Entertainment?A.Blank-filling.Reporter: Deborah TylerInterviewee: Students of the Brooklyn Academy of Dramatic ArtsMajor: Benny Gross —— pianoKimberley Martins —— modern danceB.Fill in the following chart about how often Benny and Kimberley go to the eightforms of artistic entertainment.Benny Kimberley(1) Art gallery lots of times lots of time(2) Ballet a few times almost every night(3) Classic concerts many times sometimes(4) Exhibition photographicones those about famous people(5) Folk concert never never(6) Opera 2 or 3 times never(7) Pop concert never Madonna once(8) Theatre once or twice yesC.Rearrange the forms of artistic entertainment that Benny and Kimberley like,beginning with the form that each one likes best.Benny: (3)—(1)—(4)—(6)—(2)—(8)Kimberley: (2)—(4)—(1)—(7)—(3)—(8)Task 2: Are You a Heavy Smoker?A.True or False Questions.1—6: TFTTFTB.Multiple Choice.1—6: cbcbacC.Blank-filling.Name: Doris BradleySex: femaleAge: 32Amount: 3 packets of 20 a weekFirst experience:Time: at the age of 17Place: at a partyOffered by: boyfriend, not husbandFeeling; awfully grown-upLater: started smoking 2 or 3 a day and gradually increased.Experience of giving up smoking: twice1. Time: 6 months before getting marriedReason: saving upResult: only cut it down from 30 a day, still smoked a little2. Time: when expecting a babyReason: according to doctor’s adviceResult: gave up completely for 7 or 8 months and took it up a couple of weeks after the baby was born, because the baby was being bottlefed.Time when she smokes most:1. watching TV2. reading books3. in company4. with friendsTime when she never smokes:1. doing the housework2. on an empty stomachLesson 5Section ITask 1: An Unpleasant TripA.Give brief answers to the following questions.1.The Isle of Wight.2.They were not pleased with their hotel.3.He decided to write to the Manager of Happytours.4. A travel Agency.5.The hotel and travel arrangements.6.They will never book any future holidays through Happytours.B.Fill in he blanks with the words used in the brochure and by Mr. Wilson todescribe the hotel and travel arrangement.Brochure Mr. WilsonHotel Comfortable, mediumsized,with a magnificent viewof the sea Half a mile from the sea, with our room overlooking a car parkService Courteous, old fashioned The majority of the staff wereForeigners and couldn’t speakOr understand English Food excellent Strictly beefburgers and chips orFish and chips, wine at exorbitantpricesAtmosphere relaxed, friendlyJourney home11.00 am ferry didn’t get away till 6 pmTask 2: At the Travel AgencyA.Multiple Choice.1—6: acbbcaB.True or False Questions.1—6: TFTTFTC.Fill in the blanks with the two things that Miss Bush will do.1.her two friends, to stop over with her on the way back.2.Mr. Adams to stop with her in Cairo.Section IIA Saturday AfternoonA.Identification.Name IdentificationGillian Dr. Carmichael’s new researchassistantDr. Carmichael the president of St. Alfred’sHospitalMaurice Featherstone the gardener of the hospitalB.Multiple Choice.1—6: cbaacaC.True or False Questions.1—8: FFTF TFTTD.Fill in the blanks with information about Maurice.Name: Maurice FeatherstoneSex: maleAge: oldAppearance: clear, blue, honest eyes; white hair and a pinkish complexionTemperament: gentle and mild-manneredLength of stay in the hospital: 35 yearsReasons for entering the hospital:1.When he was 17, he burnt down his school.2.Over the next few years, there were a number of mysterious fires in hisneighborhood.ter he tried to set fire to the family mansion.Visits from family members: No.Bills: paid on time.E.Blank-filling.1.slightly uneasy, unlocked the gates, waved her through2.withdrawn, depressed, normal, kept locked up, all of them, too dangerous tolive in normal society.3.with the staff, a surprise, let him go out for the afternoon, flower show,quite excited, a birthday cake, decorated the lounge.Lesson 6Section ITask 1: In the Path of the EarthquakeA.True or False Questions. 1—6: FTFTFFB.Map 1 is a layout of the Skinners’ farm. Mark out the plants and buildings inthe map. Then in map 2 draw a new plan of the Skinners farm after the quake.Map 1:1. farm house2. garden path3. cypresstrees4. rose garden5. eucalyptus trees6. raspberrypatch7. cow shed8. granaryMap 2:Task 2: A Funny Thing Happened to Me.A.Multiple Choice. 1—6: cabbcaB.Give brief answers to the following questions.st Friday.2.He was a student.3.In London.4.By taxi.5.The taxi got stuck in a traffic jam and the train had left by the time hegot to the station.6. 1 hour.7.The station buffet.8.An evening newspaper, the “Standard”.9.At a table near the window.10.He did the crossword puzzle.C.True or False Questions.1—6: FFTTFTD.Blank-filling.1.reached across, opened, took one, dipped, into, popped it into.2.get up and go, pushed back, stood up, hurried out of.Section IIConsolidation: A Very Beautiful StoryA.Give brief answers to the following questions.1. A tape from Gentleman Jim.2.Yesterday.3.Jim’s wife.4.There was a message hidden in the tape.5.Half the police force in London and 3 experts.6.Nothing had been found yet.7.Happy memories and things.8.In his words.B.True or False Statements.1—8: FTFF TTFTC.Discuss with your classmates what message is hidden in Gentleman Jim’srecording.D.Listen to the 2nd part of the policeman’s discussion and list all the thingsthey feel unusual about Gentleman Jim’s recording.1.Jim keeps telling his wife to play the message over and over again.2.Jim tells his wife that she’ll find something comforting.3.Jim keeps saying “very beautiful” over and over again.4.The speech doesn’t sound natural.E.Listen to Gentleman Jim’s recording again and work out the message.Answer: There are 2 gold bricks in the garden under the big red rose tree.Lesson 7Section ITask 1: Learning a Foreign LanguageA.Multiple Choice.1—4: bcaaB.True or False Questions.1—4: FTTFC.Give brief answers to the following questions.1.Albert Humphries.2.Balham, London.3. 4 years.4.He has been going to an evening class and has watched quite a lot of the BBCtelevision programmes.5.They use a different book in the class.6.They make the same mistakes as he does.7.It means being able to put together the right groups of words and to saythem in a reasonably accurate way.Task 2: In the LibraryA.Multiple Choice.1—6: bbcacaB.True or False Questions.1—6: TTFTFTC.Give brief answers to the following questions.1.Round the corner.2. A 20p a day fine for each book.3.Tahiti.4.No.D.Blank-filling.1. 5 pounds, you damage them, entitles you, 2 records at a time, everythingavailable, be much more popular than.2.telephone to renew the books.3.we get back, worth all the bother, some paperbacks in the airport, I’vebeen such a nuisance.Section IITask 1: Lessoned World CollegesA.Give brief answers to the following questions.1.On the phone.2.Some information about the college.3.Robert Creighton.4.Julian’s friend in Spain.5.English.6.No. There are scholarships for all colleges, but parents will have to pay too.7.Yes. But academic ability is not the only thing important. Personal qualities will also be considered.8.Maturity, the ability to get on well with people from different countries.B.Blank-filling.1.the line, put you through to2.Pacific College, French, may be taught in Italian3.painting and modern dancing4.probably, the staff at the college, special activities, theatre studies,environmental work, take partTask 2: I Remember …A.Multiple Choice.1—6: baabcaB.True or False Questions.1—8: TTTF FTTTLesson 8Section ITask 1: TwinsA.Multiple Choice.1—6: acbcabB.Blank-filling.Name: Laura and SarahSex: femaleSimilarities: 1. blonde2. brown eyes3. same height4. same weight5. same size6. same shoesDifferences: 1. Laura is single, but Sarah has a well-fed happy husband and 4 healthy children.2. When Laura was learning to type, Sarah was washing up.3. When Laura was writing articles for the school newspaper, Sarahwas knitting.4. When Laura was in Panama, doing her first job for LessonedInformation Services, Sarah was having her second child.C.True or False Questions.1—2: TFTask 2: Genetic Make-upA.Give brief answers to the following questions.1.Alan and Barbara.2.At lunch time.3.An article about twins and coincidences.4.because it suggests criminals are born and not made.5.Somebody was born with the potential to become a criminal.6.The ones that regard crime as a way of life and see the police as enemy.7.Similar qualities are necessary to become a successful criminal or a first-class policeman.8.Men who might easily be in jail.B.Fill in the blanks with information about the twins.1.bound to act in a particular way.2. a particular set of genes, potential criminal, brought up in a particularway3.get bored with, want action, pretty strong charactersSection IITask 1: Can I Take a Message?A.Multiple Choice.1—2: acB.Blank-filling.1.Message 1:Caller’s name: Mary RobertsCaller’s number: 772-1852Message: Call back at that number till 12:30 or between 2 and 5 this afternoon.2.Message 2:Caller’s name: Mr. BrownCaller’s number: 743-9821Message: Cancel the lunch appointment for tomorrow noon, because he is out of town for a while. Please call and reschedule.3.Message 3:Caller’s name: Mrs. TurnerMessage: She won’t be home until 8 o’clock. She’s working late.4.Message 4:Caller’s name: WendyMessage: Ticket for Puerto Rico is booked. That’s Pan Am Flight 226, leaving Tuesday the 12th at 8 am. Tickets will be sent over later thisafternoon.5.Message 5:Caller’s name: Juan SalvadeMessage: He’ll call back about the meeting next Wednesday.C.Blank-filling.1.May I take a message?2.out of town, offer my apologies to, have him call me3.just a minute, can I hold you for a second?4.holdingTask 2: Night FlightA.True or False Questions.1—6: FTTFTFB.Multiple Choice.1—8: bacba cbcC.Blank-filling.1.dramatically, moaning and groaning, doubled up, unconscious2.at the controls, shaking slightly3.on the horizon, the lights of the runway, beyond the city4.thump, hit the tarmac, raced along, to a haltD.Answer the following questions.1.She discovered that two passengers had been sick.2.Because the captain was lying behind the door unconscious.3.Because she was afraid that would cause a general panic.4.When the plane had circled over Brisbane Airport for over half an hour.Lesson 9Section IWilling to TrainA.True or False Questions.1—4: TTFTB.Fill in the blanks with information about Catherine based on her own statement.Name: Catherine HuntQualifications: 1. qualifications from school, very good results2. certificates for ballet and for playing the pianoInterests: 1. tennis2. swimming3. travelling4. talking to peopleIntelligence: reasonably intelligentC.Give brief answers to the following questions1.Dancing and music2. A good girl. A bit lazy and disorganized sometimes, but very bright.3.Be a teacher or a vet.4.Because she believes that Cathy likes working with young children andlooking after sick animals.5.She wants to talk to Cathy, not her mother.6.No. she is bright enough to be a vet and wants to find something differentfrom school work.7.Yes, if it is for something useful.8.Nursing, because she has good qualifications in English and Maths.9.Very hard work, not very pleasant sometimes.10.At first she is afraid she is not good enough. Later she thinks she shouldenjoy that.plete the following sentences.1. a little girl, very keen on, a music teacher or something, to train for, theright job 2.to lessons, six, I suppose, for the rest of, music, lonely 3.France, the school choir, talking to people, real interests 4.being a hairdresser, people, do something properly, very worthwhile 5.do look after, looked after, run over by a car, mind, too worriedSection IITask 1: How Do Others Think of My Job?A.Fill in the following chart.B.Give brief answers to the following questions.1.Clever, artistic, very noisy.2.To Mr. S. Andrews.3.The company does put Mr. or Ms. In front of the names on its departmentallist4.Nursing. Being a male nurse, he has more contact with the patients and along term responsibility for their welfare.5.They travel and have wife at every port.6.No.7.She is learning a lot about hair and how to get along with people and isgaining confidence.8.She will be able to start her own business and earn five times as much asthe teachers.Task 2: Job StereotypesA.True or False Questions.1—6: TFTFTF B.Multiple Choice.1—8: abaab cbbC.Re-list the professions in the survey, beginning with the one that the childrentook as the most favorite.1. lawyer6. civil engineer 2. accountant7. electrical engineer 3. physicist 8. mechanicalengineer SexJob Stereotype of the Job Speaker 1male work in Civil service or Tax Office grey Speaker 2female Manager of a department It’s a man’s job Speaker 3male Nursing officer in a hospital He should be a doctor,for nursing is a woman’s job Speaker 4male Bank manager stuffy, bourgeois, funny Speaker 5male Sales representative not dependable, wife in every port Speaker 6female Apprentice hairdresser for dim girls4. biologist9. Salesrepresentative5. economist10. estate agentD.Blank-filling.1.“dirty job”, “low status”, “subordinate”, take orders, give orders2.interesting, well paidLesson 10Section ITask 1: News Summary 1A.True or False Questions.1—5: FFTFTB.Blank-filling.1.the local British Steel Corporation’s headquarters, closure plans2.doctors, nurses and other staff, grown even faster3.another 31 million pounds, poorer areas, regional development fund, 13.5million pounds, 10 million pounds, industrial improvement, road works4.17, 5, 2, 2, landed illegally, the first 9 months, 7 more5.derailed local train, disrupted rail services, the south of EnglandTask 2; News Summary 2A.Multiple Choice.1—4: bcacB.Answer the following questions briefly.1. A double-barrelled.2.The girl’s brother.3.When the girl was being overpowered by police officers.4.Into the ceiling.5. A 23-year-old electronics worker and a 55-year-old housewife.6.They are doing well.7. 2 months ago.8.125 pounds with 25 pounds costs.9. A woman was killed when a chimney on a house collapsed and 2 men were killedwhen their car crashed into a fallen tree.10.More high winds and rain.Section IITask 1: British NewspapersA.True or False Questions.1—4: FTTFB.Multiple Choice.1—3: babC.Fill in the blanks with information about Professor Hill’s favourite paper.News: (1) Political matters are covered in full.(2) The editorial column may support government policy on one issue andoppose it on another.Book Reviews: a whole page for it.Art: a whole page for the latest happenings in the theatre, the cinema and the world of art.Economics: (1) Stock Exchange prices are quoted daily.(2) Exchange rates of the world’s major currencies are reported daily.Sports: The correspondents are among the best.Reader’s Letters: The standard is first–class.Task 2: EccentricityA.Answer the following questions.1. A person who behaves in a totally different manner from those in the societyhe lives in.2.Not specifically.3.He used to share his house openly with the strangest animals and sample themas food.4.The hermit.B.True or False questions.1—8: FFTT TTFFC.Fill in the blanks.1.touch his food, wrap, in a tissue, picking, up, a barber, too often, grewdown to his waist。
. .Lesson 1Section ITask 1: This Is Your Life!A.Choose the best answer (a, b or c) to complete each of the following statements.1—6: caacbaB.True or False Questions.1—6: TFFFFT C.Identification.(1)—(b), (2)—(d), (3)—(f), (4)—(g), (5)—(a), (6)—(c), (7)—(e) D. Complete the following résumé for Jason Douglas.Name: Jason DouglasFormer name: Graham Smith Profession: actorDate of birth: July 2, 1947 1952: started school1958: moved to Lane End Secondary School1966: went to the London School of Drama 1969: left the London School of Drama 1973: went to Hollywood1974: were in a movie with Maria MontroseTask 2: What Are Your Ambitions?A.Give brief answers to the following questions.1.Radio Station QRX.2.For a survey.3.Four.4.Six.5.(1) What's your name?(2) What do you do for a living? (3) What do you do for fun?(4) What's the most exciting thing that's happened to you recently? (5) Who do you admire most in this world?(6) What do you want to be doing five years from now?B.Fill in the following chart with answers that each interviewee gives to. .concert Question 5his wifeMartin Luther King Jr.Sophia Lorenher dad Question 6 be a father offiveIn five yearswin the Boston Marathon do what he's doing right nowhas her own beauty salonSection IIA.Choose the best answer (a, b or c) for each of the following questions. 1—6: abaccbB.True or False Questions.1—4: FTFFC.Fill in the following chart with information about the journey the Roman army madeaccording to Trevor.Designation: D CompanyNumber of men: one hundred and more Journey: from France to Britain Meansof transcript: boat Weather conditions: stormy Food: cat food Drink: rain waterConditions of weapons after landing: useless Fighting: noneEquipment lost or damaged: boat lost, guns full of water, supplies of wine lost Soldiers killed or wounded: about ten survivors, all others drowned or killed by cold D.Point out what is not true in Trevor's story.The following did not exist in Roman times:petrol, newspaper, matches, trousers, tinned food, taps, guns, wine bottles. 50 BC could not appear on a coin. 50-55 BC is counting backwards.E.Fill in the blanks according to what you hear on the tape.1.terrible, stormy, or more of us, shut in, so bad, sick, stuffy.2.pushed up onto the sands, climbed out, jumping into the, struggling to the, upto my shoulder, freezing.3.came and took us away, joined, going into the camp, a hot meal, clean clothes,given our pay.. .Lesson 2Section ITask1: Film EditingA.True or False Questions.1—4: TFTFB.Fill in the following blanks to give a clear picture of what needs to be done beforea film is ready for distribution.1. The assistant:a. “Synching up” which means matching sound and pictures according to thenumbers stamped along the edge of the film and sound tape.b. “Logging”which means recording the detail version of the film and the sound in a log book. 2. The film editor:a. Make a first selection of the best takes.b. Prepare a “rough cut”–an initial version of the film. c. Prepare the “fine cut”–the final form of the film. 3. Others:a. Approve the fine cut.b. “Dubbing”which means voices, music, background noises and sometimes specialeffects are put together.c. The “neg” cutters cut the original negatives on the film so that these match the edited film exactly.Task 2: A Vision of the FutureA.Choose the best answer for each of the following questions.1—6: abacccB.True of False Questions.1—4: TFTFC.Fill in the blanks to give a clear picture of the problems New York faces in the movie.1.40 million2.have no apartment, sleep on the steps of the building, crawl over sleepingpeopleto get inside.3.nothing will grow, they never see the sun.4.soylent: soylent red, soylent yellow, and soylent green. 2, soybeans, soylentgreen, ocean plants. 5.90 degree.6.electricity, ride bicycles to make it.Section IITask 1: American Indians. .A.Answer the following questions briefly.1.1492.2.He thought that he had arrived in India.3.They were kind to them and wanted to help.4.(1) They wanted bigger farms and more land for themselves; (2) More immigrants came from Europe.5.It was their mother. Everything came from and went back to their mother. And it was for everybody.6.They started fighting back.7.By 1875 the Indians had lost the fight and had to live in “reservations”.8.The Indians are bad and the White man is good and brave in Hollywood films.B.Choose the best answer for each of the following questions.1—4: acbcTask 2: New AustraliansA.Identification:1.(1)—(d), (2)—(b), (3)—(a), (4)—(c)2.(a) more than 15 million,(b) 160, 000,(c) the year 1851, (d) 700, 000 B.True or False questions.1—6: FTFFTTC.Fill in the blanks with events connected with the following time expressions.1.Italiansa.the 1850s and 1860s: Different states in Italy were fighting forindependence and some Italians went to Australia for political reasons. Some others went there for gold.b.1891: The first group of 300 Italians went to work in the sugar-cane fieldsof northern Australia.c.The end of the 19thcentury: Some good Italian fishermen went to westernAustralia.2.Greeksa.1830: The first Greeks went to work in vineyards in south-easternAustralia. b.The 1860s; There were about 500 Greeks in Australia.c.1890; There were Greek Cafes and restaurants all over Sydney and out in thecountryside.d.After WWII: Many Greeks arrived in Australia.. .Lesson 3Section ITask 1: I Don't See It That WayA.Conversation 1:1.Choose the best answer for each of the following statements.(1) — (2): ba2.Give brief answers to the following questions.(1)About 6 months ago.(2)It is defective and has ruined 4 of the customer's favorite cassettes.(3)6 months. (4)10 days ago. 3.Blank-filling.(1)bend the rule, make an exception for, make an exception for (2)adding insult to injury, make good on (3)brought it in, hold me to, on B. Conversation 2:1.Multiple choice. (1) — (2): ba2.True or False Questions. (1) —(4): FTTT C.Conversation 3:1.Give brief answers to the following questions.(1)Single. (2)5 years.(3)He has been loyal to the company and worked quite hard. (4)Asking for araise.(5)Bob does his job adequately, but he doesn't do it well enough to deservea raise.(6)Take more initiative and show more enthusiasm for the job. (7)To quit his job.(8)That's a decision Bob will have to make for himself.Task 2: marriage CustomsA.Blank-filling.Speaker: Professor Robin StuartTopic: Marriage customs in different parts of the world; romantic business;arrangedmarriage; on the day of the wedding; arranged marriages; to have a look at oneanother; call the whole thing off; the wedding goes ahead; several wives. Conclusion: just as much chance of bringing happiness to the husband and wifeas theWestern systems of choosing marriage partners. B.True or False Questions.1 — 3: TFT. .Section IITask 1: At the Dentist'sA.Multiple Choice. 1 — 4: baccB.True of False Questions. 1 — 6: FTFFTTTask 2: HiccupsA.Give brief answers to the following questions.1.He wants her to help him stop his hiccups.2.3 hours.3.Everything he can think of.4.She'll give the man 5 pounds if he hiccups again.5.The man has stopped hiccupping and owes Rosemary 5 pounds.B.Identification. (1) — (b), (2) — (d), (3) — (e), (4) — (a), (5) —(c)Lesson 4Section ITask 1: Weather ForecastA.Multiple Choice. 1 — 2: acB.Fill in the following chart.Weather DescriptionTemperatureBritish Columbia downto northern CaliforniarainingSeattle 50 degrees Southern Californiasunny warmer temperature San Diego 78 degreesMidwest clear but windyOklahoma City sunny with strong winds65 degrees Houston cloudy 69 degrees Miami cloudy, windy 64 degrees New York City heavy rains and high winds 35 degrees Montreal snow flurries 28 degrees Torontosunny30 degreesTask 2: The 5 O'clock NewsA.Fill in the following chart.Title Name Summary of the Report News anchorCharles MckayDelta has been declared. .a health hazardConsumerreporterSarah Coopera. Drinking beermoderatelyis good for health.b. The war againstcigarettesmoking is heating up.SportsannouncerJerry RyanResults of soccer games.B.Give brief answers to the following questions based on the news report.1.It was closed down by government authorities.2.Testing confirmed thatthe town had been poisoned be the dumping of toxic chemicalsin town dumps. 3. 3 weeks ago. 4.200.5.Headaches, stomachaches, faintness and dizziness.6.Toxic wastes had leaked into the ground and contaminated the water supply.7.All the residents should leave the area, until the chemical company responsiblefor the toxic waste can determine whether the town can be cleaned up and made safe again. C.True of False Questions. 1—6: FTTFFTD.Fill in the following blanks (based on the news report).Teams PlayingResult (1) Mexico — France 7 to 6 (2) Canada — Argentina 3 to 3 (3) Italy — Haiti(with 30 minutes left to go) 2 to 1Section IITask 1: What Do You Like for Entertainment?A.Blank-filling.Reporter: Deborah TylerInterviewee: Students of the Brooklyn Academy of Dramatic Arts Major: Benny Gross —— pianoKimberley Martins —— modern danceB.Fill in the following chart about how often Benny and Kimberley go to the eight formsof artistic entertainment.Benny Kimberley (1) Art gallery lots of times lots of time (2) Balleta few timesalmost every night. .(3) Classic concertsmany timessometimes(4) Exhibitionphotographiconesthoseaboutfamouspeople(5) Folk concertnevernever(6) Opera2 or 3 timesnever (7) Pop concert neverMadonna once (8) Theatreonce or twiceyesC.Rearrange the forms of artisticentertainment that Benny and Kimberley like, beginning with the form that each one likes best.Benny: (3)—(1)—(4)—(6)—(2)—(8) Kimberley: (2)—(4)—(1)—(7)—(3)—(8) Task 2: Are You a Heavy Smoker?A.True or False Questions. 1—6: TFTTFTB.Multiple Choice. 1—6: cbcbacC.Blank-filling.Name: Doris BradleySex: female Age: 32Amount: 3 packets of 20 a week First experience:Time: at the age of 17 Place: at a partyOffered by: boyfriend, not husband Feeling; awfully grown-upLater: started smoking 2 or 3 a day and gradually increased. Experience of giving up smoking: twice1. Time: 6 months before getting married Reason: saving upResult: only cut it down from 30 a day, still smoked a little 2. Time: when expecting a babyReason: according to doctor's adviceResult: gave up completely for 7 or 8 months and took it up a couple of weeksafter the baby was born, because the baby was being bottle fed. Time when she smokes most: 1. watching TV 2. reading books 3. in company 4. with friendsTime when she never smokes: 1. doing the housework 2. on an empty stomach . .Lesson 5Section ITask 1: An Unpleasant TripA.Give brief answers to the following questions.1.The Isle of Wight.2.They were not pleased with their hotel.3.He decided to write to the Manager of Happytours.4.A travel Agency.5.The hotel and travel arrangements.6.They will never book any future holidays through Happytours.B.Fill in he blanks with the words used in the brochure and by Mr. Wilson to describeour room overlooking a car park ServiceCourteous, old fashionedThe majority of the staff were Foreigners and couldn't speakOr understand English Food excellentStrictly beefburgers and chips orFish and chips, wine at exorbitant prices Atmosphere relaxed, friendlyJourney home 11.00 am ferrydidn't get away till 6 pmTask 2: At the Travel AgencyA.Multiple Choice. 1—6: acbbcaB.True or False Questions. 1—6: TFTTFTC.Fill in the blanks with the two things that Miss Bush will do.1.her two friends, to stop over with her on the way back.2.Mr. Adams to stop with her in Cairo.Section IIA Saturday Afternoon A.Identification.NameIdentificationGillian Dr. Carmichael's new research assistantDr. Carmichaelthe president of St. Alfred's Hospital. .Maurice Featherstonethe gardener of the hospitalB.Multiple Choice. 1—6: cbaacaC.True or False Questions. 1—8: FFTF TFTTD.Fill in the blanks with information about Maurice.Name: Maurice FeatherstoneSex: male Age: oldAppearance: clear, blue, honest eyes; white hair and a pinkish complexionTemperament: gentle and mild-manneredLength of stay in the hospital: 35 years Reasons for entering the hospital:1.When he was 17, he burnt down his school.2.Over the next few years, there were a number of mysterious fires inhisneighborhood.ter he tried to setfire to the family mansion. Visits from family members: No.Bills: paid on time. E.Blank-filling.1.slightly uneasy, unlocked the gates, waved her through2.withdrawn, depressed, normal, kept locked up, all of them, too dangerous tolivein normal society.3.with the staff, a surprise, let him go out for the afternoon,flower show, quiteexcited, a birthday cake, decorated the lounge.Lesson 6Section ITask 1: In the Path of the EarthquakeA.True or False Questions. 1—6: FTFTFFB.Map 1 is a layout of the Skinners' farm. Mark out the plants and buildings in themap. Then in map 2 draw a new plan of the Skinners farm after the quake. Map 1:..1. farm house2. garden path3. cypress trees4. rose garden5. eucalyptus trees6.raspberry patch 7. cow shed 8. granaryMap 2:Task 2: A Funny Thing Happened to Me.A.Multiple Choice.1—6: cabbcaB.Give brief answers to the following questions.st Friday.2.He was a student.3.In London.. .4.By taxi.5.The taxi got stuck in a traffic jam and the train had left by the time he gotto the station. 6. 1 hour.7.The station buffet.8.An evening newspaper, the “Standard”. 9.At a table near the window. 10.He did the crossword puzzle. C.True or False Questions. 1—6: FFTTFTD.Blank-filling.1.reached across, opened, took one, dipped, into, popped it into.2.get up and go, pushed back, stood up, hurried out of.Section IIConsolidation: A Very Beautiful StoryA.Give brief answers to the following questions.1. A tape from Gentleman Jim.2.Yesterday. 3.Jim' s wife.4.There was a message hidden in the tape.5.Half the police force in London and 3 experts.6.Nothing had been found yet.7.Happy memories and things.8.In his words.B.True or False Statements. 1—8: FTFF TTFTC.Discuss with your classmates what message is hidden in Gentleman Jim's recording.D.Listen to the 2nd part of the policeman's discussion and list all the things theyfeel unusual about Gentleman Jim's recording.1.Jim keeps telling his wife to play the message over and over again. 2.Jim tells his wife that she'll find something comforting. 3.Jim keeps saying “very beautiful”over and over again. 4.The speech doesn' t sound natural.E.Listen to Gentleman Jim's recording again and work out the message. Answer: There are 2 gold bricks in the garden under the big red rose tree.Lesson 7Section ITask 1: Learning a Foreign LanguageA.Multiple Choice. 1—4: bcaaB.True or False Questions. 1—4: FTTF. .C.Give brief answers to the following questions.1.Albert Humphries.2.Balham, London.3.4 years.4.He has been going to an evening class and has watched quite a lot of the BBC television programmes.5.They use a different book in the class.6.They make the same mistakes as he does.7.It means being able to put together the right groups of words and to say themin a reasonably accurate way.Task 2: In the LibraryA.Multiple Choice. 1—6: bbcacaB.True or False Questions. 1—6: TTFTFTC.Give brief answers to the following questions.1.Round the corner.2.A 20p a day fine for each book.3.Tahiti.4.No.D.Blank-filling.1.5 pounds, you damage them, entitles you, 2 records at a time, everythingavailable,be much more popular than. 2.telephone to renew the books.3.we get back, worth all the bother, some paperbacks in the airport, I've beensuch a nuisance.Section IITask 1: Lessoned World CollegesA.Give brief answers to the following questions.1.On the phone.2.Some information about the college. 3.Robert Creighton.4.Julian's friend in Spain. 5.English.6.No. There are scholarships for all colleges, but parents will have to pay too. 7.Yes. But academic ability is not the only thing important. Personal qualitieswill also be considered.8.Maturity, the ability to get on well with people from different countries. B.Blank-filling.1.the line, put you through to2.Pacific College, French, may be taught in Italian. .3.painting and modern dancing4.probably, the staff at the college, special activities, theatre studies,environmental work, take partTask 2: I Remember …A.Multiple Choice. 1—6: baabcaB.True or False Questions. 1—8: TTTF FTTTLesson 8Section ITask 1: TwinsA.Multiple Choice. 1—6: acbcabB.Blank-filling.Name: Laura and SarahSex: femaleSimilarities: 1. blonde2. brown eyes3. same height4. same weight5. same size6. same shoesDifferences: 1. Laura is single, but Sarah has a well-fed happy husband and 4 healthychildren.2. When Laura was learning to type, Sarah was washing up.3. When Laura was writing articles for the school newspaper, Sarah wasknitting.4. When Laura was in Panama, doing her first job for LessonedInformationServices, Sarah was having her second child. C.True or False Questions. 1—2: TFTask 2: Genetic Make-upA.Give brief answers to the following questions.1.Alan and Barbara.2.At lunch time.3.An article about twins and coincidences.4.because it suggests criminals are born and not made.5.Somebody was born with the potential to become a criminal.6.The ones that regard crime as a way of life and see the police as enemy.7.Similar qualities are necessary to become a successful criminal or afirst-class policeman.8.Men who might easily be in jail.B.Fill in the blanks with information about the twins.. .1.bound to act in a particular way.2.a particular set of genes, potential criminal, brought up in a particular way 3.get bored with, want action, pretty strong charactersSection IITask 1: Can I Take a Message?A.Multiple Choice. 1—2: acB.Blank-filling.1.Message 1:Caller' s name: Mary Roberts Caller' s number: 772-1852Message: Call back at that number till 12:30 or between 2 and 5 this afternoon. 2.Message 2:Caller' s name: Mr. Brown Caller' s number: 743-9821Message: Cancel the lunch appointment for tomorrow noon, because he is out oftownfor a while. Please call and reschedule.3.Message 3:Caller' s name: Mrs. TurnerMessage: She won't be home until 8 o'clock. She's working late. 4.Message 4:Caller' s name: WendyMessage: Ticket for Puerto Rico is booked. That's Pan Am Flight 226, leavingTuesday the 12th at 8 am. Tickets will be sent over later thisafternoon.5.Message 5:Caller' s name: Juan SalvadeMessage: He' ll call back about the meeting next Wednesday. C.Blank-filling.1.May I take a message?2.out of town, offer my apologies to, have him call me3.just a minute, can I hold you for a second?4.holdingTask 2: Night FlightA.True or False Questions. 1—6: FTTFTFB.Multiple Choice. 1—8: bacba cbcC.Blank-filling.1.dramatically, moaning and groaning, doubled up, unconscious 2.at the controls, shaking slightly3.on the horizon, the lights of the runway, beyond the city4.thump, hit the tarmac, raced along, to a halt. .D.Answer the following questions.1.She discovered that two passengers had been sick.2.Because the captain was lying behind the door unconscious.3.Because she was afraid that would cause a general panic.4.When the plane had circled over Brisbane Airport for over half an hour. Lesson 9Section IWilling to TrainA.True or False Questions. 1—4: TTFTB.Fill in the blanks with information about Catherine based on her own statement.Name: Catherine HuntQualifications: 1. qualifications from school, very good results2. certificates for ballet and for playing the pianoInterests: 1. tennis2. swimming3. travelling4. talking to peopleIntelligence: reasonably intelligentC.Give brief answers to the following questions1.Dancing and music2.A good girl. A bit lazy and disorganized sometimes, but very bright.3. Be a teacher or a vet.4.Because she believes that Cathy likes working with young children and looking after sick animals.5.She wants to talk to Cathy, not her mother.6.No. she is bright enough to be a vet and wants to find somethingdifferent fromschool work.7.Yes, if it is for something useful.8.Nursing, because she has good qualifications in English and Maths. 9. Very hard work, not very pleasant sometimes.10.At first she is afraid she is not good enough. Later she thinks she should enjoythat. plete the following sentences.1.a little girl, very keen on, a music teacher or something, to train for, therightjob2.to lessons, six, I suppose, for the rest of, music, lonely3.France, the school choir, talking to people, real interests4.being a hairdresser, people, do something properly, very worthwhile 5.do look after, looked after, run over by a car, mind, too worried. .Section IITask 1: How Do Others Think of My Job?A.Fill in the following chart.B.Give brief answers to the following questions.1.Clever, artistic, very noisy.2.To Mr. S. Andrews.3.The company does put Mr. or Ms. In front of the names on its departmental list4.Nursing. Being a male nurse, he has more contact with the patients and a long term responsibility for their welfare.5.They travel and have wife at every port.6.No.7.She is learning a lot about hair and how to get along with people and is gaining confidence.8.She will be able to start her own business and earn five times as much as the teachers.Task 2: Job StereotypesA.True or False Questions. 1—6: TFTFTFB.Multiple Choice. 1—8: abaab cbbC.Re-list the professions in the survey, beginning with the one that the children tookas the most favorite.1. lawyer 6. civil engineer2. accountant 7. electrical engineer3. physicist 8. mechanical engineer4. biologist 9. Sales representative5. economist10. estate agentD.Blank-filling.1. “dirty job”, “low status”, “subordinate”, take orders, give orders Sex Job Stereotype of the Job. .2.interesting, well paidLesson 10Section ITask 1: News Summary 1A.True or False Questions. 1—5: FFTFTB.Blank-filling.1.the local British Steel Corporation's headquarters, closure plans2.doctors, nurses and other staff, grown even faster3.another 31 million pounds, poorer areas, regional development fund, 13.5millionpounds, 10 million pounds, industrial improvement, road works 4.17, 5, 2, 2, landedillegally, the first 9 months, 7 more5.derailed local train, disrupted rail services, the south of EnglandTask 2; News Summary 2A.Multiple Choice. 1—4: bcacB.Answer the following questions briefly.1.A double-barrelled.2.The girl's brother.3.When the girl was being overpowered by police officers.4.Into the ceiling.5.A 23-year-old electronics worker and a 55-year-old housewife.6.They are doing well.7.2 months ago.8.125 pounds with 25 pounds costs.9.A woman was killed when a chimney on a house collapsed and 2 men were killed when their car crashed into a fallen tree. 10.More high winds and rain.Section IITask 1: British NewspapersA.True or False Questions. 1—4: FTTFB.Multiple Choice. 1—3: babC.Fill in the blanks with information about Professor Hill's favourite paper. News: (1) Political matters are covered in full.(2) The editorial column may support government policy on one issue andoppose it on another.Book Reviews: a whole page for it.Art: a whole page for the latest happenings in the theatre, the cinema and the world of art.Economics: (1) Stock Exchange prices are quoted daily.. .(2) Exchange rates of the world's major currencies are reported daily.Sports: The correspondents are among the best. Reader's Letters: The standard is first–class.Task 2: EccentricityA.Answer the following questions.1.A person who behaves in a totally different manner from those in the society helives in.2.Not specifically.3.He used to share his house openly with the strangest animals and sample them asfood.4.The hermit.B.True or False questions. 1—8: FFTT TTFFC.Fill in the blanks.1.touch his food, wrap, in a tissue, picking, up, a barber, too often, grew downto his waist。
Lesson 1Section ITask 1: This Is Your Life!A.Choose the best answer (a, b or c) to complete each of the following statements.1—6: caacbaB.True or False Questions.1—6: TFFFFTC.Identification.(1)—(b), (2)—(d), (3)—(f), (4)—(g), (5)—(a), (6)—(c), (7)—(e)plete the following résumé for Jason Douglas.Name: Jason DouglasFormer name: Graham SmithProfession: actorDate of birth: July 2, 19471952: started school1958: moved to Lane End Secondary School1966: went to the London School of Drama1969: left the London School of Drama1973: went to Hollywood1974: were in a movie with Maria MontroseTask 2: What Are Your Ambitions?A.Give brief answers to the following questions.1.Radio Station QRX.2.For a survey.3.Four.4.Six.5.(1) What’s your name?(2) What do you do for a living?(3) What do you do for fun?(4) What’s the most exciting thing that’s happened to you recently?(5) Who do you admire most in this world?(6) What do you want to be doing five years from now?B.Fill in the following chart with answers that each interviewee gives to the questions.Section IIA.Choose the best answer (a, b or c) for each of the following questions.1—6: abaccbB.True or False Questions.1—4: FTFFC.Fill in the following chart with information about the journey the Roman army madeaccording to Trevor.Designation: D CompanyNumber of men: one hundred and moreJourney: from France to BritainMeans of transcript: boatWeather conditions: stormyFood: cat foodDrink: rain waterConditions of weapons after landing: uselessFighting: noneEquipment lost or damaged: boat lost, guns full of water, supplies of wine lost Soldiers killed or wounded: about ten survivors, all others drowned or killed by coldD.Point out what is not true in Trevor’s story.The following did not exist in Roman times:petrol, newspaper, matches, trousers, tinned food, taps, guns, wine bottles.50 BC could not appear on a coin. 50-55 BC is counting backwards.E.Fill in the blanks according to what you hear on the tape.1.terrible, stormy, or more of us, shut in, so bad, sick, stuffy.2.pushed up onto the sands, climbed out, jumping into the, struggling to the, upto my shoulder, freezing.3.came and took us away, joined, going into the camp, a hot meal, clean clothes,given our pay.Lesson 2Section ITask1: Film EditingA.True or False Questions.1—4: TFTFB.Fill in the following blanks to give a clear picture of what needs to be done beforea film is ready for distribution.1. The assistant:a. “Synching up”which means matching sound and pictures according to the numbersstamped along the edge of the film and sound tape.b. “Logging” which means recording the detail version of the film and the soundin a log book.2. The film editor:a. Make a first selection of the best takes.b. Prepare a “rough cut”– an initial version of the film.c. Prepare the “fine cut”– the final form of the film.3. Others:a. Approve the fine cut.b. “Dubbing” which means voices, music, background noises and sometimes specialeffects are put together.c. The “neg” cutters cut the original negatives on the film so that these matchthe edited film exactly.Task 2: A Vision of the FutureA.Choose the best answer for each of the following questions.1—6: abacccB.True of False Questions.1—4: TFTFC.Fill in the blanks to give a clear picture of the problems New York faces in the movie.1.40 million2.have no apartment, sleep on the steps of the building, crawl over sleeping peopleto get inside.3.nothing will grow, they never see the sun.4.soylent: soylent red, soylent yellow, and soylent green. 2, soybeans, soylentgreen, ocean plants.5.90 degree.6.electricity, ride bicycles to make it.Section IITask 1: American IndiansA.Answer the following questions briefly.1.1492.2.He thought that he had arrived in India.3.They were kind to them and wanted to help.4.(1) They wanted bigger farms and more land for themselves; (2) More immigrantscame from Europe.5.It was their mother. Everything came from and went back to their mother. And itwas for everybody.6.They started fighting back.7.By 1875 the Indians had lost the fight and had to live in “reservations”.8.The Indians are bad and the White man is good and brave in Hollywood films.B.Choose the best answer for each of the following questions.1—4: acbcTask 2: New AustraliansA.Identification:1.(1)—(d), (2)—(b), (3)—(a), (4)—(c)2.(a) more than 15 million,(b) 160, 000,(c) the year 1851,(d) 700, 000B.True or False questions.1—6: FTFFTTC.Fill in the blanks with events connected with the following time expressions.1.Italiansa.the 1850s and 1860s: Different states in Italy were fighting for independenceand some Italians went to Australia for political reasons. Some others wentthere for gold.b.1891: The first group of 300 Italians went to work in the sugar-cane fieldsof northern Australia.c.The end of the 19th century: Some good Italian fishermen went to westernAustralia.2.Greeksa.1830: The first Greeks went to work in vineyards in south-eastern Australia.b.The 1860s; There were about 500 Greeks in Australia.c.1890; There were Greek Cafes and restaurants all over Sydney and out in thecountryside.d.After WWII: Many Greeks arrived in Australia.Lesson 3Section ITask 1: I Don’t See It That WayA.Conversation 1:1.Choose the best answer for each of the following statements.(1) — (2): ba2.Give brief answers to the following questions.(1)About 6 months ago.(2)It is defective and has ruined 4 of the customer’s favorite cassettes.(3)6 months.(4)10 days ago.3.Blank-filling.(1)bend the rule, make an exception for, make an exception for(2)adding insult to injury, make good on(3)brought it in, hold me to, onB.Conversation 2:1.Multiple choice. (1) — (2): ba2.True or False Questions. (1) — (4): FTTTC.Conversation 3:1.Give brief answers to the following questions.(1)Single.(2)5 years.(3)He has been loyal to the company and worked quite hard.(4)Asking for a raise.(5)Bob does his job adequately, but he doesn’t do it well enough to deservea raise.(6)Take more initiative and show more enthusiasm for the job.(7)To quit his job.(8)That’s a decision Bob will have to make for himself.Task 2: marriage CustomsA.Blank-filling.Speaker: Professor Robin StuartTopic: Marriage customs in different parts of the world; romantic business; arranged marriage; on the day of the wedding; arranged marriages; to have a look at one another; call the whole thing off; the wedding goes ahead; several wives.Conclusion: just as much chance of bringing happiness to the husband and wife as the Western systems of choosing marriage partners.B.True or False Questions.1 — 3: TFTSection IITask 1: At the Dentist’sA.Multiple Choice. 1 — 4: baccB.True of False Questions. 1 — 6: FTFFTTTask 2: HiccupsA.Give brief answers to the following questions.1.He wants her to help him stop his hiccups.2. 3 hours.3.Everything he can think of.4.She’ll give the man 5 pounds if he hiccups again.5.The man has stopped hiccupping and owes Rosemary 5 pounds.B.Identification.(1) — (b), (2) — (d), (3) — (e), (4) — (a), (5) — (c)Lesson 4Section ITask 1: Weather ForecastA.Multiple Choice. 1 — 2: acB.Fill in the following chart.Task 2: The 5 O’clock NewsA.Fill in the following chart.B.Give brief answers to the following questions based on the news report.1.It was closed down by government authorities.2.Testing confirmed that the town had been poisoned be the dumping of toxic chemicalsin town dumps.3. 3 weeks ago.4.200.5.Headaches, stomachaches, faintness and dizziness.6.Toxic wastes had leaked into the ground and contaminated the water supply.7.All the residents should leave the area, until the chemical company responsiblefor the toxic waste can determine whether the town can be cleaned up and made safe again.C.True of False Questions. 1—6: FTTFFTD.Fill in the following blanks (based on the news report).Teams Playing Result(1) Mexico — France 7 to 6(2) Canada — Argentina 3 to 3(3) Italy — Haiti2 to 1(with 30 minutes left to go)Section IITask 1: What Do You Like for Entertainment?A.Blank-filling.Reporter: Deborah TylerInterviewee: Students of the Brooklyn Academy of Dramatic ArtsMajor: Benny Gross —— pianoKimberley Martins —— modern danceB.Fill in the following chart about how often Benny and Kimberley go to the eight formsof artistic entertainment.C.Rearrange the forms of artistic entertainment that Benny and Kimberley like,beginning with the form that each one likes best.Benny: (3)—(1)—(4)—(6)—(2)—(8)Kimberley: (2)—(4)—(1)—(7)—(3)—(8)Task 2: Are You a Heavy Smoker?A.True or False Questions. 1—6: TFTTFTB.Multiple Choice. 1—6: cbcbacC.Blank-filling.Name: Doris BradleySex: femaleAge: 32Amount: 3 packets of 20 a weekFirst experience:Time: at the age of 17Place: at a partyOffered by: boyfriend, not husbandFeeling; awfully grown-upLater: started smoking 2 or 3 a day and gradually increased.Experience of giving up smoking: twice1. Time: 6 months before getting marriedReason: saving upResult: only cut it down from 30 a day, still smoked a little2. Time: when expecting a babyReason: according to doctor’s adviceResult: gave up completely for 7 or 8 months and took it up a couple of weeks after the baby was born, because the baby was being bottle fed.Time when she smokes most:1. watching TV2. reading books3. in company4. with friendsTime when she never smokes:1. doing the housework2. on an empty stomachLesson 5Section ITask 1: An Unpleasant TripA.Give brief answers to the following questions.1.The Isle of Wight.2.They were not pleased with their hotel.3.He decided to write to the Manager of Happytours.4. A travel Agency.5.The hotel and travel arrangements.6.They will never book any future holidays through Happytours.B.Fill in he blanks with the words used in the brochure and by Mr. Wilson to describethe hotel and travel arrangement.Task 2: At the Travel AgencyA.Multiple Choice. 1—6: acbbcaB.True or False Questions. 1—6: TFTTFTC.Fill in the blanks with the two things that Miss Bush will do.1.her two friends, to stop over with her on the way back.2.Mr. Adams to stop with her in Cairo.Section IIA Saturday AfternoonA.Identification.Name IdentificationGillian Dr. Carmichael’s new researchassistantDr. Carmichael the president of St. Alfred’sHospitalMaurice Featherstone the gardener of the hospitalB.Multiple Choice. 1—6: cbaacaC.True or False Questions. 1—8: FFTF TFTTD.Fill in the blanks with information about Maurice.Name: Maurice FeatherstoneSex: maleAge: oldAppearance: clear, blue, honest eyes; white hair and a pinkish complexionTemperament: gentle and mild-manneredLength of stay in the hospital: 35 yearsReasons for entering the hospital:1.When he was 17, he burnt down his school.2.Over the next few years, there were a number of mysterious fires in hisneighborhood.ter he tried to set fire to the family mansion.Visits from family members: No.Bills: paid on time.E.Blank-filling.1.slightly uneasy, unlocked the gates, waved her through2.withdrawn, depressed, normal, kept locked up, all of them, too dangerous to livein normal society.3.with the staff, a surprise, let him go out for the afternoon, flower show, quiteexcited, a birthday cake, decorated the lounge.Lesson 6Section ITask 1: In the Path of the EarthquakeA.True or False Questions. 1—6: FTFTFFB.Map 1 is a layout of the Skinners’ farm. Mark out the plants and buildings in themap. Then in map 2 draw a new plan of the Skinners farm after the quake.Map 1:1. farm house2. garden path3. cypresstrees4. rose garden5. eucalyptus trees6. raspberrypatch7. cow shed 8. granaryMap 2:Task 2: A Funny Thing Happened to Me.A.Multiple Choice. 1—6: cabbcaB.Give brief answers to the following questions.st Friday.2.He was a student.3.In London.4.By taxi.5.The taxi got stuck in a traffic jam and the train had left by the time he gotto the station.6. 1 hour.7.The station buffet.8.An evening newspaper, the “Standard”.9.At a table near the window.10.He did the crossword puzzle.C.True or False Questions.1—6: FFTTFTD.Blank-filling.1.reached across, opened, took one, dipped, into, popped it into.2.get up and go, pushed back, stood up, hurried out of.Section IIConsolidation: A Very Beautiful StoryA.Give brief answers to the following questions.1. A tape from Gentleman Jim.2.Yesterday.3.Jim’s wife.4.There was a message hidden in the tape.5.Half the police force in London and 3 experts.6.Nothing had been found yet.7.Happy memories and things.8.In his words.B.True or False Statements.1—8: FTFF TTFTC.Discuss with your classmates what message is hidden in Gentleman Jim’s recording.D.Listen to the 2nd part of the policeman’s discussion and list all the things theyfeel unusual about Gentleman Jim’s recording.1.Jim keeps telling his wife to play the message over and over again.2.Jim tells his wife that she’ll find something comforting.3.Jim keeps saying “very beautiful” over and over again.4.The speech doesn’t sound natural.E.Listen to Gentleman Jim’s recording again and work out the message.Answer: There are 2 gold bricks in the garden under the big red rose tree.Lesson 7Section ITask 1: Learning a Foreign LanguageA.Multiple Choice. 1—4: bcaaB.True or False Questions. 1—4: FTTFC.Give brief answers to the following questions.1.Albert Humphries.2.Balham, London.3. 4 years.4.He has been going to an evening class and has watched quite a lot of the BBCtelevision programmes.5.They use a different book in the class.6.They make the same mistakes as he does.7.It means being able to put together the right groups of words and to say themin a reasonably accurate way.Task 2: In the LibraryA.Multiple Choice. 1—6: bbcacaB.True or False Questions. 1—6: TTFTFTC.Give brief answers to the following questions.1.Round the corner.2. A 20p a day fine for each book.3.Tahiti.4.No.D.Blank-filling.1. 5 pounds, you damage them, entitles you, 2 records at a time, everything available,be much more popular than.2.telephone to renew the books.3.we get back, worth all the bother, some paperbacks in the airport, I’ve beensuch a nuisance.Section IITask 1: Lessoned World CollegesA.Give brief answers to the following questions.1.On the phone.2.Some information about the college.3.Robert Creighton.4.Julian’s friend in Spain.5.English.6.No. There are scholarships for all colleges, but parents will have to pay too.7.Yes. But academic ability is not the only thing important. Personal qualities will also be considered.8.Maturity, the ability to get on well with people from different countries.B.Blank-filling.1.the line, put you through to2.Pacific College, French, may be taught in Italian3.painting and modern dancing4.probably, the staff at the college, special activities, theatre studies,environmental work, take partTask 2: I Remember …A.Multiple Choice. 1—6: baabcaB.True or False Questions. 1—8: TTTF FTTTLesson 8Section ITask 1: TwinsA.Multiple Choice.1—6: acbcabB.Blank-filling.Name: Laura and SarahSex: femaleSimilarities: 1. blonde2. brown eyes3. same height4. same weight5. same size6. same shoesDifferences: 1. Laura is single, but Sarah has a well-fed happy husband and 4 healthy children.2. When Laura was learning to type, Sarah was washing up.3. When Laura was writing articles for the school newspaper, Sarah wasknitting.4. When Laura was in Panama, doing her first job for Lessoned InformationServices, Sarah was having her second child.C.True or False Questions.1—2: TFTask 2: Genetic Make-upA.Give brief answers to the following questions.1.Alan and Barbara.2.At lunch time.3.An article about twins and coincidences.4.because it suggests criminals are born and not made.5.Somebody was born with the potential to become a criminal.6.The ones that regard crime as a way of life and see the police as enemy.7.Similar qualities are necessary to become a successful criminal or a first-classpoliceman.8.Men who might easily be in jail.B.Fill in the blanks with information about the twins.1.bound to act in a particular way.2. a particular set of genes, potential criminal, brought up in a particular way3.get bored with, want action, pretty strong charactersSection IITask 1: Can I Take a Message?A.Multiple Choice. 1—2: acB.Blank-filling.1.Message 1:Caller’s name: Mary RobertsCaller’s number: 772-1852Message: Call back at that number till 12:30 or between 2 and 5 this afternoon.2.Message 2:Caller’s name: Mr. BrownCaller’s number: 743-9821Message: Cancel the lunch appointment for tomorrow noon, because he is out of town for a while. Please call and reschedule.3.Message 3:Caller’s name: Mrs. TurnerMessage: She won’t be home until 8 o’clock. She’s working late.4.Message 4:Caller’s name: WendyMessage: Ticket for Puerto Rico is booked. That’s Pan Am Flight 226, leaving Tuesday the 12th at 8 am. Tickets will be sent over later this afternoon.5.Message 5:Caller’s name: Juan SalvadeMessage: He’ll call back about the meeting next Wednesday.C.Blank-filling.1.May I take a message?2.out of town, offer my apologies to, have him call me3.just a minute, can I hold you for a second?4.holdingTask 2: Night FlightA.True or False Questions. 1—6: FTTFTFB.Multiple Choice. 1—8: bacba cbcC.Blank-filling.1.dramatically, moaning and groaning, doubled up, unconscious2.at the controls, shaking slightly3.on the horizon, the lights of the runway, beyond the city4.thump, hit the tarmac, raced along, to a haltD.Answer the following questions.1.She discovered that two passengers had been sick.2.Because the captain was lying behind the door unconscious.3.Because she was afraid that would cause a general panic.4.When the plane had circled over Brisbane Airport for over half an hour.Lesson 9Section IWilling to TrainA.True or False Questions. 1—4: TTFTB.Fill in the blanks with information about Catherine based on her own statement.Name: Catherine HuntQualifications: 1. qualifications from school, very good results2. certificates for ballet and for playing the pianoInterests: 1. tennis2. swimming3. travelling4. talking to peopleIntelligence: reasonably intelligentC.Give brief answers to the following questions1.Dancing and music2. A good girl. A bit lazy and disorganized sometimes, but very bright.3.Be a teacher or a vet.4.Because she believes that Cathy likes working with young children and lookingafter sick animals.5.She wants to talk to Cathy, not her mother.6.No. she is bright enough to be a vet and wants to find something different fromschool work.7.Yes, if it is for something useful.8.Nursing, because she has good qualifications in English and Maths.9.Very hard work, not very pleasant sometimes.10.At first she is afraid she is not good enough. Later she thinks she should enjoythat.plete the following sentences.1. a little girl, very keen on, a music teacher or something, to train for, the rightjob2.to lessons, six, I suppose, for the rest of, music, lonely3.France, the school choir, talking to people, real interests4.being a hairdresser, people, do something properly, very worthwhile5.do look after, looked after, run over by a car, mind, too worriedSection IITask 1: How Do Others Think of My Job?A.Fill in the following chart.B.Give brief answers to the following questions.1.Clever, artistic, very noisy.2.To Mr. S. Andrews.3.The company does put Mr. or Ms. In front of the names on its departmental list4.Nursing. Being a male nurse, he has more contact with the patients and a longterm responsibility for their welfare.5.They travel and have wife at every port.6.No.7.She is learning a lot about hair and how to get along with people and is gainingconfidence.8.She will be able to start her own business and earn five times as much as theteachers.Task 2: Job StereotypesA.True or False Questions. 1—6: TFTFTFB.Multiple Choice. 1—8: abaab cbbC.Re-list the professions in the survey, beginning with the one that the children tookas the most favorite.1. lawyer 6. civil engineer2. accountant 7. electricalengineer3. physicist 8. mechanicalengineer4. biologist 9. Salesrepresentative5. economist 10. estate agentD.Blank-filling.1.“dirty job”, “low status”, “subordinate”, take orders, give orders2.interesting, well paidLesson 10Section ITask 1: News Summary 1A.True or False Questions. 1—5: FFTFTB.Blank-filling.1.the local British Steel Corporation’s headquarters, closure plans2.doctors, nurses and other staff, grown even faster3.another 31 million pounds, poorer areas, regional development fund, 13.5 millionpounds, 10 million pounds, industrial improvement, road works4.17, 5, 2, 2, landed illegally, the first 9 months, 7 more5.derailed local train, disrupted rail services, the south of EnglandTask 2; News Summary 2A.Multiple Choice. 1—4: bcacB.Answer the following questions briefly.1. A double-barrelled.2.The girl’s brother.3.When the girl was being overpowered by police officers.4.Into the ceiling.5. A 23-year-old electronics worker and a 55-year-old housewife.6.They are doing well.7. 2 months ago.8.125 pounds with 25 pounds costs.9. A woman was killed when a chimney on a house collapsed and 2 men were killed whentheir car crashed into a fallen tree.10.More high winds and rain.Section IITask 1: British NewspapersA.True or False Questions. 1—4: FTTFB.Multiple Choice. 1—3: babC.Fill in the blanks with information about Professor Hill’s favourite paper.News: (1) Political matters are covered in full.(2) The editorial column may support government policy on one issue and opposeit on another.Book Reviews: a whole page for it.Art: a whole page for the latest happenings in the theatre, the cinema and the world of art.Economics: (1) Stock Exchange prices are quoted daily.(2) Exchange rates of the world’s major currencies are reported daily.Sports: The correspondents are among the best.Reader’s Letters: The standard is first–class.Task 2: EccentricityA.Answer the following questions.1. A person who behaves in a totally different manner from those in the society helives in.2.Not specifically.3.He used to share his house openly with the strangest animals and sample them asfood.4.The hermit.B.True or False questions. 1—8: FFTT TTFFC.Fill in the blanks.1.touch his food, wrap, in a tissue, picking, up, a barber, too often, grew downto his waist2.。
英语中级听力参考答案Answer Keys to Listen to This: 2Edited by莫显良、马军军、张凤英、陈燕Lesson 1Section ITask 1: This Is Your Life!A.Choose the best answer (a, b or c) to complete each of the following statements.1—6: caacbaB.True or False Questions.1—6: TFFFFTC.Identification.(1)—(b), (2)—(d), (3)—(f), (4)—(g), (5)—(a), (6)—(c), (7)—(e)plete the following résumé for Jason Douglas.Name: Jason DouglasFormer name: Graham SmithProfession: actorDate of birth: July 2, 19471952: started school1958: moved to Lane End Secondary School1966: went to the London School of Drama1969: left the London School of Drama1973: went to Hollywood1974: were in a movie with Maria MontroseTask 2: What Are Your Ambitions?A.Give brief answers to the following questions.1.Radio Station QRX.2.For a survey.3.Four.4.Six.5.(1) What’s your name?(2) What do you do for a living?(3) What do you do for fun?(4) What’s the most exciting thing that’s happened to you recently?(5) Who do you admire most in this world?(6) What do you want to be doing five years from now?B.Fill in the following chart with answers that each interviewee gives to the questions.Section IIA.Choose the best answer (a, b or c) for each of the following questions.1—6: abaccbB.True or False Questions.1—4: FTFFC.Fill in the following chart with information about the journey the Roman army made accordingto Trevor.Designation: D CompanyNumber of men: one hundred and moreJourney: from France to BritainMeans of transcript: boatWeather conditions: stormyFood: cat foodDrink: rain waterConditions of weapons after landing: uselessFighting: noneEquipment lost or damaged: boat lost, guns full of water, supplies of wine lostSoldiers killed or wounded: about ten survivors, all others drowned or killed by coldD.Point out what is not true in Trevor’s story.The following did not exist in Roman times:petrol, newspaper, matches, trousers, tinned food, taps, guns, wine bottles.50 BC could not appear on a coin. 50-55 BC is counting backwards.E.Fill in the blanks according to what you hear on the tape.1.terrible, stormy, or more of us, shut in, so bad, sick, stuffy.2.pushed up onto the sands, climbed out, jumping into the, struggling to the, up to myshoulder, freezing.3.came and took us away, joined, going into the camp, a hot meal, clean clothes, givenour pay.Section IIITask 1: Learning to Predict1.Answer: trying to write a letterReason: The speaker’s question suggests he needs a quiet surrounding to do something.2.Hint: the first speaker is a guest complaining about the conditions of Room 43 whichis a single room. The second speaker is a hotel clerk who suggests that the guest move to a double room.Answer: is the only single room available at the momentReason: The phrase “I’m afraid” often suggests a negative or unsatisfying answer.3.Answer: Where on earth did you get it?Reason: The second speaker’s surprised tone shows that the money is out of herexpectation and she must be curious about how it is gained.4.Answer: You mustn’t discriminate against someone just because they are married.Reason: The word “but” suggests an opposite meaning.5.Answer: I wouldn’t mind being a prince.Reason: The man’s questioning tone shows he doesn’t agree with the woman.6.Answer: I’m not a workaholic.Reason: The word “but” suggests an opposite meaning.7.Answer: he had been.Reason: “But” and “possibly” both give some hint.Task 2: DictationPassage 1: The KnowledgeBecoming a London taxi driver isn’t easy. In order to obtain a licence to drive a taxi in London, candidates have to pass a detailed examination. They have to learn not only the streets, landmarks and hotels, but also the quickest way to get there. This is called “The Knowledge” by London Cab drivers and it can take years of study and practice to get ‘The Knowledge’. Candidates are examined not only on the quickest routes but also on the quickest routes at different times of the day. People who want to pass the examination spend much of their free time driving or even cycling around London, studying maps and learning the huge street directory by heart.Passage 2: The UndergroundTravelling on the London underground (the ‘tube’) presents few difficulties for visitors because of the clear colour- coded maps. It is always useful to have plenty of spare change with you because there are often long queues at the larger stations. If you have enough change you can buy your ticket from a machine. You will find signs which list the stations in alphabetical order, with the correct fares, near the machines. There are automatic barriers which are operated by the tickets. You should keep the ticket, because it is checked at the destination.Lesson 2Section ITask1: Film EditingA.True or False Questions.1—4: TFTFB.Fill in the following blanks to give a clear picture of what needs to be done before a filmis ready for distribution.1. The assistant:a. “Synching up”which means matching sound and pictures according to the numbers stampedalong the edge of the film and sound tape.b. “Logging” which means recording the detail version of the film and the sound in alog book.2. The film editor:a. Make a first selection of the best takes.b. Prepare a “rough cut”– an initial version of the film.c. Prepare the “fine cut”– the final form of the film.3. Others:a. Approve the fine cut.b. “Dubbing”which means voices, music, background noises and sometimes special effectsare put together.c. The “neg” cutters cut the original negatives on the film so that these match theedited film exactly.Task 2: A Vision of the FutureA.Choose the best answer for each of the following questions.1—6: abacccB.True of False Questions.1—4: TFTFC.Fill in the blanks to give a clear picture of the problems New York faces in the movie.1.40 million2.have no apartment, sleep on the steps of the building, crawl over sleeping people toget inside.3.nothing will grow, they never see the sun.4.soylent: soylent red, soylent yellow, and soylent green. 2, soybeans, soylent green,ocean plants.5.90 degree.6.electricity, ride bicycles to make it.Section IITask 1: American IndiansA.Answer the following questions briefly.1.1492.2.He thought that he had arrived in India.3.They were kind to them and wanted to help.4.(1) They wanted bigger farms and more land for themselves; (2) More immigrants camefrom Europe.5.It was their mother. Everything came from and went back to their mother. And it wasfor everybody.6.They started fighting back.7.By 1875 the Indians had lost the fight and had to live in “reservations”.8.The Indians are bad and the White man is good and brave in Hollywood films.B.Choose the best answer for each of the following questions.1—4: acbcTask 2: New AustraliansA.Identification:1.(1)—(d), (2)—(b), (3)—(a), (4)—(c)2.(a) more than 15 million,(b) 160, 000,(c) the year 1851,(d) 700, 000B.True or False questions.1—6: FTFFTTC.Fill in the blanks with events connected with the following time expressions.1.Italiansa.the 1850s and 1860s: Different states in Italy were fighting for independence andsome Italians went to Australia for political reasons. Some others went there forgold.b.1891: The first group of 300 Italians went to work in the sugar-cane fields ofnorthern Australia.c.The end of the 19th century: Some good Italian fishermen went to western Australia.2.Greeksa.1830: The first Greeks went to work in vineyards in south-eastern Australia.b.The 1860s; There were about 500 Greeks in Australia.c.1890; There were Greek Cafes and restaurants all over Sydney and out in thecountryside.d.After WWII: Many Greeks arrived in Australia.Section IIITask 1: Learning to Predict1.Answer: It’s good exercise. Keeps you fit.Reason: The word “yeah” suggests that the boy will say something in agreement with the woman’s comment.2.Answer: We turn the music up really loud and start dancing.Reason: The phrase “why not”suggests that the boys will simply dance in the street.3.Answer: They can’t do it like me yet.Reason: The word “but” suggests an opposite meaning.4.Answer: It’s a very old book.Reason: The word “actually” also suggests an opposite meaning.5.Answer: Write down your address and I’ll get the boy to bring them round.Reason: The conversation takes place in a store. If the store owner agrees to deliver the goods, the only thing he wants to know will be the address of the customer.6.Answer: Tell us all about it over dinner.Reason: The woman sounds very much interested in the man’s experience. So she will certainly ask the man to tell her something about it.Task 2: DictationThe Foolish FrogOnce upon a time a big, fat frog lived in a tiny shallow pond. He knew every plant and stone in it, and he could swim across it easily. He was the biggest creature in the pond, so he was very important. When he croaked, the water-snails listened politely. And thewater-beetles always swam behind him. He was very happy there.One day, while he was catching flies, a pretty dragon-fly passed by. ‘You’re a very fine frog,’ she sang, ‘but why don’t you live in a bigger pond? Come to my pond. You’ll find a lot of frogs there. You’ll meet some fine fish, and you’ 11 see the dangerous ducks. And you must see our lovely water-lilies. Life in a large p ond is wonderful!’‘Perhaps it is rather dull here,’ thought the foolish frog. So he hopped after the dragon-fly.But he didn’t like the big, deep pond. It was full of strange plants. The water-snails were rude to him, and he was afraid of the ducks. The fish didn’t like him, and he was the smallest frog there. He was lonely and unhappy.He sat on a water-lily leaf and croaked sadly to himself, ‘I don’t like it here. I think I’ll go home tomorrow.’But a hungry heron flew down and swallowed him up for supper.Lesson 3Section ITask 1: I Don’t See It That WayA.Conversation 1:1.Choose the best answer for each of the following statements.(1) — (2): ba2.Give brief answers to the following questions.(1)About 6 months ago.(2)It is defective and has ruined 4 of the customer’s favorite cassettes.(3)6 months.(4)10 days ago.3.Blank-filling.(1)bend the rule, make an exception for, make an exception for(2)adding insult to injury, make good on(3)brought it in, hold me to, onB.Conversation 2:1.Multiple choice. (1) — (2): ba2.True or False Questions. (1) — (4): FTTTC.Conversation 3:1.Give brief answers to the following questions.(1)Single.(2)5 years.(3)He has been loyal to the company and worked quite hard.(4)Asking for a raise.(5)Bob does his job adequately, but he doesn’t do it well enough to deserve a raise.(6)Take more initiative and show more enthusiasm for the job.(7)To quit his job.(8)That’s a decision Bob will have to make for himself.Task 2: marriage CustomsA.Blank-filling.Speaker: Professor Robin StuartTopic: Marriage customs in different parts of the world; romantic business; arranged marriage; on the day of the wedding; arranged marriages; to have a look at one another;call the whole thing off; the wedding goes ahead; several wives.Conclusion: just as much chance of bringing happiness to the husband and wife as the Western systems of choosing marriage partners.B.True or False Questions. 1 — 3: TFTSection IITask 1: At the Dentist’sA.Multiple Choice. 1 — 4: baccB.True of False Questions. 1 — 6: FTFFTTTask 2: HiccupsA.Give brief answers to the following questions.1.He wants her to help him stop his hiccups.2. 3 hours.3.Everything he can think of.4.She’ll give the man 5 pounds if he hiccups again.5.The man has stopped hiccupping and owes Rosemary 5 pounds.B.Identification.(1) — (b), (2) — (d), (3) — (e), (4) — (a), (5) — (c)Section IIITask 1: Learning to Predict1.Answer: the Chinese then?Reason: “What about” suggests an alternative.2.Answer: they’ll still be hot when you get back.Reason: The woman’s words suggest that the shop is very close to their home.3.Hint: The woman is asking the man to buy a pack of fish and chips from a nearby shop.Answer: there’s a queue.Reason: The phrase “not if” suggests a condition that hinders the fulfillment of an action.4.Answer: a good idea.Reason: The word “yes” shows an agreement.5.Answer: being a machine for that money.Reason: “I wouldn’t mind”suggests that the man will do what the woman doesn’t want because of certain attractive conditions.6.Answer: I want to play drums.Reason: The earlier sentence suggests that the man does not play drum for money.Consequently the explanation must be that he enjoys playing it.Task 2: DictationSleepIt’s clear that everyone needs to sleep. Most people rarely think about how and why they sleep, however. We know that if we sleep well, we feel rested. If we don’t sleep enough, we often feel tired and irritable. It seems there are two purposes of sleep: physical rest and emotional and psychological rest: We need to rest our bodies and our minds. Both are important in order for us to be healthy. Each night we alternate between two kinds of sleep: active sleep and passive sleep. The passive sleep gives our body the rest that’s needed and prepares us for active sleep, in which dreaming occurs.Throughout the night, people alternate between passive and active sleep. The brain rests, then it becomes active, then dreaming occurs. The cycle is repeated: the brain rests, then it becomes active, then dreaming occurs. This cycle is repeated several times throughout the night~. During eight hours of sleep, people dream for a total d one and half hours on the average.Lesson 4Section ITask 1: Weather ForecastA.Multiple Choice. 1 — 2: acB.Fill in the following chart.Task 2: The 5 O’clock NewsA.Fill in the following chart.B.Give brief answers to the following questions based on the news report.1.It was closed down by government authorities.2.Testing confirmed that the town had been poisoned be the dumping of toxic chemicalsin town dumps.3. 3 weeks ago.4.200.5.Headaches, stomachaches, faintness and dizziness.6.Toxic wastes had leaked into the ground and contaminated the water supply.7.All the residents should leave the area, until the chemical company responsible forthe toxic waste can determine whether the town can be cleaned up and made safe again.C.True of False Questions. 1—6: FTTFFTD.Fill in the following blanks (based on the news report).Teams Playing Result(1) Mexico — France 7 to 6(2) Canada — Argentina 3 to 3(3) Italy — Haiti2 to 1(with 30 minutes left to go)Section IITask 1: What Do You Like for Entertainment?A.Blank-filling.Reporter: Deborah TylerInterviewee: Students of the Brooklyn Academy of Dramatic ArtsMajor: Benny Gross —— pianoKimberley Martins —— modern danceB.Fill in the following chart about how often Benny and Kimberley go to the eight forms ofartistic entertainment.C.Rearrange the forms of artistic entertainment that Benny and Kimberley like, beginningwith the form that each one likes best.Benny: (3)—(1)—(4)—(6)—(2)—(8)Kimberley: (2)—(4)—(1)—(7)—(3)—(8)Task 2: Are You a Heavy Smoker?A.True or False Questions. 1—6: TFTTFTB.Multiple Choice. 1—6: cbcbacC.Blank-filling.Name: Doris BradleySex: femaleAge: 32Amount: 3 packets of 20 a weekFirst experience:Time: at the age of 17Place: at a partyOffered by: boyfriend, not husbandFeeling; awfully grown-upLater: started smoking 2 or 3 a day and gradually increased.Experience of giving up smoking: twice1. Time: 6 months before getting marriedReason: saving upResult: only cut it down from 30 a day, still smoked a little2. Time: when expecting a babyReason: according to doctor’s adviceResult: gave up completely for 7 or 8 months and took it up a couple of weeks after the baby was born, because the baby was being bottle fed.Time when she smokes most:1. watching TV2. reading books3. in company4. with friendsTime when she never smokes:1. doing the housework2. on an empty stomachSection IIITask 1: Learning to Predict1.Answer: They’d be exhausted at the end of each performance.Reason: “Otherwise” suggests a result of the opposite condition.2.Answer: I enjoyed it very much.Reason: “Apart from that I must say” often suggests an opposite statement to earlier comments.3.Answer: I stayed up late to finish it.Reason: “And” suggests that the speaker would finish the book at one sit.4.Answer: the book never really got started at all.Reason: After an opinion of agreement, the phrase “in fact”suggests a further comment;the expression “it’s o nly honest to say” usually introduces a confession-something which is probably not as good as the one mentioned.5.Answer: I tend to skip parts that don’t really hold my interest.Reason: “Otherwise” suggests a result of the opposite condition.6.Answer: it was rather long.Reason: “I must admit” suggests an agreement to the other person’s opinion. Task 2: DictationBooks Belong to the PastSir,I visited my old school yesterday. It hasn’t changed in thirty years. The pupils were sitting in the same desks and reading the same books. When are schools going to move into the modern world? Books belong to the past. In our homes radio and television bring us knowledge of the world. We can see and hear the truth for ourselves. If we want entertainment most of us prefer a modern film to a classical novel. In the business world computers store information, so that we no longer need encyclopaedias and dictionaries. But in the schools teachers and pupils still use books. There should be a radio and television set in every classroom, and a library of tapesand records in every school. The children of today will rarely open a book when they leave school. The children of tomorrow won’t need to read and Write at all.M. P. MillerLondonLesson 5Section ITask 1: An Unpleasant TripA.Give brief answers to the following questions.1.The Isle of Wight.2.They were not pleased with their hotel.3.He decided to write to the Manager of Happytours.4. A travel Agency.5.The hotel and travel arrangements.6.They will never book any future holidays through Happytours.B.Fill in he blanks with the words used in the brochure and by Mr. Wilson to describe thehotel and travel arrangement.Task 2: At the Travel AgencyA.Multiple Choice. 1—6: acbbcaB.True or False Questions. 1—6: TFTTFTC.Fill in the blanks with the two things that Miss Bush will do.1.her two friends, to stop over with her on the way back.2.Mr. Adams to stop with her in Cairo.Section IIA Saturday AfternoonA.Identification.Name IdentificationGillian Dr. Carmichael’s new researchassistantDr. Carmichael the president of St. Alfred’sHospitalMaurice Featherstone the gardener of the hospitalB.Multiple Choice. 1—6: cbaacaC.True or False Questions. 1—8: FFTF TFTTD.Fill in the blanks with information about Maurice.Name: Maurice FeatherstoneSex: maleAge: oldAppearance: clear, blue, honest eyes; white hair and a pinkish complexionTemperament: gentle and mild-manneredLength of stay in the hospital: 35 yearsReasons for entering the hospital:1.When he was 17, he burnt down his school.2.Over the next few years, there were a number of mysterious fires in his neighborhood.ter he tried to set fire to the family mansion.Visits from family members: No.Bills: paid on time.E.Blank-filling.1.slightly uneasy, unlocked the gates, waved her through2.withdrawn, depressed, normal, kept locked up, all of them, too dangerous to live innormal society.3.with the staff, a surprise, let him go out for the afternoon, flower show, quite excited,a birthday cake, decorated the lounge.Section IIITask 1: Learning to Predict1.Answer: he fails to employ the correct question form.Reason: “Consequently” suggests a result of the facts mentioned earlier.2.Answer: difficulties may still arise.Reason: “even when” suggests that in spite facts, something else still exists.3.Answer: the student may not have clearly heard what was said.Reason: “In other words” is often followed by an explanation in clearer and easier words.4.Answer: may feel angry at receiving such orders.Reason: “However” suggests an opposite fact.5.Answer: whether crops should be used to produce food or should be used to produce fuel.Reason: “That is” is also followed by an explanation.6.Answer: a small industrial sector.Reason: “At the same time” suggests the coexistence of two things. Here prediction is also based on common knowledge.Task 2: DictationThe School Holidays Are Too LongToday the children of this country have at last returned to work. After two months’ holiday pupils have started a new term. How many adults get such long holidays? Two to four weeks in the summer and public holidays--that’s all the working man gets. As for the average woman, she’s lucky to get a holiday at all. Children don’t need such long holidays. In term-time they start work later and finish earlier than anyone else.In the holidays most of them get bored, and some get into trouble. What a waste! If their overworked parents were given more free time instead, everyone would be happier.This isn’t just a national problem either--it’s worldwide. Dates may be different from country to country, but the pattern’s the same. Why should children do half as much work and get twice as much holiday as their parents?Lesson 6Section ITask 1: In the Path of the EarthquakeA.True or False Questions. 1—6: FTFTFFB.Map 1 is a layout of the Skinners’ farm. Mark out the plants and buildings in the map.Then in map 2 draw a new plan of the Skinners farm after the quake.Map 1:4. rose garden1. farm house2. garden path3. cypresstrees6. raspberry patch7. cow shed8. granary5. eucalyptustreesMap 2:Task 2: A Funny Thing Happened to Me.A.Multiple Choice. 1—6: cabbcaB.Give brief answers to the following questions.st Friday.2.He was a student.3.In London.4.By taxi.5.The taxi got stuck in a traffic jam and the train had left by the time he got to thestation.6. 1 hour.7.The station buffet.8.An evening newspaper, the “Standard”.9.At a table near the window.10.He did the crossword puzzle.C.True or False Questions.1—6: FFTTFTD.Blank-filling.1.reached across, opened, took one, dipped, into, popped it into.2.get up and go, pushed back, stood up, hurried out of.Section IIConsolidation: A Very Beautiful StoryA.Give brief answers to the following questions.1. A tape from Gentleman Jim.2.Yesterday.3.Jim’s wife.4.There was a message hidden in the tape.5.Half the police force in London and 3 experts.6.Nothing had been found yet.7.Happy memories and things.8.In his words.B.True or False Statements.1—8: FTFF TTFTC.Discuss with your classmates what message is hidden in Gentleman Jim’s recording.D.Listen to the 2nd part of the policeman’s discussion and list all the things they feelunusual about Gentleman Jim’s recording.1.Jim keeps telling his wife to play the message over and over again.2.Jim tells his wife that she’ll find something comforting.3.Jim keeps saying “very beautiful” over and over again.4.The speech doesn’t sound natural.E.Listen to Gentleman Jim’s recording again and work out the message.Answer: There are 2 gold bricks in the garden under the big red rose tree.Section IIITask 1: Listening to Predict1.Answer: a glance at the headings of sections or sub-sections will show the order inwhich the items are introduced.Reason: “In addition” is followed by a supplementary idea. Prediction here is also based on common knowledge.2.Answer: providing a summary which can be re-read later.Reason: “As well as” is often followed by an idea of the same importance as the one before “as well as”.3.Answer: may not appear in a bibliography.Reason: “However” suggests an opposite idea.4.Answer: (no more than try to cover the most important ones here.Reason: “Therefore” suggests a result.5.Answer: it doesn’t.Reason: “Unfortunately” suggests that something opposite to one’s expectation will happen.6.Answer: it’s still important.Reason: “Though” suggests that in spite of the fact that follows, something still happens.Task 2: DictationSign LanguageDeaf people, people who can’t hear, are still able to communicate quite well with a special language. It’s called sign language.The speaker of sign language uses hand gestures in order to communicate. Basic sign language has been used for a long, long time, but sign language wasn’t really developed until about 250 years ago. In the middle of the 1700s a Frenchman named Epée developed sign language. Epée was able to speak and hear, but he worked during most of his life as a teacher of deaf people in France. Epée developed a large number of vocabulary words for sign language. Epée taught these words to his deaf students. Epée’s system used mo stly picture :image signs. We call them picture image signs because the signs create a picture. For example, the sign for sleep is to put both hands together, and then to place the hands flat against the right side of your face, and then to lower your head slightly to the right. This action was meant to show the position of sleep. So we call it a picture image sign.Lesson 7Section ITask 1: Learning a Foreign LanguageA.Multiple Choice. 1—4: bcaaB.True or False Questions. 1—4: FTTFC.Give brief answers to the following questions.1.Albert Humphries.2.Balham, London.3. 4 years.4.He has been going to an evening class and has watched quite a lot of the BBC televisionprogrammes.5.They use a different book in the class.6.They make the same mistakes as he does.7.It means being able to put together the right groups of words and to say them in areasonably accurate way.Task 2: In the LibraryA.Multiple Choice. 1—6: bbcacaB.True or False Questions. 1—6: TTFTFTC.Give brief answers to the following questions.1.Round the corner.2. A 20p a day fine for each book.3.Tahiti.4.No.D.Blank-filling.1. 5 pounds, you damage them, entitles you, 2 records at a time, everything available,be much more popular than.2.telephone to renew the books.3.we get back, worth all the bother, some paperbacks in the airport, I’ve been such anuisance.Section IITask 1: Lessoned World CollegesA.Give brief answers to the following questions.1.On the phone.2.Some information about the college.3.Robert Creighton.4.Julian’s friend in Spain.5.English.6.No. There are scholarships for all colleges, but parents will have to pay too.7.Yes. But academic ability is not the only thing important. Personal qualities will also be considered.8.Maturity, the ability to get on well with people from different countries.B.Blank-filling.1.the line, put you through to2.Pacific College, French, may be taught in Italian3.painting and modern dancing4.probably, the staff at the college, special activities, theatre studies,environmental work, take partTask 2: I Remember …A.Multiple Choice. 1—6: baabcaB.True or False Questions. 1—8: TTTF FTTTSection IIITask 1: Learning to Rephrase1.Most subjects: 1 English word, 1 meaning2.most English words: more than 1 meaning3.3rd misconception: word used correctly with meaning knownrger vocabulary: influenced by other languages; rich in synonyms5.grammatical matter: words of same meaning used with certain other words6.many students: no purpose than read7.students: no overall view, forget soon8.poor comprehension because no notes, no questions9.25 pages a test: no fatigue or loss of efficiency up to 6 hours10.increase speed, no loss of comprehension: more efficient readerTask 2: DictationCredit Cards。
英语中级听力参考答案Answer Keys to Listen to This: 2Edited by莫显良、马军军、张凤英、陈燕L 1L 2L 3L 4L 5L 6L 7L 8L 9L 10L 11L 12L 13L 14L 15L 16L 17L 18L 19L 20L 21L 31A.1—B.1—C.(1)—D.1966: went to the London School of Drama1969: left the London School of Drama1973: went to Hollywood1974: were in a movie with Maria MontroseTask 2: What Are Your Ambitions?A.Give brief answers to the following questions.1.Radio Station QRX.2.For a survey.3.Four.4.Six.5.(1) What’s your name?(2) What do you do for a living?(3) What do you do for fun?(4) What’s the most exciting thing that’s happened to you recently?(5) Who do you admire most in this world?(6) What do you want to be doing five years from now?B.Fill in the following chart with answers that each interviewee gives to the questions.Number of men: one hundred and moreJourney: from France to BritainMeans of transcript: boatWeather conditions: stormyFood: cat foodDrink: rain waterConditions of weapons after landing: uselessFighting: noneEquipment lost or damaged: boat lost, guns full of water, supplies of wine lostSoldiers killed or wounded: about ten survivors, all others drowned or killed by coldD.Point out what is not true in Trevor’s story.The following did not exist in Roman times:petrol, newspaper, matches, trousers, tinned food, taps, guns, wine bottles.50 BC could not appear on a coin. 50-55 BC is counting backwards.E.Fill in the blanks according to what you hear on the tape.1.terrible, stormy, or more of us, shut in, so bad, sick, stuffy.2.pushed up onto the sands, climbed out, jumping into the, struggling to the, up to my shoulder,freezing.3.came and took us away, joined, going into the camp, a hot meal, clean clothes, given our pay. Section III1.2. a single3.4.5.6.7.London,and hotels, but also the quickest way to get there. This is called “The Knowledge” by London Cab drivers and it can take years of study and practice to get ‘The Knowledge’. Candidates are examined not only on the quickest routes but also on the quickest routes at different times of the day. People who want to pass the examination spend much of their free time driving or even cycling around London, studying maps and learning the huge street directory by heart.Passage 2: The UndergroundTravelling on the London underground (the ‘tube’) presents few difficulties for visitors because of the clear colour- coded maps. It is always useful to have plenty of spare change with you because there are often long queues at the larger stations. If you have enough change you can buy your ticket from a machine. You will find signs which list the stations in alphabetical order, with the correctfares, near the machines. There are automatic barriers which are operated by the tickets. You should keep the ticket, because it is checked at the destination.Lesson 2Section ITask1: Film EditingA.True or False Questions.1—4: TFTFB.Fill in the following blanks to give a clear picture of what needs to be done before a film isready for distribution.A.1B.1C.1.2.have no apartment, sleep on the steps of the building, crawl over sleeping people to get inside.3.nothing will grow, they never see the sun.4.soylent: soylent red, soylent yellow, and soylent green. 2, soybeans, soylent green, oceanplants.5.90 degree.6.electricity, ride bicycles to make it.Section IITask 1: American IndiansA.Answer the following questions briefly.1.1492.2.He thought that he had arrived in India.3.They were kind to them and wanted to help.4.(1) They wanted bigger farms and more land for themselves; (2) More immigrants came from Europe.5.It was their mother. Everything came from and went back to their mother. And it was for everybody.6.They started fighting back.7.By 1875 the Indians had lost the fight and had to live in “reservations”.8.The Indians are bad and the White man is good and brave in Hollywood films.B.Choose the best answer for each of the following questions.1—4: acbcA.1.2.B.1—C.1.2.Task 1: Learning to Predict1.Answer: It’s good exercise. Keeps you fit.Reason: The word “yeah”suggests that the boy will say something in agreement with the woman’s comment.2.Answer: We turn the music up really loud and start dancing.Reason: The phrase “why not” suggests that the boys will simply dance in the street.3.Answer: They can’t do it like me yet.Reason: The word “but” suggests an opposite meaning.4.Answer: It’s a very old book.Reason: The word “actually” also suggests an opposite meaning.5.Answer: Write down your address and I’ll get the boy to bring them round.Reason: The conversation takes place in a store. If the store owner agrees to deliver the goods, the only thing he wants to know will be the address of the customer.6.Answer: Tell us all about it over dinner.Reason: The woman sounds very much interested in the man’s experience. So she will certainly ask the man to tell her something about it.Task 2: DictationThe Foolish FrogOnce upon a time a big, fat frog lived in a tiny shallow pond. He knew every plant and stone in it, andOne frog,’to him, there.llA.1.2.(3)6 months.(4)10 days ago.3.Blank-filling.(1)bend the rule, make an exception for, make an exception for(2)adding insult to injury, make good on(3)brought it in, hold me to, onB.Conversation 2:1.Multiple choice. (1) — (2): ba2.True or False Questions. (1) — (4): FTTTC.Conversation 3:1.Give brief answers to the following questions.(1)Single.(2)5 years.(3)He has been loyal to the company and worked quite hard.(4)Asking for a raise.(5)Bob does his job adequately, but he doesn’t do it well enough to deserve a raise.(6)Take more initiative and show more enthusiasm for the job.(7)To quit his job.(8)That’s a decision Bob will have to make for himself.A.B.A.B.A.1.2.3.4.5.B.Section IIITask 1: Learning to Predict1.Answer: the Chinese then?Reason: “What about” suggests an alternative.2.Answer: they’ll still be hot when you get back.Reason: The woman’s words suggest that the shop is very close to their home.3.Hint: The woman is asking the man to buy a pack of fish and chips from a nearby shop.Answer: there’s a queue.Reason: The phrase “not if” suggests a condition that hinders the fulfillment of an action.4.Answer: a good idea.Reason: The word “yes” shows an agreement.5.Answer: being a machine for that money.Reason: “I wouldn’t mind”suggests that the man will do what the woman doesn’t want because of certain attractive conditions.6.Answer: I want to play drums.Reason: The earlier sentence suggests that the man does not play drum for money. Consequently the explanation must be that he enjoys playing it.Task 2: DictationSleepsleep,tiredgivesactive, Task 2: The 5 O’clock NewsA.Fill in the following chart.Reporter: Deborah TylerInterviewee: Students of the Brooklyn Academy of Dramatic ArtsMajor: Benny Gross —— pianoKimberley Martins —— modern danceB.Fill in the following chart about how often Benny and Kimberley go to the eight forms of artisticentertainment.C.Rearrange the forms of artistic entertainment that Benny and Kimberley like, beginning with theform that each one likes best.Benny: (3)—(1)—(4)—(6)—(2)—(8)A.B.C.was born, because the baby was being bottle fed.Time when she smokes most:1. watching TV2. reading books3. in company4. with friendsTime when she never smokes:1. doing the housework2. on an empty stomachSection IIITask 1: Learning to Predict1.Answer: They’d be exhausted at the end of each performance.Reason: “Otherwise” suggests a result of the opposite condition.2.Answer: I enjoyed it very much.Reason: “Apart from that I must say”often suggests an opposite statement to earlier comments.3.Answer: I stayed up late to finish it.Reason: “And” suggests that the speaker would finish the book at one sit.4.Answer: the book never really got started at all.Reason: After an opinion of agreement, the phrase “in fact” suggests a further comment; thewhich5.6.Sir,to readA.Give brief answers to the following questions.1.The Isle of Wight.2.They were not pleased with their hotel.3.He decided to write to the Manager of Happytours.4. A travel Agency.5.The hotel and travel arrangements.6.They will never book any future holidays through Happytours.B.Fill in he blanks with the words used in the brochure and by Mr. Wilson to describe the hotel andtravel arrangement.A.B.C.A.B.C.D.Name: Maurice FeatherstoneSex: maleAge: oldAppearance: clear, blue, honest eyes; white hair and a pinkish complexionTemperament: gentle and mild-manneredLength of stay in the hospital: 35 yearsReasons for entering the hospital:1.When he was 17, he burnt down his school.2.Over the next few years, there were a number of mysterious fires in his neighborhood.ter he tried to set fire to the family mansion.Visits from family members: No.Bills: paid on time.E.Blank-filling.1.slightly uneasy, unlocked the gates, waved her through2.withdrawn, depressed, normal, kept locked up, all of them, too dangerous to live in normalsociety.3.with the staff, a surprise, let him go out for the afternoon, flower show, quite excited, abirthday cake, decorated the lounge.Section IIITask 1: Learning to Predict1.2.3.4.5.6.pupils holiday finish Into country, but t he pattern’s the same. Why should children do half as much work and get twice as much holiday as their parents?Lesson 6Section ITask 1: In the Path of the EarthquakeA.True or False Questions. 1—6: FTFTFFB.Map 1 is a layout of the Skinners’ farm. Mark out the plants and buildings in the map. Then inmap 2 draw a new plan of the Skinners farm after the quake.Map 1:1. farm house2. garden path3. cypresstrees4. rose garden5. eucalyptus trees6. raspberrypatch7. cow shed 8. granaryMap 2:Task 2: A Funny Thing Happened to Me.A.Multiple Choice. 1—6: cabbcaB.Give brief answers to the following questions.1.2.3.4.5.6.7.8.9.C.D.1.2.A.1.2.3.4.5.Half the police force in London and 3 experts.6.Nothing had been found yet.7.Happy memories and things.8.In his words.B.True or False Statements.1—8: FTFF TTFTC.Discuss with your classmates what message is hidden in Gentleman Jim’s recording.D.Listen to the 2nd part of the policeman’s discussion and list all the things they feel unusualabout Gentleman Jim’s recording.1.Jim keeps telling his wife to play the message over and over again.2.Jim tells his wife that she’ll find something comforting.3.Jim keeps saying “very beautiful” over and over again.4.The speech doesn’t sound natural.E.Listen to Gentleman Jim’s recording again and work out the message.Answer: There are 2 gold bricks in the garden under the big red rose tree.Section IIITask 1: Listening to Predict1.Answer: a glance at the headings of sections or sub-sections will show the order in which theitems are introduced.Reason: “In addition” is followed by a supplementary idea. Prediction here is also based2.3.4.5.happen.6.Deaf language. until language.your head a picture image sign.Lesson 7Section ITask 1: Learning a Foreign LanguageA.Multiple Choice. 1—4: bcaaB.True or False Questions. 1—4: FTTFC.Give brief answers to the following questions.1.Albert Humphries.2.Balham, London.3. 4 years.4.He has been going to an evening class and has watched quite a lot of the BBC televisionprogrammes.5.They use a different book in the class.6.They make the same mistakes as he does.7.It means being able to put together the right groups of words and to say them in a reasonablyaccurate way.Task 2: In the LibraryA.Multiple Choice. 1—6: bbcacaB.C.1.2.3.4.D.1.2.3.A.1234567considered.8.Maturity, the ability to get on well with people from different countries.B.Blank-filling.1.the line, put you through to2.Pacific College, French, may be taught in Italian3.painting and modern dancing4.probably, the staff at the college, special activities, theatre studies, environmentalwork, take partTask 2: I Remember …A.Multiple Choice. 1—6: baabcaB.True or False Questions. 1—8: TTTF FTTTSection IIITask 1: Learning to Rephrase1.Most subjects: 1 English word, 1 meaning2.most English words: more than 1 meaning3.3rd misconception: word used correctly with meaning knownrger vocabulary: influenced by other languages; rich in synonyms5.grammatical matter: words of same meaning used with certain other words6.many students: no purpose than read7.8.9.a credit system something to thestores only buymakeA.Multiple Choice.1—6: acbcabB.Blank-filling.Name: Laura and SarahSex: femaleSimilarities: 1. blonde2. brown eyes3. same height4. same weight5. same size6. same shoesDifferences: 1. Laura is single, but Sarah has a well-fed happy husband and 4 healthy children.2. When Laura was learning to type, Sarah was washing up.3. When Laura was writing articles for the school newspaper, Sarah was knitting.4. When Laura was in Panama, doing her first job for Lessoned Information Services,Sarah was having her second child.C.True or False Questions.1—2: TFTask 2: Genetic Make-upA.Give brief answers to the following questions.1.Alan and Barbara.2.3.4.5.6.7.8.B.1.2.3.A.B.1.2.Caller’s number: 743-9821Message: Cancel the lunch appointment for tomorrow noon, because he is out of town for a while.Please call and reschedule.3.Message 3:Caller’s name: Mrs. TurnerMessage: She won’t be home until 8 o’clock. She’s working late.4.Message 4:Caller’s name: WendyMessage: Ticket for Puerto Rico is booked. That’s Pan Am Flight 226, leaving Tuesday the 12th at 8 am. Tickets will be sent over later this afternoon.5.Message 5:Caller’s name: Juan SalvadeMessage: He’ll call back about the meeting next Wednesday.C.Blank-filling.1.May I take a message?2.out of town, offer my apologies to, have him call me3.just a minute, can I hold you for a second?4.holdingTask 2: Night FlightA.True or False Questions. 1—6: FTTFTFB.C.1.2.3.4.D.1.2.3.4.1.2.3.4.5.6.7.8.9.too preoccupied with own schedule, can't concentrate, unless about work10.work again, leisure time- - a creative solution to work problemsTask 2: DictationThe Boy Who Cried WolfOnce upon a time there was a very naughty shepherd-boy. He often fell asleep while he was watching his sheep. And he told lies. The villagers shook their heads and said, ‘That boy will come t o a bad end.’One day, when he was feeling very bored, the boy decided to play a practical joke on the villagers. He ran down the hill. ‘Wolf,wolf!’ he cried. ‘Help, come quickly. Wolf!’ All the villagers seized their spears and ran to help him. But there was no wolf. ‘He heard you,’ the naughty boy lied, ‘and ran away.’ When everyone had gone, he started to laugh.Three weeks later, when he was feeling very bored indeed, he decided to play the same trick again. ‘Wolf, wolf!’ he shouted.‘Help, come quickly. Wolf!’ Most of the villagers hurried to help him. This time the boy laughed at them. ‘Ha, ha… There wasn’t a wolf,’ he said. ‘What a good joke!’ The villagers were very angry. ‘Lies are not jokes,’ they said.Two days later the boy woke up suddenly. He had fallen asleep in the afternoon sun. What was that big dark animal coming towards his flock? Suddenly it seized a lamb. ‘Wolf!’ screamed the boy. ‘Wolf. Help, come quickly. Wolf!’ But none of the villagers came to help him. He screamed again. The wolf heard him and licked its lips. ‘I like lamb,’ it thought, ‘but shepherd-boy tastes much nicer.’When the shepherd-boy didn’t come home that night, some of the villagers went to look for him. They found a few bones.Lesson 9A.B.NameC.1.2.3.4.5.6.7.8.9.Very hard work, not very pleasant sometimes.10.At first she is afraid she is not good enough. Later she thinks she should enjoy that.plete the following sentences.1. a little girl, very keen on, a music teacher or something, to train for, the right job2.to lessons, six, I suppose, for the rest of, music, lonely3.France, the school choir, talking to people, real interests4.being a hairdresser, people, do something properly, very worthwhile5.do look after, looked after, run over by a car, mind, too worriedTask 1: How Do Others Think of My Job?A.Fill in the following chart.B.A.B.C.3. physicist 8. mechanicalengineer4. biologist 9. Salesrepresentative5. economist 10. estate agentD.Blank-filling.1.“dirty job”, “low status”, “subordinate”, take orders, give orders2.interesting, well paidTask 1: Learning to Rephrase1.barter = trading goods for goods2.past: seashells spices -- no value money-- stated value3.because economic developments, trade done in barter4.more valuable currency-- hard c. less valuable - - soft c.5.seller demand hard c., esp. from nation with hard c.6.inflation = abnormally rapid price increase7.due to scarcity of hard c. in some nations & world-wide inflation, payments in hard c. besupplemented by other types, e.g. bartering8.9.10.This pressedput into aboutThe nameA.B.Blank-filling.1.the local British Steel Corporation’s headquarters, closure plans2.doctors, nurses and other staff, grown even faster3.another 31 million pounds, poorer areas, regional development fund, 13.5 million pounds, 10million pounds, industrial improvement, road works4.17, 5, 2, 2, landed illegally, the first 9 months, 7 more5.derailed local train, disrupted rail services, the south of EnglandTask 2; News Summary 2A.Multiple Choice. 1—4: bcacB.Answer the following questions briefly.1. A double-barrelled.2.The girl’s brother.3.When the girl was being overpowered by police officers.4.Into the ceiling.5. A 23-year-old electronics worker and a 55-year-old housewife.6.They are doing well.7. 2 months ago.8.125 pounds with 25 pounds costs.9. A woman was killed when a chimney on a house collapsed and 2 men were killed when their carcrashed into a fallen tree.10.A.B.C.NewsArtA.1.2.3.4.B.True or False questions. 1—8: FFTT TTFFC.Fill in the blanks.1.touch his food, wrap, in a tissue, picking, up, a barber, too often, grew down to his waist Section IIITask 1: Learning to Rephrase: use more oil/day, future supply – limited2.current rate of use, oil not a major source of energy in 25 years3. a lot of coal, but problem: mining, transporting & burning with pollution4.production of new nuclear power plants, slow down, public concern over saltyernment expected 20% electricity from nuclear energy 1970s, but only 12% 19796.no fuel for solar heating system, sunshine free7.solar system can’t provide 100 % heat due to sunshine8.solar heating possible in most US, better in areas: lot of winter sunshine, heat necessary,fuel expensive9.hot-liquid system: basically same but contains water not air, a large hot water tank, not acontainer of hot rocks10.energy from sun: answer to our need for new, cheap, clean source of energyTask 2: DictationVoice AnalysisIf analysercan show a voice sample, From just a voice.feature of voice speakingfinal point of measuredvoice.B:1.2.3.4.back to normal5.less of a hurry6.at the end of the day, on edge7.at stake, job8.have a word withC: 1. T 2. F 3. F 4. F 5. T 6. F 7. T 8. TTask 2: Do it yourselfA: 1. b 2. a 3. c 4. b 5. b 6. aB:1.Every summer2.He is a postman.3.At evening schools.4.He could not afford to pay workman.C: 1. F 2. T 3. F 4. F 5. F 6. F 7. T 8. FSection two:II. Exercises:A: 1. a 2. c 3. b 4. a 5. b 6. aB:1.Because there were a lot of tourists that summer.2.One is for coming into the kitchen and the other is for going out so that the waiters coming inwould not bump into the ones going out.3.–4.hotel.1.2.3.nd5.6.7.8.B: (1) –(4) –C:1.He is going to wear a motorcycle helmet with an oxygen mask inside.2.The police will probably come and ask them to move since a police station is just fifty yards awayfrom the bank.3.Because it will stink and they will never be able to use it if it smells like that.4.Because they can keep a lookout there since the room is on the top floor of the building. And there,Fingers can radio Ginger and tell him to come.Section two:II. Exercises:Task 1: CrimeA: 1. a 2. b 3. bB:(1)They parked the car outside the bank.(2)The traffic lights were red.(3)To repair the car.(4)The catch of the money bag broke and they had to pick up all the notes.(5)They switched cars.(6)Roads were dug up.(7)The road was blocked owing to a traffic accident.(8)The two arrived empty-handed.Task 2: Shop-lifter:B:1.2.3.4.She keyholeC:1.2.3.4.5.6.7.1.2.3.4.secondary5.6.7.men brought idea but not how to make pottery; shown in anthropological discoveries8.solved problem of cooking & storing food, a more prosperous & comfortable lifeTask 2: Dictation (omitted)Lesson 13Section oneTask 1: Guessing what people are talking aboutA: 1. T 2. F 3. F 4. T 5. F 6. TB:1.wine and good food2.the river3.walking along the river and all the couples4.paintings thereC:1.reminds, of2.got something about it, sort of charm …3.unusual, in the center of4.from the top5.down by the riverTask 2: Nice to see you!A. 1. c 2. aB: (1) –C:1.2.3.4.5.6.C:1.2.3.4.5.6.7.8.B:1. a. a secretaryb. good at her jobc. different in her private lifed. pretty tidy in officee. incoherent in her behavior2. a. concerned about state affairsb. critical of the political systemc. eager to bring law and order to his country3. a. easy-goingb. a bit vicious when upsetc. not sympatheticd. not interested in civil rights4. a. a retired army officerb. respectable and dignifiedc. helpful to those dependent on himd. a bit fanatic about organization and descriptione. not too polemicf. fond of his wife and family5. a. shy and unhappy during childhoodb. unable to make friends till very latec. good at being by himself1.Bert2.3.Adam4.5.Adam6.A.D:1.The Prime Minister2.In central Italy, avalanches, the earthquake during the night3.Three masked men, with shotguns, unlock the van4.two hundred and fifty-seven people, hit the side of a volcano5. a basis for negotiations, the chances of success6.Fifteen people, in court in Manchester, matches in London Section TwoII. Exercises:Task 1: Bearded LadyA. 1. She was a bearded woman.2. They advised her to shave.3. When she realized that she was fighting a losing battle.4. At first it was a bit unnerving.5. Her beard keeps her husband’s toes warm on cold nights.B. 1. F 2. F 3. T 4. T 5. T 6. F 7. T 8. FC. 1. at an enormous rate, five inches2. trying to keep it down, fighting a losing battle3. chop off a few feet4. the pointing and laughing in the endTask 2: At a Youth Center1.2.3.shifting from barter society to a monetized world4.different money values in different countries5.why difficult to give examples of barter deals6.prospect of barteringLesson 15 Section One:III. Exercises:A. 1. a 2. c 3. b 4. cB. 1. F 2. T 3. T 4. F 5. TC.Speaker A:a.Killers deserve death penalty.b.Death penalty will prevent other people from killing.c.It is important to get rid of the bad seed.d.Criminals are never rehabilitated, they are hardened.e.Some people are just bad, evil, and there is nothing one can do.Speaker B:a. Nobody has the right to take another person’s life.b. Nobody is sure that the person convicted is really guilty.c. Criminals should be rehabilitated instead of being eliminated.d. There should be more extensive programmes.D.A.5. He8. HeB.C.Section Two:Task 1: The Work of Sigmund FreudA. 1. c 2. a 3. bB. a. Forgetting of proper namesb. Forgetting of foreign wordsc. Childhood and concealing memoriesd. Mistakes in speeche. Mistakes in reading and writingC. 1. be traced back to, problem or conflict, concerned2. of the neuroses, also present, in normal persons3. the borderline, the normal and the neurotic person, nearly as clearly marked4. a childhood memory, painful to us5. good reasons for, the slips and errorsTask 2: CheeseA. 1. a 2. b 3. a 4.cB. 1. T 2. F 3. T 4. T 5. T 6. F 7. T 8. TC. 1. Early cheese was probably rather unpalatable and tasteless.2. ‘Fresh cheese’ is a kind of cheese to be eaten immediately after the milk has coagulated.3. ‘Ripened cheese’ is a kind of cheese with salt added to the soft fresh cheese and otherbiochemical processes continued in the course of cheese-making.1.2.3.4.5.6.A.B.C.7. egged her on8. came off, barged into9. blown over, a world of goodSection Two:Task 1: The Suffragette MovementA. 1. c 2. a 3. a 4.bB. 1. She would feel highly insulted.2. They got the right to vote and some of them became members of the Parliament.3. They have been useful in helping women in their jobs in other vocations.4. She didn’t want to vote.5. She feels all right joining men in their world of work and sport. But she is happy to leave politicsto men.C. 1. approve of2. a good laugh3. In the long term4. interfered with, a few boos and there, clapping5. different to, at their own job6. a great thrill on the race trackTask 2: Sex DiscriminationA. 1. T 2. F 3. T 4. T 5. F 6. FB.1.2.3.4.5.6.A.B.C.A.B.2. 15 %, over 65,3. 80 %, over 65, at least4. watch out for5. immune system, to decline, lungs, the senses, the brain, skin6. benefit more from, the eldlySection Two:Task 1: At a Small RestaurantA.(1) c (2) b (3) a (4) aB.(1) F (2) T (3) F (4) T (5) T (6) F (7) T (8) F (9) TC.(1) He has trouble finding good, reliable domestic staff for his restaurant.(2) Because more and more organizations wanted to see his demonstration.(3) He wanted to combine the demonstration with a permanent establishment.(4) He decided to choose this remote place because he wanted to have a restaurant for those wholove peace and quiet and beautiful scenery and who also appreciate good food.Task 2: The Tree Climbers of PompeiiA. 1. A man was half way up the tree.2. Ruins.3. To collect pine cones.4. The processed them into some sauce which is used in Italian cooking.5. No. The foreman bought a licence from the State for the right to go round places collectingB.1.2.3.4.5.6.A.B.a.b.c.d.It can create its own fuel and burn its waste.Cons:a. Nobody can imagine what will happen if there is a nuclear accident.b. Radioactivity causes cancer and may affect future generations.c. There is no technology for absolutely safe disposal of nuclear waste.d. Terrorists could hold the nation to ransom if they captured a reactor.e. Nuclear energy is expensive, dangerous, evil, and most of all, absolutely unnecessary.C. 1. 450 years, 50 years, oil, 30 years2. go back to the Stone Age, turn our backs on3. active for thousands of years。
英语中级听力参考答案Answer Keys to Listen to This: 2 L 1L 2L 3L 4L 5L 6L 7L 8L 9L 10 L 11L 12L 13L 14L 15L 16L 17L 18L 19L 20 L 21L 22L 23L 24L 25L 26L 27L 28L 29L 30 L 31L 32L 33L 34L 35L 36Lesson 1Section ITask 1: This Is Your Life!A.Choose the best answer (a, b or c) to complete each of the following statements.1—6: caacbaB.True or False Questions.1—6: TFFFFTC.Identification.(1)—(b), (2)—(d), (3)—(f), (4)—(g), (5)—(a), (6)—(c), (7)—(e)plete the following résumé for Jason Douglas.Name: Jason DouglasFormer name: Graham SmithProfession: actorDate of birth: July 2, 19471952: started school1958: moved to Lane End Secondary School1966: went to the London School of Drama1969: left the London School of Drama1973: went to Hollywood1974: were in a movie with Maria MontroseTask 2: What Are Your Ambitions?A.Give brief answers to the following questions.1.Radio Station QRX.2.For a survey.3.Four.4.Six.5.(1) What’s your name?(2) What do you do for a living?(3) What do you do for fun?(4) What’s the most exciting thing that’s happened to you recently?(5) Who do you admire most in this world?(6) What do you want to be doing five years from now?B.Fill in the following chart with answers that each interviewee gives to the questions.Section IIA.Choose the best answer (a, b or c) for each of the following questions.1—6: abaccbB.True or False Questions.1—4: FTFFC.Fill in the following chart with information about the journey the Roman army madeaccording to Trevor.Designation: D CompanyNumber of men: one hundred and moreJourney: from France to BritainMeans of transcript: boatWeather conditions: stormyFood: cat foodDrink: rain waterConditions of weapons after landing: uselessFighting: noneEquipment lost or damaged: boat lost, guns full of water, supplies of wine lostSoldiers killed or wounded: about ten survivors, all others drowned or killed by coldD.Point out what is not true in Trevor’s story.The following did not exist in Roman times:petrol, newspaper, matches, trousers, tinned food, taps, guns, wine bottles.50 BC could not appear on a coin. 50-55 BC is counting backwards.E.Fill in the blanks according to what you hear on the tape.1.terrible, stormy, or more of us, shut in, so bad, sick, stuffy.2.pushed up onto the sands, climbed out, jumping into the, struggling to the, up to my shoulder,freezing.3.came and took us away, joined, going into the camp, a hot meal, clean clothes, given our pay.Section IIITask 1: Learning to Predict1.Answer: trying to write a letterReason: The speaker’s question suggests he needs a quiet surrounding to do something.2.Hint: the first speaker is a guest complaining about the conditions of Room 43 which is asingle room. The second speaker is a hotel clerk who suggests that the guest move to a double room.Answer: is the only single room available at the momentReason: The phrase “I’m afraid” often suggests a negative or unsatisfying answer.3.Answer: Where on earth did you get it?Reason: The second speaker’s surprised tone shows that the money is out of her expectation and she must be curious about how it is gained.4.Answer: You mustn’t discriminate against someone just because they are married.Reason: The word “but” suggests an opposite meaning.5.Answer: I wouldn’t mind being a prince.Reason: The man’s questioning tone shows he doesn’t agree with the woman.6.Answer: I’m not a workaholic.Reason: The word “but” suggests an opposite meaning.7.Answer: he had been.Reason: “But” and “possibly” both give some hint.Task 2: DictationPassage 1: The KnowledgeBecoming a London taxi driver isn’t easy. In order to obtain a licence to drive a taxi in London, candidates have to pass a detailed examination. They have to learn not only the streets, landmarks and hotels, but also the quickest way to get there. This is called “The Knowledge” by London Cab drivers and it can take years of study and practice to get ‘The Knowledge’. Candidates are examined not only on the quickest routes but also on the quickest routes at different times of the day. People who want to pass the examination spend much of their free time driving or even cycling around London, studying maps and learning the huge street directory by heart.Passage 2: The UndergroundTravelling on the London underground (the ‘tube’) presents few difficulties for visitors because of the clear colour- coded maps. It is always useful to have plenty of spare change with you because there are often long queues at the larger stations. If you have enough change you can buy your ticket from a machine. You will find signs which list the stations in alphabetical order, with the correct fares, near the machines. There are automatic barriers which are operated by the tickets. You should keep the ticket, because it is checked at the destination.Lesson 2Section ITask1: Film EditingA.True or False Questions.1—4: TFTFB.Fill in the following blanks to give a clear picture of what needs to be done before a film isready for distribution.1. The assistant:a. “Synching up” which means matching sound and pictures according to the numbers stampedalong the edge of the film and sound tape.b. “Logging” which means recording the detail version of the film and the sound in a log book.2. The film editor:a. Make a first selection of the best takes.b. Prepare a “rough cut”– an initial version of the film.c. Prepare the “fine cut”– the final form of the film.3. Others:a. Approve the fine cut.b. “Dubbing” which means voices, music, background noises and sometimes special effects areput together.c. The “neg”cutters cut the original negatives on the film so that these match the edited filmexactly.Task 2: A Vision of the FutureA.Choose the best answer for each of the following questions.1—6: abacccB.True of False Questions.1—4: TFTFC.Fill in the blanks to give a clear picture of the problems New York faces in the movie.1.40 million2.have no apartment, sleep on the steps of the building, crawl over sleeping people to get inside.3.nothing will grow, they never see the sun.4.soylent: soylent red, soylent yellow, and soylent green. 2, soybeans, soylent green, oceanplants.5.90 degree.6.electricity, ride bicycles to make it.Section IITask 1: American IndiansA.Answer the following questions briefly.1.1492.2.He thought that he had arrived in India.3.They were kind to them and wanted to help.4.(1) They wanted bigger farms and more land for themselves; (2) More immigrants came fromEurope.5.It was their mother. Everything came from and went back to their mother. And it was foreverybody.6.They started fighting back.7.By 1875 the Indians had lost the fight and had to live in “reservations”.8.The Indians are bad and the White man is good and brave in Hollywood films.B.Choose the best answer for each of the following questions.1—4: acbcTask 2: New AustraliansA.Identification:1.(1)—(d), (2)—(b), (3)—(a), (4)—(c)2.(a) more than 15 million,(b) 160, 000,(c) the year 1851,(d) 700, 000B.True or False questions.1—6: FTFFTTC.Fill in the blanks with events connected with the following time expressions.1.Italiansa.the 1850s and 1860s: Different states in Italy were fighting for independence and someItalians went to Australia for political reasons. Some others went there for gold.b.1891: The first group of 300 Italians went to work in the sugar-cane fields of northernAustralia.c.The end of the 19th century: Some good Italian fishermen went to western Australia.2.Greeksa.1830: The first Greeks went to work in vineyards in south-eastern Australia.b.The 1860s; There were about 500 Greeks in Australia.c.1890; There were Greek Cafes and restaurants all over Sydney and out in the countryside.d.After WWII: Many Greeks arrived in Australia.Section IIITask 1: Learning to Predict1.Answer: It’s good exercise. Keeps you fit.Reason: The word “yeah”suggests that the boy will say something in agreement with the woman’s comment.2.Answer: We turn the music up really loud and start dancing.Reason: The phrase “why not” suggests that the boys will simply dance in the street.3.Answer: They can’t do it like me yet.Reason: The word “but” suggests an opposite meaning.4.Answer: It’s a very old book.Reason: The word “actually” also suggests an opposite meaning.5.Answer: Write down your address and I’ll get the boy to bring them round.Reason: The conversation takes place in a store. If the store owner agrees to deliver the goods, the only thing he wants to know will be the address of the customer.6.Answer: Tell us all about it over dinner.Reason: The woman sounds very much interested in the man’s experience. So she will certainly ask the man to tell her something about it.Task 2: DictationThe Foolish FrogOnce upon a time a big, fat frog lived in a tiny shallow pond. He knew every plant and stone in it, and he could swim across it easily. He was the biggest creature in the pond, so he was very important. When he croaked, the water-snails listened politely. And the water-beetles always swam behind him. He was very happy there.One day, while he was catching flies, a pretty dragon-fly passed by. ‘You’re a very fine frog,’ she sang, ‘but why don’t you live in a bigger pond? Come to my pond. You’ll find a lot of frogs there. You’ll meet some fine fish, and you’ 11 see the dangerous ducks. And you must see our lovely water-lilies. Life in a large pond is wonderful!’‘Perhaps it is rather dull here,’ thought the foolish frog. So he hopped after the dragon-fly.But he didn’t like the big, deep pond. It was full of strange plants. The water-snails were rude to him, and he was afraid of the ducks. The fish didn’t like him, and he was the smallest frog there. He was lonely and unhappy.He sat on a water-lily leaf and croaked sadly to himself, ‘I don’t like it here. I think I’ll go home tomorrow.’But a hungry heron flew down and swallowed him up for supper.Lesson 3Section ITask 1: I Don’t See It That WayA.Conversation 1:1.Choose the best answer for each of the following statements.(1) — (2): ba2.Give brief answers to the following questions.(1)About 6 months ago.(2)It is defective and has ruined 4 of the customer’s favorite cassettes.(3) 6 months.(4)10 days ago.3.Blank-filling.(1)bend the rule, make an exception for, make an exception for(2)adding insult to injury, make good on(3)brought it in, hold me to, onB.Conversation 2:1.Multiple choice. (1) — (2): ba2.True or False Questions. (1) — (4): FTTTC.Conversation 3:1.Give brief answers to the following questions.(1)Single.(2) 5 years.(3)He has been loyal to the company and worked quite hard.(4)Asking for a raise.(5)Bob does his job adequately, but he doesn’t do it well enough to deserve a raise.(6)Take more initiative and show more enthusiasm for the job.(7)To quit his job.(8)That’s a decision Bob will have to make for himself.Task 2: marriage CustomsA.Blank-filling.Speaker: Professor Robin StuartTopic: Marriage customs in different parts of the world; romantic business; arranged marriage; on the day of the wedding; arranged marriages; to have a look at one another; call the whole thing off; the wedding goes ahead; several wives.Conclusion: just as much chance of bringing happiness to the husband and wife as the Western systems of choosing marriage partners.B.True or False Questions. 1 — 3: TFTSection IITask 1: At the Dentist’sA.Multiple Choice. 1 — 4: baccB.True of False Questions. 1 — 6: FTFFTTTask 2: HiccupsA.Give brief answers to the following questions.1.He wants her to help him stop his hiccups.2. 3 hours.3.Everything he can think of.4.She’ll give the man 5 pounds if he hiccups again.5.The man has stopped hiccupping and owes Rosemary 5 pounds.B.Identification.(1) —(b), (2) —(d), (3) —(e), (4) —(a), (5) —(c)Section IIITask 1: Learning to Predict1.Answer: the Chinese then?Reason: “What about” suggests an alternative.2.Answer: they’ll still be hot when you get back.Reason: The woman’s words suggest that the shop is very close to their home.3.Hint: The woman is asking the man to buy a pack of fish and chips from a nearby shop.Answer: there’s a queue.Reason: The phrase “not if” suggests a condition that hinders the fulfillment of an action.4.Answer: a good idea.Reason: The word “yes” shows an agreement.5.Answer: being a machine for that money.Reason: “I wouldn’t mind” suggests that the man will do what the woman doesn’t want because of certain attractive conditions.6.Answer: I want to play drums.Reason: The earlier sentence suggests that the man does not play drum for money.Consequently the explanation must be that he enjoys playing it.Task 2: DictationSleepIt’s clear that everyone needs to sleep. M ost people rarely think about how and why they sleep, however. We know that if we sleep well, we feel rested. If we don’t sleep enough, we often feel tired and irritable. It seems there are two purposes of sleep: physical rest and emotional and psychological rest: We need to rest our bodies and our minds. Both are important in order for us to be healthy. Each night we alternate between two kinds of sleep: active sleep and passive sleep. The passive sleep gives our body the rest that’s needed and prepares us for active sleep, in which dreaming occurs.Throughout the night, people alternate between passive and active sleep. The brain rests, then it becomes active, then dreaming occurs. The cycle is repeated: the brain rests, then it becomes active, then dreaming occurs. This cycle is repeated several times throughout the night~. During eight hours of sleep, people dream for a total d one and half hours on the average.Lesson 4Section ITask 1: Weather ForecastA.Multiple Choice. 1 — 2: acB.Fill in the following chart.Task 2: The 5 O ’clock News A. Fill in the following chart.B. Give brief answers to the following questions based on the news report.1. It was closed down by government authorities.2. Testing confirmed that the town had been poisoned be the dumping of toxic chemicals in towndumps.3. 3 weeks ago.4. 200.5. Headaches, stomachaches, faintness and dizziness.6. Toxic wastes had leaked into the ground and contaminated the water supply.7. All the residents should leave the area, until the chemical company responsible for the toxicwaste can determine whether the town can be cleaned up and made safe again. C. True of False Questions.1—6: FTTFFTD. Fill in the following blanks (based on the news report).Teams PlayingResult (1) Mexico — France 7 to 6 (2) Canada — Argentina 3 to 3 (3) Italy — Haiti(with 30 minutes left to go) 2 to 1Section IITask 1: What Do You Like for Entertainment?A.Blank-filling.Reporter: Deborah TylerInterviewee: Students of the Brooklyn Academy of Dramatic ArtsMajor: Benny Gross —— pianoKimberley Martins —— modern danceB.Fill in the following chart about how often Benny and Kimberley go to the eight forms ofartistic entertainment.C.Rearrange the forms of artistic entertainment that Benny and Kimberley like, beginning withthe form that each one likes best.Benny: (3)—(1)—(4)—(6)—(2)—(8)Kimberley: (2)—(4)—(1)—(7)—(3)—(8)Task 2: Are You a Heavy Smoker?A.True or False Questions. 1—6: TFTTFTB.Multiple Choice. 1—6: cbcbacC.Blank-filling.Name: Doris BradleySex: femaleAge: 32Amount: 3 packets of 20 a weekFirst experience:Time: at the age of 17Place: at a partyOffered by: boyfriend, not husbandFeeling; awfully grown-upLater: started smoking 2 or 3 a day and gradually increased.Experience of giving up smoking: twice1. Time: 6 months before getting marriedReason: saving upResult: only cut it down from 30 a day, still smoked a little2. Time: when expecting a babyReason: according to doctor’s adviceResult: gave up completely for 7 or 8 months and took it up a couple of weeks after the baby was born, because the baby was being bottle fed.Time when she smokes most:1. watching TV2. reading books3. in company4. with friendsTime when she never smokes:1. doing the housework2. on an empty stomachSection IIITask 1: Learning to Predict1.Answer: They’d be exhausted at the end of each performance.Reason: “Otherwise” suggests a result of the opposite condition.2.Answer: I enjoyed it very much.Reason: “Apart from that I must say” often suggests an opposite statement to earlier comments.3.Answer: I stayed up late to finish it.Reason: “And” suggests that the speaker would finish the book at one sit.4.Answer: the book never really got started at all.Reason: After an opinion of agreement, the phrase “in fact” suggests a further comment; the expression “it’s only honest to say” usually introduces a confession- something whichis probably not as good as the one mentioned.5.Answer: I tend to skip parts that don’t really hold my interest.Reason: “Otherwise” suggests a result of the oppos ite condition.6.Answer: it was rather long.Reason: “I must admit” suggests an agreement to the other person’s opinion.Task 2: DictationBooks Belong to the PastSir,I visited my old school yesterday. It hasn’t changed in thirty years. The pupils were sitting in the same desks and reading the same books. When are schools going to move into the modern world? Books belong to the past. In our homes radio and television bring us knowledge of the world. We can see and hear the truth for ourselves. If we want entertainment most of us prefer a modern film to a classical novel. In the business world computers store information, so that we no longer need encyclopaedias and dictionaries. But in the schools teachers and pupils still use books. There should be a radio and television set in every classroom, and a library of tapes and records in every school. The children of today will rarely open a book when they leave school. The children of tomorrow won’t need to read and Write at all.M. P. MillerLondonLesson 5Section ITask 1: An Unpleasant TripA.Give brief answers to the following questions.1.The Isle of Wight.2.They were not pleased with their hotel.3.He decided to write to the Manager of Happytours.4. A travel Agency.5.The hotel and travel arrangements.6.They will never book any future holidays through Happytours.B.Fill in he blanks with the words used in the brochure and by Mr. Wilson to describe the hoteland travel arrangement.Task 2: At the Travel AgencyA.Multiple Choice. 1—6: acbbcaB.True or False Questions. 1—6: TFTTFTC.Fill in the blanks with the two things that Miss Bush will do.1.her two friends, to stop over with her on the way back.2.Mr. Adams to stop with her in Cairo.Section IIA Saturday AfternoonA.Identification.Name IdentificationGillian Dr. Carmichael’s new research assistantDr. Carmichael the president of St. Alfred’s HospitalMaurice Featherstone the gardener of the hospitalB.Multiple Choice. 1—6: cbaacaC.True or False Questions. 1—8: FFTF TFTTD.Fill in the blanks with information about Maurice.Name: Maurice FeatherstoneSex: maleAge: oldAppearance: clear, blue, honest eyes; white hair and a pinkish complexionTemperament: gentle and mild-manneredLength of stay in the hospital: 35 yearsReasons for entering the hospital:1.When he was 17, he burnt down his school.2.Over the next few years, there were a number of mysterious fires in his neighborhood.ter he tried to set fire to the family mansion.Visits from family members: No.Bills: paid on time.E.Blank-filling.1.slightly uneasy, unlocked the gates, waved her through2.withdrawn, depressed, normal, kept locked up, all of them, too dangerous to live in normalsociety.3.with the staff, a surprise, let him go out for the afternoon, flower show, quite excited, a birthdaycake, decorated the lounge.Section IIITask 1: Learning to Predict1.Answer: he fails to employ the correct question form.Reason: “Consequently” suggests a result of the facts mentioned earlier.2.Answer: difficulties may still arise.Reason: “even when” suggests that in spite facts, something else still exists.3.Answer: the student may not have clearly heard what was said.Reason: “In other words” is often followed by an explanation in clearer and easier words.4.Answer: may feel angry at receiving such orders.Reason: “However” suggests an opposite fact.5.Answer: whether crops should be used to produce food or should be used to produce fuel.Reason: “That is” is also followed by an explanation.6.Answer: a small industrial sector.Reason: “At the same time” suggests the coexistence of two things. Here prediction is also based on common knowledge.Task 2: DictationThe School Holidays Are Too LongToday the children of this country have at last returned to work. After two months’ holiday pupils have started a new term. How many adults get such long holidays? Two to four weeks in the summer and public holidays--that’s all the working man gets. As for the average woman, she’s lucky to get a holiday at all. Children don’t need such long holidays. In term-time they start work later and finish earlier than anyone else.In the holidays most of them get bored, and some get into trouble. What a waste! If their overworked parents were given more free time instead, everyone would be happier.This isn’t just a national problem either--it’s worldwide.Dates may be different from country to country, but the pattern’s the same. Why should children do half as much work and get twice as much holiday as their parents?Lesson 6Section ITask 1: In the Path of the EarthquakeA.True or False Questions. 1—6: FTFTFFB.Map 1 is a layout of the Skinners’ farm. Mark out the plants and buildings in the map. Then inmap 2 draw a new plan of the Skinners farm after the quake.Map 1:1. farm house2. garden path3. cypress trees4. rose garden5. eucalyptus trees6. raspberry patch7. cow shed8. granaryMap 2:Task 2: A Funny Thing Happened to Me.A.Multiple Choice. 1—6: cabbcaB.Give brief answers to the following questions.st Friday.2.He was a student.3.In London.4.By taxi.5.The taxi got stuck in a traffic jam and the train had left by the time he got to the station.6. 1 hour.7.The station buffet.8.An evening newspaper, the “Standard”.9.At a table near the window.10.He did the crossword puzzle.C.True or False Questions.1—6: FFTTFTD.Blank-filling.1.reached across, opened, took one, dipped, into, popped it into.2.get up and go, pushed back, stood up, hurried out of.Section IIConsolidation: A Very Beautiful StoryA.Give brief answers to the following questions.1. A tape from Gentleman Jim.2.Yesterday.3.Jim’s wife.4.There was a message hidden in the tape.5.Half the police force in London and 3 experts.6.Nothing had been found yet.7.Happy memories and things.8.In his words.B.True or False Statements.1—8: FTFF TTFTC.Discuss with your classmates what message is hidden in Gentleman Jim’s recording.D.Listen to the 2nd part of the policeman’s discussion and list all the things they feel unusualabout Gentleman Jim’s recording.1.Jim keeps telling his wife to play the message over and over again.2.Jim tells his wife that she’ll find something comforting.3.Jim keeps saying “very beautiful” over and over again.4.The speech doesn’t sound natural.E.Listen to Gentleman Jim’s recording again and work out the message.Answer: There are 2 gold bricks in the garden under the big red rose tree.Section IIITask 1: Listening to Predict1.Answer: a glance at the headings of sections or sub-sections will show the order in which theitems are introduced.Reason: “In addition” is followed by a supplementary idea. Prediction here is also based on common knowledge.2.Answer: providing a summary which can be re-read later.Reason: “As well as” is of ten followed by an idea of the same importance as the one before “as well as”.3.Answer: may not appear in a bibliography.Reason: “However” suggests an opposite idea.4.Answer: (no more than try to cover the most important ones here.Reason: “Therefore” sugge sts a result.5.Answer: it doesn’t.Reason: “Unfortunately” suggests that something opposite to one’s expectation will happen.6.Answer: it’s still important.Reason: “Though” suggests that in spite of the fact that follows, something still happens. Task 2: DictationSign LanguageDeaf people, people who can’t hear, are still able to communicate quite well with a special language. It’s called sign language.The speaker of sign language uses hand gestures in order to communicate. Basic sign language has been used for a long, long time, but sign language wasn’t really developed until about 250 years ago. In the middle of the 1700s a Frenchman named Epée developed sign language. Epée was able to speak and hear, but he worked during most of his life as a teacher of deaf people in France. Epée developed a large number of vocabulary words for sign language. Epée taught these words to his deaf students. Epée’s system used mostly picture :image signs. We call them picture image signsbecause the signs create a picture. For example, the sign for sleep is to put both hands together, and then to place the hands flat against the right side of your face, and then to lower your head slightly to the right. This action was meant to show the position of sleep. So we call it a picture image sign.Lesson 7Section ITask 1: Learning a Foreign LanguageA.Multiple Choice. 1—4: bcaaB.True or False Questions. 1—4: FTTFC.Give brief answers to the following questions.1.Albert Humphries.2.Balham, London.3. 4 years.4.He has been going to an evening class and has watched quite a lot of the BBC televisionprogrammes.5.They use a different book in the class.6.They make the same mistakes as he does.7.It means being able to put together the right groups of words and to say them in a reasonablyaccurate way.Task 2: In the LibraryA.Multiple Choice. 1—6: bbcacaB.True or False Questions. 1—6: TTFTFTC.Give brief answers to the following questions.1.Round the corner.2. A 20p a day fine for each book.3.Tahiti.4.No.D.Blank-filling.1. 5 pounds, you damage them, entitles you, 2 records at a time, everything available, be muchmore popular than.2.telephone to renew the books.3.we get back, worth all the bother, some paperbacks in the airport, I’ve been such a nuisance.Section IITask 1: Lessoned World CollegesA.Give brief answers to the following questions.1.On the phone.2.Some information about the college.3.Robert Creighton.4.Julian’s friend in Spain.5.English.6.No. There are scholarships for all colleges, but parents will have to pay too.7.Yes. But academic ability is not the only thing important. Personal qualities will also be considered.8.Maturity, the ability to get on well with people from different countries.B.Blank-filling.1.the line, put you through to2.Pacific College, French, may be taught in Italian3.painting and modern dancing4.probably, the staff at the college, special activities, theatre studies, environmental work,take partTask 2: I Remember …A.Multiple Choice. 1—6: baabcaB.True or False Questions. 1—8: TTTF FTTTSection IIITask 1: Learning to Rephrase1.Most subjects: 1 English word, 1 meaning2.most English words: more than 1 meaning3.3rd misconception: word used correctly with meaning knownrger vocabulary: influenced by other languages; rich in synonyms5.grammatical matter: words of same meaning used with certain other words6.many students: no purpose than read7.students: no overall view, forget soon8.poor comprehension because no notes, no questions9.25 pages a test: no fatigue or loss of efficiency up to 6 hours10.increase speed, no loss of comprehension: more efficient readerTask 2: DictationCredit CardsMany businesses, such as department stores, restaurants, hotels and airline companies, use a credit system for selling their products and services. In a credit system, the seller agrees to sell something to the buyer without immediately receiving cash. The buyer receives the goods or services immediately and promises to pay for them later. This “buy- now- pay- later” credit system is quite old. People have been buying things on credit for centuries. But nowadays people use credit cards. There are two types of credit cards. One type is issued directly by a Store to a customer. Many large department stores issue credit cards to their customers. The store credit card can be used to make purchases only at a particular store. The other kind of credit card is issued by a credit company. Credit cards from credit companies can be used to buy things almost anywhere. If you have a major credit card, you can buy airplane tickets, stay at hotels, and eat at restaurants with it. Most large credit companies are connected to large banks. So if you want a credit card from a credit company, you generally have to make an application at a bank. After an applicant receives a credit card, he or she can make purchases, using the card.。
listen-to-this2-英语中级听力2答案英语中级听力参考答案Answer Keys to Listen to This: 2Edited by莫显良、马军军、张凤英、陈燕L 1L 2L 3L 4L 5L 6L 7L 8L 9L 10L 11L 12L 13L 14L 15L 16L 17L 18L 19L 20L 21L 22L 23L 24L 25L 26L 27L 28L 29L 30L 31L 32L 33L 34L 35L 36Lesson 1Section ITask 1: This Is Your Life!A.C hoose the best answer (a, b or c) to complete each of the following statements.1—6: caacbaB.True or False Questions.1—6: TFFFFTC.I dentification.(1)—(b), (2)—(d), (3)—(f), (4)—(g), (5)—(a), (6)—(c), (7)—(e)D.C omplete the following résuméfor JasonDouglas.Name: Jason DouglasFormer name: Graham SmithProfession: actorDate of birth: July 2, 19471952: started school1958: moved to Lane End Secondary School 1966: went to the London School of Drama 1969: left the London School of Drama1973: went to Hollywood1974: were in a movie with Maria Montrose Task 2: What Are Your Ambitions?A.G ive brief answers to the following questions.1.Radio Station QRX.2.For a survey.3.Four.4.Six.5.(1) What’s your name?(2) What do you do for a living?(3) What do you do for fun?(4) What’s the most exciting thing that’shappened to you recently?(5) Who do you admire most in this world?(6) What do you want to be doing five years from now?B.Fill in the following chart with answers that each interviewee gives to the questions.Interviewee 1 Interviewee 2Interviewee 3Interviewee 4Questi on 1DavidGeorgeSuzanneBrownAdolfoVasquezLindaMontgomeryQuesti on 2 professionalbaseballplayerlawyer dancerstudentat schoolQuesti on 3Readclassics-Dickens,Shakespearerunning-joggingwatchmusicalmovieshang outwithfriends-go forpizzaQuesti had his got to moved to went to aon 4 first baby runin theBostonMarathon the US BruceSpringsteen concertQuesti on 5 his wifeMartinLutherKing Jr.SophiaLorenher dadQuesti on 6be afather offiveIn fiveyearswin theBostonMarathondo whathe’sdoingrightnowhas herownbeautysalonSection IIA.C hoose the best answer (a, b or c) for each of the following questions.1—6: abaccbB.True or False Questions.1—4: FTFFC.F ill in the following chart with information about the journey the Roman army made according toTrevor.Designation: D CompanyNumber of men: one hundred and more Journey: from France to BritainMeans of transcript: boatWeather conditions: stormyFood: cat foodDrink: rain waterConditions of weapons after landing: useless Fighting: noneEquipment lost or damaged: boat lost, guns full of water, supplies of wine lostSoldiers killed or wounded: about ten survivors, all others drowned or killed by coldD.P oint out what is not true in Trevor’s story.The following did not exist in Roman times: petrol, newspaper, matches, trousers, tinned food, taps, guns, wine bottles.50 BC could not appear on a coin. 50-55 BC is counting backwards.E.Fill in the blanks according to what you hear onthe tape.1.terrible, stormy, or more of us, shut in, so bad,sick, stuffy.2.pushed up onto the sands, climbed out,jumping into the, struggling to the, up to my shoulder, freezing.3.came and took us away, joined, going into thecamp, a hot meal, clean clothes, given our pay. Section IIITask 1: Learning to Predict1.Answer: trying to write a letterReason: The speaker’s question suggests he needs a quiet surrounding to do something. 2.Hint: the first speaker is a guest complainingabout the conditions of Room 43 which is a single room. The second speaker is a hotel clerk who suggests that the guest move to a double room.Answer: is the only single room available at the momentReason: The phrase “I’m afraid〞often suggests a negative or unsatisfying answer.3.Answer: Where on earth did you get it?Reason: The second speaker’s surprised tone shows that the money is out of her expectation and she must be curious about how it is gained.4.Answer: You mustn’t discriminate againstsomeone just because they are married.Reason: The word “but〞suggests an opposite meaning.5.Answer: I wouldn’t mind being a prince.Reason: The man’s questioning tone shows he doesn’t agree with the woman.6.Answer: I’m not a workaholic.Reason: The word “but〞suggests an opposite meaning.7.Answer: he had been.Reason: “But〞and “possibly〞both give some hint.Task 2: DictationPassage 1: The KnowledgeBecoming a London taxi driver isn’t easy. In order to obtain a licence to drive a taxi in London,candidates have to pass a detailed examination. They have to learn not only the streets, landmarks and hotels, but also the quickest way to get there. This is called “The Knowledge〞by London Cab drivers and it can take years of study and practice to get ‘The Knowledge’. Candidates are examined not only on the quickest routes but also on the quickest routes at different times of the day. People who want to pass the examination spend much of their free time driving or even cycling around London, studying maps and learning the huge street directory by heart.Passage 2: The UndergroundTravelling on the London underground (the ‘tube’) presents few difficulties for visitors because of the clear colour- coded maps. It is always useful to have plenty of spare change with you because there are often long queues at the larger stations. If you have enough change you can buy your ticket from a machine. You will find signs which list the stations in alphabetical order, with the correct fares, near the machines. There are automatic barrierswhich are operated by the tickets. You should keep the ticket, because it is checked at the destination.Lesson 2Section ITask1: Film EditingA.T rue or False Questions.1—4: TFTFB.Fill in the following blanks to give a clear pictureof what needs to be done before a film is ready for distribution.1. The assistant:a. “Synching up〞which means matchingsound and pictures according to thenumbers stamped along the edge of the filmand sound tape.b. “Logging〞which means recording thedetail version of the film and the sound in alog book.2. The film editor:a. Make a first selection of the best takes.b. Prepare a “rough cut〞–an initialversion of the film.c. Prepare the “fine cut〞–the final form of the film.3. Others:a. Approve the fine cut.b. “Dubbing〞which means voices, music,background noises and sometimes specialeffects are put together.c. The “neg〞cutters cut the originalnegatives on the film so that these matchthe edited film exactly.Task 2: A Vision of the FutureA.C hoose the best answer for each of the following questions.1—6: abacccB.True of False Questions.1—4: TFTFC.F ill in the blanks to give a clear picture of the problems New York faces in the movie.1.40 million2.have no apartment, sleep on the steps of thebuilding, crawl over sleeping people to get inside.3.nothing will grow, they never see the sun.4.soylent: soylent red, soylent yellow, and soylentgreen. 2, soybeans, soylent green, ocean plants.5.90 degree.6.electricity, ride bicycles to make it.Section IITask 1: American IndiansA.A nswer the following questions briefly.1.1492.2.He thought that he had arrived in India.3.They were kind to them and wanted to help.4.(1) They wanted bigger farms and more landfor themselves; (2) More immigrants came from Europe.5.It was their mother. Everything came from andwent back to their mother. And it was for everybody.6.They started fighting back.7.By 1875 the Indians had lost the fight and hadto live in “reservations〞.8.The Indians are bad and the White man isgood and brave in Hollywood films.B.Choose the best answer for each of the following questions.1—4: acbcTask 2: New AustraliansA.I dentification:1.(1)—(d), (2)—(b), (3)—(a), (4)—(c)2.(a) more than 15 million,(b) 160, 000,(c) the year 1851,(d) 700, 000B.True or False questions.1—6: FTFFTTC.F ill in the blanks with events connected with the following time expressions.1.Italiansa.the 1850s and 1860s: Different states in Italywere fighting for independence and someItalians went to Australia for politicalreasons. Some others went there for gold.b.1891: The first group of 300 Italians went towork in the sugar-cane fields of northernAustralia.c.The end of the 19th century: Some goodItalian fishermen went to western Australia.2.Greeksa.1830: The first Greeks went to work invineyards in south-eastern Australia.b.T he 1860s; There were about 500 Greeks inAustralia.c.1890; There were Greek Cafes andrestaurants all over Sydney and out in thecountryside.d.A fter WWII: Many Greeks arrived inAustralia.Section IIITask 1: Learning to Predict1.Answer: It’s good exercise. Keeps you fit.Reason: The word “yeah〞suggests that the boy will say something in agreement with the woman’s comment.2.Answer: We turn the music up really loud andstart dancing.Reason: The phrase “why not〞suggests that the boys will simply dance in the street.3.Answer: They can’t do it like me yet.Reason: The word “but〞suggests an opposite meaning.4.Answer: It’s a very old book.Reason: The word “actually〞also suggests an opposite meaning.5.Answer: Write down your address and I’ll getthe boy to bring them round.Reason: The conversation takes place in a store.If the store owner agrees to deliver the goods, the only thing he wants to know will be the address of the customer.6.AnswerReason: The woman sounds very much interested in the man’s experience. So she will certainly ask the man to tell her something about it.Task 2: DictationThe Foolish FrogOnce upon a time a big, fat frog lived in a tiny shallow pond. He knew every plant and stone in it, and he could swim across it easily. He was the biggest creature in the pond, so he was very important. When he croaked, the water-snails listened politely. And the water-beetles always swam behind him. He was very happy there.One day, while he was catching flies, a pretty dragon-fly passed by. ‘You’re a very fine frog,’ she sang, ‘but why don’t you live in a bigger pond? Come to my pond. You’ll find a lot of frogs there. You’ll meet some fi ne fish, and you’ 11 see the dangerous ducks. And you must see our lovely water-lilies. Life in a large pond is wonderful!’‘Perhaps it is rather dull here,’ thought the foolish frog. So he hopped after the dragon-fly.But he didn’t like the big, deep pond. It was full of strange plants. The water-snails were rude to him, and he was afraid of the ducks. The fish didn’t like him, and he was the smallest frog there. He was lonely and unhappy.He sat on a water-lily leaf and croaked sadly to himself, ‘I don’t like it here. I think I’ll go home tomorrow.’But a hungry heron flew down and swallowed him up for supper.Lesson 3Section ITask 1: I Don’t See It That WayA.C onversation 1:1.Choose the best answer for each of thefollowing statements.(1) — (2): ba2.Give brief answers to the following questions.(1)About 6 months ago.(2)It is defective and has ruined 4 of thecustomer’s favorite cassettes.(3) 6 months.(4)10 days ago.3.Blank-filling.(1)bend the rule, make an exception for,make an exception for(2)adding insult to injury, make good on(3)brought it in, hold me to, onB.Conversation 2:1.Multiple choice. (1) — (2): ba2.True or False Questions. (1) — (4): FTTTC.C onversation 3:1.Give brief answers to the following questions.(1)Single.(2) 5 years.(3)He has been loyal to the company andworked quite hard.(4)Asking for a raise.(5)Bob does his job adequately, but hedoesn’t do it well enough to deserve a raise.(6)Take more initiative and show moreenthusiasm for the job.(7)To quit his job.(8)That’s a decision Bob will have to makefor himself.Task 2: marriage CustomsA.B lank-filling.Speaker: Professor Robin StuartTopic: Marriage customs in different parts of the world; romantic business; arrangedmarriage; on the day of the wedding;arranged marriages; to have a look at oneanother; call the whole thing off; thewedding goes ahead; several wives.Conclusion: just as much chance of bringing happiness to the husband and wife as theWestern systems of choosing marriagepartners.B.True or False Questions. 1— 3: TFTSection IITask 1: At the Dentist’sA.M ultiple Choice. 1 — 4: baccB.True of False Questions. 1 — 6: FTFFTT Task 2: HiccupsA.G ive brief answers to the following questions.1.He wants her to help him stop his hiccups.2.3 hours.3.Everything he can think of.4.She’ll give the man 5 pounds if he hiccupsagain.5.The man has stopped hiccupping and owesRosemary 5 pounds.B.Identification. (1) —(b), (2) —(d), (3) —(e), (4) —(a), (5) —(c)Section IIITask 1: Learning to Predict1.Answer: the Chinese then?Reason: “What about〞suggests an alternative.2.Answer: they’ll still be hot when you get back.Reason: The woman’s words suggest that the shop is very close to their home.3.Hint: The woman is asking the man to buy apack of fish and chips from a nearby shop.Answer: there’s a queue.Reason: The phrase “not if〞suggests a condition that hinders the fulfillment of an action.4.Answer: a good idea.Reason: The word “yes〞shows an agreement.5.Answer: being a machine for that money.Reason: “I wouldn’t mind〞suggests thatthe man will do what the womandoesn’t want because of certainattractive conditions.6.Answer: I want to play drums.Reason: The earlier sentence suggests thatthe man does not play drum formoney. Consequently theexplanation must be that heenjoys playing it.Task 2: DictationSleepIt’s clear that everyone ne eds to sleep. Most people rarely think about how and why they sleep, however. We know that if we sleep well, we feel rested. If we don’t sleep enough, we often feel tired and irritable. It seems there are two purposes of sleep: physical rest and emotional and psychological rest: We need to rest our bodies and our minds. Both are important in order for us to be healthy. Each night we alternate between two kinds of sleep: active sleep and passive sleep. The passivesleep gives our body the rest that’s needed and prepares us for active sleep, in which dreaming occurs.Throughout the night, people alternate between passive and active sleep. The brain rests, then it becomes active, then dreaming occurs. The cycle is repeated: the brain rests, then it becomes active, then dreaming occurs. This cycle is repeated several times throughout the night~. During eight hours of sleep, people dream for a total d one and half hours on the average.Lesson 4Section ITask 1: Weather ForecastA.M ultiple Choice. 1 — 2: acB.Fill in the following chart.WeatherTemperatureDescriptionBritishrainingColumbiadownto northernCaliforniaSeattle 50 degreesSouthern California sunnywarmertemperatureSan Diego 78 degreesMidwest clear but windyOklahomaCity sunny with strong winds65 degrees Houston cloudy 69 degreesMiami cloudy,windy64 degreesNew YorkCity heavy rainsandhigh winds35 degreesMontreal snow flurries 28 degrees Toronto sunny 30 degreesTask 2: The 5 O’clock NewsA.F ill in the following chart.Title Name Summary of the ReportNews anchor CharlesMckayDelta hasbeen declareda healthhazardConsumer reporterSarahCoopera. Drinkingbeermoderatelyis good forhealth.b. The waragainstcigarettesmoking isheating up.Sports announcer JerryRyanResults ofsoccer games.B.Give brief answers to the following questions based on the news report.1.It was closed down by government authorities.2.Testing confirmed that the town had beenpoisoned be the dumping of toxic chemicals in town dumps.3.3 weeks ago.4.200.5.Headaches, stomachaches, faintness anddizziness.6.Toxic wastes had leaked into the ground andcontaminated the water supply.7.All the residents should leave the area, untilthe chemical company responsible for the toxic waste can determine whether the town can be cleaned up and made safe again.C.T rue of False Questions. 1—6: FTTFFTD.F ill in the following blanks (based on the news report).Teams Playing Result(1) Mexico —7 to 6France(2) Canada —3 to 3Argentina(3) Italy — Haiti 2 to 1(with 30minutes left togo)Section IITask 1: What Do You Like for Entertainment?A.B lank-filling.Reporter: Deborah TylerInterviewee: Students of the Brooklyn Academy of Dramatic ArtsMajor: Benny Gross —— pianoKimberley Martins —— modern dance B.Fill in the following chart about how often Benny and Kimberley go to the eight forms of artistic entertainment.Benny Kimberley(1) Art gallery lots of times lots of time(2) Ballet a few times almost everynightmany times sometimes(3) Classicconcerts(4) Exhibition photographicones those about famous people(5) Folk concert never never(6) Opera 2 or 3 times never(7) Pop concert never Madonnaonce(8) Theatre once or twice yesC.R earrange the forms of artistic entertainment that Benny and Kimberley like, beginning with the form that each one likes best.Benny: (3)—(1)—(4)—(6)—(2)—(8) Kimberley: (2)—(4)—(1)—(7)—(3)—(8)Task 2: Are You a Heavy Smoker?A.T rue or False Questions. 1—6: TFTTFTB.Multiple Choice. 1—6: cbcbacC.B lank-filling.Name: Doris BradleySex: femaleAge: 32Amount: 3 packets of 20 a weekFirst experience:Time: at the age of 17Place: at a partyOffered by: boyfriend, not husbandFeeling; awfully grown-upLater: started smoking 2 or 3 a day and gradually increased.Experience of giving up smoking: twice1. Time: 6 months before getting marriedReason: saving upResult: only cut it down from 30 a day, still smoked a little2. Time: when expecting a babyReason: according to doctor’s adviceResult: gave up completely for 7 or 8months and took it up a couple ofweeks after the baby was born,because the baby was beingbottle fed.Time when she smokes most:1. watching TV2. reading books3. in company4. with friendsTime when she never smokes:1. doing the housework2. on an empty stomachSection IIITask 1: Learning to Predict1.Answer: They’d be exhausted at the end ofeach performance.Reason: “Otherwise〞suggests a result of the opposite condition.2.Answer: I enjoyed it very much.Reason: “Apart from that I must say〞often suggests an oppositestatement to earlier comments. 3.Answer: I stayed up late to finish it.Reason: “And〞suggests that the speaker would finish the book at one sit.4.Answer: the book never really got started atall.Reason: After an opinion of agreement, thephrase “in fact〞suggests afurther comment; the expression“it’s only honest to say〞usuallyintroduces a confession- somethingwhich is probably not as good asthe one mentioned.5.Answer: I tend to skip parts that don’t reallyhold my interest.Reason: “Otherwise〞suggests a result of the opposite condition.6.Answer: it was rather long.Reason: “I must admit〞suggests an agreement to the other person’s opinion.Task 2: DictationBooks Belong to the PastSir,I visited my old school yesterday. It hasn’t changed in thirty years. The pupils were sitting in the same desks and reading the same books. When are schools going to move into the modern world? Books belong to the past. In our homes radio and television bring us knowledge of the world. We cansee and hear the truth for ourselves. If we want entertainment most of us prefer a modern film to a classical novel. In the business world computers store information, so that we no longer need encyclopaedias and dictionaries. But in the schools teachers and pupils still use books. There should be a radio and television set in every classroom, and a library of tapes and records in every school. The children of today will rarely open a book when they leave school. The children of tomorrow won’t need to read and Write at all.M. P. MillerLondonLesson 5Section ITask 1: An Unpleasant TripA.G ive brief answers to the following questions.1.The Isle of Wight.2.They were not pleased with their hotel.3.He decided to write to the Manager ofHappytours.4.A travel Agency.5.The hotel and travel arrangements.6.They will never book any future holidaysthrough Happytours.B.Fill in he blanks with the words used in the brochure and by Mr. Wilson to describe the hotel and travel arrangement.Brochure Mr. WilsonHotel Comfortable,mediumsized,with amagnificentviewof the sea Half a mile from the sea, with our room overlooking a car parkService Courteous, oldfashioned The majority of the staff were Foreigners and couldn’t speak Or understand EnglishFood excellent Strictlybeefburgers andchips orFish and chips,wine atexorbitantprices Atmosphere relaxed, friendlyJourney home 11.00 am ferry didn’t get awaytill 6 pmTask 2: At the Travel AgencyA.M ultiple Choice. 1—6: acbbcaB.True or False Questions. 1—6: TFTTFTC.F ill in the blanks with the two things that Miss Bush will do.1.her two friends, to stop over with her on theway back.2.Mr. Adams to stop with her in Cairo.Section IIA Saturday AfternoonA.I dentification.Name IdentificationGillian Dr. Carmichael’snew researchassistantDr. Carmichael the president of St. Alfred’s HospitalMaurice Featherstone the gardener of the hospitalB.Multiple Choice. 1—6: cbaacaC.T rue or False Questions. 1—8: FFTF TFTTD.F ill in the blanks with information about Maurice.Name: Maurice FeatherstoneSex: maleAge: oldAppearance: clear, blue, honest eyes; white hair and a pinkish complexionTemperament: gentle and mild-mannered Length of stay in the hospital: 35 years Reasons for entering the hospital:1.When he was 17, he burnt down his school.2.Over the next few years, there were a numberof mysterious fires in his neighborhood.ter he tried to set fire to the familymansion.Visits from family members: No.Bills: paid on time.E.Blank-filling.1.slightly uneasy, unlocked the gates, waved herthrough2.withdrawn, depressed, normal, kept locked up,all of them, too dangerous to live in normal society.3.with the staff, a surprise, let him go out for theafternoon, flower show, quite excited, a birthday cake, decorated the lounge.Section IIITask 1: Learning to Predict1.Answer: he fails to employ the correct questionform.Reason: “Consequently〞suggests a result of the facts mentioned earlier.2.Answer: difficulties may still arise.Reason: “even when〞suggests that in spitefacts, something else still exists.3.Answer: the student may not have clearlyheard what was said.Reason: “In other words〞is often followed by an explanation in clearer and easier words. 4.Answer: may feel angry at receiving suchorders.Reason: “However〞suggests an opposite fact.5.Answer: whether crops should be used toproduce food or should be used to produce fuel.Reason: “That is〞is also followed by an explanation.6.Answer: a small industrial sector.Reason: “At the same time〞suggests thecoexistence of two things. Hereprediction is also based oncommon knowledge.Task 2: DictationThe School Holidays Are Too LongToday the children of this country have at lastreturned to work. After two months’ holiday pupils have started a new term. How many adults get such long holidays? Two to four weeks in the summer and public holidays--that’s all the working man gets. As for the average woman, she’s lucky to get a holiday at all. Children don’t need such long holidays. In term-time they start work later and finish earlier than anyone else.In the holidays most of them get bored, and some get into trouble. What a waste! If their overworked parents were given more free time instead, everyone would be happier.This isn’t just a national problem either--it’s worldwide. Dates may be different from country to country, but the p attern’s the same. Why should children do half as much work and get twice as much holiday as their parents?Lesson 6Section ITask 1: In the Path of the EarthquakeA.T rue or False Questions. 1—6: FTFTFFB.Map 1 is a layout of the Skinners’farm. Mark out the plants and buildings in the map. Then in map 2 draw a new plan of the Skinners farm after the quake.Map 1:1. farm house2. gardenpath3.cypresstrees4. rosegarden5. eucalyptus trees6.raspberrypatch7. cowshed8.granaryMap 2:Task 2: A Funny Thing Happened to Me.A.M ultiple Choice. 1—6: cabbcaB.Give brief answers to the following questions.st Friday.2.He was a student.3.In London.4.By taxi.5.The taxi got stuck in a traffic jam and the trainhad left by the time he got to the station.6.1 hour.7.The station buffet.8.An evening newspaper, the “Standard〞.9.At a table near the window.10.He did the crossword puzzle.C.T rue or False Questions. 1—6: FFTTFTD.B lank-filling.1.reached across, opened, took one, dipped, into,popped it into.2.get up and go, pushed back, stood up, hurriedout of.Section IIConsolidation: A Very Beautiful StoryA.G ive brief answers to the following questions.1.A tape from Gentleman Jim.2.Yesterday.3.Jim’s wife.4.There was a message hidden in the tape.5.Half the police force in London and 3 experts.6.Nothing had been found yet.7.Happy memories and things.8.In his words.B.True or False Statements. 1—8: FTFF TTFTC.D iscuss with your classmates what message ishidden in Gentleman Jim’s recording.D.L isten to the 2nd part of the policeman’s discussion and list all the things they feel unusual about Gentleman Jim’s recording.1.Jim keeps telling his wife to play the messageover and over again.2.Jim tells his wife that she’ll find somethingcomforting.3.Jim keeps saying “very beautiful〞over andover again.4.The speech doesn’t sound natural.E.Listen to Gentleman Jim’s recording again and work out the message.Answer: There are 2 gold bricks in the garden under the big red rose tree.Section IIITask 1: Listening to Predict1.Answer: a glance at the headings of sections orsub-sections will show the order in whichthe items are introduced.Reason: “In addition〞is followed by asupplementary idea. Prediction here isalso based on common knowledge.2.Answer: providing a summary which can bere-read later.Reason: “A s well as〞is often followed by an idea of the same importance as the onebefore “as well as〞.3.Answer: may not appear in a bibliography.Reason: “However〞suggests an opposite idea.4.Answer: (no more than try to cover the mostimportant ones here.Reason: “Therefore〞suggests a result.5.Answer: it doesn’t.Reason: “Unfortunately〞suggests that something opposite to one’s expectationwill happen.6.Answer: it’s still important.Reason: “Though〞suggests that in spite of the fact that follows, something stillhappens.Task 2: Dictation。
Lesson 1Section ITask 1: This Is Your Life!A.Choose the best answer (a, b or c) to complete each of the following statements.1—6: caacbaB.True or False Questions.1—6: TFFFFTC.Identification.(1)—(b), (2)—(d), (3)—(f), (4)—(g), (5)—(a), (6)—(c), (7)—(e)plete the following résumé for Jason Douglas.Name: Jason DouglasFormer name: Graham SmithProfession: actorDate of birth: July 2, 19471952: started school1958: moved to Lane End Secondary School1966: went to the London School of Drama1969: left the London School of Drama1973: went to Hollywood1974: were in a movie with Maria MontroseTask 2: What Are Your Ambitions?A.Give brief answers to the following questions.1.Radio Station QRX.2.For a survey.3.Four.4.Six.5.(1) What’s your name?(2) What do you do for a living?(3) What do you do for fun?(4) What’s the most exciting thing that’s happened to you recently?(5) Who do you admire most in this world?(6) What do you want to be doing five years from now?B.Fill in the following chart with answers that each interviewee gives to the questions.Section IIA.Choose the best answer (a, b or c) for each of the following questions.1—6: abaccbB.True or False Questions.1—4: FTFFC.Fill in the following chart with information about the journey the Roman army madeaccording to Trevor.Designation: D CompanyNumber of men: one hundred and moreJourney: from France to BritainMeans of transcript: boatWeather conditions: stormyFood: cat foodDrink: rain waterConditions of weapons after landing: uselessFighting: noneEquipment lost or damaged: boat lost, guns full of water, supplies of wine lostSoldiers killed or wounded: about ten survivors, all others drowned or killed by coldD.Point out what is not true in Trevor’s story.The following did not exist in Roman times:petrol, newspaper, matches, trousers, tinned food, taps, guns, wine bottles.50 BC could not appear on a coin. 50-55 BC is counting backwards.E.Fill in the blanks according to what you hear on the tape.1.terrible, stormy, or more of us, shut in, so bad, sick, stuffy.2.pushed up onto the sands, climbed out, jumping into the, struggling to the, up to my shoulder,freezing.3.came and took us away, joined, going into the camp, a hot meal, clean clothes, given our pay.Lesson 2Section ITask1: Film EditingA.True or False Questions.1—4: TFTFB.Fill in the following blanks to give a clear picture of what needs to be done before a film isready for distribution.1. The assistant:a. ―Synching up‖ which means matching sound and pictures according to the numbers stampedalong the edge of the film and sound tape.b. ―Logging‖ which means recording the detail version of the film and the sound in a log book.2. The film editor:a. Make a first selection of the best takes.b. Prepare a ―rough cut‖– an initial version of the film.c. Prepare the ―fine cut‖– the final form of the film.3. Others:a. Approve the fine cut.b. ―Dubbing‖ which means voices, music, background noises and sometimes special effects areput together.c. The ―neg‖cutters cut the original negatives on the film so that these match the edited filmexactly.Task 2: A Vision of the FutureA.Choose the best answer for each of the following questions.1—6: abacccB.True of False Questions.1—4: TFTFC.Fill in the blanks to give a clear picture of the problems New York faces in the movie.1.40 million2.have no apartment, sleep on the steps of the building, crawl over sleeping people to get inside.3.nothing will grow, they never see the sun.4.soylent: soylent red, soylent yellow, and soylent green. 2, soybeans, soylent green, oceanplants.5.90 degree.6.electricity, ride bicycles to make it.Section IITask 1: American IndiansA.Answer the following questions briefly.1.1492.2.He thought that he had arrived in India.3.They were kind to them and wanted to help.4.(1) They wanted bigger farms and more land for themselves; (2) More immigrants came fromEurope.5.It was their mother. Everything came from and went back to their mother. And it was foreverybody.6.They started fighting back.7.By 1875 the Indians had lost the fight and had to live in ―reservations‖.8.The Indians are bad and the White man is good and brave in Hollywood films.B.Choose the best answer for each of the following questions.1—4: acbcTask 2: New AustraliansA.Identification:1.(1)—(d), (2)—(b), (3)—(a), (4)—(c)2.(a) more than 15 million,(b) 160, 000,(c) the year 1851,(d) 700, 000B.True or False questions.1—6: FTFFTTC.Fill in the blanks with events connected with the following time expressions.1.Italiansa.the 1850s and 1860s: Different states in Italy were fighting for independence and someItalians went to Australia for political reasons. Some others went there for gold.b.1891: The first group of 300 Italians went to work in the sugar-cane fields of northernAustralia.c.The end of the 19th century: Some good Italian fishermen went to western Australia.2.Greeksa.1830: The first Greeks went to work in vineyards in south-eastern Australia.b.The 1860s; There were about 500 Greeks in Australia.c.1890; There were Greek Cafes and restaurants all over Sydney and out in the countryside.d.After WWII: Many Greeks arrived in Australia.Lesson 3Section ITask 1: I Don’t See It That WayA.Conversation 1:1.Choose the best answer for each of the following statements.(1) — (2): ba2.Give brief answers to the following questions.(1)About 6 months ago.(2)It is defective and has ruined 4 of the customer’s favorite cassettes.(3) 6 months.(4)10 days ago.3.Blank-filling.(1)bend the rule, make an exception for, make an exception for(2)adding insult to injury, make good on(3)brought it in, hold me to, onB.Conversation 2:1.Multiple choice. (1) — (2): ba2.True or False Questions. (1) — (4): FTTTC.Conversation 3:1.Give brief answers to the following questions.(1)Single.(2) 5 years.(3)He has been loyal to the company and worked quite hard.(4)Asking for a raise.(5)Bob does his job adequately, but he doesn’t do it well enough to deserve a raise.(6)Take more initiative and show more enthusiasm for the job.(7)To quit his job.(8)That’s a decision Bob will have to make for himself.Task 2: marriage CustomsA.Blank-filling.Speaker: Professor Robin StuartTopic: Marriage customs in different parts of the world; romantic business; arranged marriage; on the day of the wedding; arranged marriages; to have a look at one another; call the whole thing off; the wedding goes ahead; several wives.Conclusion: just as much chance of bringing happiness to the husband and wife as the Western systems of choosing marriage partners.B.True or False Questions. 1 — 3: TFTSection IITask 1: At the Dentist’sA.Multiple Choice. 1 — 4: baccB.True of False Questions. 1 — 6: FTFFTTTask 2: HiccupsA.Give brief answers to the following questions.1.He wants her to help him stop his hiccups.2. 3 hours.3.Everything he can think of.4.She’ll give the man 5 pounds if he hiccups again.5.The man has stopped hiccupping and owes Rosemary 5 pounds.B.Identification.(1) —(b), (2) —(d), (3) —(e), (4) —(a), (5) —(c)Lesson 4Section ITask 1: Weather ForecastA.Multiple Choice. 1 — 2: acB.Fill in the following chart.Task 2: The 5 O’clock NewsA.Fill in the following chart.B.Give brief answers to the following questions based on the news report.1.It was closed down by government authorities.2.Testing confirmed that the town had been poisoned be the dumping of toxic chemicals in towndumps.3. 3 weeks ago.4.200.5.Headaches, stomachaches, faintness and dizziness.6.Toxic wastes had leaked into the ground and contaminated the water supply.7.All the residents should leave the area, until the chemical company responsible for the toxicwaste can determine whether the town can be cleaned up and made safe again.C.True of False Questions. 1—6: FTTFFTD.Fill in the following blanks (based on the news report).Teams Playing Result(1) Mexico — France 7 to 6(2) Canada — Argentina 3 to 3(3) Italy — Haiti2 to 1(with 30 minutes left to go)Section IITask 1: What Do You Like for Entertainment?A.Blank-filling.Reporter: Deborah TylerInterviewee: Students of the Brooklyn Academy of Dramatic ArtsMajor: Benny Gross —— pianoKimberley Martins —— modern danceB.Fill in the following chart about how often Benny and Kimberley go to the eight forms ofartistic entertainment.C.Rearrange the forms of artistic entertainment that Benny and Kimberley like, beginning withthe form that each one likes best.Benny: (3)—(1)—(4)—(6)—(2)—(8)Kimberley: (2)—(4)—(1)—(7)—(3)—(8)Task 2: Are You a Heavy Smoker?A.True or False Questions. 1—6: TFTTFTB.Multiple Choice. 1—6: cbcbacC.Blank-filling.Name: Doris BradleySex: femaleAge: 32Amount: 3 packets of 20 a weekFirst experience:Time: at the age of 17Place: at a partyOffered by: boyfriend, not husbandFeeling; awfully grown-upLater: started smoking 2 or 3 a day and gradually increased.Experience of giving up smoking: twice1. Time: 6 months before getting marriedReason: saving upResult: only cut it down from 30 a day, still smoked a little2. Time: when expecting a babyReason: according to doctor’s adviceResult: gave up completely for 7 or 8 months and took it up a couple of weeks after the baby was born, because the baby was being bottle fed.Time when she smokes most:1. watching TV2. reading books3. in company4. with friendsTime when she never smokes:1. doing the housework2. on an empty stomachLesson 5Section ITask 1: An Unpleasant TripA.Give brief answers to the following questions.1.The Isle of Wight.2.They were not pleased with their hotel.3.He decided to write to the Manager of Happytours.4. A travel Agency.5.The hotel and travel arrangements.6.They will never book any future holidays through Happytours.B.Fill in he blanks with the words used in the brochure and by Mr. Wilson to describe the hoteland travel arrangement.Task 2: At the Travel AgencyA.Multiple Choice. 1—6: acbbcaB.True or False Questions. 1—6: TFTTFTC.Fill in the blanks with the two things that Miss Bush will do.1.her two friends, to stop over with her on the way back.2.Mr. Adams to stop with her in Cairo.Section IIA Saturday AfternoonA.Identification.Name IdentificationGillian Dr. Carmichael’s new research assistantDr. Carmichael the president of St. Alfred’s HospitalMaurice Featherstone the gardener of the hospitalB.Multiple Choice. 1—6: cbaacaC.True or False Questions. 1—8: FFTF TFTTD.Fill in the blanks with information about Maurice.Name: Maurice FeatherstoneSex: maleAge: oldAppearance: clear, blue, honest eyes; white hair and a pinkish complexionTemperament: gentle and mild-manneredLength of stay in the hospital: 35 yearsReasons for entering the hospital:1.When he was 17, he burnt down his school.2.Over the next few years, there were a number of mysterious fires in his neighborhood.ter he tried to set fire to the family mansion.Visits from family members: No.Bills: paid on time.E.Blank-filling.1.slightly uneasy, unlocked the gates, waved her through2.withdrawn, depressed, normal, kept locked up, all of them, too dangerous to live in normalsociety.3.with the staff, a surprise, let him go out for the afternoon, flower show, quite excited, a birthdaycake, decorated the lounge.Lesson 6Section ITask 1: In the Path of the EarthquakeA.True or False Questions. 1—6: FTFTFFB.Map 1 is a layout of the Skinners’ farm. Mark out the plants and buildings in the map. Then inmap 2 draw a new plan of the Skinners farm after the quake.Map 1:1. farm house2. garden path3. cypress trees4. rose garden5. eucalyptus trees6. raspberry patch7. cow shed8. granaryMap 2:Task 2: A Funny Thing Happened to Me.A.Multiple Choice. 1—6: cabbcaB.Give brief answers to the following questions.st Friday.2.He was a student.3.In London.4.By taxi.5.The taxi got stuck in a traffic jam and the train had left by the time he got to the station.6. 1 hour.7.The station buffet.8.An evening newspaper, the ―Standard‖.9.At a table near the window.10.He did the crossword puzzle.C.True or False Questions.1—6: FFTTFTD.Blank-filling.1.reached across, opened, took one, dipped, into, popped it into.2.get up and go, pushed back, stood up, hurried out of.Section IIConsolidation: A Very Beautiful StoryA.Give brief answers to the following questions.1. A tape from Gentleman Jim.2.Yesterday.3.Jim’s wife.4.There was a message hidden in the tape.5.Half the police force in London and 3 experts.6.Nothing had been found yet.7.Happy memories and things.8.In his words.B.True or False Statements.1—8: FTFF TTFTC.Discuss with your classmates what message is hidden in Gentleman Jim’s recording.D.Listen to the 2nd part of the policeman’s discussion and list all the things they feel unusualabout Gentleman Jim’s recording.1.Jim keeps telling his wife to play the message over and over again.2.Jim tells his wife that she’ll find something comforting.3.Jim keeps saying ―very beautiful‖ over and over again.4.The speech doesn’t sound natural.E.Listen to Gentleman Jim’s recording again and work out the message.Answer: There are 2 gold bricks in the garden under the big red rose tree.Lesson 7Section ITask 1: Learning a Foreign LanguageA.Multiple Choice. 1—4: bcaaB.True or False Questions. 1—4: FTTFC.Give brief answers to the following questions.1.Albert Humphries.2.Balham, London.3. 4 years.4.He has been going to an evening class and has watched quite a lot of the BBC televisionprogrammes.5.They use a different book in the class.6.They make the same mistakes as he does.7.It means being able to put together the right groups of words and to say them in a reasonablyaccurate way.Task 2: In the LibraryA.Multiple Choice. 1—6: bbcacaB.True or False Questions. 1—6: TTFTFTC.Give brief answers to the following questions.1.Round the corner.2. A 20p a day fine for each book.3.Tahiti.4.No.D.Blank-filling.1. 5 pounds, you damage them, entitles you, 2 records at a time, everything available, be muchmore popular than.2.telephone to renew the books.3.we get back, worth all the bother, some paperbacks in the airport, I’ve been such a nuisance. Section IITask 1: Lessoned World CollegesA.Give brief answers to the following questions.1.On the phone.2.Some information about the college.3.Robert Creighton.4.Julian’s friend in Spain.5.English.6.No. There are scholarships for all colleges, but parents will have to pay too.7.Yes. But academic ability is not the only thing important. Personal qualities will also be considered.8.Maturity, the ability to get on well with people from different countries.B.Blank-filling.1.the line, put you through to2.Pacific College, French, may be taught in Italian3.painting and modern dancing4.probably, the staff at the college, special activities, theatre studies, environmental work,take partTask 2: I Remember …A.Multiple Choice. 1—6: baabcaB.True or False Questions. 1—8: TTTF FTTTLesson 8Section ITask 1: TwinsA.Multiple Choice.1—6: acbcabB.Blank-filling.Name: Laura and SarahSex: femaleSimilarities: 1. blonde2. brown eyes3. same height4. same weight5. same size6. same shoesDifferences: 1. Laura is single, but Sarah has a well-fed happy husband and 4 healthy children.2. When Laura was learning to type, Sarah was washing up.3. When Laura was writing articles for the school newspaper, Sarah was knitting.4. When Laura was in Panama, doing her first job for Lessoned Information Services,Sarah was having her second child.C.True or False Questions.1—2: TFTask 2: Genetic Make-upA.Give brief answers to the following questions.1.Alan and Barbara.2.At lunch time.3.An article about twins and coincidences.4.because it suggests criminals are born and not made.5.Somebody was born with the potential to become a criminal.6.The ones that regard crime as a way of life and see the police as enemy.7.Similar qualities are necessary to become a successful criminal or a first-class policeman.8.Men who might easily be in jail.B.Fill in the blanks with information about the twins.1.bound to act in a particular way.2. a particular set of genes, potential criminal, brought up in a particular way3.get bored with, want action, pretty strong charactersSection IITask 1: Can I Take a Message?A.Multiple Choice. 1—2: acB.Blank-filling.1.Message 1:Caller’s name: Mary RobertsCaller’s number: 772-1852Message: Call back at that number till 12:30 or between 2 and 5 this afternoon.2.Message 2:Caller’s name: Mr. BrownCaller’s number: 743-9821Message: Cancel the lunch appointment for tomorrow noon, because he is out of town for a while. Please call and reschedule.3.Message 3:Caller’s name: Mrs. TurnerMessage: She won’t be home until 8 o’clock. She’s working late.4.Message 4:Caller’s name: WendyMessage: Ticket for Puerto Rico is booked. That’s Pan Am Flight 226, leaving Tuesday the 12that 8 am. Tickets will be sent over later this afternoon.5.Message 5:Caller’s name: Juan SalvadeMessage: He’ll call back about the meeting next Wednesday.C.Blank-filling.1.May I take a message?2.out of town, offer my apologies to, have him call me3.just a minute, can I hold you for a second?4.holdingTask 2: Night FlightA.True or False Questions. 1—6: FTTFTFB.Multiple Choice. 1—8: bacba cbcC.Blank-filling.1.dramatically, moaning and groaning, doubled up, unconscious2.at the controls, shaking slightly3.on the horizon, the lights of the runway, beyond the city4.thump, hit the tarmac, raced along, to a haltD.Answer the following questions.1.She discovered that two passengers had been sick.2.Because the captain was lying behind the door unconscious.3.Because she was afraid that would cause a general panic.4.When the plane had circled over Brisbane Airport for over half an hour.Lesson 9Section IWilling to TrainA.True or False Questions. 1—4: TTFTB.Fill in the blanks with information about Catherine based on her own statement.Name: Catherine HuntQualifications: 1. qualifications from school, very good results2. certificates for ballet and for playing the pianoInterests: 1. tennis2. swimming3. travelling4. talking to peopleIntelligence: reasonably intelligentC.Give brief answers to the following questions1.Dancing and music2. A good girl. A bit lazy and disorganized sometimes, but very bright.3.Be a teacher or a vet.4.Because she believes that Cathy likes working with young children and looking after sickanimals.5.She wants to talk to Cathy, not her mother.6.No. she is bright enough to be a vet and wants to find something different from school work.7.Yes, if it is for something useful.8.Nursing, because she has good qualifications in English and Maths.9.Very hard work, not very pleasant sometimes.10.At first she is afraid she is not good enough. Later she thinks she should enjoy that.plete the following sentences.1. a little girl, very keen on, a music teacher or something, to train for, the right job2.to lessons, six, I suppose, for the rest of, music, lonely3.France, the school choir, talking to people, real interests4.being a hairdresser, people, do something properly, very worthwhile5.do look after, looked after, run over by a car, mind, too worriedSection IITask 1: How Do Others Think of My Job?A.Fill in the following chart.B.Give brief answers to the following questions.1.Clever, artistic, very noisy.2.To Mr. S. Andrews.3.The company does put Mr. or Ms. In front of the names on its departmental list4.Nursing. Being a male nurse, he has more contact with the patients and a long termresponsibility for their welfare.5.They travel and have wife at every port.6.No.7.She is learning a lot about hair and how to get along with people and is gaining confidence.8.She will be able to start her own business and earn five times as much as the teachers.Task 2: Job StereotypesA.True or False Questions. 1—6: TFTFTFB.Multiple Choice. 1—8: abaab cbbC.Re-list the professions in the survey, beginning with the one that the children took as the mostfavorite.1. lawyer 6. civil engineer2. accountant 7. electrical engineer3. physicist 8. mechanical engineer4. biologist 9. Sales representative5. economist 10. estate agentD.Blank-filling.1.―dirty job‖, ―low status‖, ―subordinate‖, take orders, give orders2.interesting, well paidLesson 10Section ITask 1: News Summary 1A.True or False Questions. 1—5: FFTFTB.Blank-filling.1.the local British Steel Corporation’s headquarters, closure plans2.doctors, nurses and other staff, grown even faster3.another 31 million pounds, poorer areas, regional development fund, 13.5 million pounds, 10million pounds, industrial improvement, road works4.17, 5, 2, 2, landed illegally, the first 9 months, 7 more5.derailed local train, disrupted rail services, the south of EnglandTask 2; News Summary 2A.Multiple Choice. 1—4: bcacB.Answer the following questions briefly.1. A double-barrelled.2.The girl’s brother.3.When the girl was being overpowered by police officers.4.Into the ceiling.5. A 23-year-old electronics worker and a 55-year-old housewife.6.They are doing well.7. 2 months ago.8.125 pounds with 25 pounds costs.9. A woman was killed when a chimney on a house collapsed and 2 men were killed when theircar crashed into a fallen tree.10.More high winds and rain.Section IITask 1: British NewspapersA.True or False Questions. 1—4: FTTFB.Multiple Choice. 1—3: babC.Fill in the blanks with information about Professor Hill’s favourite paper.News: (1) Political matters are covered in full.(2) The editorial column may support government policy on one issue and oppose it onanother.Book Reviews: a whole page for it.Art: a whole page for the latest happenings in the theatre, the cinema and the world of art.Economics: (1) Stock Exchange prices are quoted daily.(2) Exchange rates of the world’s major currencies are reported daily.Sports: The correspondents are among the best.Reader’s Letters: The standard is first–class.Task 2: EccentricityA.Answer the following questions.1. A person who behaves in a totally different manner from those in the society he lives in.2.Not specifically.3.He used to share his house openly with the strangest animals and sample them as food.4.The hermit.B.True or False questions. 1—8: FFTT TTFFC.Fill in the blanks.1.touch his food, wrap, in a tissue, picking, up, a barber, too often, grew down to his waist。
英语中级听力参考答案Answer Keys to Listen to This: 2Edited by莫显良、马军军、张凤英、陈燕L 1L 2L 3L 4L 5L 6L 7L 8L 9L 10 L 11L 12L 13L 14L 15L 16L 17L 18L 19L 20 L 21L 22L 23L 24L 25L 26L 27L 28L 29L 30 L 31L 32L 33L 34L 35L 36Lesson 1Section ITask 1: This Is Your Life!A.Choose the best answer (a, b or c) to complete each of the following statements.1—6: caacbaB.True or False Questions.1—6: TFFFFTC.Identification.(1)—(b), (2)—(d), (3)—(f), (4)—(g), (5)—(a), (6)—(c), (7)—(e)plete the following résumé for Jason Douglas.Name: Jason DouglasFormer name: Graham SmithProfession: actorDate of birth: July 2, 19471952: started school1958: moved to Lane End Secondary School1966: went to the London School of Drama1969: left the London School of Drama1973: went to Hollywood1974: were in a movie with Maria MontroseTask 2: What Are Your Ambitions?A.Give brief answers to the following questions.1.Radio Station QRX.2.For a survey.3.Four.4.Six.5.(1) What’s your name?(2) What do you do for a living?(3) What do you do for fun?(4) What’s the most exciting thing that’s happened to you recently?(5) Who do you admire most in this world?(6) What do you want to be doing five years from now?B.Fill in the following chart with answers that each interviewee gives to the questions.Section IIA.Choose the best answer (a, b or c) for each of the following questions.1—6: abaccbB.True or False Questions.1—4: FTFFC.Fill in the following chart with information about the journey the Roman army madeaccording to Trevor.Designation: D CompanyNumber of men: one hundred and moreJourney: from France to BritainMeans of transcript: boatWeather conditions: stormyFood: cat foodDrink: rain waterConditions of weapons after landing: uselessFighting: noneEquipment lost or damaged: boat lost, guns full of water, supplies of wine lostSoldiers killed or wounded: about ten survivors, all others drowned or killed by coldD.Point out what is not true in Trevor’s story.The following did not exist in Roman times:petrol, newspaper, matches, trousers, tinned food, taps, guns, wine bottles.50 BC could not appear on a coin. 50-55 BC is counting backwards.E.Fill in the blanks according to what you hear on the tape.1.terrible, stormy, or more of us, shut in, so bad, sick, stuffy.2.pushed up onto the sands, climbed out, jumping into the, struggling to the, up to my shoulder,freezing.3.came and took us away, joined, going into the camp, a hot meal, clean clothes, given our pay. Section IIITask 1: Learning to Predict1.Answer: trying to write a letterReason: The speaker’s question suggests he needs a quiet surrounding to do something.2.Hint: the first speaker is a guest complaining about the conditions of Room 43 which is asingle room. The second speaker is a hotel clerk who suggests that the guest move to a double room.Answer: is the only single room available at the momentReason: The phrase “I’m afraid” often suggests a negative or unsatisfying answer.3.Answer: Where on earth did you get it?Reason: The second speaker’s surprised tone shows that the money is out of her expectation and she must be curious about how it is gained.4.Answer: You mustn’t discriminate against someone just because they are married.Reason: The word “but” suggests an opposite meaning.5.Answer: I wouldn’t mind being a prince.Reason: The man’s questioning tone shows he doesn’t agree with the woman.6.Answer: I’m not a workaholic.Reason: The word “but” suggests an opposite meaning.7.Answer: he had been.Reason: “But” and “possibly” both give some hint.Task 2: DictationPassage 1: The KnowledgeBecoming a London tax i driver isn’t easy. In order to obtain a licence to drive a taxi in London, candidates have to pass a detailed examination. They have to learn not only the streets, landmarks and hotels, but also the quickest way to get there. This is called “The Knowledge” by London Cab drivers and it can take years of study and practice to get ‘The Knowledge’. Candidates are examined not only on the quickest routes but also on the quickest routes at different times of the day. People who want to pass the examination spend much of their free time driving or even cycling around London, studying maps and learning the huge street directory by heart.Passage 2: The UndergroundTravelling on the London underground (the ‘tube’) presents few difficulties for visitors because of the clear colour- coded maps. It is always useful to have plenty of spare change with you because there are often long queues at the larger stations. If you have enough change you can buy your ticket from a machine. You will find signs which list the stations in alphabetical order, with the correct fares, near the machines. There are automatic barriers which are operated by the tickets. You should keep the ticket, because it is checked at the destination.Lesson 2Section ITask1: Film EditingA.True or False Questions.1—4: TFTFB.Fill in the following blanks to give a clear picture of what needs to be done before a film isready for distribution.1. The assistant:a. “Synching up” which means matching sound and pictures according to the numbers stampedalong the edge of the film and sound tape.b. “Logging” which means recording the detail version of the film and the sound in a log book.2. The film editor:a. Make a first selection of the best takes.b. Prepare a “rough cut”– an initial version of the film.c. Prepare the “fine cut”– the final form of the film.3. Others:a. Approve the fine cut.b. “Dubbing” which means voices, music, background noises and sometimes special effects areput together.c. The “neg”cutters cut the original negatives on the film so that these match the edited filmexactly.Task 2: A Vision of the FutureA.Choose the best answer for each of the following questions.1—6: abacccB.True of False Questions.1—4: TFTFC.Fill in the blanks to give a clear picture of the problems New York faces in the movie.1.40 million2.have no apartment, sleep on the steps of the building, crawl over sleeping people to get inside.3.nothing will grow, they never see the sun.4.soylent: soylent red, soylent yellow, and soylent green. 2, soybeans, soylent green, oceanplants.5.90 degree.6.electricity, ride bicycles to make it.Section IITask 1: American IndiansA.Answer the following questions briefly.1.1492.2.He thought that he had arrived in India.3.They were kind to them and wanted to help.4.(1) They wanted bigger farms and more land for themselves; (2) More immigrants came fromEurope.5.It was their mother. Everything came from and went back to their mother. And it was foreverybody.6.They started fighting back.7.By 1875 the Indians had lost the fight and had to live in “reservations”.8.The Indians are bad and the White man is good and brave in Hollywood films.B.Choose the best answer for each of the following questions.1—4: acbcTask 2: New AustraliansA.Identification:1.(1)—(d), (2)—(b), (3)—(a), (4)—(c)2.(a) more than 15 million,(b) 160, 000,(c) the year 1851,(d) 700, 000B.True or False questions.1—6: FTFFTTC.Fill in the blanks with events connected with the following time expressions.1.Italiansa.the 1850s and 1860s: Different states in Italy were fighting for independence and someItalians went to Australia for political reasons. Some others went there for gold.b.1891: The first group of 300 Italians went to work in the sugar-cane fields of northernAustralia.c.The end of the 19th century: Some good Italian fishermen went to western Australia.2.Greeksa.1830: The first Greeks went to work in vineyards in south-eastern Australia.b.The 1860s; There were about 500 Greeks in Australia.c.1890; There were Greek Cafes and restaurants all over Sydney and out in the countryside.d.After WWII: Many Greeks arrived in Australia.Section IIITask 1: Learning to Predict1.Answer: It’s good exercise. Keeps you fit.Reason: The word “yeah”suggests that the boy will say something in agreement with the woman’s comment.2.Answer: We turn the music up really loud and start dancing.Reason: The phrase “why not” suggests that the boys will simply dance in the street.3.Answer: They can’t do it like me yet.Reason: The word “but” suggests an opposite meaning.4.Answer: It’s a very old book.Reason: The word “actually” also suggests an opposite meaning.5.Answer: Write down your address and I’ll get the boy to bring them round.Reason: The conversation takes place in a store. If the store owner agrees to deliver the goods, the only thing he wants to know will be the address of the customer.6.Answer: Tell us all about it over dinner.Reason: The woman sounds very much interested in the man’s experience. So she will certainly ask the man to tell her something about it.Task 2: DictationThe Foolish FrogOnce upon a time a big, fat frog lived in a tiny shallow pond. He knew every plant and stone in it, and he could swim across it easily. He was the biggest creature in the pond, so he was very important. When he croaked, the water-snails listened politely. And the water-beetles always swam behind him. He was very happy there.One day, while he was catching flies, a pretty dragon-fly passed by. ‘You’re a very fine frog,’ she sang, ‘but why don’t you live in a bigger pond? Come to my pond. You’ll find a lot of frogs there. You’ll meet some fine fish, and you’ 11 see the dangerous ducks. And you must see our lovely water-lilies. Life in a large pond is wonderful!’‘Perhaps it is rather dull here,’ thought the foolish frog. So he hopped after the dragon-fly.But he didn’t like the big, d eep pond. It was full of strange plants. The water-snails were rude to him, and he was afraid of the ducks. The fish didn’t like him, and he was the smallest frog there. He was lonely and unhappy.He sat on a water-lily leaf and croaked sadly to himself, ‘I don’t like it here. I think I’ll go home tomorrow.’But a hungry heron flew down and swallowed him up for supper.Lesson 3Section ITask 1: I Don’t See It That WayA.Conversation 1:1.Choose the best answer for each of the following statements.(1) — (2): ba2.Give brief answers to the following questions.(1)About 6 months ago.(2)It is defective and has ruined 4 of the customer’s favorite cassettes.(3) 6 months.(4)10 days ago.3.Blank-filling.(1)bend the rule, make an exception for, make an exception for(2)adding insult to injury, make good on(3)brought it in, hold me to, onB.Conversation 2:1.Multiple choice. (1) — (2): ba2.True or False Questions. (1) — (4): FTTTC.Conversation 3:1.Give brief answers to the following questions.(1)Single.(2) 5 years.(3)He has been loyal to the company and worked quite hard.(4)Asking for a raise.(5)Bob does his job adequately, but he doesn’t do it well enough to deserve a raise.(6)Take more initiative and show more enthusiasm for the job.(7)To quit his job.(8)That’s a decision Bob will have to make for himself.Task 2: marriage CustomsA.Blank-filling.Speaker: Professor Robin StuartTopic: Marriage customs in different parts of the world; romantic business; arranged marriage; on the day of the wedding; arranged marriages; to have a look at one another; call the whole thing off; the wedding goes ahead; several wives.Conclusion: just as much chance of bringing happiness to the husband and wife as the Western systems of choosing marriage partners.B.True or False Questions. 1 — 3: TFTSection IITask 1: At the Dentist’sA.Multiple Choice. 1 — 4: baccB.True of False Questions. 1 — 6: FTFFTTTask 2: HiccupsA.Give brief answers to the following questions.1.He wants her to help him stop his hiccups.2. 3 hours.3.Everything he can think of.4.She’ll give the man 5 pounds if he hiccups again.5.The man has stopped hiccupping and owes Rosemary 5 pounds.B.Identification.(1) —(b), (2) —(d), (3) —(e), (4) —(a), (5) —(c)Section IIITask 1: Learning to Predict1.Answer: the Chinese then?Reason: “What about” suggests an alternative.2.Answer: they’ll still be hot when you get back.Reason: The woman’s words suggest that the shop is very close to their home.3.Hint: The woman is asking the man to buy a pack of fish and chips from a nearby shop.Answer: there’s a queue.Reason: The phrase “not if” suggests a condition that hinders the fulfillment of an action.4.Answer: a good idea.Reason: The word “yes” shows an agreement.5.Answer: being a machine for that money.Reason: “I wouldn’t mind” suggests that the man will do what the woman doesn’t want because of certain attractive conditions.6.Answer: I want to play drums.Reason: The earlier sentence suggests that the man does not play drum for money.Consequently the explanation must be that he enjoys playing it.Task 2: DictationSleepIt’s clear that eve ryone needs to sleep. Most people rarely think about how and why they sleep, however. We know that if we sleep well, we feel rested. If we don’t sleep enough, we often feel tired and irritable. It seems there are two purposes of sleep: physical rest and emotional and psychological rest: We need to rest our bodies and our minds. Both are important in order for us to be healthy. Each night we alternate between two kinds of sleep: active sleep and passive sleep. The passive sleep gives our body the rest that’s needed and prepares us for active sleep, in which dreaming occurs.Throughout the night, people alternate between passive and active sleep. The brain rests, then it becomes active, then dreaming occurs. The cycle is repeated: the brain rests, then it becomes active, then dreaming occurs. This cycle is repeated several times throughout the night~. During eight hours of sleep, people dream for a total d one and half hours on the average.Lesson 4Section ITask 1: Weather ForecastA.Multiple Choice. 1 — 2: acB.Fill in the following chart.Task 2: The 5 O ’clock News A. Fill in the following chart.B. Give brief answers to the following questions based on the news report.1. It was closed down by government authorities.2. Testing confirmed that the town had been poisoned be the dumping of toxic chemicals in towndumps.3. 3 weeks ago.4. 200.5. Headaches, stomachaches, faintness and dizziness.6. Toxic wastes had leaked into the ground and contaminated the water supply.7. All the residents should leave the area, until the chemical company responsible for the toxicwaste can determine whether the town can be cleaned up and made safe again. C. True of False Questions.1—6: FTTFFTD. Fill in the following blanks (based on the news report).Teams PlayingResult (1) Mexico — France 7 to 6 (2) Canada — Argentina 3 to 3 (3) Italy — Haiti(with 30 minutes left to go)2 to 1Section IITask 1: What Do You Like for Entertainment?A.Blank-filling.Reporter: Deborah TylerInterviewee: Students of the Brooklyn Academy of Dramatic ArtsMajor: Benny Gross —— pianoKimberley Martins —— modern danceB.Fill in the following chart about how often Benny and Kimberley go to the eight forms ofartistic entertainment.C.Rearrange the forms of artistic entertainment that Benny and Kimberley like, beginning withthe form that each one likes best.Benny: (3)—(1)—(4)—(6)—(2)—(8)Kimberley: (2)—(4)—(1)—(7)—(3)—(8)Task 2: Are You a Heavy Smoker?A.True or False Questions. 1—6: TFTTFTB.Multiple Choice. 1—6: cbcbacC.Blank-filling.Name: Doris BradleySex: femaleAge: 32Amount: 3 packets of 20 a weekFirst experience:Time: at the age of 17Place: at a partyOffered by: boyfriend, not husbandFeeling; awfully grown-upLater: started smoking 2 or 3 a day and gradually increased.Experience of giving up smoking: twice1. Time: 6 months before getting marriedReason: saving upResult: only cut it down from 30 a day, still smoked a little2. Time: when expecting a babyReason: according to doctor’s adviceResult: gave up completely for 7 or 8 months and took it up a couple of weeks after the baby was born, because the baby was being bottle fed.Time when she smokes most:1. watching TV2. reading books3. in company4. with friendsTime when she never smokes:1. doing the housework2. on an empty stomachSection IIITask 1: Learning to Predict1.Answer: They’d be exhausted at the end of each performance.Reason: “Otherwise” suggests a result of the opposite condition.2.Answer: I enjoyed it very much.Reason: “Apart from that I must say” often suggests an opposite statement to earlier comments.3.Answer: I stayed up late to finish it.Reason: “And” suggests that the speaker would finish the book at one sit.4.Answer: the book never really got started at all.Reason: After an opinion of agreement, the phrase “in fact” suggests a further comment; the expression “it’s only honest to say” usually introduces a confession- something whichis probably not as good as the one mentioned.5.Answer: I tend to skip parts that don’t really hold my interest.Reason: “Otherwise” sugges ts a result of the opposite condition.6.Answer: it was rather long.Reason: “I must admit” suggests an agreement to the other person’s opinion.Task 2: DictationBooks Belong to the PastSir,I visited my old school yesterday. It hasn’t changed in thirty years. The pupils were sitting in the same desks and reading the same books. When are schools going to move into the modern world? Books belong to the past. In our homes radio and television bring us knowledge of the world. We can see and hear the truth for ourselves. If we want entertainment most of us prefer a modern film to a classical novel. In the business world computers store information, so that we no longer need encyclopaedias and dictionaries. But in the schools teachers and pupils still use books. There should be a radio and television set in every classroom, and a library of tapes and records in every school. The children of today will rarely open a book when they leave school. The children of tomorrow won’t need to read and Write at all.M. P. MillerLondonLesson 5Section ITask 1: An Unpleasant TripA.Give brief answers to the following questions.1.The Isle of Wight.2.They were not pleased with their hotel.3.He decided to write to the Manager of Happytours.4. A travel Agency.5.The hotel and travel arrangements.6.They will never book any future holidays through Happytours.B.Fill in he blanks with the words used in the brochure and by Mr. Wilson to describe the hoteland travel arrangement.Task 2: At the Travel AgencyA.Multiple Choice. 1—6: acbbcaB.True or False Questions. 1—6: TFTTFTC.Fill in the blanks with the two things that Miss Bush will do.1.her two friends, to stop over with her on the way back.2.Mr. Adams to stop with her in Cairo.Section IIA Saturday AfternoonA.Identification.Name IdentificationGillian Dr. Carmichael’s new research assistantDr. Carmichael the president of St. Alfred’s HospitalMaurice Featherstone the gardener of the hospitalB.Multiple Choice. 1—6: cbaacaC.True or False Questions. 1—8: FFTF TFTTD.Fill in the blanks with information about Maurice.Name: Maurice FeatherstoneSex: maleAge: oldAppearance: clear, blue, honest eyes; white hair and a pinkish complexionTemperament: gentle and mild-manneredLength of stay in the hospital: 35 yearsReasons for entering the hospital:1.When he was 17, he burnt down his school.2.Over the next few years, there were a number of mysterious fires in his neighborhood.ter he tried to set fire to the family mansion.Visits from family members: No.Bills: paid on time.E.Blank-filling.1.slightly uneasy, unlocked the gates, waved her through2.withdrawn, depressed, normal, kept locked up, all of them, too dangerous to live in normalsociety.3.with the staff, a surprise, let him go out for the afternoon, flower show, quite excited, a birthdaycake, decorated the lounge.Section IIITask 1: Learning to Predict1.Answer: he fails to employ the correct question form.Reason: “Consequently” suggests a result of the facts mentioned earlier.2.Answer: difficulties may still arise.Reason: “even when” suggests that in spite facts, something else still exists.3.Answer: the student may not have clearly heard what was said.Reason: “In other words” is often followed by an explanation in clearer and easier words.4.Answer: may feel angry at receiving such orders.Reason: “However” suggests an opposite fact.5.Answer: whether crops should be used to produce food or should be used to produce fuel.Reason: “That is” is also followed by an explanation.6.Answer: a small industrial sector.Reason: “At the same time” suggests the coexistence of two things. Here prediction is also based on common knowledge.Task 2: DictationThe School Holidays Are Too LongToday the children of this country have at last returned to work. After two months’ holiday pupilshave started a new term. How many adults get such long holidays? Two to four weeks in the summer and public holidays--that’s all the working man gets. As for the average woman, she’s lucky to get a holiday at all. Children don’t need such long holidays. In term-time they start work later and finish earlier than anyone else.In the holidays most of them get bored, and some get into trouble. What a waste! If their overworked parents were given more free time instead, everyone would be happier.This isn’t just a national problem either--it’s worldwide.Dates may be different from country to country, b ut the pattern’s the same. Why should children do half as much work and get twice as much holiday as their parents?Lesson 6Section ITask 1: In the Path of the EarthquakeA.True or False Questions. 1—6: FTFTFFB.Map 1 is a layout of the Skinners’ farm. Mark out the plants and buildings in the map. Then inmap 2 draw a new plan of the Skinners farm after the quake.Map 1:1. farm house2. garden path3. cypress trees4. rose garden5. eucalyptus trees6. raspberry patch7. cow shed8. granaryMap 2:Task 2: A Funny Thing Happened to Me.A.Multiple Choice. 1—6: cabbcaB.Give brief answers to the following questions.st Friday.2.He was a student.3.In London.4.By taxi.5.The taxi got stuck in a traffic jam and the train had left by the time he got to the station.6. 1 hour.7.The station buffet.8.An evening newspaper, the “Standard”.9.At a table near the window.10.He did the crossword puzzle.C.True or False Questions.1—6: FFTTFTD.Blank-filling.1.reached across, opened, took one, dipped, into, popped it into.2.get up and go, pushed back, stood up, hurried out of.Section IIConsolidation: A Very Beautiful StoryA.Give brief answers to the following questions.1. A tape from Gentleman Jim.2.Yesterday.3.Jim’s wife.4.There was a message hidden in the tape.5.Half the police force in London and 3 experts.6.Nothing had been found yet.7.Happy memories and things.8.In his words.B.True or False Statements.1—8: FTFF TTFTC.Discuss with your classmates what message is hidden in Gentleman Jim’s recording.D.Listen to the 2nd part of the policeman’s discussion and list all the things they feel unusualabout Gentleman Jim’s recording.1.Jim keeps telling his wife to play the message over and over again.2.Jim tells his wife that she’ll find something comforting.3.Jim keeps saying “very beautiful” over and over again.4.The speech doesn’t sound natural.E.Listen to Gentleman Jim’s recording again and work out the message.Answer: There are 2 gold bricks in the garden under the big red rose tree.Section IIITask 1: Listening to Predict1.Answer: a glance at the headings of sections or sub-sections will show the order in which theitems are introduced.Reason: “In addition” is followed by a supplementary idea. Prediction here is also based on common knowledge.2.Answer: providing a summary which can be re-read later.Reason: “As well as” is often followed by an idea of the same importance as the one before “as well as”.3.Answer: may not appear in a bibliography.Reason: “However” suggests an opposite idea.4.Answer: (no more than try to cover the most important ones here.Reason: “Therefore” suggests a result.5.Answer: it doesn’t.Reason: “Unfortunately” suggests that something opposite to one’s expectation will happen.6.Answer: it’s still important.Reason: “Though” suggests that in spite of the fact that follows, something still happens. Task 2: DictationSign LanguageDeaf people, people who can’t hear, are still able to communicate quite well with a special language. It’s called sign language.The speaker of sign language uses hand gestures in order to communicate. Basic sign language has been used for a long, long time, but sign language wasn’t really developed until about 250 years ago. In the middle of the 1700s a Frenchman named Epée developed sign language. Epée was able to speak and hear, but he worked during most of his life as a teacher of deaf people in France. Epée developed a large number of vocabulary words for sign language. Epée taught these words to his deaf students. Epée’s system used mostly picture :image signs. We call them picture image signsbecause the signs create a picture. For example, the sign for sleep is to put both hands together, and then to place the hands flat against the right side of your face, and then to lower your head slightly to the right. This action was meant to show the position of sleep. So we call it a picture image sign.Lesson 7Section ITask 1: Learning a Foreign LanguageA.Multiple Choice. 1—4: bcaaB.True or False Questions. 1—4: FTTFC.Give brief answers to the following questions.1.Albert Humphries.2.Balham, London.3. 4 years.4.He has been going to an evening class and has watched quite a lot of the BBC televisionprogrammes.5.They use a different book in the class.6.They make the same mistakes as he does.7.It means being able to put together the right groups of words and to say them in a reasonablyaccurate way.Task 2: In the LibraryA.Multiple Choice. 1—6: bbcacaB.True or False Questions. 1—6: TTFTFTC.Give brief answers to the following questions.1.Round the corner.2. A 20p a day fine for each book.3.Tahiti.4.No.D.Blank-filling.1. 5 pounds, you damage them, entitles you, 2 records at a time, everything available, be muchmore popular than.2.telephone to renew the books.3.we get back, worth all the bother, some paperbacks in the airport, I’ve been such a nuisance.Section IITask 1: Lessoned World CollegesA.Give brief answers to the following questions.1.On the phone.2.Some information about the college.3.Robert Creighton.4.Julian’s friend in Spain.。
listen_to_this2_英语中级听力2(16-25课)谜底及原文[新版]英语中级听力参考答案Answer Keys to Listen to This: 2Edited by莫显良、马军军、张凤英、陈燕Lesson 16 Section One: Men and WomenIII. Exercises:A. 1. F 2. F 3. F 4. TB. (1) --- (d, i, m); (2) --- (a, c, e, j, l); (3) --- (h);(4) --- (f); (5) --- (b, g); (6) --- (k); C. 1. all her up about, your side of2. for sale3. house-trained, reasonably trained, two years, two weeks, needs training, within4. 25p, all a man was worth5. staring me in the face, blew me top6. blamed me for7. egged her on8. came off, barged into9. blown over, a world of goodSection Two:Task 1: The Suffragette MovementA. 1. c 2. a 3. a 4.bB. 1. She would feel highly insulted.2. They got the right to vote and some of them became members of the Parliament.3. They have been useful in helping women in their jobs in other vocations.4. She didn‟t want to vote.5. She feels all right joining men in their world of work and sport. But she is happy toleave politics to men.C. 1. approve of2. a good laugh3. In the long term4. interfered with, a few boos and there, clapping5. different to, at their own job6. a great thrill on the race trackTask 2: Sex DiscriminationA. 1. T 2. F 3. T 4. T 5. F 6. FB. 1. sit under, fall off, got to stand up2. being discriminated against, at least to some extent3. proved wrong, removes, valid grounds for4. stamp it out5. a great shame, go roundSection Three:Recognizing the Main Idea:1. Reading for a particular purpose2. Why does a student come to the library3. Writing is the most difficult skill4. How to write a correct sentence5. Simplicity --- a quality much admired6. Participating in group discussionsLesson 17Section One:Task 1: News in BriefA. 1. c 2. a 3. a 4. b 5. b 6. cB. 1. F 2. T 3. F 4. T 5. F 6. FC. (1) --- (g, o, p); (2) --- (d, h, n); (3) --- (c, i); (4) --- (e,g);(5) --- (b, f, m); (6) --- (a, k, q); (7) --- (l); Task 2: Old Age and HealthA. 1. a 2. c 3. aB. 1. becoming senile, very few people2. 15 %, over 65,3. 80 %, over 65, at least4. watch out for5. immune system, to decline, lungs, the senses, the brain, skin6. benefit more from, the eldlySection Two:Task 1: At a Small RestaurantA. (1) c (2) b (3) a (4) aB. (1) F (2) T (3) F (4) T (5) T (6) F (7) T (8) F (9) TC. (1) He has trouble finding good, reliable domestic staff for his restaurant.(2) Because more and more organizations wanted to see his demonstration.(3) He wanted to combine the demonstration with a permanent establishment.(4) He decided to choose this remote place because he wanted to havea restaurant forthose who love peace and quiet and beautiful scenery and who also appreciate goodfood.Task 2: The Tree Climbers of PompeiiA. 1. A man was half way up the tree.2. Ruins.3. To collect pine cones.4. The processed them into some sauce which is used in Italian cooking.5. No. The foreman bought a licence from the State for the right to go round placescollecting pine cones.6. The tree climbers.B. 1. halfway up this tree, his hands, his feet, 20 or 30 feet up2. more or less, a rather middle-aged monkey, of 503. extremely sought after, in the food industry4. good at, um recognizing, ready, a bit hard5. sit around, fell downSection Three:Recognizing the Main Idea:1. Expressing neutrality after being nominated2. Making a promise of what to do when elected the President3. We should go to the moon.4. Commemorating a person5. The problem of the black people should be considered6. Why I want to resign.Lesson 18Section One: Energy CrisisA. 1. b 2. b 3. a 4. c 5. cB. Pros:a. It is the only alternative when fossil fuel is running out.b. It can produce electricity for our daily use.c. Working at a nuclear power station is far safer than working down a coal-mine oron a North Sea oil-rig.d. It can create its own fuel and burn its waste.Cons:a. Nobody can imagine what will happen if there is a nuclear accident.b. Radioactivity causes cancer and may affect future generations.c. There is no technology for absolutely safe disposal of nuclear waste.d. Terrorists could hold the nation to ransom if they captured a reactor.e. Nuclear energy is expensive, dangerous, evil, and most of all, absolutely unnecessary.C. 1. 450 years, 50 years, oil, 30 years2. go back to the Stone Age, turn our backs on3. active for thousands of years4. 25 years, 26 …retired‟ reactors5. the sun, the waves, the wind, survive unless, working on,6. and there are a lot of them about, none of us, at night7. in the short-term; rely on; oil, coal and gas; conservation of present resources;research into new forms of powerSection Two:Task 1: The Years to Come (I)A. 1.b 2.a 3.c 4.a 5.c 6.bB. 1.T 2.F 3.T 4.F 5.F 6.T 7.T 8.FC. 1. 216,000; ninety percent; in the poorest countries2. at least, alternative sources of energy3. Due to, half of the population4. species, the loss of their habitat5. within five or ten years, save the earthTask 2: The Years to Come (II)A. 1. A space station to be launched towards the end of the 1990s.2. No, eleven other nations have agreed to contribute a few of the station‟s many parts.3. In the space.4. Eight.5. A dream that has been cherished for 120 years --- a colony in space.6. Because they want to use the space station to discover how to establish healthy andproductive habitation in space.B. a. a room for each crew memberb. a showerc. a toiletd. exercise equipmente. a washing machinef. a pantryg. a sick bayh. a television seti. videoj. a telephonek. a computerC. 1. celestial body, a shining star, 38 degrees north or south of the equator2. Twenty trips, two rockets, piece by piece, a low orbit3. 250 miles above the Earth, bolt together, many components, batch of parts, in 1995Section Three:Recognizing the Main Idea:1. I shall return.2. Hoping for a country of equality3. Commemorating a person4. I won‟t send you to any foreign wars.5. Why I resign6. I‟m innocent of the charges against me.Lesson 19Section oneTask 1:A: 1. a 2. c 3. cB:1. to live and relax in, living in the cramped little houses and flats, the Second World War2. are growing up, and very small children demand a room of their own3. may demand an extra room to treat their friends privately4. restaurant and transport, people are beginning to entertain and dine at home, whichrequires a larger dinning roomC:1. a. situated in the business heart of the city so quiet and fairly free from traffic in theevenings.b. several theaters opened recentlyc. suitable for those who like living high up since accommodation being situated mostly is tower blocks2. a. favored mostly by upper middle class families who prefer a detached house.b. a walled garden surrounding the house and ensuring privacy3. a. suitable for those who are not interested in gardeningb. grand mansions to be chosenc. a wonderful view of the Thamesd. only a few minutes away from London‟s theaters and shopsTask 2:A:1. She is the First Lady of Jazz, the greatest blues singer the world has ever before.2. To learn dancing. But she failed.3. All by accident. A pianist discovered her talent.4. no, at first she had to learn a lot to because a professional musician; then she has toknow a lot about the public and changing fashions in order to keep her top position.5. She chooses what she wants to sing. Anything she does sing is a part of her life.6. She feels she has always been her true self in her music. And she‟s singing from deepdown inside herself.B: 1. T 2. F 3. F 4. T 5. F 6. 6 7. T 8.TC:1. slower, lighter, how I feel, the same way twice, a mixed up sort of thing.2. stay at the top, out of work, back on the streets, you started from3. up to a point.4. made a fortune from my music, any damn thingSection two:Task 1: Setting up a home computerA: 1. b 2. a 3. c 4. aB: 1. T 2. F 3. F 4. T 5.F 6. TTask 2: My computer makes me sickA: 1. c 2. a 3. c 4. bB:1. NO, but statistic figures at least suggest that there is a cause of alarm.2. The terminal should be placed where there is another source of light; no blank wallbehind the terminal so that the operator has a chance to rest from time to time, get upregularly and walk about the room.3. Those who use computers for interest or pleasure in their own homes.4. a. constipation because of long hours spend in sedentary inactivity;b. backache due to crouching over an inconveniently positioned key boardc. a general sense of fatigue owing to having puzzled over a problem for longer thanwas sensible.5. The condition worsened.6. Because of the electrostatic field of the video screen attracting dust from the atmosphere,which irritates exposed skin.7. A generation of short-sighted, constipated, hunched migraine sufferers with skinproblems and circulatory troubles.C:1. there is an alternative source of light from that of the screen.2. frequently, if possible, by looking at something in the distance to give them a changefrom the close focus used on the screen.3. the screen is properly tuned, for a shaky or fuzzy image can cause nausea or headaches.4. and working area are so designed that you are sitting in a comfortable position, notscrewed up or bent over.5. regularly and walk about the room. Better go out into the fresh air occasionally.D:1. working capacity, intellectual capacity, dangers, benefits2. the UK, 800 pregnant women, computer terminals, a major part, no less than 36%, severeabnormality3. control group, the same age, computer terminals, severe abnormalities, 16%Section three: note-taking (omitted)Section IIIStudy skills: Note-taking 3Main ideas and Supporting Details:A. Suggested Abbreviations:heart disease: heart dis. cholesterol: chol. Cigarette: cigat. exercise: ex. especially: esp. similarity: simty. difference: diffr. financial: finan. responsibility: respty. hostility: hosty.B. The main idea and supporting details of each paragraph you’ve heard.1. Main idea: companions to heart dis.Supporting details: a. high level of fat and chol in the dietb. cigat. Smokingc. physical inactivityd. over weighte. high blood pressure1. Main idea: Bert‟s life after workSupporting details: a. physical ex.b. reading (1) history (2) historical novelsc. gardeningd. fixing things around the house —a complete tool collection2. Main idea: simities. & differs. Between Adam & Berta. simties (supporting details)(1) married(2) grown children(3) in mid-50s(4) successful in business careers(5) hard workers(6) in a position of finan. Security & respty. In their jobs(7) professional lives not easyb. diffrs. (supporting details)(1) For Adam: life—full of tension & hosty.(2) For Bert: life—more enjoyable3. main idea: Adam‟s use of timeSupporting details: a. fighting timeb. if delays in schedule, angry & hostilec. resents people not on time & not moving as quicklyd. fill up every minute with productive activityLesson 20Section one:Task 1: Fixing an appointmentA. 1 a 2 c 3 bB. 1. the last short-list interview,to dine with the Japanese agent,a meeting with the lawyer about planning permissiona tutorial with Maria Rosa2. a committer meetingBusiness with the examining boardA meeting with Johan Blun‟s parentsC: 1. is to be postponed to Wednesday or later in the week2. is to be put off till Wednesday morning3. at 2.30 on Monday afternoonTask 2: Last of the airshipsA: 1. c 2. b 3. a 4. b 5. cB: 1. F 2. F 3. T 4. T 5. F 6. T 7. T 8.T C: 1. 97, 35, 622. 50, 253. 245, 41, 125km/hr, less than half the time4. 1,000 passengers, circus animals and cars, 19375. 1.5 million, 13,100D: 1. was pressurized in order to prevent gas from ever entering it.2. were chained to the tables3. were searched for matches before entering the ship4. was made of special materials, which had been chosen to minimize the possibility ofaccidental sparks, which might cause an explosion. Section twoTask 1: Looking for a flatA: 1. she is trying to find a flat in the advertisements in those newspapers.2. No, she is going to share it with two other girls.3. Because Peggy and her roommates would be out all day.4. Because they wouln‟t have to walk at all and would get to work quickly5. Because they are the girls who will share the flat with Peggy. B: 1. a kitchen and a bathroom, two bedrooms and a sitting room. 2.,21 a week, ,for each3. on the No. 10 Bus in Woodside RoadTask 2: Moving inA: 1. a 2. c 3. b 4. b 5. a 6. a 7. cB: two chairs, one bed, a wardrobe, a desk, the chest of drawers, the stereo, the amplifier,the TV set, two speakers, the bookcase, the table lamp C: 1. a bad size room2. on earth, nothing much, most of it out, hurts3. you mean, enough space, two feet, stick out too much4. sort that outSection threeB:1. Landsats used to find fresh watera. in dry area: black=water, red =healthy plantsb. save time by looking at photosth2. 5 sue: warn us of natural disas.a. forest firesb. melting ice near the N & S polesc. lines where ethqs. might happens 3. solar energya. clean & unoimitedb. solar energy on US: 700 times our consp.c. fed. Goe. Spending mns. of dollars to change sunshine into ecol. energyd. y. 2000: solar techgy. supplying 25 %. Of us energy needs. 4. cost of solar heating systema. cost: all parts & their instl.b. cost for a 3-bedroom house: $7,000 to $12,000c. one-time cost financed over many yearsd. more exp. Than heating with oil at present prices.Lesson 21 Section ITask 1: Talking about televisionA: 1. c 2. a 3. cB: 1. F 2. F 3. T 4. T 5. F 6. T 7. F 8. F C: 1. a bit of2. came on, over, protest3. a shame, switch on4. turned overTask 2: GamesA: 1. c 2. a 3. cB: 1. T 2. F 3. T 4. T 5. F 6. T 7. T C: Harry Carter: 2, 3, 5; Mark Smith: 1, 4, 6 D: 1. just shakes, in bewilderment, finish it off2. in with a good chance3. nervous against, took the lead4. have a quick work withSection twoA: 1. b 2. a 3. b 4. cB: 1. totally opposed to reducing the size of the Olympic Games in any way at all.2. in favor of removing from the Games those sports which are well resented in otherinternational contests in the media, such as boxing and football3. a. attention to be focused on the more unusual sports which do not normally gain somuch international attentionb. in favor of a true test of individual stamina instead of skills4. agreeing to keep some of the team gamesC: 1. T 2. T 3. F 4. F 5. T 6. FD: 1. boxing; 2. football; 3. fencing; 4. archery; 5. hockey; 6. sailing7. pentathlon; 8. canoeing; 9. basketball; 10. volleyball E: 1. reject, out of hand, discuss it2. in terms of, financial demands, subjected to3. soar phenomenally, state4. am inclined5. horse-riding, axe6. strand of thought, individual excellence, cutting out, featured Section three1. Houses were not perm.a. summer: mesa top, made of poles & brushb. winter: caves in cliffs for warmth & protc.2. experimenting with pottinga. mixed clay with water: fell apart when driedb. added grass, straw or pieces of bark to clay: full of holes when burntc. added sand or volcanic grit to clay, baked: success 3. advantages of potsa. added beans to dietb. stored food & water over long periodsc. life easier, effort spent on other devlps.4. improvement in housinga. one-story row houseb. made of stonec. forming a village: several hund. Rooms with 1,000 peopled. these houses & Indians: Pueblo = village in SpanishLesson 22Section one: Class in Britain and AmericaA: 1. c 2. b 3. c 4. c 5. aB: 1. F 2. T 3. T 4. F 5. TC:1. really stick together, in the middle of , muddy fields, came upon, 9,000 Range Rovers2. a very point, in fact, fitting into either of these two extremes3. the upper class, extraordinary, totally uninhibited, passingmoral judgments on themSection twoTask 1: Autobiography: Seminole Girl (I)A: 1. a 2. c 3. a 4. cB:1. He was the only person outside her family who helped her and encouraged her to get aneducation.2. She graduated from it as one of the first two Indians pupils in that school.3. She learned bookkeeping.4. She was suspicious of the speaker at first but began to trust her gradually.5. She felt hurt and hard being an Indian.C: 1. F 2. T 3. T 4. FTask 2: Autobiography: Seminole Girl (II)A: 1. b 2. a 3. b 4. c 5. aB: 1. T 2. F 3. T 4. T 5. F 6. T 7. F 8. TC:1. upset, jump at the change to come back2. work out, failed, I would really feel bad3. important, what I look for in a friend, their education, for enjoyment of, understanding4. understand, on the outside, enough to be friendsSection three1. Causes of the f. concl.a. science students: scient. Terms ----non meaningb. way st‟s taught Eng. E.g. list of vocab.2. every word with exact transl. equiv. in their own lang.a. no equiv. word need phraseb. 1 word in st‟s lang. : 2 words in Eng. E.g. do & makec. meaning covered by 1 word in st‟s lang.: wider or narrower than Eng. E.g. colord. translation =diff. to do well; can‟t be done by match single wordse.g. computer scientists3. best way to increase vocab.a. observation: unknown word, observed in contextb. imitation: use word in appro. Contextc. repetition: make it enter st‟s active vocab.Lesson 23 Section ITask !: Finding a JobA.1. Pamela Gable2. 147Collington Road, Croydon3. 24680084. July 8. 19635. personal assistant to the manager of a modeling agency6. French and Italian7. none8.8,000 poundsB.1 a. keeping the accountsb. writing the lettersc. answering the telephoned. looking after bookings and engagementse. taking care of all the models who work for the agencyf. keeping those models happy, lending an understanding ear to their heartaches2.a. meeting peopleb. transporting them from one point to anotherc. making sure they are comfortabled. a bit of telephoning3. TFFTFFTTask 2: HpnosisA.: abacbB. TFFFTFTC.1. her eighth birthday2. a Tuesday3. those who were present4. the names of those present5. the clothes those present wore6. the presents she received7. her address at that timeD.1. In order to reach a person‟s mind; as much as possible; concentrate; my voice2. not to think about; just to accept it3.rely on the thinking of a clock,; boring, repetitive sounds; stare at some subjects in theroom4. back to their first yearSection IIA. caabcB. FTTFTTC. (1) d (2)c (3)a, bD.1. few months alone; 250 c.v.s.; 80 percent; inadequate in a way2. condense; go too far the other way; my recruiting role; thirty pages long3. unreadable; the essence of ; neat, legible; accurate4. have no place in letters of application; hearing about; stated, quite bluntly; more moneyto pay; No boss; such directnessSection III1. Answer: main idea with supporting details;Reason: “we may note” for main idea“he once said‟& “once” for supporting details 2. An swer: main ideaReason: the first important point to note 3. Answer: supporting detailReason “a good illustration of”4. Answer: main ideaReason: “what I want to emphasize to you is this”Lesson 24 Section ITask 1: I.Q. TestsA. abbbcaB. TTFFC.1. are not easy to measure; appreciated2. spotted sufficiently early; developed; in my view; unhappy adults; they are best at3. never get the chance; an instrument; artists; composers; pleasure and satisfaction; tunes;in keyTask 2A.a a hobby that a child takes pleasure inb. a child‟s vocabularyc. a child‟s languaged. a child‟s experiencee. children to become independent in lifeB. TFFTTFC.1. mystery books2. science fiction3. newspapers and magazines4. signs5. textbooks6. comic booksD..a poor student; a comic book; he‟s reading something; the back of the cereal box; wouldn‟ttake it away; a step to go on; limit; certain areas; stifle; stop reading completelySection IITask 1A. acbbaB. TFFC. A mathematical way; are related to each other; good at one; good at the other; poor atone; poor at the other; they are not related to each other; go together; has nothing to dowithTask 2A. cbaaB. FTTFFTTSection III1. Main idea: “this is an important point”2. supporting detail: “one of the most dramatic example of”3. digression“by the way”4. digression“although it is not strictly related to our topic”Lesson 25Section OneA.1. Italy and France.2. A camping holiday.3. The tickets, traveler‟s checks, all the currency, passports, tickets for the boat, and a card.4. At the campsite.5. With this card, she could get reduced rates for becoming a member of a camping club.6. No, not at all.7. Yes.8. The two brothers at the cycle repair shop.B. TTFFFFTFC.1. Having a lot of trouble finding the passports and this and that.2. Fueling their car.3. Finding their money, traveler‟s checks and passports missing.4. Asking the officer for help.5. Distracting the man‟s attention and searching through the papers for the folder.6. Managing to discover what an old lady was sitting on.7. Recovering what they had lost.Section TwoTask 1: parking in LondonA. bacaB. FTT FFFC. 1. dying to tell2. sensible, on the outskirts of3. cross4. went on and on atTask 2A. baccbB. TFTTT FTC. 1. has quite a hold on2. the powered remains of the dead Egyptians, many magical soells3. their curiosity and their consciencesSection ThreeStudy Skills: Note-0taking 4A. cbcabaB. number; no. credential: cred. over: + equipment‟ equip.burglary; burg electrical: elect previous jewellery: jewlC. Title: burglariesI. A. about every two minutesB. no. of burg. rise by about 50,000 or 40,000 this y.C. last y. household burg. losses rise by 27% over the previous y. to 139.2 mm.pounds.II.A. when you are out or away, or be careless about security1. lock or close doors & windows2. less than 20 minutesB.1. a. milk bottles left on the doorstepb. papers by the front doorc. garage doors wide opend. curtains drawn in the daytime & undrawn at night2. a programmed time-switchC.1. their cred.2. don‟t let then inD.1. serial nos. on elect. equip. radios, TVs.2. valuable jewl. antiques or picturesE. Crime prevention office, further tipsIII. cost of security systems and value of property to be protected Lesson 16BBC interviewer: It's probably true to say that women have been affected more than men by recent changes in the way we actually live. Over a hundred years ago people began to question whether men werereally so much wiser, stronger, altogether more sensible and simplybetter than women as the laws of the country made out. In the end women got the vote, and very recently—in 1975—the Sex Discrimination Act was passed.But it's doubtful whether legislation has changed the way we women actually think. A lot is heard about the dilemma of women's two roles. How can a woman be a wife and mother and have a full-time job as well?In this new series we are going to try to find out what people are really thinking and feeling about this problem, and how it affects their personal lives. In the studio with me today is Mrs. Marina Spiden, who recently experienced the problem of having too much to do at home. With Mrs. Spiden are her husband Brian, her mother Mrs. Vera Cresswell and Mr. Tom Penman, their local newsagent. Mrs. Spiden ... tell us what happened will you?Mrs. Spiden: Well ... you just said it ... the problem of having too much to do at home. I do an afternoon job so I have to get the housework and shopping ... er ... done in the morning. And one morning you see ... er ... I just couldn't stand it no more. The ... the baby was bawlingher head off. Jimmy—that's my little boy ... he's two—had thrown the radio out of the window ...Interviewer: Really!Mrs. Spiden: Yes really ... The dog ... you know ... had made a ...a mess on the carpet. And there was Brian—my husband—there he was snoring a way on the settee. Didn'tlift a finger he didn't ... not a finger to help me.Mr. Spiden: Now now love ... Don't get all her up about it again ...I mean that's your side of the story ...Interviewer: Of course Mr. Spiden ... We'd like to hear your side later. So ... what did you do about it?Mrs. Spiden: Well ... What do you do when you've got somethingyou're fed up with or ... or ... you don't want like ... You put them up for sale don't you? And that's exactly what I did do. Put the whole damn lot of 'em up for sale.Interviewer: The family you mean.Mrs. Spiden: Yes ... the family ... including the dog.Mr. Penman: She came into my shop that very day and 'Tom', she says, 'I've just about had enough of it. I'm sick of slaving for a husband what sleeps all day. So here you are,' she says. And she gives me an advert on a card to put up in the window of the paper shop.Interviewer: What did it say?Mr. Penman: I've got it here.Interviewer: Read it for us will you?Mr. Penman: 'For Sale—One house-trained dog, one reasonably trained boy of twoyears, one baby girl of two weeks and one man that needs training. Any offers considered. Apply within.'Interviewer: And were there any offers?Mrs Cresswell: It was me what wrote that advert. You see ... I live with Marina and Brian ...Mr Spiden: She and her dog ...Mr. Penman: Oh yes. Caused quite a stir it did. I should say I had inquiries from ... from about a couple of dozen housewives in all.Interviewer: And what offers did they make?Mr. Penman: Well one woman offered 25p. She said that's all a man was worth.Interviewer: What about you Mr. Spiden? What was your reaction to the advertisement?Mr. Spiden: Well ... you can imagine ... My wife told me about it but I thought she was joking. Little did I realize ... I was bloody furious when I saw it there. It wasn't till next morning. We live upstairs of the paper shop and when I come down to go on my milkround ...Interviewer: Yes of course ... you're a milkman ...Mrs. Spiden: That's right. I often have a dekko at the adverts Tom puts up. And when I saw that one sort of ... staring me in the face ...I nearly blew me top.Interviewer: What did you do?Mrs. Cresswell: I'll tell you what he did. He came and blamed me for everything.Mr. Spiden: Well it was you ... wannit ... that egged her on. It was you that wrote the advert.Mr. Penman: It was a big joke really. Just that Brian took it allthe wrong way. Know what he did? When he come off his milk round he barges into the shop and he says, 'Take that bloody advert out and put one in for me. Ask some kind taxi-driver or someone to come and take my mother-in-law back to Birmingham.'Mr. Spiden: But it's all blown over now ... innit. It's done us a world of good in a way. We're the best of friends again. Even the dog started to ...Interviewer: I'm going to talk to you now about the suffragette movement. Were you yourself ever a suffragette?Mrs. Bruce: No, I did not approve of suffragettes. I did not want to have the vote. I felt the man of the house should be in charge of that section. And the woman, of course, to look after the home and the children. I think that voting was unnecessary, at that time. But I'm not going to say now, that perhaps it has had its advantages.Interviewer: How common was your attitude at the time that the suffragettes were being militant?Mrs. Bruce: Oh, I was very much against them. I'd be highly insulted if anybody called me a suffragette. I remember walking with my governess down Downing Street just past Number 10 and they chained themselves to。
英语中级听力参考答案Answer Keys to Listen to This: 2L 1 L 2 L 3 L 4 L 5 L 6 L 7 L 8 L 9 L 10 L 11 L 12 L 13 L 14 L 15 L 16 L 17 L 18 L 19 L 20 L 21 L 22 L 23 L 24 L 25 L 26 L 27 L 28 L 29 L 30 L 31 L 32 L 33 L 34 L 35 L 36Lesson 1Section ITask 1: This Is Your Life!A.Choose the best answer (a, b or c) to complete each of the following statements.1—6: caacbaB.True or False Questions.1—6: TFFFFTC.Identification.(1)—(b), (2)—(d), (3)—(f), (4)—(g), (5)—(a), (6)—(c), (7)—(e)plete the following résumé for Jason Douglas.Name: Jason DouglasFormer name: Graham SmithProfession: actorDate of birth: July 2, 19471952: started school1958: moved to Lane End Secondary School1966: went to the London School of Drama1969: left the London School of Drama1973: went to Hollywood1974: were in a movie with Maria MontroseTask 2: What Are Your Ambitions?A.Give brief answers to the following questions.1.Radio Station QRX.2.For a survey.3.Four.4.Six.5.(1) What’s your name?(2) What do you do for a living?(3) What do you do for fun?(4) What’s the most exciting thing that’s happened to you recently?(5) Who do you admire most in this world?(6) What do you want to be doing five years from now?B.Fill in the following chart with answers that each interviewee gives to the questions.Section IIA.Choose the best answer (a, b or c) for each of the following questions.1—6: abaccbB.True or False Questions.1—4: FTFFC.Fill in the following chart with information about the journey the Roman army madeaccording to Trevor.Designation: D CompanyNumber of men: one hundred and moreJourney: from France to BritainMeans of transcript: boatWeather conditions: stormyFood: cat foodDrink: rain waterConditions of weapons after landing: uselessFighting: noneEquipment lost or damaged: boat lost, guns full of water, supplies of wine lost Soldiers killed or wounded: about ten survivors, all others drowned or killed by coldD.Point out what is not true in Trevor’s story.The following did not exist in Roman times:petrol, newspaper, matches, trousers, tinned food, taps, guns, wine bottles.50 BC could not appear on a coin. 50-55 BC is counting backwards.E.Fill in the blanks according to what you hear on the tape.1.terrible, stormy, or more of us, shut in, so bad, sick, stuffy.2.pushed up onto the sands, climbed out, jumping into the, struggling to the, upto my shoulder, freezing.3.came and took us away, joined, going into the camp, a hot meal, clean clothes,given our pay.Section IIITask 1: Learning to Predict1.Answer: trying to write a letterReason: The speaker’s question suggests he needs a quiet surrounding to do something.2.Hint: the first speaker is a guest complaining about the conditions of Room 43which is a single room. The second speaker is a hotel clerk who suggests that the guest move to a double room.Answer: is the only single room available at the momentReason: The phrase “I’m afraid” often suggests a negative or unsatisfying answer.3.Answer: Where on earth did you get it?Reason: The second speaker’s surprised tone shows that the money is out of her expectation and she must be curious about how it is gained.4.Answer: You mustn’t discriminate against someone just because they are married.Reason: The word “but” suggests an opposite meaning.5.Answer: I wouldn’t mind being a prince.Reason: The man’s questioning tone shows he doesn’t agree with the woman.6.Answer: I’m not a workaholic.Reason: The word “but” suggests an opposite meaning.7.Answer: he had been.Reason: “But” and “possibly” both give some hint.Task 2: DictationPassage 1: The KnowledgeBecoming a London taxi driver isn’t easy. In order to obtain a licence to drive a taxi in London, candidates have to pass a detailed examination. They have to learn not only the streets, landmarks and hotels, but also the quickest way to get there. This is called “The Knowledge” by London Cab drivers and it can take years of study and practice to get ‘The Knowledge’. Candidates are examined not only on the quickest routes butalso on the quickest routes atdifferent times of the day. People who want to pass the examination spend much of their free time driving or even cycling around London, studying maps and learning the huge street directory by heart.Passage 2: The UndergroundTravelling on the London underground (the ‘tube’) presents few difficulties for visitors because of the clear colour- coded maps. It is always useful to have plenty of spare change with you because there are often long queues at the larger stations. If you have enough change you can buy your ticket from a machine. You will find signs which list the stations in alphabetical order, with the correct fares, near the machines. There are automatic barriers which are operated by the tickets. You should keep the ticket, because it is checked at the destination.Lesson 2Section ITask1: Film EditingA.True or False Questions.1—4: TFTFB.Fill in the following blanks to give a clear picture of what needs to be done beforea film is ready for distribution.1. The assistant:a. “Synching up”which means matching sound and pictures according to the numbersstamped along the edge of the film and sound tape.b. “Logging” which means recording the detail version of the film and the soundin a log book.2. The film editor:a. Make a first selection of the best takes.b. Prepare a “rough cut”– an initial version of the film.c. Prepare the “fine cut”– the final form of the film.3. Others:a. Approve the fine cut.b. “Dubbing” which means voices, music, background noises and sometimes specialeffects are put together.c. The “neg” cutters cut the original negatives on the film so that these matchthe edited film exactly.Task 2: A Vision of the FutureA.Choose the best answer for each of the following questions.1—6: abacccB.True of False Questions.1—4: TFTFC.Fill in the blanks to give a clear picture of the problems New York faces in the movie.1.40 million2.have no apartment, sleep on the steps of the building, crawl over sleeping peopleto get inside.3.nothing will grow, they never see the sun.4.soylent: soylent red, soylent yellow, and soylent green. 2, soybeans, soylentgreen, ocean plants.5.90 degree.6.electricity, ride bicycles to make it.Section IITask 1: American IndiansA.Answer the following questions briefly.1.1492.2.He thought that he had arrived in India.3.They were kind to them and wanted to help.4.(1) They wanted bigger farms and more land for themselves; (2) More immigrantscame from Europe.5.It was their mother. Everything came from and went back to their mother. And itwas for everybody.6.They started fighting back.7.By 1875 the Indians had lost the fight and had to live in “reservations”.8.The Indians are bad and the White man is good and brave in Hollywood films.B.Choose the best answer for each of the following questions.1—4: acbcTask 2: New AustraliansA.Identification:1.(1)—(d), (2)—(b), (3)—(a), (4)—(c)2.(a) more than 15 million,(b) 160, 000,(c) the year 1851,(d) 700, 000B.True or False questions.1—6: FTFFTTC.Fill in the blanks with events connected with the following time expressions.1.Italiansa.the 1850s and 1860s: Different states in Italy were fighting for independenceand some Italians went to Australia for political reasons. Some others wentthere for gold.b.1891: The first group of 300 Italians went to work in the sugar-cane fieldsof northern Australia.c.The end of the 19th century: Some good Italian fishermen went to westernAustralia.2.Greeksa.1830: The first Greeks went to work in vineyards in south-eastern Australia.b.The 1860s; There were about 500 Greeks in Australia.c.1890; There were Greek Cafes and restaurants all over Sydney and out in thecountryside.d.After WWII: Many Greeks arrived in Australia.Section IIITask 1: Learning to Predict1.Answer: It’s good exercise. Keeps you fit.Reason: The word “yeah” suggests that the boy will say something in agreement with the woman’s comment.2.Answer: We turn the music up really loud and start dancing.Reason: The phrase “why not” suggests that the boys will simply dance in the street.3.Answer: They can’t do it like me yet.Reason: The word “but” suggests an opposite meaning.4.Answer: It’s a very old book.Reason: The word “actually” also suggests an opposite meaning.5.Answer: Write down your address and I’ll get the boy to bring them round.Reason: The conversation takes place in a store. If the store owner agrees to deliver the goods, the only thing he wants to know will be the address of the customer.6.Answer: Tell us all about it over dinner.Reason: The woman sounds very much interested in the man’s experience. So she will certainly ask the man to tell her something about it.Task 2: DictationThe Foolish FrogOnce upon a time a big, fat frog lived in a tiny shallow pond. He knew every plant and stone in it, and he could swim across it easily. He was the biggest creature in the pond, so he was very important. When he croaked, the water-snails listened politely. And the water-beetles always swam behind him. He was very happy there.One day, while he was catching flies, a pretty dragon-fly passed by. ‘You’re a very fine frog,’she sang, ‘but why don’t you live in a bigger pond? Come to my pond. You’ll find a lot of frogs there. You’ll meet some fine fish, and yo u’ 11 see the dangerous ducks. And you must see our lovely water-lilies. Life in a large pond is wonderful!’‘Perhaps it is rather dull here,’ thought the foolish frog. So he hopped after the dragon-fly.But he didn’t like the big, deep pond. It was full o f strange plants. The water-snails were rude to him, and he was afraid of the ducks. The fish didn’t like him, and he was the smallest frog there. He was lonely and unhappy.He sat on a water-lily leaf and croaked sadly to himself, ‘I don’t like it here.I think I’ll go home tomorrow.’But a hungry heron flew down and swallowed him up for supper.Lesson 3Section ITask 1: I Don’t See It That WayA.Conversation 1:1.Choose the best answer for each of the following statements.(1) — (2): ba2.Give brief answers to the following questions.(1)About 6 months ago.(2)It is defective and has ruined 4 of the customer’s favorite cassettes.(3) 6 months.(4)10 days ago.3.Blank-filling.(1)bend the rule, make an exception for, make an exception for(2)adding insult to injury, make good on(3)brought it in, hold me to, onB.Conversation 2:1.Multiple choice. (1) — (2): ba2.True or False Questions. (1) — (4): FTTTC.Conversation 3:1.Give brief answers to the following questions.(1)Single.(2) 5 years.(3)He has been loyal to the company and worked quite hard.(4)Asking for a raise.(5)Bob does his job adequately, but he doesn’t do it well enough to deservea raise.(6)Take more initiative and show more enthusiasm for the job.(7)To quit his job.(8)That’s a decision Bob will have to make for himself.Task 2: marriage CustomsA.Blank-filling.Speaker: Professor Robin StuartTopic: Marriage customs in different parts of the world; romantic business; arranged marriage; on the day of the wedding; arranged marriages; to have a look at one another; call the whole thing off; the wedding goes ahead; several wives.Conclusion: just as much chance of bringing happiness to the husband and wife as the Western systems of choosing marriage partners.B.True or False Questions.1 — 3: TFTSection IITask 1: At the Dentist’sA.Multiple Choice. 1 — 4: baccB.True of False Questions. 1 — 6: FTFFTTTask 2: HiccupsA.Give brief answers to the following questions.1.He wants her to help him stop his hiccups.2. 3 hours.3.Everything he can think of.4.She’ll give the man 5 pounds if he hiccups again.5.The man has stopped hiccupping and owes Rosemary 5 pounds.B.Identification.(1) — (b), (2) — (d), (3) — (e), (4) — (a), (5) — (c) Section IIITask 1: Learning to Predict1.Answer: the Chinese then?Reason: “What about” suggests an alternative.2.Answer: they’ll still be hot when you get back.Reason: The woman’s words suggest that the shop is very close to their home.3.Hint: The woman is asking the man to buy a pack of fish and chips from a nearbyshop.Answer: there’s a queue.Reason: The phrase “not if” suggests a condition that hinders the fulfillment of an action.4.Answer: a good idea.Reason: The word “yes” shows an agreement.5.Answer: being a machine for that money.Reason: “I wouldn’t mind”suggests that the man will do what the woman doesn’t want because of certain attractive conditions.6.Answer: I want to play drums.Reason: The earlier sentence suggests that the man does not play drum for money.Consequently the explanation must be that he enjoys playing it.Task 2: DictationSleepIt’s clear that everyone needs to sleep. Most people rarely think about how and why they sleep, however. We know that if we sleep well, we feel rested. If we don’t sleep enough, we often feel tired and irritable. It seems there are two purposes of sleep: physical rest and emotional and psychological rest: We need to rest our bodies and our minds. Both are important in order for us to be healthy. Each night we alternate betweentwo kinds of sleep: active sleep andpassive sleep. The passive sleep gives our body the rest that’s needed and prepares us for active sleep, in which dreaming occurs.Throughout the night, people alternate between passive and active sleep. The brain rests, then it becomes active, then dreaming occurs. The cycle is repeated: the brain rests, then it becomes active, then dreaming occurs. This cycle is repeated several times throughout the night~. During eight hours of sleep, people dream for a total d one and half hours on the average.Lesson 4Section ITask 1: Weather ForecastA.Multiple Choice. 1 — 2: acB.Fill in the following chart.Task 2: The 5 O’clock NewsA.Fill in the following chart.B.Give brief answers to the following questions based on the news report.1.It was closed down by government authorities.2.Testing confirmed that the town had been poisoned be the dumping of toxic chemicalsin town dumps.3. 3 weeks ago.4.200.5.Headaches, stomachaches, faintness and dizziness.6.Toxic wastes had leaked into the ground and contaminated the water supply.7.All the residents should leave the area, until the chemical company responsiblefor the toxic waste can determine whether the town can be cleaned up and made safe again.C.True of False Questions. 1—6: FTTFFTD.Fill in the following blanks (based on the news report).Teams Playing Result(1) Mexico — France7 to 6(2) Canada — Argentina 3 to 3(3) Italy — Haiti2 to 1(with 30 minutes left to go)Section IITask 1: What Do You Like for Entertainment?A.Blank-filling.Reporter: Deborah TylerInterviewee: Students of the Brooklyn Academy of Dramatic ArtsMajor: Benny Gross —— pianoKimberley Martins —— modern danceB.Fill in the following chart about how often Benny and Kimberley go to the eight formsof artistic entertainment.C.Rearrange the forms of artistic entertainment that Benny and Kimberley like,beginning with the form that each one likes best.Benny: (3)—(1)—(4)—(6)—(2)—(8)Kimberley: (2)—(4)—(1)—(7)—(3)—(8)Task 2: Are You a Heavy Smoker?A.True or False Questions. 1—6: TFTTFTB.Multiple Choice. 1—6: cbcbacC.Blank-filling.Name: Doris BradleySex: femaleAge: 32Amount: 3 packets of 20 a weekFirst experience:Time: at the age of 17Place: at a partyOffered by: boyfriend, not husbandFeeling; awfully grown-upLater: started smoking 2 or 3 a day and gradually increased.Experience of giving up smoking: twice1. Time: 6 months before getting marriedReason: saving upResult: only cut it down from 30 a day, still smoked a little2. Time: when expecting a babyReason: according to doctor’s adviceResult: gave up completely for 7 or 8 months and took it up a couple of weeks after the baby was born, because the baby was being bottle fed.Time when she smokes most:1. watching TV2. reading books3. in company4. with friendsTime when she never smokes:1. doing the housework2. on an empty stomachSection IIITask 1: Learning to Predict1.Answer: They’d be exhausted at the end of each performance.Reason: “Otherwise” suggests a result of the opposite condition.2.Answer: I enjoyed it very much.Reason: “Apart from that I must say” often suggests an opposite statement to earlier comments.3.Answer: I stayed up late to finish it.Reason: “And” suggests that the speaker would finish the book at one sit.4.Answer: the book never really got started at all.Reason: After an opinion of agreement, the phrase “in fact”suggests a further comment; the expression “it’s only honest to say” usually introducesa confession- something which is probably not as good as the one mentioned.5.Answer: I tend to skip parts that don’t really hold my interest.Reason: “Otherwise” suggests a result of the opposite condition.6.Answer: it was rather long.Reason: “I must admit” suggests an agreement to the other person’s opinion. Task 2: DictationBooks Belong to the PastSir,I visited my old school yesterday. It hasn’t changed in thirty years. The pupils were sitting in the same desks and reading the same books. When are schools going to move into the modern world? Books belong to the past. In our homes radio and television bring us knowledge of the world. We can see and hear the truth for ourselves. If we want entertainment most of us prefer a modern film to a classical novel. In the business world computers store information, so that we no longer need encyclopaedias and dictionaries. But in the schools teachers and pupils still use books. There should be a radio and television set in every classroom, and a library of tapes and records in every school. The children of today will rarely open a book when they leave school. The children of tomorrow won’t need to read and Write at all.M. P. MillerLondonLesson 5Section ITask 1: An Unpleasant TripA.Give brief answers to the following questions.1.The Isle of Wight.2.They were not pleased with their hotel.3.He decided to write to the Manager of Happytours.4. A travel Agency.5.The hotel and travel arrangements.6.They will never book any future holidays through Happytours.B.Fill in he blanks with the words used in the brochure and by Mr. Wilson to describethe hotel and travel arrangement.Task 2: At the Travel AgencyA.Multiple Choice. 1—6: acbbcaB.True or False Questions. 1—6: TFTTFTC.Fill in the blanks with the two things that Miss Bush will do.1.her two friends, to stop over with her on the way back.2.Mr. Adams to stop with her in Cairo.Section IIA Saturday AfternoonA.Identification.Name IdentificationGillian Dr. Carmichael’s new researchassistantDr. Carmichael the president of St. Alfred’sHospitalMaurice Featherstone the gardener of the hospitalB.Multiple Choice. 1—6: cbaacaC.True or False Questions. 1—8: FFTF TFTTD.Fill in the blanks with information about Maurice.Name: Maurice FeatherstoneSex: maleAge: oldAppearance: clear, blue, honest eyes; white hair and a pinkish complexionTemperament: gentle and mild-manneredLength of stay in the hospital: 35 yearsReasons for entering the hospital:1.When he was 17, he burnt down his school.2.Over the next few years, there were a number of mysterious fires in hisneighborhood.ter he tried to set fire to the family mansion.Visits from family members: No.Bills: paid on time.E.Blank-filling.1.slightly uneasy, unlocked the gates, waved her through2.withdrawn, depressed, normal, kept locked up, all of them, too dangerous to livein normal society.3.with the staff, a surprise, let him go out for the afternoon, flower show, quiteexcited, a birthday cake, decorated the lounge.Section IIITask 1: Learning to Predict1.Answer: he fails to employ the correct question form.Reason: “Consequently” suggests a result of the facts mentioned earlier.2.Answer: difficulties may still arise.Reason: “even when” suggests that in spite facts, something else still exists.3.Answer: the student may not have clearly heard what was said.Reason: “In other words” is often followed by an explanation in clearer and easier words.4.Answer: may feel angry at receiving such orders.Reason: “However” suggests an opposite fact.5.Answer: whether crops should be used to produce food or should be used to producefuel.Reason: “That is” is also followed by an explanation.6.Answer: a small industrial sector.Reason: “At the same time” suggests the coexistence of two things. Here prediction is also based on common knowledge.Task 2: DictationThe School Holidays Are Too LongToday the children of this country have at last returned to work. After two months’ holiday pupils have started a new term. How many adults get such long holidays? Two to four weeks in the summer and public holidays--that’s all the working man gets. As for the average woman, she’s lucky to get a holiday at all. Children don’t need such long holidays. In term-time they start work later and finish earlier than anyone else.In the holidays most of them get bored, and some get into trouble. What a waste! If their overworked parents were given more free time instead, everyone would be happier.This isn’t just a national problem either--it’s worldwide.Dates may be different from country to country, but the pattern’s the same. Why should children do half as much work and get twice as much holiday as their parents?Lesson 6Section ITask 1: In the Path of the EarthquakeA.True or False Questions. 1—6: FTFTFFB.Map 1 is a layout of the Skinners’ farm. Mark out the plants and buildings in themap. Then in map 2 draw a new plan of the Skinners farm after the quake.Map 1:1. farm house2. garden path3. cypresstrees4. rose garden5. eucalyptus trees6. raspberrypatch7. cow shed8. granaryMap 2:Task 2: A Funny Thing Happened to Me. A.Multiple Choice. 1—6: cabbcaB.Give brief answers to the following questions.st Friday.2.He was a student.3.In London.4.By taxi.5.The taxi got stuck in a traffic jam and the train had left by the time he gotto the station.6. 1 hour.7.The station buffet.8.An evening newspaper, the “Standard”.9.At a table near the window.10.He did the crossword puzzle.C.True or False Questions.1—6: FFTTFTD.Blank-filling.1.reached across, opened, took one, dipped, into, popped it into.2.get up and go, pushed back, stood up, hurried out of.Section IIConsolidation: A Very Beautiful StoryA.Give brief answers to the following questions.1. A tape from Gentleman Jim.2.Yesterday.3.Jim’s wife.4.There was a message hidden in the tape.5.Half the police force in London and 3 experts.6.Nothing had been found yet.7.Happy memories and things.8.In his words.B.True or False Statements.1—8: FTFF TTFTC.Discuss with your classmates what message is hidden in Gentleman Jim’s recording.D.Listen to the 2nd part of the policeman’s discussion and list all the things theyfeel unusual about Gentleman Jim’s recording.1.Jim keeps telling his wife to play the message over and over again.2.Jim tells his wife that she’ll find something comforting.3.Jim keeps saying “very beautiful” over and over again.4.The speech doesn’t sound natural.E.Listen to Gentleman Jim’s recording again and work out the message.Answer: There are 2 gold bricks in the garden under the big red rose tree.Section IIITask 1: Listening to Predict1.Answer: a glance at the headings of sections or sub-sections will show the orderin which the items are introduced.Reason: “In addition” is followed by a supplementary idea. Prediction here is also based on common knowledge.2.Answer: providing a summary which can be re-read later.Reason: “As well as” is often followed by an idea of the same importance as the one before “as well as”.3.Answer: may not appear in a bibliography.Reason: “However” suggests an opposite idea.4.Answer: (no more than try to cover the most important ones here.Reason: “Therefore” suggests a result.5.Answer: it doesn’t.Reason: “Unfortunately” suggests that something opposite to one’s expectation will happen.6.Answer: it’s still important.Reason: “Though” suggests that in spite of the fact that follows, something still happens.Task 2: DictationSign LanguageDeaf people, people who can’t hear, are still able to communicate quite well with a special language. It’s called sign language. The speaker of sign language uses hand gestures in order to communicate. Basic sign language has been used for a long, long time, but sign language wasn’t really developed until about 250 years ago. In the middle of the 1700s a Frenchman named Epée developed sign language. Epée was able to speak and hear, but he worked during most of his life as a te acher of deaf people in France. Epée developed a large number of vocabulary words for sign language. Epée taught these words to his deaf students. Epée’s system used mostly picture :image signs. We call them picture image signs because the signs create a picture. For example, the sign for sleep is to put both hands together, and then to place the hands flat against the right side of your face, and then to lower your head slightly to the right. This action was meant to show the position of sleep. So we call it a picture image sign.Lesson 7Section ITask 1: Learning a Foreign LanguageA.Multiple Choice. 1—4: bcaaB.True or False Questions. 1—4: FTTFC.Give brief answers to the following questions.1.Albert Humphries.2.Balham, London.3. 4 years.4.He has been going to an evening class and has watched quite a lot of the BBCtelevision programmes.5.They use a different book in the class.6.They make the same mistakes as he does.7.It means being able to put together the right groups of words and to say themin a reasonably accurate way.Task 2: In the LibraryA.Multiple Choice. 1—6: bbcacaB.True or False Questions. 1—6: TTFTFTC.Give brief answers to the following questions.1.Round the corner.2. A 20p a day fine for each book.3.Tahiti.4.No.D.Blank-filling.1. 5 pounds, you damage them, entitles you, 2 records at a time, everything available,be much more popular than.2.telephone to renew the books.3.we get back, worth all the bother, some paperbacks in the airport, I’ve beensuch a nuisance.Section IITask 1: Lessoned World CollegesA.Give brief answers to the following questions.1.On the phone.2.Some information about the college.3.Robert Creighton.4.Julian’s friend in Spain.5.English.6.No. There are scholarships for all colleges, but parents will have to pay too.7.Yes. But academic ability is not the only thing important. Personal qualities will also be considered.8.Maturity, the ability to get on well with people from different countries.B.Blank-filling.1.the line, put you through to2.Pacific College, French, may be taught in Italian3.painting and modern dancing4.probably, the staff at the college, special activities, theatre studies,。
l i s t e n t o t h i s英语中级听力答案解析HUA system office room 【HUA16H-TTMS2A-HUAS8Q8-HUAH1688】英语中级听力参考答案Answer Keys to Listen to This: 2Edited by莫显良、马军军、张凤英、陈燕L 1 L 2 L 3 L 4 L 5 L 6 L 7 L 8 L 9 L 10L 11 L 12 L 13 L 14 L 15 L 16 L 17 L 18 L 19 L 20L 21 L 22 L 23 L 24 L 25 L 26 L 27 L 28 L 29 L 30L 31 L 32 L 33 L 34 L 35 L 36Lesson 1Section ITask 1: This Is Your Life!A.Choose the best answer (a, b or c) to complete each of the followingstatements.1—6: caacbaB.True or False Questions.1—6: TFFFFTC.Identification.(1)—(b), (2)—(d), (3)—(f), (4)—(g), (5)—(a), (6)—(c), (7)—(e)plete the following résumé for Jason Douglas.Name: Jason DouglasFormer name: Graham SmithProfession: actorDate of birth: July 2, 19471952: started school1958: moved to Lane End Secondary School1966: went to the London School of Drama1969: left the London School of Drama1973: went to Hollywood1974: were in a movie with Maria MontroseTask 2: What Are Your Ambitions?A.Give brief answers to the following questions.1.Radio Station QRX.2.For a survey.3.Four.4.Six.5.(1) What’s your name?6.(2) What do you do for a living?(3) What do you do for fun?(4) What’s the most exciting thing that’s happened to you recently?(5) Who do you admire most in this world?(6) What do you want to be doing five years from now?B.Fill in the following chart with answers that each interviewee gives tothe questions.Section IIA.Choose the best answer (a, b or c) for each of the following questions.1—6: abaccbB.True or False Questions.1—4: FTFFC.Fill in the following chart with information about the journey the Romanarmy made according to Trevor.Designation: D CompanyNumber of men: one hundred and moreJourney: from France to BritainMeans of transcript: boatWeather conditions: stormyFood: cat foodDrink: rain waterConditions of weapons after landing: uselessFighting: noneEquipment lost or damaged: boat lost, guns full of water, supplies of wine lostSoldiers killed or wounded: about ten survivors, all others drowned orkilled by coldD.Point out what is not true in Trevor’s story.The following did not exist in Roman times:petrol, newspaper, matches, trousers, tinned food, taps, guns, wine bottles.50 BC could not appear on a coin. 50-55 BC is counting backwards.E.Fill in the blanks according to what you hear on the tape.1.terrible, stormy, or more of us, shut in, so bad, sick, stuffy.2.pushed up onto the sands, climbed out, jumping into the, struggling tothe, up to my shoulder, freezing.3.came and took us away, joined, going into the camp, a hot meal, cleanclothes, given our pay.Section IIITask 1: Learning to Predict1.Answer: trying to write a letterReason: The speaker’s question suggests he needs a quiet surrounding to do something.2.Hint: the first speaker is a guest complaining about the conditions ofRoom 43 which is a single room. The second speaker is a hotel clerk who suggests that the guest move to a double room.Answer: is the only single room available at the momentReason: The phrase “I’m afraid” often suggests a negative orunsatisfying answer.3.Answer: Where on earth did you get it?4.Reason: The second speaker’s surprised tone shows that the money is out of her expectation and she must be curious about how it is gained. 5.Answer: You mustn’t discriminate against someone just because they aremarried.Reason: The word “but” suggests an opposite meaning.6.Answer: I wouldn’t mind being a prince.Reason: The man’s questioning tone shows he doesn’t agree with the woman.7.Answer: I’m not a workaholic.Reason: The word “but” suggests an opposite meaning.8.Answer: he had been.Reason: “But” and “possibly” both give some hint.Task 2: DictationPassage 1: The KnowledgeBecoming a London taxi driver isn’t easy. In order to obtain a licence to drive a taxi in London, candidates have to pass a detailed examination. They have to learn not only the streets, landmarks and hotels, but also the quickest way to get there. This is called “The Knowledge” by London Cab drivers and it can take years of study and practice to get ‘The Knowledge’. Candidates are examined not only on the quickest routes but also on the quickest routes at different times of the day. People who want to pass the examination spend much of their free time driving or even cycling around London, studying maps and learning the huge street directory by heart. Passage 2: The UndergroundTravelling on the London underground (the ‘tube’) presents fewdifficulties for visitors because of the clear colour- coded maps. It is always useful to have plenty of spare change with you because there are oftenlong queues at the larger stations. If you have enough change you can buy your ticket from a machine. You will find signs which list the stations in alphabetical order, with the correct fares, near the machines. There are automatic barriers which are operated by the tickets. You should keep the ticket, because it is checked at the destination.Lesson 2Section ITask1: Film EditingA.True or False Questions.1—4: TFTFB.Fill in the following blanks to give a clear picture of what needs to bedone before a film is ready for distribution.1. The assistant:a. “Synching up” which means matching sound and pictures according tothe numbers stamped along the edge of the film and sound tape.b. “Logging” which means recording the detail version of the film andthe sound in a log book.2. The film editor:a. Make a first selection of the best takes.b. Prepare a “rough cut”– an initial version of the film.c. Prepare the “fine cut”– the final form of the film.3. Others:a. Approve the fine cut.b. “Dubbing” which means voices, music, background noises and sometimesspecial effects are put together.c. The “neg” cutters cut the original negatives on the film so thatthese match the edited film exactly.Task 2: A Vision of the FutureA.Choose the best answer for each of the following questions.1—6: abacccB.True of False Questions.1—4: TFTFC.Fill in the blanks to give a clear picture of the problems New York facesin the movie.1.40 million2.have no apartment, sleep on the steps of the building, crawl oversleeping people to get inside.3.nothing will grow, they never see the sun.4.soylent: soylent red, soylent yellow, and soylent green. 2, soybeans,soylent green, ocean plants.5.90 degree.6.electricity, ride bicycles to make it.Section IITask 1: American IndiansA.Answer the following questions briefly.1.1492.2.He thought that he had arrived in India.3.They were kind to them and wanted to help.4.(1) They wanted bigger farms and more land for themselves; (2) Moreimmigrants came from Europe.5.It was their mother. Everything came from and went back to their mother.And it was for everybody.6.They started fighting back.7.By 1875 the Indians had lost the fight and had to live in“reservations”.8.The Indians are bad and the White man is good and brave in Hollywoodfilms.B.Choose the best answer for each of the following questions.1—4: acbcTask 2: New AustraliansA.Identification:1.(1)—(d), (2)—(b), (3)—(a), (4)—(c)2.(a) more than 15 million,(b) 160, 000,(c) the year 1851,(d) 700, 000B.True or False questions.1—6: FTFFTTC.Fill in the blanks with events connected with the following timeexpressions.1.Italiansa.the 1850s and 1860s: Different states in Italy were fighting forindependence and some Italians went to Australia for politicalreasons. Some others went there for gold.b.1891: The first group of 300 Italians went to work in the sugar-canefields of northern Australia.c.The end of the 19th century: Some good Italian fishermen went towestern Australia.2.Greeksa.1830: The first Greeks went to work in vineyards in south-easternAustralia.b.The 1860s; There were about 500 Greeks in Australia.c.1890; There were Greek Cafes and restaurants all over Sydney and outin the countryside.d.After WWII: Many Greeks arrived in Australia.Section IIITask 1: Learning to Predict1.Answer: It’s good exercise. Keeps you fit.Reason: The word “yeah” suggests that the boy will say something inagreement with the woman’s comment.2.Answer: We turn the music up really loud and start dancing.Reason: The phrase “why not” suggests that the boys will simply dance in the street.3.Answer: They can’t do it like me yet.Reason: The word “but” suggests an opposite meaning.4.Answer: It’s a very old book.Reason: The word “actually” also suggests an opposite meaning.5.Answer: Write down your address and I’ll get the boy to bring themround.Reason: The conversation takes place in a store. If the store owneragrees to deliver the goods, the only thing he wants to know will bethe address of the customer.6.Answer: Tell us all about it over dinner.Reason: The woman sounds very much interested in the man’s experience.So she will certainly ask the man to tell her something about it.Task 2: DictationThe Foolish FrogOnce upon a time a big, fat frog lived in a tiny shallow pond. He knew every plant and stone in it, and he could swim across it easily. He was the biggest creature in the pond, so he was very important. When he croaked, the water-snails listened politely. And the water-beetles always swam behind him. He was very happy there.One day, while he was catching flies, a pretty dragon-fly passed by.‘You’re a very fine frog,’ she sang, ‘but why don’t you live in a bigger pondCome to my pond. You’ll find a lot of frogs there. You’ll meet some fine fish, and you’ 11 see the dangerous ducks. And you must see our lovely water-lilies. Life in a large pond is wonderful!’‘Perhaps it is rather dull here,’ thought the foolish frog. So he hopped after the dragon-fly.But he didn’t like the big, deep pond. It was full of strange plants. The water-snails were rude to him, and he was afraid of the ducks. The fishdidn’t like h im, and he was the smallest frog there. He was lonely and unhappy.He sat on a water-lily leaf and croaked sadly to himself, ‘I don’t like it here. I think I’ll go home tomorrow.’But a hungry heron flew down and swallowed him up for supper.Lesson 3Section ITask 1: I Don’t See It That WayA.Conversation 1:1.Choose the best answer for each of the following statements.(1) — (2): ba2.Give brief answers to the following questions.(1)About 6 months ago.(2)It is defective and has ruined 4 of the customer’s favoritecassettes.(3)6 months.(4)10 days ago.3.Blank-filling.(1)bend the rule, make an exception for, make an exception for(2)adding insult to injury, make good on(3)brought it in, hold me to, onB.Conversation 2:1.Multiple choice. (1) — (2): ba2.True or False Questions. (1) — (4): FTTTC.Conversation 3:1.Give brief answers to the following questions.(1)Single.(2)5 years.(3)He has been loyal to the company and worked quite hard.(4)Asking for a raise.(5)Bob does his job adequately, but he doesn’t do it well enough todeserve a raise.(6)Take more initiative and show more enthusiasm for the job.(7)To quit his job.(8)That’s a decision Bob will have to make for himself.Task 2: marriage CustomsA.Blank-filling.Speaker: Professor Robin StuartTopic: Marriage customs in different parts of the world; romantic business;arranged marriage; on the day of the wedding; arranged marriages; tohave a look at one another; call the whole thing off; the wedding goesahead; several wives.Conclusion: just as much chance of bringing happiness to the husband and wife as the Western systems of choosing marriage partners.B.True or False Questions. 1 — 3: TFTSection IITask 1: At the Dentist’sA.Multiple Choice. 1 — 4: baccB.True of False Questions. 1 — 6: FTFFTTTask 2: HiccupsA.Give brief answers to the following questions.1.He wants her to help him stop his hiccups.2.3 hours.3.Everything he can think of.4.She’ll give the man 5 pounds if he hiccups again.5.The man has stopped hiccupping and owes Rosemary 5 pounds.B.Identification.(1) — (b), (2) — (d), (3) — (e), (4) — (a),(5) — (c)Section IIITask 1: Learning to Predict1.Answer: the Chinese then?2.Reason: “What about” suggests an alternative.3.Answer: they’ll still be hot when you get back.Reason: The woman’s words suggest that the shop is very close to their home.4.Hint: The woman is asking the man to buy a pack of fish and chips from anearby shop.Answer: there’s a queue.Reason: The phrase “not if” suggests a condition that hinders the fulfillment of an action.5.Answer: a good idea.Reason: The word “yes” shows an agreement.6.Answer: being a machine for that money.Reason: “I wouldn’t mind” suggests that the man will do what the woman doesn’t want because of certain attractive conditions. 7.Answer: I want to play drums.Reason: The earlier sentence suggests that the man does not play drum for money. Consequently the explanation must be that he enjoysplaying it.Task 2: DictationSleepIt’s clear that everyone needs to sleep. Most people rarely think about how and why they sleep, however. We know that if we sleep well, we feel rested. If we don’t sleep enough, we often feel tired and irritable. It seems there are two purposes of sleep: physical rest and emotional and psychological rest: We need to rest our bodies and our minds. Both are important in order for usto be healthy. Each night we alternate between two kinds of sleep: activesleep and passive sleep. The passive sleep gives our body the rest that’s needed and prepares us for active sleep, in which dreaming occurs.Throughout the night, people alternate between passive and active sleep. The brain rests, then it becomes active, then dreaming occurs. The cycle is repeated: the brain rests, then it becomes active, then dreaming occurs. This cycle is repeated several times throughout the night~. During eight hours of sleep, people dream for a total d one and half hours on the average.Lesson 4Section ITask 1: Weather ForecastA.Multiple Choice. 1 — 2: acB.Fill in the following chart.Task 2: The 5 O’clock NewsA.Fill in the following chart.B.Give brief answers to the following questions based on the news report.1.It was closed down by government authorities.2.Testing confirmed that the town had been poisoned be the dumping oftoxic chemicals in town dumps.3.3 weeks ago.4.200.5.Headaches, stomachaches, faintness and dizziness.6.Toxic wastes had leaked into the ground and contaminated the watersupply.7.All the residents should leave the area, until the chemical companyresponsible for the toxic waste can determine whether the town can be cleaned up and made safe again.C.True of False Questions. 1—6: FTTFFTD.Fill in the following blanks (based on the news report).Teams Playing Result(1) Mexico — France7 to 6(2) Canada — Argentina 3 to 3(3) Italy — Haiti2 to 1(with 30 minutes leftto go)Section IITask 1: What Do You Like for Entertainment?A.Blank-filling.Reporter: Deborah TylerInterviewee: Students of the Brooklyn Academy of Dramatic ArtsMajor: Benny Gross —— pianoKimberley Martins —— modern danceB.Fill in the following chart about how often Benny and Kimberley go to theeight forms of artistic entertainment.C.Rearrange the forms of artistic entertainment that Benny and Kimberleylike, beginning with the form that each one likes best.Benny: (3)—(1)—(4)—(6)—(2)—(8)Kimberley: (2)—(4)—(1)—(7)—(3)—(8)Task 2: Are You a Heavy Smoker?A.True or False Questions. 1—6: TFTTFTB.Multiple Choice. 1—6: cbcbacC.Blank-filling.Name: Doris BradleySex: femaleAge: 32Amount: 3 packets of 20 a weekFirst experience:Time: at the age of 17Place: at a partyOffered by: boyfriend, not husbandFeeling; awfully grown-upLater: started smoking 2 or 3 a day and gradually increased.Experience of giving up smoking: twice1. Time: 6 months before getting marriedReason: saving upResult: only cut it down from 30 a day, still smoked a little2. Time: when expecting a babyReason: according to doctor’s adviceResult: gave up completely for 7 or 8 months and took it up a couple of weeks after the baby was born, because the baby was beingbottle fed.Time when she smokes most:1. watching TV2. reading books3. in company4. with friendsTime when she never smokes:1. doing the housework2. on an empty stomachSection IIITask 1: Learning to Predict1.Answer: They’d be exhausted at the end of each performance.Reason: “Otherwise” suggests a result of the opposite condition.2.Answer: I enjoyed it very much.Reason: “Apart from that I must say” often suggests an opposite statement to earlier comments.3.Answer: I stayed up late to finish it.Reason: “And” suggests that the speaker would finish the book at one sit.4.Answer: the book never really got started at all.Reason: After an opinion of agreement, the phrase “in fact” suggestsa further comment; the expression “it’s only h onest to say”usually introduces a confession- something which is probably notas good as the one mentioned.5.Answer: I tend to skip parts that don’t really hold my interest.Reason: “Otherwise” suggests a result of the opposite condition.6.Answer: it was rather long.Reason: “I must admit” suggests an agreement to the other person’sopinion.Task 2: DictationBooks Belong to the PastSir,I visited my old school yesterday. It hasn’t changed in thirty years. The pupils were sitting in the same desks and reading the same books. When are schools going to move into the modern worldBooks belong to the past. In our homes radio and television bring us knowledge of the world. We can see and hear the truth for ourselves. If we want entertainment most of us prefer a modern film to a classical novel. In the business world computers store information, so that we no longer need encyclopaedias and dictionaries. But in the schools teachers and pupils still use books. There should be a radio and television set in every classroom, and a library of tapes and records in every school. The children of today will rarely open a book when they leave school. The children of tomorrow won’t need to read and Write at all.M. P. MillerLondonLesson 5Section ITask 1: An Unpleasant TripA.Give brief answers to the following questions.1.The Isle of Wight.2.They were not pleased with their hotel.3.He decided to write to the Manager of Happytours.4.A travel Agency.5.The hotel and travel arrangements.6.They will never book any future holidays through Happytours.B.Fill in he blanks with the words used in the brochure and by Mr. Wilson todescribe the hotel and travel arrangement.Task 2: At the Travel AgencyA.Multiple Choice. 1—6: acbbcaB.True or False Questions. 1—6: TFTTFTC.Fill in the blanks with the two things that Miss Bush will do.1.her two friends, to stop over with her on the way back.2.Mr. Adams to stop with her in Cairo.Section IIA Saturday AfternoonA.Identification.Name IdentificationGillian Dr. Carmichael’s newresearch assistantDr. Carmichael the president of St.Alfred’s Hospitalthe gardener of the hospitalMauriceFeatherstoneB.Multiple Choice. 1—6: cbaacaC.True or False Questions. 1—8: FFTF TFTTD.Fill in the blanks with information about Maurice.Name: Maurice FeatherstoneSex: maleAge: oldAppearance: clear, blue, honest eyes; white hair and a pinkish complexion Temperament: gentle and mild-manneredLength of stay in the hospital: 35 yearsReasons for entering the hospital:1.When he was 17, he burnt down his school.2.Over the next few years, there were a number of mysterious fires inhis neighborhood.ter he tried to set fire to the family mansion.Visits from family members: No.Bills: paid on time.E.Blank-filling.1.slightly uneasy, unlocked the gates, waved her through2.withdrawn, depressed, normal, kept locked up, all of them, toodangerous to live in normal society.3.with the staff, a surprise, let him go out for the afternoon, flowershow, quite excited, a birthday cake, decorated the lounge.Section IIITask 1: Learning to Predict1.Answer: he fails to employ the correct question form.Reason: “Consequently” suggests a result of the facts mentioned earlier.2.Answer: difficulties may still arise.Reason: “even when” suggests that in spite facts, something else still exists.3.Answer: the student may not have clearly heard what was said.Reason: “In other words” is often followed by an explanation in clearer and easier words.4.Answer: may feel angry at receiving such orders.Reason: “However” suggests an opposite fact.5.Answer: whether crops should be used to produce food or should be usedto produce fuel.Reason: “That is” is also followed by an explanation.6.Answer: a small industrial sector.Reason: “At the same time” suggests the coexistence of two things.Here prediction is also based on common knowledge.Task 2: DictationThe School Holidays Are Too LongToday the children of this country have at last returned to work. After two months’ holiday pupils have started a new term. How many adults get such long holidaysTwo to four weeks in the summer and public holidays--that’s all the working man gets. As for the average woman, she’s lucky to get a holiday at all. Children don’t need such long holidays. In term-time they start work later and finish earlier than anyone else.In the holidays most of them get bored, and some get into trouble. What a waste! If their overworked parents were given more free time instead, everyone would be happier.This isn’t just a national problem either--it’s worldwide. Dates may be different from country to country, but the pattern’s the same. Why should children do half as much work and get twice as much holiday as theirparents?Lesson 6Section ITask 1: In the Path of the EarthquakeA.True or False Questions. 1—6: FTFTFFB.Map 1 is a layout of the Skinners’ farm. Mark out the plants andbuildings in the map. Then in map 2 draw a new plan of the Skinners farm after the quake.Map 1:1. farm house2. garden path3. cypresstrees 4. rose garden5. eucalyptus trees6. raspberrypatch7. cow shed8. granaryMap 2:Task 2: A Funny Thing Happened to Me.A.Multiple Choice. 1—6: cabbcaB.Give brief answers to the following questions.st Friday.2.He was a student.3.In London.4.By taxi.5.The taxi got stuck in a traffic jam and the train had left by the timehe got to the station.6.1 hour.7.The station buffet.8.An evening newspaper, the “Standard”.9.At a table near the window.10.He did the crossword puzzle.C.True or False Questions.1—6: FFTTFTD.Blank-filling.1.reached across, opened, took one, dipped, into, popped it into.2.get up and go, pushed back, stood up, hurried out of.Section IIConsolidation: A Very Beautiful StoryA.Give brief answers to the following questions.1.A tape from Gentleman Jim.2.Yesterday.3.Jim’s wife.4.There was a message hidden in the tape.5.Half the police force in London and 3 experts.6.Nothing had been found yet.7.Happy memories and things.8.In his words.B.True or False Statements.1—8: FTFF TTFTC.Discuss with your classmates what message is hidden in Gentleman Jim’srecording.D.Listen to the 2nd part of the policeman’s discussion and list all thethings they feel unusual about Gentleman Jim’s recording.1.Jim keeps telling his wife to play the message over and over again.2.Jim tells his wife that she’ll find something comforting.3.Jim keeps saying “very beautiful” over and over again.4.The speech doesn’t sound natural.E.Listen to Gentleman Jim’s recording again and work out the message.Answer: There are 2 gold bricks in the garden under the big red rose tree. Section IIITask 1: Listening to Predict1.Answer: a glance at the headings of sections or sub-sections will showthe order in which the items are introduced.Reason: “In addition” is followed by a supplementary idea. Prediction here is also based on common knowledge.2.Answer: providing a summary which can be re-read later.Reason: “As well as” is often followed by an idea of the sameimportance as the one before “as well as”.3.Answer: may not appear in a bibliography.Reason: “However” suggests an opposite idea.4.Answer: (no more than try to cover the most important ones here.Reason: “Therefore” suggests a result.5.Answer: it doesn’t.Reason: “Unfortunately” suggests that something opposite to one’s expectation will happen.6.Answer: it’s still important.Reason: “Though” suggests that in spite of the fact that follows, something still happens.Task 2: DictationSign LanguageDeaf people, people who can’t hear, are still able to communicate quite well with a special language. It’s called sign language. The speaker of sign language uses hand gestures in order to communicate. Basic sign language has been used for a long, long time, but sign language wasn’t really developed until about 250 years ago. In the middle of the 1700s a Frenchman named Epée developed sign language. Epée was able to speak and hear, but he worked during m ost of his life as a teacher of deaf people in France. Epée developed a large number of vocabulary words for sign language. Epée taught these words to his deaf students. Epée’s system used mostly picture :image signs. We call them picture image signs because the signs create a picture. For example, the sign for sleep is to put both hands together, and then to place the hands flat against the right side of your face, and then to lower your head slightly tothe right. This action was meant to show the position of sleep. So we call it a picture image sign.Lesson 7Section ITask 1: Learning a Foreign LanguageA.Multiple Choice. 1—4: bcaaB.True or False Questions. 1—4: FTTFC.Give brief answers to the following questions.1.Albert Humphries.2.Balham, London.3.4 years.4.He has been going to an evening class and has watched quite a lot ofthe BBC television programmes.5.They use a different book in the class.6.They make the same mistakes as he does.7.It means being able to put together the right groups of words and tosay them in a reasonably accurate way.Task 2: In the LibraryA.Multiple Choice. 1—6: bbcacaB.True or False Questions. 1—6: TTFTFTC.Give brief answers to the following questions.1.Round the corner.2.A 20p a day fine for each book.3.Tahiti.4.No.D.Blank-filling.1.5 pounds, you damage them, entitles you, 2 records at a time,everything available, be much more popular than.2.telephone to renew the books.3.we get back, worth all the bother, some paperbacks in the airport,I’ve been such a nuisance.Section IITask 1: Lessoned World Colleges。