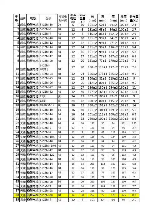
2017-8-26 超威电池尺寸表
- 格式:pdf
- 大小:49.71 KB
- 文档页数:4
常见电池型号及尺⼨介绍本⽂介绍常见电池型号规格及尺⼨等基础知识。
在电池体上看到的AAA、AA、C、D、N、F、SC等标识都是美国型号标识,在我国除了⼏种按号称呼之外,其它还是采⽤美国的命名⽅式。
此外,针对⼆次锂电池的型号表⽰⽅法是采⽤五位数(圆柱型)或六位数(⽅型),如14500、103450...⼀、常见电池型号、尺⼨对照表平头,指的是电池正极是平的,没有突起,使⽤做电池组点焊使⽤的电池芯,⼀般同等型号尖头的(可以⽤作单体电池供电的),在⾼度上就多了0.5mm。
以此类推,我不逐⼀解释。
还有,电池很多的时候并不是规规矩矩的"AAA,AA,A,SC,C,D,N,F"这些主型号,前⾯还时常有分数"1/3,2/3,1/2,2/3,4/5,5/4,7/5",这些分数表⽰的是池体相应的⾼度,例如"2/3AA"就是表⽰⾼是⼀般AA电池的2/3的充电电池;再如"4/5A"就是表⽰⾼是⼀般A电池的4/5的充电电池。
⼆、锂离⼦电池芯型号、尺⼨(1) 圆柱型锂离⼦电池芯:通常⽤五位数字表⽰,前两位数字是指池体直径,后三位数字是指池体⾼,例如14500就是指AA电池,即⼤约14mm直径,50mm ⾼。
常见的型号:14500,14650, 17490,18500, 18650,26500。
常见⽐克、三洋圆柱电芯规格型号:⽐克18650 2200mAh 3.7V ,⽐克18650 2600mAh 3.7V ,⽐克18650 2000mAh 3.6V 三元长寿命三洋18650 2100mAh 3.7V ,三洋18650 2500mAh 3.7V ,三洋18650 1500 mAh 3.7V18650(2) ⽅型锂离⼦电池芯:通常⽤六位数字表⽰,分别表⽰电池的厚度、宽度和⾼度,单位毫⽶,例如103450 即10(厚度) ×34(宽度) ×50(⾼度)mm。
若厚度数值⼤于宽度数值,则厚度要*0.1,例如433861 即4.3(43*0.1)×38×61mm。
72v锂电池规格尺寸标准表
以下是常见的72V锂电池规格尺寸标准表,供参考使用:
锂电池规格尺寸表
请注意,以上规格尺寸仅供参考,实际规格可能会因不同型号和厂
家而有所差异。
在选择72V锂电池时,您应该根据实际需求和所使用
设备的要求来确定最合适的型号和尺寸。
此外,还需注意以下事项:
- 在使用或处理锂电池时,务必遵守相关的安全操作规程,以确保
个人和设备的安全;
- 锂电池应存放在干燥、通风良好的地方,避免高温、潮湿等环境;
- 在运输锂电池时,请遵循相关的运输规定,在包装和标识上符合要求;
- 锂电池的寿命和性能也会受到充电和放电次数的影响,请遵循厂家的使用说明来正确充放电。
总结:72V锂电池的规格尺寸标准表提供了一些常见型号的参考数值。
在选择合适的锂电池时,应根据实际需求和设备要求进行选择,并遵循相关的安全操作规程和使用说明,以确保安全使用和提升电池的寿命和性能。
一.常见电池型号及尺寸对应关系下表中1-4都是我们生活中最常用到的,而5—9则很少用到或很少关注到,比如A、SC、N、F型多是在充电电池组中使用,而且往往还会包裹外皮,无法直接看到组成电池型号,不过也不是全部。
二、常见电池图示及用途1、AAA型电池(7号电池)AAA号电池俗称7号电池,如下图,7号电池个头比五号电池要小一点,多用在遥控器等对体积有限制但耗电量又不太大的场合,手电筒也有使用,但大多是多节组合使用.2、AA型电池(5号电池)AA号电池也叫5号电池,如下图,这个大家最常见,电动剃须刀、电子玩具、数码设备等用的最多,很多AA型充电电池也多做电池组使用,尤其是玩具上4.8V可充电四节组合的那种用的最多。
3、C型电池(2号电池)C型电池又称2号电池,2号电池个头比1号电池小一点,多用在手电筒、影音设备里。
4、D型电池(1号电池)D型电池也称1号电池,这个跟5号电池一样用的最多,电子打火设备、手电筒等等很多场合都可以使用.5、AAAA型电池AAAA型电池如下图所示,多是使用在一些中高档电子设备中,比如蓝牙耳机。
6、A型电池A型电池多是平头电池,一般作为电池组使用,天缘在Google搜这类电池图片的时候,好像几乎都是平头用作电池组的,A型电池高度跟2号电池高度差不多,直径要稍细一点。
7、SC型电池SC型电池一般也是用来堆叠电池组使用,这个好像没见过。
8、N型电池N型电池也一般作为电池组使用,由于体积小巧,也会用在对体积有限制的电子设备上,比如门铃等。
9、F型电池F型电池同样多是使用在电池组中,如下图,F型标识见电池体。
此外还有:23A(12V)、27A(12V)、10A(9V)、25A(9V)、6F22(9V)、F22(6V)、11A(6V)、26A(6V)、476A(6V)、2X625A(3V)等小型方型或圆柱型电池,一般多是由纽扣电池堆叠而来,多用在万用表等仪表里,比如6F22是由6节1。
5v电池串联组成,实际电压在10V左右,晚上我把6F22拆开看了一下,里头是六节“饼”一样的电池层叠起来(很容易用刀片分隔开,填充物也很容易挑散),然后外边包了一层塑料再用铝皮封装起来。
圆柱电池尺寸与容量对照表
圆柱形电池是一种常见的电池类型,广泛应用于各种电子产品中。
圆柱形电池的尺寸和容量是两个重要的参数,它们直接影响到电池的性能和使用寿命。
下面是一个圆柱形电池尺寸与容量对照表,供大家参考。
以上表格中的数据仅供参考,实际产品尺寸和容量可能因品牌、生产工艺等因素而有所不同。
在选择圆柱形电池时,建议根据具体的产品需求和规格要求进行选择,并参考相关品牌和生产商提供的技术规格和参数。
1适用范围Scope本规格书描述了宁波维科新能源科技有限公司(以下简称:维科新能源)磷酸铁锂方形铝壳单体电池的详细技术指标要求。
用户请务必严格按照规格说明书中的测试或使用方法进行测试或使用,如对表中的测试项目或测试方法有异议或本说明书没有说明的事项,请与供应方协商解决。
This specification describes the technical parameter, testing method and using requirement of LFP square aluminum shell single cell Li-ion battery manufactured by the Ningbo Veken New Technology Co.,LTD (hereinafter referred to as: VNET).Please strictly in accordance with the test method or the use of specification in test or use, such as test items in the table or test methods in matters of dissent or the specification does not show, please solve the negotiation with suppliers.2电池型号及外形尺寸model and size2.1型号model: C162.2外形尺寸Size描述Describe尺寸S izeT厚度Thickness27mm maxW宽度Width148mm maxH电池高度Battery height95.5mm maxD中心距Center distance99±0.3mmH1壳高度Shell height91.5mm max。
超威电池保养手册为什么冬季超威电动车电池的电消耗的比夏季快,应该怎样保它?骑电动车的人都有一种感觉,电动车续行里程减少,电池容量下降,是由于冬天到来,温度下降,对电池能量的发挥产生了一定的影响。
电动车使用的是铅酸蓄电池,按QB/T2947.1—2008,电动自行车用蓄电池及充电器标准,应在环境温度25±2℃下,能正常发挥电池电容量。
在冬天电动车起步或上坡时,应人为助力,避免瞬间大电流放电。
另外,电动车闲置时,电池应充足存放,以防亏电,亏电时间越长,电池损坏越严重。
电动车在使用后,应对电池勤充电,不要将电池电用完后再充电,以电池用一半就充电为准。
同时,应对电池每两个月做一次深放电后的较长时间充电、保养。
正确掌握和使用匹配的充电器,应到各电动车的售后服务部做电池的定期保养。
一、超威电动车电池的安装超威电动车电池一般采用串联方式使用,即一只超威电动车电池的正极与另一只超威电动车电池的负极相连,将所有超威电动车电池连在一起,最后余接线端子与电动车对应接线相连,电动车的电机、控制器、仪表等是超威电动车电池的用电负载。
电动车一般都有电池盒,从安装位置分有斜杠式,后插式和底盘式安装,其结构形状可谓五花八门。
每家电动车厂都各有特色。
如图电池盒一般用工程塑料制成,其强度较好,重量较轻,安装方便。
电池盒一般由底槽、上盖、蓄电池接触点及充电插座、电车锁等组成。
底槽与上盖扣紧,并用自攻螺丝或螺栓紧固。
电池盒是按蓄电池型号规格进行设计的,在整车设计时应考虑其良好的散热性能。
二、超威电动车电池的充电“超威电动车电池不是用坏的而是充坏的”,这一说法绝非危言耸听,超威电动车电池充电性能好坏对蓄电池的使用寿命和使用性能起着举足轻重的作用,必须重视。
1、超威电动车电池对充电工艺的要求认识超威电动车电池对充电工艺的基本要求,是分析各种充电技术的基础。
超威电动车电池对充电的基本要求是:充电电流应小于或等于蓄电池可接收充电电流。
一.常见电池型号及尺寸对应关系下表中1—4都是我们生活中最常用到的,而5-9则很少用到或很少关注到,比如A、SC、N、F型多是在充电电池组中使用,而且往往还会包裹外皮,无法直接看到组成电池型号,不过也不是全部.二、常见电池图示及用途1、AAA型电池(7号电池)AAA号电池俗称7号电池,如下图,7号电池个头比五号电池要小一点,多用在遥控器等对体积有限制但耗电量又不太大的场合,手电筒也有使用,但大多是多节组合使用.2、AA型电池(5号电池)AA号电池也叫5号电池,如下图,这个大家最常见,电动剃须刀、电子玩具、数码设备等用的最多,很多AA型充电电池也多做电池组使用,尤其是玩具上4.8V可充电四节组合的那种用的最多.3、C型电池(2号电池)C型电池又称2号电池,2号电池个头比1号电池小一点,多用在手电筒、影音设备里.4、D型电池(1号电池)D型电池也称1号电池,这个跟5号电池一样用的最多,电子打火设备、手电筒等等很多场合都可以使用.5、AAAA型电池AAAA型电池如下图所示,多是使用在一些中高档电子设备中,比如蓝牙耳机.6、A型电池A型电池多是平头电池,一般作为电池组使用,天缘在Google搜这类电池图片的时候,好像几乎都是平头用作电池组的,A型电池高度跟2号电池高度差不多,直径要稍细一点。
7、SC型电池SC型电池一般也是用来堆叠电池组使用,这个好像没见过。
8、N型电池N型电池也一般作为电池组使用,由于体积小巧,也会用在对体积有限制的电子设备上,比如门铃等。
9、F型电池F型电池同样多是使用在电池组中,如下图,F型标识见电池体。
此外还有:23A(12V)、27A(12V)、10A(9V)、25A(9V)、6F22(9V)、F22(6V)、11A(6V)、26A(6V)、476A(6V)、2X625A(3V)等小型方型或圆柱型电池,一般多是由纽扣电池堆叠而来,多用在万用表等仪表里,比如6F22是由6节1。
5v电池串联组成,实际电压在10V左右,晚上我把6F22拆开看了一下,里头是六节“饼"一样的电池层叠起来(很容易用刀片分隔开,填充物也很容易挑散),然后外边包了一层塑料再用铝皮封装起来。