2018北京西城区高三二模文科数学试题及答案
- 格式:doc
- 大小:2.25 MB
- 文档页数:12
2018年北京市西城区高考数学模拟试卷(二)一、选择题(每小题3分,共75分)在每个小题给出的四个备选答案中,只有一个是符合题目要求的.1. 已知全集U={1, 2, 3},集合A={1, 3},那么集合∁U A等于()A.{1}B.{2}C.{3}D.{1, 2}2. 点(1, −1)到直线x+y−1=0的距离是()A.1 2B.√22C.√2D.√323. 函数f(x)=log a(1−x)的定义域是()A.(−1, 0)B.(0, 1)C.(−1, 1)D.(−∞, 1)4. 已知向量a→=(−1, 2)与向量b→=(2, x)平行,那么x等于()A.−1B.−2C.−3D.−45. 已知点A(3, 4)是角α终边上的一点,那么cosα等于()A.3 4B.43C.35D.456. 已知圆x2+y2=1与圆(x−3)2+y2=4,那么两圆的位置关系()A.内切B.相交C.外切D.外离7. 在平面直角坐标系xOy中,函数y=2sin(x−π6)的图象()A.关于直线x=π6对称B.关于点(π6,0)对称C.关于直线x=−π6对称D.关于点(−π6,0)对称8. 给出下列四个函数:①y=−2x−1;②y=x2;③y=lnx;④y=x3.其中在定义域内是奇函数且单调递增函数的序号是()A.①B.②C.③D.④9. 在△ABC中,∠C=60∘,AC=2,BC=3,那么AB等于()A.√5B.√6C.√7D.2√210. 已知某三棱锥的三视图如图所示,那么该三棱锥的体积是()A.13B.1C.32D.92 11. 如果幂函数f(x)=x α的图象经过点(3,19),则α=( )A.−2B.2C.−12D.1212. log 223+log 26等于( )A.1B.2C.5D.6 13. 在△ABC 中,已知a =3√2,cosC =13,S △ABC =4√3,则b =( )A.√3B.2√3C.4√3D.3√214. 函数f(x)={2x −1,x ≤01x−2,x >0 零点的个数为( ) A.0B.1C.2D.315. 已知sinα=45,且α∈(π2,π),那么cos2α等于( )A.−725B.725C.925D.−92516. 设m ,n 是两条不同的直线,α,β是两个不同的平面,给出下列四个命题: ①如果m // α,n ⊂α,那么m // n ;②如果m ⊥α,m ⊥β,那么α // β;③如果α⊥β,m ⊥α,那么m // β;④如果α⊥β,α∩β=m ,m ⊥n ,那么n ⊥β.其中正确的命题是( )A.①B.②C.③D.④17. 如图,在△ABC 中,B =45∘,D 是BC 边上一点,AD =√7,AC =3,DC =2,则AB 的长为( )A.√22B.3√62C.3√32D.3√2218. 某地2004年第一季度应聘和招聘人数排行榜前5个行业的情况列表如下若用同一行业中应聘人数与招聘人数比值的大小来衡量该行业的就业情况,则根据表中数据,就业形势一定是()A.计算机行业好于化工行业B.建筑行业好于物流行业C.机械行业最紧张D.营销行业比贸易行业紧张19. 盒中装有大小形状都相同的5个小球,分别标以号码1,2,3,4,5,从中随机取出一个小球,其号码为偶数的概率是()A.1 5B.25C.35D.4520. 已知向量a→=(0, 2),b→=(1, 0),那么向量a→−2b→与b→的夹角为()A.135∘B.120∘C.60∘D.45∘21. 某车站在春运期间为了改进服务,随机抽样调查了100名旅客从开始在购票窗口排队到购到车票所用的时间t(以下简称购票用时,单位:min).下面是这次抽样的频率分布表和频率分布直方图,则旅客购票用时的平均数可能落在哪一个小组()A.第二组B.第三组C.第四组D.第五组22. 已知点A(−2, 0),B(2, 0),如果直线3x−4y+m=0上有且只有一个点P使得PA⊥PB,那么实数m等于()A.±4B.±5C.±8D.±1023. 一个大型喷水池的中央有一个强力喷水柱,为了测量喷水柱喷出的水柱的高度,某人在喷水柱正西方向的A处测得水柱顶端的仰角为45∘,沿A向北偏东30∘方向前进100m到达B处,在B处测得水柱顶端的仰角为30∘,则水柱的高度是()A.50mB.100mC.120mD.150m24. 如图,在圆O中,已知弦AC=4,那么AO→∗AC→的值为()A.8B.6C.4D.225. 2011年7月执行的《中华人民共和国个人所得税法》规定:公民全月工资、薪金所得不超过3500元的部分不必纳税,超过3500元的部分为全月应纳税所得额.此项税款按下表分段累进计算:某调研机构数据显示,纳税人希望将个税免征额从元上调至元.若个税免征额上调至7000元(其它不变),某人当月少交纳此项税款332元,则他的当月工资、薪金所得介于()A.5000∼6000元B.6000∼8000元C.8000∼9000元D.9000∼16000元二、解答题(共分)已知函数f(x)=√3sin2x+cos2x,x∈R.)=________.(Ⅰ)f(π4brack的最大值和最小值.(Ⅱ)求函数f(x)的最小正周期及在x∈[0,π2如图,三棱柱ABC−A1B1C1中,A1A⊥底面,AB=AC,D是BC的中点.(Ⅰ)求证:BC⊥平面A1AD;(Ⅱ)若∠BAC=90∘,BC=A1D=4,求三棱柱ABC−A1B1C1的体积.在平面直角坐标系xOy中,以原点O为圆心的圆经过点A(−1, 0).(Ⅰ)⊙O的方程________;(Ⅱ)设M是直线3x+y−4=0上的一个动点,ME,MF是⊙O的两条切线,切点为E,F.(ⅰ)如果∠EMF=60∘,求点M的横坐标;(ⅱ)求四边形MEOF面积的最小值.已知函数f(x)的定义域是{x|x>0},并且满足:当x>1时,f(x)>2;∀x1,x2∈(0, +∞),都有f(x1x2)=f(x1)f(x2)−f(x1)−f(x2)+2(1)求f(1)(2)求证函数f(x)在(1, +∞)上单调递增.(3)当f(2)=5时,求不等式f(x)<17的解集.参考答案与试题解析2018年北京市西城区高考数学模拟试卷(二)一、选择题(每小题3分,共75分)在每个小题给出的四个备选答案中,只有一个是符合题目要求的.1.【答案】B【考点】补集及其运算【解析】利用补集定义直接求解.【解答】∵全集U={1, 2, 3},集合A={1, 3},∴集合∁U A={2}.2.【答案】B【考点】点到直线的距离公式【解析】利用点到直线的距离公式直接求解.【解答】点(1, −1)到直线x+y−1=0的距离:d=√2=√22.3.【答案】D【考点】函数的定义域及其求法【解析】由对数式的真数大于0求解得答案.【解答】由1−x>0,得x<1.∴函数f(x)=log a(1−x)的定义域是(−∞, 1).4.【答案】D【考点】平行向量的性质【解析】根据平面向量的共线定理列出方程求x的值.【解答】向量a→=(−1, 2)与向量b→=(2, x)平行,则−1⋅x−2×2=0,解得x=−4.5.【答案】C【考点】三角函数【解析】由题意利用任意角的三角函数的定义,求得cosα的值.【解答】∵点A(3, 4)是角α终边上的一点,∴x=3,y=4,r=|OA|=5,那么cosα=xr =35,6.【答案】C【考点】圆与圆的位置关系及其判定【解析】根据两圆的圆心距与半径的关系,判断两圆的位置关系.【解答】圆x2+y2=1的圆心为M(0, 0),半径为r1=1;圆(x−3)2+y2=4的圆心为N(3, 0),半径为r2=2;|MN|=3,且r1+r2=3,∴两圆的位置关系是相外切.7.【答案】B【考点】正弦函数的奇偶性【解析】直接利用正弦型函数的性质求出结果.【解答】利用排除法和代入法求解,当x=π6时,y=2sin(π6−π6)=0,8.【答案】D【考点】奇偶性与单调性的综合【解析】四种基本初等函数,分别是一次函数,二次函数,对数函数,三次函数(幂函数),需要对每种函数的函数性质进行分析即可.【解答】①一次函数y=kx+b的单调性由k决定,k>0时,函数递增,k<0时,函数递减,故y=−2x−1是减函数,且其不是奇函数.不合题意.②二次函数的单调性由开口方向和对称轴决定,函数y=x2在(−∞, 0)单调递减,在(0, +∞)是单调递增,且其不是奇函数,不合题意.③对数函数是非奇非偶函数,不符合题意.④幂函数y=x3,在R是单调递增,且f(−x)=−f(x),为奇函数,符合题意.9.【答案】C【考点】余弦定理【解析】由已知及余弦定理即可求值得解.【解答】∵∠C=60∘,AC=2,BC=3,∴由余弦定理可得:AB=√AC2+BC2−2AB∗AC∗cosC=√4+9−2×2×3×12=√7.10.【答案】C【考点】柱体、锥体、台体的体积计算【解析】由三棱锥的三视图得该三棱锥是三棱锥P−ABC其中PO⊥平面ABCD,O在AC上,AO=2,CO=BO=1,PO=3,由此能求出该三棱锥的体积.【解答】由三棱锥的三视图得该三棱锥是如图所示的三棱锥P−ABC,其中PO⊥平面ABCD,O在AC上,AO=2,CO=BO=1,PO=3,∴该三棱锥的体积:V P−ABC=1×S△ABC×PO=13×12×AC×BO×PO=13×12×3×1×3=32.11.【答案】A【考点】幂函数的概念、解析式、定义域、值域【解析】把点的坐标代入幂函数f(x)的解析式,解方程求出α的值.【解答】幂函数f(x)=xα的图象经过点(3,19),则3α=19,解得α=−2.12.【答案】B【考点】对数的运算性质【解析】利用对数运算性质即可得出.【解答】原式=log 2(23×6)=log 222=2.13.【答案】B【考点】正弦定理【解析】由已知利用同角三角函数基本关系式可求sinC 的值,进而根据三角形面积公式即可计算得解.【解答】∵ cosC =13,∴ sinC =√1−cos 2C =2√23, 又∵ 由已知可得S △ABC =4√3=12absinC =12×3√2×b ×2√23, ∴ 解得b =2√3.14.【答案】C【考点】分段函数的应用【解析】画出分段函数的图象,数形结合得答案.【解答】作出函数f(x)={2x −1,x ≤01x−2,x >0 的图象如图,由图可知,函数f(x)={2x −1,x ≤01x−2,x >0 零点的个数为2. 15.【答案】A【考点】二倍角的三角函数【解析】由已知利用二倍角的余弦函数公式即可计算得解.【解答】∵ sinα=45,且α∈(π2,π),∵ cos2α=1−2sin 2α=1−2×(45)2=−725.16.【答案】B【考点】空间中直线与平面之间的位置关系【解析】利用空间中线线、线面、面面间的位置关系求解.【解答】①如果m // α,n ⊂α,m 与n 平行或异面,故①错误;②如果m ⊥α,m ⊥β,那么由平面与平面平行的判定定理得α // β,故②正确; ③如果α⊥β,m ⊥α,那么m // β或m ⊂β,故③错误;④如果α⊥β,α∩β=m ,m ⊥n ,那么n 与β相交,平行或n ⊂β,故④错误. 17.【答案】B【考点】解三角形【解析】先根据余弦定理求出∠C 度数,最后根据正弦定理可得答案【解答】在△ADC 中,AD =√7,AC =3,DC =2,由余弦定理得cosC =AC 2+DC 2−AD 22×AC×DC =9+4−72×3×2=12, ∴ ∠C =60∘,在△ABC 中,AC =3,∠B =45∘,∠C =60∘,由正弦定理得 AC sinB =AB sinC ,∴ AB =ACsinC sinB =3×√32√22=3√62, 18.【答案】B【考点】分布和频率分布表 【解析】观察两个表中前五位的行业,建筑行业招聘人数是76516,而应聘人数没有排在前五位,小于65280,建筑行业人才是供不应求,观察物流行业是物流行业是供大于求,得到结论. 【解答】∵ 用同一行业中应聘人数与招聘人数比值的大小来衡量该行业的就业情况, ∴ 建筑行业招聘人数是76516,而应聘人数没有排在前五位,小于65280, 建筑行业人才是供不应求,∵ 物流行业应聘人数是74570,而招聘人数不在前五位,要小于70436, ∴ 物流行业是供大于求,∴ 就业形势是建筑行业好于物流行业, 19.【答案】 B【考点】古典概型及其概率计算公式 【解析】从5个球中随机取出一个小球共有5种方法,其中号码为偶数的为:2,4,共两种,由古典概型的概率公式可得答案. 【解答】解:从5个球中随机取出一个小球共有5种取法, 其中号码为偶数的为:2,4,共两种 由古典概型的概率公式可得: 其号码为偶数的概率是25. 故选B . 20.【答案】 A【考点】数量积表示两个向量的夹角 【解析】利用向量的坐标运算转化求解向量的夹角即可. 【解答】向量a →=(0, 2),b →=(1, 0), 向量a →−2b →=(−2, 2), 向量a →−2b →与b →的夹角为θ, cosθ=(a →−2b →)∗b→|a →−2b →||b →|=2√2×1=−√22. 可得θ=135∘. 21.【答案】C【考点】频率分布直方图【解析】由频率分布表和频率分布直方图得第四组的频率为0.5,从而求得旅客购票用时的平均数,由此得到旅客购票用时的平均数落第四小组.【解答】由频率分布表和频率分布直方图得第四组的频率为:1−0.1−0.1−0.3=0.5,由频率分布表和频率分布直方图得旅客购票用时的平均数为:7.5×0.10+12.5×0.10+17.5×0.50+22.5×0.3=17.5,∴旅客购票用时的平均数落第四小组.22.【答案】D【考点】两条直线垂直与倾斜角、斜率的关系【解析】直线3x−4y+m=0上有且只有一个点P使得PA⊥PB,则此直线与圆:x2+y2=4相切.【解答】直线3x−4y+m=0上有且只有一个点P使得PA⊥PB,则此直线与圆:x2+y2=4相切.∴=2,解得m=±10.√32+(−4)223.【答案】A【考点】根据实际问题选择函数类型【解析】如图所示,AO⊥平面OCD.CD=100.∠ACO=30∘,∠ADO=45∘.∠ODC=60∘.设OA=ℎ.在Rt△OAD,可得OD=ℎ.同理可得:OC=√3ℎ.在△OCD中,利用余弦定理即可得出.【解答】如图所示,AO⊥平面OCD.CD=100.∠ACO=30∘,∠ADO=45∘.∠ODC=60∘.设OA=ℎ.在Rt△OAD,则OD=ℎ.同理可得:OC=√3ℎ.在△OCD中,OC2=OD2+CD2−20D⋅CD⋅cos60∘.∴(√3ℎ)2=ℎ2+1002−2×ℎ×100×1,2化为:ℎ2+50ℎ−5000=0,解得ℎ=50.因此水柱的高度是50m.24.【答案】A【考点】平面向量数量积的性质及其运算律【解析】由已知结合向量在向量上投影的概念求解.【解答】∵O为三角形ABC的外接圆的圆心,∴AO→在AC→上的投影为12|AC→|,又AC=4,∴AO→∗AC→=|AO→|∗|AC→|cos∠OAC=12|AC→|2=12×16=8.25.【答案】C【考点】函数解析式的求解及常用方法【解析】根据列表即可分别求出个税免征额为3500元和7000元时,此人当月所缴纳的税款,进而即可得出此人当月少缴纳此项税款的值.【解答】解:设该人当月工资、薪金所得为x元,由题意得:1500×3%+3000×10%+(x−8000)×20%−(x−7000)×3%=332,整理,得:0.17x=1377,解得x=8100.故选C.二、解答题(共分)【答案】√3【考点】两角和与差的三角函数三角函数的周期性及其求法三角函数的最值【解析】(Ⅰ)直接利用函数的关系式求出函数的值.(Ⅱ)首先通过三角函数关系式的恒等变换,求出函数的关系式,进一步利用正弦型函数的性质求出结果.【解答】(Ⅰ)f(x)=√3sin2x+cos2x,x∈R,所以f(π4)=√3.(Ⅱ)因为f(x)=√3sin2x+cos2x=2(√32sin2x+12cos2x)=2(sin2xcosπ6+cos2xsinπ6)=2sin(2x+π6).所以函数f(x)的最小正周期T=2π|ω|=2π2=π.由x∈[0,π2brack,可得2x+π6∈[π6,7π6brack,所以−12≤sin(2x+π6)≤1.所以−1≤2sin(2x+π6)≤2,所以当2x+π6=7π6,即x=π2时,函数f(x)的最小值为−1;当2x+π6=π2,即x=π6时,函数f(x)的最大值为2.【答案】证明:(Ⅰ)因为D是BC的中点,AB=AC,所以BC⊥AD.因为A1A⊥底面ABC,BC⊂平面ABC,所以A1A⊥BC,又因为AA1∩AD=D,所以BC⊥平面A1AD.(Ⅱ)因为∠BAC=90∘,BC=A1D=4,D是BC的中点,所以AD=12BC=2,AB=AC=2√2.因为A1A⊥底面ABC,所以AA1=√A1D2−AD2=√42−22=2√3.所以三棱柱ABC−A1B1C1的体积:V=S△ABC∗AA1=12×2√2×2√2×2√3.=8√3.【考点】柱体、锥体、台体的体积计算直线与平面垂直【解析】(Ⅰ)推导出BC⊥AD,A1A⊥BC,由此能证明BC⊥平面A1AD.(Ⅱ)推导出AD=12BC=2,AB=AC=2√2.由A1A⊥底面ABC,得AA1=√A1D2−AD2=√42−22=2√3,由此能求出三棱柱ABC−A1B1C1的体积.【解答】证明:(Ⅰ)因为 D 是BC 的中点,AB =AC , 所以 BC ⊥AD .因为 A 1A ⊥底面ABC ,BC ⊂平面ABC , 所以 A 1A ⊥BC ,又因为 AA 1∩AD =D , 所以 BC ⊥平面A 1AD .(Ⅱ)因为∠BAC =90∘,BC =A 1D =4,D 是BC 的中点, 所以 AD =12BC =2,AB =AC =2√2. 因为 A 1A ⊥底面ABC ,所以 AA 1=√A 1D 2−AD 2=√42−22=2√3. 所以三棱柱ABC −A 1B 1C 1的体积:V =S △ABC ∗AA 1=12×2√2×2√2×2√3.=8√3.【答案】 x 2+y 2=1 【考点】圆的切线方程 【解析】(Ⅰ)由|OA|=1,直接得到圆O 的方程为x 2+y 2=1.(Ⅱ)(ⅰ)连接OM ,由题意可知△OEM 为直角三角形.可得|OM|=2|OE|=2.由M 是3x +y −4=0直线上的动点,设点M 的坐标为(t, −3t +4).结合|OM|=2,解得t .则点M 的横坐标可求.(ⅱ)|OM|的最小值即为原点O 到直线3x +y −4=0的距离d =√32+1=√10,由△OEM为直角三角形,可得|ME|2=|OM|2−12≥35.即|ME|最小值是√155.代入面积公式可得四边形MEOF 面积的最小值. 【解答】(1)∵ |OA|=1,∴ 圆O 的方程为x 2+y 2=1, 故答案为:x 2+y 2=1. (2)(ⅰ)如图,连接OM ,由题意可知△OEM 为直角三角形. ∵ ∠EMF =60∘,∴ ∠OME =30∘. ∴ |OM|=2|OE|=2.∵ M 是3x +y −4=0直线上的动点, ∴ 设点M 的坐标为(t, −3t +4).∴ |OM|=√(t −0)2+[(−3t +4)−0]2=2,解得t =6−√65,或t =6+√65.∴ 点M 的横坐标为6−√65或6+√65.(ⅱ)∵ 原点O 到直线3x +y −4=0的距离d =√32+1=√10,∴ |OM|的最小值是√10.∵ △OEM 为直角三角形,∴ |ME|2=|OM|2−12≥35. ∴ |ME|最小值是√155.∵ S 四边形MEOF =2S △MEO =2×12×1×|ME|=|ME|, 四边形MEOF 面积的最小值是√155.【答案】∀x 1,x 2∈(0, +∞),都有f(x 1x 2)=f(x 1)f(x 2)−f(x 1)−f(x 2)+2, 则令x 1=x 2=1,则f(1)=f 2(1)−2f(1)+2,解得f(1)=1或2,若f(1)=1,则令x 1=1,x 2=x ,则有f(x)=f(1)f(x)−f(1)−f(x)+2,即有f(x)=1.这与当x >1时,f(x)>2矛盾,故f(x)=1舍去,若f(1)=2,令x 1=1,x 2=x ,则有f(x)=f(1)f(x)−f(1)−f(x)+2恒成立, 故有f(1)=2;证明:令1<x 1<x 2,则x 2x 1>1,由于当x >1时,f(x)>2,则有f(x2x 1)>2,则f(x 2)=f(x 1⋅x 2x 1)=f(x 1)⋅f(x 2x 1)−f(x 1)−f(x 2x 1)+2=f(x 2x 1)(f(x 1)−1)−f(x 1)+2 >2f(x 1)−2−f(x 1)+2=f(x 1), 则函数f(x)在(1, +∞)上单调递增;令x 1=x 2=2,则f(4)=f 2(2)−2f(2)+2=25−10+2=17, 则不等式f(x)<17即为f(x)<f(4),由f(1)=2,则f(x ∗1x )=f(x)f(1x )−f(x)−f(1x )+2=2, 即有f(1x )=f(x)f(x)−1,令0<x<1,则1x >1,f(1x)>2,解得1<f(x)<2,同(2)可得(0, 1)也为增区间,故f(x)在(0, +∞)递增,则有f(x)<f(4)得到0<x<4.即解集为(0, 4).【考点】抽象函数及其应用【解析】(1)令x1=x2=1,则f(1)=1或2,检验得到f(1)不成立,f(1)=2;(2)令1<x1<x2,则x2x1>1,由于当x>1时,f(x)>2,则有f(x2x1)>2,则f(x2)=f(x1⋅x2x1)再由条件即可得到得证;(3)令x1=x2=2,则f(4)=17,不等式f(x)<17即为f(x)<f(4),同(2)可得(0, 1)也为增区间,故f(x)在(0, +∞)递增,即可解出不等式.【解答】∀x1,x2∈(0, +∞),都有f(x1x2)=f(x1)f(x2)−f(x1)−f(x2)+2,则令x1=x2=1,则f(1)=f2(1)−2f(1)+2,解得f(1)=1或2,若f(1)=1,则令x1=1,x2=x,则有f(x)=f(1)f(x)−f(1)−f(x)+2,即有f(x)=1.这与当x>1时,f(x)>2矛盾,故f(x)=1舍去,若f(1)=2,令x1=1,x2=x,则有f(x)=f(1)f(x)−f(1)−f(x)+2恒成立,故有f(1)=2;证明:令1<x1<x2,则x2x1>1,由于当x>1时,f(x)>2,则有f(x2x1)>2,则f(x2)=f(x1⋅x2x1)=f(x1)⋅f(x2x1)−f(x1)−f(x2x1)+2=f(x2x1)(f(x1)−1)−f(x1)+2>2f(x1)−2−f(x1)+2=f(x1),则函数f(x)在(1, +∞)上单调递增;令x1=x2=2,则f(4)=f2(2)−2f(2)+2=25−10+2=17,则不等式f(x)<17即为f(x)<f(4),由f(1)=2,则f(x∗1x )=f(x)f(1x)−f(x)−f(1x)+2=2,即有f(1x )=f(x)f(x)−1,令0<x<1,则1x >1,f(1x)>2,解得1<f(x)<2,同(2)可得(0, 1)也为增区间,故f(x)在(0, +∞)递增,则有f(x)<f(4)得到0<x<4.即解集为(0, 4).。
2018年北京市西城区高三一模文科数学试题及参考答案西城区高三统一测试数学(文科) 2018.4第Ⅰ卷(选择题 共40分)一、选择题:本大题共8小题,每小题5分,共40分.在每小题列出的 四个选项中,选出符合题目要求的一项.1.若集合{|320}A x x =∈+>R ,2{|230}B x x x =∈-->R ,则AB =(A ){|1}x x ∈<-R (B )2{|1}3x x ∈-<<-R (C )2{|3}3x x ∈-<<R (D ){|3}x x ∈>R2.若复数(i)(34i)a ++的实部与虚部相等,则实数a = (A )7(B )7-(C )1(D )1-7.已知O 是正方形ABCD 的中心.若DO AB AC λμ−−→−−→−−→=+,其中λ,μ∈R ,则λμ= (A )2- (B )12- (C)(D8.如图,在长方体1111ABCD A B C D -中,12AA AB ==,1BC =,点P 在侧面11A ABB 上.满足到直线1AA 和CD的距离相等的点P(A )不存在(B )恰有1个(C )恰有2个(D )有无数个第Ⅱ卷(非选择题 共110分)二、填空题:本大题共6小题,每小题5分,共30分.9.函数1()ln f x x =的定义域是____.10.已知x ,y 满足条件1,1,10, x y x y x +⎧⎪-⎨⎪+⎩≤≤≥则2z x y =+的最小值为____.11.已知抛物线28yx=-的焦点与双曲线2221(0)x y a a-=>的一个焦点重合,则a =____; 双曲线的渐近线方程是____.12.在△ABC 中,7b =,5c =,3B 2π∠=,则a =____.13.能够说明“存在不相等的正数a ,b ,使得a b ab +=”是真命题的一组a ,b 的值为____.14.某班共有学生40名,在乒乓球、篮球、排球三项运动中每人至少会其中的一项,有些人会其中的两项,没有人三项均会.若该班18人不会打乒乓球,24人不会打篮球,16人不会打排球,则该班会其中两项运动的学生人数是____.三、解答题:本大题共6小题,共80分.解答应写出必要的文字说明、证明过程或演算步骤. 15.(本小题满分13分)设等差数列{}na 的公差不为0,21a,且2a ,3a ,6a 成等比数列.(Ⅰ)求{}na 的通项公式;(Ⅱ)设数列{}na 的前n 项和为nS ,求使35nS成立的n的最小值.16.(本小题满分13分)函数π()2cos cos()3f x x x m =⋅-+的部分图象如图所示. (Ⅰ)求m 的值; (Ⅱ)求0x 的值.17.(本小题满分13分)某企业2017年招聘员工,其中A 、B 、C 、D 、E 五种岗位的应聘人数、录用人数和录用比例(精确到1%)如下:(Ⅰ)从表中所有应聘人员中随机选择1人,试估计此人被录用的概率;(Ⅱ)从应聘E 岗位的6人中随机选择1名男性和1名女性,求这2人均被录用的概率; (Ⅲ)表中A 、B 、C 、D 、E 各岗位的男性、女性录用比例都接近(二者之差的绝对值不大于5%),但男性的总录用比例却明显高于女性的总录用比例.研究发现,若只考虑其中某四种岗位,则男性、女性的总录用比例也接近,请写出这四种岗位.(只需写出结论) 18.(本小题满分14分)如图1,在△ABC 中,D ,E 分别为AB ,AC 的中点,O 为DE 的中点,AB AC ==,4BC =.将△ADE 沿DE折起到△1A DE 的位置,使得平面1A DE ⊥平面BCED ,F 为1A C的中点,如图2.(Ⅰ)求证://EF 平面1A BD ; (Ⅱ)求证:平面1A OB ⊥平面1A OC ;(Ⅲ)线段OC 上是否存在点G ,使得OC ⊥平面EFG ?说明理由.图1 图219.(本小题满分14分)已知椭圆2222:1(0)x y C a b a b+=>>的离心率为,以椭圆C 的任意三个顶点为顶点的三角形的面积是(Ⅰ)求椭圆C 的方程;(Ⅱ)设A 是椭圆C 的右顶点,点B 在x 轴上.若椭圆C 上存在点P ,使得90APB ∠=,求点B 横坐标的取值范围.20.(本小题满分13分)已知函数()e (ln )xf x a x =⋅+,其中a ∈R .(Ⅰ)若曲线()y f x =在1x =处的切线与直线e xy =-垂直,求a 的值;(Ⅱ)记()f x 的导函数为()g x .当(0,ln 2)a ∈时,证明:()g x 存在极小值点0x ,且0()0f x <.西城区高三统一测试数学(文科)参考答案及评分标准2018.4一、选择题:本大题共8小题,每小题5分,共40分.1.D 2.B 3.C 4.A5.D 6.B 7.A 8.D二、填空题:本大题共6小题,每小题5分,共30分.9.(0,1)(1,)+∞ 10.5-110x ±= 12.313.3,32(答案不唯一) 14.22注:第11题第一空3分,第二空2分.三、解答题:本大题共6小题,共80分. 其他正确解答过程,请参照评分标准给分. 15.(本小题满分13分)解:(Ⅰ)设等差数列{}na 的公差为d ,0d ≠.因为2a ,3a ,6a 成等比数列, 所以2326a a a =⋅. [ 2分]即2(1)14d d+=+,[ 4分]解得2d =,或d =(舍去).[ 6分]所以{}n a 的通项公式为2(2)23n a a n d n =+-=-. [ 8分](Ⅱ)因为23n a n =-,所以 2121()()222n n n n a a n a a S n n -++===-.[10分]依题意有 2235n n ->,解得 7n >.[12分]使35nS 成立的n的最小值为8. [13分]16.(本小题满分13分)解:(Ⅰ)依题意,有2π()13f =-,[ 2分]所以 2ππ2cos cos 133m ⋅+=-, 解得12m =-.[ 4分](Ⅱ)因为π1()2cos cos()32f x x x =⋅--112cos (cos )22x x x =⋅-[ 6分]21cos cos 2x x x =+-12cos22x x =+[ 9分]πsin(2)6x =+.[10分]所以 ()f x 的最小正周期2ππ2T ==. [11分]所以02ππ7π326x =+=.[13分]17.(本小题满分13分)解:(Ⅰ)因为 表中所有应聘人员总数为5334671000+=,被该企业录用的人数为 264169433+=. 所以从表中所有应聘人员中随机选择1人,此人被录用的概率约为4331000P =. 3分](Ⅱ)记应聘E 岗位的男性为1M ,2M ,3M ,被录用者为1M ,2M ;应聘E 岗位的女性为1F ,2F ,3F ,被录用者为1F ,2F .[ 4分]从应聘E 岗位的6人中随机选择1名男性和1名女性,共9种情况,即:111213212223313233,,,,,,,,M F M F M F M F M F M F M F M F M F .[ 7分]这2人均被录用的情况有4种,即:11122122,,,M F M F M F M F . [ 8分]记“从应聘E 岗位的6人中随机选择1名男性和1名女性,这2人均被录用”为事件K ,则4()9P K =.[10分](Ⅲ)这四种岗位是:B 、C 、D 、E . [13分] 18.(本小题满分14分) 解:(Ⅰ)取线段1A B 的中点H ,连接HD ,HF . [ 1分]因为 在△ABC 中,D ,E 分别为AB ,AC 的中点,所以 //DE BC ,12DE BC =. 因为 H ,F 分别为1A B ,1A C 的中点, 所以 //HF BC ,12HF BC =, 所以 //HF DE ,HF DE =,所以 四边形DEFH 为平行四边形, [ 3分]所以//EF HD. [ 4分]因为 EF ⊄平面1A BD , HD ⊂平面1A BD , 所以 //EF 平面1A BD. [ 5分](Ⅱ)因为 在△ABC 中,D ,E 分别为AB ,AC 的中点,所以 AD AE =.所以11A D A E=,又O 为DE 的中点,所以 1A O DE⊥.[ 6分]因为 平面1A DE ⊥平面BCED ,且1A O ⊂平面1A DE ,所以 1A O ⊥平面BCED , [ 7分]所以1CO A O⊥. [ 8分]在△OBC 中,4BC =,易知 OB OC ==所以 CO BO ⊥, 所以 CO ⊥平面1A OB, [ 9分] 所以平面1A OB ⊥平面1A OC.[10分](Ⅲ)线段OC 上不存在点G ,使得OC ⊥平面EFG. [11分]否则,假设线段OC 上存在点G ,使得OC ⊥平面EFG ,连接 GE ,GF ,则必有 OC GF ⊥,且OC GE ⊥.在 Rt △1A OC 中,由F 为1A C 的中点,OC GF ⊥,得 G 为OC 的中点. [12分]在 △EOC 中,因为OC GE⊥,所以 EO EC =,这显然与1EO =,EC 矛盾! 所以 线段OC 上不存在点G ,使得OC ⊥平面EFG . [14分] 19.(本小题满分14分)解:(Ⅰ)设椭圆C 的半焦距为c .依题意,得c a =ab =222ab c =+.[ 3分]解得2a =,b 所以椭圆C的方程为22142x y +=.[ 5分](Ⅱ)“椭圆C 上存在点P ,使得90APB ∠=”等价于“存在不是椭圆左、右顶点的点P,使得0PA PB −−→−−→⋅=成立”. [ 6分]依题意,(2,0)A .设(,0)B t ,(,)P m n ,则2224m n +=,[ 7分]且 (2,)(,)0m n t m n --⋅--=, 即2(2)()0m t m n --+=.[ 9分]将 2242m n -=代入上式, 得2(2)()24m m t m ---+=.[10分]因为 22m -<<,所以 202mt m +-+=,即 22m t =+. [12分]所以 2222t -<+<, 解得 20t -<<,所以 点B 横坐标的取值范围是(2,0)-. [14分] 20.(本小题满分13分) 解:(Ⅰ)11()e (ln )e e (ln )x x x f x a x a x x x'=⋅++⋅=⋅++. [ 2分]依题意,有 (1)e (1)ef a '=⋅+=,[ 3分]解得a =.[ 4分](Ⅱ)由(Ⅰ)得 1()e (ln )x g x a x x=⋅++,所以2211121()e (ln )e ()e (ln )x x xg x a x a x x x xx x'=⋅+++⋅-=⋅+-+. [ 6分] 因为e 0x >,所以()g x '与221ln a x x x+-+同号. 设221()ln h x a xx x=+-+,[ 7分]则223322(1)1()x x x h x x x -+-+'==.所以 对任意(0,)x ∈+∞,有()0h x '>,故()h x 在(0,)+∞单调递增. [ 8分]因为 (0,ln 2)a ∈,所以 (1)10h a =+>,11()ln 022h a =+<, 故存在01(,1)2x ∈,使得0()0h x =. [10分]()g x 与()g x '在区间1(,1)上的情况如下: 所以 ()g x 在区间01(,)2x 上单调递减,在区间0(,1)x 上单调递增. 所以 若(0,ln 2)a ∈,存在01(,1)2x ∈,使得0x 是()g x 的极小值点. [11分]令 0()0h x =,得 02012ln x a x x -+=,所以第 18 页 共 4 页 000002012()e (ln )e 0x x x f x a x x -=⋅+=⋅<.[13分]。
普通高等学校2018届高三招生全国统一考试模拟试题(二)数学(文)试题word含答案普通高等学校招生全国统一考试模拟试题——文科数学(二)本试卷满分150分,考试时间120分钟。
注意事项:1.答卷前,考生务必将自己的姓名、准考证号填写在答题纸上。
2.回答选择题时,选出每小题答案后,用铅笔把答题纸上对应题目的答案标号涂黑。
如需改动,用橡皮擦干净后,再选涂其他答案标号。
回答非选择题时,将答案写在答题纸上,写在本试卷上无效。
3.考试结束后,将本试卷和答题纸一并交回。
一、选择题:本题共12小题,每小题5分,共60分。
在每小题给出的四个选项中,只有一项是符合题目要求的。
1.已知集合 $A=\{x|x-\frac{1}{2}<0\}$,$B=\{x|x-\frac{(2a+8)}{a(a+8)}<0\}$,若 $A\cap B=A$,则实数 $a$ 的取值范围是A。
$(-4,-3)$B。
$[-4,-3]$C。
$(-\infty,-3)\cup(4,+\infty)$D。
$(-3,4)$2.已知复数 $z=\frac{3+i}{2-3i}$,则 $z$ 的实部与虚部的和为A。
$-\frac{2}{5}+\frac{1}{5}i$B。
$-\frac{2}{5}-\frac{1}{5}i$C。
$\frac{2}{5}+\frac{1}{5}i$D。
$\frac{3}{5}+\frac{2}{5}i$3.某景区管理部门为征求游客对景区管理方面的意见及建议,从景区出口处随机选取 $5$ 人,其中 $3$ 人为跟团游客,$2$ 人为自驾游散客,并从中随机抽取 $2$ 人填写调查问卷,则这 $2$ 人中既有自驾游散客也有跟团游客的概率是A。
$\frac{2}{3}$B。
$\frac{1}{5}$C。
$\frac{2}{5}$D。
$\frac{3}{5}$4.已知双曲线 $E:\frac{x^2}{a^2}-\frac{y^2}{b^2}=1(a>0,b>0)$ 的离心率为$\frac{\sqrt{10}}{3}$,斜率为 $-\frac{3}{2}$ 的直线 $l$ 经过双曲线的右顶点 $A$,与双曲线的渐近线分别交于 $M$,$N$ 两点,点 $M$ 在线段$AN$ 上,则 $\frac{AN}{AM}$ 等于A。
北京市西城区高三毕业班第二次模拟测试文科数学试题&参考答案第Ⅰ卷(选择题 共40分)一、 选择题:本大题共8小题,每小题5分,共40分.在每小题列出的四个选项中,选出符合题目要求的一项.1.已知集合{|11}A x x =∈-<<R ,{|(2)0}B x x x =∈⋅-<R ,那么A B = (A ){|01}x x ∈<<R (B ){|02}x x ∈<<R (C ){|10}x x ∈-<<R(D ){|12}x x ∈-<<R2.设向量(2,1)=a ,(0,2)=-b .则与2+a b 垂直的向量可以是 (A )(3,2)(B )(3,2)-(C )(4,6)(D )(4,6)-3.下列函数中,值域为[0,1]的是 (A )2y x = (B )sin y x =(C )211y x =+ (D )y 4.若抛物线2y ax =的焦点到其准线的距离是2,则 (A )1±(B )2±(C )4±(D )8±5.设a ,0b ≠,则“a b >”是“11a b<”的(A )充分而不必要条件 (B )必要而不充分条件 (C )充要条件(D )既不充分也不必要条件6.在平面直角坐标系中,不等式组,020,0y x y -+⎨⎪⎪⎩≤≥≥表示的平面区域的面积是(A(B(C )2 (D)7.某四面体的三视图如图所示,该四面体的体积为 (A )43(B )2 (C )83(D )48.函数()||f x x x =.若存在[1,)x ∈+∞,使得(2)0f x k k --<,则k 的取值范围是(A )(2,)+∞(B )(1,)+∞(C )1(,)2+∞(D )1(,)4+∞第Ⅱ卷(非选择题 共110分)二、填空题:本大题共6小题,每小题5分,共30分.9.在复平面内,复数z 对应的点是(1,2)Z -,则复数z 的共轭复数z =____. 10.执行如图所示的程序框图,输出的S 值为____.11.在ABC △中,角A ,B ,C 的对边分别是a ,b ,c .若π3A =,a 1b =,则c =____.12.已知圆22:1O x y +=.圆O '与圆O 关于直线20x y +-=对称,则圆O '的方程是____.13.函数22, 0,()log , 0.x x f x x x ⎧=⎨>⎩≤则1()4f =____;方程1()2f x -=的解是____.14.某班开展一次智力竞赛活动,共a ,b ,c 三个问题,其中题a 满分是20分,题b ,c 满分都是25分.每道题或者得满分,或者得0分.活动结果显示,全班同学每人至少答对一道题,有1名同学答对全部三道题,有15名同学答对其中两道题.答对题a 与题b 的人数之和为29,答对题a 与题c 的人数之和为25,答对题b 与题c 的人数之和为20.则该班同学中只答对一道题的人数是____;该班的平均成绩是____.三、解答题:本大题共6小题,共80分.解答应写出必要的文字说明、证明过程或演算步骤.15.(本小题满分13分)已知函数π()tan()4f x x =+. (Ⅰ)求()f x 的定义域;(Ⅱ)设β是锐角,且π()2sin()4f ββ=+,求β的值. 16.(本小题满分13分)某大学为调研学生在A ,B 两家餐厅用餐的满意度,从在A ,B 两家餐厅都用过餐的学生中随机抽取了100人,每人分别对这两家餐厅进行评分,满分均为60分.整理评分数据,将分数以10为组距分成6组:[0,10),[10,20),[20,30),[30,40),[40,50),[50,60],得到A 餐厅分数的频率分布直方图,和B 餐厅分数的频数分布表:(Ⅰ)在抽样的100人中,求对A 餐厅评分低于30的人数;(Ⅱ)从对B 餐厅评分在[0,20)范围内的人中随机选出2人,求2人中恰有1人评分在[0,10)范围内的概率;(Ⅲ)如果从A ,B 两家餐厅中选择一家用餐,你会选择哪一家?说明理由. 17.(本小题满分13分)设{}n a 是首项为1,公差为2的等差数列,{}n b 是首项为1,公比为q 的等比数列.记n n n c a b =+,1,2,3,n =.(Ⅰ)若{}n c 是等差数列,求q 的值; (Ⅱ)求数列{}n c 的前n 项和n S . 18.(本小题满分14分)如图,在几何体ABCDEF 中,底面ABCD 为矩形,//EF CD ,CD EA ⊥,22CD EF ==,ED M 为棱FC 上一点,平面ADM 与棱FB 交于点N .(Ⅰ)求证:ED CD ⊥; (Ⅱ)求证://AD MN ;(Ⅲ)若AD ED ⊥,试问平面BCF 是否可能与平面ADMN 垂直?若能,求出FMFC的值;若不能,说明理由. 19.(本小题满分13分)B 餐厅分数频数分布表已知函数()ln 2af x x x =+-,其中a ∈R . (Ⅰ)给出a 的一个取值,使得曲线()y f x =存在斜率为0的切线,并说明理由;(Ⅱ)若()f x 存在极小值和极大值,证明:()f x 的极小值大于极大值. 20.(本小题满分14分)已知椭圆2222:1(0)x y C a b a b +=>>的离心率是2,且过点P .直线2y x m =+与椭圆C 相交于,A B 两点. (Ⅰ)求椭圆C 的方程; (Ⅱ)求PAB △的面积的最大值;(Ⅲ)设直线,PA PB 分别与y 轴交于点,M N .判断||PM ,||PN 的大小关系,并加以证明.参考答案及评分标准一、选择题:本大题共8小题,每小题5分,共40分. 1.A 2.A 3.D4.C 5.D6.B7.A8.D二、填空题:本大题共6小题,每小题5分,共30分. 9.12i +10.711.212.22(2)(2)1x y -+-=13.2-;114.4;42 注:第13、14题第一空2分,第二空3分.三、解答题:本大题共6小题,共80分. 其他正确解答过程,请参照评分标准给分.15.(本小题满分13分) 解:(Ⅰ)由πππ42x k +≠+,得ππ4x k ≠+,k ∈Z . [ 3分]所以 函数()f x 的定义域是π{|π,}4x x k k ≠+∈Z .[ 4分](Ⅱ)依题意,得ππtan()2sin()44ββ+=+. [ 5分]所以πsin()π42sin()π4cos()4βββ+=++.① [ 7分] 因为β是锐角,所以 ππ3π444β<+<,[ 8分] 所以πsin()04β+>,[ 9分]①式化简为π1cos()42β+=. [10分]所以 ππ43β+=,[12分]所以π12β=. [13分] 16.(本小题满分13分)解:(Ⅰ)由A 餐厅分数的频率分布直方图,得对A 餐厅评分低于30的频率为(0.0030.0050.012)100.2++⨯=,[ 2分]所以,对A餐厅评分低于30的人数为1000.220⨯=. [ 3分](Ⅱ)对B 餐厅评分在[0,10)范围内的有2人,设为12M ,M ;对B 餐厅评分在[10,20)范围内的有3人,设为123N ,N ,N . 从这5人中随机选出2人的选法为:12(M ,M ),11(M ,N ),12(M ,N ),13(M ,N ),21(M ,N ),22(M ,N ),23(M ,N ),12(N ,N ),13(N ,N ),23(N ,N ),共10种.[ 7分]其中,恰有1人评分在[0,10)范围内的选法为:11(M ,N ),12(M ,N ),13(M ,N ),21(M ,N ),22(M ,N ),23(M ,N ),共6种.[ 9分]故2人中恰有1人评分在[0,10)范围内的概率为63105P ==.[10分] (Ⅲ)从两个餐厅得分低于30分的人数所占的比例来看:由(Ⅰ)得,抽样的100人中,A 餐厅评分低于30的人数为20, 所以,A 餐厅得分低于30分的人数所占的比例为20%. B 餐厅评分低于30的人数为23510++=,所以,B 餐厅得分低于30分的人数所占的比例为10%. 所以会选择B餐厅用餐. [13分]注:本题答案不唯一.只要考生言之合理即可.17.(本小题满分13分)解:(Ⅰ)因为{}n a 是首项为1,公差为2的等差数列,所以 21n a n =-.[ 2分]因为 {}n b 是首项为1,公比为q 的等比数列, 所以1n n b q -=.[ 4分]所以121n n n n c a b n q -=+=-+.[ 5分] 因为 {}n c 是等差数列, 所以2132c c c =+,[ 6分]即 22(3)25q q +=++,解得 1q =.[ 7分]经检验,1q =时,2n c n =,所以{}n c 是等差数列.[ 8分](Ⅱ)由(Ⅰ)知121(1,2,)n n c n q n -=-+=.所以121111111(21)nnnnnnk k n k k k k k k k k k S c a b k qn q --========+=-+=+∑∑∑∑∑∑.[10分]当1q =时,2n S n n =+.[11分]当1q ≠时,211n n q S n q -=+-.[13分]18.(本小题满分14分)解:(Ⅰ)因为ABCD 为矩形,所以CD AD ⊥.[ 1分]又因为CD EA ⊥,[ 2分] 所以CD ⊥平面EAD .[ 3分] 所以ED CD ⊥.[ 4分](Ⅱ)因为ABCD 为矩形,所以//AD BC ,[ 5分]所以//AD 平面FBC .[ 7分] 又因为平面ADMN 平面FBC MN =,所以//AD MN .[ 8分](Ⅲ)平面ADMN 与平面BCF 可以垂直.证明如下:[ 9分]连接DF .因为AD ED ⊥,AD CD ⊥, 所以AD ⊥平面CDEF .[10分] 所以AD DM ⊥.因为//AD MN ,所以DM MN ⊥.[11分] 因为平面ADMN 平面BCF MN =, 若使平面ADMN ⊥平面BCF ,则DM ⊥平面BCF ,所以DM FC ⊥.[12分]在梯形CDEF 中,因为//EF CD ,ED CD ⊥,22CD EF ==,ED = 所以2DF DC ==.所以若使DM FC ⊥能成立,则M 为FC 的中点. 所以12FM FC =.[14分] 19.(本小题满分13分)解:(Ⅰ)函数()f x 的定义域是{|0D x x =>,且2}x ≠,且21()(2)a f x x x '=-+-.[ 2分]当1a =时,曲线()y f x =存在斜率为0的切线.证明如下:[ 3分] 曲线()y f x =存在斜率为0的切线⇔方程()0f x '=存在D 上的解.令2110(2)x x -+=-,整理得2540x x -+=,解得1x =,或4x =.所以当1a =时,曲线()y f x =存在斜率为0的切线.[ 5分] 注:本题答案不唯一,只要0a >均符合要求.(Ⅱ)由(Ⅰ)得 21()(2)a f x xx '=-+-.①当0a ≤时,()0f x '>恒成立,函数()f x 在区间(0,2)和(2,)+∞上单调递增,无极值,不合题意.[ 6分] ②当0a >时,令()0f x '=,整理得2(4)40x a x -++=. 由2[(4)]160a ∆=-+->,所以,上述方程必有两个不相等的实数解1x ,2x ,不妨设12x x <.由121244,4,x x a x x +=+>⎧⎨=⎩得1202x x <<<.[ 8分]()f x ',()f x 的变化情况如下表:所以,()f x 存在极大值1()f x ,极小值2()f x .[10分]2121212121()()(ln )(ln )()(ln ln )2222a a a af x f x x x x x x x x x -=+-+=-+-----. [11分]因为1202x x <<<,且0a >,所以21022a a x x ->--,21ln ln 0x x ->, 所以 21()()f x f x >.所以()f x 的极小值大于极大值.[13分]20.(本小题满分14分)解:(Ⅰ)设椭圆2222:1(0)x y C a b a b+=>>的半焦距为c . 因为椭圆C , 所以 2222222112c a b b a a a -==-=, 即 222a b =.[ 1分] 由22222,211,a b ab ⎧=⎪⎨+=⎪⎩ 解得 224,2.a b ⎧=⎪⎨=⎪⎩[ 3分] 所以椭圆C 的方程为22142x y +=.[ 4分] (Ⅱ)将y x m =+代入22142x y +=, 消去y 整理得2220x m +-=.[ 5分]令2224(2)0m m ∆=-->,解得22m -<<.设1122(,),(,)A x y B x y .则12x x +=,2122x x m =-.所以AB ==[ 6分]点P 到直线0x -=的距离为d ==. [7分]所以PAB △的面积12S AB d =⋅=,[ 8分]当且仅当m =时,S =.所以PAB △的面积的最大值是.[ 9分](Ⅲ)||||PM PN =.证明如下:[10分]设直线PA ,PB 的斜率分别是1k ,2k ,则12k k +==[11分]由(Ⅱ)得1221(1)((1)(y x y x -+--0=,所以直线PA ,PB 的倾斜角互补.[13分]所以12∠=∠,所以PMN PNM ∠=∠.所以||||.[14分] PM PN。
北京市西城区2018年抽样测试高三数学试卷(文科)一、选择题:本大题共8小题,每小题5分,共40分. 在每小题给出的四个选项中,只有一项是符合要求的.1.设全集为R ,若集合}50|{},1|{<≤=≥=x x N x x M ,则N ( )等于A .}5|{≥x xB .}10|{<≤x xC .}5|>x xD .}51|{<≤x x2.函数1)62sin(3)(--=πx x f 的最小值和最小正周期分别是A .π,13--B .π,13+-C .π,3-D .π2,13--3. 函数)0(12>+=x x y 的反函数是 A .)0(12>-=x x y B .)0(12>--=x x yC .)1(12>-=x x yD .)1(12>--=x x y3.等差数列6427531,4,}{a a a a a a a a n ++=+++则中=A .3B .4C .5D .64.设命题p :若001:;11,<⇔<<>ab bq b a b a 则. 给出下列四个复合命题:①p 或q ;②p 且q ;③ p ;④q 其中真命题的个数有A .0个B .1个C .2个D .3个5.函数])5,2[)(1(log )(21∈-=x x x f 的最大值与最小值之和是A .-2B .-1C .0D .26.已知直线21,l l 与平面α. 则下列结论正确的是 A .若A l l =⊂αα 21,,则21,l l 为异面直线. B .若α//,//121l l l ,则α//2l . C .若,,121α⊥⊥l l l 则.//2αlD .若,,21αα⊥⊥l l ,则21//l l .7.直线02=-y x 与圆9)1()2(:22=++-y x C 交于A ,B 两点,则△ABC (C 为圆心)的面积等于A .52B .32C .34D .548.某人上午7:00乘汽车以匀速1υ千米/时(30≤1υ≤100)从A 地出发到距300公里的B地,在B 地不作停留,然后骑摩托车以匀速2υ千米/时(4≤2υ≤20)从B 地出发到距50公里的C 地,计划在当天16:00至21:00到达C 地。
2018市各城区二模数学(文科)分类汇编之数列含答案【西城二模】15.(本小题满分13分)在等差数列{}n a 和等比数列{}n b 中,111a b ==,22a b =,432a b +=. (Ⅰ)求{}n a 和{}n b 的通项公式; (Ⅱ)求数列{}n n a b +的前n 项和n S .解:(Ⅰ)设等差数列{}n a 的公差为d ,等比数列{}n b 的公比为q .依题意,得21,2(13).d q d q +=⎧⎨++=⎩………………2分 解得2,3,d q =⎧⎨=⎩或1,0.d q =-⎧⎨=⎩(舍去)………………4分所以21n a n =-,13n n b -=.………………6分 (Ⅱ)因为1213n n n a b n -+=-+,………………7分所以21[135(21)](1333)n n S n -=++++-+++++………………9分[1(21)]13213nn n +--=+-………………11分 2312n n -=+.………………13分【海淀二模】(15)(本小题13分)已知等差数列{}n a 满足1223n n a a n +-=+ (Ⅰ)求数列{}n a 的通项公式;(Ⅱ)若数列{}n n a b +是首项为1,公比为2的等比数列,求数列{}n b 的前n 项和.15.(本小题13分) 解:(Ⅰ)方法1: 因为数列{}n a 是等差数列,所以212n n n a a a +++=. 因为3221+=-+n a a n n ,所以223n a n +=+. 所以,当3n ≥时,2(2)321n a n n =-+=-. 所以21(1,2,3,).n a n n =-=………………6分方法2:设等差数列{}n a 的公差为d , 因为3221+=-+n a a n n ,所以21322527.a a a a -=⎧⎨-=⎩所以11+2537.a d a d =⎧⎨+=⎩所以112.a d =⎧⎨=⎩所以1(1)21(1,2,3,)n a a n d n n =+-=-=………………6分(Ⅱ)因为数列{}n n a b +是首项为1,公比为2的等比数列,所以12n n n a b -+=因为21n a n =-,所以12(21)n n b n -=--.设数列{}n b 的前n 项和为n S , 则1(1242)[135(21)]n n S n -=++++-++++-12(121)122n n n -+-=-- 221n n =--所以数列{}n b 的前n 项和为221.n n --. ………………13分 【东城二模】(15)(本小题13分)已知{}n a 是公差为2等差数列,数列{}n b 满足11b =,212b =,且1(1)n n n a b nb ++=. (Ⅰ)求{}n a 的通项公式; (Ⅱ)求{}n b 的前n 项和n S . (15)(共13分)解:(Ⅰ)因为1(1)n n n a b nb ++=,所以121(1)1a b b +=⨯. 因为11b =,212b =, 所以11a =.因为等差数列{}n a 的公差为2,所以21n a n =-,*n ∈N .……………6分 (Ⅱ)由(Ⅰ)知21n a n =-.因为1(1)n n n a b nb ++=, 所以11(21)12n n b n b n +==-+. 所以数列{}n b 是首项为1,公比为12的等比数列. 所以数列{}n b 的前n 项和n S 11()122[1()]1212nn -==--,*n ∈N .……………13分 【XX 二模】16.已知数列{}n a 的前n 项和2n S pn qn =+(p ,q ∈R ,*n ∈N )且13a =,424S =. (1)求数列{}n a 的通项公式;(2)设2n a n b =,求数列{}n b 的前n 项和n T . 【解析】解:(Ⅰ)∵数列{}n a 的前n 项和为2n S pn qn =+∴当1n =时,11a S p q ==+当2n ≥时,21(1)(1)n S p n q n -=-+-∴221()[(1)(1)]2nn n a S S pn qn p n q n pn q p -=-=---+-=+-检验1a p q =+符合2n a pn q p =+-∴数列{}n a 的通项公式为2n a pn q p =+-∵12(1)(2)2,()n na a p n q p pn q p p p +-=++--+-=∈R∴{}n a 是等差数列,设公差为d ∵143,24a S ==∴414342S a d ⨯=+解得2d = ∴数列{}n a 的通项公式为*3(1)221()n a n n n =+-⨯=+∈N(Ⅱ)由(Ⅰ)可知21n a n =+∴2122n a n nb +==设数列{}n b 的前n 项和为n T , 则12124242424n n nT -=⨯+⨯++⨯+⨯1212(4444)n n -=++++4(14)214n -=⨯- 8(41)3n -=所以数列{}n b 的前n 项和为8(41).3n n T -=【丰台二模】 (16)(本小题共13分)已知数列{}n a 的前n 项和2=3n S n ,等比数列{}n b 满足11=3a b ,242b b a =. (Ⅰ)求数列{}n a 的通项公式;(Ⅱ)求数列21{}n b -的前n 项和n T . (16)(本小题共13分) 解:(Ⅰ)因为23n S n =,所以113a S ==.…………………1分 当2n ≥时,1n n n a S S -=-2233(1)n n =--63n =-.…………………3分因为当1n =时,16133a ⨯-==,…………………4分 所以数列{}n a 的通项公式是63n a n =-.…………………5分 (Ⅱ)设数列{}n b 的公比为q .因为113a b =,所以11b =.…………………6分 因为242b b a ⋅=,所以239b =.…………………8分因为2310b b q =>,所以33b =,且23q =.…………………10分因为{}n b 是等比数列,所以21{}n b -是首项为11b =,公比为23q =的等比数列.…………………11分所以212(1())131(31)1132n n nn b q T q --===---. 即1(31)2nn T =-.…………………13分 【昌平二模】 16.(本小题13分) 已知数列{}n a 满足1211,2a a ==,数列{}n b 是公差为2的等差数列,且11n n n n b a a na +++=. (I )求数列{}n b 的通项公式; (II )求数列{}n a 前n 项的和n S . 16.(共13分)解:(Ⅰ)因为11n n n nb a a na +++=,所以1221b a a a += . 又因为1212a a =1,=, 所以11b =.所以数列{}n b 的通项公式是2-1n b n =. --------------------7分 (Ⅱ)由(Ⅰ)知2-1n b n =,且11n n n n b a a na +++=.所以11(21)n n nn a a na ++-+=,得到112n n a a += .所以数列{}n a 是以1为首项,12为公比的等比数列. 那么数列{}n a 前n 项和111()222112nn n S --==--.--------------------13分 【顺义二模】15.(本小题满分13分)已知等差数列{}n a 的前n 项和为n S ,且151, 3.a a =-=. (Ⅰ)求{}n a 的通项公式;(Ⅱ)若数列{}n b 满足2n a n b =,求数列{}n b 的前n 项和.【房山二模】 (15)(本小题13分)已知等差数列{}n a 满足1210a a +=,432a a -=. (Ⅰ)求数列{}n a 的通项公式;(Ⅱ)设等比数列{}n b 满足23b a =,37b a =.问:5b 与数列{}n a 的第几项相等?解:(Ⅰ)设等差数列{}n a 的公差为d .因为432a a -=,所以2d =.又因为1210a a +=,所以1210a d +=,故14a =. 所以42(1)22n a n n =+-=+(1,2,)n =.…………6分 (Ⅱ)设等比数列{}n b 的公比为q .因为238b a ==,3716b a ==,所以2q =,14b =. 所以5154264b -=⨯=. 由6422n =+得31n =.所以5b 与数列{}n a 的第31项相等.…………13分。
北京市西城区抽样测试高三数学(文科)答案及评分标准2001 .5一、ACDCBCBACC DD 二、(13)1010-;(14)22;(15)1:10;(16)①②⑤. 三、解答题:其它解法仿此给分.(17)解:∵q =1时122na S n =,1na S =偶数项又01>a 显然11112na na ≠q ≠1 ………………………………………………2分 ∴2212121)1(1)1(q q q a S q q a S n n n --==--=偶数项 …………………………………4分 依题意221211)1(111)1(qq q a q q a n n --⋅=-- 解之101=q ……………………………………………………………………6分 又421422143),1(q a a a q q a a a =+=+, ………………………………………8分依题意4212111)1(q a q q a =+,将101=q 代入得101=a …………………10分 n n n a --=⋅=2110)101(10………………………………………………………12分 (18)解:由题设知20,πβαβ<<<==且x b tg x a tga …………………………………4分 ∴xabx a b tg tg tg tg tg +-=+-=-βααβαβ1)( …………………………………………6分 ∵ab xab x x ab x =⋅>>且0,0为定值…………………………………………9分 所以,当且仅当x ab x =即ab x =时,xab x +取得最小值ab 2………11分 此时)(αβ-tg 取最大值ab a b 2- ……………………………………………12分 (19)解:(Ⅰ)证明;已知C C F A E B B E A 1111,⊥⊥于于 F ,∵B B 1∥C C 1,∴F A B B 11⊥ ……………………………………………1分 又A F A E A =⋂11.∴EF A B B 11平面⊥所以,平面111BCC B EF A 平面⊥ ………………………………………3分(Ⅱ)因为1111111111,45C A B A C C A AC A AB A B B A =︒=∠==∠=∠,又2.90111111=︒=∠=∠B A FC A EB A∴E B A Rt 11∆≌F C A Rt 11∆,∴211==F A E A∴E B1F C 1,∴EF =211=C B∴22121EF F A E A =+∴EF A 1∆为等腰直角三角形……5分取EF 的中点N ,连N A 1,则EF N A ⊥1,所以111BCC B N A 平面⊥ ………………………………………………………………6分 所以N A 1为点1A 到平面11BCC B 的距离。
2018年北京市西城区高考数学二模试卷(文科)一、选择题:本大题共8小题,每小题5分,共40分.在每小题列出的四个选项中,选出符合题目要求的一项.1.(5分)若集合A={x|0<x<1},B={x|x2﹣2x<0},则下列结论中正确的是()A.A∩B=∅B.A∪B=R C.A⊆B D.B⊆A2.(5分)复数=()A.B.C.D.3.(5分)下列函数中,既是偶函数又在区间(0,+∞)上单调递减的是()A.B.y=x2C.y=cos x D.y=﹣ln|x| 4.(5分)某正四棱锥的正(主)视图和俯视图如图所示,该正四棱锥的侧棱长是()A.B.C.D.5.(5分)向量,,在正方形网格中的位置如图所示.若向量λ与共线,则实数λ=()A.﹣2B.﹣1C.1D.26.(5分)设a,b∈R,且ab≠0.则“ab>1”是“”的()A.充分而不必要条件B.必要而不充分条件C.充分必要条件D.既不充分也不必要条件7.(5分)设不等式组表示的平面区域为D.若直线ax﹣y=0上存在区域D上的点,则实数a的取值范围是()A.B.C.[1,2]D.[2,3]8.(5分)地铁某换乘站设有编号为A,B,C,D,E的五个安全出口.若同时开放其中的两个安全出口,疏散1000名乘客所需的时间如下:则疏散乘客最快的一个安全出口的编号是()A.A B.B C.D D.E二、填空题(共6小题,每小题5分,满分30分)9.(5分)函数的最大值是.10.(5分)执行如图所示的程序框图,输出的k值为.11.(5分)在△ABC中,a=3,b=2,,则sin A=.12.(5分)双曲线的焦距是;若圆(x﹣1)2+y2=r2(r>0)与双曲线C的渐近线相切,则r=.13.(5分)为绿化生活环境,某市开展植树活动.今年全年植树6.4万棵,计划3年后全年植树12.5万棵.若植树的棵数每年的增长率均为a,则a=.14.(5分)已知函数,其中a∈R.如果函数f(x)恰有两个零点,那么a的取值范围是.三、解答题:本大题共6小题,共80分.解答应写出必要的文字说明、证明过程或演算步骤.15.(13分)在等差数列{a n}和等比数列{b n}中,a1=b1=1,a2=b2,2+a4=b3.(Ⅰ)求{a n}和{b n}的通项公式;(Ⅱ)求数列{a n+b n}的前n项和S n.16.(13分)已知函数.(Ⅰ)求f(x)的定义域;(Ⅱ)求f(x)的取值范围.17.(13分)在某地区,某项职业的从业者共约8.5万人,其中约3.4万人患有某种职业病.为了解这种职业病与某项身体指标(检测值为不超过6的正整数)间的关系,依据是否患有职业病,使用分层抽样的方法随机抽取了100名从业者,记录他们该项身体指标的检测值,整理得到如下统计图:(Ⅰ)求样本中患病者的人数和图中a,b的值;(Ⅱ)试估计此地区该项身体指标检测值不低于5的从业者的人数;(III)某研究机构提出,可以选取常数X0=4.5,若一名从业者该项身体指标检测值大于X0,则判断其患有这种职业病;若检测值小于X0,则判断其未患有这种职业病.从样本中随机选择一名从业者,按照这种方式判断其是否患病,求判断错误的概率.18.(14分)如图,梯形ABCD所在的平面与等腰梯形ABEF所在的平面互相垂直,AB∥CD∥EF,AB⊥AD,G为AB的中点.CD=DA=AF=FE=2,AB =4.(Ⅰ)求证:DF∥平面BCE;(Ⅱ)求证:平面BCF⊥平面GCE;(Ⅲ)求多面体AFEBCD的体积.19.(13分)已知函数,曲线y=f(x)在x=1处的切线经过点(2,﹣1).(Ⅰ)求实数a的值;(Ⅱ)设b>1,求f(x)在区间上的最大值和最小值.20.(14分)已知椭圆C:的离心率为,经过点(0,1).(Ⅰ)求椭圆C的方程;(Ⅱ)设直线y=x与椭圆C交于A,B两点,斜率为k的直线l与椭圆C交于M,N两点,与直线y=x交于点P(点P与点A,B,M,N不重合).(ⅰ)当k=﹣1时,证明:|P A||PB|=|PM||PN|;(ⅱ)写出以k为自变量的函数式(只需写出结论).2018年北京市西城区高考数学二模试卷(文科)参考答案与试题解析一、选择题:本大题共8小题,每小题5分,共40分.在每小题列出的四个选项中,选出符合题目要求的一项.1.(5分)若集合A={x|0<x<1},B={x|x2﹣2x<0},则下列结论中正确的是()A.A∩B=∅B.A∪B=R C.A⊆B D.B⊆A【解答】解:∵集合A={x|0<x<1},B={x|x2﹣2x<0}={x|0<x<2},∴A⊆B.故选:C.2.(5分)复数=()A.B.C.D.【解答】解:原式==i.故选:C.3.(5分)下列函数中,既是偶函数又在区间(0,+∞)上单调递减的是()A.B.y=x2C.y=cos x D.y=﹣ln|x|【解答】解:y=为奇函数,且在区间(0,+∞)上单调递减;y=x2为偶函数,且在区间(0,+∞)上单调递增;y=cos x为偶函数,且在区间(0,+∞)上不具单调性;y=﹣ln|x|为偶函数,且在区间(0,+∞)上y=﹣lnx单调递减.故选:D.4.(5分)某正四棱锥的正(主)视图和俯视图如图所示,该正四棱锥的侧棱长是()A.B.C.D.【解答】解:由题意可知几何体是正四棱锥,底面边长为2,高为:3,所以正四棱锥的侧棱长为:=.故选:B.5.(5分)向量,,在正方形网格中的位置如图所示.若向量λ与共线,则实数λ=()A.﹣2B.﹣1C.1D.2【解答】解:根据图形可看出;满足与共线;∴λ=2.故选:D.6.(5分)设a,b∈R,且ab≠0.则“ab>1”是“”的()A.充分而不必要条件B.必要而不充分条件C.充分必要条件D.既不充分也不必要条件【解答】解:若“ab>1”当a=﹣2,b=﹣1时,不能得到“”,若“”,例如当a=1,b=﹣1时,不能得到“ab>1“,故“ab>1”是“”的既不充分也不必要条件,故选:D.7.(5分)设不等式组表示的平面区域为D.若直线ax﹣y=0上存在区域D上的点,则实数a的取值范围是()A.B.C.[1,2]D.[2,3]【解答】解:由不等式组作出可行域如图,∵直线ax﹣y=0过定点O(0,0),要使直线ax﹣y=0上存在区域D上的点,则直线ax﹣y=0的斜率a∈[k OB,k OA],联立,得A(1,3),联立,得B(2,1),∴,.∴a,故选:B.8.(5分)地铁某换乘站设有编号为A,B,C,D,E的五个安全出口.若同时开放其中的两个安全出口,疏散1000名乘客所需的时间如下:则疏散乘客最快的一个安全出口的编号是()A.A B.B C.D D.E【解答】解:同时开放A、E两个安全出口,疏散1000名乘客所需的时间为200s,同时开放D、E两个安全出口,疏散1000名乘客所需的时间为140s,得到D疏散乘客比A快;同时开放A、E两个安全出口,疏散1000名乘客所需的时间为200s,同时开放A、B两个安全出口,疏散1000名乘客所需的时间为120s,得到A疏散乘客比E快;同时开放A、B两个安全出口,疏散1000名乘客所需的时间为120s,同时开放B、C两个安全出口,疏散1000名乘客所需的时间为220s,得到A疏散乘客比C快;同时开放B、C两个安全出口,疏散1000名乘客所需的时间为220s,同时开放C、D两个安全出口,疏散1000名乘客所需的时间为160s,得到D疏散乘客比B快.综上,疏散乘客最快的一个安全出口的编号是D.故选:C.二、填空题(共6小题,每小题5分,满分30分)9.(5分)函数的最大值是.【解答】解:函数是偶函数,x<0时是增函数,x>0时是减函数,所以x=0时函数取得最大值:.故答案为:.10.(5分)执行如图所示的程序框图,输出的k值为5.【解答】解:在执行首次循环时,S=1+12=2,k=1则:在执行第二次循环时,S=2+32=11,k=3,在执行第三次循环时,S=11+52=36,k=5.由于:S>20,所以:输出k=5.故答案为:511.(5分)在△ABC中,a=3,b=2,,则sin A=.【解答】解:在△ABC中,a=3,b=2,,sin B==,由正弦定理可得:,可得sin A==.故答案为:.12.(5分)双曲线的焦距是10;若圆(x﹣1)2+y2=r2(r>0)与双曲线C的渐近线相切,则r=.【解答】解:双曲线的焦距是:2c=2×=10;双曲线的渐近线方程为:3x±4y=0,圆(x﹣1)2+y2=r2(r>0)与双曲线C的渐近线相切,可得:r==.故答案为:10;.13.(5分)为绿化生活环境,某市开展植树活动.今年全年植树6.4万棵,计划3年后全年植树12.5万棵.若植树的棵数每年的增长率均为a,则a=25%.【解答】解:由题意可知6.4(1+a)3=12.5,∴(1+a)3=,∴1+a=,故a==25%.故答案为:25%.14.(5分)已知函数,其中a∈R.如果函数f(x)恰有两个零点,那么a的取值范围是.【解答】解:x≤1时,y=a+2x∈(a,2+a],x>1时,y=+a∈(,+∞),两个函数都是增函数,函数f(x)恰有两个零点,可得:,解得a∈[﹣2,).故答案为:[﹣2,).三、解答题:本大题共6小题,共80分.解答应写出必要的文字说明、证明过程或演算步骤.15.(13分)在等差数列{a n}和等比数列{b n}中,a1=b1=1,a2=b2,2+a4=b3.(Ⅰ)求{a n}和{b n}的通项公式;(Ⅱ)求数列{a n+b n}的前n项和S n.【解答】(本小题满分13分)解:(Ⅰ)设等差数列{a n}的公差为d,等比数列{b n}的公比为q.依题意,得………………(2分)解得或(舍去)………………(4分)所以a n=2n﹣1,.………………(6分)(Ⅱ)因为,………………(7分)所以………………(9分)=………………(11分)=.………………(13分)16.(13分)已知函数.(Ⅰ)求f(x)的定义域;(Ⅱ)求f(x)的取值范围.【解答】解:(Ⅰ)由sin x+cos x≠0,得所以,其中k∈Z.所以f(x)的定义域为(Ⅱ)因为=cos x﹣sin x=由(Ⅰ)得,其中k∈Z,所以,所以f(x)的取值范围是.17.(13分)在某地区,某项职业的从业者共约8.5万人,其中约3.4万人患有某种职业病.为了解这种职业病与某项身体指标(检测值为不超过6的正整数)间的关系,依据是否患有职业病,使用分层抽样的方法随机抽取了100名从业者,记录他们该项身体指标的检测值,整理得到如下统计图:(Ⅰ)求样本中患病者的人数和图中a,b的值;(Ⅱ)试估计此地区该项身体指标检测值不低于5的从业者的人数;(III)某研究机构提出,可以选取常数X0=4.5,若一名从业者该项身体指标检测值大于X0,则判断其患有这种职业病;若检测值小于X0,则判断其未患有这种职业病.从样本中随机选择一名从业者,按照这种方式判断其是否患病,求判断错误的概率.【解答】(本小题满分13分)解:(Ⅰ)根据分层抽样原则,容量为100的样本中,患病者的人数为人.………………(2分)a=1﹣0.10﹣0.35﹣0.25﹣0.15﹣0.10=0.05,b=1﹣0.10﹣0.20﹣0.30=0.40.………………(4分)(Ⅱ)指标检测值不低于5的样本中,有患病者40×(0.30+0.40)=28人,未患病者60×(0.10+0.05)=9人,共37人.………………(6分)此地区该项身体指标检测值不低于5的从业者的人数约为人.………………(8分)(Ⅲ)当X0=4.5时,在100个样本数据中,有40×(0.10+0.20)=12名患病者被误判为未患病,………………(10分)有60×(0.10+0.05)=9名未患病者被误判为患病者,………………(12分)因此判断错误的概率为.………………(13分)18.(14分)如图,梯形ABCD所在的平面与等腰梯形ABEF所在的平面互相垂直,AB∥CD∥EF,AB⊥AD,G为AB的中点.CD=DA=AF=FE=2,AB =4.(Ⅰ)求证:DF∥平面BCE;(Ⅱ)求证:平面BCF⊥平面GCE;(Ⅲ)求多面体AFEBCD的体积.【解答】(本小题满分14分)(Ⅰ)证明:因为CD∥EF,且CD=EF,所以四边形CDFE为平行四边形,所以DF∥CE.……(2分)因为DF⊄平面BCE,……(3分)所以DF∥平面BCE.……(4分)(Ⅱ)连接FG.因为平面ABCD⊥平面ABEF,平面ABCD∩平面ABEF=AB,AD⊥AB,所以AD⊥平面ABEF,所以BF⊥AD.………………(6分)因为G为AB的中点,所以AG∥CD,且AG=CD;EF∥BG,且EF=BG,所以四边形AGCD和四边形BEFG均为平行四边形.所以AD∥CG,所以BF⊥CG.………………(7分)因为EF=EB,所以四边形BEFG为菱形,所以BF⊥EG.………………(8分)所以BF⊥平面GCE.………………(9分)所以平面BCF⊥平面GCE.………………(10分)(Ⅲ)设BF∩GE=O.由(Ⅰ)得DF∥CE,所以DF∥平面GCE,由(Ⅱ)得AD∥CG,所以AD∥平面GCE,所以平面ADF∥平面GCE,所以几何体ADF﹣GCE是三棱柱.………………(11分)由(Ⅱ)得BF⊥平面GCE.所以多面体AFEBCD的体积V=V ADF+V B﹣GCE………………(12分)﹣GCE==.………………(14分)19.(13分)已知函数,曲线y=f(x)在x=1处的切线经过点(2,﹣1).(Ⅰ)求实数a的值;(Ⅱ)设b>1,求f(x)在区间上的最大值和最小值.【解答】(本小题满分13分)解:(Ⅰ)f(x)的导函数为,………………(2分)所以f'(1)=1﹣a.依题意,有,即,………………(4分)解得a=1.………………(5分)(Ⅱ)由(Ⅰ)得.当0<x<1时,1﹣x2>0,﹣lnx>0,所以f'(x)>0,故f(x)单调递增;当x>1时,1﹣x2<0,﹣lnx<0,所以f'(x)<0,故f(x)单调递减.所以f(x)在区间(0,1)上单调递增,在区间(1,+∞)上单调递减.………………(8分)因为,所以f(x)最大值为f(1)=﹣1.………………(9分)设,其中b>1.………………(10分)则,故h(b)在区间(1,+∞)上单调递增.………………(11分)所以h(b)>h(1)=0,即,………………(12分)故f(x)最小值为.………………(13分)20.(14分)已知椭圆C:的离心率为,经过点(0,1).(Ⅰ)求椭圆C的方程;(Ⅱ)设直线y=x与椭圆C交于A,B两点,斜率为k的直线l与椭圆C交于M,N两点,与直线y=x交于点P(点P与点A,B,M,N不重合).(ⅰ)当k=﹣1时,证明:|P A||PB|=|PM||PN|;(ⅱ)写出以k为自变量的函数式(只需写出结论).【解答】解:(Ⅰ)设椭圆C的半焦距为c.依题意,得,b=1,且a2=b2+c2.解得.所以椭圆C的方程是.(Ⅱ)证明(ⅰ)由得,.k=﹣1时,设直线l的方程为y=﹣x+t.由得4x2﹣6tx+3t2﹣3=0.令△=36t2﹣48(t2﹣1)>0,解得t2<4.设M(x1,y1),N(x2,y2),则,.由得.所以|P A|•|PB|=•|﹣||+|=|.因为,同理.所以==.所以|P A|•|PB|=|PM|•|PN|.(ⅱ).。
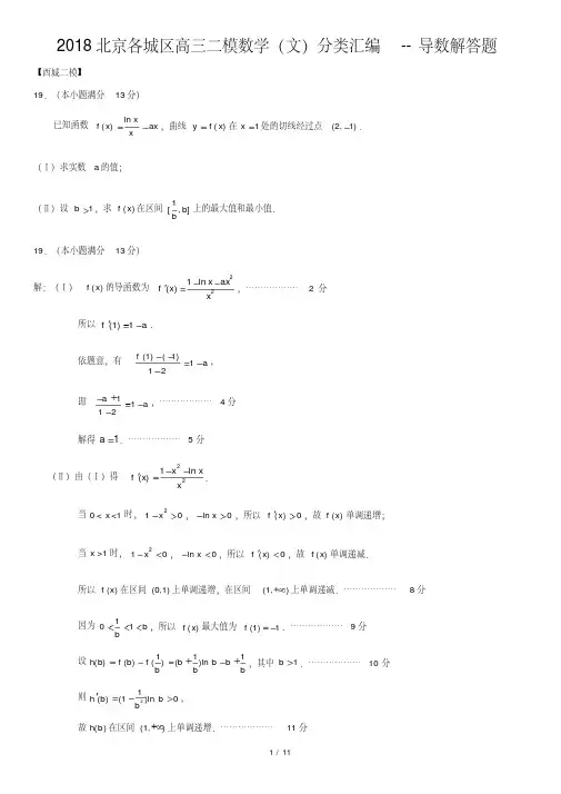
北京市西城区2018年抽样测试高三数学试卷(文科)(2018.6)参考公式:三角函数的和差化积公式2cos2sin2sin sin βαβαβα-+=+2sin 2cos 2sin sin βαβαβα-+=-2cos 2cos 2cos cos βαβαβα-+=+2sin 2sin 2cos cos βαβαβα-+-=-正棱台、圆台的侧面积公式l c c S )'(21+=台侧 其中c',c 分别表示上、下底面周长,l 表示斜高或母线长。
一、选择题:本大题共12小题;每小题5分,共60分。
在每小题给出的四个选项中,只有一项是符合要求的。
每小题选出答案后,用铅笔在下表中将对应答案标号涂黑。
1.)335(π-ctg 的值是( ). A .33- B.3 C.33D. 3-2.下列函数中没有反函数的是( ) A .y=2x B. 2x y = C. x y = D.xy 2=3.设}{,,|2R x x y y p ∈== }{,,2|R x y y Q x ∈==则( ). A. Q=P B. P Q ⊂ C. }{)4,2(=⋂Q P D. P ∩Q={(2,4)}4.过原点且与圆0222=-+x y x 截得的弦长为3的一条直线的方程是( ). A. y=x B. x y 3= C. y=-x D. 33-=y x 5.双曲线116922=-y x 的一个焦点到一条渐近线的距离等于( ). A.3 B.3C. 4D. 26.在△ABC 中,sinA: sinB:sinC=3:2:4,则cosC 的值为( ).A.41-B.41C.32- D.327.某企业2001年12月份的产值是这年1月份产值的p 倍,则该企业2001年年度产值的月平均增长率为( )。
A.1-P P B.111-P C.11P D.111-P8.学校要选派4名爱好摄影的同学中的3名分别参加校外摄影小组的3期培训(每期只派1名),由于时间上的冲突,甲、乙两位同学都不能参加第1期培训,则不同的选派方式有( )。
北京市西城区高考数学二模试卷(文科)一、选择题:本大题共8小题,每小题5分,共40分.在每小题列出的四个选项中,选出符合题目要求的一项.1.(5分)(•西城区二模)复数i•(1﹣i)=()A.1+i B.﹣1+i C.1﹣i D.﹣1﹣i考点:复数代数形式的乘除运算.专题:计算题.分析:利用复数的运算法则即可得出.解答:解:复数i•(1﹣i)=1+i.故选A.点评:熟练掌握复数的运算法则及i2=﹣1是解题的关键.2.(5分)(•西城区二模)已知向量=,=.若与共线,则实数λ=()A.﹣1 B.1C.﹣3 D.3考点:平行向量与共线向量.专题:平面向量及应用.分析:利用向量共线定理即可得出,解出即可.解答:解:∵,∴,解得λ=﹣1.故答案为A.点评:熟练掌握向量共线定理是解题的关键.3.(5分)(•西城区二模)给定函数:①y=x2;②y=2x;③y=cosx;④y=﹣x3,其中奇函数是()A.①B.②C.③D.④考点:函数奇偶性的判断.专题:函数的性质及应用.分析:利用函数奇偶性的定义逐项判断即可得到答案.解答:解::①y=x2是偶函数,故排除A;②y=2x非奇函数也非偶函数,故排除B;③y=cosx为偶函数,故排除C;④令f(x)=﹣x3,定义域为R,且f(﹣x)=﹣(﹣x)3=x3=﹣f(x),所以f(x)是奇函数,故选D.点评:本题考查函数奇偶性的判断,属基础题,定义是解决该类问题的基本方法.4.(5分)(•西城区二模)若双曲线的离心率是2,则实数k=()A.3B.﹣3 C.D.考点:程序框图.专题:圆锥曲线的定义、性质与方程.分析:先根据双曲线方程可知a和b,进而求得c的表达式,利用离心率为2求得k的值.解答:解:依题意可知,k<0,故a=1,b=,∴c=,∴==2,求得k=﹣3.故选B.点评:本题主要考查了双曲线的简单性质.考查了学生的基础知识.5.(5分)(•石景山区二模)如图所示的程序框图表示求算式“2×3×5×9×17”之值,则判断框内可以填入()A.k≤10B.k≤16C.k≤22D.k≤34考点:程序框图.专题:图表型.分析:由程序运行的过程看这是一个求几个数的乘积的问题,验算知2×3×5×9×17五个数的积故程序只需运行5次.运行5次后,k值变为33,即可得答案.解答:解:由题设条件可以看出,此程序是一个求几个数的连乘积的问题,第一次乘入的数是2,由于程序框图表示求算式“2×3×5×9×17”之值,以后所乘的数依次为3,5,9,17,2×3×5×9×17五个数的积故程序只需运行5次,运行5次后,k值变为33,故判断框中应填k<33,或者k≤22.故选C.点评:本题考查识图的能力,考查根据所给信息给循环结构中判断框填加条件以使程序运行的结果是题目中所给的结果.6.(5分)(•石景山区二模)对于直线m,n和平面α,β,使m⊥α成立的一个充分条件是()A.m⊥n,n∥αB.m∥β,β⊥αC.m⊥β,n⊥β,n⊥αD.m⊥n,n⊥β,β⊥α考点:必要条件、充分条件与充要条件的判断;空间中直线与平面之间的位置关系;平面与平面之间的位置关系.专题:空间位置关系与距离.分析:根据题意,结合正方体模型,对每一选支进行逐一判定,不正确的只需取出反例,正确的简单说明一下即可.解答:解:对于A,”m⊥n,n∥α”,如正方体中AB⊥BC,BC∥平面A′B′C′D′,但AB与平面A′B′C′D′不垂直,故推不出m⊥α,故A不正确;1 / 7对于B,“m∥β,β⊥α”,如正方体中A′C′∥面ABCD,面ABCD⊥面BCC′B′,但A′C′与平面BCC′B′不垂直.推不出m⊥α,故不正确;对于C,根据m⊥β,n⊥β,得m∥n,又n⊥α,根据线面垂直的判定,可得m⊥α,可知该命题正确;对于D,“m⊥n,n⊥β,β⊥α”,如正方体中AD′⊥AB,AB⊥面BCC′B′,面ABCD⊥面BCC′B′,但AD′与面BCC′B′不垂直,故推不出m⊥α,故不正确.故选C.点评:本题主要考查了空间中直线与平面之间的位置关系,考查空间想象能力、运算能力和推理论证能力,属于基础题.7.(5分)(•西城区二模)已知函数f(x)=e|x|+|x|.若关于x的方程f(x)=k有两个不同的实根,则实数k的取值范围是()A.(0,1)B.(1,+∞)C.(﹣1,0)D.(﹣∞,﹣1)考点:函数的零点与方程根的关系.专题:函数的性质及应用.分析:将方程f(x)=k恰有两个不同的实根,转化为方程e|x|=k﹣|x|恰有两个不同的实根,再转化为一个函数y=e|x|的图象与一条折线y=k﹣|x|的位置关系研究.解答:解:方程f(x)=k化为:方程e|x|=k﹣|x|令 y=e|x|,y=k﹣|x|,y=k﹣|x|表示过斜率为1或﹣1的平行折线系,折线与曲线y=e|x|恰好有一个公共点时,有k=1,如图,若关于x的方程f(x)=k有两个不同的实根,则实数k的取值范围是(1,+∞).故选B.点评:本题主要考查根的存在性及根的个数判断,解答关键是利用直线与曲线的位置关系.8.(5分)(•西城区二模)已知集合{1,2,3,4,5}的非空子集A具有性质P:当a∈A时,必有6﹣a∈A.则具有性质P的集合A的个数是()A.8B.7C.6D.5考点:子集与真子集.专题:计算题.分析:根据题意,分析可得,满足当a∈A时,必有6﹣a∈A的有3;1、5;2、4三组,列举满足条件的集合,进而可得答案.解答:解:根据题意,满足题意的子集有{3}、{ 1,5}、{ 2,4}、{3,1,5}、{3,2,4}、{3,1,5,2,4}、{1,5,2,4},共7个;故选B.点评:本题考查集合的子集,关键是理解题意中“当a∈A时,必有6﹣a∈A”的含义.二、填空题:本大题共6小题,每小题5分,共30分.9.(5分)(•西城区二模)已知直线l1:x﹣3y+1=0,l2:2x+my﹣1=0.若l1∥l2,则实数m= ﹣6 .考点:直线的一般式方程与直线的平行关系.专题:计算题.分析:求出已知直线的斜率,利用两条直线的平行斜率相等,求出m的值即可.解答:解:直线l1:x﹣3y+1=0的斜率为:,因为直线l1:x﹣3y+1=0,l2:2x+my﹣1=0.l1∥l2,所以=,解得m=﹣6;故答案为:﹣6.点评:不考查直线与直线平行的充要条件的应用,考查计算能力.10.(5分)(•石景山区二模)如图是甲,乙两组各6名同学身高(单位:cm)数据的茎叶图.记甲,乙两组数据的平均数依次为和,则>.(填入:“>”,“=”,或“<”)考点:茎叶图.专题:图表型.分析:由茎叶图,分别确定出甲、乙两班同学身高数,通过计算平均数比较出大小.解答:解:由茎叶图,甲班平均身高为(151+153+165+167+170+172)÷6=163乙班平均身高为(150+161+162+163+164+172)÷6=162<163.则>.故答案为:>.点评:本题考查茎叶图和平均数,解题的关键是看清所给的数据的个数,以及准确的读取数据.属于基础题.11.(5分)(•石景山区二模)在△ABC中,BC=2,,,则AB= 3 ;△ABC的面积是.考点:正弦定理;三角形的面积公式.专题:计算题;解三角形.分析:根据余弦定理AC2=AB2+BC2﹣2AB•BCcosB,建立关于边AB 的方程,解之即可得到边AB的值,再由正弦定理关于面积的公式,代入题中数据即可求出△ABC的面积.解答:解:∵在△ABC中,BC=2,,,∴由余弦定理,得AC 2=AB2+BC2﹣2AB•BC•cos,即7=AB2+22﹣2×2×ABcos,化简整理得AB2﹣2AB﹣3=0,可得AB=3(舍去﹣1)根据正弦定理,得△ABC的面积为S=BC•ABsinB=×2×3×sin=故答案为:3,点评:本题给出三角形的两边和其中一边的对角,求第三边的长并求三角形的面积,着重考查了利用正、余弦定理解三角形和三角形的面积公式等知识,属于基础题.12.(5分)(•西城区二模)设a,b随机取自集合{1,2,3},则直线ax+by+3=0与圆x2+y2=1有公共点的概率是.考点:列举法计算基本事件数及事件发生的概率;直线与圆相交的性质.专题:概率与统计.分析:由题意可得,直线ax+by+3=0与圆x2+y2=1有公共点,即圆心到直线的距离小于或等于半径,化简即a2+b2≥9.所有的(a,b)共有3×3个,用列举法求得满足条件的(a,b)共有5个,由此求得直线ax+by+3=0与圆x2+y2=1有公共点的概率.解答:解:直线ax+by+3=0与圆x2+y2=1有公共点,即圆心到直线的距离小于或等于半径,即≤1,即a2+b2≥9.所有的(a,b)共有3×3=9个,而满足条件的(a,b)共有:(1,3)、(2,3)、(3,3)、(3,1)、(3,2),共有5个,故直线ax+by+3=0与圆x2+y2=1有公共点的概率是,故答案为.点评:本题考查古典概型及其概率计算公式的应用,应用列举法来解题是这一部分的最主要思想.还考查了直线和圆的位置关系的应用,属于基础题.13.(5分)(•西城区二模)已知命题p:函数y=(c﹣1)x+1在R上单调递增;命题q:不等式x2﹣x+c≤0的解集是∅.若p且q为真命题,则实数c的取值范围是(1,+∞).考点:复合命题的真假.专题:计算题.分析:由函数y=(c﹣1)x+1在R上单调递增可得c﹣1>0可求p为真时c的范围,由不等式x2﹣x+c≤0的解集是∅可得△=1﹣4c<0可求q为真时c的范围,然后由p且q为真命题,则p,q都为真命题,可求解答:解:∵函数y=(c﹣1)x+1在R上单调递增∴c﹣1>0即p:c>1;∵不等式x2﹣x+c≤0的解集是∅△=1﹣4c<0∴c即q:c若p且q为真命题,则p,q都为真命题∴,即c>1故答案为:(1,+∞)点评:本题主要考查了复合命题真假关系的应用,解题的个关键是命题p,q为真是对应c的范围的确定14.(5分)(•西城区二模)在直角坐标系xOy中,已知两定点A(1,0),B(1,1).动点P(x,y)满足则点P构成的区域的面积是 2 ;点Q(x+y,x﹣y)构成的区域的面积是 4 .考点:平面向量数量积的运算;简单线性规划.专题:平面向量及应用.分析:由题意可得,画出可行域为:直角梯形OABD及其内部区域,数形结合求得直角梯形OABD的面积.设点Q(s,t),则x+y=s,x﹣y=t,可得,点Q的可行域为直角三角形OMN及其内部区域,数形结合求得点Q(s,t)构成的区域的面积.解答:解:由题意可得,即,画出可行域为:平行四边形OABD及其内部区域,其中D(0,2),E(1,0),故点P构成的区域的面积是OD×QE=2×1=2.3 / 7设点Q(s,t),则x+y=s,x﹣y=t,即.再由可得,∴点Q的可行域为平行四边形ORMN及其内部区域,如图所示:M(2,0)、N(0,2),故点Q(s,t)构成的区域的面积是2×S△OMN =2×=2×=4,故答案为2,4.点评:本题主要考查简单的线性规划问题,两个向量的数量积的定义,属于中档题.三、解答题:本大题共6小题,共80分.解答应写出必要的文字说明、证明过程或演算步骤.15.(13分)(•西城区二模)已知等比数列{a n}的各项均为正数,a2=8,a3+a4=48.(Ⅰ)求数列{a n}的通项公式;(Ⅱ)设b n=log4a n.证明:{b n}为等差数列,并求{b n}的前n项和S n.考点:等差数列的前n项和;等差数列的通项公式;等比数列的通项公式.专题:等差数列与等比数列.分析:(Ⅰ)利用等比数列的通项公式即可得出;(Ⅱ)利用(Ⅰ)的结论和对数的运算法则进行化简,再计算b n+1﹣b n是否是一个常数即可判定,若是利用等差数列的前n项和公式即可.解答:(Ⅰ)解:设等比数列{a n}的公比为q,依题意 q>0.∵a2=8,a3+a4=48,∴a1q=8,.两式相除得 q2+q﹣6=0,解得 q=2,舍去 q=﹣3.∴.∴数列{a n}的通项公式为.(Ⅱ)证明:由(Ⅰ)得.∵,∴数列{b n}是首项为1,公差为的等差数列.∴.点评:熟练掌握等比数列的通项公式、对数的运算法则、等差数列的定义、等差数列的前n项和公式是解题的关键.16.(13分)(•石景山区二模)如图,在直角坐标系xOy中,角α的顶点是原点,始边与x轴正半轴重合,终边交单位圆于点A ,且.将角α的终边按逆时针方向旋转,交单位圆于点B.记A(x1,y1),B(x2,y2).(Ⅰ)若,求x2;(Ⅱ)分别过A,B作x轴的垂线,垂足依次为C,D.记△AOC的面积为S1,△BOD的面积为S2.若S1=2S2,求角α的值.考点:两角和与差的正弦函数;任意角的三角函数的定义.专题:三角函数的图像与性质.分析:(Ⅰ)由三角函数定义,得 x1=cosα=,由此利用同角三角函数的基本关系求得sinα的值,再根据,利用两角和的余弦公式求得结果.(Ⅱ)依题意得 y1=sinα,,分别求得S1 和S2 的解析式,再由S1=2S2 求得cos2α=0,根据α的范围,求得α的值.解答:(Ⅰ)解:由三角函数定义,得 x1=cosα,.因为,,所以.所以.(Ⅱ)解:依题意得 y1=sinα,.所以,.依题意S1=2S2 得,即sin2α=﹣2[sin2αcos +cos2αsin]=sin2α﹣cos2α,整理得cos2α=0.因为,所以,所以,即.点评:本题主要考查任意角的三角函数的定义,两角和差的正弦公式、余弦公式,同角三角函数的基本关系的应用,属于中档题.17.(14分)(•西城区二模)如图1,在四棱锥P﹣ABCD中,PA⊥底面ABCD,面ABCD为正方形,E为侧棱PD上一点,F为AB上一点.该四棱锥的正(主)视图和侧(左)视图如图2所示.(Ⅰ)求四面体PBFC的体积;(Ⅱ)证明:AE∥平面PFC;(Ⅲ)证明:平面PFC⊥平面PCD.考点:平面与平面垂直的判定;棱柱、棱锥、棱台的体积;直线与平面平行的判定.专题:空间位置关系与距离.分析:(I)利用左视图可得 F为AB的中点,即可得到三角形BFC的面积,由PA⊥平面ABCD,可知PA是四面体PBFC 的底面BFC上的高,利用三棱锥的体积计算公式即可得到;(II)利用三角形的中位线定理即可得到EQ∥CD,.再利用底面正方形的性质可得AF∥CD,,利用平行四边形的判定和性质定理即可得到AE∥FQ,利用线面平行的判定定理即可证明结论;(III)利用线面垂直的性质定理和判定定理即可得到CD⊥平面PAD,从而得到CD⊥AE,由等腰三角形的性质可得AE⊥PD,利用线面垂直的判定定理即可得到AE⊥平面PCD,而FQ∥AE,可得FQ⊥平面PCD,利用面面垂直的判定定理即可证明结论.解答:(Ⅰ)解:由左视图可得 F为AB的中点,∴△BFC的面积为.∵PA⊥平面ABCD,∴四面体PBFC 的体积为=.(Ⅱ)证明:取PC中点Q,连接EQ,FQ.由正(主)视图可得 E为PD的中点,∴EQ∥CD,.又∵AF∥CD,,∴AF∥EQ,AF=EQ.∴四边形AFQE为平行四边形,∴AE∥FQ.∵AE⊄平面PFC,FQ⊂平面PFC,∴直线AE∥平面PFC.(Ⅲ)证明:∵PA⊥平面ABCD,∴PA⊥CD.∵平面ABCD为正方形,∴AD⊥CD.∴CD⊥平面PAD.∵AE⊂平面PAD,∴CD⊥AE.∵PA=AD,E为PD中点,∴AE⊥PD.∴AE⊥平面PCD.∵AE∥FQ,∴FQ⊥平面PCD.∵FQ⊂平面PFC,∴平面PFC⊥平面PCD.点评:正确理解三视图,熟练掌握三角形BFC的面积、三棱锥的体积计算公式、三角形的中位线定理、正方形的性质、平行四边形的判定和性质定理、线面平行的判定定理、线面垂直的性质定理和判定定理、等腰三角形的性质、面面垂直的判定定理是解题的关键.18.(13分)(•西城区二模)已知函数,其中a>0.(Ⅰ)若a=2,求曲线y=f(x)在点(1,f(1))处的切线方程;(Ⅱ)求f(x)在区间[2,3]上的最小值.考点:利用导数研究曲线上某点切线方程;利用导数求闭区间上函数的最值.专题:导数的综合应用.分析:(Ⅰ)把a=2代入函数解析时候,求出f(1)及f′(1),利用直线方程的点斜式求切线方程;(Ⅱ)求出原函数的导函数,求出导函数的零点,由导函数的零点对定义域分段,判断出原函数在各区间段内的单调性,然后根据a的范围分析原函数在区间[2,3]上的单调性,利用函数单调性求出在a的不同取值范围内函数f(x)在区间[2,3]上的最小值.解答:解:(Ⅰ)f(x)的定义域为R,且 f'(x)=2x2﹣4x+2﹣a.当a=2时,,f'(1)=2﹣4=﹣2,所以曲线y=f(x)在点(1,f(1))处的切线方程为,即 6x+3y﹣5=0.(Ⅱ)解:方程f'(x)=0的判别式△=8a>0,5 / 7令 f'(x)=0,得,或.f(x)和f'(x)的情况如下:x (﹣∞,x1) x1(x1,x2)x2(x2,+∞)f'(x)+ 0 ﹣0 +f(x)↗↘↗故f(x )的单调增区间为,;单调减区间为.①当0<a≤2时,x2≤2,此时f(x)在区间(2,3)上单调递增,所以f(x)在区间[2,3]上的最小值是=.②当2<a<8时,x1<2<x2<3,此时f(x)在区间(2,x2)上单调递减,在区间(x2,3)上单调递增,所以f(x)在区间[2,3]上的最小值是=.③当a≥8时,x1<2<3≤x2,此时f(x)在区间(2,3)上单调递减,所以f(x)在区间[2,3]上的最小值是f(3)==7﹣3a.综上,当0<a≤2时,f(x)在区间[2,3]上的最小值是;当2<a<8时,f(x)在区间[2,3]上的最小值是;当a≥8时,f(x)在区间[2,3]上的最小值是7﹣3a.点评:本题考查了利用导数研究曲线在某点处的切线方程,考查了利用导数判断函数的单调性,训练了利用函数单调性求函数的最值,解答此题的关键是对参数a的分类,考查了分类讨论的数学思想,是中档题.19.(14分)(•石景山区二模)如图,椭圆的左顶点为A,M是椭圆C上异于点A的任意一点,点P与点A关于点M对称.(Ⅰ)若点P 的坐标为,求m的值;(Ⅱ)若椭圆C上存在点M,使得OP⊥OM,求m的取值范围.考点:直线与圆锥曲线的关系;椭圆的简单性质.专题:综合题;圆锥曲线的定义、性质与方程.分析:(Ⅰ)由题意知M是线段AP的中点,由中点坐标公式可得M坐标,代入椭圆方程即可得到m值;(Ⅱ)设M(x0,y0)(﹣1<x0<1),则,①由中点坐标公式可用M坐标表示P点坐标,由OP⊥OM得②,联立①②消去y0,分离出m用基本不等式即可求得m的范围;解答:解:(Ⅰ)依题意,M是线段AP的中点,因为A(﹣1,0),,所以点M 的坐标为.由于点M在椭圆C上,所以,解得.(Ⅱ)设M(x0,y0)(﹣1<x0<1),则,①因为 M是线段AP的中点,所以 P(2x0+1,2y0).因为OP⊥OM,所以,所以,即.②由①,②消去y0,整理得.所以,当且仅当时,上式等号成立.所以m 的取值范围是.点评:本题考查直线与圆锥曲线位置关系、椭圆的简单性质,属中档题,垂直问题转化为向量的数量积为0是常用手段,要灵活运用.20.(13分)(•西城区二模)已知集合S n={(x1,x2,…,x n)|x1,x2,…,x n是正整数1,2,3,…,n的一个排列}(n≥2),函数对于(a1,a2,…a n)∈S n,定义:b i=g(a i﹣a1)+g(a i﹣a2)+…+g(a i﹣a i﹣1),i∈{2,3,…,n},b1=0,称b i为a i的满意指数.排列b1,b2,…,b n为排列a1,a2,…,a n的生成列.(Ⅰ)当n=6时,写出排列3,5,1,4,6,2的生成列;(Ⅱ)证明:若a1,a2,…,a n和a'1,a'2,…,a'n为S n中两个不同排列,则它们的生成列也不同;(Ⅲ)对于S n中的排列a1,a2,…,a n,进行如下操作:将排列a1,a2,…,a n从左至右第一个满意指数为负数的项调至首项,其它各项顺序不变,得到一个新的排列.证明:新的排列的各项满意指数之和比原排列的各项满意指数之和至少增加2.考点:等差数列与等比数列的综合.专题:计算题;等差数列与等比数列.分析:(Ⅰ)根据定义直接可求出n=6时的生成列(Ⅱ)证明:设a1,a2,…,a n的生成列是b1,b2,…,b n;a'1,a'2,…,a'n的生成列是与b'1,b'2,…,b'n.从右往左数,设排列a1,a2,…,a n与a'1,a'2,…,a'n第一个不同的项为a k与a'k,则通过比较可知a k≠a'k,只要证明:b k≠b'k.即可(Ⅲ)先设排列a1,a2,…,a n的生成列为b1,b2,…,b n,且a k为a1,a2,…,a n中从左至右第一个满意指数为负数的项,则可得b1≥0,b2≥0,…,b k﹣1≥0,b k≤﹣1.然后进行操作,排列a1,a2,…,a n变为排列a k,a1,a2,…a k﹣1,a k+1,…,a n,设该排列的生成列为b'1,b'2,…,b'n,可证解答:(Ⅰ)解:当n=6时,排列3,5,1,4,6,2的生成列为0,1,﹣2,1,4,3.(Ⅱ)证明:设a1,a2,…,a n的生成列是b1,b2,…,b n;a'1,a'2,…,a'n的生成列是与b'1,b'2,…,b'n.从右往左数,设排列a1,a2,…,a n与a'1,a'2,…,a'n第一个不同的项为a k与a'k,即:a n=a'n,a n﹣1=a'n﹣1,…,a k+1=a'k+1,a k≠a'k.显然 b n=b'n,b n﹣1=b'n﹣1,…,b k+1=b'k+1,下面证明:b k≠b'k.由满意指数的定义知,a i的满意指数为排列a1,a2,…,a n中前i﹣1项中比a i小的项的个数减去比a i大的项的个数.由于排列a1,a2,…,a n的前k项各不相同,设这k项中有l项比a k小,则有k﹣l﹣1项比a k大,而b k=l﹣(k﹣l﹣1)=2l﹣k+1.同理,设排列a'1,a'2,…,a'n中有l'项比a'k小,则有k﹣l'﹣1项比a'k大,从而b'k=2l'﹣k+1.因为 a1,a2,…,a k与a'1,a'2,…,a'k是k个不同数的两个不同排列,且a k≠a'k,所以l≠l',从而 b k≠b'k.所以排列a1,a2,…,a n和a'1,a'2,…,a'n的生成列也不同.(Ⅲ)证明:设排列a1,a2,…,a n的生成列为b1,b2,…,b n,且a k为a1,a2,…,a n中从左至右第一个满意指数为负数的项,所以 b1≥0,b2≥0,…,b k﹣1≥0,b k≤﹣1.依题意进行操作,排列a1,a2,…,a n变为排列a k,a1,a2,…a k﹣1,a k+1,…,a n,设该排列的生成列为b'1,b'2,…,b'n.所以(b'1+b'2+…+b'n)﹣(b1+b2+…+b n)=[g(a1﹣a k)+g(a2﹣a k)+…+g(a k﹣1﹣a k)]﹣[g(a k﹣a1)+g(a k﹣a2)+…+g(a k﹣a k﹣1)]=﹣2[g(a k﹣a1)+g(a k﹣a2)+…+g(a k﹣a k﹣1)]=﹣2b k≥2.所以,新排列的各项满意指数之和比原排列的各项满意指数之和至少增加2.点评:本题以新定义为载体,主要考查了数列知识的综合应用及一定的逻辑推理与运算的能力.7 / 7。
北京市西城区2017 — 2018学年度第一学期期末试卷高三数学(文科) 2018.1 第Ⅰ卷(选择题 共40分)一、 选择题:本大题共8小题,每小题5分,共40分.在每小题列出的 四个选项中,选出符合题目要求的一项.1.若集合{|03}A x x =<<,{|12}B x x =-<<,则A B =(A ){|13}x x -<<(B ){|10}x x -<< (C ){|02}x x <<(D ){|23}x x << 2.在复平面内,复数2i 1i -对应的点的坐标为 (A )(1,1) (B )(1,1)- (C )(1,1)-- (D )(1,1)-3.下列函数中,在区间(0,)+∞上单调递增的是(A )1y x =-+ (B )2(1)y x =- (C )sin y x = (D )12y x =4.执行如图所示的程序框图,输出的S 值为(A )2(B )6(C )30(D )2705.若122log log 2a b +=,则有 (A )2a b = (B )2b a = (C )4a b = (D )4b a =6.一个棱长为2的正方体被一个平面截去一部分后,剩余几何体的三视图如图所示,则截去..的几何体是 (A )三棱锥 (B )三棱柱 (C )四棱锥 (D )四棱柱7.函数()sin()f x x ϕ=+的图象记为曲线C .则“(0)(π)f f =”是“曲线C 关于直线π2x =对称”的(A )充分而不必要条件(B )必要而不充分条件 (C )充分必要条件 (D )既不充分也不必要条件8.已知A ,B 是函数2x y =的图象上的相异两点.若点A ,B 到直线12y =的距离相等, 则点A ,B 的横坐标之和的取值范围是(A )(,1)-∞-(B )(,2)-∞- (C )(,3)-∞- (D )(,4)-∞-第Ⅱ卷(非选择题 共110分)二、填空题:本大题共6小题,每小题5分,共30分.9.若函数()()f x x x b =+是偶函数,则实数b =____.10.已知双曲线22221x y a b-=的一个焦点是(2,0)F ,其渐近线方程为3y x =±,该双曲线的方程是____.11.向量,a b 在正方形格中的位置如图所示.如果小正方形格的边长为1,那么⋅=a b ____.12.在△ABC 中,3a =,3C 2π∠=,△ABC 的面积为334,则b =____;c =____. 13.已知点(,)M x y 的坐标满足条件10,10,10.x x y x y -⎧⎪+-⎨⎪-+⎩≤≥≥设O 为原点,则OM 的最小值是____.14.已知函数2,2,()1, 3.x x x c f x c x x ⎧+-⎪=⎨<⎪⎩≤≤≤若0c =,则()f x 的值域是____;若()f x 的值域是1[,2]4-,则实数c 的取值范围是____.三、解答题:本大题共6小题,共80分.解答应写出必要的文字说明、证明过程或演算步骤.15.(本小题满分13分) 已知函数2π()2sin cos(2)3f x x x =-+. (Ⅰ)求()f x 的最小正周期; (Ⅱ)求证:当π[0,]2x ∈时,1()2f x -≥.16.(本小题满分13分)已知数列{}n a 是公比为13的等比数列,且26a +是1a 和3a 的等差中项. (Ⅰ)求{}n a 的通项公式;(Ⅱ)设数列{}n a 的前n 项之积为n T ,求n T 的最大值.17.(本小题满分13分)某市高中全体学生参加某项测评,按得分评为A ,B 两类(评定标准见表1).根据男女学生比例,使用分层抽样的方法随机抽取了10000名学生的得分数据,其中等级为1A 的学生中有40%是男生,等级为2A 的学生中有一半是女生.等级为1A 和2A 的学生统称为A 类学生,等级为1B 和2B 的学生统称为B 类学生.整理这10000名学生的得分数据,得到如图2所示的频率分布直方图.表1 图2(Ⅰ)已知该市高中学生共20万人,试估计在该项测评中被评为A 类学生的人数;(Ⅱ)某5人得分分别为45,50,55,75,85.从这5人中随机选取2人组成甲组,另外3人组成乙组,求“甲、乙两组各有1名B 类学生”的概率;(Ⅲ)在这10000名学生中,男生占总数的比例为51%,B 类女生占女生总数的比例为1k ,B 类男生占男生总数的比例为2k .判断1k 与2k 的大小.(只需写出结论)类别 得分()x B 1B 8090x ≤≤ 2B 7080x <≤ A 1A 5070x <≤ 2A2050x <≤18.(本小题满分14分)如图,在三棱柱111ABC A B C -中,AB ⊥平面11AA C C ,1AA AC =.过1AA 的平面交11B C 于点E ,交BC 于点F . (Ⅰ)求证:1A C ⊥平面1ABC ;(Ⅱ)求证:1//A A EF ;(Ⅲ)记四棱锥11B AA EF -的体积为1V ,三棱柱111ABC A B C -的体积为V .若116V V =,求BF BC 的值.19.(本小题满分14分)已知椭圆2222:1(0)x y C a b a b +=>>过(2,0)A ,(0,1)B 两点. (Ⅰ)求椭圆C 的方程及离心率;(Ⅱ)设点Q 在椭圆C 上.试问直线40x y +-=上是否存在点P ,使得四边形PAQB 是平行四边形?若存在,求出点P 的坐标;若不存在,说明理由.20.(本小题满分13分) 已知函数2()ln 2f x x x x =-.(Ⅰ)求曲线()y f x =在点(1,(1))f 处的切线方程;(Ⅱ)求证:存在唯一的0(1,2)x ∈,使得曲线()y f x =在点00(,())x f x 处的切线的斜率为(2)(1)f f -;(Ⅲ)比较(1.01)f 与 2.01-的大小,并加以证明.北京市西城区2017 — 2018学年度第一学期期末高三数学(文科)参考答案及评分标准2018.1 一、选择题:本大题共8小题,每小题5分,共40分.1.A 2.B 3.D 4.C5.C 6.B 7.C 8.B二、填空题:本大题共6小题,每小题5分,共30分.9.0 10.2213y x -= 11.4 12.1;13 13.22 14.1[,)4-+∞;1[,1]2注:第12,14题第一空2分,第二空3分.三、解答题:本大题共6小题,共80分. 其他正确解答过程,请参照评分标准给分.15.(本小题满分13分)解:(Ⅰ)因为2π()2sin cos(2)3f x x x =-+ ππ1cos2(cos2cossin 2sin )33x x x =--⋅-⋅ [ 4分] 33sin 2cos 2122x x =-+[ 5分] π3sin(2)13x =-+, [ 7分] 所以()f x 的最小正周期 2ππ2T ==. [ 8分] (Ⅱ)因为 π2x ≤≤0,所以 ππ2π2333x --≤≤. [10分] 所以 ππ3sin(2)sin()332x --=-≥, [12分] 所以 1()2f x -≥. [13分]16.(本小题满分13分)解:(Ⅰ)因为 26a +是1a 和3a 的等差中项,所以 2132(6)a a a +=+. [ 2分]因为数列{}n a 是公比为13的等比数列, 所以 1112(6)39a a a +=+, [ 4分] 解得 127a =. [ 6分]所以 1411()3n n n a a q --=⋅=. [ 8分] (Ⅱ)令1n a ≥,即41()13n -≥,得4n ≤, [10分] 故正项数列{}n a 的前3项大于1,第4项等于1,以后各项均小于1. [11分]所以 当3n =,或4n =时,n T 取得最大值, [12分]n T 的最大值为 34123729T T a a a ==⋅⋅=.[13分]17.(本小题满分13分)解:(Ⅰ)依题意得,样本中B 类学生所占比例为(0.020.04)1060%+⨯=, [ 2分]所以A 类学生所占比例为40%. [ 3分]因为全市高中学生共20万人,所以在该项测评中被评为A 类学生的人数约为8万人. [ 4分](Ⅱ)由表1得,在5人(记为,,,,a b c d e )中,B 类学生有2人(不妨设为,b d ).将他们按要求分成两组,分组的方法数为10种. [ 6分]依次为:(,),(,),(,),(,),(,),(,),(,),(,),ab cde ac bde ad bce ae bcd bc ade bd ace be acd cd abe(,),(,)ce abd de abc . [ 8分] 所以“甲、乙两组各有一名B 类学生”的概率为63105=. [10分] (Ⅲ)12k k <. [13分]18.(本小题满分14分)解:(Ⅰ) 因为 AB ⊥平面11AA C C ,所以 1A C AB ⊥. [ 2分]在三棱柱111ABC A B C -中,因为 1AA AC =,所以 四边形11AA C C 为菱形, 所以 11A C AC ⊥. [ 3分]所以 1A C ⊥平面1ABC . [ 5分](Ⅱ)在 三棱柱111ABC A B C -中,因为 11//A A B B ,1A A ⊄平面11BB C C , [ 6分]所以 1//A A 平面11BB C C . [ 8分]因为 平面1AA EF 平面11BB C C EF =,所以 1//A A EF . [10分](Ⅲ)记三棱锥1B ABF -的体积为2V ,三棱柱11ABF A B E -的体积为3V .因为三棱锥1B ABF -与三棱柱11ABF A B E -同底等高,所以2313V V =, [11分] 所以1233213V V V V =-=. 因为 116V V =, 所以 3131624V V =⨯=. [12分] 因为 三棱柱11ABF A B E -与三棱柱111ABC A B C -等高,所以 △ABF 与△ABC 的面积之比为14, [13分] 所以14BF BC =. [14分] 19.(本小题满分14分)解:(Ⅰ)由题意得,2a =,1b =. [ 2分]所以椭圆C 的方程为2214x y +=. [ 3分] 设椭圆C 的半焦距为c ,则 223c a b =-=, [ 4分]所以椭圆C 的离心率32c e a ==. [ 5分](Ⅱ)由已知,设(,4)P t t -,00(,)Q x y . [ 6分]若PAQB 是平行四边形,则 PA PB PQ += , [ 8分]所以 00(2,4)(,3)(,4)t t t t x t y t --+--=--+, 整理得 002, 3x t y t =-=-. [10分]将上式代入 220044x y +=,得 22(2)4(3)4t t -+-=, [11分]整理得 2528360t t -+=,解得 185t =,或2t =. [13分] 此时 182(,)55P ,或(2,2)P .经检验,符合四边形PAQB 是平行四边形, 所以存在 182(,)55P ,或(2,2)P 满足题意. [14分]20.(本小题满分13分)解:(Ⅰ)函数2()ln 2f x x x x =-的定义域是(0,)+∞,导函数为()2ln 2f x x x x '=+-. [ 1分]所以(1)1f '=-, 又(1)2f =-,所以曲线()y f x =在点(1,(1))f 处的切线方程为1y x =--. [ 3分](Ⅱ)由已知(2)(1)4ln 22f f -=-. [ 4分]所以只需证明方程 2ln 24ln 22x x x +-=-在区间(1,2)有唯一解.即方程 2ln 4ln 20x x x +-=在区间(1,2)有唯一解. [ 5分] 设函数 ()2ln 4ln 2g x x x x =+-, [ 6分]则 ()2ln 3g x x '=+.当 (1,2)x ∈时,()0g x '>,故()g x 在区间(1,2)单调递增. [ 7分]又 (1)14ln 20g =-<,(2)20g =>,所以 存在唯一的0(1,2)x ∈,使得0()0g x =. [ 8分]综上,存在唯一的0(1,2)x ∈,使得曲线()y f x =在点00(,())x f x 处的切线的斜率为(2)(1)f f -. [ 9分](Ⅲ)(1.01) 2.01f >-.证明如下: [10分]首先证明:当1x >时,()1f x x >--.设 2()()(1)ln 1h x f x x x x x =---=-+, [11分] 则 ()2ln 1h x x x x '=+-.当 1x >时,10x ->,2ln 0x x >,所以 ()0h x '>,故()h x 在(1,)+∞单调递增, [12分] 所以 1x >时,有()(1)0h x h >=,即当 1x >时,有()1f x x >--.所以 (1.01) 1.011 2.01f >--=-. [13分]。
西城区高三统一测试数学(文科) 2018.4第Ⅰ卷(选择题 共40分)一、 选择题:本大题共8小题,每小题5分,共40分.在每小题列出的 四个选项中,选出符合题目要求的一项. 1.若集合{|320}A x x =∈+>R ,2{|230}Bx x x =∈-->R ,则AB =(A ){|1}x x ∈<-R(B )2{|1}3x x ∈-<<-R(C )2{|3}3x x ∈-<<R(D ){|3}x x ∈>R2.若复数(i)(34i)a++的实部与虚部相等,则实数a =(A )7 (B )7- (C )1 (D )1-3.执行如图所示的程序框图,输出的k 值为 (A )2 (B )3 (C )4 (D )54.若函数2,0,()3(),0xx f x g x x ⎧>⎪=⎨⎪<⎩是奇函数,则1()2f -=(A)3-(B3(C )29-(D )295.正三棱柱的三视图如图所示,该正三棱柱的表面积是 (A) (B2(C)6+(D)6+6.已知二次函数2()f x a x b x c=++.则“0a<”是“()0f x <恒成立”的(A )充分而不必要条件 (B )必要而不充分条件 (C )充分必要条件(D )既不充分也不必要条件7.已知O 是正方形A B C D 的中心.若D OA B A Cλμ−−→−−→−−→=+,其中λ,μ∈R,则λμ=(A )2-(B )12-(C )-(D8.如图,在长方体1111A B C DA B C D -中,12A A AB ==,1B C =,点P在侧面11A A B B 上.满足到直线1A A 和C D的距离相等的点P (A )不存在 (B )恰有1个(C )恰有2个(D )有无数个第Ⅱ卷(非选择题 共110分)二、填空题:本大题共6小题,每小题5分,共30分. 9.函数1()ln f x x=的定义域是____.10.已知x ,y 满足条件 1,1,10,x y x y x +⎧⎪-⎨⎪+⎩≤≤≥则2zx y=+的最小值为____.11.已知抛物线28yx=-的焦点与双曲线2221(0)x ya a-=>的一个焦点重合,则a=____;双曲线的渐近线方程是____.12.在△A B C 中,7b =,5c =,3B 2π∠=,则a=____.13.能够说明“存在不相等的正数a ,b ,使得a b ab+=”是真命题的一组a ,b 的值为____.14.某班共有学生40名,在乒乓球、篮球、排球三项运动中每人至少会其中的一项,有些人会其中的两项,没有人三项均会.若该班18人不会打乒乓球,24人不会打篮球,16人不会打排球,则该班会其中两项运动的学生人数是____.三、解答题:本大题共6小题,共80分.解答应写出必要的文字说明、证明过程或演算步骤. 15.(本小题满分13分)设等差数列{}n a 的公差不为0,21a =,且2a ,3a ,6a 成等比数列.(Ⅰ)求{}n a 的通项公式;(Ⅱ)设数列{}n a 的前n 项和为n S ,求使35n S >成立的n 的最小值.16.(本小题满分13分)函数π()2co s co s()3f x x x m=⋅-+的部分图象如图所示.(Ⅰ)求m 的值; (Ⅱ)求0x 的值.17.(本小题满分13分)某企业2017年招聘员工,其中A 、B 、C 、D 、E 五种岗位的应聘人数、录用人数和录用比例(精确到1%)如下:(Ⅰ)从表中所有应聘人员中随机选择1人,试估计此人被录用的概率;(Ⅱ)从应聘E 岗位的6人中随机选择1名男性和1名女性,求这2人均被录用的概率; (Ⅲ)表中A 、B 、C 、D 、E 各岗位的男性、女性录用比例都接近(二者之差的绝对值不大于5%),但男性的总录用比例却明显高于女性的总录用比例.研究发现,若只考虑其中某四种岗位,则男性、女性的总录用比例也接近,请写出这四种岗位.(只需写出结论)18.(本小题满分14分)如图1,在△A B C 中,D ,E 分别为A B ,A C 的中点,O 为D E 的中点,A BA C ==,4B C =.将△A D E 沿D E 折起到△1A D E 的位置,使得平面1A D E⊥平面B C E D ,F 为1A C的中点,如图2. (Ⅰ)求证://E F平面1A B D ;(Ⅱ)求证:平面1A O B ⊥平面1A O C ;(Ⅲ)线段O C 上是否存在点G ,使得O C ⊥平面E F G ?说明理由.图1 图219.(本小题满分14分)已知椭圆2222:1(0)x y C a b a b+=>>2,以椭圆C 的任意三个顶点为顶点的三角形的面积是(Ⅰ)求椭圆C 的方程;(Ⅱ)设A 是椭圆C 的右顶点,点B 在x 轴上.若椭圆C 上存在点P ,使得90A P B∠=,求点B 横坐标的取值范围.20.(本小题满分13分)已知函数()e (ln )xf x a x =⋅+,其中a ∈R .(Ⅰ)若曲线()yf x =在1x =处的切线与直线ex y=-垂直,求a 的值;(Ⅱ)记()g x存在极小值点0x,且0()0a∈时,证明:()g x.当(0,ln2)f x的导函数为()f x<.西城区高三统一测试数学(文科)参考答案及评分标准2018.4一、选择题:本大题共8小题,每小题5分,共40分.1.D 2.B 3.C 4.A 5.D 6.B 7.A 8.D二、填空题:本大题共6小题,每小题5分,共30分.9.(0,1)(1,)+∞ 10.5- 110x±=12.3 13.3,32(答案不唯一) 14.22注:第11题第一空3分,第二空2分.三、解答题:本大题共6小题,共80分. 其他正确解答过程,请参照评分标准给分. 15.(本小题满分13分)解:(Ⅰ)设等差数列{}n a 的公差为d ,0d ≠.因为2a ,3a ,6a 成等比数列, 所以2326a a a =⋅. [ 2分]即2(1)14d d+=+, [ 4分]解得 2d =,或0d =(舍去). [ 6分]所以 {}n a 的通项公式为2(2)23n a a n d n =+-=-. [ 8分](Ⅱ)因为23n a n =-,所以2121()()222n n n n a a n a a S nn-++===-. [10分]依题意有 2235n n ->,解得 7n >. [12分]使35nS >成立的n 的最小值为8. [13分]解:(Ⅰ)依题意,有2π()13f =-, [ 2分]所以 2ππ2co s co s133m ⋅+=-,解得 12m=-. [ 4分](Ⅱ)因为π1()2co s co s()32f x x x =⋅--112c o s (c o s in )222x x x =⋅+-[ 6分]21co s co s 2x x x =+-1in 2c o s 222x x=+ [ 9分]πsin (2)6x =+. [10分]所以()f x 的最小正周期2ππ2T ==. [11分]所以 02ππ7π326x =+=. [13分]17.(本小题满分13分)解:(Ⅰ)因为 表中所有应聘人员总数为 5334671000+=,被该企业录用的人数为 264169433+=.所以从表中所有应聘人员中随机选择1人,此人被录用的概率约为4331000P=.[ 3分](Ⅱ)记应聘E 岗位的男性为1M ,2M ,3M ,被录用者为1M ,2M ;应聘E 岗位的女性为1F ,2F ,3F ,被录用者为1F ,2F . [ 4分] 从应聘E 岗位的6人中随机选择1名男性和1名女性,共9种情况,即:111213212223313233,,,,,,,,M F M F M F M F M F M F M F M F M F .[ 7分]这2人均被录用的情况有4种,即:11122122,,,M F M F M F M F . [ 8分] 记“从应聘E 岗位的6人中随机选择1名男性和1名女性,这2人均被录用”为事件K , 则4()9P K =. [10分](Ⅲ)这四种岗位是:B 、C 、D 、E . [13分]解:(Ⅰ)取线段1A B 的中点H ,连接H D ,H F . [ 1分] 因为 在△A B C 中,D ,E 分别为A B ,A C 的中点, 所以 //D EB C,12D EB C=.因为 H ,F 分别为1A B ,1A C 的中点,所以 //H F B C ,12H F B C=,所以 //H FD E,H FD E=,所以 四边形D E F H 为平行四边形, [ 3分] 所以 //E F H D . [ 4分] 因为 E F ⊄平面1A B D , H D ⊂平面1A B D , 所以 //E F 平面1A B D . [ 5分] (Ⅱ)因为 在△A B C 中,D ,E 分别为A B ,A C 的中点, 所以 AD AE =.所以11A D A E=,又O 为D E 的中点,所以 1A OD E⊥. [ 6分]因为 平面1A D E ⊥平面B C E D ,且1A O⊂平面1A D E ,所以 1A O ⊥平面B C E D , [ 7分]所以 1C OA O⊥. [ 8分]在△O B C 中,4B C =,易知 O B O C ==所以 C O B O⊥,所以 C O⊥平面1A O B , [ 9分]所以 平面1A O B ⊥平面1A O C . [10分](Ⅲ)线段O C 上不存在点G ,使得O C ⊥平面E F G . [11分]否则,假设线段O C 上存在点G ,使得O C ⊥平面E F G ,连接 G E ,G F ,则必有 O C G F⊥,且O CG E⊥.在 R t△1A O C 中,由F 为1A C 的中点,O CG F⊥,得G为O C 的中点. [12分]在 △E O C 中,因为 O C G E⊥,所以 E OE C=,这显然与 1E O =,E C =矛盾!所以 线段O C 上不存在点G ,使得O C⊥平面E F G . [14分]19.(本小题满分14分)解:(Ⅰ)设椭圆C 的半焦距为c .依题意,得2c a =a b=222a b c=+. [ 3分]解得2a =,b=.所以椭圆C 的方程为22142xy+=. [ 5分] (Ⅱ)“椭圆C 上存在点P ,使得90A P B∠=”等价于“存在不是椭圆左、右顶点的点P ,使得P A P B −−→−−→⋅=成立”. [ 6分]依题意,(2,0)A .设(,0)B t ,(,)P m n ,则2224m n+=, [ 7分]且 (2,)(,)0m n t m n --⋅--=,即 2(2)()0m t m n --+=. [ 9分]将2242m n-=代入上式,得 2(2)()24m m t m ---+=. [10分]因为 22m -<<,所以 22m t m +-+=,即22m t =+.[12分] 所以 2222t -<+<,解得20t -<<,所以 点B 横坐标的取值范围是(2,0)-. [14分]20.(本小题满分13分)解:(Ⅰ)11()e (ln )e e (ln )x x xf x a x a x xx'=⋅++⋅=⋅++. [ 2分]依题意,有(1)e (1)ef a '=⋅+=, [ 3分]第 11 页 共 11 页解得 0a =. [ 4分](Ⅱ)由(Ⅰ)得 1()e (ln )xg x a x x=⋅++,所以 2211121()e (ln )e ()e (ln )xxxg x a x a x xxxxx'=⋅+++⋅-=⋅+-+. [ 6分]因为 e 0x>,所以()g x '与221ln axxx+-+同号.设221()ln h x a xxx=+-+, [ 7分]则 223322(1)1()x x x h x xx-+-+'==.所以 对任意(0,)x ∈+∞,有()0h x '>,故()h x 在(0,)+∞单调递增. [ 8分] 因为(0,ln 2)a ∈,所以 (1)10h a =+>,11()ln22h a =+<,故存在01(,1)2x ∈,使得0()0h x =. [10分]()g x 与()g x '在区间1(,1)上的情况如下: 所以()g x 在区间01(,)2x 上单调递减,在区间0(,1)x 上单调递增.所以 若(0,ln 2)a ∈,存在01(,1)2x ∈,使得0x 是()g x 的极小值点. [11分] 令0()0h x =,得0212ln x a x x -+=,所以00212()e(ln )ex x x f x a x x -=⋅+=⋅<. [13分]。
北京市西城区2018年高三二模试卷数学(文科) 2018.5第Ⅰ卷(选择题 共40分)一、选择题:本大题共8小题,每小题5分,共40分. 在每小题列出的四个选项中,选出符合题目要求的一项.1.已知集合{0,1}A =,{1,0,3}B a =-+,且A B ⊆,则a 等于 (A )1(B )0(C )2- (D )3-2.已知i 是虚数单位,则复数2z 12i+3i =+所对应的点落在 (A )第一象限 (B )第二象限 (C )第三象限(D )第四象限4.在ABC ∆中,“0AB BC ⋅=”是“ABC ∆为直角三角形”的(A )充分不必要条件 (B )必要不充分条件 (C )充要条件(D )既不充分又不必要条件5.一个几何体的三视图如图所示,则其体积等于(A )2 (B )1 (C )16(D )236.函数sin ()y x x =π∈R 的部分图象如图所示,设O 为坐标原点,P 是图象的最高点,B 是图象与x 轴的交点,则tan OPB ∠=正(主)视图俯视图侧(左)视图(A )10 (B )8 (C )87(D )477.若2a >,则函数3()33f x x ax =-+在区间(0,2)上零点的个数为 (A )0个 (B )1个 (C )2个(D )3个8.已知点(1,0),(1,0)A B -及抛物线22y x =,若抛物线上点P 满足PA m PB =,则m 的最大值为 (A )3(B )2(C(D第Ⅱ卷(非选择题 共110分)二、填空题:本大题共6小题,每小题5分,共30分. 9. 已知}{n a 为等差数列,341a a +=,则其前6项之和为_____.10.已知向量(1=a,+=a b ,设a 与b 的夹角为θ,则θ=_____. 11.在ABC ∆中,若2B A =,:a b =A =_____.12.平面上满足约束条件2,0,60x x y x y ≥⎧⎪+≤⎨⎪--≤⎩的点(,)x y 形成的区域为D ,则区域D 的面积为________;设区域D 关于直线21y x =-对称的区域为E ,则区域D 和区域E 中距离 最近的两点的距离为________.13.定义某种运算⊗,a b ⊗的运算原理如右图所示.则0(1)⊗-=______;设()(0)(2)f x x x x =⊗-⊗.则(1)f =______. 14.数列{}n a 满足11a =,11n n n a a n λ+-=+,其中λ∈R ,12n = ,,.给出下列命题:①λ∃∈R ,对于任意i ∈*N ,0i a >;②λ∃∈R ,对于任意2()i i ≥∈*N ,10i i a a +<;③λ∃∈R ,m ∈*N ,当i m >(i ∈*N )时总有0i a <.其中正确的命题是______.(写出所有正确命题的序号)三、解答题:本大题共6小题,共80分. 解答应写出必要的文字说明、证明过程或演算步骤.15.(本小题满分13分)已知函数1)43()sin x f x xπ+-=. (Ⅰ)求函数()f x 的定义域;(Ⅱ)若()2f x =,求s i n 2x 的值.16.(本小题满分13分)如图,菱形ABCD 的边长为6,60BAD ∠=,AC BD O = .将菱形ABCD 沿对角线AC 折起,得到三棱锥B ACD -,点M 是棱BC的中点,DM =(Ⅰ)求证://OM 平面ABD ; (Ⅱ)求证:平面ABC ⊥平面M D O ; (Ⅲ)求三棱锥M A B D -17.(本小题满分13分)由世界自然基金会发起的“地球1小时”活动,已发展成为最有影响力的环保活动之一,今年的参与人数再创新高.然而也有部分公众对该活动的实际效果与负面影响提出了疑问.对此,某新闻媒体进行了网上调查,所有参与调查的人中,持“支持”、“保留”和“不(Ⅰ)在所有参与调查的人中,用分层抽样的方法抽取n 个人,已知从“支持”态度的人中抽取了45人,求n 的值;(Ⅱ)在持“不支持”态度的人中,用分层抽样的方法抽取5人看成一个总体,从这5人中任意选取2人,求至少有1人20岁以下的概率;(Ⅲ)在接受调查的人中,有8人给这项活动打出的分数如下:9.4,8.6,9.2,9.6,8.7,9.3,9.0,8.2.把这8个人打出的分数看作一个总体,从中任取1个数,求该数与总体平均数之差的绝对值超过0.6的概率.ABCCMOD18.(本小题满分14分)设函数()e x f x =,其中e 为自然对数的底数. (Ⅰ)求函数()()e g x f x x =-的单调区间;(Ⅱ)记曲线()y f x =在点00(,())P x f x (其中00x <)处的切线为l ,l 与x 轴、y 轴所围成的三角形面积为S ,求S 的最大值.19.(本小题满分14分)已知椭圆22221x y a b +=(0a b >>)的焦距为(Ⅰ)求椭圆方程;(Ⅱ)设过椭圆顶点(0,)B b ,斜率为k 的直线交椭圆于另一点D ,交x 轴于点E ,且,,BD BE DE 成等比数列,求2k 的值.20.(本小题满分13分)若函数)(x f 对任意的x ∈R ,均有)(2)1()1(x f x f x f ≥++-,则称函数)(x f 具有性质P .(Ⅰ)判断下面两个函数是否具有性质P ,并说明理由.①(1)x y a a =>; ②3y x =.(Ⅱ)若函数)(x f 具有性质P ,且(0)()0f f n ==(2,n >n ∈*N ),求证:对任意{1,2,3,,1}i n ∈- 有()0f i ≤;(Ⅲ)在(Ⅱ)的条件下,是否对任意[0,]x n ∈均有0)(≤x f .若成立给出证明,若不成立给出反例.北京市西城区2018年高三二模试卷参考答案及评分标准数学(文科) 2018.5一、选择题:本大题共8小题,每小题5分,共40分.二、填空题:本大题共6小题,每小题5分,共30分.9. 3 10. 120 11. 3012. 1;13. 1;1- 14. ①③注:12、13题第一问2分,第二问3分.14题只选出一个正确的命题给2分,选出错误的命题即得0分.三、解答题:本大题共6小题,共80分.若考生的解法与本解答不同,正确者可参照评分标准给分.15.(本小题满分13分) 解:解:(Ⅰ)由题意,sin 0x ≠, ……………2分所以,()x k k ≠π∈Z . ……………3分 函数()f x 的定义域为{,}x x k k ≠π∈Z . ……………4分(Ⅱ)因为()2f x =1)2sin 43x x π+-=, ……………5分1)2sin 3x x x -=, ……………7分 1cos sin 3x x -=, ……………9分 将上式平方,得11sin 29x -=, ……………12分所以8sin 29x =. ……………13分16.(本小题满分13分)(Ⅰ)证明:因为点O 是菱形ABCD 的对角线的交点,所以O 是AC 的中点.又点M 是棱BC 的中点,所以OM 是ABC ∆的中位线,//OM AB . ……………2分 因为OM ⊄平面ABD ,AB ⊂平面ABD ,所以//OM 平面ABD . ……………4分 (Ⅱ)证明:由题意,3OM OD ==,因为DM =所以90DOM ∠= ,OD OM ⊥. ……………6分 又因为菱形ABCD ,所以OD AC ⊥. …………7分 因为OM AC O = ,所以OD ⊥平面ABC , ……………8分 因为OD ⊂平面MDO ,所以平面ABC ⊥平面MDO . ……………9分(Ⅲ)解:三棱锥M ABD -的体积等于三棱锥D ABM -的体积. ……………10分由(Ⅱ)知,OD ⊥平面ABC ,所以3OD =为三棱锥D ABM -的高. ……………11分ABM ∆的面积为11sin120632222BA BM ⨯⨯=⨯⨯⨯=, ……………12分所求体积等于132ABM S OD ∆⨯⨯=. ……………13分17.(本小题满分13分) 解:(Ⅰ)由题意得80010080045020010015030045n++++++=, ……………2分所以100n =. ……………3分 (Ⅱ)设所选取的人中,有m 人20岁以下,则2002003005m=+,解得2m =.………5分也就是20岁以下抽取了2人,另一部分抽取了3人,分别记作A 1,A 2;B 1,B 2,B 3, 则从中任取2人的所有基本事件为 (A 1,B 1),(A 1, B 2),(A 1, B 3),(A 2 ,B 1),(A 2 ,B 2),(A 2 ,B 3),(A 1, A 2),(B 1 ,B 2),(B 2 ,B 3),(B 1 ,B 3)共10个. ………7分其中至少有1人20岁以下的基本事件有7个:(A 1, B 1),(A 1, B 2),(A 1, B 3),(A 2 ,B 1),(A 2 ,B 2),(A 2 ,B 3),(A 1, A 2), …………8分所以从中任意抽取2人,至少有1人20岁以下的概率为710. ……………9分 (Ⅲ)总体的平均数为1(9.48.69.29.68.79.39.08.2)98x =+++++++=,………10分 那么与总体平均数之差的绝对值超过0.6的数只有8.2, ……………12分ABCMO D所以该数与总体平均数之差的绝对值超过0.6的概率为81. ……………13分18.(本小题满分14分)解:(Ⅰ)由已知()e e x g x x =-,所以()e e x g x '=-, ……………2分 由()e e 0x g x '=-=,得1x =, ……………3分 所以,在区间(,1)-∞上,()0g x '<,函数()g x 在区间(,1)-∞上单调递减; ……………4分 在区间(1,)+∞上,()0g x '>,函数()g x 在区间(1,)+∞上单调递增; ……………5分 即函数()g x 的单调递减区间为(,1)-∞,单调递增区间为(1,)+∞. (Ⅱ)因为()e x f x '=,所以曲线()y f x =在点P 处切线为l :000e e ()x xy x x -=-. ……………7分 切线l 与x 轴的交点为0(1,0)x -,与y 轴的交点为000(0,e e )xxx -, ……………9分 因为00x <,所以002000011(1)(1)e (12)e 22x x S x x x x =--=-+, ……………10分 0201e (1)2x S x '=-, ……………12分 在区间(,1)-∞-上,函数0()S x 单调递增,在区间(1,0)-上,函数0()S x 单调递减. ……………13分所以,当01x =-时,S 有最大值,此时2eS =, 所以,S 的最大值为2e. ……………14分 19、(本小题满分14分) 解:(Ⅰ)由已知2c =,c a =……………2分解得2,a c =, ……………4分 所以2221b a c =-=, 椭圆的方程为2214xy +=. ……………5分 (Ⅱ)由(Ⅰ)得过B 点的直线为1y kx =+,由221,41,x y y kx ⎧+=⎪⎨⎪=+⎩得22(41)80k x kx ++=, ……………6分 所以2814D k x k =-+,所以221414D k y k-=+, ……………8分 依题意0k ≠,12k ≠±. 因为,,BD BE DE 成等比数列,所以2BE BD DE =, ……………9分 所以2(1)D D b y y =-,即(1)1D D y y -=, ……………10分当0D y >时,210D D y y -+=,无解, ……………11分 当0D y <时,210D D y y --=,解得D y =, ……………12分所以221414k k -=+2k = 所以,当,,BD BE DE成等比数列时,224k +=. ……………14分 20.(本小题满分13分)(Ⅰ)证明:①函数)1()(>=a a x f x具有性质P . ……………1分111(1)(1)2()2(2)x x x x f x f x f x a a a a a a-+-++-=+-=+-,因为1>a ,1(2)0x a a a+->, ……………3分 即)(2)1()1(x f x f x f ≥++-, 此函数为具有性质P .②函数3)(x x f =不具有性质P . ……………4分 例如,当1x =-时,(1)(1)(2)(0)8f x f x f f -++=-+=-,2()2f x =-, ……………5分所以,)1()0()2(-<+-f f f , 此函数不具有性质P .(Ⅱ)假设)(i f 为(1),(2),,(1)f f f n - 中第一个大于0的值, ……………6分 则0)1()(>--i f i f , 因为函数()f x 具有性质P ,所以,对于任意n ∈*N ,均有(1)()()(1)f n f n f n f n +-≥--,所以0)1()()2()1()1()(>--≥≥---≥--i f i f n f n f n f n f , 所以()[()(1)][(1)()]()0f n f n f n f i f i f i =--+++-+> ,与0)(=n f 矛盾,所以,对任意的{1,2,3,,1}i n ∈- 有()0f i ≤. ……………9分 (Ⅲ)不成立.例如2()()x x n x f x xx -⎧=⎨⎩为有理数,为无理数. ……………10分证明:当x 为有理数时,1,1x x -+均为有理数,222(1)(1)2()(1)(1)2(112)2f x f x f x x x x n x x x -++-=-++---++-=,当x 为无理数时,1,1x x -+均为无理数,22)1()1()(2)1()1(222=-++-=-++-x x x x f x f x f所以,函数)(x f 对任意的x ∈R ,均有)(2)1()1(x f x f x f ≥++-,即函数)(x f 具有性质P . ……………12分 而当],0[n x ∈(2n >)且当x 为无理数时,0)(>x f .所以,在(Ⅱ)的条件下,“对任意[0,]x n ∈均有0)(≤x f ”不成立.……………13分 (其他反例仿此给分. 如()()0()1x x f x ⎧=⎨⎩为有理数为无理数,()()0()1x x f x ⎧=⎨⎩为整数为非整数,2()()0()x x f x x⎧=⎨⎩为整数为非整数,等.)。
西城区高三模拟测试数学(文科) 2018.5第Ⅰ卷(选择题 共40分)一、 选择题:本大题共8小题,每小题5分,共40分.在每小题列出的 四个选项中,选出符合题目要求的一项.1.若集合{|01}A x x =<<,2{|20}B x x x =-<,则下列结论中正确的是 (A )AB =∅(B )A B =R(C )A B ⊆ (D )B A ⊆2.复数11i =- (A )1i 22+ (B )1i22-+(C )1i22--(D )1i 22- 3.下列函数中,既是偶函数又在区间(0,)+∞上单调递减的是 (A )1y x=(B )2y x = (C )cos y x = (D )ln ||y x =-4.某正四棱锥的正(主)视图和俯视图如图所示,该正四棱锥的侧棱长是(A(B(C )(D )5.向量,,a b c 在正方形网格中的位置如图所示.若向量λ+a b 与c共线,则实数λ= (A )2-(B )1-(C )1(D )26.设,a b ∈R ,且0ab ≠.则“1ab >”是“1a b>”的 (A )充分而不必要条件 (B )必要而不充分条件 (C )充分必要条件(D )既不充分也不必要条件7.设不等式组 1,3,25x x y x y ⎧⎪+⎨⎪+⎩≥≥≤ 表示的平面区域为D .若直线0ax y -=上存在区域D 上的点,则实数a 的取值范围是(A )1[,2]2(B )1[,3]2(C )[1,2](D )[2,3]8.地铁某换乘站设有编号为 A ,B ,C ,D ,E 的五个安全出口.若同时开放其中的两个安 全出口,疏散1000名乘客所需的时间如下:则疏散乘客最快的一个安全出口的编号是 (A )A (B )B(C )D(D )E第Ⅱ卷(非选择题 共110分)二、填空题:本大题共6小题,每小题5分,共30分. 9.函数1||2y x =+的最大值是____.10.执行如右图所示的程序框图,输出的k 值为____.11.在△ABC 中,3a =,2b =,4cos 5B =,则sin A =____.12.双曲线22:1916y x C -=的焦距是____;若圆222(1)(0)x y r r -+=>与双曲线C 的渐近线相切,则r =____.13.为绿化生活环境,某市开展植树活动.今年全年植树6.4万棵,计划3年后全年植树12.5万棵.若植树的棵数每年的增长率均为a ,则a =____.14.已知函数2,1,()1,1,2x a x f x x a x ⎧+⎪=⎨+>⎪⎩≤ 其中a ∈R .如果函数()f x 恰有两个零点,那么a 的取值范围是____.三、解答题:本大题共6小题,共80分.解答应写出必要的文字说明、证明过程或演算步骤.15.(本小题满分13分)在等差数列{}n a 和等比数列{}n b 中,111a b ==,22a b =,432a b +=. (Ⅰ)求{}n a 和{}n b 的通项公式; (Ⅱ)求数列{}n n a b +的前n 项和n S .16.(本小题满分13分)已知函数cos2()sin cos xf x x x=+.(Ⅰ)求()f x 的定义域; (Ⅱ)求()f x 的取值范围.17.(本小题满分13分)在某地区,某项职业的从业者共约8.5万人,其中约3.4万人患有某种职业病.为了解这种职业病与某项身体指标(检测值为不超过6的正整数)间的关系,依据是否患有职业病,使用分层抽样的方法随机抽取了100名从业者,记录他们该项身体指标的检测值,整理得到如下统计图:(Ⅰ)求样本中患病者的人数和图中a ,b 的值; (Ⅱ)试估计此地区该项身体指标检测值不低于5的从业者的人数;(III )某研究机构提出,可以选取常数0 4.5X =,若一名从业者该项身体指标检测值大于0X ,则判断其患有这种职业病;若检测值小于0X ,则判断其未患有这种职业病.从样本中随机选择一名从业者,按照这种方式判断其是否患病,求判断错误的概率.18.(本小题满分14分)如图,梯形ABCD 所在的平面与等腰梯形ABEF 所在的平面互相垂直,////AB CD EF ,AB AD ⊥,G 为AB 的中点.2CD DA AF FE ====,4AB =.(Ⅰ)求证://DF 平面BCE ;(Ⅱ)求证:平面BCF ⊥平面GCE ; (Ⅲ)求多面体AFEBCD 的体积.19.(本小题满分13分)已知函数ln ()xf x ax x =-,曲线()y f x =在1x =处的切线经过点(2,1)-.(Ⅰ)求实数a 的值;(Ⅱ)设1b >,求()f x 在区间1[,]b b 上的最大值和最小值.20.(本小题满分14分)已知椭圆C :2222 1 (0)x y a b a b +=>>(0,1).(Ⅰ)求椭圆C 的方程;(Ⅱ)设直线y x =与椭圆C 交于A ,B 两点,斜率为k 的直线l 与椭圆C 交于M ,N 两点,与直线y x =交于点P (点P 与点A ,B ,M ,N 不重合). (ⅰ)当1k =-时,证明:||||||||PA PB PM PN =; (ⅱ)写出||||||||PA PB PM PN 以k 为自变量的函数式(只需写出结论).西城区高三模拟测试数学(文科)参考答案及评分标准2018.5一、选择题:本大题共8小题,每小题5分,共40分.1.C 2.A 3.D 4.B 5.D 6.D 7.B 8.C二、填空题:本大题共6小题,每小题5分,共30分.9.12 10.511.91012.10,35 13.25% 14.1[2,)2--注:第12题第一空3分,第二空2分.三、解答题:本大题共6小题,共80分. 其他正确解答过程,请参照评分标准给分. 15.(本小题满分13分)解:(Ⅰ)设等差数列{}n a 的公差为d ,等比数列{}n b 的公比为q .依题意,得 21,2(13).d q d q +=⎧⎨++=⎩ ……………… 2分解得 2,3,d q =⎧⎨=⎩或1,0.d q =-⎧⎨=⎩(舍去) ……………… 4分所以 21n a n =-,13n n b -=. (6)分(Ⅱ)因为 1213n n n a b n -+=-+, ……………… 7分所以 21[135(21)](1333)n n S n -=++++-+++++ ………………9分[1(21)]13213nn n +--=+-………………11分2312n n -=+. ………………13分16.(本小题满分13分)解:(Ⅰ)由 sin cos 0x x +≠, ……………… 2分得 π)04x +≠, ………………3分所以 ππ4x k +≠,其中k ∈Z . ……………… 4分所以()f x 的定义域为π{|π,}4x x k k ∈≠-∈R Z . ………………5分(Ⅱ)因为 22cos sin ()sin cos x xf x x x-=+ ………………7分cos sin x x =- ……………… 9分π)4x =+. ………………11分由(Ⅰ)得 ππ4x k +≠,其中k ∈Z , 所以 π1cos()14x -<+<, ………………12分所以 ()f x 的取值范围是(. ………………13分17.(本小题满分13分)解:(Ⅰ)根据分层抽样原则,容量为100的样本中,患病者的人数为3.4100408.5⨯=人. ……………… 2分10.100.350.250.150.100.05a =-----=,10.100.200.300.40b =---=. ………………4分(Ⅱ)指标检测值不低于5的样本中,有患病者40(0.300.40)28⨯+=人,未患病者60(0.100.05)9⨯+=人,共37人.………………6分此地区该项身体指标检测值不低于5的从业者的人数约为378500031450100⨯=人.………………8分(Ⅲ)当0 4.5X =时,在100个样本数据中, 有40(0.100.20)12⨯+=名患病者被误判为未患病, (10)分有60(0.100.05)9⨯+=名未患病者被误判为患病者, ………………12分因此判断错误的概率为21100. ………………13分18.(本小题满分14分)解:(Ⅰ)因为 //CD EF ,且CD EF =,所以 四边形CDFE 为平行四边形,所以 //DF CE . …… 2分因为 DF ⊄平面BCE ,…… 3分所以 //DF 平面BCE .…… 4分 (Ⅱ)连接FG .因为 平面ABCD ⊥平面ABEF ,平面ABCD I 平面ABEF AB =,AD AB ⊥, 所以 AD ⊥平面ABEF ,所以 BF AD ⊥. ………………6分因为 G 为AB 的中点,所以 //AG CD ,且AG CD =;//EF BG ,且EF BG =, 所以 四边形AGCD 和四边形BEFG 均为平行四边形.所以 //AD CG , 所以 BF CG ⊥. ………………7分因为 EF EB =,所以 四边形BEFG 为菱形,所以 BF EG ⊥. ………………8分所以 BF ⊥平面GCE . ………………9分所以 平面BCF ⊥平面GCE . ………………10分(Ⅲ)设 BF GE O =I .由(Ⅰ)得 //DF CE ,所以 //DF 平面GCE , 由(Ⅱ)得 //AD CG ,所以 //AD 平面GCE , 所以 平面//AD F 平面GCE ,所以 几何体AD F GCE -是三棱柱. ………………11分由(Ⅱ)得 BF ⊥平面GCE .所以 多面体AFEBCD 的体积 ADF GCE B GCE V V V --=+ ………………12分13GCE GCE S FO S BO ∆∆=⋅+⋅43GCE S FO ∆=⋅=. ………………14分19.(本小题满分13分)解:(Ⅰ)()f x 的导函数为221ln ()x ax f x x --'=, ………………2分所以(1)1f a '=-. 依题意,有 (1)(1)112f a --=--,即1112a a -+=--, ……………… 4分解得 1a =. ………………5分(Ⅱ)由(Ⅰ)得221ln ()x xf x x --'=.当0<<1x 时,210x ->,ln 0x ->,所以()0f x '>,故()f x 单调递增;当>1x 时,210x -<,ln 0x -<,所以()0f x '<,故()f x 单调递减.所以 ()f x 在区间(0,1)上单调递增,在区间(1,)+∞上单调递减. (8)分因为 101b b<<<,所以 ()f x 最大值为(1)1f =-. ……………… 9分设 111()()()()ln h b f b f b b b b b b=-=+-+,其中1b >. ………………10分则 21()(1)ln 0h b b b '=->, 故 ()h b 在区间(1,)+∞上单调递增. ………………11分所以 ()(1)0h b h >=, 即 1()()f b f b>, ………………12分故 ()f x 最小值为11()ln f b b b b=--. ………………13分20.(本小题满分14分)解:(Ⅰ)设椭圆C 的半焦距为c .依题意,得c a =1b =, 且 222a b c =+. ……………… 2分解得 a ………………3分所以 椭圆C 的方程是 2213x y +=. ………………4分(Ⅱ)(ⅰ)由 22,33,y x x y =⎧⎪⎨+=⎪⎩ 得A ,(B . ……………… 5分1k =-时,设直线l 的方程为y x t =-+.由 22,33,y x t x y =-+⎧⎪⎨+=⎪⎩ 得 2246330x tx t -+-=. ……………… 6分令223648(1)0t t ∆=-->,解得 24t <. 设 1122(,),(,)M x y N x y ,则 1232t x x +=,212334t x x -⋅=.……………… 8分由 ,,y x t y x =-+⎧⎨=⎩ 得(,)22t tP . ……………… 9分所以 23||||2t PA PB -==. ………………10分因为 1||PM x =,同理2||PN x =-.所以 12||||222t tPM PN x x =-⋅-2233324224t t t t -=-⋅+232t -=.所以 ||||||||PA PB PM PN =. ………………12分(ⅱ)22||||13||||2(1)PA PB k PM PN k +=+. ………………14分。