大学成绩单中文(word版)
- 格式:doc
- 大小:56.50 KB
- 文档页数:1
大学中英文成绩单模板范文到了大学,你看到的成绩单是否是中英文版本的呢?下面是给大家带来大学中英文成绩单模板,供大家参阅!北京信息科技大学学生中英文成绩单Beijing Information Science & Technology(BISTU) University Report Card 姓名:Name:学年学期/School Year学号:Student ID:学院:School:专业:Specialty:课程名称/Courses班级:Class:学分/Credits 学制:年Years:Schooling Length:成绩/Scores绩点/Points学年学期/School Year课程名称/Courses学分/Credits成绩/Scores绩点/Points毕业应取得总学分(Total Credits Required for Graduatior)/ 已获得总学分(Total Credits Earned)其中包括(including)必修课(Required)专业选修课(Specialized Elective)公共选修课(Common.Elective)实践课(Practical Course)必修课平均学分绩点(GPA of equired Course)此成绩单仅供出国使用This report is only for going abroad 北京信息科技大学教务处Academic Administration of BISTU 打印日期(PRINT DATE):吉林大学中英文本科成绩单模板Key Comprehensive University Directly Under The Ministry of Education of The People’s Republic of China本科生成绩单Academic Transcript of Undergraduate 姓名:Name:院系:Dept.:学制:Periods of Schooling:学号:专业:入学及毕业时间:吉林大学学生成绩表注释:1. 考试成绩采用优秀、良好、中等、及格、不及格五级记分或百分制记分。
成绩单模板(可编辑)word格式
介绍
本文档提供了一份可编辑的成绩单模板,以word格式呈现。
该模板可用于记录学生的研究成绩,包括各科目的得分和总成绩等信息。
通过使用该模板,您可以轻松地创建、编辑和打印个性化的成绩单。
模板特点
- 可编辑性:该成绩单模板采用word格式,可轻松编辑和自定义内容,以满足不同学校和教育机构的需求。
- 清晰易读:模板提供了清晰的布局和设计,使得成绩信息一目了然。
学生姓名、科目、得分等信息都得到清晰标注,方便阅读和理解。
- 灵活性:模板可根据需要灵活调整,如增加或删除科目、更改表格样式等,以适应不同的使用场景。
如何使用
2. 打开模板,您可以根据具体需要进行编辑和调整。
例如,将学生的姓名和科目替换为实际的数据。
3. 填写学生的得分信息,可以在表格中相应的位置输入具体的分数。
4. 如果需要增加更多的科目或更改表格的样式,您可以使用word提供的编辑功能进行调整。
5. 保存并打印成绩单,以记录学生的成绩信息。
注意事项
- 请确保您有合法的授权使用该成绩单模板。
- 使用该模板时,请注意保护学生的隐私和个人信息安全。
- 制作成绩单时,请确认所填写的信息准确无误。
通过该成绩单模板,您可以方便地创建、编辑和打印个性化的成绩单,记录和管理学生的研究成绩。
它为教育机构和教育工作者提供了一个简便的工具,帮助他们更有效地管理学生的成绩信息。
大学毕业成绩单尊敬的导师:您好!感谢您一直以来对我的悉心指导和关心,我即将毕业,今天我向您呈上我的大学成绩单。
四年的大学生涯,对我来说是一段充实而宝贵的经历。
通过自己的努力和勤奋学习,我取得了一系列令人满意的成绩。
大一,我努力适应大学生活,全力投入到各个科目的学习中。
虽然面对新的学习方式和学科知识的陌生,但我通过积极主动的学习态度和刻苦钻研的精神,在大一期末取得了优异的成绩。
在大二和大三,我选择了自己真正感兴趣的专业方向,并在这个领域进行了深入的学习和研究。
我参与了几个科研项目,与导师和同学一起进行了深入的探讨和合作。
这段时间的努力也为我在专业领域的学术研究打下了坚实的基础。
今年的大四,我担任了班级的学习委员,在组织集体学习中锻炼了自己的能力,同时也为班级树立了榜样。
在我四年的大学生活中,我注重全面发展,除了努力学习专业知识外,我也积极参加各种课外活动。
我曾担任学校社团的成员,参与组织各类活动,提高了自己的组织能力和沟通能力。
同时,我也积极参与社区服务,给予邻居们帮助,提高了自己的社会责任感。
我还利用暑期假期参加了一些实习,锻炼了自己的实践能力和团队合作精神。
这些丰富多彩的经历不仅提高了我的综合素质,而且培养了我良好的人际关系和交往能力。
除了学术和综合素质外,我也在大学生活中坚持锻炼身体,保持健康的生活状态。
我经常参加大学的体育锻炼课程,参加学校的运动会,并成为了学院的田径队成员。
参与体育运动不仅让我保持了良好的身体素质,而且锻炼了自己的意志品质和团队精神。
总的来说,我为自己在大学四年取得的成绩感到自豪和满意。
无论是学术表现还是个人素质方面,我都努力做到了最好。
而这一切的成果都离不开您在大学期间给予我的关心和指导,您对我的培养和教育不仅让我取得了优秀的成绩,也锻炼了我的领导才能和综合能力。
未来,我将继续努力,保持良好的学习态度,并准备进一步深造。
我相信,我所积累的知识和经验将会在实践中得到充分的发挥。
大学中英文成绩单模板范文到了大学,你看到的成绩单是否是中英文版本的呢?下面是店铺给大家带来大学中英文成绩单模板,供大家参阅!北京信息科技大学学生中英文成绩单Beijing Information Science & Technology(BISTU) University Report Card姓名: Name:学年学期/School Year学号: Student ID:学院: School:专业: Specialty:课程名称/Courses班级: Class:学分/Credits 学制:年Years: Schooling Length:成绩/Scores绩点/Points学年学期/School Year课程名称/Courses学分/Credits成绩/Scores绩点/Points毕业应取得总学分(Total Credits Required for Graduatior)/已获得总学分(Total Credits Earned)其中包括 (including)必修课 (Required)专业选修课 (Specialized Elective)公共选修课(Common.Elective)实践课(Practical Course)必修课平均学分绩点 (GPA of equired Course)此成绩单仅供出国使用 This report is only for going abroad北京信息科技大学教务处 Academic Administration of BISTU 打印日期(PRINT DATE):吉林大学中英文本科成绩单模板Key Comprehensive University Directly Under The Ministry of Education of The People’s Republic of China本科生成绩单Academic Transcript of Undergraduate姓名:Name:院系:Dept.:学制:Periods of Schooling:学号:专业:入学及毕业时间:吉林大学学生成绩表注释:1. 考试成绩采用优秀、良好、中等、及格、不及格五级记分或百分制记分。
华东师大本科生成绩单说明(中英对照版)一、学年与学时、学分标准学校实行每学年两学期制,分为秋季、春季两个学期。
每学期为19周,其中授课18周,考试1周。
另在暑假安排2-4周的暑期课程或用于实践教学或科研训练。
理论课程18学时=1学分;实验实践课程一般按36学时= 1学分;1学时= 45分钟。
二、考核与成绩记载1. 根据课程的百分制总评成绩,按照学校等级成绩评定的规则由系统对该课程成绩进行排序,确定学生的成绩排名,然后按照名次比例转化为等级成绩。
其换算关系如下:2015年9月前:2015年9月后:注:名次比例=名次/总人数,S为学生成绩,A min为A等级最低成绩,依次类推,课程绩点精确到小数点后一位。
2. 课程考核成绩可采用百分制、五级制(A、B+、B-、C、F)及三级制(A、P和F)记载。
对于个别采用三级制进行记分的课程,不计绩点。
3. “平均学分绩点”反映学生学习的质量。
其计算办法是:将某一课程的学分乘以该课程所得的绩点,即为该课程的学分绩点。
以学生全部课程所得的学分绩点之和,除以该生同期修读的总学分数,即可得该生平均学分绩点。
平均绩点= Σ(课程绩点×课程学分)/Σ (课程学分)4. 标注“*”者为外校转入成绩,只计成绩和学分,不计绩点。
5. 标注“c”者为重修课程成绩。
Note1. Academic calendar credit and credit hourEach academic calendar consists of Fall and Spring semester. Each semester consists of 19 weeks, of which 18 are pedagogic and 1 week dedicated to student evaluation. In addition, students may elect 2 – 4 weeks during summer for additional classes or research. 1 credit is awarded for 18 academic hours of class or 36 hours of laboratory. 1 academic hour consists of 45 minutes;2. Evaluation and academic record- A student may be given numerical score, letter grade or pass/fail for class evaluation. Classes that are evaluated pass/fail are not counted in the calculation of a student’s GPA.- For class that award numerical score, letter grade with corresponding GPA for those classes will be calculated as follow: the students in that classes with a passing score will be ranked according to their numerical score and their letter grade determined as follow:Before September, 2015: After September, 2015:* Rank ratio = rank of student / number of student*S means score, A min means the lowest centesimal grade in rank A, So as A-min, B+min, B min, B-min, C+min, C minA st udent’s overall GPA is calculated by taking the credit-hour weighted average of GPA of all classes taken by that student.i.e. GPA=∑ (GP of Course × Credit of Course) / ∑ C redit of CourseClasses marked with “*” indicate that those classes are taken outs ide of ECNU. Credit hours and grades are recorded but no GPA will be awarded for those classes.Classes marked with “c” are retaken courses.华东师范大学教务处2022年4月27日East China Normal UniversityAcademic Affairs OfficeApril 27, 2022。
完整)中英文大学成绩单模版学生姓名 | 学号。
| 专业。
| 课程名称。
| 课程成绩 |张三。
| xxxxxxx | 计算机科学 | 数据结构。
| 90.|张三。
| xxxxxxx | 计算机科学 | 离散数学。
| 85.|张三。
| xxxxxxx | 计算机科学 | 编程入门。
| 92.|李四。
| xxxxxxx | 文学院。
| 英美文学史。
| 88.|李四。
| xxxxxxx | 文学院。
| 英语写作。
| 93.|李四。
| xxxxxxx | 文学院。
| 中国现当代文学。
| 86.| 中英文大学成绩单模版___ ___学号: xxxxxxx专业: 计算机科学课程成绩单学生姓名。
| 学号。
| 专业。
| 课程名称。
| 课程成绩 |张三。
| xxxxxxx | 计算机科学 | 数据结构。
| 90.|张三。
| xxxxxxx | 计算机科学 | 离散数学。
| 85.|张三。
| xxxxxxx | 计算机科学 | 编程入门。
| 92.|李四。
| xxxxxxx | 文学院。
| 英美文学史。
| 88.|李四。
| xxxxxxx | 文学院。
| 英语写作。
| 93.|李四。
| xxxxxxx | 文学院。
| 中国现当代文学。
| 86.|这是一份完整的中英文大学成绩单模版。
该模版包含学生个人信息以及学生成绩信息。
以下是模版的详细内容:学生个人信息学生姓名:___学号:xxxxxxx专业:计算机科学课程成绩单该课程成绩单包含学生的课程成绩信息,具体包括课程名称以及对应的成绩,如下所示:数据结构:90离散数学:85编程入门:92学生个人信息学生姓名:___学号:xxxxxxx专业:文学院课程成绩单该课程成绩单包含学生的课程成绩信息,具体包括课程名称以及对应的成绩,如下所示:英美文学史:88英语写作:93中国现当代文学:86此模版可根据实际需求进行修改,包括添加或删除字段,以适应不同的情况和要求。
使用该模版可以方便地记录和管理学生的成绩信息。
学校的章和原件,一般只能依靠学校的信誉来维持。
因此美国大学在要求你寄送成绩单的时候,严格的学校写明要你请学校利用学校的信封,从学校寄出你的成绩单。
因此一般准备成绩单会建议,请学校开具中英文的成绩单,加盖公章,然后购买学校的信封,并请学校的教务组在信封处用公章封缄。
如果还不放心,你可以将成绩单原件交由国内公证处进行公证。
的确有部分学校会要求成绩单交由美国的某些成绩公证机构进行公证。
但只是很小的一部分,大部分学校,如果你能满足以上的那些成绩单开具要求,就足够应付了。
前面说主要还是靠学校的信誉维持,所以如果你是完全用学校的标准格式和学校的信封公章,并且做好封缄,一般是不会有更多怀疑的。
当然,不排除可能美国大学会打电话或者寄信到你学校的教务处进行问询,核实成绩(不过这种情况碰到的少)。
当然一定是建议你使用标准的格式,且不要对成绩作假。
因为现在中国学生在美国的这方面总体信誉越来越低了。
大学本科阶段成绩单中文版本:******大学本科学生学籍成绩表中华人民共和国湖北武汉姓名:雷锋学制:4 年系部:机械工程学院入学日期:2001.9 学号:0000000000专业:机械设计制造及其自动化制表日期:2007/06/13大学本科阶段成绩单中文版本:UNDERGRADUATE ACADEMIC RECORD OF ********* UNIVERSITYWUHAN, HUBEI, THE PEOPLE' S REPUBLIC OF CHINAName: Lei Feng STUDENT' S NUMBER: 000000000Department: Mechanical Engineering Major: Mechanical Design, Manufacturing & Automation Length of schooling: 4 years Date of Entrance: September 2001 Date of Tabling: 06/13/2007很多DIY留学的同学在开英文成绩单的时候,都会对如何翻译所学课程感到困惑,本文列出了我所学过的课程的英文翻译名称,学生们可以参考,也可以参考文章《中文课程翻译》,这是我所见过最全的中文课程翻译。
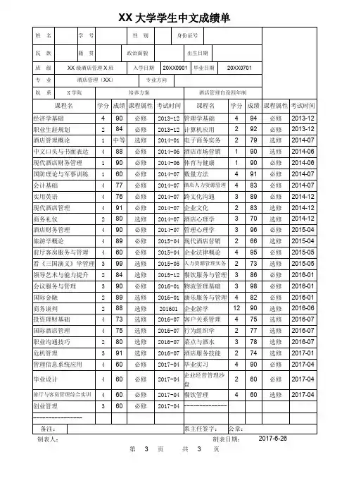
成绩单中英文模板XX大学学生成绩一览表姓名:院系:专业:学号:性别:出生年月:年月日籍贯:入学年月:年月学制:年第一学年(-- 学年)第二学年(-- 学年)第三学年(-- 学年)第四学年(-- 学年)第一学期课程学分成绩第一学期课程学分成绩第一学期课程学分成绩第一学期课程学分成绩第二学期课程学分成绩第二学期课程学分成绩第二学期课程学分成绩第二学期课程学分成绩毕业最低学分应为:已获得学分为:授予学位:成绩记载说明:1、百分制:60分及60分以上为及格,100为满分:2、五级计分制:优秀(A)、良好(B)、中等(C)、及格(D)、不及格(F);教务处长:注册主任:3、二级计分制:合格(P)、不合格(F)。
年月日XX UNIVERSITYStudent’s Academic RecordName: Department: Major: Student Identification:Sex: Date of Birth: Place of Birth: Date of Entrance: Years of program: 1st Academic Year 2nd Academic Year 3rd Academic Year 4th Academic Year Courses(1st Term) *Cr *Sc Courses(1st Term) *Cr *Sc Courses(1st Term) *Cr *Sc Courses(1st Term) *Cr *Sc Courses(2nd Term) *Cr *Sc Courses(2nd Term) *Cr *Sc Courses(2nd Term) *Cr *Sc Courses(2nd Term) *Cr *Sc Number of credits required: Number of credits obtained: Degree Granted:*Cr=Credits;*Sc=Score;Three grade systems used simultaneously in XXXuniversity,specifically as follows:1.The percentage system:Above 60 is passing,100 is full mark;2.Five degree grading: Excellent(A),Good(B),Fair(C),passing(D),Failed(F); Dean of Academic Affairs: Registrar:3.Two degree grading: Passing(P),Failed(F) Date Issued:。
上海交通大学医学院研究生办理中文成绩单申请表
1、将“办理中文成绩单申请表”交导师和培养单位研究生管理部门签字盖章。
未进培养单位的一年级研究生由研究生思政辅导员办公室(重庆南路227号1舍313室)盖章。
2、将“办理中文成绩单付款通知单”交研究生分院综合办公室(1舍317室)盖章。
3、凭“办理中文成绩单付款通知单”至医学院财务处(科教楼1楼)缴费,请用现金缴费。
4、凭缴费单据和“办理中文成绩单申请表”至研究生分院培养办公室(1舍309室)领取成绩单。
办理时间:每学期第3至第18周,每周五上午08:30-11:30
办理费用:中文成绩单打印费每份人民币贰拾元。
打印费只在第一次办理成绩时收取。
此外每办理一份成绩单收取人民币五元。
办理研究生中文成绩单付款通知单
医学院财务处:
研究生_______________________(学号____________________),因办理中文成绩单__________份,按规定需缴费_______________元,请予办理缴费。
此致!
医学院研究生分院(盖章)
年月日。