集合典型题总结和方法分析
- 格式:doc
- 大小:370.50 KB
- 文档页数:6
高二数学集合的运算试题答案及解析1.设集合,,则下列关系中正确的是()A.B.C.D.【答案】B【解析】已知,,显然,故选B.【考点】集合的关系.2.集合,,若,则的值为A.0B.1C.2D.4【答案】D【解析】由可知a与a2中一个为4,一个为16,因此a=4,答案选D.【考点】集合的运算与性质3.现有含三个元素的集合,既可以表示为,也可表示为{a2,a+b,0},则a2 013+b2 013=________.A.-1B.0C.1D.2【答案】A【解析】因为=,所以【考点】集合相等的概念.x<1},Q={x||x-4.设P和Q是两个集合,定义集合P-Q={x|x∈P,且x∉Q},如果P={x|log22|<1},那么P-Q=()A.{x|0<x<1}B.{x|0<x≤1}C.{x|1≤x<2}D.{x|2≤x<3}【答案】B【解析】因为,所以【考点】新定义下的集合的运算.5.设全集I=R,已知集合M={x|(x+3)2≤0},N={x|x2+x-6=0}.(1)求(∁M)∩N;IM)∩N,已知集合B={x|a-1≤x≤5-a,a∈R},若B∪A=A,求实数a的(2)记集合A=(∁I取值范围.【答案】(1){2};(2){a|a≥3}【解析】(1)已知两集合若求交、并、补应注意端点值以及结合数轴完成;(2)已知两个集合之间的关系求参数时,要明确集合中的元素,对子集是否为空集进行分类讨论,做到不漏解恒成立问题一般需转化为最值,利用单调性证明在闭区间的单调性.(3)一元二次不等式在上恒成立,看开口方向和判别式.(4)含参数的一元二次不等式在某区间内恒成立的问题通常有两种处理方法:一是利用二次函数在区间上的最值来处理;二是分离参数,再去求函数的最值来处理,一般后者比较简单,对于恒成立的问题,常用到以下两个结论:(1),(2).试题解析:(1)∵M={x|≤0}={-3}, N={x|x2+x-6=0}={-3,2},∴={x|x≠-3},∴()∩N={2}.(2)A=()∩N={2},∵A∪B=A,∴B⊆A,∴B=或B={2},当B=时,a-1>5-a,∴a>3;当B={2}时,,解得a=3,综上所述,所求a的取值范围为{a|a≥3}.【考点】(1)集合间的基本关系;(2)利用最值证明恒成立问题.6.若规定E=的子集为E的第k个子集,其中k=,则(1)是E的第个子集;(2)E的第211个子集是.【答案】(1)5;(2).【解析】(1)由题意新定义知,中,,,故第一空应填5;(2)因为,所以E的第211个子集包含,此时211-128=83;又因为,,所以E的第211个子集包含,此时83-64=19;又因为,,所以E的第211个子集包含,此时19-16=3;又因为,,所以E的第211个子集包含,此时3-2=1;因为,所以E的第211个子集包含;故E的第211个子集是.故第二空应填.【考点】子集与真子集;新定义.7.已知全集,集合,则A.B.C.D.【答案】D【解析】.【考点】集合的并集、补集运算.8.已知集合,集合,则( ).A.B.C.D.【答案】B【解析】因为,,所以.【考点】集合的运算.9.设全集.(1)解关于x的不等式;(2)记A为(1)中不等式的解集,集合,若恰有3个元素,求的取值范围.【答案】(1)当时,原不等式的解集为;当时,原不等式的解集为;(2).【解析】解题思路:(1)讨论的范围,分情况求的解集即可;(2)先化简集合,再利用题意得出的限制条件,进而求的范围.规律总结:解绝对值不等式的题型主要有:,;主要思路从去掉绝对值符号入手,往往讨论变量的范围去掉绝对值符号,变成分段函数求解问题.试题解析:(1)∵∴ⅰ当即时,原不等式的解集为Rⅱ当即时,或∴或此时原不等式的解集为.(2)∵恰有3个元素,∴,∵∴∴∵恰有3个元素∴或或解得:所以的取值范围为.【考点】1.绝对值不等式;2.集合间的运算.10.设则( ).A.B.C.D.【答案】B【解析】,;;故选B.【考点】集合间的运算.11.已知集合,则=A.B.C.D.【答案】C【解析】化简集合得,,所以;故选C.【考点】集合的运算.12.已知集合,,则().A.B.C.D.【答案】C.【解析】如图,可知集合A与集合B的公共元素为和,故选C.【考点】集合间的交集运算.13.若集合, , ()A.B.C.D.【答案】A【解析】求出指数函数的值域及函数的定义域,分别确定出集合和,找出两集合解集中的公共部分即可得到两集合的交集.【考点】交集及其运算;指数函数的定义、解析式、定义域和值域.14.对于集合 (),定义集合,记集合中的元素个数为.(1)若集合,则;(2)若是公差大于零的等差数列,则 (用含的代数式表示).【答案】(1);(2)【解析】因为对于集合,定义集合,记集合中的元素个数为,即集合中的元素是集合中任意两个元素的和的集合,所以(1)当时,,;(2)由题意,集合中最小项为,最大项为,对任意的,如果,则可取,若,可取,显然由于,有,即,所以.【考点】1.集合的含义.2.等差数列的通项公式.15.设集合,,则()A.B.C.D.【答案】C【解析】.故【考点】集合的运算16.设集合A={4,5,7,9},B={3,4,7,8,9},全集U = A B,则集合的真子集共有()A.3个B.6个C.7个D.8个【答案】C【解析】.【考点】集合的运算.17.已知集合A={x|1<ax<2},集合B={x||x|<1}.当A B时,求a的取值范围.【答案】a≤-2或a=0或a≥2.【解析】根据B={x||x|<1},求得B={x|-1<x<1},由A⊆B,及A={x|1<ax<2},解含参数的不等式1<ax<2,对a进行讨论,并求出此时满足题干的a应满足的条件,解不等式即可求得实数a的范围..试题解析:由已知,B={x|-1<x<1}.(ⅰ)当a=0时,A=,显然A⊆B.(ⅱ)当a>0时,A={x|<x<},要使A B,必须,所以a≥2.(ⅲ)当a<0时,A={x|<x<},要使A B,必须,即a≤-2.综上可知,a≤-2或a=0或a≥2.【考点】集合关系中的参数取值问题.18.设集合,那么点P(2,3)的充要条件是______________________.【答案】m<-1,n<5【解析】,∴把点P坐标代入相应的不等式得:m<-1,n<5.【考点】(1)集合的运算;(2)线性规划.19.命题:实数满足,其中,命题:实数满足或,且是的必要不充分条件,求的取值范围.【答案】-≤a<0或a≤-4.【解析】先对集合进行化简,由是p的必要不充分条件,可知推不出p,所以可得不等式或,解不等式组即可.试题解析:解:设A={x|x2-4ax+3a2<0(a<0)}={x|3a<x<a}, 2分B={x|x2-x-6≤0或x2+2x-8<0}={x|x2-x-6<0}∪{x|x2+2x-8>0}={x|-2≤x≤3}∪{x|x<-4或x>2}={x|x<-4或x≥-2}. 4分因为是p的必要不充分条件,所以推不出p,由得 6分或 10分即-≤a<0或a≤-4. 12分【考点】本题考查充要条件,集合之间的关系和运算.20.设命题:实数满足,其中;命题:实数满足.(1)若,且为真,求实数的取值范围;(2)若是成立的必要不充分条件,求实数的取值范围.【答案】(1);(2).【解析】先根据题意化简给出的两个命题:,,(1)当时,确定,再由为真,可知均为真,故所求实数的取值范围就是命题所表示的集合的交集;(2)由条件可知,是的充分不必要条件,故命题所表示的集合是命题所表示的集合的真子集,然后借用数轴求解即可.试题解析:(1)由得 1分又,所以 2分当时,,即为真命题时,实数的取值范围是 4分由得所以为真时实数的取值范围是. 6分若为真,则,所以实数的取值范围是 8分(2)设, 10分是的充分不必要条件,则 12分所以,所以实数的取值范围是 14分.【考点】1.逻辑联结词;2.集合的运算;3.充分必要条件.21.设集合,如果满足:对任意,都存在,使得,那么称为集合的一个聚点,则在下列集合中:(1);(2);(3);(4),以为聚点的集合有(写出所有你认为正确的结论的序号).【答案】(2)(3)【解析】(1)对于某个a<1,比如a=0.5,此时对任意的x∈Z+∪Z-,都有|x-0|=0或者|x-0|≥1,也就是说不可能0<|x-0|<0.5,从而0不是Z+∪Z-的聚点;(2)集合{x|x∈R,x≠0},对任意的a,都存在x=(实际上任意比a小得数都可以),使得0<|x|=<a,∴0是集合{x|x∈R,x≠0}的聚点;(3)集合中的元素是极限为0的数列,对于任意的a>0,存在n>,使0<|x|=<a,∴0是集合的聚点.(4)集合中的元素是极限为1的数列,除了第一项0之外,其余的都至少比0大,∴在a<的时候,不存在满足得0<|x|<a的x,∴0不是集合的聚点.故答案为(2)(3).【考点】新定义问题,集合元素的性质,数列的性质。
集合知识点及题型归纳总结知识点精讲一、集合的有关概念 1.集合的含义与表示某些指定对象的部分或全体构成一个集合.构成集合的元素除了常见的数、点等数学对象外,还可以是其他对象.2.集合元素的特征(1)确定性:集合中的元素必须是确定的,任何一个对象都能明确判断出它是否为该集合中的元素. (2)互异性:集合中任何两个元素都是互不相同的,即相同元素在同一个集合中不能重复出现. (3)无序性:集合与其组成元素的顺序无关.如{}{},,,,a b c a c b =. 3.集合的常用表示法集合的常用表示法有列举法、描述法、图示法(韦恩图、数轴)和区间法. 4.常用数集的表示R 一实数集 Q 一有理数集 Z 一整数集 N 一自然数集*N 或N +一正整数集 C 一复数集二、集合间的关系1.元素与集合之间的关系元素与集合之间的关系包括属于(记作a A ∈)和不属于(记作a A ∉)两种. 空集:不含有任何元素的集合,记作∅. 2.集合与集合之间的关系 (1)包含关系.子集:如果对任意a A A B ∈⇒∈,则集合A 是集合B 的子集,记为A B ⊆或B A ⊇,显然A A ⊆.规定:A ∅⊆.(2)相等关系.对于两个集合A 与B ,如果A B ⊆,同时B A ⊆,那么集合A 与B 相等,记作A B =. (3)真子集关系.对于两个集合A 与B ,若A B ⊆,且存在b B ∈,但b A ∉,则集合A 是集合B 的真子集,记作AB 或B A .空集是任何集合的子集,是任何非空集合的真子集.三、集合的基本运算集合的基本运算包括集合的交集、并集和补集运算,如表11-所示.IA{|IA x x =1.交集由所有属于集合A 且属于集合B 的元素组成的集合,叫做A 与B 的交集,记作A B ⋂,即{}|A B x x A x B ⋂=∈∈且.2.并集由所有属于集合A 或属于集合B 的元素组成的集合,叫做A 与B 的并集,记作A B ⋃,即{}|A B x x A x B ⋃=∈∈或.3.补集已知全集I ,集合A I ⊆,由I 中所有不属于A 的元素组成的集合,叫做集合A 相对于全集I 的补集,记作IA ,即{}|I A x x I x A =∈∉且.四、集合运算中常用的结论 1.集合中的逻辑关系 (1)交集的运算性质.A B B A ⋂=⋂,A B A ⋂⊆,A B B ⋂⊆ A I A ⋂=,A A A ⋂=,A ⋂∅=∅. (2)并集的运算性质.A B B A ⋃=⋃,A A B ⊆⋃,B A B ⊆⋃ A I I ⋃=,A A A ⋃=,A A ⋃∅=. (3)补集的运算性质.()II A A =,I I ∅=,I I =∅ ()I A A ⋂=∅,()I A A I ⋃.补充性质:II I A B A A B B A B B A A B ⋂=⇔⋃=⇔⊆⇔⊆⇔⋂=∅.(4)结合律与分配律.结合律:()()A B C A B C ⋃⋃=⋃⋃ ()()A B C A B C ⋂⋂=⋂⋂. 分配律:()()()A B C A B A C ⋂⋃=⋂⋃⋂ ()()()A B C A B A C ⋃⋂=⋃⋂⋃. (5)反演律(德摩根定律).()()()II I A B A B ⋂=⋃()()()II I A B A B ⋃=⋂.即“交的补=补的并”,“并的补=补的交”. 2.由*(N )n n ∈个元素组成的集合A 的子集个数A 的子集有2n 个,非空子集有21n -个,真子集有21n -个,非空真子集有22n -个.3.容斥原理()()()()Card A B Card A Card B Card A B ⋃=+-⋂.题型归纳及思路提示I AA题型1 集合的基本概念思路提示:利用集合元素的特征:确定性、无序性、互异性. 例1.1 设,a b R ∈,集合{}1,,0,,b a b a b a ⎧⎫+=⎨⎬⎩⎭,则b a -=( ) A .1 B .1- C .2 D .2-解析:由题意知{}01,,a b a ∈+,又0a ≠,故0a b +=,得1ba=-,则集合{}{}1,0,0,1,a b =-,可得1,1,2a b b a =-=-=,故选C 。
集合123412n x A x B A B A B A n A ∈∉⎧⎪⎪⎨⎪⎪⎩∈⇒∈⊆()元素与集合的关系:属于()和不属于()()集合中元素的特性:确定性、互异性、无序性集合与元素()集合的分类:按集合中元素的个数多少分为:有限集、无限集、空集()集合的表示方法:列举法、描述法(自然语言描述、特征性质描述)、图示法、区间法子集:若 ,则,即是的子集。
、若集合中有个元素,则集合的子集有个, 注关系集合集合与集合{}00(2-1)23,,,,.4/nA A ABC A B B C A C A B A B x B x A A B A B A B A B A B x x A x B A A A A A B B A A B ⎧⎪⎧⎪⎪⎪⊆⎪⎪⎨⎪⊆⊆⊆⎨⎪⎪⎪⎩⎪⎪⊆≠∈∉⎪⊆⊇⇔=⎪⎩⋂=∈∈⋂=⋂∅=∅⋂=⋂⋂⊆真子集有个。
、任何一个集合是它本身的子集,即 、对于集合如果,且那么、空集是任何集合的(真)子集。
真子集:若且(即至少存在但),则是的真子集。
集合相等:且 定义:且交集性质:,,,运算{}{},/()()()-()/()()()()()()U U U U U U U U A A B B A B A B A A B x x A x B A A A A A A B B A A B A A B B A B A B B Card A B Card A Card B Card A B C A x x U x A A C A A C A A U C C A A C A B C A C B ⎧⎪⎨⋂⊆⊆⇔⋂=⎪⎩⎧⋃=∈∈⎪⎨⋃=⋃∅=⋃=⋃⋃⊇⋃⊇⊆⇔⋃=⎪⎩⋃=+⋂=∈∉=⋂=∅⋃==⋂=⋃,定义:或并集性质:,,,,, 定义:且补集性质:,,,, ()()()U U U C A B C A C B ⎧⎪⎪⎪⎪⎪⎪⎧⎪⎪⎪⎪⎪⎪⎪⎪⎪⎪⎪⎪⎪⎪⎪⎪⎪⎪⎨⎪⎪⎪⎪⎪⎧⎪⎨⎪⎪⎪⎪⎪⎪⎪⎪⎪⎪⎪⎪⎪⎪⎪⎪⎪⎨⎪⎪⎪⎪⎪⎪⎪⎧⎪⎪⎪⎪⎪⎪⎪⎨⎪⎪⎪⎪⎪⋃=⋂⎪⎪⎩⎩⎩⎩一、集合有关概念 1. 集合的含义2. 集合的中元素的三个特性: (1)元素确实定性如:世界上最高的山(2)元素的互异性如:由HAPPY 的字母组成的集合{H,A,P,Y} (3)元素的无序性: 如:{a,b,c}和{a,c,b}是表示同一个集合 3.元素与集合的关系——〔不〕属于关系 〔1〕集合用大写的拉丁字母A 、B 、C …表示元素用小写的拉丁字母a 、b 、c …表示〔2〕假设a 是集合A 的元素,就说a 属于集合A,记作a ∈A;假设不是集合A 的元素,就说a 不属于集合A,记作a ∉A;4.集合的表示方法:列举法与描述法。
《子集、全集、补集》典型例题剖析题型1 集合关系的判断例1 指出下列各组集合之间的关系:(1){15},{05}A xx B x x =-<<=<<∣∣; (2){}21(1)0,,2nA x x xB x x n ⎧⎫+-=-===∈⎨⎬⎩⎭Z ∣∣;(3){(,)0},{(,)0,00,0}A x y xy B x y x y x y =>=>><<∣∣或; (4){}{}2*2*1,,45,A x x a a B x x a a a ==+∈==-+∈N N ∣∣.解析 (1)中集合表示不等式,可以根据范围直接判断,也可以利用数轴判断;(2)解集合A 中方程得到集合A ,再根据集合B 中n 分别为奇数、偶数得到集合B ,进行判断;(3)可以根据集合中元素的特征或者集合的几何意义判断;(4)将集合A 中x 关于a 的关系式改写成集合B 中的形式,再进行判断.答案 (1)方法一:集合B 中的元素都在集合A 中,但集合A 中有些元素(比如00.5-,)不在集合B 中,故BA .方法二:利用数轴表示集合A ,B ,如下图所示,由图可知BA .(2){}20{0,1}A x x x =-==∣.在集合B 中,当n 为奇数时,1(1)02nx +-==,当n 为偶数时,1(1)1,{0,1},2n x B A B +-==∴=∴=.(3)方法一:由00000xy x y x y >>><<得,或,;由000x y x >><,或,0y <得0xy >,从而A B =.方法二:集合A 中的元素是平面直角坐标系中第三象限内的点对应的坐标,集合B 中的元素也是平面直角坐标系中第一、三象限内的点对应的坐标,从而A B =.(4)对于任意x A ∈,有221(2)4(2)5x a a a =+=+-++.**,2{3,4,5},a a x B ∈∴+∈∴∈N N .由子集的定义知,A B ⊆.设1B ∈,此时2451a a -+=,解得*2,a a =∈N .211a +=在*a ∈N 时无解,1A ∴∉. 综上所述,AB .名师点评 对于(5),在判断集合A 与B 的关系时可先根据定义判断A B ⊆,再进一步判断AB .判断A B 时,只要在集合B 中找出一个元素不属于集合A 即可.变式训练1 判断下列各组中两个集合的关系:(1){3,},{6,}A xx k k B x x z z ==∈==∈N N ∣∣; (2)1,24k A xx k ⎧⎫==+∈⎨⎬⎩⎭Z ∣,1,42k B x x k ⎧⎫==+∈⎨⎬⎩⎭Z ∣. 答案 (1)A 中的元素都是3的倍数,B 中的元素都是6的倍数,对于任意的,63(2)z z z ∈=⨯N ,因为z ∈N ,所以2z ∈N ,从而可得6z A ∈,从而有B A ⊆.设63z =,则12z =∉N ,故3B ∉,但3A ∈,所以BA . (2)方法一:取,0,1,2,3,4,5,k =,可得1357911,,,,,,,444444A ⎧⎫=⎨⎬⎩⎭,13537,,,1,,,,24424B ⎧⎫=⎨⎬⎩⎭, 易知A 中任一元素均为B 中的元素,但B 中的有些元素不在集合A 中,A B .方法二:集合A 的元素为121()244k k x k +=+=∈Z ,集合B 的元素为12()424k k x k +=+=∈Z ,而21k +为奇数,2k +为整数,A B ∴.点拨 判断两个集合的关系要先找到集合中元素的特征,再由特征判断集合间的关系. 题型2 根据集合间的包含关系求参数的值范围 类型(一)有限集的问题例2 已知{}2230,{10}A x x x B x ax =--==-=∣∣,若BA ,试求a 的值.解析: 首先将集合A ,B 具体化,在对集合B 具体化时,要注意对参数a 进行讨论,然后再由BA 求a 的值.答案 {}2230{1,3}A x x x =--==-∣,且BA ,(1)当B =∅时,方程10ax -=无解,故0a =;(2)当B ≠∅时,则1B a ⎧⎫=⎨⎬⎩⎭.若11a =-,即1a =-时,B A ; 若13a =,即13a =时,B A . 综上可知,a 的值为:10,1,3-.易错提示 特别要注意子集与真子集的区别,审清题意,由题目的具体条件确定真子集是否有可能为∅,这是个易错点.变式训练2 已知集合{}2320,{05,}A x x x B x x x =-+==<<∈N ∣∣,那么满足A C B 的集合C 的个数是( )A.1B.2C.3D.4 答案 B点拨 {}2320{1,2},{05,}{1,2,3,4}A x x x B x x x =-+===<<∈=N ∣∣,由题意集合C 可以是{123},,,{124},,.本题考查对元素个数及真子集的理解,一定要弄清子集和真子集的区别.变式训练3 把上题改为:已知集合{2320}A x x x =-+=∣,{05,}B xx x =<<∈N ∣,则满足A C B ⊆⊆的集合C 的个数是___________.答案 4点拨 {}2320{1,2},{05,}{1,2,3,4}A x x x B x x x =-+===<<∈=N ∣∣,由题意集合C 可以是{1,2},{1,2,3},{1,2,4},{1,2,3,4},故答案为4.类型(二) 无限集的问题例 3 已知集合{04},{}A x x B x x a =<=<∣∣,若A B ,求实数a 的取值集合.解析 将数集A 在数轴上表示出来,再将B 在数轴上表示出来,使得A B ,即可求出a 的取值范围.答案 将数集A 表示在数轴上(如图),要满足AB ,表示数a 的点必须在表示4的点处或在表示4的点的右边.所以所求a 的集合为{4}aa ∣.易错提示 在解决取值范围问题时,一般借助数轴比较直观,但一定要注意端点的取舍问题,能取的用实心点,不能取的用空心点,此题易漏掉端点4,显然4a =符合题意.变式训练 4 已知集合{25},{121}A xx B x a x a =-=+-∣∣. (1)若B A ⊆,求实数a 的取值范围; (2)若AB ,求a 的取值范围.答案 (1),B A D ⊆∴=∅①时,满足要求. 则121a a +>-即2a <;②B ≠∅时,则121,12,23215a a a a a +-⎧⎪+-⇒⎨⎪-⎩.综上可知:3a ≤. (2)121,,12215a a AB a a +-⎧⎪∴+-⎨⎪-⎩,,且12215a a +≤--≥与中的等号不能同时成立. 解这个不等式组,无解,a ∴∈∅,即不存在这样的a 使A B .题型3 集合的全集与补集问题例4 已知全集U ,集合 {1,3,5,7},{2,46},{1,4,6}UU A A B ===,,则集合B =____________.解析 因为{1,3,5,7},{2,4,6}UA A ==,所以{1,2,3,4,5,6,7}U =.又由已知{1,4,6}UB =,所以{2,3,5,7}B =.答案 27}3{5,,,变式训练5 设集合{1,2,3,4,5,6},{1,2,3},{3,4,5}U M N ===,则集合UM 和UN 共有的元素组成的集合为( )A.{2,3,4,5}B.{1,2,4,5,6}C.{1,2,6}D.{6} 答案 D点拨 由题意 {4,5,6},{1,2,6}U UM N ==,所以集合U M 和UN 共有的元素为6,组成的集合为{6}.例5 已知集合{}21A x a x a =<<+∣,集合{}15B x x =<<∣. (1)若A B ⊆,求实数a 的取值范围; (2)若RAB ,求实数a 的取值范围.解析 (1)可借助数轴求解;(2)先根据集合B 求出共补集RB ,再根据RAB 列出不等式求解.注意要考虑A 为空集的情况.答案(1)若A =∅,则21a a +≤,解得1a ≤-,满足题意; 若A ≠∅,则21a a <+,解得1a >-.由A B ⊆,可得2151a a +≤≥且,解得12a ≤≤.综上,实数a 的取值范围为{1, 12}aa a -∣或. (2)R {1, 5}B xx x =∣或. 若A ≠∅,则211a a a +≤≤-,则,此时RAB ,满足题意;若A ≠∅,则1a >-. 又RAB ,所以5211a a ≥+≤或,所以510a a ≥-<≤或.综上,实数a 的取值范围为{0, 5}aa a ∣或. 变式训练6 已知集合{12},{}A xx B x x a =<<=<∣∣,若RA B ⊆,求实数a 的取值范围.答案由{}B xx a =<∣,得R {}B x x a =∣.又RA B ⊆,所以1a ≤,故a 的取值范围是1a ≤.规律方法总结1.判断集合间关系的常用方法. (1)列举观察法.当集合中元素较少时,可列出集合中的全部元素,通过定义得出集合之间的关系. (2)集合元素特征法.首先确定集合的代表元素是什么,弄清集合元素的特征,再利用集合元素的特征判断关系.一般地,设{()},{()}A xp x B x q x ==∣∣,①若由()p x 可推出()q x ,则A B ⊆;②若由()q x 可推出()p x ,则B A ⊆;③若()p x ,()q x 可互相推出,则A B =;④若由力()p x 推不出()q x ,由()q x 也推不出()p x ,则集合A ,B 无包含关系.(3)数形结合法.利用venn 图、数轴等直观地判断集合间的关系,一般地,判断不等式的解集之间的关系,适合用画数轴法.2.根据集合间的包含关系求参数的值或范围的方法.已知两个集合之间的包含关系求参数的值或范围时,要明确集合中的元素,对子集是否为空集进行分类讨论,做到不漏解.一般地,若集合元素是一一列举的,依据集合间的关系,转化为解方程(组)求解,此时要注意集合中元素的互异性;若集合表示的是不等式的解集,常依据数轴转化为不等式(组)求解,此时需注意端点值能否取到.3.求补集的策略.(1)若所给集合是有限集,则先把集合中的元素列举出来,然后结合补集的定义来求解另外,针对此类问题,在解答过程中也常常借助Venn 图来求解,这样处理比较直观、形象,且解答时不易出错.(2)若所给集合是无限集,在解答有关集合补集问题时,则常借助数轴,先把已知集合及全集分别表示在数轴上,然后根据补集的定义求解.核心素养园地目的 以一元二次方程和两个集合的关系为知识载体,求参数的范围为任务,借助根与系数的关系、解方程分类讨论思想等一系列数学思维活动,加强逻辑推理和数学运算核心素养水平一、水平二的练习.情境 已知集合{}{}22240,2(1)10A x x x B x x a x a =+==+++-=∣∣,若B A ⊆,求实数a 的取值范围.分析 易知集合{0,4}A =-,由B A ⊆的具体含义可知 {0}B B =∅=或或{}{}404B B =-=-或,,进而得解.答案 {}240{0,4}A x x x =+==-∣.,B A B ⊆∴=∅或{}{}0404}{B B B ==-=-或或,. 当B =∅时,()22[2(1)]410,1a a a ∆=+--<∴<-;当{}0B =时,由根与系数的关系知202(1)01a a =-+⎧⎨=-⎩,,解得1a =-. 当{}4B =-时,由根与系数的关系知2442(1),161,a a --=-+⎧⎨=-⎩无解; 当{0,4}B =-时,由根与系数的关系知2402(1),0 1.a a -+=-+⎧⎨=-⎩解得1a =. 综上可知,实数a 的取值范围为{1, 1}aa a -=∣或.。
集合复习123412n x A x B A B A B A n A ∈∉⎧⎪⎪⎨⎪⎪⎩∈⇒∈⊆()元素与集合的关系:属于()和不属于()()集合中元素的特性:确定性、互异性、无序性集合与元素()集合的分类:按集合中元素的个数多少分为:有限集、无限集、空集()集合的表示方法:列举法、描述法(自然语言描述、特征性质描述)、图示法、区间法子集:若 ,则,即是的子集。
、若集合中有个元素,则集合的子集有个, 注关系集合集合与集合{}00(2-1)23,,,,.4/n A A A B C A B B C A C A B A B x B x A A B A B A B A B A B x x A x B A A A A A B B A A B ⎧⎪⎧⎪⎪⎪⊆⎪⎪⎨⎪⊆⊆⊆⎨⎪⎪⎪⎩⎪⎪⊆≠∈∉⎪⊆⊇⇔=⎪⎩⋂=∈∈⋂=⋂∅=∅⋂=⋂⋂⊆真子集有个。
、任何一个集合是它本身的子集,即 、对于集合如果,且那么、空集是任何集合的(真)子集。
真子集:若且(即至少存在但),则是的真子集。
集合相等:且 定义:且交集性质:,,,运算{}{},/()()()-()/()()()()()()U U U U U U U U A A B B A B A B A A B x x A x B A A A A A A B B A A B A A B B A B A B B Card A B Card A Card B Card A B C A x x U x A A C A A C A A U C C A A C A B C A C B ⎧⎪⎨⋂⊆⊆⇔⋂=⎪⎩⎧⋃=∈∈⎪⎨⋃=⋃∅=⋃=⋃⋃⊇⋃⊇⊆⇔⋃=⎪⎩⋃=+⋂=∈∉=⋂=∅⋃==⋂=⋃,定义:或并集性质:,,,,, 定义:且补集性质:,,,, ()()()U U U C A B C A C B ⎧⎪⎪⎪⎪⎪⎪⎧⎪⎪⎪⎪⎪⎪⎪⎪⎪⎪⎪⎪⎪⎪⎪⎪⎪⎪⎨⎪⎪⎪⎪⎪⎧⎪⎨⎪⎪⎪⎪⎪⎪⎪⎪⎪⎪⎪⎪⎪⎪⎪⎪⎪⎨⎪⎪⎪⎪⎪⎪⎪⎧⎪⎪⎪⎪⎪⎪⎪⎨⎪⎪⎪⎪⎪⋃=⋂⎪⎪⎩⎩⎩⎩1、(2012北京)已知集合A={x ∈R|3x+2>0} B={x ∈R|(x+1)(x-3)>0} 则A ∩B=( )A (-∞,-1)B (-1,-23)C (-23,3)D (3,+∞)2、(广东)设集合U {1,23,4,5,6}=,,M {1,2,4}=则M C U =( )A .UB .{1,3,5}C .{3,5,6}D .{2,4,6}3、(湖南)设集合M={-1,0,1},N={x|x 2≤x},则M ∩N=( )A.{0}B.{0,1}C.{-1,1}D.{-1,0,0}4、(辽宁)已知全集U={0,1,2,3,4,5,6,7,8,9},集合A={0,1,3,5,8},集合B={2,4,5,6,8},则)()(B C A C U U 为( )(A){5,8} (B){7,9} (C){0,1,3} (D){2,4,6}5、(全国)已知集合{A =,{1,}B m =,A B A =,则m = ( )(A )0(B )0或3 (C )1(D )1或36、(山东)已知全集={0,1,2,3,4},集合A={1,2,3,},B={2,4} ,则(CuA )B 为( ) A {1,2,4} B {2,3,4} C {0,2,4} D {0,2,3,4}7、(陕西)集合{|lg 0}M x x =>,2{|4}N x x =≤,则MN =(A ) (1,2) (B ) [1,2) (C ) (1,2] (D ) [1,2]( )8、(新课标)已知集{1,2,3,4,5}A =,{(,),,}B x y x A y A x y A =∈∈-∈;,则B 中所含元素的个数为( ) ()A 3 ()B 6 ()C 8 ()D 109、(浙江)设集合A ={x|1<x <4},B ={x|x 2-2x -3≤0},则A ∩(C R B)=( ) A .(1,4) B .(3,4) C .(1,3) D .(1,2)10、(上海)若集合}012|{>+=x x A ,}2|1||{<-=x x B ,则=B A 。
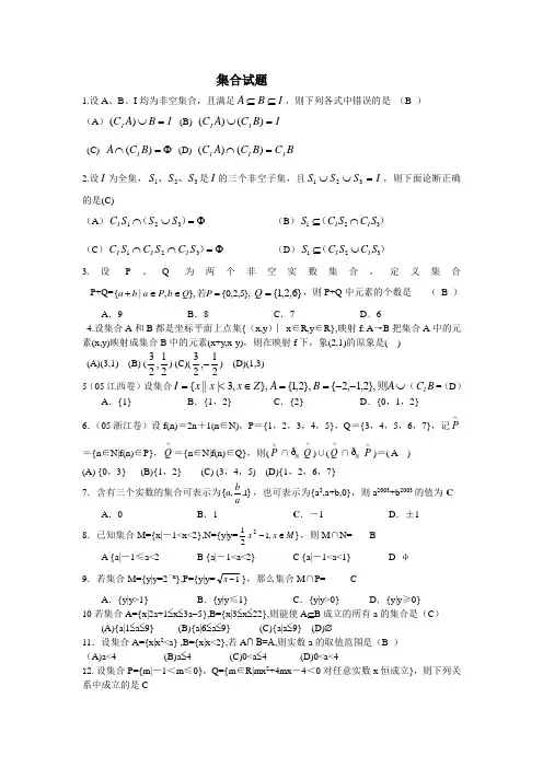
集合试题1.设A 、B 、I 均为非空集合,且满足I B A ⊆⊆,则下列各式中错误的是 (B ) (A )I B A C I =⋃)( (B) I B C A C I I =⋃)()( (C) Φ=⋂)(B C A I (D) B C B C A C I I I =⋂)()(2.设I 为全集,321S S S 、、是I 的三个非空子集,且I S S S =⋃⋃321,则下面论断正确的是(C)(A )Φ=⋃⋂)(321S S S C I(B )123I I S C S C S ⊆⋂() (C )Φ=⋂⋂)321S C S C S C I I I (D )123I I S C S C S ⊆⋃() 3.设P、Q为两个非空实数集合,定义集合P+Q=},5,2,0{},,|{=∈∈+P Q b P a b a 若}6,2,1{=Q ,则P+Q 中元素的个数是 ( B )A .9B .8C .7D .64.设集合A 和B 都是坐标平面上点集{(x,y )︳x ∈R,y ∈R},映射f: A →B 把集合A 中的元素(x,y)映射成集合B 中的元素(x+y,x-y),则在映射f 下,象(2,1)的原象是( )(A)(3,1) (B) (21,23) (C)(21,23-) (D)(1,3) 5(05江西卷)设集合⋃--==∈<=A B A Z x x x I 则},2,1,2{},2,1{},,3|||{(I C B =(D )A .{1}B .{1,2}C .{2}D .{0,1,2}6.(05浙江卷)设f(n)=2n +1(n ∈N),P ={1,2,3,4,5},Q ={3,4,5,6,7},记P ∧={n ∈N|f(n)∈P},Q ∧={n ∈N|f(n)∈Q},则(P ∧∩N ðQ ∧)∪(Q ∧∩N ðP ∧)=( A ) (A) {0,3} (B){1,2} (C) (3,4,5) (D){1,2,6,7}7.含有三个实数的集合可表示为}1,,{aba ,也可表示为{a 2,a+b,0},则a 2003+b 2003的值为 CA .0B .1C .-1D .±1 8.已知集合M={x|-1<x<2},N={y|y=},1212M x x ∈-,则M ∩N= BA {a|-1≤a<2B {a|-1<a<2}C {a|-1<a<1}D φ9.若集合M={y|y=2-x },P={y|y=1-x },那么集合M ∩P=CA .{y|y>1}B .{y|y ≤1}C .{y|y>0}D .{y|y ≥0}10若集合A={x|2a+1≤x ≤3a -5},B={x|3≤x ≤22},则能使A ⊆B 成立的所有a 的集合是(C )(A){a|1≤a ≤9} (B){a|6≤a ≤9} (C){a|a ≤9} (D)∅11.设集合A={x|x 2<a} ,B={x|x<2},若A ∩ B=A,则实数a 的取值范围是(B ) (A)a<4 (B)a ≤4 (C)0<a ≤4 (D)0<a<412.设集合P={m|-1<m ≤0},Q={m ∈R|mx 2+4mx -4<0对任意实数x 恒成立},则下列关系中成立的是CA.P QB.Q PC.P=QD.P ∩Q=Q13 设全集I=R ,A={x|1+x ≤0},B={x|lg(x 2-2)=lgx},A ∩I C B = {-1}14已知集合A={x|x 2-5x+6=0},B={x|mx+1=0},且A ∪B=A ,则实数m 组成的集合__________ 15设集合P={a,b,c,d},Q={A|A P},则集合Q 的元素个数__________________. 16定义A -B={x|x ∈A 且x ∉B},若M={1,2,3,4,5},N={2,3,6},则N -M 等于17已知A={x|x 3+3x 2+2x >0},B={x|x 2+ax +b ≤0}且A ∩B={x|0<x ≤2},A ∪B ={x |x >-2},求a 、b 的值.a =-(x 1+x 2)=-1,b =x 1x 2=-2.18已知集合A={(x ,y )|x 2+mx -y+2=0},B={(x ,y )|x -y+1=0,0≤x ≤2},如果A ∩B ≠∅,求实数m 的取值范围.所求m 的取值范围是(-∞,-1].19设A B a x a x x B x x x A ⊆=-+++==+=若},01)1(2{},04{222,求实数a 的取值范围。
第一章集合与简单逻辑1.1集合二、基本概念1、如何理解集合的概念集合的定义“某些指定的对象集在一起就成为一个集合”只是一种描述性的说明,集合是数学中最原始的,不加定义的概念,这和我们在初中时学过的点、直线、平面等数学名词一样,都是不给出定义的概念。
例如:①正数的集合;②我校篮球队的队员组成一个集合;③太平洋、大西洋、印度洋、北冰洋组成一个集合。
由以上例子可知,我们所研究的集合,应该是“把某些具有共同特征的对象集在一起”而其中的“共同特征”就是我们判定研究对象是否在集合内的依据。
2、元素及元素的性质集合中的元素具有三个特性:确定性、互异性、无序性。
第一条性质:确定性,对于集合A 和给定的某一个对象a ,要么a A ∈,要么a A ∉。
两者必居其一,也就是说:集合中的元素必须是明确而确定的,例如“我们班级高个子的同学”就不能组成一个集合,因为组成它的对象既不明确,也不确定。
即没有确定标准。
第二条性质:互异性,也就是说,同一个集合中的元素必须是互不相同的,例如:23与9,只能表示同一个元素。
第三条性质:无序性,即:集合中的元素是没有先后顺序的。
例如,{}5,4,6与{}4,5,6是同一个集合。
3、关于集合表示方法集合有三种表示方法,但在具体的解题过程中,应该具体问题具体分析,灵活使用三种表示方法,一般地,对于有限集常采用列举法,而对于无限集则最好用描述法,当需要显示两个集合之间关系时,结合图示法使用。
在使用列举法时还应注意: (1)元素间用分隔号“,”; (2)元素不重复; (3)不考虑元素顺序;(4)对于含有较多元素的集合,如果构成该集合的元素有明显规律,可用列举法,但是必须把元素间的规律显示清楚后方能用省略号。
使用描述法时,应注意:(1)写清楚该集合中元素的代号(字母或用字母表示的元素符号); (2)说明该集合中元素的性质; (3)不能出现未被说明的字母;(4)多层描述时,应当准确使用“或”、“且”、“非”; (5)所有描述的内容都要写在集合括号内; (6)用于描述的语句力求简明、确切。
(每日一练)高中数学必修一第一章集合与常用逻辑用语题型总结及解题方法单选题1、已知集合A={−1,1,2,4},B={x||x−1|≤1},则A∩B=()A.{−1,2}B.{1,2}C.{1,4}D.{−1,4}答案:B分析:方法一:求出集合B后可求A∩B.[方法一]:直接法因为B={x|0≤x≤2},故A∩B={1,2},故选:B.[方法二]:【最优解】代入排除法x=−1代入集合B={x||x−1|≤1},可得2≤1,不满足,排除A、D;x=4代入集合B={x||x−1|≤1},可得3≤1,不满足,排除C.故选:B.【整体点评】方法一:直接解不等式,利用交集运算求出,是通性通法;方法二:根据选择题特征,利用特殊值代入验证,是该题的最优解.2、已知集合A={x|−1<x<1},B={x|0≤x≤2},则A∪B=()A.{x|−1<x<2}B.{x|−1<x≤2}C.{x|0≤x<1}D.{x|0≤x≤2}答案:B分析:结合题意利用并集的定义计算即可.由题意可得:A∪B={x|−1<x≤2}.故选:B.3、已知p:0<x<2,q:−1<x<3,则p是q的()A.充分而不必要条件B.必要而不充分条件C.充分必要条件D.既不充分不必要条件答案:A分析:根据充分和必要条件的定义即可求解.由p:0<x<2,可得出q:−1<x<3,由q:−1<x<3,得不出p:0<x<2,所以p是q的充分而不必要条件,故选:A.4、已知U=R,M={x|x≤2},N={x|−1≤x≤1},则M∩∁U N=()A.{x|x<−1或1<x≤2}B.{x|1<x≤2}C.{x|x≤−1或1≤x≤2}D.{x|1≤x≤2}答案:A分析:先求∁U N,再求M∩∁U N的值.因为∁U N={x|x<−1或x>1},所以M∩C U N={x|x<−1或1<x≤2}.故选:A.5、已知集合P={x|x=2k−1,k∈N∗}和集合M={x|x=a⊕b,a∈P,b∈P},若M⊆P,则M中的运算“⊕”是()A.加法B.除法C.乘法D.减法答案:C分析:用特殊值,根据四则运算检验.若a=3,b=1,则a+b=4∉P,a−b=2∉P,ba =13∉P,因此排除ABD.故选:C.6、若集合A={x∣|x|≤1,x∈Z},则A的子集个数为()A.3B.4C.7D.8答案:D分析:先求得集合A,然后根据子集的个数求解即可.解:A={x∥x∣≤1,x∈Z}={−1,0,1},则A的子集个数为23=8个,故选:D.7、设全集U={−3,−2,−1,0,1,2,3},集合A={−1,0,1,2},B={−3,0,2,3},则A∩(∁U B)=()A.{−3,3}B.{0,2}C.{−1,1}D.{−3,−2,−1,1,3}答案:C分析:首先进行补集运算,然后进行交集运算即可求得集合的运算结果.由题意结合补集的定义可知:∁U B={−2,−1,1},则A∩(∁U B)={−1,1}.故选:C.小提示:本题主要考查补集运算,交集运算,属于基础题.8、已知集合M={x|x=m−56,m∈Z},N={x|x=n2−13,n∈Z},P={x|x=p2+16,p∈Z},则集合M,N,P的关系为()A.M=N=P B.M⊆N=PC.M⊆N⊈P D.M⊆N,N∩P=∅答案:B分析:对集合M,N,P中的元素通项进行通分,注意3n-2与3p+1都是表示同一类数,6m-5表示的数的集合是前者表示的数的集合的子集,即可得到结果.对于集合M={x|x=m-56,m∈Z},x=m-56=6m-56=6(m-1)+16,对于集合N={x|x=n2-13,n∈Z},x=n2-13=3n-26=3(n-1)+16,对于集合P={x|x=p2+16,p∈Z},x=p2+16=3p+16,由于集合M,N,P中元素的分母一样,只需要比较其分子即可,且m,n,p∈Z,注意到3(n-1)+1与3p+1表示的数都是3的倍数加1,6(m-1)+1表示的数是6的倍数加1,所以6(m-1)+1表示的数的集合是前者表示的数的集合的子集,所以M∈N=P.故选:B.9、集合A={x|x<−1或x≥3},B={x|ax+1≤0}若B⊆A,则实数a的取值范围是()A.[−13,1)B.[−13,1]C.(−∞,−1)∪[0,+∞)D.[−13,0)∪(0,1)答案:A分析:根据B⊆A,分B=∅和B≠∅两种情况讨论,建立不等关系即可求实数a的取值范围.解:∵B⊆A,∴①当B=∅时,即ax+1⩽0无解,此时a=0,满足题意.②当B≠∅时,即ax+1⩽0有解,当a>0时,可得x⩽−1a,要使B⊆A,则需要{a>0−1a<−1,解得0<a<1.当a<0时,可得x⩾−1a,要使B⊆A,则需要{a<0−1a⩾3,解得−13⩽a<0,综上,实数a的取值范围是[−13,1).故选:A.小提示:易错点点睛:研究集合间的关系,不要忽略讨论集合是否为∅.10、某中学的学生积极参加体育锻炼,其中有96%的学生喜欢足球或游泳,60%的学生喜欢足球,82%的学生喜欢游泳,则该中学既喜欢足球又喜欢游泳的学生数占该校学生总数的比例是()A.62%B.56%C.46%D.42%答案:C分析:记“该中学学生喜欢足球”为事件A,“该中学学生喜欢游泳”为事件B,则“该中学学生喜欢足球或游泳”为事件A+B,“该中学学生既喜欢足球又喜欢游泳”为事件A⋅B,然后根据积事件的概率公式P(A⋅B)=P(A)+ P(B)−P(A+B)可得结果.记“该中学学生喜欢足球”为事件A,“该中学学生喜欢游泳”为事件B,则“该中学学生喜欢足球或游泳”为事件A+B,“该中学学生既喜欢足球又喜欢游泳”为事件A⋅B,则P(A)=0.6,P(B)=0.82,P(A+B)=0.96,所以P(A⋅B)=P(A)+P(B)−P(A+B)=0.6+0.82−0.96=0.46所以该中学既喜欢足球又喜欢游泳的学生数占该校学生总数的比例为46%.故选:C.小提示:本题考查了积事件的概率公式,属于基础题.多选题11、对任意A,B⊆R,记A⊕B={x|x∈A∪B,x∉A∩B},并称A⊕B为集合A,B的对称差.例如,若A={1,2,3},B={2,3,4},则A⊕B={1,4},下列命题中,为真命题的是()A.若A,B⊆R且A⊕B=B,则A=∅B.若A,B⊆R且A⊕B=∅,则A=BC.若A,B⊆R且A⊕B⊆A,则A⊆BD.存在A,B⊆R,使得A⊕B=∁R A⊕∁R BE.存在A,B⊆R,使得A⊕B≠B⊕A答案:ABD解析:根据新定义判断.根据定义A⊕B=[(∁R A)∩B]∪[A∩(∁R B)],A.若A⊕B=B,则∁R A∩B=B,A∩∁R B=∅,∁R A∩B=B⇒B⊆∁R A,A∩∁R B=∅⇒A⊆B,∴A=∅,A正确;B.若A⊕B=∅,则∁R A∩B=∅,A∩∁R B=∅,A∩B=A=B,B正确;C. 若A⊕B⊆A,则∁R A∩B=∅,A∩∁R B⊆A,则B⊆A,C错;D.A=B时,A⊕B=∅,(∁R A)⊕(∁R B)=∅=A⊕B,D正确;E.由定义,A⊕B=[(∁R A)∩B]∪[A∩(∁R B)]=B⊕A,E错.故选:ABD.小提示:本题考查新定义,解题关键是新定义的理解,把新定义转化为集合的交并补运算.12、(多选)下列命题的否定中,是全称量词命题且为真命题的是()<0B.所有的正方形都是矩形A.∃x∈R,x2−x+14C.∃x∈R,x2+2x+2=0D.至少有一个实数x,使x3+1=0答案:AC分析:AC.原命题的否定是全称量词命题,原命题的否定为真命题,所以该选项符合题意;B. 原命题为全称量词命题,其否定为存在量词命题. 所以该选项不符合题意;D. 原命题的否定不是真命题,所以该选项不符合题意.A.原命题的否定为:∀x∈R,x2−x+14≥0,是全称量词命题;因为x2−x+14=(x−12)2≥0,所以原命题的否定为真命题,所以该选项符合题意;B. 原命题为全称量词命题,其否定为存在量词命题. 所以该选项不符合题意;C. 原命题为存在量词命题,所以其否定为全称量词命题,对于方程x2+2x+2=0,Δ=22−8=−4<0,所以x2+2x+2>0,所以原命题为假命题,即其否定为真命题,所以该选项符合题意;.D. 原命题的否定为:对于任意实数x,都有x3+1≠0,如x=−1时,x3+1=0,所以原命题的否定不是真命题,所以该选项不符合题意.故选:AC13、(多选题)下列各组中M,P表示不同集合的是()A.M={3,-1},P={(3,-1)}B.M={(3,1)},P={(1,3)}C.M={y|y=x2+1,x∈R},P={x|x=t2+1,t∈R}D.M={y|y=x2-1,x∈R},P={(x,y)|y=x2-1,x∈R}答案:ABD分析:选项A中,M和P的代表元素不同,是不同的集合;选项B中,(3,1)与(1,3)表示不同的点,故M≠P;选项C中,解出集合M和P.选项D中,M和P的代表元素不同,是不同的集合.选项A中,M是由3,-1两个元素构成的集合,而集合P是由点(3,-1)构成的集合;选项B中,(3,1)与(1,3)表示不同的点,故M≠P;选项C中,M={y|y=x2+1,x∈R}=[1,+∞),P={x|x=t2+1,t∈R}=[1,+∞),故M=P;选项D中,M是二次函数y=x2-1,x∈R的所有因变量组成的集合,而集合P是二次函数y=x2-1,x∈R图象上所有点组成的集合.故选ABD.14、某校举办运动会,高一的两个班共有120名同学,已知参加跑步、拔河、篮球比赛的人数分别为58,38,52,同时参加跑步和拔河比赛的人数为18,同时参加拔河和篮球比赛的人数为16,同时参加跑步、拔河、篮球三项比赛的人数为12,三项比赛都不参加的人数为20,则()A.同时参加跑步和篮球比赛的人数为24B.只参加跑步比赛的人数为26C.只参加拔河比赛的人数为16D.只参加篮球比赛的人数为22答案:BCD分析:设同时参加跑步和篮球比赛的人数为x,由Venn图可得集合的元素个数关系.设同时参加跑步和篮球比赛的人数为x,由Venn图可得,58+38+52−18−16−x+12=120−20,得x= 26,则只参加跑步比赛的人数为58−18−26+12=26,只参加拔河比赛的人数为38−16−18+12=16,只参加篮球比赛的人数为52−16−26+12=22.故选:BCD.15、已知集合A={x|ax=1},B={0,1,2},若A⊆B,则实数a可以为()A.12B.1C.0D.以上选项都不对答案:ABC解析:由子集定义得A=∅或A={1}或A={2},从而1a 不存在,1a=1,1a=2,由此能求出实数a.解:∵集合A={x|ax=1},B={0,1,2},A⊆B,∴A=∅或A={1}或A={2},∴1 a 不存在,1a=1,1a=2,解得a=1,或a=1,或a=12.故选:ABC.小提示:本题主要考查集合的包含关系,属于基础题.16、已知全集为U,A,B是U的非空子集且A⊆∁U B,则下列关系一定正确的是()A.∃x∈U,x∉A且x∈B B.∀x∈A,x∉BC.∀x∈U,x∈A或x∈B D.∃x∈U,x∈A且x∈B答案:AB分析:根据给定条件画出韦恩图,再借助韦恩图逐一分析各选项判断作答.全集为U,A,B是U的非空子集且A⊆∁U B,则A,B,U的关系用韦恩图表示如图,观察图形知,∃x∈U,x∉A且x∈B,A正确;因A∩B=∅,必有∀x∈A,x∉B,B正确;若A∁U B,则(∁U A)∩(∁U B)≠∅,此时∃x∈U,x∈[(∁U A)∩(∁U B)],即x∉A且x∉B,C不正确;因A∩B=∅,则不存在x∈U满足x∈A且x∈B,D不正确.故选:AB17、下列各题中,p是q的充要条件的有()A.p:四边形是正方形;q:四边形的对角线互相垂直且平分B.p:两个三角形相似;q:两个三角形三边成比例C.p:xy>0;q:x>0,y>0D.p:x=1是一元二次方程ax2+bx+c=0的一个根;q:a+b+c=0(a≠0)答案:BD分析:根据充要条件的定义对各选项逐一进行分析讨论并判定作答.对于A,四边形是正方形则四边形的对角线互相垂直且平分成立,但四边形的对角线互相垂直且平分四边形可能是菱形,即p不是q的充要条件,A不是;对于B,两个三角形相似与两个三角形三边成比例能互相推出,即p是q的充要条件,B是;对于C,xy>0不能推出x>0,y>0,可能x<0,y<0,即p不是q的充要条件,C不是;对于D,x=1是一元二次方程ax2+bx+c=0的一个根,可得a+b+c=0,反之,当a +b +c =0时,把c =-a -b 代入方程ax 2+bx +c =0得ax 2+bx -a -b =0,即(ax +a +b )(x -1)=0,显然x =1是方程的一个根,即p 是q 的充要条件,D 是.故选:BD18、已知集合A ={x ∣1<x <2},B ={x ∣2a −3<x <a −2},下列命题正确的是A .不存在实数a 使得A =B B .存在实数a 使得A ⊆BC .当a =4时,A ⊆BD .当0⩽a ⩽4时,B ⊆AE .存在实数a 使得B ⊆A答案:AE分析:利用集合相等判断A 选项错误,由A ⊆B 建立不等式组,根据是否有解判断B 选项;a =4时求出B ,判断是否A ⊆B 可得C 错误,分B 为空集,非空集两种情况讨论可判断D 选项,由D 选项判断过程可知E 选项正确.A 选项由相等集合的概念可得{2a −3=1a −2=2 解得a =2且a =4,得此方程组无解, 故不存在实数a 使得集合A=B ,因此A 正确;B 选项由A ⊆B ,得{2a −3≤1a −2≥2 即{a ≤2a ≥4,此不等式组无解,因此B 错误; C 选项当a =4时,得B ={x ∣5<x <2}为空集,不满足A ⊆B ,因此C 错误;D 选项当2a −3≥a −2,即a ≥1时,B =∅⊆A ,符合B ⊆A ;当a <1时,要使B ⊆A ,需满足{2a −3≥1a −2≤2解得2≤a ≤4,不满足a <1,故这样的实数a 不存在,则当0≤a ≤4时B ⊆A 不正确,因此D 错误; E 选项由D 选项分析可得存在实数a 使得B ⊆A ,因此E 正确.综上AE 选项正确.故选:AE.小提示:本题主要考查了集合相等,子集的概念,考查了推理运算能力,属于中档题.19、命题“∃x∈[1,2],x2≤a”为真命题的一个充分不必要条件是()A.a≥1B.a≥4C.a≥−2D.a=4答案:BD分析:求出给定命题为真命题的a的取值集合,再确定A,B,C,D各选项所对集合哪些真包含于这个集合而得解.命题“∃x∈[1,2],x2≤a"等价于a≥1,即命题“∃x∈[1,2],x2≤a”为真命题所对集合为[1,+∞),所求的一个充分不必要条件的选项所对的集合真包含于[1,+∞),显然只有[4,+∞)[1,+∞),{4}[1,+∞),所以选项AC不符合要求,选项BD正确.故选:BD20、中国古代重要的数学著作《孙子算经》下卷有题:“今有物,不知其数,三三数之,剩二;五五数之,剩三;七七数之,剩二问:物几何?”现有如下表示:已知A={x|x=3n+2,n∈N+},B={x|x=5n+3,n∈N+},C={x|x=7n+2,n∈N+},若x∈A∩B∩C,则下列选项中符合题意的整数x为()A.8B.128C.37D.23答案:BD分析:根据给定条件对各选项逐一分析计算即可判断作答.对于A,因8=7×1+1,则8∉C,选项A错误;对于B,128=3×42+2,即128∈A;又128=5×25+3,即128∈B;而128=7×18+2,即128∈C,因此,128∈A∩B∩C,选项B正确;对于C,因37=3×12+1,则37∉A,选项C错误;对于D,23=3×7+2,即23∈A;又23=5×4+3,即23∈B;而23=7×3+2,即23∈C,因此,23∈A∩B∩C,选项D正确.故选:BD填空题21、若∀x∈R,2x2−mx+3≥0恒成立,则实数m的取值范围为________.答案:[−2√6,2√6].分析:根据命题∀x∈R,2x2−mx+3≥0恒成立,结合二次函数的图象与性质,即可求解. 由题意,命题∀x∈R,2x2−mx+3≥0恒成立,可得Δ=m2−24≤0,解得−2√6≤m≤2√6,即实数m的取值范围为[−2√6,2√6].所以答案是:[−2√6,2√6].22、已知集合A=(1,3),B=(2,+∞),则A∩B=______.答案:(2,3)分析:利用交集定义直接求解.解:∵集合A=(1,3),B=(2,+∞),∴A∩B=(2,3).所以答案是:(2,3).23、集合A={x|(x−1)(x2+ax+4)=0,x∈R}中所有元素之和为3,则实数a=________.答案:−4分析:由(x−1)(x2+ax+4)=0得x1+x2+x3=1−a,即可求解参数.由(x−1)(x2+ax+4)=0得x−1=0或x2+ax+4=0所以x1=1∈A,x2+ax+4=0,当Δ=a2−16=0时,x=2是方程x2+ax+4=0的根,解得a=−4,当Δ>0时,若方程x2+ax+4=0的一根为1,则a=−5,方程的另一根为4,不合题意;若1不是方程x2+ax+4=0的根,则方程两根x2+x3=−a=2,此时a=−2不满足Δ>0,舍去. 所以答案是:−4.。
高中数学大题解题技巧方法归纳数学解题的思维过程是指从理解问题开始,经过探索思路,转换问题直至解决问题,进行回顾的全过程的思维活动。
下面是小编为大家整理的关于高中数学大题解题技巧,希望对您有所帮助!高考数学大题题型总结及答题技巧17题三角函数17题考的知识点比较简单,只要在平时多加注意和总结就不成问题,但是重要的公式譬如二倍角公式等一定要熟记,这些是做题的基础;18题立体几何18题的第一小题通常是证明题,有时利用现成的条件马上就可以证明,但是也不排除需要做辅助线有一点难度的可能,而且形势越来越偏向后一种,所以在平时要多多注意需要做辅助线的证明题,第二小题通常是求线面角和线线角的大小,也有可能是求相关的体积,不过这样也是变相的让你求线面角或线线角的大小,至于求面面角大小,我们老师说不大可能,因为求面面角的难度稍大所需要的时间也会比较多,这样对后面的发挥会有比较大的影响,(虽然高考的目的是选拔人才,但是全省的平均分也不能太低。
)提醒一点:如果做第二小题时没有很快有思路,那就果断选择向量法,向量法的难点是空间直角坐标系的建立,一定要找到三条相互垂直的线分别作为x轴y轴z轴,相互垂直一定要是能证明出来的,如果单凭感觉建立空间直角坐标系万一错了后面的就完全错了。
19题导数19题的难点是求导,如果你对复杂函数的求导掌握的很熟练,那第一小题就不用担心啦,第二小题会比较有难度,但是基础还是求导,无论有没有思路都要先求导,说不定在求导的过程中就找到思路了;20题圆锥曲线20题是圆锥曲线,第一小题还是比较基础的但完全正确的前提是要掌握椭圆、双曲线、抛物线的定义,因为很有可能会出现让你判断某某是椭圆、双曲线、还是抛物线的题目。
第二小题比较难,但是简单在有一定的套路,(做题做多了就知道的)套路就是1.设立坐标,一般是求什么设什么.2.将坐标带入所在曲线的方程中.3.利用韦达定理求出x1+x2,x1x2,y1+y2,y1y2.4.所求的内容尽力转换为与x1、x2、y1、y2相关的式子,在转换的过程中要结合题目的条件.一定要筛选和转换题目中所给出的条件,因为有的方式虽然可以得出结果但是过程很复杂,浪费的时间会比较多,别忘了后面还有一个大boss呢。
集合的知识点与常考题 【知识点分析】: 一、一元二次不等式及其解法1.形如20(0) (0)ax bx c a ++><≠或其中的不等式称为关于x 的一元二次不等式.如:x 2﹣8x +7≧0。
2.如果单纯的解一个一元二次不等式的话,可以按照一下步骤处理:(1) 化二次项系数为正;(2) 若二次三项式能分解成两个一次因式的积,则求出两根12,x x .那么“0>”型的解为12x x x x <>或(俗称两根之外);“0<”型的解为12x x x <<(俗称两根之间);(3) 否则,对二次三项式进行配方,变成2224()24b ac b ax bx c a x a a -++=++,结合完全平方式为非负数的性质求解.二、分式不等式的解法类似于一元二次不等式的解法,运用“符号法则”将之化为两个一元一次不等式组处理;或者因为两个数(式)相除异号,那么这两个数(式)相乘也异号,可将分式不等式直接转化为整式不等式求解.0>ab 等价于:0b >•a 0<ab 等价于:0b <•a 如:解011x ≥-+x 等价于:解011x ≥-•+)()(x 三、绝对值不等式的解法利用不等式的性质转化|x |<c 或|x |>c (c >0)来解,如|ax b +|>c (c >0)可为ax b +>c 或ax b +<-c ;|ax b +|<c 可化为-c <ax +b <c ,再由此求出原不等式的解集。
对于含绝对值的双向不等式应化为不等式组求解,也可利用结论:“a ≤|x |≤b ⇔a ≤x ≤b 或-b ≤x ≤-a ”来求解。
如:|1﹣3x |<3,得到﹣3<1﹣3x <3两个绝对值不等式的解法:法一:利用分界点分类讨论,例:解不等式 2|x ﹣3|+|x ﹣4|<2,①若x ≥4,则3x ﹣10<2,x <4,∴舍去.②若3<x <4,则x ﹣2<2,∴3<x <4.③若x ≤3,则10﹣3x <2,∴<x ≤3.综上,不等式的解集为.法二:利用数形结合去掉绝对值符号利用绝对值的几何意义画出数轴,将绝对值转化为数轴上两点间的距离求解。
必修一集合集合与第函数概一念章函数及其定义函数的.概念表示方法:列举法、描述法基本关系:交集、并集、补集、全集、属于基本运算交、并、补元素的概念、个数概念定义域、值域对应关系区间:闭开,半开半闭展示发放:图像法、列表增函数单调性基本性质最大、最小值定义义奇偶性;判断方法减函数第二章基本初等函指数函数互为反函数对数函数.a r a s a r s指数与指数幂的运算( a r) s a rs( ab) r a r b r整数指数幂指数幂有理数指数幂无理数指数幂定义定义域 R指数函数性性质值域( 0,+∞)质图像过定点( 0,1)单调性对数底数对数真数定义log a ( M N ) log a M log a N与对log a M log a M log a N数运运算N算log a MnMn log a定义定义域对数函数及性值域图象质过点( 1, 0)性质幂函数定义单调性性质过( 1,1)奇偶性单调性第三章函数与程函数的应用函数模型及应用.定义关系方程的根与函数的零点零点定理二分法定义用二分法求方程的近视根求根步骤几类不同增长的函数模型函数模型的应用实例建立实际问题的函数模型.集合学习过程一、复习预习考纲要求:1.理解集合的概念。
2.能在具体的数学环境中,应用集合知识。
3.特别是集合间的运算。
4.灵活应用集合知识与其它知识间的联系,集合是一种方法。
二、知识讲解1.集合的相关概念基本概念:集合、元素;有限集、无限集;空集、全集;符号的使用.集合的表示法:列举法、描述法、图形表示法.集合元素的特征:确定性、互异性、无序性.常见的数集:自然数集、整数集、有理数集、实数集2集合间的关系任何一个集合是它本身的子集,记为A A;空集是任何集合的子集,记为 A ;空集是任何非空集合的真子集;n 元集的子集个数共有2n个;真子集有2n1个;非空子集有2n1个;非空的真子集有2n 2 个.3.集合间的运算交:AI B{ x | x A,且 x B}并:AUB{ x | x A或 x B}补: C U A{ x U ,且x A}( 1)A A,A,A U,C U A U,包含关系:B,B C A C;AI B A,AI B B;AUB A,AUB B.A( 2)等价关系: A B A I B A A U B B C U AUB U ( 3)集合的运算律:交换律: A B B A; A B B A.新课标第一网结合律 : (A B)C A( B C); (A B)C A(B C)分配律 :.A(BC)( A B)( A C); A( B C )( A B)(A C)三、例题精析考点一子集、真子集【例题 1】:集合{ 1,0,1}共有个子集【答案】: 8【解析】: n 元集的子集个数共有2n个,所以是8个。
微专题01 含参数及创新定义的集合问题【方法技巧与总结】一.解决与集合有关的创新题的对策:(1)分析含义,合理转化,准确提取信息是解决此类问题的前提.剥去新定义、新法则的外表,利用我们所学集合的性质将陌生的集合转化为我们所熟悉的集合,陌生的运算转化为我们熟悉的运算,是解决这类问题的突破口,也是解决此类问题的关键.(2)根据新定义(新运算、新法则)的要求,“照章办事”,逐条分析、验证和运算,其中要注意应用集合的有关性质.(3)对于选择题,可结合选项,通过验证、排除、对比、特值法等进行求解或排除错淏选项,当不满足新定义的要求时,只需通过举反例来说明,以达到快速判断结果的目的.二.解决与集合有关的参数问题的对策(1)如果是离散型集合,要逐个分析集合的元素所满足的条件,或者画韦恩图分析.(2)如果是连续型集合,要数形结合,注意端点能否取到.(3)在解集合的含参问题时,一定要注意空集和元素的互异性.【典型例题】例1.(2022·全国·高三专题练习)设{}28120A x x x =-+=,{}10B x ax =-=,若A B B =,则实数a 的值不可以是( )A .0B .16C .12D .2【答案】D【解析】由题意,{}2,6A =,因为A B B =,所以B A ⊆,若0a =,则B =∅,满足题意;若0a ≠,则1B a ⎧⎫=⎨⎬⎩⎭,因为B A ⊆,所以12a =或16a =,则12a =或16a =. 综上:0a =或12a =或16a =. 故选:D . 例2.(2022·全国·高一专题练习)设U ={1,2,3,4},A 与B 是U 的两个子集,若A ∩B ={3,4},则称(A ,B )为一个“理想配集”,那么符合此条件的“理想配集”(规定:(A ,B )与(B ,A )是两个不同的“理想配集”)的个数是( )A .7个B .8个C .9个D .10个【答案】C【解析】对子集A 分类讨论:当A 是二元集{3,4}时,此时B 可以为{1,2,3,4},{1,3,4},{2,3,4},{3,4},共4结果; 当A 是三元集{1,3,4}时,此时B 可以为{2,3,4},{3,4},共2种结果;当A 是三元集{2,3,4}时,此时B 可以为{1,3,4},{3,4},共2种结果;当A 是四元集{1,2,3,4}时,此时B 取{3,4},有1种结果,根据计数原理知共有4+2+2+1=9种结果.故选:C .例3.(2022·浙江师范大学附属东阳花园外国语学校高一开学考试)定义集合运算:()(){},,A B z z x y x y x A y B ⊗==+⨯-∈∈,设2,3A ,1,2B ,则( )A .当2x 2y 时,1z =B .x 可取两个值,y 可取两个值,()()zx y x y =+⨯-有4个式子 C .A B ⊗中有3个元素D .A B ⊗中所有元素之和为3 【答案】BCD【解析】()(){},,A B z z x y x y x A y B ⊗==+⨯-∈∈,2,3A ,1,2B , 当2x 2y 0z =;当2x =1y =时,1z =; 当3x =1y =时,2z =;当3x =2y 时,1z =,A 不正确;B 正确;而{}0,1,2A B ⊗=,C ,D 都正确.故选:BCD例4.(2022·辽宁·辽师大附中高二阶段练习)集合{}{}2|10,|320A x ax B x x x =-==-+=,且A B B ⋃=,实数a 的值为 ( )A .0B .1C .12D .2【答案】ABC【解析】由题设{1,2}B =,又A B B ⋃=,故A B ⊆,当A =∅时,0a =;当A ≠∅时,1或2为10ax -=的解,则1a =或12a =. 综上,0a =或1a =或12a =. 故选:ABC例5.(2022·全国·高三专题练习)已知集合{|4A x x =≥或}5x <-,{}|13B x a x a =+≤≤+,若B A ⊆,则实数a 的取值范围_________.【答案】{|8a a <-或}3a ≥【解析】用数轴表示两集合的位置关系,如上图所示,或要使B A ⊆,只需35a +<-或14a +≥,解得8a <-或3a ≥.所以实数a 的取值范围{|8a a <-或}3a ≥.故答案为:{|8a a <-或}3a ≥例6.(2022·全国·高三专题练习)对于两个正整数m ,n ,定义某种运算“⊙”如下,当m ,n 都为正偶数或正奇数时,m ⊙n =m +n ;当m ,n 中一个为正偶数,另一个为正奇数时,m ⊙n =mn ,则在此定义下,集合M ={(p ,q )|p ⊙q =10,*N p ∈,q ∈*N }中元素的个数是_____.【答案】13【解析】∵当m ,n 都为正偶数或正奇数时,m ⊙n =m +n ;当m ,n 中一个为正偶数,另一个为正奇数时,m ⊙n =mn ,∴集合M ={(p ,q )|p ⊙q =10,*N p ∈,q ∈*N }={(1,9),(2,8),(3,7),(4,6),(5,5),(6,4),(7,3),(8,2),(9,1),(1,10),(2,5),(5,2),(10,1)},共13个元素,故答案为:13例7.(2022·全国·高一专题练习)给定集合A ,若对于任意a ,b ∈A ,有a +b ∈A ,且a ﹣b ∈A ,则称集合A 为闭集合,给出如下四个结论:①集合A ={0}为闭集合;①集合A ={﹣4,﹣2,0,2,4}为闭集合;①集合A ={n |n =3k ,k ∈Z }为闭集合;①若集合A 1、A 2为闭集合,则A 1∪A 2为闭集合.其中所有正确结论的序号是__.【答案】①①【解析】①0+0=0,0﹣0=0,0∈A ,故①正确;①当a =﹣4,b =﹣2时,a +b =﹣4+(﹣2)=﹣6①A ,故不是闭集合,∴①错误;①由于任意两个3的倍数,它们的和、差仍是3的倍数,故是闭集合,∴①正确;①假设A 1={n |n =3k ,k ∈Z },A 2={n |n =5k ,k ∈Z },3∈A 1,5∈A 2,但是,3+5①A 1∪A 2,则A 1∪A 2不是闭集合,∴①错误.正确结论的序号是①①.故答案为:①①.例8.(2022·陕西·西安市阎良区关山中学高二阶段练习(文))已知集合{|15}A x x =<≤,集合21{|0}3x B x x -=>-. (1)求A ∩B ;(2)若集合{|243}=-≤≤-C x a x a ,且C A C =,求实数a 的取值范围.【解析】(1)210(21)(3)03x x x x ->⇔-->-12x ⇔<或3x >,1{|2B x x =<或3}x >, 所以{|35}A B x x =<≤;(2)由C A C =得A C ⊆,所以21435a a -≤⎧⎨-≥⎩,解得23a ≤≤. 例9.(2022·全国·高一专题练习)设集合{|}R A x x x ∈+=240=,R R {|()}B x x a x a a ∈=∈222110=+++-, . (1)若0a =,试求A B ;(2)若B A ⊆,求实数a 的取值范围.【解析】(1)由240x x +=,解得0x =或4x =-,}{,A =-40 .当0a =时,得x x -+2210=,解得12x =-x =12-{}1212B =--,; ∴{}041212A B =---,,,. (2)由(1)知,}{,A =-40,B A ⊆,于是可分为以下几种情况.当A B =时,}{,B =-40,此时方程()x a x a =222110+++-有两根为0,4-,则()()()a a a a ⎧∆=+⎪=⎨⎪-+=-⎩-->2224141010214-,解得1a =. 当B A ≠时,又可分为两种情况.当B ≠∅时,即{}0B =或{}B -4=, 当{}0B =时,此时方程()x a x a =222110+++-有且只有一个根为0,则22241410(0)()1a a a --⎧∆=+⎨-==⎩,解得1a =-,当{}B -4=时,此时方程()x a x a =222110+++-有且只有一个根为4-,则 ()2222414104()()()8110a a a a ⎧∆=+⎪⎨-=--=-⎪⎩++-,此时方程组无解, 当B =∅时,此时方程()x a x a =222110+++-无实数根,则2241410()()a a --∆+<=,解得1a <-.综上所述,实数a 的取值为}{a a a ≤-=11或.例10.(2022·全国·高一专题练习)已知集合{}23A x x =-<<,{}3B x x a =≤.(1)求集合A R ;(2)当1a =时,求A B ;(3)若()R B A ⋃=R ,求a 的取值范围.【解析】(1)由题意,{}23A x x =-<<故{|3R A x x =≥或2}x(2)当1a =时,{}131{|}3B x x x x =≤=≤ 故123A B x x ⎧⎫⋂=-<≤⎨⎬⎩⎭ (3)由(1){|3R A x x =≥或2}x{}3{|}3a B x x a x x =≤=≤ 若()R B A ⋃=R ,则33a ≥ 解得9a ≥ 例11.(2022·安徽·芜湖一中高一阶段练习)已知集合{}{}25,|1|21A x x B x m x m =-≤≤=+≤≤-. (1)当{}|25A x Z x =∈-≤≤时,求A 的非空真子集的个数;(2)若A B A ⋃=,求实数m 的取值范围;(3)若A B =∅,求实数m 的取值范围.【解析】(1)当x ∈Z 时,A ={x ∈Z |-2≤x ≤5}={-2,-1,0,1,2,3,4,5},共有8个元素,所以A 的非空真子集的个数为28-2=254.(2)因为A ∪B =A ,所以B ①A ,当B =∅时,由m +1>2m -1,得m <2,符合;当B ≠∅时,根据题意,可得21112215m m m m -≥+⎧⎪+≥-⎨⎪-≤⎩,解得2≤m ≤3.综上可得,实数m 的取值范围是{m |m ≤3}. (3)当B =∅时,由(1)知m <2;当B ≠∅时,根据题意作出如图所示的数轴,可得211212m m m -≥+⎧⎨-<-⎩或21115m m m -≥+⎧⎨+>⎩解得m >4.综上可得,实数m 的取值范围是{m |m <2或m >4}. 例12.(2022·北京·高二期末)设集合A 为非空实数集,集合{},,B xy x y A x y =∈≠且,称集合B 为集合A 的积集.(1)当{}1,2,3,4A =时,写出集合A 的积集B ;(2)若A 是由5个正实数构成的集合,求其积集B 中元素个数的最小值;(3)判断是否存在4个正实数构成的集合A ,使其积集{}2,4,5,8,10,16B =,并说明理由.【解析】(1)因为{}1,2,3,4A =,故集合B 中所有可能的元素有12,13,14,23,24,34⨯⨯⨯⨯⨯⨯,即2,3,4,6,8,12,{}2,3,4,6,8,12B ∴=(2)设{}12345,,,,A a a a a a =,不妨设123450a a a a a <<<<<,因为41213141525355a a a a a a a a a a a a a a <<<<<<,所以B 中元素个数大于等于7个,又{}254132,2,2,2,2A =,{}34689572,2,2,2,2,2,2B =,此时B 中元素个数等于7个, 所以积集B 中元素个数的最小值为7.(3)不存在,理由如下:假设存在4个正实数构成的集合{},,,A a b c d =,使其积集{}2,4,5,8,10,16B =,不妨设0a b c d <<<<,则集合A 的生成集{},,,,,B ab ac ad bc bd cd =则必有2,16ab cd ==,其4个正实数的乘积32abcd =;又5,8ad bc ==,其4个正实数的乘积40abcd =,矛盾;所以假设不成立,故不存在4个正实数构成的集合A ,使其生成集{}2,4,5,8,10,16B =【过关测试】一、单选题1.(2022·江西省铜鼓中学高一期末(理))()Z M 表示集合M 中整数元素的个数,设{}24A x x =-<<,{}723B x x =-<<,则()Z A B =( )A .5B .4C .3D .2【答案】C【解析】因为{}7372322B x x x x ⎧⎫=-<<=-<<⎨⎬⎩⎭,{}24A x x =-<<,所以3|22A B x x ⎧⎫=-<<⎨⎬⎩⎭,则()1A B -∈,()0A B ∈,()1A B ∈,所以()3Z A B =;故选:C2.(2022·河南焦作·高一期中)两个集合A 与B 之差记作A -B ,定义A -B ={x |x ∈A 且x ①B },已知A ={2,3},B ={1,3,4},则A -B 等于( )A .{1,4}B .{2}C .{1,2}D .{1,2,3} 【答案】B【解析】∵A ={2,3},B ={1,3,4},又∵A -B ={x |x ∈A 且x ①B },∴A -B ={2}.故选:B .3.(2022·浙江·安吉县高级中学高一开学考试)将有理数集Q 划分为两个非空的子集M 与N ,且满足M N Q M N ⋃=⋂=∅,,M 中的每一个元素都小于N 中的每一个元素,这种有理数的分割()M N ,就是数学史上有名的戴德金分割.试判断,对于任一戴德金分割()M N ,,下列选项中不可能成立的是( ) A .M 有最大元素,N 有一个最小元素B .M 没有最大元素,N 也没有最小元素C .M 没有一个最大元素,N 有一个最小元素D .M 有一个最大元素,N 没有最小元素【答案】A【解析】M 有一个最大元素,N 有一个最小元素,设M 的最大元素为m ,N 的最小元素为n ,若有m <n ,不能满足M ∪N =Q ,A 错误; 若{|2}M x Q x =∈<,{|2}N x Q x =∈;则M 没有最大元素,N 也没有最小元素,满足其它条件,故B 可能成立;若{|0}M x Q x =∈<,{|0}N x Q x =∈,则M 没有最大元素,N 有一个最小元素0,故C 可能成立;若{|0}M x Q x =∈,{}0N x Q x =∈;M 有一个最大元素,N 没有最小元素,故D 可能成立;故选:A .4.(2022·全国·高一单元测试)定义集合运算:{}*,,A B zz xy x A B y A B ==∈⋂∈⋃∣.若集合{}{}1,2,3,0,1,2A B ==,则()*A B A =( ) A .{}0 B .{}0,4 C .{}0,6 D .{}0,4,6【答案】D【解析】因为{}{}1,2,3,0,1,2A B ==,所以{}{}1,2,0,1,2,3A B A B ==,所以当,x A B y A B ∈⋂∈⋃时,0,1,2,3,4,6z =,所以{}*0,1,2,3,4,6A B =,所以 ()*A B A ={}0,4,6,故选:D5.(2022·江苏·高一期末)已知全集U =R ,集合{3A x x =<或}7x ≥,{}B x x a =<.若()U A B ≠∅,则实数a 的取值范围为( )A .{}3a a >B .{}3a a ≥C .{}7a a ≥D .{}7a a > 【答案】A 【解析】因为集合{3A x x =<或}7x ≥,可得{}37U A x x =≤<, 又因为()U A B ≠∅且{}B x x a =<,所以3a >,即实数a 的取值范围为{}3a a >.故选:A .6.(2022·江苏·高一单元测试)设集合{}{}|()(3)0,|(4)(1)0M x x a x N x x x =--==--=,则下列说法一定正确的是( ) A .若{}1,3,4MN =,则=M N ∅ B .若{}1,3,4M N =,则M N ≠∅C .若M N ⋂=∅,则M N ⋃有4个元素D .若M N ≠∅,则{}1,3,4M N =【答案】D【解析】(1)当3a =时,{}3M =,,N={134}MN M =∅,,; (2)当1a =时,{}1,3M =,{1},N={134}MN M =,,; (3)当4a =时,{}3,4M =,{4},N={134}M N M =,,;(4)当134a ≠,,时,{}3,M a =,,{134,}M N M N a =∅=,,;综上可知A ,B ,C ,不正确,D 正确故选:D 7.(2022·江苏·高一单元测试)已知集合A 中有10个元素,B 中有6个元素,全集U 有18个元素,A B ⋂≠∅.设集合()()U U A B ⋂中有x 个元素,则x 的取值范围是( )A .{}38,N x x x ≤≤∈B .{}28,N x x x ≤≤∈C .{}812,N x x x ≤≤∈D .{}1015,N x x x ≤≤∈【答案】A 【解析】集合A 中有10个元素,B 中有6个元素,因为A B ⋂≠∅,A B 至少有1 个元素,至多有6个元素,所以A B 至多有15个元素,至少有10个 元素,集合()()()U U U A B A B ⋂=⋃有x 个元素,则38x ≤≤且x 为正整数.即x 的取值范围是{}38,N x x x ≤≤∈,故选:A .8.(2022·江西·兴国县将军中学高一期中)已知集合{}53A x x =-<<-,{}232B x a x a =-<<-,若A B B =,则实数a 的取值范围是( )A .1a ≥B .1a =-C .1a ≥或1a =-D .a R ∈【答案】C【解析】由题意,A B B B A =⇔⊆(1)若B =∅,则2321a a a -≥-∴≥,B A ⊆成立; (2)若B ≠∅,则23223523a a a a -<-⎧⎪-≥-⎨⎪-≤-⎩,解得1a =-综上,实数a 的取值范围是1a ≥或1a =-故选:C9.(2022·陕西·西安一中高一期中)已知集合{}2,2A =-,{}240B x x ax =-+=,若A B A ⋃=,则实数a 满足( )A .4a =B .4a =-C .{}4,4-D .{}44a a -≤≤【答案】D【解析】因为A B A ⋃=,所以B A ⊆,当B =∅时,B A ⊆满足,此时2160a ∆=-<,所以44a -<<;当B ≠∅时,此时2160a ∆=-≥,即4a ≤-或4a ≥,若方程240x ax -+=有两个相同的实数根,则2160a ∆=-=,所以4a =±;当4a =-时,{}2B =-,此时B A ⊆满足,当4a =时,{}2B =,此时B A ⊆满足,若240x ax -+=有两个不同的实根,因为()224⋅-≠,所以A B ≠,所以此时无解;综上可知,a 的取值范围为{}44a a -≤≤,故选:D .10.(2022·江苏·高一单元测试)已知集合{}1,3,A m =,{}B m =,B A ⊆,则m =( ) A .9B .0或1C .0或9D .0或1或9 【答案】C【解析】由B A ⊆3m =m m =, 3m =时,9m = ,符合题意; m m =时,0m =或1m =,但1m = 时,{}1,1B =不合题意,故m 的值为0或9,故选:C11.(2022·全国·高一单元测试)在整数集Z 中,被4除所得余数为k 的所有整数组成一个“类”,记为[]k ,即[]{}4k n k n Z =+∈,0k =,1,2,3.给出如下四个结论:①[]20151∈;①[]22-∈;①[][][][]0123Z =⋃⋃⋃;①“整数a ,b 属于同一‘类’”的充要条件是“[]0a b -∈”其中正确的结论有( ) A .①①B .①①C .①①D .①①① 【答案】D【解析】因为201550343=⨯+,故[]20153∈,故①错误;而242-=+,故[]22-∈,故①正确;由“类”的定义可得[][][][]012Z 3⊆,任意Z c ∈,设c 除以4的余数为}{()0,1,2,3r r ∈,则[]c r ∈,故[][][][]0123c ∈⋃⋃⋃,所以[][][][]0123Z ⊆, 故[][][][]0123Z =,故①正确若整数a ,b 属于同一“类”,设此类为[]}{()0,1,2,3r r ∈,则4,4a m r b n r =+=+,故()4a b m n -=-即[]0a b -∈,若[]0a b -∈,故-a b 为4的倍数,故a ,b 除以4 的余数相同,故a ,b 属于同一“类”,故整数a ,b 属于同一“类”的充要条件为[]0a b -∈,故①正确;故选:12.(2022·北京八中高一期中)对于集合A ,定义了一种运算“⊕”,使得集合A 中的元素间满足条件:如果存在元素e A ∈,使得对任意a A ∈,都有e a a e a ⊕=⊕=,则称元素e 是集合A 对运算“⊕”的单位元素.例如:A =R ,运算“⊕”为普通乘法:存在1∈R ,使得对任意a ∈R 都有11a a a ⨯=⨯=,所以元素1是集合R 对普通乘法的单位元素.下面给出三个集合及相应的运算“⊕”:①A =R ,运算“⊕”为普通减法;①A =R ,运算“⊕”为普通加法;①{}A X X M =⊆(其中M 是任意非空集合,运算“⊕”为求两个集合的交集.( ) A .①① B .①① C .①①① D .①①【答案】D【解析】①若A R =,运算“⊕”为普通减法,而普通减法不满足交换律,故没有单位元素; ①A =R ,运算“⊕”为普通加法,其单位元素为0;①{|}A X X M =⊆(其中M 是任意非空集合),运算“⊕”为求两个集合的交集, 其单位元素为集合M . 故选:D . 二、多选题13.(2022·贵州·遵义市南白中学高一期末)群论是代数学的分支学科,在抽象代数中具有重要地位,且群论的研究方法也对抽象代数的其他分支有重要影响,例如一元五次及以上的方程没有根式解就可以用群论知识证明.群的概念则是群论中最基本的概念之一,其定义如下:设G 是一个非空集合,“· ”是G 上的一个代数运算,即对所有的a 、b ∈G ,有a ·b ∈G ,如果G 的运算还满足:①∀a 、b 、c ∈G ,有(a ·b )·c =a ·(b ·c );①e G ∃∈,使得a G ∀∈,有e a a e a ⋅=⋅=,①a G ∀∈,b G ∃∈,使a ·b =b ·a =e ,则称G 关于“·”构成一个群.则下列说法正确的有( )A .{1,0,1}G =-关于数的乘法构成群B .G ={x |x =1k,k ∈Z ,k ≠0}∪{x |x =m ,m ∈Z ,m ≠0}关于数的乘法构成群 C .实数集关于数的加法构成群D .{2|,Z}G m n m n =∈关于数的加法构成群 【答案】CD【解析】对于A :若{1,0,1}G =-,对所有的a 、b G ∈,有{1,0,1}a b G ⋅∈-=, 满足乘法结合律,即①成立,满足①的e 为1,但当0a =时,不存在b G ∈,使得··1a b b a e ===,即①不成立, 即选项A 错误;对于B :因为12a G =∈,且3b G =∈,但13322a b G ⋅=⨯=∉,所以选项B 错误;对于C :若R G =,对所有的a 、R b ∈,有R a b +∈, 满足加法结合律,即①成立,满足①的e 为0,R a ∀∈,R b a ∃=-∈,使0a b b a +=+=,即①成立; 即选项C 正确;对于D :若{2|,Z}G m n m n =∈,所有的112a m n =、222b m n G =∈, 有1212()+2(+)a b m m n n G +=+∈,,,,a b c G ∀∈()()++=++a b c a b c 成立, 即①成立;当0a b 时,20a b =,满足的0e =,即①成立;2a m n G ∀=∈,2b m n G ∃=-∈,使0a b b a +=+=,即①成立;即选项D 正确. 故选:CD .14.(2022·全国·高一期中)如图,集合U 是全集,,A B 是非空集合,定义集合*A B 为阴影部分表示的集合,则*A B 可表示为( )A .()UB A B ⋂⋃B .()UA AB ⋂⋂C .()()()()UUA B B A ⋂⋂D .()()UA B A B ⋃⋂⋂【答案】CD 【解析】()UB A B ⋂⋃=∅,故A 选项错误;()UA AB ⋂⋂表示的集合韦恩图为如图1,显然B 选项错误;通过画出CD 选项的韦恩图,与题干中的相同,故选项CD 正确. 故选:CD15.(2022·河北·石家庄外国语学校高一期中)当两个集合中一个集合为另一个集合的子集时,称这两个集合构成“全食”;当两个集合有公共元素,但互不为对方子集时,称这两个集合构成“偏食”,对于集合{}211,,|1,02A B x ax a ⎧⎫=-==≥⎨⎬⎩⎭,若A 与B 构成“偏食”,则实数a 取值可以是( )A .0B .1C .2D .4【答案】BD【解析】因为集合{}211,,|1,02A B x ax a ⎧⎫=-==≥⎨⎬⎩⎭,且A 与B 构成“偏食”,所以1B -∈或12B ∈,当1B -∈时,得1a =,此时{}{}211,1B x x ===-,符合题意,当12B ∈时,得4a =,此时{}21141,22B x x ⎧⎫===-⎨⎬⎩⎭,符合题意, 综上,1a =或4a =, 故选:BD16.(2022·全国·高一单元测试)设{}29140A x x x =-+=,{}10B x ax =-=,若A B B =,则实数a 的值可以为( ) A .2 B .12C .17D .0【答案】BCD【解析】集合2{|9140}{2A x x x =-+==,7},{|10}B x ax =-=, 又A B B =, 所以B A ⊆,当0a =时,B =∅,符合题意,当0a ≠时,则1{}B a =,所以12a=或17a =,解得12a =或17a =,综上所述,0a =或12或17, 故选:BCD17.(2022·全国·高一单元测试)已知全集U =R ,集合{}|27A x x =-≤≤,{}|121B x m x m =+≤≤-,则使UA B ⊆成立的实数m 的取值范围可以是( )A .{}|610m m <≤B .{}|22m m -<<C .1|22m m ⎧⎫-<<-⎨⎬⎩⎭D .{}|58m m <≤【答案】ABC【解析】当B =∅时,121m m +>-,即2m <,此时UR B =,符合题意,当B ≠∅时,121m m +≤-,即2m ≥, 由{}|121B x m x m =+≤≤-可得{U|1B x x m =<+或}21x m >-,因为UA B ⊆,所以17m +>或212m -<-,可得6m >或12m <-, 因为2m ≥,所以6m >,所以实数m 的取值范围为2m <或6m >, 所以选项ABC 正确,选项D 不正确; 故选:ABC .18.(2022·浙江·金华市曙光学校高一期中)在R 上定义运算()*1x y x y =-,若关于x 的不等式()*0x a x ->的解集是集合{}|01x x ≤≤的子集,则整数a 的取值可以是( ) A .0 B .1 C .1- D .2【答案】AB【解析】由在R 上定义的运算:()*1x y x y =-得,()*0()(1)0x a x x a x ->⇔-->,即1(0)()x a x --<, 当a =1时,不等式1(0)()x a x --<的解集为空集∅,而{|01}x x ∅⊆≤≤,则a =1,当a >1时,不等式1(0)()x a x --<的解集为{x |1<x <a },显然{x |1<x <a }不是{x |0≤x ≤1}的子集,不满足题意,舍去,当a <1时,不等式1(0)()x a x --<的解集为{x |a <x <1},当{x |a <x <1}是{x |0≤x ≤1}的子集时, a ≥0,则0≤a <1, 综上所述,a 的取值范围是{a |0≤a ≤1},又a 为整数,所以a =0或a =1. 故选:AB 三、填空题19.(2022·江西省崇义中学高一期中)若集合{}2120M x x x =+-=,{}10N x mx =+=,且MN N =,则实数m 的值为_____【答案】13-或14或0【解析】由题得{4,3}M =-, 因为MN N =,所以N M ⊆,所以,{4},{3}N =∅-, 当N =∅时,0m =;当{4}N =-时,1(4)10,4m m ⨯-+=∴=; 当{3}N =时,1(3)10,3m m ⨯+=∴=-.故答案为:13-或14或020.(2022·广东·广州誉恩教育咨询有限公司高一期中)设a 是实数,集合{}260,{20}M x x x N y ay =+-==+=∣∣,若N M ⊆,则a 的取值集合是_______.【答案】2{0,,1}3-【解析】由题意,集合{}260{|(2)(3)0}{3,2}M xx x x x x =+-==-+==-∣ 若N M ⊆,且集合N 中至多有一个元素 则当N =∅时,即0a =时,满足题意; 当{3}N =-时,即320a -+=,即23a =时,N M ⊆满足题意; 当{2}N =时,即220a +=,即1a =-时,N M ⊆满足题意;综上,a 的取值集合是2{0,,1}3-故答案为:2{0,,1}3-21.(2022·河南·林州一中高一开学考试)若一个集合是另一个集合的子集,则称两个集合构成“鲸吞”;若两个集合有公共元素,且互不为对方子集,则称两个集合构成“蚕食”,对于集合1,2A ,{}22,0B x ax a ==≥,若这两个集合构成“鲸吞”或“蚕食”,则a 的取值集合为_____.【答案】10,,22⎧⎫⎨⎬⎩⎭【解析】当0a =时,B =∅,此时满足B A ⊆,当0a >时,22,B a a ⎧⎪=⎨⎪⎩,此时,A B 集合只能是“蚕食”关系,所以当,A B 集合有公共元素21a=-时,解得2a =, 当,A B 22a=时,解得12a =,故a 的取值集合为10,,22⎧⎫⎨⎬⎩⎭. 故答案为:10,,22⎧⎫⎨⎬⎩⎭22.(2022·福建·福州三中高一开学考试)已知集合A ={a ∈R |(x ﹣1)a 2+7ax +x 2+3x ﹣4=0},{0}⊆A ,则x 的值为___________. 【答案】1或4-. 【解析】因为{0}⊆A , 所以70x ⨯⨯+x 2+3x ﹣4=0, 所以1x =或4x =-.当1x =时,7a +1+3﹣4=0,所以0a =,集合A ={0},满足题意;当4x =-时,2528161240,0a a a --+--=∴=或285a =-,集合A =28{0,}5-,满足题意. 故答案为:1或4-.23.(2022·黑龙江·大庆实验中学高一期末)设集合{}2,3,4U =,对其子集引进“势”的概念;①空集的“势”最小;①非空子集的元素越多,其“势”越大;①若两个子集的元素个数相同,则子集中最大的元素越大,子集的“势”就越大.最大的元素相同,则第二大的元素越大,子集的“势”就越大,以此类推.若将全部的子集按“势”从小到大顺序排列,则排在第6位的子集是_________. 【答案】{}2,4【解析】根据题意,将全部的子集按“势”从小到大顺序排列为:∅,{}2,{}3,{}4,{}2,3,{}2,4,{}3,4,{}2,3,4.故排在第6的子集为{}2,4. 故答案为:{}2,4 四、解答题24.(2022·全国·高一单元测试)已知实数集R 的子集S 满足条件:①1S ∉;①若a S ∈,则11S a∈-.求证:(1)若2S ∈,则S 中必有另外两个元素; (2)集合S 中不可能只有一个元素. 【解析】(1)∵2S ∈,∴1112S =-∈-,同理:()11112S =∈--,12112S =∈-, ∴S 中还有-1,12两个元素.(2)不妨设S 为单元素集,则11a a=-,整理得210a a -+=,解得a ∈∅, ∴S 不可能为单个元素集合.25.(2022·湖南永州·高一期末)已知集合{}2A x x =≥,{}35B x x =<≤. (1)求A B ;(2)定义{M N x x M -=∈且}x N ∉,求A B -. 【解析】(1)由{}2A x x =≥,{}35B x x =<≤, 则{}2A B x x ⋃=≥.(2)由{M N x x M -=∈且}x N ∉,所以A B -{x x A =∈且}{23x B x x ∉=≤≤或}5x >.26.(2022·全国·高一期中)已知集合{}22221,,Z M x x a a b a b ==+-=∈.(1)证明:若x M ∈,则1x x+是偶数; (2)设m M ∈,且132m <<,求实数m 的值; (3)若n M ∈3+22是否属于集合M ,并说明理由. 【解析】(1)若x M ∈,则2x a b =+2221,,a b a b -=∈Z . 所以221x a x a b =+++()()2222b b a b a b a =++-22a b a =-+ 因为2221a b -=,所以原式222b a b a a =+-=, 因为a ∈Z ,所以2a 为偶数,即若x M ∈,则1x x+是偶数. (2)因为m M ∈,且132m <<,则1123m <<,所以5156m m<+< 设2m a b =+,2221,,a b a b -=∈Z . 由(1)可知12m a m +=,即5256a <<; 所以1a =或2a =.当1a =时,代入2221,,a b a b -=∈Z 可得0b =, 此时21m a b =+,满足132m <<,所以1m =成立; 当2a =时,代入2221,,a b a b -=∈Z 解得6b =b ∈Z ,所以不成立; 综上可知1m =.(3)因为n M ∈,所以可设2,n ab 且2221,,a b a b -=∈Z ,2(2)(322)322322(322)(322)n a b a b ()(34322a b b a =-+-因为22(34)2(32)a b b a ---()22229241629124a ab b b ab a =-+--+2221a b =-=,()(),Z,34Z,32Z a b a b b a ∈∴-∈-∈322M +成立.27.(2022·北京·高一期末)已知集合{}23A x x =-<<,{}3B x x a =≤. (1)求集合A R;(2)当1a =时,求A B ;(3)若()R B A ⋃=R ,求a 的取值范围. 【解析】(1)由题意,{}23A x x =-<< 故{|3RA x x =≥或2}x(2)当1a =时,{}131{|}3B x x x x =≤=≤故123A B x x ⎧⎫⋂=-<≤⎨⎬⎩⎭(3)由(1){|3RA x x =≥或2}x{}3{|}3aB x x a x x =≤=≤若()R B A ⋃=R ,则33a ≥ 解得9a ≥28.(2022·湖南益阳·高一期末)设集合{13}A x x =-<<,{}1B x x =≥,{2}C x x m =>-. (1)求A B ;(2)若_________,求实数m 的取值范围. 请从①A C ⊆,①A C ⋂≠∅,①RC A ⊆这三个条件中选一个填入(2)中横线处,并完成第(2)问的解答.(如多选,则按第一个选择的解答给分)【解析】(1)∵集合{13}A x x =-<<,{}1B x x =≥, ∴{}1{13}{1}A B x x x x x x ⋃=≥⋃-<<=>-. (2)①若A C ⊆,∴21m -≤-,即1m , ∴实数m 的取值范围是{}1m m ≤. ①若A C ⋂≠∅,∴23m -<,即5m <, ∴实数m 的取值范围是{5}m m <. ①若RC A ⊆,∵R{1A x x =≤-或3}x ≥,∴23m -≥,即5m ≥,∴实数m 的取值范围是{}5m m ≥.29.(2022·江苏·高一单元测试)已知集合{}2|40=+=A x x x ,{}22|2(1)10=+++-=B x x a x a . (1)若⊆A B ,求a 的值; (2)若⊆B A ,求a 的值.【解析】(1)由题集合B 最多两个元素,{4,0}=-A ,⊆A B ,则=A B ,所以集合B 中的方程两根为-4,0,224(1)4(1)0=+-->a a ,即1>-a ,由根与系数的关系,{242(1)01-=-+=-a a ,解得:1=a ;(2)由题⊆B A ,B 中最多两个元素,对于方程222(1)10+++-=x a x a 当集合=∅B 时:224(1)4(1)0=+--<a a ,即1<-a 时,方程无解,=∅B ,符合题意;当集合B 中只有一个元素时:224(1)4(1)0=+--=a a ,即1=-a 时,方程的解为0=x ,{0}=B ,符合题意;当B 中有两个元素时:224(1)4(1)0=+-->a a ,即1>-a 时,方程有两个不同实根,集合B 有两个元素,此时则=A B ,所以集合B 中的方程两根为124,0=-=x x ,由根与系数的关系,{242(1)01-=-+=-a a ,解得:1=a ;综上所述:1≤-a 或1=a .。
集合练习题例1.已知集合M={y|y=x 2+1,x∈R},N={y|y=x+1,x∈R},则M∩N=( )A .(0,1),(1,2)B .{(0,1),(1,2)}C .{y|y=1,或y=2}D .{y|y≥1} 例2. 若P={y|y=x 2,x∈R},Q={(x ,y)|y=x 2,x∈R},则必有( )A .P∩Q=∅B .P QC .P=QD .PQ 例3.已知集合A={x|x 2-3x +2=0},B={x|x 2-a x +a -1=0},且A∪B=A,则a 的值为______.例4.设集合A={a |a =3n +2,n∈Z},集合B={b|b=3k -1,k∈Z},则集合A 、B 的关系是________.例5若A 、B 、C 为三个集合,C B B A ⋂=⋃,则一定有( )A . C A ⊆B .AC ⊆ C .C A ≠D . A =∅ 例6.设集合{1,2}A =,则满足{1,2,3}A B ⋃=的集合B 的个数是( )A . 1B .3C .4D . 8例7. 记关于x 的不等式01x a x -<+的解集为P ,不等式11x -≤的解集为Q . (1)若3a =,求P ;(2)若Q P ⊆,求正数a 的取值范围.例8. 已知A={x|x 2-3x +2=0},B={x|a x -2=0}且A∪B=A,则实数a 组成的集合C 是________.例9.已知集合{}|1A x x a =-≤,{}2540B x x x =-+≥.若A B =∅ ,则实数a 的取值范围是 .例10. 已知集合A={x|x 2+(m +2)x +1=0,x∈R},若A∩R +=∅,则实数m 的取值范围是_________.例11.已知集合A={x|x 2-3x -10≤0},集合B={x|p +1≤x ≤2p -1}.若B A ,则实数p 的取值范围是________.例12.设全集U={x|0<x<10,x∈N *},若A∩B={3},A∩C U B={1,5,7},C U A∩C U B={9},则集合A 、B 是________.例13.集合A={x|x 2+5x -6≤0},B={x|x 2+3x>0},求A ∪B 和A ∩B . 例14.设A={x|-2<x<-1,或x>1},B={x|x 2+a x +b≤0},已知A∪B={x|x>-2},A∩B={x|1<x≤3},求a 、b 的值.一.选择题:1.设M={x|x 2+x+2=0},a =lg(lg10),则{a }与M 的关系是( ) A 、{a }=M B 、M ≠⊆{a } C 、{a }≠⊇M D 、M ⊇{a }2.已知全集U =R ,A={x|x-a |<2},B={x|x-1|≥3},且A ∩B=∅,则a 的取值范围是( )A 、 [0,2]B 、(-2,2)C 、(0,2]D 、(0,2) 3.已知集合M={x|x=a 2-3a +2,a ∈R},N={x|x=b 2-b ,b ∈R},则M ,N 的关系是( )A 、 M ≠⊆NB 、M ≠⊇NC 、M=ND 、不确定4.设集合A={x|x ∈Z 且-10≤x ≤-1},B={x|x ∈Z ,且|x|≤5},则A ∪B 中的元素个数是( )A 、11B 、10C 、16D 、155.集合M={1,2,3,4,5}的子集是( )A 、15B 、16C 、31D 、32 6 集合M ={x |x =42π+kx ,k ∈Z },N ={x |x =42k ππ+,k ∈Z },则( ) A M =N B M N C M N D M ∩N =∅ 7 已知集合A ={x |-2≤x ≤7},B ={x |m +1<x <2m -1}且B ≠∅,若A ∪B =A ,则( ) A -3≤m ≤4 B -3<m <4 C 2<m <4 D 2<m ≤48.集合M={}220,x x x a x R +-=∈,且M ∅⊂≠.则实数a 的取值范围是( ) A. a ≤-1 B. a ≤1 C. a ≥-1 D.a ≥19.满足{a ,b }U M={a ,b ,c ,d }的所有集合M 的个数是( )A. 7B. 6C. 5D. 410.设集合P={3,4,5}.Q={4,5,6,7}.令P*Q=(){},,a b a p b Q ∈∈,则P*Q 中元素的个数是 ( )A. 3B. 7C. 10D. 1211.集合A ={y ∈R |y =lg x ,x >1},B ={-2,-1,1,2},则下列结论中正确的是( )A .A ∩B ={-2,-1} B .(∁R A )∪B =(-∞,0)C .A ∪B =(0,+∞)D .(∁R A )∩B ={-2,-1}12.已知M={y|y=x 2},N={y|x 2+y 2=2},则M ∩N 等于( )A.{(1,1),(-1,1)}B.{1}C.[0,1]D.[0,2]13.设集合M={x|x-m<0},N={y|y=a x -1,a>0且a ≠1,x ∈R },若M ∩N=∅,则m 的范围是( )A.m ≥-1B.m>-1C.m ≤-1D.m<-1二.填空题:14.已知M={Z 24m |m ∈-},N={x|}N 23x ∈+,则M ∩N=__________. 15.非空集合p 满足下列两个条件:(1)p ≠⊆{1,2,3,4,5},(2)若元素a ∈p ,则6-a ∈p ,则集合p 个数是__________.16.设A={1,2},B={x |x ⊆A }若用列举法表示,则集合B 是 .17.含有三个实数的集合可表示为{}2,,1,,0b a a a b a ⎧⎫=+⎨⎬⎩⎭,则20072008a b+= . 18.下列各式:①2 006⊆{x|x ≤2 007};②2 007∈{x|x ≤2 007};③{2 007}{x|x ≤2 007};④∅∈{x|x<2 007},其中正确的是____________.19.设全集U={x|0<x<6,x ∈N },A={x|x 2-5x+q=0},B={x|x 2+px+12=0},(A)∪B={1,3,4,5},则集合A=_____________B=_______________.20.已知集合A={-1,2},B={x|mx+1=0},若A ∩B=B ,则所有实数m 的值组成的集合是_______.三.解答题:21.设集合A={(x ,y)|y=a x+1},B={(x ,y)|y=|x|},若A ∩B 是单元素集合,求a 取值范围.22.设A={x|x 2+px+q=0}≠∅,M={1,3,5,7,9},N={1,4,7,10},若A ∩M=∅,A ∩N=A ,求p 、q 的值.23.已知集合A={x|x 2-3x+2=0},B={x|x 2-mx+2=0},且A ∩B=B ,求实数m 范围.24.已知全集U =R ,且{}{}22120,450A x x x B x x x =--≤=-->,求()()U U C A C B .25.已知集合{}{}22230,0A x x x B x x ax b =-->=++≤, 且{},34A B R A B x x =<≤ ,求a ,b 的值.26.设函数f(x)=log 2(2x-3)的定义域为集合M ,函数g(x)=)1)(3(--x x 的定义域为集合N.(1)求集合M 、N ;(2)求集合M ∩N ,M ∪N ,(N )∩M.27.已知集合A={x|x 2-6x+8<0},B={x|(x-a)(x-3a)<0}.(1)若A B,求a 的取值范围;(2)若A ∩B=∅,求a 的取值范围;(3)若A ∩B={x|3<x<4},求a 的取值范围.。
排列组合知识点总结+典型例题及答案解析一.基本原理1.加法原理:做一件事有n 类办法,则完成这件事的方法数等于各类方法数相加。
2.乘法原理:做一件事分n 步完成,则完成这件事的方法数等于各步方法数相乘。
注:做一件事时,元素或位置允许重复使用,求方法数时常用基本原理求解。
二.排列:从n 个不同元素中,任取m (m ≤n )个元素,按照一定的顺序排成一.m n m n A 有排列的个数记为个元素的一个排列,所个不同元素中取出列,叫做从1.公式:1.()()()()!!121m n n m n n n n A mn -=+---=…… 2. 规定:0!1=(1)!(1)!,(1)!(1)!n n n n n n =⨯-+⨯=+ (2) ![(1)1]!(1)!!(1)!!n n n n n n n n n ⨯=+-⨯=+⨯-=+-; (3)111111(1)!(1)!(1)!(1)!!(1)!n n n n n n n n n +-+==-=-+++++ 三.组合:从n 个不同元素中任取m (m ≤n )个元素并组成一组,叫做从n 个不同的m 元素中任取 m 个元素的组合数,记作 Cn 。
1. 公式: ()()()C A A n n n m m n m n m n m n m m m==--+=-11……!!!! 10=n C 规定:组合数性质:.2 n n n n n m n m n m n m n n m n C C C C C C C C 21011=+++=+=+--……,, ①;②;③;④11112111212211r r r r r r r r r r r r r r r r r r n n r r r n n r r n n n C C C C C C C C C C C C C C C +++++-+++-++-+++++=++++=+++=注: 若12m m 1212m =m m +m n n n C C ==则或四.处理排列组合应用题 1.①明确要完成的是一件什么事(审题) ②有序还是无序 ③分步还是分类。
集合的基本运算知识点总结与例题讲解本节知识点: (1)并集. (2)交集. (3)全集与补集. (4)德·摩根定律. 知识点一 并集自然语言 一般地,由所有属于集合A 或属于集合B 的元素组成的集合,称为集合A与集合B 的并集,记作B A ,读作“A 并B ”.符号语言 {}B x A x x B A ∈∈=或, .图形语言(用Venn 图表示并集) 图中阴影部分表示两个集合的并集.(1)A 与B 有公共元素,相互不包含 (2)A 与B 没有公共部分(3)B A ≠⊂ (4)A B ≠⊂(5)B A =对并集的理解(1)求两个集合的并集是集合的一种运算,结果仍是一个集合,它是由属于集合A 或集合B 的元素组成的.(2)并集概念中的“或”指的是只要满足其中一个条件即可.符号语言“B x A x ∈∈或,”分为三种情况:①A x ∈,但B x ∉; ②A x ∉,但B x ∈; ③A x ∈,且B x ∈.(3)根据集合元素的互异性,在求两个集合的并集时,两个集合中的公共元素在并集中只能出现一次.并集的性质求并集的方法(1)求两个有限集的并集 按照并集的定义进行计算,但要特别注意集合元素的互异性.(2)求两个无限集的并集 借助于数轴进行计算.注意两个集合的并集等于这两个集合在数轴上对应的图形所覆盖的全部范围.知识点二 交集自然语言 一般地,由属于集合A 且属于集合B 的所有元素组成的集合,称为集合A与集合B 的交集,记作B A ,读作“A 交B ”.符号语言 {}B x A x x B A ∈∈=且, .图形语言(用Venn 图表示交集) 图中阴影部分表示两个集合的并集.如下页图所示.(1)A 与B 有部分公共元素 (2)A 与B 无公共元素,∅=B A(3)若A B ≠⊂,则B B A = (4)若B A ≠⊂,则A B A = (5)B A B A ==对交集的理解(1)求两个集合的交集是集合的一种运算,结果仍是一个集合,它是由属于集合A 且属于集合B 的所有元素组成的集合,及两个集合的公共元素所组成的集合. (2)交集概念中的“所有”二字不能省略,否则会漏掉一些元素,一定要将两个集合中的相同元素(公共元素)全部找出来.(3)当集合A 与集合B 没有公共元素时,不能说集合A 与集合B 没有交集,而是交集为空集,.交集的性质AA B BA B求交集的方法(1)求两个有限集的交集 按照交集的定义进行计算,但要特别注意一定要找出两个集合中的所有公共元素.(2)求两个无限集的交集 借助于数轴进行计算.两个集合的交集等于这两个集合在数轴上对应的图形所覆盖的公共范围.知识点三 全集与补集全集 一般地,如果一个集合含有我们所研究问题中涉及的所有元素,那么就称这个集合为全集,记作U .补集 对于一个集合A ,由全集U 中不属于A 的所有元素组成的集合称为集合A相对于全集U 的补集,简称集合A 的补集,记作C U A ,即C U A {}A x U x x ∉∈=且,.用Venn 图表示为:对补集的理解(1)补集是相对于全集而言的,求一个集合的补集,结果因全集的不同而不同.所以求补集前,要先明确全集.(2)补集既是集合间的一种关系,同时也是集合之间的一种运算. (3)符号“C U A ”有三层意思: ① C U A {}A x U x x ∉∈=且,;② C U A 是U 的一个子集,及(C U A )U ⊆; ③ C U A 表示一个集合.补集的性质①(C U A )U A = ; ②(C U A )∅=A ; ③ C U (C U A )A =; ④ C U U ∅=; ⑤ C U U =∅.U4321B A 知识点四 德·摩根定律知识点五 重要结论如图所示,集合A , B 将全集U 分成了四部分,这四部分用集合表示如下: (1)①表示B A ; (2)②表示 A (C U B ); (3)③表示 B (C U A ); (4)④表示(C U A ) (C U B ).知识点六 集合中元素的个数若集合A 为有限集,则用card(A )表示集合A 中元素的个数. 如果集合A 中含有m 个元素,那么有card(A )m =. (1)一般地,对于任意两个有限集合A , B ,有 card ()=B A card(A )+card(B )-card ()B A . (2)一般地,对于任意三个有限集合A , B , C ,有card ()=C B A card(A )+card(B )-card ()B A -card ()C A -card ()C B + card ()C B A .例题讲解题型一 并集运算一般地,由所有属于集合A 或属于集合B 的元素组成的集合,称为集合A 与集合B 的并集,记作B A ,读作“A 并B ”.即{}B x A x x B A ∈∈=或, .求并集的方法(1)求两个有限集的并集 按照并集的定义进行计算,但要特别注意集合元素的互异性.(2)求两个无限集的并集 借助于数轴进行计算.注意两个集合的并集等于这两个集合在数轴上对应的图形所覆盖的全部范围.例1. 已知集合{}31≤≤∈=x N x A ,{}5,4,3,2=B ,则=B A 【 】 (A ){}2 (B ){}3,2(C ){}5,4,3,2 (D ){}5,4,3,2,1 分析:将一个用描述法表示的集合转化为用列举法表示时,一定要弄清代表元素的含义或特征.求两个集合的并集运算时,可以按照并集的定义进行,也可以用Venn 图求解或借助于数轴求解.解:∵{}{}3,2,131=≤≤∈=x N x A1∴=B A {}{}{}5,4,3,2,15,4,3,23,2,1= . 选择【 D 】.例2. 已知集合{}1≥=x x A ,{}0322<--=x x x B ,则=B A ____________. 分析:先解一元二次不等式0322<--x x ,求出集合B ,然后把集合A 、B 在数轴上画出来,它们对应图形所覆盖的全部范围即为B A . 解:∵{}{}310322<<-=<--=x x x x x B ∴=B A {}{}{}1311->=<<-≥x x x x x x .例3. 已知集合{}m A ,3,1=,{}m B ,1=,若A B A = ,则m 等于【 】 (A )0或3 (B )0或3 (C )1或3 (D )1或3分析:{}m B ,1=,由集合元素的互异性,得1≠m ,排除C 、D 选项. 因为A B A = ,根据并集的性质,所以A B ⊆,这样就将两个集合的并集运算转化为了这两个集合之间的关系,从而可以确定参数的值或取值范围. 解:∵A B A = ,∴3=m 或m m =当m m =时,解之得:0=m (1=m 不符合题意,舍去) 综上,3=m 或0=m .例 4. 已知集合{}012≤-=x x P ,{}a M =,若P M P = ,则实数a 的取值范围是__________.分析:∵P M P = ,∴P M ⊆. 解:{}{}11012≤≤-=≤-=x x x x P ∵P M P = ,∴P M ⊆,∴P a ∈ ∴实数a 的取值范围是{}11≤≤-a a .例5. 已知集合{}x A ,3,2,1=,{}2,3x B =,且{}x B A ,3,2,1= ,求x 的值.分析:由题意可知:A B A = ,所以A B ⊆,从而A x ∈2,且32≠x . 解:分为三种情况:①当12=x 时,解之得:1-=x (1=x 不符合题意,舍去); ②当22=x 时,解之得:2±=x ; ③当x x =2时,解之得:0=x . 综上所述,x 的值为0或2±或1-.注意:在求参数的值时,参数的值要满足集合元素的互异性.例6. 已知集合{}32>-=x x A ,{}a x x x B ->-=332,求B A . 分析:对于含参集合参与的集合运算,要注意分类讨论.解:{}{}532>=>-=x x x x A ,{}{}3332-<=->-=a x x a x x x B . 当3-a ≤5,即a ≤8时,{}53>-<=x a x x B A 或 ; 当53>-a 时,即8>a 时,=B A R .a例7.(易错题)已知集合{}1,1-=A ,{}1==mx x B ,且A B A = ,求由m 的取值构成的集合.分析:因为A B A = ,所以A B ⊆.由于集合B 是一个含参集合,所以要对集合B 分∅=B 和∅≠B 两种情况进行讨论. 解:∵A B A = ,∴A B ⊆. 当0=m 时,∅=B ,满足A B ⊆;当0≠m 时,{}11-=⎭⎬⎫⎩⎨⎧==m x x B 或{}1=B :①若{}1-=B ,则11-=m,解之得:1-=m ;②若{}1=B ,则11=m,解之得:1=m . 综上所述,m 的取值构成的集合为{}1,0,1-.例8. 设集合{}52<<-=x x M ,{}122+<<-=t x t x N ,若M N M = ,则实数t 的取值范围是__________.分析:先将并集运算的结果M N M = 转化为两个集合M , N 之间的关系M N ⊆,从而列出关于参数t 的不等式(组)求解.注意含参集合的分类讨论. 解:∵M N M = ,∴M N ⊆. 分为两种情况:①当∅=N 时,有t -2≥12+t ,解之得:t ≤31;②当∅≠N 时,则有:⎪⎩⎪⎨⎧≤+-≥-+<-51222122t t t t ,解之得:t <31≤2.综上所述,实数t 的取值范围是{}2≤t t .警示:在解决本题时,任意忽略∅=N 的情况,另外要注意端点值能否取到.例9. 已知集合{}2,1-=A ,{}01>+=mx x B ,若B B A = ,求实数m 的取值范围. 分析:注意本题与例7的区别. 解:∵B B A = ,∴B A ⊆. 分为三种情况:①当0=m 时,01>恒成立,∴{}=>+=01mx x B R ,满足B A ⊆;②当0>m 时,{}⎭⎬⎫⎩⎨⎧->=>+=m x x mx x B 101,有11-<-m ,解之得:1<m∴10<<m ;③当0<m 时,{}⎭⎬⎫⎩⎨⎧-<=>+=m x x mx x B 101,有21>-m ,解之得:21->m∴021<<-m .综上所述,实数m 的取值范围是⎭⎬⎫⎩⎨⎧<<-121m m .题型二 交集运算一般地,由属于集合A 且属于集合B 的所有元素组成的集合,称为集合A 与集合B 的交集,记作B A ,读作“A 交B ”.{}B x A x x B A ∈∈=且, .求交集的方法(1)求两个有限集的交集 按照交集的定义进行计算,但要特别注意一定要找出两个集合中的所有公共元素.(或可借助于Venn 图)(2)求两个无限集的交集 借助于数轴进行计算.两个集合的解集等于这两个集合在数轴上对应的图形所覆盖的公共范围.例10. 设集合{}01>+∈=x Z x A ,集合{}02≤-=x x B ,则=B A 【 】 (A ){}21<<-x x (B ){}21≤<-x x (C ){}2,1- (D ){}2,1,0分析:在进行集合的运算之前,要先弄清楚各个集合的本质.本题中集合A 的代表元素x 为整数,所以集合A 为1->x 范围内的整数集.解:∵{}{}101->∈=>+∈=x Z x x Z x A ,{}{}202≤=≤-=x x x x B ∴=B A {}{}2,1,021=≤<-∈x Z x . 选择【 D 】.例11. 设集合{}21<≤-=x x A ,{}a x x B <=,若∅≠B A ,则实数a 的取值范围是__________.分析:∅≠B A 说明集合A 、B 有公共元素,在数轴上集合A 、B 所对应的图形覆盖的区域有公共部分. 解:{}1->a a .1例12. 设集合{}52<<-=x x M ,{}122+<<-=t x t x N ,若N N M = ,求实数t 的取值范围.分析:若N N M = ,则由交集的性质知M N ⊆,在得到这两个集合之间的关系后借助于数轴就可以列出不等式(组)进行求解了. 解:∵N N M = ,∴M N ⊆. 分为两种情况:①当∅=N 时,满足M N ⊆,有t -2≥12+t ,解之得:t ≤31;②当∅≠N 时,则有:⎪⎩⎪⎨⎧≤+-≥-+<-51222122t t t t ,解之得:t <31≤2.综上所述,实数t 的取值范围是{}2≤t t .★例13.(易错题)设集合{}R x x y y A ∈+==,12,{}R x x y y B ∈+==,1,则B A 等于【 】(A ){}1≥y y (B ){}2,1 (C )()(){}2,1,1,0 (D )∅错解:解方程组⎩⎨⎧+=+=112x y x y 得:⎩⎨⎧==10y x 或⎩⎨⎧==21y x ,故选【 C 】.错因分析:这里好多学生认为是求抛物线12+=x y 和直线1+=x y 的交点坐标所构成的集合,根源在于没有搞清楚集合A , B 的本质,没有弄清楚集合的代表元素的特征.分析:本题中的两个集合都是由函数值构成的,它们的代表元素是函数值y .B A 表示函数12+=x y 和函数1+=x y 的函数值的交集. 解:∵{}{}1,12≥=∈+==y y R x x y y A ,{}=∈+==R x x y y B ,1R .∴{} 1≥=y y B A R {}1≥=y y . 选择【 A 】.变式: 设集合(){}1,2+==x y y x A ,(){}1,+==x y y x B ,则B A 等于【 】 (A ){}1≥y y (B ){}2,1 (C )()(){}2,1,1,0 (D )∅例14. 已知集合(){}1,22=+=y x y x A ,集合(){}x y y x B ==,,则B A 中元素的个数为【 】(A )3 (B )2 (C )1 (D )0解:解方程组⎩⎨⎧==+xy y x 122得:⎪⎪⎩⎪⎪⎨⎧==2222y x 或⎪⎪⎩⎪⎪⎨⎧-=-=2222y x ∴B A ⎭⎬⎫⎩⎨⎧⎪⎪⎭⎫ ⎝⎛--⎪⎪⎭⎫ ⎝⎛=22,22,22,22,共有2个元素.选择【 B 】. 方法二:由后面的学习可以知道,方程122=+y x 是单位圆的方程(以原点为圆心,以1为半径的圆).集合A 是由圆122=+y x 上的所有点构成的,集合B 是由直线x y =上的所有点构成的,所以B A 就是由单位圆与直线的交点构成的,如图所示,交点有两个,故B A 中元素的个数为2.例15.(2018沈阳重点高中)设集合{}52≤≤-=x x A ,{}121-≤≤+=m x m x B . (1)若{}52≤≤-∈=x Z x A ,求A 的非空真子集的个数; (2)若B B A = ,求实数m 的取值范围. 分析:(1)子集、真子集个数的确定 若集合A 含有n 个元素,则集合A : (1)含有n 2个子集; (2)含有12-n 个非空子集; (3)含有12-n 个真子集; (4)含有22-n 个非空真子集.(2)若B B A = ,则A B ⊆,注意分类讨论. 解:(1){}{}5,4,3,2,1,0,1,2-52-=≤≤-∈=x Z x A ∵集合A 中含有8个元素∴集合A 的非空真子集的个数为2542-28=; (2)∵B B A = ,∴A B ⊆. 分为两种情况:①当∅=B 时,满足A B ⊆,有121->+m m ,解之得:2<m ; ②当∅≠B 时,则有:⎪⎩⎪⎨⎧≤--≥+-≤+51221121m m m m ,解之得:2≤m ≤3. 综上所述,实数m 的取值范围是{}3≤m m .例16. 设{}042=+=x x x A ,(){}011222=-+++=a x a x x B ,其中∈x R ,如果B B A = ,求实数a 的取值范围. 解:{}{}4,0042-==+=x x x A ∵B B A = ,∴A B ⊆ 分为两种情况:①当∅=B 时,满足B B A =∴()[]()0141222<--+=∆a a ,解之得:1-<a ;②当∅≠B 时,{}0=B 或{}4-=B 或{}4,0-=B .若{}0=B 或{}4-=B ,则有()[]()0141222=--+=∆a a ,解之得:1-=a经检验,此时{}0=B ;若{}4,0-=B ,则由根与系数的关系定理可得:()⎩⎨⎧=--=+-014122a a ,解之得:1=a . 综上所述,实数a 的取值范围是{}11-≤=a a a 或.例17. 设集合{}3+≤≤=a x a x A ,{}51>-<=x x x B 或,若∅=B A ,求实数a 的取值范围.分析:对于任意实数a ,都有3+<a a ,所以本题中集合A 不会是空集. 解:∵3+<a a ,∴∅≠A . ∵∅=B A∴⎩⎨⎧≤+-≥531a a ,解之得:1-≤a ≤2.∴实数a 的取值范围是{}21≤≤-a a .★★例18.(综合性强)已知集合()(){}011222>++++-=a a y a a y y A ,集合⎭⎬⎫⎩⎨⎧≤≤+-==30,25212x x x y y B ,若∅=B A :(1)求实数a 的取值范围;(2)当ax x ≥+12恒成立时,求a 的最小值.分析:(1)求集合A 时要解含参一元二次不等式,可借助于因式分解:()()()()()()()()()[]11111122222222+--=-+--=++-+-=++++-a y a y a y a a y y a a ay a y y a a y a a y对于集合B ,代表元素是y ,所以集合B 是函数值的集合,通过配方得:()2121252122+-=+-=x x x y ∵0≤x ≤3,∴2≤y ≤4,∴{}42≤≤=y y B ;(2)这是与二次函数有关的恒成立问题,使用数形结合方法.解:(1)()(){}()()[]{}010112222>+--=>++++-=a y a y y a a y a a y y A∵04321122>+⎪⎭⎫ ⎝⎛-=-+a a a (这里作差比较12+a 与a 的大小)∴a a >+12∴{}12+><=a y a y y A 或.{}4230,25212≤≤=⎭⎬⎫⎩⎨⎧≤≤+-==y y x x x y y B∵∅=B A∴⎩⎨⎧≥+≤4122a a ,解之得:a ≤3-或3≤a ≤2. ∴实数a 的取值范围是{}233≤≤-≤a a a 或; (2)∵ax x ≥+12恒成立,即12+-ax x ≥0恒成立. ∴()42--=∆a ≤0,解之得:2-≤a ≤2.∴a 的最小值为2-.题型三 补集运算全集 一般地,如果一个集合含有我们所研究问题中涉及的所有元素,那么就称这个集合为全集,记作U .补集 对于一个集合A ,由全集U 中不属于A 的所有元素组成的集合称为集合A相对于全集U 的补集,简称集合A 的补集,记作C U A ,即C U A {}A x U x x ∉∈=且,.补集的性质①(C U A )U A = ; ②(C U A )∅=A ; ③ C U (C U A )A =; ④ C U U ∅=; ⑤ C U U =∅.例19. 已知全集{}60<<=x x U ,集合{}a x x A <<=1,若C U A U ≠,则实数a 的取值范围是__________.分析: C U A U ≠说明∅≠A ,且U A ⊆. 解:∵C U A U ≠,∴∅≠A ,且U A ⊆. ∴实数a 的取值范围是{}61≤<a a .例20. 已知全集{}5,4,3,2,1=U ,集合{}042=++=px x x A ,求C U A . 分析:集合A 是由方程042=++px x 的解构成的,而方程042=++px x 可能无解、有两个不相等的实数根或有两个相等的实数根,需要分类讨论. 解:由题意可知:U A ⊆. 分为两种情况:①当∅=A 时,方程无实数根,∴0162<-=∆p ,解之得:44<<-p ∴C U A =C U ∅{}5,4,3,2,1==U ;②当∅≠A 时,则有162-=∆p ≥0,解之得:p ≤4-或p ≥4. 设方程042=++px x 的两个实数根分别为21,x x 由根与系数的关系定理可得:421=x x :若4,121==x x ,则5-=p ,符合题意,此时{}4,1=A ,C U A {}5,3,2=; 若221==x x ,则4-=p ,符合题意,此时{}2=A ,C U A {}5,4,3,1=. 综上所述,当44<<-p 时,C U A ={}5,4,3,2,1;当5-=p 时,C U A {}5,3,2=;当4-=p 时,C U A {}5,4,3,1=.例21. 已知{}31≤<-=x x A ,{}m x m x B 31+<≤=. (1)当1=m 时,求B A ;(2)若⊆B C R A ,求实数m 的取值范围.分析:(1)求两个连续型实数集合的并集时,借助于数轴进行求解能将抽象的问题直观化,但要特别注意端点的实心和空心以及端点值的取舍;(2)求连续型实数集合的补集也是借助于数轴进行.解:(1)当1=m 时,{}{}4131<≤=+<≤=x x m x m x B ∴{}{}{}414131<<-=<≤≤<-=x x x x x x B A ; (2)∵{}31≤<-=x x A ,∴C R A {}31>-≤=x x x 或 ∵⊆B C R A ,∴分为两种情况:①当∅=B 时,有m ≥m 31+,解之得:m ≤21-; ②当∅≠B 时,则有:⎩⎨⎧-≤++<13131m m m 或⎩⎨⎧>+<331m mm解之得:无解或3>m .综上,实数m 的取值范围是⎭⎬⎫⎩⎨⎧>-≤321m m m 或.★例22. 设全集(){}R y R x y x I ∈∈=,,,()⎭⎬⎫⎩⎨⎧=--=123,x y y x A ,(){}1,+==x y y x B ,求C I A B .解:()(){}2,1,123,≠+==⎭⎬⎫⎩⎨⎧=--=x x y y x x y y x A ∴集合A 是由直线1+=x y 上除点()3,2外的所有点构成的集合 ∴C I A =(){}3,2 ∵(){}1,+==x y y x B∴集合B 是由直线1+=x y 上所有的点构成的集合 ∴C I A =B (){}3,2. 附:函数123=--x y ,即1+=x y ()2≠x 的图象如图所示.。
数量关系常用公式一、五大方法1.代入法:代入法时行测第一大法,优先考虑。
2.赋值法:对于有些问题,若能根据其具体情况,合理巧妙地对某些元素赋值,特别是赋予确定的特殊值,往往能使问题获得简捷有效的解决。
题干中有分数,比例,或者倍数关系时一般采用赋值法简化计算,赋值法经常应用在如工程问题,行程问题,费用问题等题目中。
3.倍数比例法:若a : b=m : n(m、n互质),则说明: a占m份,是m的倍数;b占n份,是n的倍数;a+b占m+n份,是m+n的倍数;a-b占m-n份,是m-n的倍数。
4.奇偶特性法:两个奇数之和/差为偶数,两个偶数之和/差为偶数,一奇一偶之和/差为奇数;两个数的和/差为奇数,则它们奇偶相反,两个数的和/差为偶数,则它们奇偶相同;两个数的和为奇数,则其差也为奇数,两个数的和为偶数,则其差也为偶数5.方程法:很多数学运算题目都可以采用列方程进行求解。
方程法注意事项:未知数要便于列方程;未知数可以用字母表示,也可以用“份数”,还可以用汉字进行替代。
二、六大题型1.工程问题:工作量=工作效率×工作时间工程问题一般采用赋值法解题。
赋值法有2种应用情况,第一种是题干中已知每个人完成工作的时间,这时我们假设工作量为工作时间的最小公倍数,进而得到每个人的工作效率,从而快速求解;第二种是题干中已知的是每个人工作效率的等量关系,这时我们通过直接赋效率为具体值进行快速求解。
2.行程问题:路程=速度×时间行程问题一般要通过数形结合进行快速求解,常见的解法包括列方程,比例法等。
常考的题型包括相遇问题和追及问题。
相遇问题:路程和=速度和×时间追及问题:路程差=速度差×时间3.溶液问题:浓度=溶质÷溶液溶液问题常见的有两种,一种是溶液的混合,这种问题用公式解决;另外一种是单一溶液的蒸发或稀释,这种题目一般用比例法解决,即利用溶质不变进行求解。
4.容斥原理:两集合型的容斥原理题目,关键是分清题目中的条件I和条件II,然后直接套用公式:满足条件I的个数+满足条件II的个数-两者都满足的个数=总个数-两者都不满足的个数三集合公式型题目,需要大家记住公式核心公式:A+B+C-AB-AC-BC+ABC=总个数-三者都不满足的个数三集合图示型题目,当题目条件不能直接代入标准公式时,我们可以考虑利用图示配合,标数解答。
专题01集合的含义及表示【学习目标】1.了解集合的含义,会使用符号“∈”“∉”表示元素与集合之间的关系.2.能选择自然语言、集合语言(列举法或描述法)描述不同的具体问题,感受集合语言的意义和作用.3.理解集合的特征性质,会用集合的特征性质描述一些集合,如常用数集、解集和一些基本图形的集合等.【考点梳理】集合概念及其基本理论,称为集合论,是近、现代数学的一个重要的基础,一方面,许多重要的数学分支,都建立在集合理论的基础上.另一方面,集合论及其所反映的数学思想,在越来越广泛的领域中得到应用.考点一:集合的有关概念1.集合理论创始人康托尔称集合为一些确定的、不同的东西的全体,人们能意识到这些东西,并且能判断一个给定的东西是否属于这个总体.2.一般地,研究对象统称为元素(element),一些元素组成的总体叫集合(set),也简称集.【微点拨】(1)对于集合一定要从整体的角度来看待它.例如由“我们班的同学”组成的一个集合A,则它是一个整体,也就是一个班集体.(2)要注意组成集合的“对象”的广泛性:一方面,任何一个确定的对象都可以组成一个集合,如人、动物、数、方程、不等式等都可以作为组成集合的对象;另一方面,就是集合本身也可以作为集合的对象,如上面所提到的集合A,可以作为以“我们高一年级各班”组成的集合B的元素.3.关于集合的元素的特征(1)确定性:设A是一个给定的集合,x是某一个具体对象,则x或者是A的元素,或者不是A的元素,两种情况必有一种且只有一种成立.(2)互异性:一个给定集合中的元素,指属于这个集合的互不相同的个体(对象),因此,同一集合中不应重复出现同一元素.(3)无序性:集合中的元素的次序无先后之分.如:由1,2,3组成的集合,也可以写成由1,3,2组成一个集合,它们都表示同一个集合.【微点拨】集合中的元素,必须具备确定性、互异性、无序性.反过来,一组对象若不具备这三性,则这组对象也就不能构成集合,集合中元素的这三大特性是我们判断一组对象是否能构成集合的依据.解决与集合有关的问题时,要充分利用集合元素的“三性”来分析解决,也就是,一方面,我们要利用集合元素的“三性”找到解题的“突破口”;另一方面,问题被解决之时,应注意检验元素是否满足它的“三性”.4.元素与集合的关系:(1)如果a是集合A的元素,就说a属于(belong to)A,记作a∈A∉(2)如果a不是集合A的元素,就说a不属于(not belong to)A,记作a A5.集合的分类(1)空集:不含有任何元素的集合称为空集(empty set),记作:∅.(2)有限集:含有有限个元素的集合叫做有限集.(3)无限集:含有无限个元素的集合叫做无限集.6.常用数集及其表示非负整数集(或自然数集),记作N正整数集,记作N*或N+整数集,记作Z有理数集,记作Q实数集,记作R考点二:集合的表示方法我们可以用自然语言来描述一个集合,但这将给我们带来很多不便,除此之外还常用列举法和描述法来表示集合.1. 自然语言法:用文字叙述的形式描述集合的方法.如:大于等于2且小于等于8的偶数构成的集合.2. 列举法:把集合中的元素一一列举出来,写在大括号内.如:{1,2,3,4,5},{x2,3x+2,5y3-x,x2+y2},…;3.描述法:把集合中的元素的公共属性描述出来,写在大括号{ }内.具体方法:在大括号内先写上表示这个集合元素的一般符号及取值(或变化)范围,再画一条竖线,在竖线后写出这个集合中元素所具有的共同特征.【微点拨】(1)用描述表示集合时应注意:①弄清元素所具有的形式(即代表元素是什么),是数,还是有序实数对(点)还是其他形式?②元素具有怎样的属性?当题目中用了其他字母来描述元素所具有的属性时,要去伪存真,而不能被表面的字母形式所迷惑.(2)用描述法表示集合时,若需要多层次描述属性时,可选用逻辑联结词“且”与“或”等连接;若描述部分出现元素记号以外的字母时,要对新字母说明其含义或指出其取值范围.4.图示法:图示法主要包括Venn图、数轴上的区间等.为了形象直观,我们常常画一条封闭的曲线,用它的内部来表示一个集合,这种表示集合的方法称为韦恩(Venn)图法. 如下图,就表示集合{}1,2,3,4.1,2,3,4【典型例题】类型一:集合的概念及元素的性质例1.下列各组对象哪些能构成一个集合?(1)著名的数学家;(2)比较小的正整数的全体;(3)某校2011年在校的所有高个子同学;(4)不超过x-=在实数范围内的解;(6)2的近似值的全体.20的非负数;(5)方程290【答案】(4)、(5)【解析】从集合元素的“确定”、“互异”、“无序”三种特性判断.“著名的数学家”、“比较小的正整数”、“高个子同学”对象不确定,所以(1)、(2)、(3)不是集合,同理(6)也不是集合.(4)、(5)可构成集合,故答案是(4)、(5).【总结】(1)判断指定的对象能不能构成集合,关键在于能否找到一个明确标准,对于任何一个对象,都能确定它是不是给定集合的元素,同时还要注意集合中元素的互异性、无序性.(2)“有限集”和“无限集”是通过集合里面元素的个数来定义的,集合里面元素的个数很多,但不一定是无限集.【变式1】判断下列语句能否确定一个集合?如果能表示一个集合,指出它是有限集还是无限集.(1)你所在的班,体重超过75kg的学生的全体;(2)举办2021年全运会的城市;(3)高一数学课本中的所有难题;(4)2020年武汉在心冠病毒中遇难的人的全体;(5)大于0且小于1的所有的实数.【答案】集合:(1)、(2)、(4)、(5);有限集:(1)、(2)、(4).【解析】紧扣“集合”、“有限集”、“无限集”的定义解决问题.(1)你所在的班,体重超过75kg的学生是确定的,不同的,能组成一个集合,且为有限集;(2)举办2021年全运会的城市也能组成一个集合,为有限集;(3)不能构成集合.“难题”的概念是模糊的,不确定的,无明确标准,对于一道数学题是否是“难题”无法客观判断.(4) 2020年武汉在心冠病毒中遇难的人是确定的,不同的,因而能构成集合,是有限集.(5) 大于0且小于1的所有的实数也是确定的,互异的,因此这样的实数能构成一个集合,是无限集. 例2.集合A 由形如3(,)m n m Z n Z +∈∈的数构成的,判断123-是不是集合A 中的元素?【答案】是【解析】由分母有理化得,12323=+-.由题中集合A 可知2,1,m n ==均有,m Z n Z ∈∈,∴23A +∈,即123A ∈-.【总结】(1)解答本题首先要理解∈与∉的含义,然后要弄清所给集合是由一些怎样的数构成的,123-能否化成此形式,进而去判断123-是不是集合A 中的元素.(2)判断一个元素是不是某个集合的元素,就是判断这个元素是否具有这个集合的元素的共同特征.此类题,主要看能否将所给对象的表达式转化为集合中元素所具有的形式.【变式1】设S={x|x=m+2n,m,n Z}∈ (1)若a ∈Z ,则是否有a ∈S ?(2)对S 中任意两个元素x 1,x 2,则x 1+x 2,x 1·x 2,是否属于集合S ? 【答案】a ∈S 是【解析】(1)若a ∈Z ,则有a ∈S ,即n=0时,x ∈Z ,∴a ∈S ; (2)∀x 1,x 2∈S ,则1112221122x =m +2n ,x =m +2n (m ,n ,m ,n Z)∈1212121212()2()(,)x x m m n n S m m Z n n Z ∴+=+++∈+∈+∈ 12112212121221x x =(m +2n )(m +2n )=m m +2n n +2(m n +m n )⋅⋅∵m 1,n 1,m 2,n 2∈Z ,∴m 1m 2+2n 1n 2∈Z ,m 1n 2+m 2n 1∈Z ∴x 1·x 2∈S.【变式2】定义集合运算A ⊙B ={z |z =xy (z +y ),x ∈A ,y ∈B },设集合A ={0,1},B ={2,3},则集合A ⊙B =【点拨】利用集合中新定义的元素的属性得出集合中元素的构成是解决该问题的关键,集合中元素不多时,将各个元素列举出来从而得到所求的集合.【答案】{0,6,12}【解析】当x =0,y =2时,10z =; 当x =0,y =3时,20z =;当x =1,y =2时,312(12)6z =⨯⨯+=; 当x =1,y =3时,413(13)12z =⨯⨯+=, ∴ A ⊙B ={0,6,12},故答案为:{0,6,12}.【总结】本例题考查学生对新定义的题型的理解和把握程度,弄准集合中元素的构造方式,考查列举法写集合,分类讨论思想.类型二:元素与集合的关系 例3.给出下列六个关系:(1)0∈N * (2)0∉{-1,1} (3)∅∈{0} (4)∅⊆{0} (5){0}∈{0,1} (6){0}⊆{0} 其中正确的关系是 . 【答案】(2)(4)(6)【点拨】首先要熟悉集合的常用符号,空集,记作∅,N 表示自然数集,+N 或N *表示正整数集,Z 表示正整数集,Q 表示有理数集,R 表示实数集;然后要明确元素与集合,集合与集合的关系及符号表示,以及子集的性质.给定一个对象a ,它与一个给定的集合A 之间的关系为a A ∈,或者a A ∉,二者必居其一.解答这类问题的关键是:弄清a 的结构,弄清A 的特征,然后才能下结论.【解析】(1)0不是正整数,故错误; (2)0不是集合{-1,1}中的元素,故正确; (3)空集是一个集合,使用的符号错误,故错误; (4)空集是任何一个集合的真子集,故正确;(5)是集合与集合的关系,应该使用符号⊆或⊇,故错误; (6)一个集合是它本身的子集,故正确.【总结】本题主要是区别0,{0},∅和非空数集以及常用的集合之间的关系.此类问题在解答时,既要熟悉集合的常用符号,又要明确元素与集合,集合与集合的关系及符号表示,以及子集的性质,特别是{0}与∅,最容易混淆,必须在学习中引起足够的重视.【变式1】 用符号“∈”或“∉”填空(1)若A=Z ,则12- A ;-2 A . (2)若{}2B |210,x x x =--=则12- B ;-2 B .【答案】(1)∉,∈ (2)∈,∉ 类型三:集合中元素性质的应用 例 4.定义集合运算:{}|(),,A B z z xy x y x A y B ==+∈∈.设集合{}0,1A =,{}2,3B =,则集合AB 的所有元素之和为( )A. 0B. 6C. 12D. 18 【答案】 D 【解析】{}|(),,A B z z xy x y x A y B ==+∈∈,∴当{}{}0,1,2,3A B ==时, {}0,6,12A B =,于是AB 的所有元素之和为0+6+12=18.【总结】这类试题通过给出新的数学概念或新的运算方法,在新的情境下完成某种推理证明是集合命题的一个新方向.常见的有定义新概念、新公式、新运算和新法则等类型.【变式1】定义集合运算:{}|,,A B z z xy x A y B *==∈∈,设{}1,2A =,{}0,2B =,则集合A B *的所有元素之和为( )A. 0B. 2C. 3D. 6 【答案】D 【解析】,,z xy x A y B =∈∈,且{}1,2A =,{}0,2B =,∴z 的取值有:0,2,4故{}0,2,4A B *=,∴集合A B *的所有元素之和为:0+2+4=6.例5. 设集合A ={x R ∈|2210ax x ++=},当集合A 为单元素集时,求实数a 的值. 【答案】0,1【解析】由集合A 中只含有一个元素可得,方程ax 2+2x+1=0有一解,由于本方程并没有注明是一个二次方程,故也可以是一次方程,应分类讨论:当a=0时,可得是一次方程,故满足题意.当a ≠0时,则为一个二次方程,所以有一根的含义是该方程有两个相等的根,即为判别式为0时的a 的值,可求得为a=1.故a 的取值为0,1.例6.已知集合2{320,}A x R ax x a R =∈-+=∈. (1)若A 是空集,求a 的取值范围;(2)若A 中只有一个元素,求a 的值,并把这个元素写出来; (3)若A 中至多只有一个元素,求a 的取值范围. 【答案】(1)98a >;(2)若a =0,则有23A ⎧⎫=⎨⎬⎩⎭ ;若98a =,则有43A ⎧⎫=⎨⎬⎩⎭;(3)a =0或98a ≥ 【点拨】(1)A 为空集,表示方程2320ax x -+=无解,根据一元二次方程根的个数与Δ的关系,我们易得到一个关于a 的不等式,解不等式即可得到答案。
集合类型题
一、有关参数类集合关系问题
1、已知集合{x A =|}0232=+-x ax 至多有一个元素,则a 的取值范围 ;若至少有一个元素,则a 的取值范围 。
2、(2013山西运城模拟题)
(1)已知A={x |-3<x<5},B={x |x<a},若满足B A ⊆,则实数a 的取值范围是__________.
(2)已知集合A={x|062=-+x x },集合B={y|ay +1=0},若满足A B ⊆,则实数a 所取的一切值为 。
(3)已知集合A={x|-2≤x ≤5},集合B={x|m+1≤x ≤2m-1}满足A B ⊆,则实数m 的取值范围为 。
3、已知集合A={-1,3,2m-1},集合B={3,2m },若A B ⊆,则实数m 的取值范围是——————。
4、已知集合A={x|0<x-b<2},集合B={x|-2<x<2},若B A ⊆,则b 的取值范围是——————。
5、已知集合A={x|0232=+-x x },B={x|ax-2=0},若A B ⊆,求实数a 的取值集合。
6、已知集合A={x|x>0,R x ∈},B={x|02=+-p x x },且A B ⊆,求实数p 的范围。
7、已知集合A={x|0232≤+-x x },B={x|1≤x ≤a },且≠B Ø。
(1)若B A ⊂,求a 的取值范围;
(2)若A B ⊆,求a 的取值范围。
8、集合A={x|-2≤x ≤5},B={x|m+1≤x ≤2m-1}.
(1)若A B ⊆,求实数m 的取值范围;
(2)当Z x ∈时,求A 的非空真子集个数;
(3)当R x ∈时,不存在元素x 使A x ∈,且B x ∈同时成立,求实数m 的取值范围。
9、已知{}33,)1(,222++++=a a a a A ,若A ∈1,求实数a 的值.
10、已知集合{}{}
012,082222=-++==--=a ax x x B x x x A ,当A B ⊆时,求实数a 的取值范围. 二、有关参数类集合基本运算问题
1、(2013年浙江温州统考)已知集合A={x|-2≤x ≤5},集合B={x|m+1≤x ≤2m-1},
且A B A = ,试求实数m 的取值范围。
2、(2013南昌市重点中学联考)
设A={x|042=+x x },B={x|()011222=-+++a x a x }。
(1) 若B B A = ,求a 的值;(2)若B B A = ,求a 的值。
3、集合A={0232=+-x x },B={x|0222=+-ax x },若B B A = ,求实数a 的取值范围。
4、设集合A={4,12,2--x x },B={9,1,5x x --},若=B A {9},求B A
5、(2012年全国高考)
已知集合A={m ,3,1},B={m ,1},A B A = ,则m=( )
A.0或3
B.0或3
C.1或3
D.1或3
6、(2011年北京高考)
已知集合P={x|12≤x },M={a},若P M P = ,则a 的取值范围是( )
A. (-∞,-1]
B. [1,+∞)
C. [-1,1]
D.(-∞,-1] [1,+∞)
7、已知A={y|R x x x y ∈+-=,342},B={y|R x x x y ∈+--=,222}。
求B A . 8、已知{}{},
若或φ=>-<=+≤≤=B A .51,32x A x x x B a x a 求a 的取值范围. 9、已知集合{}{}0)3)((,0862<--=<+-=a x a x x B x x x A .
(1)若a B A 求,⊆的取值范围;
(2)若a B A 求,φ= 的取值范围;
(3)若{}
a x x B A 求,43<<= 的取值范围. 三、补集思想的应用
1、(2013年武汉市重点中学联考题)已知集合A={x|06242=++-m mx x ,R x ∈},B={x|x<0,R x ∈},若=B A Ø,求实数m 的取值范围。
2、设集合A={x|01≤+x 或04≥-x },B={x|22+≤≤a x a }。
(1)若≠B A Ø,求实数a 的取值范围;
(2)若B B A = ,求实数a 的取值范围。
3、已知A={(x,y)|
12
3+=--a x y },B={(x,y)|15)1()1(2=-+-y a x a }。
当a 为何实数时,=B A Ø.
集合类型题参考答案
一、有关参数类集合关系问题
(2) {a|,89≥
a 或a=0} {a|89≤a } 分析:当A 中仅有一个元素时,a=0,或Δ=0;当A 中有0个元素时,Δ<0;当A 中有两个元素时,Δ>0.
(3) 注意利用数轴和分类思想。
(1)a ≥5 (2)a 值为3
1,21,0-(注意B 为空集的情况) (3)m ≤3
(4) 1
(5) 02≤≤-b
(6) a 的取值集合{0,1,2}
(7) P 的取值范围是{p|p>0}
(8) (1)a>2 (2)1≤a ≤2
(9) (1) m ≤3 (2) A={-2,-1,0,1,2,3,4,5}A 的非空真子集个数254个。
(3)m<2或m>4
9、思路分析:
题意分析:本题主要考查元素与集合之间的关系,集合中元素的有关性质. 解题思路:
解答过程:
{}1,0,1A ,1a 12a =-==+时,当不符合集合性质,舍去;
{}{}.0a .
(2a 1a ,02a 3a 13a 3a ,0,1,1
A 2a 2)2,1,3
A 0a )1,
2a 0a 1)1a (222=-=-==++=++=-===-===+所以,综上所述:舍去)或时,当舍去;时,当时,当或时,当 题后思考:本题主要考查元素在集合中的性质,要学会用分类的思想考虑问题,并且要通过集合中元素的唯一性验证集合.
10、思路分析:
题意分析:本题考查了子集的有关概念和应用,对于集合{}4,2-=A 中含有确定的两个元素-2,4,如果集合B 是集合A 的子集,则集合B 中的元素应是集合A 中的元素,另外还考查了分类的思想.
解题思路:本题应从如何使方程0122
2=-++a ax x 的解集成为集合A 的子集入手,寻求集合B 可能的情况,但无论如何不能使集合B 中含有集合A 以外的元素,尤其不能忘记集合B 可能是空集.
解答过程:由已知得{}4,2-=A ,B 是关于x 的方程01222=-++a ax x 的解集,因为。