福建省泉州市晋江市季延中学2017-2018学年高一下学期期末数学试卷 Word版含解析
- 格式:doc
- 大小:630.70 KB
- 文档页数:18
高一下学期期末考试数学试题一、选择题(每小题5分,共10小题)1、直线013=++y x 的倾斜角为 ( )A.30ºB.60ºC.120ºD. 150º2.已知等差数列}{n a 满足,20153=+a a ,则17S 等于( )A .90B .95C .170D .3403.设b a >,d c >,则下列不等式成立的是( )。
A.d b c a ->-B.bd ac >C.b dc a > D.c ad b +<+ 4.直线()110a x y +++=与圆2220x y x +-=相切,则a 的值为( )A.1或1-B.2-C.1D.1-5.若圆心坐标为(2,-1)的圆在直线01=--y x 上截得的弦长为22,则这个圆的方程是( )A .()()41222=++-y xB .()()41222=-++y x C .()()21222=-++y x D .()()21222=++-y x 6.已知点(3,1)和(- 4,6)在直线023=+-a y x 的两侧,则a 的取值范围是( )A. a <-7或a >24B. a =7或a =24C. -7<a <24D. -24<a <77. a ,b ,c 表示直线,M 表示平面,给出下列四个命题:①若a ∥M ,b ∥M ,则a ∥b ;②若b ⊂M ,a ∥b ,则a ∥M ;③若a ⊥c ,b ⊥c ,则a ∥b ;④若a ⊥M ,b ⊥M ,则a ∥b.其中正确命题的个数有( )A.0个B.1个C.2个D.3个8. ∆ABC 中, )1+3(:6:2=sin :sin :sin C B A ,则三角形的最小内角是( )A. 60B. 45C. 30D.以上答案都不对9.在ABC ∆中,若BC b c cos cos =,则此三角形为( ) A .等腰三角形 B .直角三角形 C .等腰直角三角形D .等腰或直角三角形10.方程3)2(42+-=-x k x 有两个不等实根,则k 的取值范围是( )A .)125,0( B .),125(+∞ C .]43,31[ D .]43,125( 二、填空题(每小题5分,共6小题)11.已知x ,y 满足约束条件 50,0,3.x y x y x -+≥⎧⎪+≥⎨⎪≤⎩则y x z -=4的最小值为______________.12.如图,一个空间几何体的三视图,其正视图与侧视图是边长为2的正三角形、俯视图轮廓是边长为2的正方形,则其体积是 .13.在△ABC 中,若a = 2 ,23b =,030A = , 则角B 等于14.若关于x 的不等式022>++bx ax 的解集为)31,21(-,则不等式022<+-bx ax 的解集为 .15.若正实数b a ,满足12=+b a ,则ba 211+的最小值为 16.等差数列{}n a 中,n S 是它的前n 项之和,且67S S <,78S S >,则:①比数列的公差0d <; ②7S 一定是n S 中的最大值;③7a 是各项中最大的一项; ④9S 一定小于6S .其中正确的是____________________(填入你认为正确的所有序号).三、解答题(6小题,共70分,要求写出解答步骤和过程)17. (本小题满分10分) 已知集合A=}0,02)2(|{2≥<--+a x a ax x ,B=}032|{2<--x x x ,且A B =B ,求实数a 的取值范围。
季延中学2018年春高一年期末考试数学试卷考试时间:120分钟 满分:150分一、选择题(本大题共12小题,每小题5分,共60分.在每小题给出的四个选项中,只有一项是符合题目要求的)1.已知角的终边经过点P (4,-3),则2sin +c os 的值等于( )αααA .- B . C .- D .254535252.若扇形的面积为,半径为2,则扇形的圆心角为 ( ) 38πA .B .C .D .32π34π38π316π3.如果点P (sin2 θ,2cos θ)位于第三象限,那么角θ所在的象限是( )A .第一象限B .第二象限C .第三象限D .第四象限4. 由x 与y 的观测数据求得样本平均数=5,=8.8,并且当x =8时,预测y =14.8,则由x y 这组观测数据求得的线性回归方程可能是( )A. =x +3.8B. =2x -1.2C. =x +10.8D. =-x +11.3 y ^ y ^ y ^ 12y ^125. 已知曲线C 1:y =sin x ,C 2:y =sin (2x +),把C 1上各点的横坐标 2π3变为原来的k 倍,纵坐标不变,再向左平移m 个单位长度为了得到曲 线C 2,则k ,m 的值可以是( )A. k =2, m = B .k=2,m =2π3π3C. k =,m = D .k =,m = 122π312π36.中国古代有计算多项式值的秦九韶算法,右图是实现该算法的程序框执行该程序框图,若输入的x =2,n =2,依次输入的a 为2,2,5,则输出的s =( )A .7B .12C .17D .347.在?÷ABC 中,点M ,N 满足=2,=.若=x +y ,则( )AM → MC → BN → NC → MN → AB → AC →A .x =,y =-B .x =-,y =-C .x =,y =D .x =-,y =121612*********68. 已知,,则( ) 3sin(30)5α+=60150α<< cos α=cos(2cos(2),2παπα+=-9.同时具有性质:?é¨′最小正周期是π;?é¨2图象关于直线3π=x 对称;?é?在]3,6[ππ-上是增函数的一个函数是 ( ) A . B . C . D. sin()23x y π=+sin(2)6y x π=-cos(2)3y x π=+sin(2)3y x π=+10.甲、乙两人各自投一枚质地均匀的骰子,甲得的点数记为a ,乙得的点数记为b ,其中a ,b ∈{1,2,3,4,5,6},则 |a -b |?ü1的概率为( )A .B .C .D . 19297184911.已知0ω>,函数()sin(4f x x πω=+在(2π,π)上单调递减,则ω的取值范围是() A .(0,12] B .(0,2] C .[12,54] D .[12,34]12.已知平面上有四点O ,A ,B ,C ,向量,,满足:OA → OB → OC →++=0,·=·=·=-1,则△ABC 的周长是( )OA →OB →OC →OA →OB →OB →OC →OC →OA →A .3B .9C .3D .6 66二、填空题(本大题共4个小题,每小题5分,共20分)13. 已知向量a ,b 的夹角为60°,|a |=2, | b |=1,则 (a +2 b ) = .214.若则的值为 .sin()5cos(2)3cos()sin()παπαπαα-+----15. 已知P是所在平面内一点且,现将一粒黄豆随机撒在ABC ∆内,ABC ∆40PB PC PA ++=则黄豆落在PBC ∆内的概率是 . 16.在ABC V 中,60,B AC == 2AB BC +的最大值为 .三、解答题(本大题共6个小题,共70分,解答应写出文字说明、证明过程或演算步骤) 17.(10分)在四边形ABCD 中,=(6,1),=(x ,y ),=(-2,-3),且∥.AB → BC → CD → BC → DA →(1)求x 与y 的关系式; (2)若⊥,求x 、y 的值.AC → BD →18(12分)已知A ,B ,C 为△ABC 的三个内角,且其对边分别为a ,b ,c ,若cos B cos C -sin B sin C =.12(1)求A ;[](2)若a =2,b +c =4,求△ABC 的面积. 319.(12分)设函数f (x )=cos(2x +)+sin 2x . π3(1)求函数f (x )的最小正周期;(2)求函数f (x )的最大值,并写出f (x )取最大值时x 的取值;(3)设A ,B ,C 为△ABC 的三个内角,若cos B =,f ()=-,且C 为锐角,求sin A .13C 214 []20.(12分)如图所示,在平面四边形ABCD 中,AD =1,CD =2,AC(1)求cos ∠CAD 的值; (2)若cos ∠BAD =-,sin ∠CBA =,求BC 的长. 71421621.(12分)已知函数.[] 253sin cos 82y x a x a =++-(1)当=1时,求该函数的最大值; a (2)是否存在实数,使得该函数在闭区间上的最大值为1 ? 若存在,求出对应的a [0,]2πa值;若不存在,试说明理由.22.(12分)某公司计划购买1台机器,该种机器使用三年后即被淘汰.机器有一易损零件,在购进机器时,可以额外购买这种零件作为备件,每个200元.在机器使用期间,如果备件不足再购买,则每个500元.现需决策在购买机器时应同时购买几个易损零件,为此搜集并整理了100台这种机器在三年使用期内更换的易损零件数,得下面柱状图.件件件件件件记x 表示1台机器在三年使用期内需更换的易损零件数,y 表示1台机器在购买易损零件上所需的费用(单位:元),n 表示购机的同时购买的易损零件数. (1)若19n =,求y 与x 的函数解析式;(2)若要求 “需更换的易损零件数不大于n ”的频率不小于0.5,求n 的最小值; (3)假设这100台机器在购机的同时每台都购买19个易损零件,或每台都购买20个易损零件,分别计算这100台机器在购买易损零件上所需费用的平均数,以此作为决策依据,购买1台机器的同时应购买19个还是20个易损零件?。
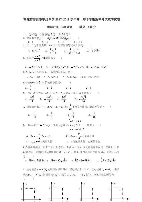
福建省晋江市季延中学2017-2018学年高一年下学期期中考试数学试卷考试时间:120分钟 满分:150分一、选择题。
(每小题5分,共50分)1.等比数列{}n a 中,5142,16a a a a 则==( )A .4B .16C .-4D .-162.a 、b 为非零实数,a b <,则下列不等式成立的是( )A .22a b < B .11a b < C .2211ab a b< D .||||a b > 3、不等式032≥-+x x 的解为( ) A 、32≤≤-x B 、-2x 3≤≥或xC 、32<≤-xD 、-2x 3≤>或x4.点(a,b )在直线2x-y+3=0的右下方,则( )A .2a-b+3<0 B. 2a-b+3>0 C. 2a-b+3=0 D.以上都不成立 5.若x+y=0,则yx22+的最小值是( )A 、21B 、1C 、2D 、4 6、已知ABC ∆中,a=5, b = 3 , C = 1200,则sinA 的值为( )A 、1435B 、1435-C 、1433D 、1433-7.已知数列{}n a 中,3a =2,7a =1,若1{}2na 为等差数列,则公差等于( )A .41- B .12 C .41D .1618、 目标函数y x z +=2,变量y x ,满足⎪⎩⎪⎨⎧≥-+≤-≥-03002y x y x y x ,则有( )A .4,29min max ==z zB .,29max =z z 无最小值C .z z ,4min =无最大值D .z 既无最大值,也无最小值9.为测树的高度,在水平地面上选取A 、B 两点(点A 、B 及树的底部在同一直线上),从A 、B 两点分别测得树尖的仰角为30°,45°,且A 、B 两点间的距离为60m ,则树的高度为( )A. ()m 31530+B. ()m 33030+ C.()m 33015+ D. ()m 31515+10.给定函数)(x f y =的图像如下列图中,经过原点和(1,1),且对任意)1,0(∈n a ,由关系式)(1n n a f a =+得到数列{n a },满足)(*1N n a a n n ∈>+,则该函数的图像为( )二、填空题(每小题5分,共25分)11.二次函数()2y ax bx c x R =++∈的部分对应值如下表:则不等式02<++c bx ax 的解集是_______________________.12.__________012的取值范围是有两个不同正根,则方程a ax x =+- 13.等比数列{}n a 中, ____________S ,12,415105===则S S14.恒成立,对一切的0,42>≥++x ax x x 则a 的取值范围是_________ 15.把正整数按上小下大、左小右大的原则排成如图三角形数表(每行比上一行多一个数):设,i ja (i 、j ∈N*)是位于这个三角形数表中从上往下数第i 行、从左往右数第j 个数,如4,2a =8,则25,51a 为三、计算题(共75分)16(本题满分12分)(1)已知的值与的最小值,及此时求,其中y x xy 0,y 0,412>>=+x yx . (2)0))(1( x ≤-+a x x 的不等式关于,讨论x 的解.17.(本题满分12分)等比数列{}n a 中,已知142,16a a ==. (1)求数列{}n a 的通项公式及前n 项和n S . (2)记n n a b 2log =,求}1{1+n n b b 的前n 项和n T .A B C D12 34 5 6 7 8 9 10 …………………………18.(本题满分12分)已知a 、b 、c 分别是ABC ∆的三个内角A 、B 、C 所对的边 (1)若ABC ∆面积,60,2,23︒===∆A c S ABC 求a 、b 的值; (2)若B cacos <,试判断ABC ∆的形状.19.(本题满分12分)若不等式组⎪⎩⎪⎨⎧≤≥++≥+-a x y x y x 0101 (其中a>0)表示的平面区域的面积是9.(1)求a 的值(2)求的值。
2017-2018学年福建省泉州市晋江市季延中学高一(下)期中数学试卷一.选择题(每题5分,共60分)1.与角﹣终边相同的角是()A.B.C.D.2.函数y=sin(2x﹣)在区间[﹣,π]的简图是()A.B.C.D.3.若tan160°=a,则sin2000°等于()A.B.C.D.﹣4.设D为△ABC所在平面内一点,=3,则()A.=﹣+B.=﹣C.=+D.=+5.已知f(cosx)=cos2x,则f(sin30°)的值等于()A.B.﹣C.0D.16.已知α为第三象限角,且sinα+cosα=2m,sin2α=m2,则m的值为()A.B.﹣C.﹣D.﹣7.对任意平面向量,下列关系式中不恒成立的是()A.B.C.D.8.要得到函数y=sin(4x﹣)的图象,只需将函数y=sin4x的图象()A.向左平移单位B.向右平移单位C.向左平移单位D.向右平移单位9.若非零向量,满足||=||,且(﹣)⊥(3+2),则与的夹角为()A.B.C.D.π10.已知角α的终边上一点的坐标为(),角α的最小正值为()A.B.C.D.11.△ABC是边长为2的等边三角形,已知向量,满足=2,=2+,则下列结论正确的是()A.||=1B.⊥C.•=1D.(4+)⊥12.已知函数f(x)=sin(ωx+φ)(ω>0,|φ|<),其图象相邻两条对称轴之间的距离为,且函数f(x+)是偶函数,下列判断正确的是()A.函数f(x)的最小正周期为2πB.函数f(x)的图象关于点(,0)d对称C.函数f(x)的图象关于直线x=﹣对称D.函数f(x)在[,π]上单调递增二.填空题(每题5分,共20分)13.已知正方形ABCD的边长为2,E为CD的中点,则=.14.方程4cosx+sin2x+m﹣4=0恒有实数解,则实数m的取值范围是.15.在△ABC中,若,则∠C.16.已知函数f(x)=Asin(ωx+φ)(其中x∈R,A>0,ω>0,﹣<φ<)的部分图象如图所示.则f(x)=.三.解答题(共70分)17.已知f(α)=.(1)化简f(α);(2)若α是第三象限角,且cos(α﹣)=,求f(α)的值.18.已知(1)求与的夹角θ;(2)求.19.在平面直角坐标系xOy中,已知向量=(,﹣),=(sinx,cosx),x∈(0,).(1)若⊥,求tanx的值;(2)若与的夹角为,求x的值.20.已知tan(+x)=﹣.(Ⅰ)求tan2x的值;(Ⅱ)若x是第二象限的角,化简三角式+,并求值.21.已知函数f(x)=sin cos﹣sin2.(Ⅰ)求f(x)的最小正周期及f(x)的单调递减区间;(Ⅱ)求f(x)在区间[﹣π,0]上的最值.22.如图,某污水处理厂要在一个矩形污水处理池(ABCD)的池底水平铺设污水净化管道(Rt△FHE,H是直角顶点)来处理污水,管道越长,污水净化效果越好.设计要求管道的接口H是AB的中点,E,F分别落在线段BC,AD上.已知AB=20米,米,记∠BHE=θ.(1)试将污水净化管道的长度L表示为θ的函数,并写出定义域;(2)若,求此时管道的长度L;(3)当θ取何值时,污水净化效果最好?并求出此时管道的长度.2017-2018学年福建省泉州市晋江市季延中学高一(下)期中数学试卷参考答案与试题解析一.选择题(每题5分,共60分)1.与角﹣终边相同的角是()A.B.C.D.【考点】终边相同的角.【分析】与﹣终边相同的角为2kπ﹣,k∈z,选择适当k值,得到选项.【解答】解:与﹣终边相同的角为2kπ﹣,k∈z,当k=1时,此角等于,故选:C.2.函数y=sin(2x﹣)在区间[﹣,π]的简图是()A.B.C.D.【考点】正弦函数的图象.【分析】根据函数解析式可得当x=﹣时,y=sin[(2×﹣]>0,故排除A,D;当x=时,y=sin0=0,故排除C,从而得解.【解答】解:当x=﹣时,y=sin[(2×﹣]=﹣sin()=sin=>0,故排除A,D;当x=时,y=sin(2×﹣)=sin0=0,故排除C;故选:B.3.若tan160°=a,则sin2000°等于()A.B.C.D.﹣【考点】同角三角函数间的基本关系;运用诱导公式化简求值.【分析】先根据诱导公式把已知条件化简得到tan20°的值,然后根据同角三角函数间的基本关系,求出cos20°的值,进而求出sin20°的值,则把所求的式子也利用诱导公式化简后,将﹣sin20°的值代入即可求出值.【解答】解:tan160°=tan=﹣tan20°=a<0,得到a<0,tan20°=﹣a∴cos20°===,∴sin20°==则sin2000°=sin(11×180°+20°)=﹣sin20°=.故选B.4.设D为△ABC所在平面内一点,=3,则()A.=﹣+B.=﹣C.=+D.=+【考点】平面向量的基本定理及其意义.【分析】根据向量减法的几何意义便有,,而根据向量的数乘运算便可求出向量,从而找出正确选项.【解答】解:;∴;∴.故选A.5.已知f(cosx)=cos2x,则f(sin30°)的值等于()A.B.﹣C.0D.1【考点】运用诱导公式化简求值.【分析】利用诱导公式转化f(sin30°)=f(cos60°),然后求出函数值即可.【解答】解:因为f(cosx)=cos2x所以f(sin30°)=f(cos60°)=cos120°=﹣,故选B.6.已知α为第三象限角,且sinα+cosα=2m,sin2α=m2,则m的值为()A.B.﹣C.﹣D.﹣【考点】两角和与差的正弦函数.【分析】把sinα+cosα=2m两边平方可得m的方程,解方程可得m,结合角的范围可得答案.【解答】解:把sinα+cosα=2m两边平方可得1+sin2α=4m2,又sin2α=m2,∴3m2=1,解得m=,又α为第三象限角,∴m=故选:B7.对任意平面向量,下列关系式中不恒成立的是()A.B.C.D.【考点】向量的模.【分析】根据平面向量数量积的定义与运算性质,对每个选项判断即可.【解答】解:对于A,∵|•|=||×||×|cos<,>|,又|cos<,>|≤1,∴|•|≤||||恒成立,A正确;对于B,由三角形的三边关系和向量的几何意义得,|﹣|≥|||﹣|||,∴B错误;对于C,由向量数量积的定义得(+)2=|+|2,C正确;对于D,由向量数量积的运算得(+)•(﹣)=2﹣2,∴D正确.故选:B.8.要得到函数y=sin(4x﹣)的图象,只需将函数y=sin4x的图象()A.向左平移单位B.向右平移单位C.向左平移单位D.向右平移单位【考点】函数y=Asin(ωx+φ)的图象变换.【分析】直接利用三角函数的平移原则推出结果即可.【解答】解:因为函数y=sin(4x﹣)=sin[4(x﹣)],要得到函数y=sin(4x﹣)的图象,只需将函数y=sin4x的图象向右平移单位.故选:B.9.若非零向量,满足||=||,且(﹣)⊥(3+2),则与的夹角为()A.B.C.D.π【考点】数量积表示两个向量的夹角.【分析】根据向量垂直的等价条件以及向量数量积的应用进行求解即可.【解答】解:∵(﹣)⊥(3+2),∴(﹣)•(3+2)=0,即32﹣22﹣•=0,即•=32﹣22=2,∴cos<,>===,即<,>=,故选:A10.已知角α的终边上一点的坐标为(),角α的最小正值为()A.B.C.D.【考点】终边相同的角.【分析】将点的坐标化简,据点的坐标的符号判断出点所在的象限,利用三角函数的定义求出角α的正弦,求出角α的最小正值【解答】解:=∴角α的终边在第四象限∵到原点的距离为1∴∴α的最小正值为故选D11.△ABC是边长为2的等边三角形,已知向量,满足=2,=2+,则下列结论正确的是()A.||=1B.⊥C.•=1D.(4+)⊥【考点】平面向量数量积的运算.【分析】由题意,知道,,根据已知三角形为等边三角形解之.【解答】解:因为已知三角形ABC的等边三角形,,满足=2,=2+,又,∴的方向应该为的方向.所以,,所以=2,=1×2×cos120°=﹣1,4=4×1×2×cos120°=﹣4,=4,所以=0,即(4)=0,即=0,所以;故选D.12.已知函数f(x)=sin(ωx+φ)(ω>0,|φ|<),其图象相邻两条对称轴之间的距离为,且函数f(x+)是偶函数,下列判断正确的是()A.函数f(x)的最小正周期为2πB.函数f(x)的图象关于点(,0)d对称C.函数f(x)的图象关于直线x=﹣对称D.函数f(x)在[,π]上单调递增【考点】由y=Asin(ωx+φ)的部分图象确定其解析式;正弦函数的图象.【分析】由题意可求f(x)的周期T,利用周期公式可求ω,函数f(x+)是偶函数,可得+φ=kπ+,k∈Z,又|φ|<,解得φ,可得解析式f(x)=sin(2x+),利用正弦函数的图象和性质即可判断求解.【解答】解:函数f(x)=sin(ωx+φ)图象的相邻两条对称轴之间的距离等于,∴函数f(x)的周期T=π,故A错误;∵ω>0∴ω=2,∴函数f(x+)的解析式为:f(x)=sin[2(x+)+φ]=sin(2x++φ),∵函数f(x+)是偶函数,∴+φ=kπ+,k∈Z,又|φ|<,解得:φ=.∴f(x)=sin(2x+).∴由2x+=kπ,k∈Z,解得对称中心为:(﹣,0),k∈Z,故B错误;由2x+=kπ+,k∈Z,解得对称轴是:x=,k∈Z,故C错误;由2kπ≤2x+≤2kπ+,k∈Z,解得单调递增区间为:[kπ,kπ],k∈Z,故D正确.故选:D.二.填空题(每题5分,共20分)13.已知正方形ABCD的边长为2,E为CD的中点,则=2.【考点】平面向量数量积的运算.【分析】根据两个向量的加减法的法则,以及其几何意义,可得要求的式子为()•(),再根据两个向量垂直的性质,运算求得结果.【解答】解:∵已知正方形ABCD的边长为2,E为CD的中点,则=0,故=()•()=()•()=﹣+﹣=4+0﹣0﹣=2,故答案为2.14.方程4cosx+sin2x+m﹣4=0恒有实数解,则实数m的取值范围是[0,8].【考点】同角三角函数基本关系的运用;三角函数的最值.【分析】分离参数,可得m=(cosx﹣2)2﹣1,利用余弦函数的单调性与二次函数的性质可得实数m的取值范围.【解答】解:∵m=4﹣4cosx﹣(1﹣cos2x)=(cosx﹣2)2﹣1,当cosx=1时,m min=0,当cosx=﹣1时,m max=(﹣1﹣2)2﹣1=8,∴实数m的取值范围是[0,8].故答案为:[0,8].15.在△ABC中,若,则∠C60°.【考点】两角和与差的正切函数.【分析】利用两角和的正切公式,求出tan(A+B)的三角函数值,求出A+B的大小,然后求出C的值即可.【解答】解:由可得tan(A+B)==﹣因为A,B,C是三角形内角,所以A+B=120°,所以C=60°故答案为:60°16.已知函数f(x)=Asin(ωx+φ)(其中x∈R,A>0,ω>0,﹣<φ<)的部分图象如图所示.则f(x)=sin(\frac{π}{4}x+\frac{π}{4}).【考点】由y=Asin (ωx+φ)的部分图象确定其解析式.【分析】根据函数的最值得出A ,根据周期求出ω,再根据f (x )图象上点的坐标求出φ的值.【解答】解:由最大值得A=1,T=2×[3﹣(﹣1)]=8,则=8,解得ω=,所以f (x )=sin (x+φ);由f (﹣1)=0,得4sin (﹣+φ)=0,又﹣<φ<,所以φ=,所以f (x )=sin (x+). 故答案为:sin (x+).三.解答题(共70分)17.已知f (α)=.(1)化简f (α);(2)若α是第三象限角,且cos (α﹣)=,求f (α)的值.【考点】运用诱导公式化简求值. 【分析】(1)f (α)分子分母利用诱导公式化简,约分即可得到结果;(2)已知等式左边利用诱导公式化简求出sin α的值,根据α为第三象限角,求出cos α的值,代入f (α)计算即可得到结果.【解答】解:(1)原式==﹣cos α;(2)∵cos (α﹣)=﹣sin α,∴sin α=﹣, 又α是第三象限角,∴cos α=﹣=﹣=﹣,∴f (α)=﹣cos α=.18.已知(1)求与的夹角θ;(2)求.【考点】平面向量数量积的运算;数量积表示两个向量的夹角.【分析】(1)利用数量积运算性质、向量夹角公式即可得出;(2)利用数量积运算性质即可得出.【解答】解(1)∵=61,∴﹣3=61.又=4,||=3,∴64﹣4﹣27=61,∴=﹣6.∴cosθ===﹣.又0≤θ≤π,∴θ=.(2)∵==42+32+2×(﹣6)=13,∴=.19.在平面直角坐标系xOy中,已知向量=(,﹣),=(sinx,cosx),x∈(0,).(1)若⊥,求tanx的值;(2)若与的夹角为,求x的值.【考点】平面向量数量积的运算;数量积表示两个向量的夹角.【分析】(1)若⊥,则•=0,结合三角函数的关系式即可求tanx的值;(2)若与的夹角为,利用向量的数量积的坐标公式进行求解即可求x的值.【解答】解:(1)若⊥,则•=(,﹣)•(sinx,cosx)=sinx﹣cosx=0,即sinx=cosxsinx=cosx,即tanx=1;(2)∵||=,||==1,•=(,﹣)•(sinx,cosx)=sinx﹣cosx,∴若与的夹角为,则•=||•||cos=,即sinx﹣cosx=,则sin(x﹣)=,∵x∈(0,).∴x﹣∈(﹣,).则x﹣=即x=+=.20.已知tan(+x)=﹣.(Ⅰ)求tan2x的值;(Ⅱ)若x是第二象限的角,化简三角式+,并求值.【考点】同角三角函数基本关系的运用.【分析】(Ⅰ)已知等式左边利用两角和与差的正切函数公式化简,整理求出tanx的值,再利用二倍角的正切函数公式化简tan2x,将tanx的值代入计算即可求出值;(Ⅱ)原式被开方数变形后,利用二次根式的性质及绝对值的代数意义化简得到最简结果,由tanx的值求出cosx的值,代入计算即可求出值.【解答】解:(Ⅰ)已知等式变形得:tan(+x)==﹣,解得:tanx=﹣3,则tan2x===;(Ⅱ)∵x是第二象限的角,∴cosx<0,∴原式=+=+==﹣,∵tanx=﹣3,∴cos2x==,∵cosx<0,∴cosx=﹣,∴原式=﹣=2.21.已知函数f(x)=sin cos﹣sin2.(Ⅰ)求f(x)的最小正周期及f(x)的单调递减区间;(Ⅱ)求f(x)在区间[﹣π,0]上的最值.【考点】三角函数中的恒等变换应用;正弦函数的图象.【分析】(1)利用三角恒等变换化简函数f(x),求出最小正周期T,写出它的减区间;(2)根据x的取值范围,计算对应x+的取值范围,从而求出f(x)的最值.【解答】解;(1)函数f(x)=sin cos﹣sin2=sinx﹣(1﹣cosx)=sin(x+)﹣;∴最小正周期为T=2π,令+2kπ≤x+≤+2kπ,k∈Z,则+2kπ≤x≤+2kπ,k∈Z,∴f(x)的减区间为;(2)∵x∈[﹣π,0],∴,当,即时,f(x)有最小值为﹣1﹣;当,即x=0时,f(x)有最大值为0.22.如图,某污水处理厂要在一个矩形污水处理池(ABCD)的池底水平铺设污水净化管道(Rt△FHE,H是直角顶点)来处理污水,管道越长,污水净化效果越好.设计要求管道的接口H是AB的中点,E,F分别落在线段BC,AD上.已知AB=20米,米,记∠BHE=θ.(1)试将污水净化管道的长度L表示为θ的函数,并写出定义域;(2)若,求此时管道的长度L;(3)当θ取何值时,污水净化效果最好?并求出此时管道的长度.【考点】解三角形的实际应用.【分析】(1)由∠BHE=θ,H 是AB 的中点,易得,,,由污水净化管道的长度L=EH+FH+EF ,则易将污水净化管道的长度L 表示为θ的函数.(2)若,结合(1)中所得的函数解析式,代入易得管道的长度L 的值.(3)污水净化效果最好,即为管道的长度最长,由(1)中所得的函数解析式,结合三角函数的性质,易得结论.【解答】解:(1),,.由于,,所以,所以.所以,.(2)当时,,(米).(3), 设sin θ+cos θ=t ,则,所以.由于,所以.由于在上单调递减,所以当即或时,L取得最大值米.答:当或时,污水净化效果最好,此时管道的长度为米.2018年7月14日。
福建省晋江市(安溪一中、养正中学、惠安一中、泉州实验中学)四校2017-2018学年高一下学期期末考试联考数学试题1.1.的值为A. B. C. D.【答案】B【解析】【分析】由诱导公式,化简即可得到的值。
【详解】根据诱导公式化简得所以选B【点睛】本题考查了诱导公式在三角函数化简求值中的应用,属于基础题。
2.2.已知为等差数列,,则等于A. B. C. D.【答案】A【解析】,,得,故选D.3.3.设,,,且,则()A. B. C. D.【答案】D【解析】当时,选项A错误;当时,选项B错误;当时,选项C错误;∵函数在上单调递增,∴当时,.本题选择D选项.点睛:判断不等式是否成立,主要利用不等式的性质和特殊值验证两种方法,特别是对于有一定条件限制的选择题,用特殊值验证的方法更简便.4.4.已知向量,,若,则锐角为A. B. C. D.【答案】B【解析】【分析】由向量平行,可得坐标间的关系,进而求得锐角α的度数。
【详解】根据向量平行的坐标运算,化简得所以因为α为锐角所以所以选B【点睛】本题考查了向量平行的坐标运算,特殊角三角函数值的求法,属于基础题。
5.5.在中,是边上的中线,为的中点,若,,则等于A. B. C. D.【答案】C【解析】【分析】由向量的线性运算,依次表示出各个向量,再转化为基向量。
【详解】根据向量的线性运算,化简得所以选C【点睛】本题考查了平面向量的线性运算,属于基础题。
6.6.不等式的解集为A. B.C. D.【答案】A【解析】【分析】根据分式不等式解法,化为一元二次不等式,进而通过穿根法得到不等式解集。
【详解】不等式可化简为且根据零点和穿根法,该分式不等式的解集为所以选A【点睛】本题考查了分式不等式的解法,切记不能直接去分母解不等式,属于基础题。
7.7.已知,则的值为A. B. C. D.【答案】B【解析】试题分析:。
考点:本题考查三角函数式求值。
点评:(1)分子分母的次数相同的分式,我们叫做齐次分式,在进行三角计算的时候,我们可以利用三角函数的商数关系把分子分母同时除以得到的式子,然后带入计算求出式子的值,1可以用平方关系代入,把式子转换成齐次分式。
福建省晋江市2017-2018学年高一下学期期中数学试卷一、选择题(本大题共14小题,每小题5分,共70分,在每小题给出的四个选项中,只有一项是符合题目要求的)1.已知角θ的顶点与原点重合,始边与x轴非负半轴重合,终边过点P(﹣1,2),则cosθ=()A.﹣1 B.2 C.D.2.已知三棱锥O﹣ABC,点M,N分别为AB,OC的中点,且=, =, =,用,,表示,则等于()A.B.)C.D.3.已知圆与圆,则圆C1与圆C2的位置关系为()A.外切B.相离C.相交D.内切4.cos的值是()A.﹣B.﹣C.D.5.以(2,﹣1)为圆心且与直线x﹣y+1=0相切的圆的方程为()A.(x﹣2)2+(y+1)2=8 B.(x﹣2)2+(y+1)2=4 C.(x+2)2+(y﹣1)2=8 D.(x+2)2+(y﹣1)2=46.为了得到函数的图象,只需把y=2sinx的图象上所有的点()A.向右平移,再把所得各点的横坐标伸长到原来的3倍(纵坐标不变)B.向左平移,再把所得各点的横坐标伸长到原来的3倍(纵坐标不变)C.向右平移,再把所得各点的横坐标伸长到原来的倍(纵坐标不变)D.向左平移,再把所得各点的横坐标伸长到原来的倍(纵坐标不变)7.设扇形的周长为8cm,面积为4cm2,则扇形的圆心角是()rad.A.1 B.2 C.πD.1或28.已知f(x)=tan(2x+),则使f(x)≥成立的x的集合是()A.[+kπ, +kπ),k∈Z B.(﹣+kπ, +kπ),k∈ZC.[+kπ, +kπ),k∈Z D.[+kπ, +kπ],k∈Z9.若两个非零向量满足,则向量与的夹角是()A.30°B.60°C.120°D.150°10.圆x2+y2+2ax+4ay=0的半径为,则a等于()A.5 B.﹣5或5 C.1 D.1或﹣111.已知平面直角坐标系内的两个向量,,且平面内的任一向量都可以唯一的表示成=+(λ,μ为实数),则m的取值范围是()A.(﹣∞,4) B.(4,+∞)C.(﹣∞,4)∪(4,+∞)D.(﹣∞,+∞)12.已知圆的方程为x2+y2﹣2y﹣4=0,过点A(2,1)的直线被圆所截,则截得的最短弦的长度为()A.B.2 C.D.13.函数f(x)=sin(ωx+φ)(x∈R)的部分图象如图所示,如果,且f(x1)=f(x2),则f(x1+x2)=()A.B. C.D.14.已知直线l:ax+y+b=0与圆O:x2+y2=4相交于A、B两点,,且,则等于()A.﹣3 B.﹣4 C.3 D.4二、填空题(本大题共4小题,每小题5分,共20分,把答案填在答题卷的横线上)15.设平面向量,,且P、A、B三点共线,则x= .16.化简: = .17.将函数f(x)=cos2x的图象向左平移φ(φ>0)个单位后,若所得的图象经过点,则φ的最小值为.18.由曲线x2+y2=|x|+|y|所围成的图形面积为.三、解答题(本大题共5小题,每小题12分,共60分,解答应写出文字说明.证明过程或演算步骤)19.已知A(1,﹣2),B(2,1),C(3,2),D(x,y)(1)求的坐标;(2)若A、B、C、D四点构成平行四边形ABCD,求点D的坐标.20.已知tanα=2(1)求的值;(2)若α是第三象限角,求cosα的值.21.已知直线,方程x2+y2﹣2mx﹣2y+m+3=0表示圆.(Ⅰ)求实数m的取值范围;(Ⅱ)当m=﹣2时,试判断直线l与该圆的位置关系,若相交,求出相应弦长.22.已知函数(其中0<ω<2),若直线是函数f(x)图象的一条对称轴.(1)求ω及f(x)的最小正周期;(2)求函数f(x)在上的单调递减区间.(3)若函数g(x)=f(x)+a在区间上的图象与x轴没有交点,求实数a的取值范围.23.已知以点为圆心的圆经过原点O,且与x轴交于点A,与y轴交于点B.(1)求证:△AOB的面积为定值.(2)设直线2x+y﹣4=0与圆C交于点M,N,若|OM|=|ON|,求圆C的方程.(3)当t>0时,在(2)的条件下,设P,Q分别是直线l:x+y+2=0和圆C上的动点,求|PB|+|PQ|的最小值及此时点P的坐标.福建省晋江市2017-2018学年高一下学期期中数学试卷参考答案与试题解析一、选择题(本大题共14小题,每小题5分,共70分,在每小题给出的四个选项中,只有一项是符合题目要求的)1.已知角θ的顶点与原点重合,始边与x轴非负半轴重合,终边过点P(﹣1,2),则cosθ=()A.﹣1 B.2 C.D.【考点】G9:任意角的三角函数的定义.【分析】根据三角函数的定义,直接求出cosθ【解答】解:终边过点P(﹣1,2),∴|OP|=,∴cosθ==,故选:C2.已知三棱锥O﹣ABC,点M,N分别为AB,OC的中点,且=, =, =,用,,表示,则等于()A.B.)C.D.【考点】9A:向量的三角形法则.【分析】根据所给的图形,在图形中看出要求的向量可以怎么得到,用减法把向量先变化成已知向量的差的形式,再利用向量的加法法则,得到结果.【解答】解:由题意知=﹣=﹣(+)∵=, =, =,∴=(﹣﹣)故选:D.3.已知圆与圆,则圆C1与圆C2的位置关系为()A.外切B.相离C.相交D.内切【考点】JA:圆与圆的位置关系及其判定.【分析】计算两圆的圆心和半径,计算圆心距,根据圆心距与半径的大小关系得出结论.【解答】解:圆C1的圆心为C1(﹣2,﹣),半径为r1==,圆C2的圆心为C2(﹣1,﹣),半径为r2==.两圆圆心距为d==1,∴r1﹣r2<d<r1+r2,∴圆C1与圆C2相交.故选:C.4.cos的值是()A.﹣B.﹣C.D.【考点】GO:运用诱导公式化简求值.【分析】直接利用诱导公式化简求值即可.【解答】解:cos=cos(π)=cos=.故选:D.5.以(2,﹣1)为圆心且与直线x﹣y+1=0相切的圆的方程为()A.(x﹣2)2+(y+1)2=8 B.(x﹣2)2+(y+1)2=4 C.(x+2)2+(y﹣1)2=8 D.(x+2)2+(y﹣1)2=4【考点】J1:圆的标准方程.【分析】直线与圆相切,则圆心到直线的距离即为圆的半径.利用点到直线的距离公式求出半径即可得到圆的方程.【解答】解:圆心(2,﹣1)到直线x﹣y+1=0的距离为d==2,∵圆与直线直线x﹣y+1=0相切,∴半径r=2.∴所求圆的方程为(x﹣2)2+(y+1)2=8.故选A.6.为了得到函数的图象,只需把y=2sinx的图象上所有的点()A.向右平移,再把所得各点的横坐标伸长到原来的3倍(纵坐标不变)B.向左平移,再把所得各点的横坐标伸长到原来的3倍(纵坐标不变)C.向右平移,再把所得各点的横坐标伸长到原来的倍(纵坐标不变)D.向左平移,再把所得各点的横坐标伸长到原来的倍(纵坐标不变)【考点】HJ:函数y=Asin(ωx+φ)的图象变换.【分析】根据函数y=Asin(ωx+φ)的图象变换规律即可得解.【解答】解:把y=2sinx的图象上所有的点向左平移,可得函数解析式为y=2sin(x+),再把所得各点的横坐标伸长到原来的倍(纵坐标不变),可得图象对应的解析式为:.故选:D.7.设扇形的周长为8cm,面积为4cm2,则扇形的圆心角是()rad.A.1 B.2 C.πD.1或2【考点】G8:扇形面积公式.【分析】设出扇形的弧长,半径,通过扇形的周长与面积.求出扇形的画出与半径,即可得到扇形圆心角的弧度数.【解答】解:设扇形的弧长为:l半径为r,所以2r+l=8, =4,所以l=4,r=2,所以扇形的圆心角的弧度数是: =2.故选:B8.已知f(x)=tan(2x+),则使f(x)≥成立的x的集合是()A.[+kπ, +kπ),k∈Z B.(﹣+kπ, +kπ),k∈ZC.[+kπ, +kπ),k∈Z D.[+kπ, +kπ],k∈Z【考点】HC:正切函数的图象.【分析】根据正切函数的图象与性质,结合题意,即可求出不等式的解集.【解答】解:∵f(x)=tan(2x+),∴f(x)≥化为tan(2x+)≥,即+kπ≤2x+<+kπ,k∈Z;解得+kπ≤x<+kπ,k∈Z;故使f(x)≥成立的x的集合是[+kπ, +kπ),k∈Z,故选:A.9.若两个非零向量满足,则向量与的夹角是()A.30°B.60°C.120°D.150°【考点】9R:平面向量数量积的运算.【分析】把已知等式两边平方,得到到、的关系及,然后利用向量的数量积公式求出量与的夹角.【解答】解:∵,∴=4,∴,,∴()•()=﹣2,设与的夹角为θ,cosθ==﹣.∵θ∈[0°,180°],∴θ=120°.故选:C.10.圆x2+y2+2ax+4ay=0的半径为,则a等于()A.5 B.﹣5或5 C.1 D.1或﹣1【考点】J2:圆的一般方程.【分析】圆x2+y2+2ax+4ay=0的标准方程为(x+a)2+(y+2a)2=5a2,利用圆x2+y2+2ax+4ay=0的半径为,即可求出a.【解答】解:圆x2+y2+2ax+4ay=0的标准方程为(x+a)2+(y+2a)2=5a2,∵圆x2+y2+2ax+4ay=0的半径为,∴5a2=5,∴a=±1,故选:D.11.已知平面直角坐标系内的两个向量,,且平面内的任一向量都可以唯一的表示成=+(λ,μ为实数),则m的取值范围是()A.(﹣∞,4) B.(4,+∞)C.(﹣∞,4)∪(4,+∞)D.(﹣∞,+∞)【考点】9H:平面向量的基本定理及其意义.【分析】根据基底的定义可知:平面内的任一向量都可以唯一的表示成=+,,是平面内表示所有向量的一组基底.即,不共线即可.【解答】解:由题意可知:平面内的任一向量都可以唯一的表示成=+,∴,是平面内表示所有向量的一组基底.∴,必须不共线.可得:解得:m≠4.故得m的取值范围是(﹣∞,4)∪(4,+∞).故选C.12.已知圆的方程为x2+y2﹣2y﹣4=0,过点A(2,1)的直线被圆所截,则截得的最短弦的长度为()A.B.2 C.D.【考点】J9:直线与圆的位置关系.【分析】根据题意可知,过A(2,1)的最长弦为直径,最短弦为过A(2,1)且垂直于该直径的弦,根据勾股定理求出最短弦的长度即可.【解答】解:圆的标准方程为x2+(y﹣1)2=5,设过A(2,1)的最长的弦为直径,最短弦为过A(2,1))且垂直于直径的弦,弦心距为2,根据勾股定理得最短的弦2=2,故选:B.13.函数f(x)=sin(ωx+φ)(x∈R)的部分图象如图所示,如果,且f(x1)=f(x2),则f(x1+x2)=()A.B. C.D.【考点】H2:正弦函数的图象.【分析】由周期求出ω,由五点法作图求出φ的值,可得函数的解析式,再根据正弦函数图象的对称性,求得 x1+x2=,可得f(x1+x2)的值.【解答】解:由函数f(x)=sin(ωx+φ)(x∈R)的部分图象,可得•=﹣,∴ω=2.再根据五点法作图可的2•+φ=0,∴φ=﹣,f(x)=sin(2x﹣).在上,且f(x1)=f(x2),则(x1+x2)=,∴x1+x2=,f(x1+x2)=sin(2•﹣)=sin=﹣sin=﹣,故选:A.14.已知直线l:ax+y+b=0与圆O:x2+y2=4相交于A、B两点,,且,则等于()A.﹣3 B.﹣4 C.3 D.4【考点】J9:直线与圆的位置关系.【分析】由题意,可得直线l与直线OM垂直,且圆心O到直线l的距离为,建立方程,求出a,b,即可得出结论.【解答】解:∵,∴直线l与直线OM垂直,且圆心O到直线l的距离为,即,解得,则.故选B.二、填空题(本大题共4小题,每小题5分,共20分,把答案填在答题卷的横线上)15.设平面向量,,且P、A、B三点共线,则x= ﹣4 .【考点】9K:平面向量共线(平行)的坐标表示.【分析】利用向量共线定理即可得出.【解答】解:∵P、A、B三点共线,∴4+x=0,解得x=﹣4.故答案为:﹣4.16.化简: = 1 .【考点】GI:三角函数的化简求值.【分析】由条件利用诱导公式化简所给的三角函数式,可得结果.【解答】解: ==1,故答案为:1.17.将函数f(x)=cos2x的图象向左平移φ(φ>0)个单位后,若所得的图象经过点,则φ的最小值为.【考点】H7:余弦函数的图象.【分析】根据函数的平移法则,求出f(x)图象向左平移后的解析式,再根据函数图象过点(,0)求出φ的解析式,由φ>0可得φ的最小值.【解答】解:函数f(x)=cos2x的图象向左平移φ(φ>0)个单位后,可得函数y=cos[2(x+φ)]=cos(2x+2φ)的图象,再根据所得的图象过点(,0),可得 2×+2φ=kπ+,k∈z,故φ=﹣,k∈z,φ>0,可得φ的最小值为.故答案为:.18.由曲线x2+y2=|x|+|y|所围成的图形面积为2+π.【考点】J2:圆的一般方程.【分析】通过对x,y的取值讨论,去掉绝对值符号,说明曲线的图形形状,画出图形,即可解答所求问题.【解答】解:当x,y≥0时,曲线x2+y2=|x|+|y|互为x2+y2=x+y,曲线表示以为圆心,以为半径的圆,在第一象限的部分;当x≥0,y≤0时,曲线x2+y2=|x|+|y|互为x2+y2=x﹣y,曲线表示以为圆心,以为半径的圆,在第四象限的部分;当x≤0,y≥0时,曲线x2+y2=|x|+|y|互为x2+y2=﹣x+y,曲线表示以为圆心,以为半径的圆,在第二象限的部分;当x≤0,y≤0时,曲线x2+y2=|x|+|y|互为x2+y2=﹣x﹣y,曲线表示以为圆心,以为半径的圆,在第三象限的部分;如图所求曲线x2+y2=|x|+|y|所围成的图形面积为: =2+π.故答案为:2+π.三、解答题(本大题共5小题,每小题12分,共60分,解答应写出文字说明.证明过程或演算步骤)19.已知A(1,﹣2),B(2,1),C(3,2),D(x,y)(1)求的坐标;(2)若A、B、C、D四点构成平行四边形ABCD,求点D的坐标.【考点】9J:平面向量的坐标运算.【分析】(1)根据向量的加减运算求出坐标即可;(2)求出向量的坐标,得到关于x,y的方程组,求出D的坐标即可.【解答】解:(1)∵,∴,(2)∵四边形ABCD为平行四边形,∴,又,∴,∴x=2,y=﹣1,即D(2,﹣1).20.已知tanα=2(1)求的值;(2)若α是第三象限角,求cosα的值.【考点】GH:同角三角函数基本关系的运用.【分析】(1)由已知利用同角三角函数基本关系式即可计算得解.(2)由已知利用同角三角函数基本关系式,结合cosα<0,可求cosα的值.【解答】解:(1)因为tanα=2,所以(2)解法1:由=tanα=2,得sinα=2cosα,又sin2α+cos2α=1,故5cos2α=1,即cos2α=,因为α是第三象限角,cosα<0,所以cosα=﹣.解法2:因为cos2α====,又因为α是第三象限角,所以cosα<0,所以cosα=﹣.21.已知直线,方程x2+y2﹣2mx﹣2y+m+3=0表示圆.(Ⅰ)求实数m的取值范围;(Ⅱ)当m=﹣2时,试判断直线l与该圆的位置关系,若相交,求出相应弦长.【考点】J9:直线与圆的位置关系.【分析】(Ⅰ)根据圆的一般式可知半径r=4m2+4﹣4(m+3)>0,可得实数m的取值范围;(Ⅱ)当m=﹣2时,可得圆的圆心为圆心为(﹣2,1),半径为r=2,利用圆心到直线的距离与半径比较可得答案,利用弦长公式l=,可得相应的弦长.【解答】解:(Ⅰ)∵方程x2+y2﹣2mx﹣2y+m+3=0表示圆,∴4m2+4﹣4(m+3)>0⇒m<﹣1或m>2.∴实数m的取值范围是{m|m<﹣1或m>2}(Ⅱ)当m=﹣2时,圆的方程可化为x2+y2+4x﹣2y+1=0,即(x+2)2+(y﹣1)2=4.∴圆心为(﹣2,1),半径为r=2则:圆心到直线的距离.∴直线与圆相交.弦长公式l==2=2.故得弦长为2.22.已知函数(其中0<ω<2),若直线是函数f(x)图象的一条对称轴.(1)求ω及f(x)的最小正周期;(2)求函数f(x)在上的单调递减区间.(3)若函数g(x)=f(x)+a在区间上的图象与x轴没有交点,求实数a的取值范围.【考点】HJ:函数y=Asin(ωx+φ)的图象变换;H2:正弦函数的图象.【分析】(1)利用正弦函数的图象的对称性求得ω,可得函数的解析式,再利用正弦函数的周期性,求得f(x)的最小正周期.(2)利用弦函数的单调性,求得函数f(x)在上的单调减区间.(3)利用正弦函数的定义域和值域,求得实数a的取值范围.【解答】解:(1)由题可知:2ω•+=kπ+,故有ω=3k+1,k∈Z,又∵0<ω<1,∴ω=1,f(x)=2sin(2x+)+1,由此可得函数的周期为T=π.(2)令+2kπ≤2x+≤+2kπ,可得+kπ≤x≤+kπ,k∈Z,∵,故函数f(x)在上的单调减区间为和.(3)令g(x)=0得g(x)=f(x)+a=0可得a=﹣1﹣2sin(2x+),在上,2x+∈[,],∴sin(2x+)∈[﹣,1],∴﹣1﹣2sin(2x+)在区间[0,]上的值域为[﹣3,0].为使函数g(x)=f(x)+a在区间上的图象与x轴没有交点,则实数a的取值范围为a<﹣3或a>0.23.已知以点为圆心的圆经过原点O,且与x轴交于点A,与y轴交于点B.(1)求证:△AOB的面积为定值.(2)设直线2x+y﹣4=0与圆C交于点M,N,若|OM|=|ON|,求圆C的方程.(3)当t>0时,在(2)的条件下,设P,Q分别是直线l:x+y+2=0和圆C上的动点,求|PB|+|PQ|的最小值及此时点P的坐标.【考点】J9:直线与圆的位置关系.【分析】(1)推导出圆的方程为x2﹣2tx+y2﹣=0.与坐标轴的交点分别为:A(2t,0),B (0,).由此能证明S=4,为定值.△OAB(2)由|OM|=|ON|,得原点O在线段MN的垂直平分线上,设线段MN的中点为H,则C,H,O 三点共线,从而求出t=±2,由此能求出圆C的方程.(3)圆心C(2,1),半径r=,点B(0,2)关于直线x+y+2=0的对称点为B′(﹣4,﹣2),则|PB|+|PQ|=|PB′|+|PQ|≥|B′Q|,由此能求出|PB|+|PQ|的最小值和点P坐标.【解答】证明:(1)由题意可得:圆的方程为:(x﹣t)2+(y﹣)2=t2+,化为:x2﹣2tx+y2﹣=0.与坐标轴的交点分别为:A(2t,0),B(0,).==4,为定值.∴S△OAB解:(2)∵|OM|=|ON|,∴原点O在线段MN的垂直平分线上,设线段MN的中点为H,则C,H,O三点共线,OC的斜率k==,∴×(﹣2)=﹣1,解得t=±2,可得圆心C(2,1),或(﹣2,﹣1).∴圆C的方程为:(x﹣2)2+(y﹣1)2=5,或(x+2)2+(y+1)2=5.(3)由(2)可知:圆心C(2,1),半径r=,点B(0,2)关于直线x+y+2=0的对称点为B′(﹣4,﹣2),则|PB|+|PQ|=|PB′|+|PQ|≥|B′Q|,又点B′到圆上点Q的最短距离为|B′C|﹣r=﹣=2,则|PB|+|PQ|的最小值为2.直线B′C的方程为:y=x,此时点P为直线B′C与直线l的交点,故所求的点P(﹣,﹣).。
2017-2018学年福建省晋江市季延中学高一下学期期末考试化学试题考试时间:90分钟满分:100分考试范围:依要求必修1专题四(15%)、必修2专题1(30%)、专题2(5%)、专题3(50%) 可能用到的原子量:H 1 C 12 O 16 Na 23Cl 35.5 K 39 Fe 56 Cu 64 Br 80一、选择题(本题共有22小题,每小题只有1个正确答案,每题2分,共44分)1.化学与科学、技术、社会、环境密切相关。
下列有关说法中不正确的是A. 煤经过气化和液化等物理变化,可变为清洁能源B. 服用铬含量超标的药用胶囊会对人体健康造成危害C. 竹炭具有超强的吸附能力,能吸附新装修房屋内的有害气体D. 采用催化转换技术将汽车尾气中的NOx和CO转化为无毒气体2.下列有关化学用语的表示正确的是( )A.碳酸氢钠的电离方程式:NaHCO3=Na++H++CO32-B.乙炔的分子结构模型示意图:C.中子数为18的氯原子结构示意图:D.Na2S的电子式:2-Na+ Na3.下列组合中不可能形成喷泉的是()A. HCl和H2OB. O2和H2OC. SO2和NaOH溶液D. CO2和NaOH溶液4.“绿色化学”是当今社会提出的一个新概念。
在“绿色化学”工艺中,理想状态是反应中原子全部转化为欲制的产物,即原子利用率为100%。
以下反应最符合绿色化学概念的是A.乙烯聚合为聚乙烯高分子材料B.甲烷与氯气制备一氯甲烷C.以铜和浓硝酸为原料生产硝酸铜D.用二氧化硅制备高纯硅5.能与SO2气体发生反应且有沉淀产生的是①NaOH溶液②H2S溶液③Ba (NO3)2酸性溶液④CaCl2和氨水的混合液A.①②③B.②③④C.全部D.①③④6.短周期元素X、Y、Z、M的原子序数依次增大,原子X的L层电子数是K层的2倍,Y2+电子层结构与氖相同,Z原子的质子数为偶数,室温下M单质为淡黄色固体,下列有关说法正确的是A. X、Y、Z、M的原子半径依次减小B. Y与M组成化合物的熔点高于X与M组成的化合物C. X、Z、M的最低价气态氢化物的热稳定性依次增强D. X的单质与Y、Z的最高价氧化物均能发生置换反应7. 鉴别淀粉、蛋白质、葡萄糖水溶液,依次可分别使用的试剂和对应的现象正确的是A.碘水,变蓝色;浓硝酸,变黄色;新制Cu(OH)2,砖红色沉淀B.浓硝酸,变黄色;新制Cu(OH)2,砖红色沉淀;碘水,变蓝色C.新制Cu(OH)2,砖红色沉淀;碘水,变蓝色;浓硝酸,变黄色D.碘水,变蓝色;新制Cu(OH)2,砖红色沉淀;浓硝酸,变黄色8.几种短周期元素的原子半径及主要化合价如下表:下列叙述正确的是()A. X、Y元素的金属性X<YB. 一定条件下,Z单质与W的常见单质直接生成ZW2C. 一定条件下,W单质可以将Z单质从其氢化物中置换出来D. Y的最高价氧化物对应的水化物能溶于稀氨水9.下列物质之间的相互关系错误的是()A.CH3CH2OH和CH3OCH3互为同分异构体B.干冰和冰为同一种物质C.CH3CH3和CH3CH2CH3互为同系物D.O2和O3互为同素异形体10.元素周期表和元素周期律对化学学习具有指导意义,下列有关叙述正确的是( )A. 铅位于周期表中金属与非金属元素交界处,可做半导体材料B. 若存在简单阴离子R2-,则R一定属于第ⅥA族元素C. S和Se属于第ⅥA族元素,H2S还原性比H2Se的强D. 元素原子最外层电子数较少的金属一定比最外层电子数较多的金属活动性强11.下列反应中前者属于取代反应,后者属于加成反应的是A. 甲烷与氯气混和后光照反应:乙烯使酸性高锰酸钾溶液褪色B. 乙烯使溴的四氯化碳溶液:苯与氢气在一定条件下反应生成环己烷C. 苯滴入浓硝酸和浓硫酸的混合液中,有油状生成:乙烯与水生成乙醇的反应D. 在苯中滴入溴水,溴水褪色;乙烯使溴水褪色12.小明上次考试化学没考好,很沮丧。
季延中学2019年春高一期末考试数学试卷一、选择题1.直线l 经过原点和点)2,2(--A ,则它的斜率为( )A .1-B .1C .11或-D .02.各棱长均为a 的三棱锥的表面积 为( )A .234aB .233aC .232aD .23a 3.已知点两点的轴上且在,点,,,,,M B A z M B A ,)131()201(-( )A .)0,0,3(-B .)0,3,0(-C .)3,0,0(-D .)3,0,0(4.在ABC ∆中,====A B b a o ,则,,452232( )A .o 30B .o 60C .o o 12060或D .o o 15030或5.在数列{}n a 中,=++==+n n n a na a a ,则,)11ln(211( ) A .n ln 2+ B .n n ln )1(2-+ C .n n ln 2+ D .n n ln 1++6.直线0234=--y x 与圆01242222=-++-+a y ax y x 总有两个不同的交点,则a 的取值范围是()A .73<<-aB .46<<-aC .37<<-aD .1921<<-a7.已知点P 是直线0843=++y x 上的动点,PA 是圆0122:22=+--+y x y x C 的切线,A 为切点,则PA 的最小值为( )A .1B .2C .2D .228.设△ABC 的c b a C B A ,,所对的边分别为,,内角,A a B c C b sin cos cos =+若,则△ABC 的形状为()A .锐角三角形B .直角三角形C .钝角三角形D .不确定9.设等差数列{}n a 中,项和为的前,则数列,n a a a a n n ⎭⎬⎫⎩⎨⎧==+1731208( ) A .23+n n B .46+n n C .463+n n D .231++n n 10.设220012y x y x y x +≥≥=+,则,,的最小值和最大值分别为( )A .1,51B .1,0C .51,0D .2,5111.若222112,y x y x y x +=+,则为正数,且的最大值是( ) A .23 B .423 C .42 D .43311.如右图,定圆半径为a ,圆心为),(c b ,则直线0=++c by ax 与直线01=-+y x 的交点在( )A .第一象限B .第二象限C .第三象限D .第四象限二、填空题13.数列{}n a 的前n 项和为12+=n S n ,则=n a .14.如右图所示,半径为R 的半圆内的阴影部分以直径AB 所在直线为轴,旋转一周得到一几何体,o BAC 30=∠,则此几何体的体积为 .15.已知n m ,是两条不重合的直线,γβα,,是三个两两不重合的平面,给出下列命题:①若βααββ//,////,则,,⊂n m n m ;②若n m n m ⊥⊂=⊥⊥,则,,γβαγβγα ,;③若ββαα////,n n m m ,则,⊥⊥;④若n m m n n //////,则,,=βαβα ;其中所有正确命题的序号是 .16.已知方程111+=+--a x x 有实数解,则a 的取值范围为 .三、解答题17.(10分)设{}n a 是公比为正数的等比数列,4,2231+==a a a .(Ⅰ)求{}n a 的通项公式;(Ⅱ)设{}n b 是首项为1,公差为2的等差数列,求数列{}n n b a +的前n 项和n S .18.的两个根,且是方程,,中,在232,2+-==∆x x b a b AC a BC ABC 1)cos(2=+B A .(Ⅰ)角C 的度数;(Ⅱ)AB 的长度.19.(12分)在棱锥BPC A -中,,,BC AC PC AP ⊥⊥的中点,为的中点,为PB D AB M.为正三角形且PMB ∆求证:(Ⅰ)APC DM 平面//;(Ⅱ)APC ABC 平面平面⊥.20.(12分)已知以点)0,(2,≠∈⎪⎭⎫ ⎝⎛t R t t t C 为圆心的圆与x 轴交于点A O ,,与y 轴交于点B O ,,其中O 为原点.(Ⅰ)求证:△ABC 的面积为定值;(Ⅱ)设直线42+-=x y 与圆C 交于点N M ,,若ON OM =,圆C 的方程.21.(13分)边上,所在直线方程为边上的高,的顶点BC y x CE AB B ABC 01632)4,3(=-+∆的中线AD 所在直线方程为0132=+-y x ,求AC 的长.22.(13分)某机床厂今年年初用98万元购进一台数控机床,并立即投入生产使用,计划第一年维修、保养费用12万元,从第二年开始,每年所需维修、保养费用比上一年增加4万元,该机床使用后,每年的总收入为50万元,设使用x 年后数控机床的盈利额为y 万元.(1)写出y与x的函数关系式;(2)从第几年开始,该机床开始盈利(盈利额为正值);(3)使用若干年后,对机床的处理方案有两种:(Ⅰ)当年平均盈利额达到最大值时,以30万元价格处理该机床;(Ⅱ)当盈利额达到最大值时,以12万元价格处理该机床.请你研究一下哪种方案处理较为合理?请说明理由.。
2017-2018学年福建省泉州市高一(下)期末数学试卷一、选择题:本大题共12小题,每小题5分,在每小题给出的四个选项中,只有一项是符合题目要求的。
1.(5分)已知向量=(1,3),=(m,1),若⊥,则m的值是()A.﹣3B.3C.D.2.(5分)有一个人在打靶中,连续射击2次,事件“至少有1次中靶”的对立事件是()A.至多有1次中靶B.2次都中靶C.2次都不中靶D.只有1次中靶3.(5分)如下茎叶图为甲、乙两位同学高一年20次数学周考成绩,甲、乙两位同学数学周考成绩标准差分别为s1,s2,则()A.s1>s2,甲成绩比乙成绩稳定B.s1>s2,乙成绩比甲成绩稳定C.s1<s2,甲成绩比乙成绩稳定D.s1<s2,乙成绩比甲成绩稳定4.(5分)已知两个不共线的向量,的夹角为120°,||=1,|2|=2,则||的值为()A.0或2B.2C.4D.35.(5分)如表给出的是变量x,y的一组观测数据(x i,y i)(i=1,2,3,4,5),则由这组数据求得的变量x、y的回归直线必过点()A.(4,5)B.(5,4)C.(4,6)D.(6,4)6.(5分)在执行如图程序框图时,依次输入77,67,80,97,50,99,90.80这8个数,则输出结果是()A.99B.80C.50D.977.(5分)已知函数f(x)=sin(2x+),要得到f(x)的图象可将函数g(x)=sin x的图象()A.向左平移个单位,横坐标伸长到原来的2倍B.向右平移个单位,横坐标缩短到原来的C.横坐标缩短到原来的,向左平移个单位D.横坐标伸长到原来的2倍,向右平移个单位8.(5分)已知甲、乙、丙各有一张自己的身份证,现把三张身份证收起来后,再随机分给甲、乙、丙每人一张,则恰有一人取到自己身份证的概率为()A.B.C.D.9.(5分)明朝中叶,我国朱载堉创造了将一个八度平均分成十二等份的音乐定律方法﹣一十二平均律,比法国梅尔塞恩于1636年发表的相似理论要早52年.按此律,两个相差八度的音频率比恰为1:2,在乐理里称为“极度完全协和”,比如男女声齐唱时,女牛比男生高八度但听起来就极为和谐.已知纯音的函数模型是y=A sin2πft (f为频率,t为时间),自然界的声音一般都是若干纯音合成的复合音.若用三个纯音合成一组“极度完全协和”的复合音F(t)=sin t+sin2t+sin4t,则F(t)的最小正周期为()A.B.πC.2πD.4π10.(5分)已知cos()+sinα=,则cos()的值为()A.B.C.D.11.(5分)已知函数f(x)=sin(ωx+)(ω>0)在()上单调,直线x=为f(x)图象的一条对称轴,则ω的最大值为()A.B.5C.D.812.(5分)对于函数f(x)=sin x+cos x﹣,给出下列四个说法:①f(x)是以π为周期的函数;②f(x)的图象关于直线x=+2kπ(k∈Z)对称;③当0<x<π时,﹣2<f(x)≤;④函数g(x)=lg|x|的图象与f(x)的图象共有8个交点.则其中所有正确说法的序号是()A.①④B.②③C.②④D.②③④二、填空题:本大题共4小题,每小题5分13.(5分)从含有24名女生的班级中,用分层抽样方法抽取女生4人和男生5人,则全班学生的总数为.14.(5分)已知函数f(x)=sin(﹣4x+),则f(x)单调增区间为.15.(5分)如图,B,C为线段AD的三等分点,分别在线段AB,CD上取点E和F,则线段AE,EF,FD能组成个三角形的三边的概率为.16.(5分)已知⊙O有一个内接三角形ABC,AB=4,AC=2,N为边BC上的动点(不与端点B,C重合),则的取值范围为.三、解答题:解答应写出文字说明,证明过程或演算步骤17.(10分)已知tan()=﹣3,求出以下各式的值:(Ⅰ)tanα;(Ⅱ)+cos()cosα.18.(12分)已知函数f(x)=2sin x•cos x﹣sin(2x+).(Ⅰ)求f(x)取得最大值时x的集合;(Ⅱ)当x∈[﹣π,π],求不等式2f(x)+1>0的解集.19.(12分)某网店开业一年,在该店有消费记录的顾客共有2000名,为举办开业周年庆,店主从中随机抽取了100名,调查他们这年在本店的消费总额(单位:元),整理得到频率分布表和频率分布直方图如下:(Ⅰ)(i)求出a的值,并将频率分布直方图补充完整;(ii)试根据频率分布直方图,估计该店所有顾客这一年在本店的消费总额.(Ⅱ)为了更精准地定位顾客群体,提高用户消费体验,店铺计划根据顾客这一年的消费总额设立VIP制度:年消费总额排名前40%的顾客,升级为VIP,条件是年消费总额达到N1元;年消费总额排名前8%的客户,升级为超级VIP,条件是年消费总额达到N2元.结合上述图表给出的信息,你认为N1,N2分别定为多少元比较合理?20.(12分)如图,曲线C:x2+y2=1与x轴正半轴相交于点A,锐角α,β的终边与出线C 分别相交于点M(),N(),质点P从N点出发,沿曲线C按逆时针方向运动,运动的角速度为2弧度/秒.(Ⅰ)求cos(α﹣β)的值;(Ⅱ)设t(单位:秒)为质点P的运动时间,并记f(t)=.请在直角坐标平面中作出函数y=f(t)(t∈[0,])的图象,并直接写出[0,]内的单调递增区间.21.(12分)已知函数f(x)=sin(ωx+φ)(ω>0,|φ|<)的相邻两个零点x1,x2满足|x1﹣x2|=π,点(,0)为f(x)的图象的对称中心;(Ⅰ)求f(x);(Ⅱ)设g(x)=f2(x)+mf(x ﹣)﹣1+.若x∈R,g(x)≤0,求m的取值范围.22.(12分)某物业公司为了自评旗下某一业务网点的服务质量,随机抽取了该网点负责的A、B两栋楼,在每栋、每层中各抽一户进行满意度测评,测评分数数据如下两表:记A栋楼测评分数样本为A,B栋楼测评分数样本为B.(Ⅰ)因有A栋楼业主反映“楼层越高,服务体验越差”,故请你求出样木A中测评分数x与楼层i的相关系数r,并回答是否可以认为业主对物业服务的满意度与所在楼层高低几乎无关(若|r|<0.25,则可认为业主对物业服务的满意度与所在楼层高低几乎无关).(结果精确到0.01)(Ⅱ)(i)试求样本A,B合并后的总样本的平均值和标准差σ;(i)物业公司规定:总样本平均值不低于80分为合格,否则不合格;在合格的基础上总样本中小于﹣2σ的数据出现的频率低于3%为优秀.请确定该网点的评定等级.以下的公式和数据可以选用:样本A的平均值=82,标准差σA==≈9,≈48,(x i)(i﹣15.5)≈﹣407样本B的平均值=77,标准差σB≈5;≈6,≈6,≈7,≈7,≈8,≈8,≈5.5;相关系数公式r=.2017-2018学年福建省泉州市高一(下)期末数学试卷参考答案与试题解析一、选择题:本大题共12小题,每小题5分,在每小题给出的四个选项中,只有一项是符合题目要求的。
2017-2018学年高一数学下学期期末复习3一、选择题1. 300tan 的值为( )A.3 B. 3-2. 已知(4,1),(1,)AB BC k ==-,若A ,B ,C 三点共线,则实数k 的值为( ) A. 4 B. 4- C. 14-D. 143.已知两个单位向量12,e e 的夹角为θ,则下列结论不正确...的是( ) A . 12e e 在方向上的投影为cos θ B . 121e e ⋅=C . 2212e e =D . 1212()()e e e e +⊥-4. 已知 D ,E ,F 分别是△ABC 的边AB ,BC ,CA 的中点,则( )A .0AD BE CF ++= B .0BD CF DF -+=C .0AD CE CF +-= D. 0BD BE FC --=5. 已知扇形的圆心角的弧度数为2,扇形的弧长为4,则扇形的面积为( ) A. 2 B. 4 C. 8 D. 166. 下列关系式中正确的是( )A. sin11cos10sin168<<B. sin11sin168cos10<<C. sin168sin11cos10<<D. sin168cos10sin11<<7. 已知sin(30)α+=,则cos(60)α-的值为( )A.12 B. 12-8. 若1,2,,a b c a b c a ===+⊥且,则向量a b 与的夹角为( ) A. 30 B. 60 C. 120 D. 1509. 已知平面上四点A ,B ,C 满足()0BC BA AC +⋅=,则△ABC 的形状是( ) A. 等腰三角形 B. 等边三角形 C. 直角三角形 D. 等腰直角三角形 10. 已知3cos()45x π+=-,且x 是第三象限角,则1tan 1tan x x +-的值为( ) A. 34-B. 43- C. 34 D. 4311. 已知函数()sin(),(,0)4f x x x R πωω=+∈>的最小正周期为π,将)(x f y =的图像向左平移||ϕ个单位长度,所得图像关于y 轴对称,则ϕ的一个值是( ) A.2π B. 83π C. 4π D. 8π12. 已知A ,B ,C 三点不在同一条直线上,O 是平面ABC 内一定点,P 是△ABC 内的一动点,若1(),[0,)2OP OA AB BC λλ-=+∈+∞,则直线AP 一定过△ABC 的( ) A. 重心 B. 垂心 C. 外心 D. 内心二、填空题13、函数2sin ()12y x π=+的最小正周期为________________________________.14、若(2,3)(4,1)a b y ==-+、,且a b ,则y =___________________________.15、要得到函数y x =的图象,只需将函数)4y x π=+的图象上所有的点的横坐标伸长为原来的_______倍(纵坐标不变),再向______平行移动_________个单位长度得到.16、在下列四个中: ①函数tan()4y x π=+的定义域是,4x x k k z ππ⎧⎫≠+∈⎨⎬⎩⎭; ②已知1sin 2α=,且[0,2]απ∈,则α的取值集合是6π⎧⎫⎨⎬⎩⎭; ③函数sin(2)sin(2)33y x x ππ=++-的最小正周期是π;④函数2cos sin y x x =+的最小值为-1.把你认为正确的的序号都填在横线上_____________________. 三、解答题 17、化简:sin 2(1tan tan )2cos 2x xx x +18、设向量(cos23,cos67)(cos68,cos22)a b ==、,()u a tb t R =+∈.试求: (1)a b ⋅ (2)u 的模的最小值.19、已知(0,)αβπ∈、,且tan tan αβ、是方程2560x x -+=的两根,试求: (1)αβ+的值 (2)cos()αβ-的值.20、已知函数1cos 2sin cos()224sin()2xx xy a x ππ+=--+的最大值是2,试确定常数a 的值.21.已知函数()sin 222f x x x =-(1)求函数)x (f 的最大值; (2) 求函数)x (f 的零点的集合。
福建省晋江市季延中学2017-2018学年高一年下学期期中考试数学试卷考试时间:120分钟 满分:150分一、选择题。
(每小题5分,共50分)1.等比数列{}n a 中,5142,16a a a a 则==( )A .4B .16C .-4D .-162.a 、b 为非零实数,a b <,则下列不等式成立的是( )A .22a b < B .11a b < C .2211ab a b< D .||||a b > 3、不等式032≥-+x x 的解为( ) A 、32≤≤-x B 、-2x 3≤≥或xC 、32<≤-xD 、-2x 3≤>或x4.点(a,b )在直线2x-y+3=0的右下方,则( )A .2a-b+3<0 B. 2a-b+3>0 C. 2a-b+3=0 D.以上都不成立 5.若x+y=0,则yx22+的最小值是( )A 、21B 、1C 、2D 、4 6、已知ABC ∆中,a=5, b = 3 , C = 1200,则sinA 的值为( )A 、1435B 、1435-C 、1433D 、1433-7.已知数列{}n a 中,3a =2,7a =1,若1{}2na 为等差数列,则公差等于( )A .41- B .12 C .41D .1618、 目标函数y x z +=2,变量y x ,满足⎪⎩⎪⎨⎧≥-+≤-≥-03002y x y x y x ,则有( )A .4,29min max ==z zB .,29max =z z 无最小值C .z z ,4min =无最大值D .z 既无最大值,也无最小值9.为测树的高度,在水平地面上选取A 、B 两点(点A 、B 及树的底部在同一直线上),从A 、B 两点分别测得树尖的仰角为30°,45°,且A 、B 两点间的距离为60m ,则树的高度为( )A. ()m 31530+B. ()m 33030+ C.()m 33015+ D. ()m 31515+10.给定函数)(x f y =的图像如下列图中,经过原点和(1,1),且对任意)1,0(∈n a ,由关系式)(1n n a f a =+得到数列{n a },满足)(*1N n a a n n ∈>+,则该函数的图像为( )二、填空题(每小题5分,共25分)11.二次函数()2y ax bx c x R =++∈的部分对应值如下表:则不等式02<++c bx ax 的解集是_______________________.12.__________012的取值范围是有两个不同正根,则方程a ax x =+- 13.等比数列{}n a 中, ____________S ,12,415105===则S S14.恒成立,对一切的0,42>≥++x ax x x 则a 的取值范围是_________ 15.把正整数按上小下大、左小右大的原则排成如图三角形数表(每行比上一行多一个数):设,i ja (i 、j ∈N*)是位于这个三角形数表中从上往下数第i 行、从左往右数第j 个数,如4,2a =8,则25,51a 为三、计算题(共75分)16(本题满分12分)(1)已知的值与的最小值,及此时求,其中y x xy 0,y 0,412>>=+x yx . (2)0))(1( x ≤-+a x x 的不等式关于,讨论x 的解.17.(本题满分12分)等比数列{}n a 中,已知142,16a a ==. (1)求数列{}n a 的通项公式及前n 项和n S . (2)记n n a b 2log =,求}1{1+n n b b 的前n 项和n T .A B C D12 34 5 6 7 8 9 10 …………………………18.(本题满分12分)已知a 、b 、c 分别是ABC ∆的三个内角A 、B 、C 所对的边 (1)若ABC ∆面积,60,2,23︒===∆A c S ABC 求a 、b 的值; (2)若B cacos <,试判断ABC ∆的形状.19.(本题满分12分)若不等式组⎪⎩⎪⎨⎧≤≥++≥+-a x y x y x 0101 (其中a>0)表示的平面区域的面积是9.(1)求a 的值(2)求的值。
福建省晋江市季延中学2017-2018学年高一数学下学期期末考试试题(含解析)练习选择题(本大题共12小题,每小题5分,共60分.在每小题给出的四个选项中,只有一项是符合题目要求的)1.已知角的终边经过点P(4,-3),则2sin+c os的值等于( )A. -B.C. -D.【答案】A【解析】【分析】根据角的终边过点,利用任意角三角函数的定义,求出和的值,然后求出的值.【详解】因为角的终边过点,所以利用三角函数的定义,求得,,故选A.【点睛】本题主要考查三角函数的定义,意在考查对基础知识掌握的熟练程度,属于简单题.2.若扇形的面积为,半径为1,则扇形的圆心角为()A. B. C. D.【答案】B【解析】设扇形的圆心角为α,则∵扇形的面积为,半径为1,∴故选B3.如果点P (sin2 θ,2cos θ)位于第三象限,那么角θ所在的象限是( )A. 第一象限B. 第二象限C. 第三象限D. 第四象限【答案】B【解析】【分析】根据所给的点在第三象限,得出出这个点的横坐标和纵坐标都小于零,得到角的正弦值大于零,余弦值都小于零,从而可得角是第二象限的角.【详解】点位于第三象限,,,是第二象限的角,故选B.【点睛】本题主要考查二倍角的正弦公式、三角函数的定义以及三角函数在象限内的符号,意在考查综合运用所学知识解决问题的能力,属于中档题.4.由x与y的观测数据求得样本平均数=5,=8.8,并且当x=8时,预测y=14.8,则由这组观测数据求得的线性回归方程可能是( )A. =x+3.8B. =2x-1.2C. =x+10.8D. =-x+11.3【答案】B【解析】【分析】设回归直线的方程为,将点与点代入回归方程即可的结果.【详解】可设回归直线的方程为,因为样本中心点在回归直线上,即在回归直线上,结合在回归直线上可得,解得,故回归方程为,故选B.【点睛】本题主要考查回归方程的性质,属于简单题. 回归直线过样本点中心是一条重要性质,利用线性回归方程可以估计总体,帮助我们分析两个变量的变化趋势.5.已知曲线C1:y=sin x,C2:y=sin (2x+),把C1上各点的横坐标变为原来的k倍,纵坐标不变,再向左平移m个单位长度为了得到曲线C2,则k,m的值可以是()A. k=2,m=B. k=2,m=C. k=,m=D. k=,m=【答案】D【解析】【分析】函数的图象变换规律,利用放缩变换可得的值,利用平移变换可得的值. 【详解】把上各点的横坐标缩短到原来的倍,纵坐标不变,可得的图象,再把得到的曲线向左平移个单位长度,得到曲线的图象,所以,故选D.【点睛】本题考查了三角函数的图象,重点考查学生对三角函数图象变换规律的理解与掌握,能否正确处理先周期变换后相位变换这种情况下图象的平移问题,反映学生对所学知识理解的深度.6.古代有计算多项式值的秦九韶算法,如图是实现该算法的程序框图.执行该程序框图,若输入的x=2,n=2,依次输入的a为2,2,5,则输出的s=()A. 7B. 12C. 17D. 34【答案】C【解析】【分析】根据已知的程序框图可得,该程序的功能是利用循环结构计算并输出变量的值,模拟程序的运行过程,可得结论.【详解】输入的,当输入的为2时,,不满足退出循环的条件;当再次输入的为2时,,不满足退出循环的条件;当输入的为5时,,满足退出循环的条件;故输出的值为,故选C.【点睛】本题主要考查程序框图的循环结构流程图,属于中档题. 解决程序框图问题时一定注意以下几点:(1) 不要混淆处理框和输入框;(2) 注意区分程序框图是条件分支结构还是循环结构;(3) 注意区分当型循环结构和直到型循环结构;(4) 处理循环结构的问题时一定要正确控制循环次数;(5) 要注意各个框的顺序,(6)在给出程序框图求解输出结果的试题中只要按照程序框图规定的运算方法逐次计算,直到达到输出条件即可.7.在三角形ABC中,点M,N满足.若,则()A. x=,y=-B. x=-,y=-C. x=,y=D. x=-,y=【答案】A【解析】【分析】首先利用向量的三角形法则,将所求用向量表示,然后利用平面向量基本定理得到的值.【详解】因为,所以得到,由平面向量基本定理,得到,故选A.【点睛】本题主要考查向量的几何运算及平面向量基本定理的应用,属于中档题.向量的运算有两种方法,一是几何运算往往结合平面几何知识和三角函数知识解答,运算法则是:(1)平行四边形法则(平行四边形的对角线分别是两向量的和与差);(2)三角形法则(两箭头间向量是差,箭头与箭尾间向量是和);二是坐标运算:建立坐标系转化为解析几何问题解答(求最值与范围问题,往往利用坐标运算比较简单).8.已知,,则()A. B. C. D.【答案】A【解析】【分析】由的范围求出的范围,根据的值,利用同角三角函数间的基本关系求出的值,原式角度变形后利用两角和与差的余弦函数公式化简,将各自的值代入计算即可得结果.【详解】,,,则,故选A.【点睛】三角函数求值有三类,(1)“给角求值”:一般所给出的角都是非特殊角,从表面上来看是很难的,但仔细观察非特殊角与特殊角总有一定关系,解题时,要利用观察得到的关系,结合公式转化为特殊角并且消除非特殊角的三角函数而得解.(2)“给值求值”:给出某些角的三角函数式的值,求另外一些角的三角函数值,解题关键在于“变角”,使其角相同或具有某种关系.(3)“给值求角”:实质是转化为“给值求值”,先求角的某一函数值,再求角的范围,确定角.9.同时具有性质:①最小正周期是;②图象关于直线对称;③在上是增函数的一个函数是()A. B. C. D.【答案】B【解析】【分析】利用正弦、余弦函数的图象和性质,逐一判断各个选项是否正确即可.【详解】函数的最小正周期为,不满足①,排除A;函数的最小正周期为,满足①,时,取得最大值,是的一条对称轴,满足②;又时,单调递增,满足③,满足题意;函数在,即时单调递减,不满足③,排除C;时,不是最值,不是的一条对称轴,不满足②,排除D,故选B.【点睛】本题主要考查三角函数的图象与性质,属于中档题.由函数可求得函数的周期为;由可得对称轴方程;由可得对称中心横坐标.10.甲、乙两人各自投一枚质地均匀的骰子,甲得的点数记为a,乙得的点数记为b,其中a,b∈{1,2,3,4,5,6},则的概率为()A. B. C. D.【答案】D【解析】【分析】试验包含的所有事件共有,其中其中满足的有种,利用古典概型概率公式可得结果.【详解】试验包含的所有事件甲、乙两人各自投一枚质地均匀的骰子,共有种结果,其中满足的有如下情形:①若,则;②若,则;③若,则;④若,则;⑤若,则;⑥若,则,总共种,的概率为,故选D.【点睛】本题主要考查古典概型概率公式的应用,属于中档题. 在解古典概型概率题时,首先求出样本空间中基本事件的总数,其次求出概率事件中含有多少个基本事件,然后根据公式求得概率.11.已知,函数在(,)上单调递减,则的取值范围是()A. (0,]B. (0,2]C. [,]D. [,]【解析】【分析】由,可得,令是减区间的子集,即可的结果.【详解】,,函数在上单调递减,周期,解得,的减区间满足:,取,得,解之得,即的取值范围是[,],故选C.【点睛】本题主要考查三角函数的单调性,属于中档题. 函数的单调区间的求法:(1) 代换法:①若,把看作是一个整体,由求得函数的减区间,求得增区间;②若,则利用诱导公式先将的符号化为正,再利用①的方法,或根据复合函数的单调性规律进行求解;(2) 图象法:画出三角函数图象,利用图象求函数的单调区间.12.已知平面上有四点O,A,B,C,向量满足:,则△ABC的周长是( )A. 3B. 9C. 3D. 6【答案】A【分析】由可得是正三角形,先利用平面向量数量积公式求出外接圆半径,再由正弦定理可得正三角形边长,从而可得结果.【详解】平面上有四点,满足,是的重心,,,即,同理可得:,即是垂心,故是正三角形,,设外接圆半径为,则,即,即,即,故周长,故选A.【点睛】本题主要考查向量垂直及平面向量数量积公式,属于中档题.平面向量数量积公式有两种形式,一是,二是,主要应用以下几个方面:(1)求向量的夹角,(此时往往用坐标形式求解);(2)求投影,在上的投影是;(3)向量垂直则;(4)求向量的模(平方后需求).二、填空题(本大题共4个小题,每小题5分,共20分)13.已知向量的夹角为60°,|,则 ____________ .【答案】12【解析】【分析】先利用平面向量数量积公式求出的数量积,然后将展开后,把代入即可的结果.【详解】,向量与的夹角为,,由此可得,故答案为12.【点睛】本题主要考查平面向量数量积公式的应用,属于中档题.平面向量数量积公式有两种形式,一是,二是,主要应用以下几个方面:(1)求向量的夹角,(此时往往用坐标形式求解);(2)求投影,在上的投影是;(3)向量垂直则;(4)求向量的模(平方后需求).14.若,则的值为_________.【答案】【解析】【分析】利用诱导公式以及同角三角函数的基本关系,将原式化为,将代入即可得结果.【详解】化简故答案为.【点睛】本题主要考查诱导公式以及同角三角函数之间的关系的应用,属于中档题. 同角三角函数之间的关系包含平方关系与商的关系,平方关系是正弦与余弦值之间的转换,商的关系是正余弦与正切之间的转换.15.已知是所在平面内一点,,现将一粒黄豆随机撒在内,则黄豆落在内的概率是.【答案】【解析】试题分析:以为邻边作平行四边形,则因为,即,所以,由此可得是边上的中线的中点,点到的距离等于到距离的,所以,由几何概型可知将一粒黄豆随机撒在内,则黄豆落在内的概率是.考点:平面向量的线性运算与几何概型.16.在中,,则的最大值为___________.【答案】【解析】【分析】设,利用余弦定理,列出关于的方程,由判别式不小于零可得结果.【详解】设,由余弦定理,,设,代入上式得,,故,当时,此时,符合题意,因此最大值为,故答案为.【点睛】本题主要考查余弦定理及特殊角的三角函数,属于简单题.对余弦定理一定要熟记两种形式:(1);(2),同时还要熟练掌握运用两种形式的条件.另外,在解与三角形、三角函数有关的问题时,还需要记住等特殊角的三角函数值,以便在解题中直接应用.三、解答题(本大题共6个小题,共70分,解答应写出文字说明、证明过程或演算步骤)17.在四边形ABCD中,=(6,1),=(x,y),=(-2,-3),且∥.(1)求x与y的关系式;(2)若⊥,求x、y的值.【答案】(1)0(2)【解析】【分析】(1)利用向量的坐标运算求出与,根据向量平行的充要条件可得结果;(2)利用向量的坐标运算求出与,根据向量垂直的充要条件列方程,结合(1)的结论可得结果. 【详解】(1)因为=++=(x+4,y-2),所以=-=(-x-4,2-y).又因为∥,=(x,y),所以x(2-y)-(-x-4)y=0,即x+2y=0.(2)由于=+=(x+6,y+1),=+=(x-2,y-3).因为⊥,所以·=0,即(x+6)(x-2)+(y+1)(y-3)=0,所以y2-2y-3=0,所以y=3或y=-1当y=3时,x=-6,当y=-1时,x=2,综上可知或【点睛】利用向量的位置关系求参数是出题的热点,主要命题方式有两个:(1)两向量平行,利用解答;(2)两向量垂直,利用解答.18.已知、、为的三内角,且其对边分别为、、,若.(1)求角的大小;(2)若,求的面积.【答案】(1);(2).【解析】【分析】(1)已知等式左边利用两角差的余弦函数公式化简,求出的值,确定出的度数,即可求出的度数;(2)利用余弦定理列出关系式,再利用完全平方公式变形,将与的值代入求出的值,再由的值,利用三角形面积公式即可求出三角形的面积.【详解】(1)∵cos B cos C-sin B sin C=,∴cos(B+C)=.∵A+B+C=π,∴cos(π-A)=.∴cos A=-.又∵0<A<π,∴A=.(2)由余弦定理,得a2=b2+c2-2bc·cos A.则(2)2=(b+c)2-2bc-2bc·cos.∴12=16-2bc-2bc·(-).∴bc=4.∴S△ABC=bc·sin A=×4×=.【点睛】本题主要考查余弦定理、特殊角的三角函数以及三角形面积公式的应用,属于中档题.对余弦定理一定要熟记两种形式:(1);(2),同时还要熟练掌握运用两种形式的条件.另外,在解与三角形、三角函数有关的问题时,还需要记住等特殊角的三角函数值,以便在解题中直接应用. 19.设函数f(x)=cos(2x+)+sin2x.(1)求函数f(x)的最小正周期;(2)求函数f(x)的最大值,并写出f(x)取最大值时x的取值;(3)设A,B,C为△ABC的三个内角,若cos B=,f ()=-,且C为锐角,求sin A. 【答案】(1)(2)(3) 3【解析】【分析】(1)利用两角和的余弦公式以及二倍角的余弦公式化简函数为,可得最大值为,最小正周期;(2)由,求得,由,求得的值,再利用,计算求得结果.【详解】(1)f(x)=cos2x cos-sin2x sin+=cos2x-sin2x+-cos2x=-sin2x.f(x)的最小正周期T==π(2)当2x=-+2kπ,即x=-+kπ(k∈Z)时,f(x)取得最大值,f(x)最大值=,(3)由f()=-,即-sin C=-,解得sin C=,又C为锐角,所以C=.由cos B=,求得sin B=.由此sin A=sin[π-(B+C)]=sin(B+C)=sin B cos C+cos B sin C=×+×=.【点睛】以三角形为载体,三角恒等变换为手段,正弦定理、余弦定理为工具,对三角函数性质及解三角形进行考查是近几年高考考查的一类热点问题,一般难度不大,但综合性较强.解答这类问题,两角和与差的正余弦公式、诱导公式以及二倍角公式,一定要熟练掌握并灵活应用,特别是二倍角公式的各种变化形式要熟记于心.20.如图所示,在平面四边形ABCD中,AD=1,CD=2,AC=.(1)求cos∠CAD的值;(2)若cos∠BAD=-,sin∠CBA=,求BC的长.【答案】(1)(2)【解析】试题分析:(1)利用题意结合余弦定理可得;(2)利用题意结合正弦定理可得:.试题解析:(I)在中,由余弦定理得(II)设在中,由正弦定理,故点睛:在解决三角形问题中,面积公式S=ab sin C=bc sin A=ac sin B最常用,因为公式中既有边又有角,容易和正弦定理、余弦定理联系起来.21.已知函数.(1)当=1时,求该函数的最大值;(2)是否存在实数,使得该函数在闭区间上的最大值为1 ?若存在,求出对应的值;若不存在,试说明理由.【答案】(1)(2)【解析】【分析】(1)当=1时,,结合三角函数的有界性可得结果;(2),,根据二次函数对称轴的位置,分类讨论,结合函数的单调性可得结果.【详解】(1)当=1时,由于,所以当时,函数的最大值为..(2),.当时,则取时,有最大值,解得,但不合题意,舍去;当时,则取时,有最大值,解得(舍去);当时,则取时,有最大值,解得,但不合题意,舍去。
高一下学期期末复习数学试题9综合卷2一、选择题1.已知2,,,,4a b c 成等比数列,则b 的值为 A .B .-C .±D .8 2.对R x ∈且0x ≠都成立的不等式是A .12x x+≥ B .12x x+≤- C .2||112x x ≥+D .1||2x x+≥3.若正项数列{}na 是首项为2,公比为10的等比数列,则数列{lg }na 是 A .公差为1的等差数列 B .公差为lg 2的等差数列 C .公比为1的等比数列 D .公比为lg 2的等比数列4.某商场今年销售笔记本电脑5000台,平均每年的销售量比上一年增加10%,若要使总销量超过30000台,则从今年起至少需要经过(参考数据:lg1.60.2041,lg1.10.0414≈≈)A 。
4年B 。
5年C 。
6年D 。
7年5.若PQ 是圆x 2+y 2=9的弦,PQ 的中点是M (1,2),则直线PQ 的方程是( ).A .x +2y -3=0B .x +2y -5=0C .2x -y +4=0D .2x -y =06.设三棱柱的侧棱垂直于底面,所有棱的长都为a ,顶点都在一个球面上,则该球的表面积为( ).A .πa 2B.73πa 2C.错误!πa 2 D .5πa 27.过点M (-2,4)作圆C :(x -2)2+(y -1)2=25的切线l ,且直线l 1:ax +3y +2a =0与l 平行,则l 1与l 间的距离是( ).A 。
错误!B 。
错误! C.错误! D.错误! 8.等差数列{na }的前n 项和记为nS ,若1062a a a++为一个确定的常数,则下列各数中可以用这个常数表示的是( ) A .6S B .11S C .12S D .13S9.若关于x 的不等式210mxmx --<的解集是(一∞,+∞),则实数m 的取值范围是( )A.(4,0)- B 。
(4,0]- C 。
[4,0]- D.[4,0)- 10.在数列}{na 中,*n N ∈,若211(n n n naa k k a a +++-=-为常数),则称}{n a 为“等差比数列".下列是对“等差比数列”的判断:①k 不可能为0;②等差数列一定是等差比数列;③等比数列一定是等差比数列;④等差比数列中可以有无数项为0.其中正确判断的个数是 ( )A .1B .2C .3D .4二、填空题11已知集合{|21,,60}A m m n n N m *==-∈<,则集合中所有元素的和为 。
福建省泉州市晋江市季延中学2017-2018学年高一下学期期中考试数学试题一、选择题:本大题共12小题,每小题5分,共60分. 1.向量,的坐标分别为(1,-1),(2,3),则a b ⋅=( ) A.5B.4C.-2D.-12.已知sin A =, 那么cos()=( ) A.-B.C.-D.3.已知角的终边经过点(3,-4),则sin +cos 的值为( ) A.-B.C. ±D. ±或± 4.已知的值( )A .一定为正数B .一定为负数C .可能为正数,也可能为负数D .不存在5.若向量,,,则( )6.要得到函数的图像,只需将函数的图像 ( )A .右移个单位 B .右移个单位 C .左移个单位 D .左移个单位 7. 已知向量,,若a ∥b ,则 m 的值为( ) A. 2或-1B. -2或1C. ±2D. ±18.平面直角坐标系中,O 为坐标原点,已知两点A(3,1),B(-1,3),若点C 满足OC OA OB αβ=+,其中,R αβ∈,且1,αβ+=则点C 的轨迹方程为( )A.32110x y +-=B. 250x y +-=C.20x y -=D. 22(1)(2)5x y -+-=a b 21A -23π21212323ααα51515151572tan,αα则为第三象限角()1,1a =()1,1b =-()1,2c =-c =.A 1322a b -+.B 1322a b -.C 3122a b -.D 3122a b -+sin y x =-cos y x =2ππ2ππ(1,2)a =2(2,)b m =9.锐角α满足π2tan(π)3cos()50tan(π)6sin(π)102αβαβ--++=+++-=和, 则cos α的值为( )A.D.1310. 若等边△ABC 边长为23,平面内一点M 满足CM →=12CB →+23OA →,则MA →·MB →=( )A .-1B . 2C .-2D .2 311.在△ABC 中,NC AN 31=,P 是BN 上的一点,若m 112+=,则实数m 的值为( )A.311B.811C.911D.51112. 已知△ABC 中,AB =AC =4,BC =43,点P 为BC 边所在直线上的一个动点,则AP →·(AB →+AC →)满足( ) A .最大值为16 B .最小值为4 C .为定值8D .与P 的位置有关二、填空题:本大题共4小题,每小题5分,共20分.13.已知||=4,||=5, 与的夹角为60°,且(k +)⊥(-2), 则k = .14.函数2πcos()13()2πsin()3x f x x +-=+的单调递减区间是________. 15.已知,与的夹角为,则在上的投影为 . 16.关于函数()cos2cos f x x x x =-,下列命题:a b a b a b a b 2a b ==a b 60︒a b +a①、若存在1x ,2x 有12πx x -=时,()()12f x f x =成立; ②、()f x 在区间ππ-,63⎡⎤⎢⎥⎣⎦上是单调递增; ③、函数()f x 的图像关于点π,012⎛⎫⎪⎝⎭成中心对称图像; ④、将函数()f x 的图像向左平移5π12个单位后将与2sin 2y x =的图像重合.其中正确的命题序号 .(注:把你认为正确的序号都填上)三、解答题:本大题共6小题,共70分解答应写出必要的文字说明或推理、验算过程. 17.(本小题满分10分) (1)已知,求的值;(2)把cos y x x =-化成sin()y A x ωϕ=+的形式,其中0,πA ϕ><.18.(本小题满分12分)已知矩形ABCD 中,,,,.(1)若,求、的值;(2)求与的夹角的余弦值.tan 2x =)(cos )sin(sin 1)cos()cos()sin(222x x x x x x ---+++--+πππππ3AB =4BC =1AB e AB=2AD e AD=12AC xe ye =+x y如图,∠AOB =π3,动点A 1,A 2与B 1,B 2分别在射线OA ,OB 上,且线段A 1A 2的长为1,线段B 1B 2的长为2,点M ,N 分别是线段A 1B 1,A 2B 2的中点.(1)用向量A 1A 2→与B 1B 2→表示向量MN →;(2)求向量MN →的模.20.(本小题满分12分)已知向量, 函数. (1)求的最大值及相应的x 值; (2)若,求的值.()x x x a cos sin ,2sin 1-+=→()x x b cos sin ,1+=→()f x a b =⋅()f x 58)(=θf πcos 224θ⎛⎫- ⎪⎝⎭求下列各式的值: (12sin124cos 122-的值;(2)已知π0,4α⎛⎫∈ ⎪⎝⎭,()0,πβ∈,且()1tan 2αβ-=,1tan 7β=-,求2αβ-的值.22.(本小题满分12分) 已知函数.(1)函数的图象关于点对称,且,求的值;(2),求实数的取值范围.2()2sin ()21,4f x x x x R π=+-∈()()h x f x t =+(,0)6π-(0,)t π∈t [,],()342x f x m ππ∈-<恒有成立m【参考答案】一、选择题1-12:DAABB CCBCC AC 二、填空题13.-10 14.5ππ(2π-,2π+)33k k 15.3 16.①③ 三、解答题 17.(1)解:, 由,得原式=, (2)5π2sin()6y x =-. 18.解:(1),,=3+4,x = 3, y = 4.(2)设与的夹角为,由,则,,与的夹角的余弦值为. 19.解:(1)MN →=MA 1→+A 1A 2→+A 2N →,MN →=MB 1→+B 1B 2→+B 2N →,两式相加,并注意到点M 、N 分别是线段A 1B 1、A 2B 2的中点,得MN →=12(A 1A 2→+B 1B 2→).(2)由已知可得向量A 1A 2→与B 1B 2→的模分别为1与2,夹角为π3,所以A 1A 2→·B 1B 2→=1,由MN →=12(A 1A 2→+B 1B 2→)得,|MN →|=14(A 1A 2→+B 1B 2→)2 =12A 1A 2→2+B 1B 2→2+2A 1A 2→·B 1B 2→=72.20. 解:(1)因为,,所以xxx x x x x x x x x x sin cos )1sin 2(sin )1sin 2(cos cos sin sin 1cos cos sin 222=++=-+++sin tan 2cos x x x ==123AB =4BC =∴BC AB AC +=1e 2e ∴θ2143BD AD BA e e =+=-5AC BD ==∴()()2212212134431697cos 552525e e e e e e AC BD AC BDθ+⋅--⋅====⨯⋅∴725(1sin2,sin cos )a x x x =+-(1,sin cos )b x x =+22()1sin2sin cos 1sin2cos2f x x x x x x =++-=+-, 当,即()时,. (2)由及得,两边平方得,即. ∴.21.解:sin123cos12cos12sin122cos 24-⋅3sin123cos12sin 24cos 24-=)sin12cos60cos12sin 602sin 24cos 24-)sin 4843448==-又∵()0,πβ∈,22.解:(Ⅰ)∵ ,∴ ,∴的图象的对称中心为ππ(,0),26Z k t k +-∈.又已知点为的图象的一个对称中心,∴ππ()23Z k t k =+∈, 而,∴或. π214x ⎛⎫=-+ ⎪⎝⎭ππ22π42x k -=+3ππ8x k =+k ∈Z ()f x 1()1sin 2cos2f θθθ=+-8()5f θ=3sin 2cos25θθ-=91sin 425θ-=16sin 425θ=ππ16cos22cos 4sin 44225θθθ⎛⎫⎛⎫-=-== ⎪ ⎪⎝⎭⎝⎭2()2sin ()211cos(2)2142f x x x x x ππ=+-=-+--()()2sin(22)3h x f x t x t π=+=+-()h x (,0)6π-()h x (0,)t π∈3t π=56π(Ⅱ)若时,, ,由,∴,解得,即的取值范围是. [,]42x ππ∈22[,]363x πππ-∈()[1,2]f x ∈()33()3f x m m f x m -<⇒-<<+3132m m -<⎧⎨+>⎩14m -<<m (1,4)-。
2017.52016级高一下学期期末数学复习卷------直线与圆的方程一、选择题 1.倾斜角为,在y 轴上的截距为1-的直线方程是( )A .01=+-y xB .01=--y xC .01=-+y xD .01=++y x 2.两直线(21)30m x y -+-=与610x my ++=垂直,则m 的值为( ) A .0 B .611 C .613 D .6013或 3.已知圆C 与直线0x y -=及40x y --=都相切,圆心在直线0x y +=上,则圆C 的方程为( )A .22(1)(1)2x y ++-=B .22(1)(1)2x y -++=C .22(1)(1)2x y -+-=D .22(1)(1)2x y +++= 4.过点(1,1)A -且与线段3230(11)x y x --=-≤≤相交的直线倾斜角的取值范围是( )A.[,]42ππB.[,)2ππC.[0,][,)42πππD.(0,][,]42πππ5.两直线032=-+k y x 和012=+-ky x 的交点在y 轴上,那么k 的值是( ) A.-24 B.6 C.±6 D.±24 6.圆22(1)(2)1x y -+-=关于直线y x =对称的圆的方程为( ) A .22(2)(1)1x y -+-= B .22(1)(2)1x y ++-= C .22(2)(1)1x y ++-= D .22(1)(2)1x y -++= 7.若直线10(0)ax by a b ++=>、过圆228210x y x y ++++=的圆心,则14a b+的最小值为( )A .8B .12C .16D .208.圆222430x y x y +++-=上到直线10x y ++=的点共有( )A .1个B .2个C .3个D .4个9.设,,a b c 分别是ABC ∆中A ,B , C 所对边的边长,则直线0sin =--∙c ay x A 与0sin sin =+∙+C y B bx 的位置关系是( )A.平行B.重合C.垂直D.相交但不垂直10.若过点(1,1)P 可作圆C :2220x y mx my ++++=的两条切线,则实数m 的取值范围是( )A .(2,)+∞B .(4,)-+∞C .(2,)-+∞D .(4,2)(2,)--+∞11.已知圆C:25)1(22=+-y x ,则过点)1,2(-P 的圆C 的所有弦中,以最长弦和最最短弦为对角线的四边形的面积是( )A. 1310B. 219C. 2310D. 11912.曲线y =与直线(1)2y k x =-+有两个交点时,实数k 的取值范围是( ) A .43≤k <1 B .314k ≤< C . 43≤k ≤1 D .43<k <1 二、填空题13.已知直线l 与直线0743=-+y x 平行,并且与两坐标轴围成的三角形的面积为6,则直线l 的方程为 .14.已知实数y x ,满足方程()x y ++=2322,则xy的最大值是 . 15.已知直线082:=+-y x l 和两点)0,2(A ,)4,2(--B ,在直线上求一点P ,使PB PA +最小,则P 点坐标是___________.16.若直线1y kx =+和圆22:1O x y +=相交于,A B 两点(其中O 为坐标原点),且60AOB ∠=,则实数k 的值为__________.三、解答题17.已知直线1l :310ax y ++=,2l :(2)0x a y a +-+=.(Ⅰ)若12l l ⊥,求实数a 的值;(2)当12//l l 时,求直线1l 与2l 之间的距离.18.已知直线l 在两坐标轴上的截距相等,且)3,4(P 到直线l 的距离为3,求直线l 的方程.19.已知过点)1,0(A 且斜率为k 的直线l 与圆C :1)3()2(22=-+-y x 相交于M 、N 两点. (1)求实数k 的取值范围; (2)求证:∙为定值; (3)若O 为坐标原点,且12=∙ON OM ,求直线l 的方程.20.已知关于y x ,的方程C :22240x y x y m +--+=.(1)若方程C 表示圆,求m 的取值范围;(2)若圆C 与圆22812360x y x y +--+=外切,求m 的值.21.已知圆M :08422=+--+m y x y x 与x 轴相切,点M 为圆心. (1)求m 的值;(2)求圆M 在y 轴上截得的弦长;(3)若点P 是直线3480x y ++=上的动点,过点P 作直线PA PB 、与圆M 相切,A B 、为切点.求四边形PAMB 面积的最小值.22.已知圆C 与直线022=-+y x 相切于点)2,2(A ,且圆心在直线x y 2-=上. (Ⅰ)求圆C 的方程;(Ⅱ)设直线)22(:+=x k y l 与圆C 相交于、A B 两点,O 是坐标原点.求AOB ∆的面积最大值,并求取得最大值时直线l 的方程.。
2017-2018学年福建省泉州市晋江市季延中学高一(下)期末数学试卷一、选择题(本大题共12小题,每小题5分,共60分)1.sin=()A.B.C. D.2.某学校有男生520人、女生480名,为了解男、女学生在学习兴趣与业余爱好方面是否存在显著差异,拟从全体学生中抽取100名学生进行调查,则宜采用的抽样方法是()A.抽签法B.随机数法 C.系统抽样法D.分层抽样法3.如图是a,b年在某大学自主招生面试环节中,七位评委为某考生打出的分数的茎叶统计图,去掉一个最高分和一个最低分后,所剩数据的平均数和方差分别为()A.83,1.5 B.84,1.5 C.85,1.6 D.86,1.64.在△ABC中,若A:B:C=1:2:3,则a:b:c等于()A.1:2:3 B.3:2:1 C.2::1 D.1::25.从1,2,3,4,5中随机取出二个不同的数,其和为奇数的概率为()A.B.C.D.6.执行如图的程序框图,如果输入的N=4,那么输出的S=()A.1+++B.1+++C.1++++D.1++++7.从装有2个红球和2个黒球的口袋内任取2个球,那么互斥而不对立的两个事件是()A.至少有一个黒球与都是红球B.至少有一个黒球与都是黒球C.至少有一个黒球与至少有1个红球D.恰有1个黒球与恰有2个黒球8.下列函数中,周期为π且在[0,]上是减函数的是()A.y=cosx B.y=cos2x C.y=sin2x D.y=﹣tan2x9.已知tan(α+β)=,tan(β﹣)=,那么tan(α+)等于()A.B.C.D.10.(重点中学做)在△ABC中,A,B,C所对的边分别为a,b,c,已知cosB=,那么△ABC是()A.等腰直角三角形B.等腰三角形C.直角三角形D.等边三角形11.在△ABC中,A=,BC=3,则AB+AC的长可表示为()A.4sin(B+)B.6sin(B+)C.4sin(B+)D.6sin(B+)12.在△ABC中,已知•=4,||=3,M、N分别是BC边上的三等分点,则•的值是()A.5 B.C.6 D.8二、填空题(每小题5分,共20分)13.已知扇形的周长为8cm,圆心角为2弧度,则该扇形的面积为cm2.14.如表提供了某厂节能降耗技术改造后在生产A产品过程中记录的产量x(吨)与相应的生产能耗y(吨)的几组对应数据:根据表格提供的数据,求出y关于x的线性回归方程为=0.7x+0.35的值为.15.已知△ABC的面积为1,在△ABC内任取一点P,则△PBC的面积小于的概率为.16.函数f(x)=3sin(2x﹣)的图象为C,如下结论中正确的是①图象C关于直线x=π对称;②图象C关于点(,0)对称;③函数即f(x)在区间(﹣,)内是增函数;④由y=3sin2x的图角向右平移个单位长度可以得到图象C.三、解答题(本大题共6小题,共70分,解答应写出文字说明、演算步骤或推证过程)17.在△ABC中,角A,B,C所对应的边分别为a,b,c.若a,b是方程x2﹣2x+2=0的两根,且2cos(A+B)=1.(1)求角C的度数;(2)求c;(3)求△ABC的面积.18.某班50位学生期中考试数学成绩的频率直方分布图如图所示,其中成绩分组区间是:[40,50),[50,60),[60,70),[70,80),[80,90),[90,100].(1)求图中x的值;(2)估计这次考试的平均分;(3)估计这次考试的中位数(精确到0.1).19.已知、、是同一平面内的三个向量,其中=(1,﹣2).(Ⅰ)若||=2,且∥,求的坐标;(Ⅱ)若||=1,且+与﹣2垂直,求与的夹角θ的余弦值.20.已知A、B、C的坐标分别为A(4,0),B(0,4),C(3cosα,3sinα).(1)若α∈(﹣π,0),且||=||,求角α的大小;(2)若⊥,求的值.21.已知函数f(x)=cos2x﹣sinxcosx+1.(1)求函数f(x)的周期,并求f(x)的单调递增区间;(2)若f(θ)=,且<θ<,求sin2θ的值.22.设函数f(x)=﹣cos2x﹣2tsinx+2t2﹣6t+2(x∈R),其中t∈R,将f(x)的最小值记为g(t).(1)求g(t)的表达式;(2)当﹣1≤t≤1时,要使关于t的方程g(t)=kt有且仅有一个实根,求实数k的取值范围.(3)问a取何值时,方程g(sinx)=a﹣5sinx在[0,2π)上有两解?2017-2018学年福建省泉州市晋江市季延中学高一(下)期末数学试卷参考答案与试题解析一、选择题(本大题共12小题,每小题5分,共60分)1.sin=()A.B.C. D.【考点】运用诱导公式化简求值.【分析】由条件利用诱导公式化简所给式子的值,可得结果.【解答】解:sin=sin(3•2π﹣)=sin(﹣)=﹣sin=﹣,故选:D.2.某学校有男生520人、女生480名,为了解男、女学生在学习兴趣与业余爱好方面是否存在显著差异,拟从全体学生中抽取100名学生进行调查,则宜采用的抽样方法是()A.抽签法B.随机数法 C.系统抽样法D.分层抽样法【考点】分层抽样方法.【分析】根据分层抽样的定义进行判断即可.【解答】解:由于男、女学生在学习兴趣与业余爱好方面可能存在显著差异,故宜采用的抽样方法是分层抽样,故选:D3.如图是a,b年在某大学自主招生面试环节中,七位评委为某考生打出的分数的茎叶统计图,去掉一个最高分和一个最低分后,所剩数据的平均数和方差分别为()A.83,1.5 B.84,1.5 C.85,1.6 D.86,1.6【考点】极差、方差与标准差;众数、中位数、平均数.【分析】由题意确定所剩数据:84、84、86、84、87,由平均数公式、方差公式分别求出即可.【解答】解:由茎叶统计图,去掉一个最高分和一个最低分后得所剩数据:84、84、86、84、87,所以所剩数据的平均数==85,方差S2==1.6,故选:C.4.在△ABC中,若A:B:C=1:2:3,则a:b:c等于()A.1:2:3 B.3:2:1 C.2::1 D.1::2【考点】正弦定理.【分析】根据三角形内角和定理,结合A:B:C=1:2:3,算出A=,B=且C=,从而得出△ABC是直角三角形.由三角函数在直角三角形中的定义算出c=2a且b=,即可得到a:b:c的值.【解答】解:∵在△ABC中,A:B:C=1:2:3,∴设A=x,则B=2x,C=3x,由A+B+C=π,可得x+2x+3x=π,解之得x=∴A=,B=且C=,可得△ABC是直角三角形∵sinA==,∴c=2a,得b==因此,a:b:c=1::2故选:D5.从1,2,3,4,5中随机取出二个不同的数,其和为奇数的概率为()A.B.C.D.【考点】等可能事件的概率.【分析】首先计算出所以基本事件总数为:C52=10,再计算出这两个数字之和为奇数的取法,进而计算出事件发生的概率.【解答】解:由题意可得:从数字1,2,3,4,5中,随机抽取2个数字共有不同的取法有:C52=10.其中这两个数字之和为奇数的取法有:(1,2),(1,4).(2,3),(2,5),(3,4),4,5),共有6种取法.所以这两个数字之和为奇数的概率为:=故选C.6.执行如图的程序框图,如果输入的N=4,那么输出的S=()A.1+++B.1+++C.1++++D.1++++【考点】程序框图.【分析】由程序中的变量、各语句的作用,结合流程图所给的顺序可知当条件满足时,用S+的值代替S得到新的S,并用k+1代替k,直到条件不能满足时输出最后算出的S值,由此即可得到本题答案.【解答】解:根据题意,可知该按以下步骤运行第一次:S=1,第二次:S=1+,第三次:S=1++,第四次:S=1+++.此时k=5时,符合k>N=4,输出S的值.∴S=1+++故选B.7.从装有2个红球和2个黒球的口袋内任取2个球,那么互斥而不对立的两个事件是()A.至少有一个黒球与都是红球B.至少有一个黒球与都是黒球C.至少有一个黒球与至少有1个红球D.恰有1个黒球与恰有2个黒球【考点】互斥事件与对立事件.【分析】互斥事件是两个事件不包括共同的事件,对立事件首先是互斥事件,再就是两个事件的和事件是全集,由此规律对四个选项逐一验证即可得到答案.【解答】解:A中的两个事件是对立事件,故不符合要求;B中的两个事件是包含关系,不是互斥事件,故不符合要求;C中的两个事件都包含一个黑球一个红球的事件,不是互斥关系;D中的两个事件是互互斥且不对立的关系,故正确.故选D8.下列函数中,周期为π且在[0,]上是减函数的是()A.y=cosx B.y=cos2x C.y=sin2x D.y=﹣tan2x【考点】函数单调性的判断与证明.【分析】根据三角函数周期的计算公式,正余弦函数的单调性及单调性的定义即可判断每个选项的正误,从而找出正确选项.【解答】解:A.y=cosx的周期为2π,∴该选项错误;B.y=cos2x的周期为π;∵;∴2x∈[0,π],且y=cosx在[0,π]上为减函数;∴y=cos2x在上是减函数;∴该选项正确;C.2x∈[0,π],且y=sinx在[0,π]上没有单调性;∴y=sin2x在上没有单调性,∴该选项错误;D.2x∈[0,π],且y=﹣tanx在[0,π]上没有单调性,∴该选项错误.故选B.9.已知tan(α+β)=,tan(β﹣)=,那么tan(α+)等于()A.B.C.D.【考点】两角和与差的正切函数.【分析】把已知的条件代入=tan[(α+β)﹣(β﹣)]=,运算求得结果.【解答】解:∵已知,∴=tan[(α+β)﹣(β﹣)]===,故选C.10.(重点中学做)在△ABC中,A,B,C所对的边分别为a,b,c,已知cosB=,那么△ABC是()A.等腰直角三角形B.等腰三角形C.直角三角形D.等边三角形【考点】三角形的形状判断.【分析】由已知利用正弦定理可得:sinC=2sinAcosB,由三角形内角和定理及三角函数恒等变换的应用化简可得sin(A﹣B)=0,利用正弦函数的图象和性质可得A=B,从而得解为等腰三角形.【解答】解:∵cosB=,∴利用正弦定理可得:sinC=2sinAcosB,∴sin(A+B)=2sinAcosB,∴sinAcosB+cosAsinB=2sinAcosB,∴sin(A﹣B)=0,∴A=B,∴△ABC为等腰三角形.故选:B.11.在△ABC 中,A=,BC=3,则AB +AC 的长可表示为( )A .4sin (B +) B .6sin (B +)C .4sin (B +) D .6sin (B +)【考点】正弦定理.【分析】由正弦定理可得:AB=2sinC=2sin (﹣B ),AC=2sinB ,利用三角函数恒等变换的应用化简即可得解.【解答】解:在△ABC 中,∵A=,BC=3,∴C=﹣B ,∴由正弦定理得: ==2,整理得:AB=2sinC=2sin(﹣B ),AC=2sinB ,∴AB +AC=2sin (﹣B )+2sinB=2×[sin (﹣B )+sinB ]=2×(cosB +sinB )=6sin (B +).故选:D .12.在△ABC 中,已知•=4,||=3,M 、N 分别是BC 边上的三等分点,则•的值是( )A .5B .C .6D .8【考点】平面向量数量积的运算.【分析】取BC 边的中点O ,由向量加法的三角形法则,把•=4转化为,再由||=3求得,则可求,把•转化为|AO |2﹣|OM |2,再由已知求得,则答案可求.【解答】解:如图,设BC 的中点为O ,由,得==,∵,∴,由此可得:,而===|AO|2﹣|OM|2,由已知,∴|AO|2﹣|OM|2=,∴=6.故选:C.二、填空题(每小题5分,共20分)13.已知扇形的周长为8cm,圆心角为2弧度,则该扇形的面积为4cm2.【考点】扇形面积公式.【分析】设出扇形的半径,求出扇形的弧长,利用周长公式,求出半径,然后求出扇形的面积.【解答】解:设扇形的半径为R,弧长为l,面积为S,圆心角为α,由于α=2弧度,可得:l=Rα=2R,由于扇形的周长为8=l+2R,所以:2R+2R=8,所以解得:R=2,扇形的弧长l=2×2=4,扇形的面积为:S=lR=×4×2=4(cm2).故答案为:4.14.如表提供了某厂节能降耗技术改造后在生产A产品过程中记录的产量x(吨)与相应的生产能耗y(吨)的几组对应数据:根据表格提供的数据,求出y关于x的线性回归方程为=0.7x+0.35的值为.【考点】线性回归方程.【分析】求得,利用样本中心点(,)在回归直线上,求得,代入平均数公式可得t 的值.【解答】解:==4.5,又样本中心点(,)在回归直线上,∴=0.7×4.5+0.35=3.5,即=3.5⇒t=3.故答案为:3.15.已知△ABC的面积为1,在△ABC内任取一点P,则△PBC的面积小于的概率为.【考点】几何概型.【分析】在三角形ABC内部取一点P,要满足得到的三角形PBC的面积是原三角形面积的,根据几何关系求解出它们的比例即可.【解答】解:记事件A={△PBC的面积大于},基本事件是三角形ABC的面积,(如图)事件A的几何度量为图中阴影部分的面积(D、E分别是三角形的边上的三等分点),∵△ADE∽△ABC,且相似比为,∴阴影部分的面积是整个三角形面积的,∴P(A)=,∴△PBC的面积小于的概率是1﹣P(A)=1﹣=.故答案为:.16.函数f(x)=3sin(2x﹣)的图象为C,如下结论中正确的是①②③①图象C关于直线x=π对称;②图象C关于点(,0)对称;③函数即f(x)在区间(﹣,)内是增函数;④由y=3sin2x的图角向右平移个单位长度可以得到图象C.【考点】函数y=Asin(ωx+φ)的图象变换;正弦函数的单调性;正弦函数的对称性.【分析】把代入求值,只要是的奇数倍,则①正确,把横坐标代入求值,只要是π的倍数,则②对;同理由x的范围求出的范围,根据正弦函数的单调区间判断③是否对,因为向右平移故把x=x﹣代入进行化简,再比较判断④是否正确.【解答】解:①、把代入得,,故①正确;②、把x=代入得,,故②正确;③、当时,求得,故③正确;④、有条件得,,故④不正确.故答案为:①②③.三、解答题(本大题共6小题,共70分,解答应写出文字说明、演算步骤或推证过程)17.在△ABC中,角A,B,C所对应的边分别为a,b,c.若a,b是方程x2﹣2x+2=0的两根,且2cos(A+B)=1.(1)求角C的度数;(2)求c;(3)求△ABC的面积.【考点】正弦定理;两角和与差的余弦函数.【分析】(1)由A+B=180﹣C及诱导公式可求C;(2)韦达定理及余弦公式可求c;(3)利用面积公式S=可求;【解答】解:(1)由2cos(A+B)=1,得2cos=1,∴cosC=﹣,又0°<C<180°,∴C=120°;(2)∵a,b是方程x2﹣2x+2=0的两根,由韦达定理,得a+b=2,ab=2,由余弦定理,得c2=a2+b2﹣2abcos120°=(a+b)2﹣ab=12﹣2=10,∴c=;(3)△ABC的面积S===.18.某班50位学生期中考试数学成绩的频率直方分布图如图所示,其中成绩分组区间是:[40,50),[50,60),[60,70),[70,80),[80,90),[90,100].(1)求图中x的值;(2)估计这次考试的平均分;(3)估计这次考试的中位数(精确到0.1).【考点】频率分布直方图.【分析】(1)由频率之和为1,即可求出x的值.(2)根据平均分的定义即求出,(3)根据中位数的定义即可求出【解答】解:(1)由30×0.006+10×0.01+10×0.054+10x=1,得x=0.018,(2)平均分的估计值为0.06×45+0.06×55+0.1×65+0.54×75+0.18×85+0.06×95=74,(3)由于0.06+0.06+0.1=0.22,0.5﹣0.22=0.28,得中位数的估计值为70+(0.28÷0.54)×10≈75.219.已知、、是同一平面内的三个向量,其中=(1,﹣2).(Ⅰ)若||=2,且∥,求的坐标;(Ⅱ)若||=1,且+与﹣2垂直,求与的夹角θ的余弦值.【考点】数量积表示两个向量的夹角;平面向量的坐标运算.【分析】(Ⅰ)设=(k,﹣2k),k为实数,再根据||==2,求得k的值,从而求得的坐标.(Ⅱ)由(+)•(﹣2)=0,以及||=,||=1,可得=3,从而求得cos<,>=的值.【解答】解:(Ⅰ)∵=(1,﹣2),且∥,∴可设=(k,﹣2k),k为实数.再根据||==2,可得k=±2,∴=(﹣2,4)或=(2,﹣4).(Ⅱ)∵+与﹣2垂直,∴(+)•(﹣2)=﹣﹣2=0.再根据||=,||=1,可得=3,∴cos<,>===,故要求的与的夹角θ的余弦值为.20.已知A、B、C的坐标分别为A(4,0),B(0,4),C(3cosα,3sinα).(1)若α∈(﹣π,0),且||=||,求角α的大小;(2)若⊥,求的值.【考点】平面向量数量积的运算;向量的模;弦切互化;二倍角的正弦;二倍角的余弦.【分析】(1)利用点的坐标求出向量的坐标,根据向量模的平方等于向量的平方得到三角函数的关系,据角的范围求出角.(2)利用向量垂直的充要条件列出方程利用三角函数的二倍角公式、切化弦公式化简三角函数,利用三角函数的平方关系求出值.【解答】解:(1),,∵∴25﹣24cosα=25﹣24sinα∴sinα=cosα又α∈(﹣π,0),∴α=.(2)∵∴即(3cosα﹣4)×3cosα+3sinα×(3sinα﹣4)=0解得所以1+2∴故==2sinαcosα=21.已知函数f(x)=cos2x﹣sinxcosx+1.(1)求函数f(x)的周期,并求f(x)的单调递增区间;(2)若f(θ)=,且<θ<,求sin2θ的值.【考点】三角函数中的恒等变换应用;正弦函数的图象.【分析】(1)运用二倍角的正弦和余弦公式,及两角和的余弦公式,化简函数f(x),再由正弦函数的周期和单调增区间,解不等式即可得到;(2)f(θ)=,求出cos(2θ+)=﹣,结合θ的范围及同角三角函数的基本关系,求出sin(2θ+)=﹣,通过sin2θ=sin(2θ+﹣),利用两角差的正弦函数求解即可.【解答】解:(1)f(x)=cos2x﹣sinxcosx+1,=cos2x+﹣sin2x+1,=cos(2x+)+.…f(x)的最小正周期T==π﹣﹣﹣﹣﹣﹣﹣…由2kπ+π≤2x+≤2kπ+2π,解得:kπ+≤x≤kπ+,(k∈Z).∴函数f(x)的单调递增区间:[kπ+,kπ+](k∈Z).…(Ⅱ)由f(θ)=,得cos(2θ+)+=,cos(2θ+)=﹣.…又θ∈(,),∴2θ+∈(π,),sin(2θ+)==﹣.…故sin2θ=sin(2θ+﹣)=sin(2θ+)﹣cos(2θ+),=,∴sin2θ=.…22.设函数f(x)=﹣cos2x﹣2tsinx+2t2﹣6t+2(x∈R),其中t∈R,将f(x)的最小值记为g(t).(1)求g(t)的表达式;(2)当﹣1≤t≤1时,要使关于t的方程g(t)=kt有且仅有一个实根,求实数k的取值范围.(3)问a取何值时,方程g(sinx)=a﹣5sinx在[0,2π)上有两解?【考点】三角函数的最值;三角函数中的恒等变换应用.【分析】(1)利用同角三角函数的基本关系,求得g(t)的表达式.(2)令t=sinx∈[﹣1,1],再利用二次函数的性质,求得g(t)=kt有且仅有一个实根时实数k的取值范围.(3)令u=sinθ,u∈[﹣1,1],则由题意可得g(u)=u2﹣6u+1=a﹣5u 有2个解,再利用二次函数的性质求得a的范围.【解答】解:(1)由已知有:f(x)=﹣cos2x﹣2t•sinx+2t2﹣6t+2=sin2x﹣2tsinx+2t2﹣6t+1=(sinx﹣t)2+t2﹣6t+1,由于x∈R,∴﹣1≤sinx≤1,∴当t<﹣1时,则当sinx=﹣1时,;当﹣1≤t≤1时,则当sinx=t时,;当t>1时,则当sinx=1时,;综上,.(2)当﹣1≤t≤1时,g(t)=t2﹣6t+1,方程g(t)=kt,即:t2﹣6t+1=kt,即方程t2﹣(k+6)t+1=0在区间[﹣1,1]有且仅有一个实根,令q(t)=t2﹣(k+6)t+1,则有:q(﹣1)q(1)≤0,得(k+8)(k+4)≥0,求得k∈(﹣∞,﹣8]∪[﹣4,+∞).(3)令u=sinθ,u∈[﹣1,1],则由题意可得g(u)=u2﹣6u+1=a﹣5u,即关于u的方程u2﹣u+1=a 有2个根.根据函数y=u2﹣u+1的图象的对称轴为x=时,y=,且当x=1时,y=1;当x=﹣1时,y=3,∴,或1<a<3.2018年9月5日。