全系列徕卡相机编号查询(1923年
- 格式:doc
- 大小:17.78 KB
- 文档页数:32
禄来双反相机型号、生产年号、机身号码一览表型号上市年份中止年份制造开始号制造中止号POLLEIFLEXOriginalOriginal F3.8/F4.5 1928 1932 1 199999StandardStandard Type 1/Type2 1932 1934 200000 567550 Standard Type3 1934 1938 200000 567550F2.82.8 A Type 1 1949 1951 1101000 11399992.8 A Type 2 1951 1951 1201000 12039992.8 B 1952 1953 1204000 12599992.8 C 1953 1955 1260000 14574052.8 D 1955 1956 1600000 16201002.8 E 1956 1959 1621000 16649992.8 E2 1959 1960 2350000 23569992.8 E3 1962 1965 2360000 23620242.8 F 1960 1981 2400000 24518502.8 F Type 2 1966 1976 2451851 24799992.8 F Type 3 1969 1976 2600000 27999992.8 F Type 4 1976 1980 2900000 29599992.8 F Aurum 1982 7570001 75712492.8 F Aurum 1983 8300000 83014992.8 F Platin 1984 1990 2985000 29854992.8 F Aurum Platin 1989 1990 2986500 29865992.8 GX 1987 29855002.8 GX Edition 1989 1991 5010000 50179992.8 GX Newton 1992 1993 6030000 8036999 ROLLEI MAGICSMagic I 1960 1962 2500000 2534999Magic II 1962 1968 2535000 2547597F3.5Automat Type 1/Type 2 1937 1939 568516 805000 Automat Type 3 1939 1945 805000 1050000 Standard Neu 1939 1941 805000 927999Automat Type 4 1945 1949 1050000 1099999 Automat Model X 1949 1951 1000000 1168000 Automat MX(V) 1951 1954 1200000 14279993.5 MX-EVS Type 1 1954 1955 1428000 14799993.5 MX-EVS Type 2 1955 1956 1479000 17399993.5 E(with Lightmeter) 1956 1959 1740000 1787849 3.6 E(without Lightmeter) 1956 1959 1850000 1869999 3.5 E2 1959 1961 1870000 18729993.5 E3 1961 1965 2380000 2385050T Type 1 1958 1966 2100000 2199999T Type 2 1966 1970 2220000 2313999T Type 3 1971 1976 2314000 23203003.5 F Type 1 1958 1960 2200000 22299993.5 F Type 2 1960 1960 2230000 22415003.5 F Type 3 1960 1964 2250000 28150503.5 F Type 4 1965 1976 2800000 28449993.5 F Type 5 1979 1979 2845000 28571493.5 F Type 5 1979 1979 3555000 3559999Tele & Wide-AngleTele 1959 1975 2300000 2304999Tele 1970 1975 2305000 2308400Wide Angle 1961 1967 2490000 2493999ROLLEICORD1(Art Deco) 1933 1936 1460000 1760000I 1934 1936 1590000 1759999la Type 1 1936 1937 1760000 1947000II Type 1 1936 1938 1758000 1973999la Type 2 1937 1938 1945000 2183000II Type 2 1937 1938 1966000 2124000la Type 3 1938 1947 611000 1042999II Type 3 1938 1939 612000 888999II Type 4 1939 1949 859000 1006999II Type 5 1949 1950 1007000 1134999III 1950 1953 1137000 1344050IV 1953 1954 1344051 1390999V 1954 1957 1500000 1583999Va Type 1 1957 1958 1584000 1599999Va Type 2 1958 1961 1906000 1943999Vb Type 1 1962 1967 2600000 2649999Vb Type 2 1968 1975 2650000 2665999ROLLEIFLEX 4X4Baby Rolleiflex 3.8/2.8 1931 1933 125000 145100 Black Baby Rolleiflex 1933 1938 150000 524999 Baby Rolleiflex(Sports) 1938 1941 622000 734999Grey Baby Rollei 1957 1959 2000001 2069999Black Baby Rollei 1963 1968 2065000 2069999影友关秀峰:西德“禄来弗来”双反相机介绍禄来系列双镜头反光相机,在四五十年代乃至七十年代初,曾风靡世界一时.在五六十年代,曾经是专业的象征.当时能背着“禄来”双反在街上走的人,不是专业摄影记者,就是公安人员,对价格昂贵的“禄来”平民百姓,爱好者只能“望机兴叹”.禄来厂生产的多种双反相机,其中禄来康特[即Rollekonter], 禄来可得[Rolleicord]是作为普及简易型供应市场,但也具备了相当水准的机械及光学素质.而禄来弗来克斯[Rolleiflex]的市场定位是高级专业型,追求的是“百年有形”一直按照高级专业水准而设计制造。
永远的徕卡!历代徕卡M系相机经典赏析相机之家日期: 2011-8-10 类型: 转载作者: --2003年1月,历时18年的徕卡M6停产。
2月下旬,徕卡开始销售最后999台机身刻有“1984~2002”字样的M6,自此,具有里程碑意义的徕卡M6终老乡梓。
消息一经传出,立时引发了世界各地许多摄影家、徕卡的研究者和爱好者的叹惋。
徕卡的历程就是平视取景相机制造史的历程,就是现代报道摄影的历程。
作为第一代真正成功的35mm相机的活水源头,90年来,徕卡历经了水与火的试炼,经历了动乱、饥荒、天灾、战祸,经历了强暴与铁血、探险与牺牲。
徕卡乌黑通透的镜头去蔽、无遮、澄明、碧亮,它截留并坐实了社会历史、文化人类、宇宙之大、昆虫之微,它凝聚了几代人心灵的悸动和他们聚散随风、游弋飘飞的心绪。
徕卡创造了奇迹的同时也摆脱了奇迹——它所定格的胶片令全球数以亿计的庸常平凡的人群走入了历史。
1913年,由奥斯卡.巴纳克博士研制的世界上第一台具有“塔基”性质的135相机——42mm F 4.5镜头、1/40秒速度的原型徕卡,现如今以年200万马克的保险额存放在徕卡相机博物馆。
每年,都有许多人前往参观,并在它面前脱帽致敬——这台原型徕卡所涵藏的技术美学和工艺产品中所饱浸的人文精神,令每一位参观者心中杂糅交汇着一种崇敬的心绪。
1925年,徕卡推出了没有测距装置的徕卡Ⅰ型。
7年后徕卡Ⅱ型实现了“联动测距”。
事实上,徕卡Ⅱ型的最重要意义在于可更换镜头的L39螺纹卡口,如同格林威治时间一样,直至今天,它仍是全球公认的一个标准。
徕卡ⅢC型出现于1940年。
它的机械性能经过了多项改良,其联动测距系统也更趋完善。
它的镜头卡座不是用螺钉拧在机身前脸上的,而是一体铸造,这样它就可以承载更长更重的镜头了。
从1940年到20世纪50年代这一期间,徕卡ⅢC是最好的135相机。
在第二次世界大战的战场上,共同珍爱徕卡相机的巴顿将军和“沙漠之狐”隆美尔各自立于战车,用这玲珑就手的器物向对方的阵地拍摄。
“我们没有发明相机,但我们发明了摄影。
”关于徕卡百年历史上的那些事⼉,连载第⼆篇由徕友汤⽶为⼤家编辑整理1954:设有插⼑式卡⼝接环和⾼放⼤率的测距取景器的LEICA M3推出,⽽应⽤新的快速过⽚杆亦令胶⽚过⽚变得格外轻易。
1957:Leica推出最后⼀部螺丝接环相机LEICA IIIg随着M接环的⾯世,为螺丝接环相机划上完美的句号。
原版Leica 0奥斯卡·巴纳克125周年诞⾠限量纪念机复刻Leica 0 SerieLeica早期螺丝接环相机型号汇总进⼊20世纪50年代,也来到了世界相机⼯业发展的⽕红年代,领导市场多年的徕卡也随即回应,于1954年推出⾸部采⽤插⼑式接环的Range Finder相机,更取名为“M3”,“M”就是德语“Messucher”的缩写,此字解作“Range Finder”,即这种联动测距取景式相机。
显⽽易见,徕卡也对这种系统相机抱很⼤的决⼼,为了确⽴了它的市场地位,当中不能忽视的要素就是保持徕卡⼀贯的精准机械、光学和⽣产技术,令这种以取景器连动镜头的测距对焦⽅式,传承⾄今⽇,甚⾄经历电⼦化、电脑化的时代,到今⽇最新的M10,这种设计仍然能融⼊其中,成为众多摄影师⼿上的创作利器。
这种对精确度的丝毫不妥协和对相机系统的传承坚持,恰如艺术家对创作的执著。
只有这样,才能保持优势。
事实证明,M系带动了徕卡进⼊新的纪元,⽽且带来了更多相机设计的变化。
以下会为⼤家介绍多部徕卡在过去50多年部分曾出产过的M系相机。
LEICA M3 (1954-1966)LEICA M3银⾊版本LEICA M3⿊漆版本早期海报装有联动测光表的M3LEICA M3,是LEICA的第⼀台M型照相机。
是的,它不是M1也不是M2,M机型的⿐祖是M3。
⾄于为什么取名M3有两个说法:1. M3 的取景器有 3 种线框(50mm、90mm、135mm),因此叫 M3。
2. M3 是在 Leica iiif 机型的基础上更换 M 卡⼝和新式联动测距装置⽽来,因此叫 M3,意思是带有 M 卡⼝的 iii 型相机。
国外照相机年表(上)年代名称国别生产厂家1824 法国人聂普斯(J.Nicephore Niepce 1765-1833)发明日光胶版法1839 法国人达盖尔(Louis Jacques Mande Daguerre 1787-1851)发明银版照相法1840 制成世界第一台照相机德国1841 英国人塔尔博特(W.H.Fox Talbot)发明湿式负性磺化银相纸照相法1888 柯达(Kodak)照相机(世界第一台使用胶卷的照相机) 美国柯达1898 柯达折叠袖珍照相机美国柯达1900 布劳尼(Brownin)照相机美国柯达1911 米尼姆·艾迪(Minimum Ider)照相机(木制包革、使用干板)日本小西六 1912 127幅柯达小型(Vest Pocket Kodak)照相机美国柯达1913 原型莱卡(Ur-Leica)照相机(世界上第一台使用电影胶片的小型照相机) 德国莱茨 1916 柯达(Kodak)测距器联动照相机美国柯达1923 莱卡(Leica)原型Ⅰ、原型Ⅱ照相机德国莱茨1925 贝尔莱特(Pearlett)照相机日本小西六莱卡(Leica)Ⅰ型照相机德国莱茨1926 艾迪(Idea)Ⅰ型照相机(画幅3.25×4.25英寸) 日本小西六瑞考达(Record)照相机(拍摄35毫米照片12张) 日本小西六尼得列弗莱克斯(Needleflex)照相机日本小西六柯达(Kodak)系列Ⅲ小型照相机(普及型和专业型) 美国柯达莱卡(Leica)B型照相机(装备康搬快门) 西德莱茨1927 艾迪(Idea)Ⅰ型照相机(画幅2.5×3.5英寸) 日本小西六贝尔(Pearl)2型120照相机日本小西六1928 “中岛式三色暗箱”照相机日本小西六尼得列弗莱克斯(Needleflex)照相机(画幅2.5×3.5英寸) 日本小西六比利(Billy)照相机德国阿克发1929 贝尔(Pearl)改进型照相机日本小西六罗莱弗莱克斯(Rolleiflex)照相机德国罗莱贝尔莱特(Peaarlett)改进型照相机日本小西六尼得列弗莱克斯(Needleflex)照相机(画幅6.5×4.75英寸) 日本小西六1930 丽利(Lily)照相机日本小西六莱卡(Leica)C型照相机德国莱茨尼福卡-埃它(Nifcal-ETTE)照相机日本日德照相机商店(美能达前身)1931 樱花照相机(127型) 日本小西六爱卡迪(Arcadia)照相机日本美能达依康它(Ikonta)127半幅相机德国蔡司莱卡标准(Leica standard)照相机德国莱茨1932 莱卡Ⅱ(Leica Ⅱ)照相机德国莱茨艾迪弹折式照相机日本小西六康太克斯(Contax)照相机德国蔡司依康它(Ikonta)20型照相机德国蔡司罗莱自动(Rollei automat)照相机德国罗莱艾迪弗莱克斯(Ideaflex)照相机日本小西六1933 贝尔(Pearl)昭和八年型照相机日本小西六艾迪(Idea)昭和八年型照相机日本小西六美能达新闻(Minolta Press)照相机日本美能达半幅美能达(Semi.Minolta)照相机日本美能达贝尔莱特(Pearlett)昭和八年型照相机日本小西六超级依康它(Super Ikonta)照相机(画幅3.25×2.25 4英寸) 德国蔡司莱卡Ⅲ(Leica Ⅲ)照相机德国莱茨罗莱考德(Rollie code)照相机(装备天赛f/4.5镜头) 德国罗莱1934 新型丽利(Lily)照相机日本小西六宝贝贝尔(Baby Pearl)照相机日本小西六美能达127(Minolta Vest)照相机日本美能达莱卡(Leica)250照相机德国莱茨柯达列奇纳(Kodak Lethina)照相机德国柯达费得(ФЗД)照相机(仿莱卡) 苏联费得1935 127贝尔(Vest Pearl)照相机日本小西六自动美能达(Auto Minolta)照相机日本美能达观音(Kwanon)35毫米照相机日本佳能康太弗莱克斯(Contaflex)双镜头反光照相机(f/1.5镜头) 德国蔡司超型依康它(Super Ikonta)照相机(6×6厘米画幅) 德国蔡司美能达六(Minolta Six)照相机日本美能达莱卡Ⅲa(LaicaⅢa)照相机(快门速度1/1000秒) 德国莱茨1936 奥林帕斯Ⅰ(Olympus Ⅰ)照相机(机身德国制) 日本奥林帕斯克罗姆康太克斯(Chrome Contax)照相机德国蔡司1937 高级宝贝贝尔(Baby Pearl)照相机日本小西六自动半幅美能达(Auto Semi-Minolta)照相机日本美能达自动新闻美能达(Auto Press Minolta)照相机日本美能达美能达弗莱克斯(Minoltaflex)照相机日本美能达奥林帕斯(Olympus)Ⅱ型照相机日本奥林帕斯1938 超级柯达六20(Super Kodak Six-20)照相机(装有光电曝光表,快门速度1/1000秒)美国柯达莱卡Ⅲb(LeicaⅢb)照相机西德莱茨米诺克斯(Minox)超小型照相机西德米诺克斯1939 玛米亚Ⅰ(Mamiya Six Ⅰ)照相机日本玛米亚美能达弗莱克斯自动(Minolta flexatutomat)照相机日本美能达斯缅纳(Смена)照相机苏联列宁光机1940 莱卡Ⅲc(LeicaⅢc)照相机西德莱茨莱卡Ⅲd(LeicaⅢd)照相机西德莱茨1941 玛米亚六Ⅲ(Mamiya SixⅢ)照相机日本玛米亚埃克特拉(Ektra)照相机(世界第一架使用防反光镀膜镜头) 美国柯达1942 高速度柯达照相机(每秒2000画格) 美国柯达1946 佳能(Canon)J照相机日本佳能佳能(Canon)SⅡ照相机日本佳能莫斯科(Москва)照相机苏联克拉斯诺果尔斯克1947 美能达(Minolta)35照相机日本美能达基辅(Киев)照相机苏联阿尔谢纳尔宝丽来-兰德(Polaroid-Lard)拍立得照相机美国宝丽来1948 柯尼卡(Konica)Ⅰ照相机日本小西六富士卡六A(Fujica Six A)照相机日本富士哈萨布莱德(Hasselbland)1600F照相机(6×6单镜头反光照相机) 瑞典哈萨布莱德尼康Ⅰ(Nikon Ⅰ)照相机日本日本光学柯尼卡Ⅳ(Konica Ⅳ)照相机日本小西六奥林帕斯35Ⅰ(Olympus 35Ⅰ)照相机日本奥林帕斯莱卡(Leica)ⅡC照相机西德莱茨米尼昂(Minion)35照相机日本东京光学1949 贝尔1(Pearl 1)35毫米照相机日本小西六佳能ⅡB(Canon ⅡB)照相机日本佳能玛米亚(Mamiya)35照相机日本玛米亚玛米亚弗莱克斯自动A(Mamiyaflexautomat A)照相机日本玛米亚富士卡ⅠC(Fujica Six ⅠC)照相机日本富士美能达梅莫(Minolta memo)照相机日本美能达莱卡ⅠC(LeicaⅠC)照相机西德莱茨1950 理光弗莱克斯(Riconflex)Ⅲ型照相机日本理光珍珠A照相机日本小西六日出照相机日本小西六美能达弗莱克斯(Minoltaflex)Ⅱ型照相机日本美能达玛米亚16超级(Mamiya 16 Super)照相机日本玛米亚贝尔ⅠRS照相机日本小西六贝尔Ⅱ35毫米照相机日本小西六莱卡Ⅲf(Leica Ⅲf)照相机西德莱茨1951 柯尼卡(Konica)Ⅱ照相机日本小西六莱卡Ⅱf(Leica Ⅱf)照相机西德莱茨“现实主义者”立体(Stereo Realist)照相机美国1952 旭弗莱克斯(Asahiflex)照相机日本旭光学富士卡六Ⅱc(Fujica Six Ⅱc)照相机日本富士奥林帕斯六(Olympus Six)照相机日本奥林帕斯柯尼弗莱克斯(Koniflex)照相机日本小西六莱卡Ⅰf(Leica Ⅰf)照相机西德莱茨索利涅特(Solinette)小型照相机西德阿克发1953 柯尼列特(Konilet)照相机日本小西六佳能ⅣSb(Canon ⅣSb)照相机日本佳能理光弗莱克斯(Riconflex)Ⅶ照相机日本理光罗拉弗莱克斯(Roll flex)照相机日本东京光学康太弗莱克斯(Contaflex)单镜头反光照相机(装镜间快门) 西德蔡司1954 富士卡弗莱克斯(Fujica-flex)自动照相机日本富士奥林帕斯Ⅳ(Olympus 35Ⅳ)照相机日本奥林帕斯旭弗莱克斯ⅡB(Asahiflex ⅡB)照相机日本旭光学尼康S2(Nikon S2)照相机日本日本光学雅西卡弗莱克斯(Yashicaflex)照相机日本雅西卡莱卡M3(Leica M3)照相机西德莱茨1955 贝尔ⅡB(Peal ⅡB)照相机日本小西六美能达A(Minolta A)照相机日本美能达柯尼卡ⅡB(Konika ⅡB)照相机日本小西六浦利莫弗莱克斯(Primoflex)照相机日本东京光学柯尼卡弗莱克斯(Koniflex)照相机日本小西六奥林帕斯广角(Olympus Wide)照相机日本奥林帕斯玛米亚六自动(Mamiya six automat)照相机日本玛米亚费得(ФЗД)2型照相机苏联费得1956 柯尼卡ⅡA(Konica ⅡA)照相机日本小西六理光弗莱克斯迪阿B(Riconflexdear B)照相机日本理光托普康35S(Topcon 35S)照相机日本东京光学玛米亚弗莱克斯C专业(Mamiya Flex C professional)照相机日本玛米亚莱卡MP(Leica MP)照相机西德莱茨1957 美能达自动广角(Minolta auto wide)照相机日本美能达美能达超A(Minolta Super A)照相机日本美能达贝尔(Peal)ⅢL照相机日本小西六美能达16(Minolta 16)照相机日本美能达佳能VTD(Canon VTD)照相机日本佳能富士缩微复制D-1照相机日本富士富士卡35M(Fujica 35M)照相机日本富士尼康SP(Nikon SP)照相机日本日本光学富士卡35ML(Fujica 35ML)照相机日本富士卡米克斯-列弗莱克斯(Camex-Reflex)8毫米单镜头反光照相机法国卡米克斯保列克斯(Bolex)16毫米单镜头反光照相机瑞士保列克斯莱卡Ⅲg(Laica Ⅲg)照相机西德莱茨佳能NSb(Canon NSb)照相机日本佳能1958 旭潘太克斯K(Asahi Pentax K)照相机日本旭光学贝尔Ⅳ(Peal Ⅳ) 日本小西六雅西卡(Yashica)44照相机日本雅西卡莱卡M2(Leica M2)照相机西德莱茨1959 柯尼卡ⅢM(Konica ⅢM)照相机日本小西六玛米亚斯凯奇(Mamiya Sketch)照相机日本玛米亚富士卡Y16(Fujica Y16)照相机日本富士尼康F(Nikon F)35毫米单镜头反光照相机日本日本光学柯尼卡S(Konica S)照相机日本小西六柯尼卡变焦8(Konica Zoom 8)照相机日本小西六富士卡35SE(Fujica 35SE)照相机日本富士莱卡Ml(Laica Ml)照相机西德莱茨奥帕蒂玛(Optima)全自动照相机西德阿克发安毕弗莱克斯(Ambiflex)变焦反光照相机西德阿克发1960 尼康列克斯35(Nikolex 35)照相机日本日本光学美能达尤尼奥玛特(Minolta uniomat)照相机日本美能达雅西卡快速装片(Yashica rapid)照相机日本雅西卡奥林帕斯AE(Olympus Auto-eye)照相机日本奥林帕斯宝丽来-兰德120(Polaroid Rand 120)照相机日本雅西卡美能达V2(Minolta V2)照相机日本美能达美能达V3(Minolta V3)照相机日本美能达密兰达自动(Miranda Automex)照相机日本密兰达柯尼卡J.FS(Konica J.FS)照相机日本小西六托普康叶片反光镜(Topcon wing mirror)照相机日本东京光学柯达(Kodak)发条输片35毫米照相机美国柯达潘太克斯(Pantax)TTL测光式单镜头反光照相机(世界第一台TTL测光单反照相机) 日本旭光学 1961 旭潘太克斯S3(Asahi Pentax S3)照相机日本旭光学富士佩特EE(Fujipet EE)66照相机(6×6厘米画幅) 日本富士玛米亚自动35EEF(Mamiya automatic 35EEF)照相机日本玛米亚理光自动(Ricon auto 35)照相机日本理光柯尼卡SⅡ(Konica SⅡ)照相机日本小西六奥林帕斯兰幅EE(Olympus pen EE)照相机日本奥林帕斯富士卡35EE(Fujica 35EE)照相机日本富士理光自动35Ⅴ(Ricon Auto 35Ⅴ)照相机日本理光富士卡35自动M(Fujica 35 Auto M)照相机日本富士佳能涅特AE(Canonet AE)照相机日本佳能1962 奥林帕斯半幅EES(Olympus pen EES)照相机日本奥林帕斯美能达SR-7(Minolta SR-7)照相机日本美能达柯尼卡FP(Konica FP)照相机日本柯尼卡雅西卡潘它J-3(Yashica Penta J-3)照相机日本雅西卡尼康列克斯变焦35(Nikolex Zoom 35)照相机日本日本光学赛莱克它(Selecta)照相机西德阿克发1963 柯尼卡EE(Konica EE matic)照相机日本小西六柯尼卡S(Konica auto S)照相机日本小西六奥林帕斯半幅F(Olympus pen F)照相机日本奥林帕斯佳能半幅(Canon demi)照相机日本佳能托普康RD超级(Topcon RE super)照相机日本东京光学柯尼卡克斯EXB5(Konifax EXB5)照相机日本小西六尼康诺斯(Nikonos)照相机日本日本光学佳能刻度盘35(Canon dial 35)照相机日本佳能富士卡半幅(Fujica half)照相机日本富士富士卡驱动输片(Fujica drive)照相机日本富士柯尼卡SⅢ(Konica SⅢ)照相机日本小西六宝丽来(Polaroid)彩色拍立得照相机美国拍立得柯达插盒式装片(Kodak instamatic)照相机美国柯达赛莱克它弗莱克斯(Selectaflex)照相机西德阿克发佳能AF(Canon AF)照相机日本佳能1964 柯尼卡FP(Konica FP)照相机日本小西六理光自动拍摄(Ricon Autoshot)照相机日本理光柯尼卡阿依(Konica eye)照相机日本小西六旭潘太克斯体育SP(Asahi Pentax Sportsmatic)照相机日本旭光学理光快速装片半幅(Ricon Rapidhalf)照相机日本理光柯尼卡FM(Konica FM)照相机日本小西六富士卡V2(Fujica V2)照相机日本富士理光35K快速装片(Ricon 35K Rapid)照相机日本理光托普康尤尼(Topcon Uni)照相机日本东京光学柯尼卡自动S2(Konica Auto S2)照相机日本小西六1965 佳能涅克斯AE(Canonex AE)单镜头反光照相机日本佳能佳能佩利克斯(Canonpelex)照相机日本佳能佳能涅特QL17(Canonet QL17)照相机日本佳能美能达自动软线(Minolta Auto Cord)照相机日本美能达佳能半幅C(Canon demi C)照相机日本佳能美能达24快速装片(Minolta 24 Rapid)照相机日本美能达雅西卡电子半幅(Yashica Electro half)照相机日本雅西卡富士卡快速装片S(Fujica Rapid S)照相机日本富士富士卡快速装片S2(Fujica Rapid S2)照相机日本富士莱卡弗莱克斯(Leicaflex)35毫米单镜头反光照相机西德莱茨奥林帕斯半幅EM(Olympus pen EM)照相机日本奥林帕斯雅西卡EE快速装片F1.7(Yashica EE Rapid F1.7)照相机日本雅西卡雅西卡林克斯14F1.4(Yashica lynx 14F1.4)照相机日本雅西卡奥林帕斯35LE(Olympus 35 LE)照相机日本奥林帕斯柯尼卡EE S(Konica EE-matic S)照相机日本小西六雅西卡阿特伦(Yashica Atron)照相机日本雅西卡雅西卡半幅F1.4(Yashica half F1.4)照相机日本雅西卡柯尼卡自动反光(Konica Autolex)照相机日本小西六莱卡MD(Leica MD)照相机西德莱茨1966 柯尼卡自动反光P(Konica Autolex P)照相机日本小西六美能达SRT101(Minolta SRT 101) 日本美能达柯尼斯考普自动P(Koniscop Auto P)照相机日本小西六吉士顿反光K1020(Key-stone Reflex K1020)照相机日本玛米亚理光超拍24(Ricon super shot 24)照相机日本理光富士卡EZ(Fujica EZ-matic)照相机日本富士罗莱弗莱克斯SL66(Rollei Flex SL66)照相机西德罗莱罗莱35(Rollei 35)小型照相机西德罗莱柯尼卡自动SE(Konica Auto SE)照相机日本小西六莱卡MDa(Leica MDa)照相机西德莱茨1967 雅西卡EZ电子(Yashica EZ-matic electronic)照相机日本雅西卡柯尼法克斯ST-7(Konifax ST-7)照相机日本小西六莱卡M4(Leica M4)照相机西德莱茨莱卡M4马达(Leica M4 Mot)照相机西德莱茨1968 柯尼卡FTA(Konica FTA)TTL·EE单镜头反光照相机日本小西六富士卡袖珍D(Fujica Compact D)照相机日本富士佳能EX-EE(Canon EX-EE)照相机日本佳能富士卡TL电子X(Fujica TL electro X)照相机日本富士莱卡弗莱克斯SL(Leicaflex SL)TTL照相机西德莱茨罗莱弗莱克斯SL26(Rollei flex SL26)126插盒式照相机西德罗莱柯达插盒式反光(Kodak Instamatic Reflex)照相机美国柯达莱卡弗莱克斯SL马达(Leicaflex SL MOT)照相机西德莱茨奥林帕斯旅行35(Olympus Trip 35)照相机日本奥林帕斯1969 富士卡袖珍S(Fujica compact S)照相机日本富士玛米亚通用新闻(Mamiya Universal Press)照相机日本玛米亚旭潘太克斯6×7(Asahi Pentax 6×7)照相机日本旭光学理光126C反光(Ricon 126 C Reflex)照相机日本理光美能达16-MGS(Minolta 16-MGS)照相机日本美能达富士卡G690BL(Fujica G 690BL)照相机日本富士罗莱B35(Rollei B35)小型照相机西德罗莱罗莱C35(Rollei C35)小型照相机西德罗莱柯尼卡电子(Konica Electron)调光式闪光联动EE照相机日本小西六1970 理光TLS401(Ricon TLS401)照相机日本理光玛米亚RB67(Mamiya RB67)照相机日本玛米亚富士卡ST701(Fujica ST701)照相机日本富士佳能日历E(Ccnon date E)照相机日本佳能雅西卡·玛特124G(Yashica Mat 124G)照相机日本雅西卡佳能F-1(Canon F-1)照相机日本佳能赛莱克特罗尼克(Selectronic)小型照相机西德阿克发1971 哈萨布莱德500C/M(Hasselblad 500C/M)照相机瑞典哈萨布莱德柯尼卡海洋C35(Konica Marine C35)照相机日本小西六富士卡35FC(Fujica 35FC)照相机日本富士莱卡M5(Leica M5)TTL测光照相机德国莱茨宝丽来大“镜头”(Polaroid big shot)人像摄影用照相机美国宝丽来潘太克斯ES(Pentax ES)光圈优先TTL自动曝光单镜头反光照相机日本旭光学佳能F-1(Canon F-1)单镜头反光照相机日本佳能1972 富士卡GP(Fujica GP)照相机日本富士富士卡ST801(Fujica ST801)照相机日本富士奥林帕斯OM-1(Olympus OM-1)35毫米单镜头反光照相机日本奥林帕斯柯达(Kodak)110胶卷系列插盒式照相机美国柯达宝丽来CX-70(Polaroid CX-70)拍立得彩色单镜头反光照相机美国宝丽来1973 富士卡GE(Fujica GE)照相机日本富士富士卡GER(Fujica GER)照相机日本富士阿克发(Agfa)110胶片系列插盒式照相机西德阿克发富士卡GM670(Fujica GM 670)照相机日本富士奥林帕斯半幅EE3(Olympus pen EE3)照相机日本奥林帕斯富士卡GM690(Fujica GM 690)照相机日本富士莱卡CL(Leica CL)照相机西德莱茨维利亚(Вилия)照相机苏联白俄罗斯光机1974 富士卡ST901(Fujica ST901)照相机日本富士莱卡弗莱克斯SL2(Leicaflex SL2)照相机西德莱茨玛米亚RB67专业S(Mamiya RB67 Professional S)照相机日本玛米亚1975 奥林帕斯OM-2(Olympus OM-2)照相机日本奥林帕斯美能达XE-1(Minolta XE-1)照相机日本美能达佳能AE-1(Canon AE-1)照相机日本佳能柯尼卡C35EF(Konica C35 EF)照相机日本小西六莱卡弗莱克斯SL 2 MOT(Liecaflex SL 2 MOT)照相机西德莱茨1976 柯达ER4(Kodak ER4)拍立得照相机美国柯达美能达(Minolta)110胶片系列插盒式单镜头反光照相机日本美能灰柯达EK-6(Kodak EK-6)拍立得照相机美国柯达莱卡R3(Leica R3)照相机西德莱茨美能达X-1电机驱动(Minolta X-1 Motor)照相机日本美能达潘太克斯6×7照相机日本旭光学理光自动半幅SE-2(Ricon Auto Half SE-2)照相机日本理光玛米亚M645 1000S(Mamiya M645 100S)照相机日本玛米亚美能达XD(Minolta XD)照相机日本美能达美能达XD-7(Minolta XD-7)照相机日本美能达柯尼卡C35AF(Konica C35 AF)照相机日本小西六莱卡M4-2(Leica M4-2)照相机西德莱茨托普康·豪斯曼VH-R(Topcon Horsman VH-R)中型照相机日本东京光学阿克发·奥普蒂玛1035(Agfa Optima 1035)照相机西德阿克发佳能A35(Canon A35)日历勒克斯照相机日本佳能1978 宝丽来 600SE(Polaroid 600 SE)拍立得新闻照相机美国宝丽来美能达HI-MATIC(Minolta HIMATIC)照相机日本美能达美能达HI-MATIC SD(Minolta HI-MATIC SD)照相机日本美能达佳能A-1(Canon A-1)具有五种曝光方式自动曝光单镜头反光照相机日本佳能美能达奥托普-AK460T(Minolta Autop-AK460T)照相机(内装望远镜) 日本美能达柯尼卡FS-1(Konica FS-1)照相机日本小西六莱卡R3 SAFARI(Lieca R3 SAFARI)照相机西德莱茨莱卡MD-2(Leica MD-2)照相机西德莱茨莱卡R3 MOT(Leica R3 MOT)照相机西德莱茨理光FF-1(Ricoh FF-1)照相机日本理光闪光富士卡AF日历(Flash Fujica AF Date)照相机日本富士富士卡GW690专业(Fujica GW 690 Professional)照相机(画幅6×9厘米) 日本富士赞扎·勃朗尼卡ETRS(Zenza Bronica ETRS)照相机(画幅6×4.5厘米) 日本勃朗尼卡奥林帕斯XA(Olympus XA)照相机日本奥林帕斯袖珍富士卡闪光AW(Pocket Fujica Flash AW)110照相机日本富士理光AD-1(Ricoh AD-1)照相机日本理光HD-1富士卡(HD-1 Fujica)全天候AE照相机日本富士奥林帕斯OM-2N(Olympus OM-2N)照相机日本奥林帕斯佳能AF35M(Canon AF35M)照相机日本佳能潘太克斯ME超级(Pentax ME super)照相机日本旭光学HD-S富士卡(HD-S Fujica)全天候照相机日本富士罗莱35TE(Rollei 35TE)照相机西德罗莱玛米亚135EF(Mamiya 135 EF)照相机日本玛米亚美能达XD-5(Minolta MD-5)照相机日本美能达美能达XG-1(Minolta MG-1)照相机日本美能达美能达XG-9(Minolta XG-9)照相机日本美能达美能达HI-MATIC AF(Minolta HI-MATIC AF)照相机日本美能达1980 莱卡R4(Leica R4)照相机西德莱茨莱卡M4-P(Leica M4-P)照相机西德莱茨奥林帕斯XA2(Olympus XA2)照相机日本奥林帕斯阿克发袖珍(Agfa compact)照相机西德阿克发阿克发935(Agfa935)照相机西德阿克发潘太克斯LX(Pentax LX)照相机日本旭光学美能达X-7(Minolta X-7)照相机日本美能达理光A-2(Ricoh A-2)照相机日本理光富士卡AX-5(Fujica AX-5)照相机日本富士美能达A全天候(Minolta Weathermatic A)照相机日本美能达尼康F3(Nikon F3)照相机日本日本光学美能达袖珍奥托派克460 TX(Minolta Pocket autopak 460 TX)110照相机日本美能达松下袖珍C-N2(National Pocket C-N2)110照相机日本松下电器奥林帕斯OM-1N(Olympus OM-1N)照相机日本奥林帕斯奥林帕斯OM-2N(Olympus OM-2N)照相机日本奥林帕斯柯尼卡FP-1(Konica FP-1)照相机日本小西六奥林帕斯C-AF(Olypmus C-AF)照相机日本奥林帕斯潘太克斯ME-F(Pentax ME-F)照相机日本旭光学美能达HI-MATIC SD2(Minolta HI-MATIC SD2)照相机日本美能达美能达X-700(Minolta X-700)照相机日本美能达尼康F3(Nikon F3)照相机日本日本光学尼康EM(Nikon EM)照相机日本日本光学美能达CLE(Minolta CLE)照相机日本美能达哈尼梅克斯35微秒电子闪光(Hanimex 35 microflash)照相机日本哈尼梅克斯罗莱35RF(Rollei 35 RF)照相机西德罗莱奥林帕斯半幅EF(Olympus Pen EF)照相机日本奥林帕斯柯尼卡C35EF3(Konica C35 EF3)照相机日本小西六理光AF2(Ricoh AF2)照相机日本理光米诺克斯35GT(Minox 35GT)照相机西德米诺克斯玛米亚U(Momiya U)照相机日本玛米亚理光XR-S(Ricoh XR-S)照相机日本理光佳能AF35ML(Canon AF 35 ML)照相机日本佳能玛米亚ZE-X(Mamiya ZE-X)照相机日本玛米亚雅西卡自动调焦电机驱动照相机日本雅西卡奇农红外线聚焦35F-MA(Chinon Infrafocus 35F-MA)照相机日本奇农富士卡自动7日历(Fujica auto 7date)照相机日本富士富士卡拍立得F-50S(Fujica instant F-50S)照相机日本富士哈罗猫咪闪光AW(Hello Kitty Flash AW)照相机日本富士1982 奥林帕斯OM-20(Olympus OM-20)照相机日本奥林帕斯奥林帕斯OM-30(Olympus OM-30)照相机日本奥林帕斯尼康FM2(Nikon FM2)照相机日本日本光学柯达圆盘(Kodak Dise)照相机美国柯达阿克发袖珍KB(Agfa Compact KB)照相机西德阿克发美能达X-70(Minolta X-70)照相机日本美能达美能达HI-matic AF2-MD(Minolta HI-matic AF2-MD)照相机日本美能达美能达X-700(Minolta New X-700)照相机日本美能达佳能AL-1(Canon AL-1)照相机日本佳能佳能快拍50(Canon Snap 50)照相机日本佳能柯尼卡C35MFD(Konica C35 MFD)照相机日本小西六赞扎·勃朗尼卡SQ-A(Zenza C35 SQ-A)照相机日本勃朗尼卡尼康FG(Nikon FG)照相机日本日本光学玛米亚RZ67专业(Mamiya RZ67 Professional)照相机日本玛米亚康太克斯RTSⅡ日历(Contax RTSⅡ Quartz)照相机日本京セラ康太克斯137MA日历(Contax 137MA Quartz)照相机日本京セラ罗莱弗莱克斯SL200F(Rolleiflex SL200F)照相机西德罗莱奇农CE-5(Chinon CE-5)照相机日本奇农富士F-55(Fuji F-55 Voice)声响拍立得照相机日本富士富士F-20S(Fuji F-20S)拍立得照相机日本富士1983 奥林帕斯OM4(Olympus OM4)照相机日本奥林帕斯奥林帕斯AFL(Olympus AFL)照相机日本奥林帕斯柯尼卡AF3D(Konica AF3D)照相机日本小西六潘太克斯超A(Pentax super A)照相机日本旭光学美能达AF-C(Minolta AF-C)照相机日本美能达美能达AF-SV(Minolta AF SV focusTaikman)电子声照相机日本美能达美能达X-500(Minolta X-500)照相机日本美能达美能达X-600(Minolta X-600)照相机日本美能达尼康FE2(Nikon FE2)照相机日本日本光学尼康L35AF(Nikon L35AF)照相机日本日本光学尼康FA(Nikon FA)照相机日本日本光学尼康F3AF(Nikon F3 AF)照相机日本日本光学佳能T50奥托曼(Canon T50 Automan)照相机日本佳能1984 尼康FG20(Nikon TG20)照相机日本日本光学雅西卡·帕特纳尔AF-D(Yashica Partner AF-D)照相机日本雅西卡柯希纳CX70日历(Cosina CX 70 Quartz Date)照相机日本柯西纳宝丽来600拍立得(Polaroid Onestep)照相机美国宝丽来罗莱弗莱克斯SL66E(Rolleiflex SL66E)照相机西德罗莱富士卡自动7日历(Fujica Auto 7 Quartz Date)照相机日本富士尼康L135AF(Nikon L135 AF)照相机日本日本光学佳能T70(Canon T70)照相机日本佳能理光FF-3DAF超级(Ricoh FF3DAF super)照相机日本理光松下·巧时日历(National Chace Quartz Date)照相机日本松下理光AF-5D(Ricoh AF-50)照相机日本理光潘太克斯·奥托伦Ⅱ日历(Pentax Autolon Ⅱ Date)照相机日本旭光学考拉110(Koala 110)儿童照相机日本岩田美能达AF-S吐克曼(Minolta AF-S Talkman)照相机日本美能达奥林帕斯OM-2光点/程序(Olympus OM-2 spot/program)照相机日本奥林帕斯 1985 美能达7000(Minolta 7000)照相机日本美能达潘太克斯A3日历(Pentax A3 Date)照相机日本旭光学奥林帕斯OM40程序(Olympus OM40 programm)照相机日本奥林帕斯佳能T80(Canon T80)照相机日本佳能奥林帕斯XA4(Olympus XA4)照相机日本奥林帕斯理光AF-50D(Ricoh AF-50D)照相机日本理光佳能·自动波伊莱特日历(Canon Auto Boylight Quartz date)照相机日本佳能尼康·纽卑凯奇日历(Nikon Nupicaich Quartz date)照相机日本日本光学富士·串联日历(Fuji Tendem Date)照相机日本富士美能达AF望远日历(Minolta AF Tele Quartz date)照相机日本美能达潘太克斯·奥托伦SE日历(Pentax Autolon SE date)照相机日本旭光学尼康F-301(Nikon F-301)照相机日本日本光学美能达9000(Minolta 9000)照相机日本美能达柯尼卡MR70自动日历(Konica MR 70 Auto date)照相机日本小西六玛米亚M645超级(Mamiya M645 super)照相机日本玛米亚康太克斯159MM(Contax 159MM)照相机日本京セラ摘自《照相百科词典》1991.3.。
选择一种生活方式百年莱卡纵览自从第一部相机诞生到现在,在相机发展史上能称得上著名品牌的可能会有不少,这些甚至在我们生活的周围随处都可以看到。
但是,在相机发展史上,选择某一个品牌的相机对于用户来说,不是选择那部相机,而是选择一种生活方式——那我想,这样的品牌可谓就是少之又少了。
而著名的德国徕卡(leica)就是这样的一个品牌。
选择徕卡,为什么说是选择一种生活方式呢?也许这对不少于习惯使用数码相机的用户来说难于理解,摄影也许仅仅是一种休闲,充其量只是一种爱好。
但是,对于使用徕卡的用户来说,可能更多的是选择了一种由徕卡定义的拍摄方式,甚至是一种具有某种文化特色的生活方式,正如某位摄影家所言:如果丢了自己的莱卡相机,他就放弃摄影。
这是因为徕卡出产的专业系列机型功能简单、质量顶级,特别是M系列机型,大都是机械构造,全手动控制。
她往往可以让用户发挥极大的创作空间,并且迫使使用者更多地思考如何抓取最美丽的瞬间。
而且,每一部徕卡相机都是经过精心制作的不朽作品,顶级的用料、顶级的质量完全可以经得起时间和环境的考验,她们都是可以陪伴一生的相机。
举世闻名的徕卡相机是由德国莱茨公司(后改名为徕卡集团)生产的,她是德国最早的光学仪器生产企业之一,创建于1849年。
徕卡主要生产35mm画面胶卷相机,世界上第一款完整意义上的35mm相机更是由徕卡公司生产的。
在35mm相机面世以前,人们使用的相机都是木造的机身加上定焦距的镜头,快门速度无法调节,底片为大型的玻璃材料。
她们体积庞大,操作困难,在拍摄时必须要架上沉重的三脚架。
因此拍照多是富有人家的玩艺,更谈不上摄影创作了。
在1913年,熟悉大型相机,同时沉迷使用电影机拍摄短片的奥斯卡·巴纳克(Oscar·Barnack)将拍摄电影片用的35mm胶片使用到相机中,从而设计出一台相当轻巧的相机。
这台使用24×36mm胶卷、42mm镜头、1/40秒固定快门的相机就是历史上第一部完整意义上的135(35mm)照相机,也是徕卡的第一部相机,这种机型当时巴纳克一共制造了两台。
Leica机身漫谈,M4M4PM5丨数字尾巴leica不久前发售了“新型“的胶片胶片机--LEICA M-A一台从mp剔除测光功能的机器。
作为一家不大的作坊,leica的小改骗钱行为也是无可厚非,总有买账的人。
不过在数码大潮中,leica的无力感也是愈发的明显,也许新近的leica q又能让人”虎躯一震“,不过这不是本次的话题。
leica的胶片机身历史悠久,种类繁多,本次主要是来说说m4系列,捎带着讲讲m5。
LEICA M4(1967-1975)(包括KE-7A, M4-M.不包括M4-2 M4-P )。
被誉为LEICA的集大成之作的m4,在众多的旁轴中人气应该是数一数二的。
发售于1967,停产于1975,8年间总共生产了大约6万台。
之前的m3型在生产期间做过不少的改动,而m4却几乎没有改过零件,只有颜色的差别,可见其完成度之高,估计LEICA自己也觉得”这已经完美了罢“ 在silver机身和black机身中,银色生产了大约5万台,黑色有9000左右,可想而知black chrome和black paint 是挺稀少的,二手市场价格也略微高。
那么,号称”完美“的m4,相比以往的m2 m3,改动了什么呢?小的改动大概9处,此处不提,有2处大改十分明显,奠定了LEICA未来机型的基础。
1--WINDING LEVER也就是过片扳手,相比M2 ,M3,增加了一个塑料套,以往的一体式变成了2段式,在过片的时候更加的舒服,更快。
2--REWIND LEVER卷片器。
和以往那种”钮“式不同,变成45°的斜式,使得卷片速度得到质的提升,也是m4最大的改进之处。
以后的m4-2,m4-p ,大小盘m6 m7都是沿用了这种设计,可见其改动之成功。
在m4之后的某一天,一道雷电击中了leica,于是LEICA M5诞生了。
LEICA M5(1971-1975)M5之于其他所有leica m系都是特别的存在,其设计前无古人,后无来者。
徕卡镜头介绍,以及编号和生产年限徕卡R系是不可复制的经典,因为其高昂的制造成本和及其复杂的制做工艺加之数码时代的冲击,2009徕卡忍痛宣布R系停产。
徕卡本是贵族的专利,R停产之后二手价格急剧下挫,顺道让我等小老百姓也有了一亲芳泽的机会。
这两年陆陆续续接触了不少R头,现在小小的总结一下,有错的地方请前辈们更正一下,*镜头数据来源于多个国外网站, 镜头评价心得来源于自用心得的总结和这几年来所听到的看到的摄友评价。
广角篇:Leica Super-Elmarit-R 15mm f/2.8 ASPH2001-2009(序列号3914223 – xxx)年出产,10组13片镜设计,与德国施蔡司作生产,自带内置四色滤镜,做工非常复杂,超广角能达到2.8的光圈实属难得,因其昂贵的价格,稀少的产量,拥有此镜的人非常少,评价:质感好色彩层次一流,值得收藏。
此镜全球产量500只左右。
历史价格:$US 6,995 in 2008 - $US 3,850 in 2010Leica Super-Elmar-R 15mm f/3.51980-1996(序列号3004101- 3309700),12组13片镜设计,与蔡司合作生产,自带内置四色滤镜,做工非常复杂,是一枚值得拥有的超广角镜头,畸变控制非常好,细节上表现突出。
1997-2000(序列号3879367- 3947883)ROM版(ROM即ReadOnly Memo,是在镜头尾部加装了只读存储芯片,使用在R8,R9机身上可以得到更精确的曝光控制。
用在佳能,尼康或索尼等机身上这个功能是没有用的),ROM版因为后期工艺更为先进成熟,普遍比非ROM版锐度和解析度高。
此镜全球产量3000只左右,历史价格:EU 2,640 in2008$US 2,500 (3-cam) , 3,000 (ROM) in 2010Leica Fisheye-Elmarit-R 16mm f/2.81974-1979(序列号2682801-3009650),8组11片镜,美能达代工,因其日本血统,价格一路下跌。
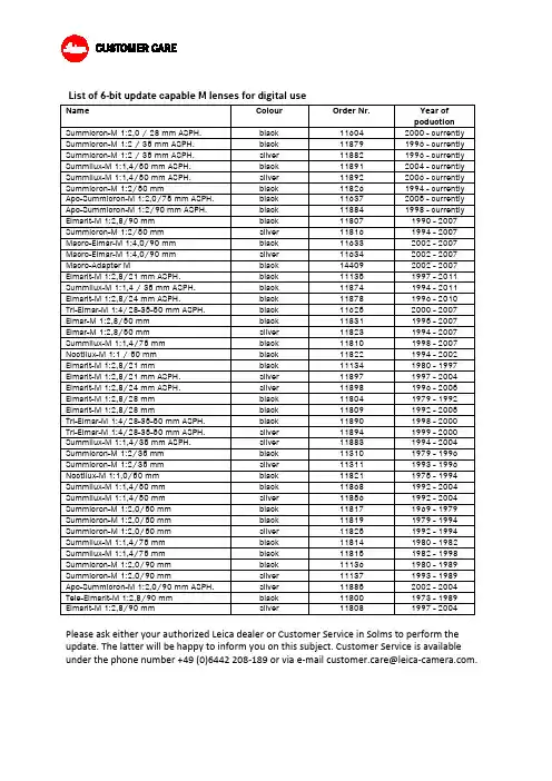
List of 6-bit update capable M lenses for digital useName Colour Order Nr. Year ofpoduction Summicron-M 1:2,0 / 28 mm ASPH. black 11604 2000 - currently Summicron-M 1:2 / 35 mm ASPH. black 11879 1996 - currently Summicron-M 1:2 / 35 mm ASPH. silver 11882 1996 - currently Summilux-M 1:1,4/50 mm ASPH. black 11891 2004 - currently Summilux-M 1:1,4/50 mm ASPH. silver 11892 2006 - currently Summicron-M 1:2/50 mm black 11826 1994 - currently Apo-Summicron-M 1:2,0/75 mm ASPH. black 11637 2005 - currently Apo-Summicron-M 1:2/90 mm ASPH. black 11884 1998 - currently Elmarit-M 1:2,8/90 mm black 11807 1990 - 2007 Summicron-M 1:2/50 mm silver 11816 1994 - 2007 Macro-Elmar-M 1:4,0/90 mm black 11633 2002 - 2007 Macro-Elmar-M 1:4,0/90 mm silver 11634 2002 - 2007 Macro-Adapter M black 14409 2002 - 2007 Elmarit-M 1:2,8/21 mm ASPH. black 11135 1997 - 2011 Summilux-M 1:1,4 / 35 mm ASPH. black 11874 1994 - 2011 Elmarit-M 1:2,8/24 mm ASPH. black 11878 1996 - 2010Tri-Elmar-M 1:4/28-35-50 mm ASPH. black 11625 2000 - 2007 Elmar-M 1:2,8/50 mm black 11831 1995 - 2007 Elmar-M 1:2,8/50 mm silver 11823 1994 - 2007 Summilux-M 1:1,4/75 mm black 11810 1998 - 2007 Noctilux-M 1:1 / 50 mm black 11822 1994 - 2002 Elmarit-M 1:2,8/21 mm black 11134 1980 - 1997 Elmarit-M 1:2,8/21 mm ASPH. silver 11897 1997 - 2004 Elmarit-M 1:2,8/24 mm ASPH. silver 11898 1996 - 2005 Elmarit-M 1:2,8/28 mm black 11804 1979 - 1992 Elmarit-M 1:2,8/28 mm black 11809 1992 - 2005Tri-Elmar-M 1:4/28-35-50 mm ASPH. black 11890 1998 - 2000Tri-Elmar-M 1:4/28-35-50 mm ASPH. silver 11894 1999 - 2000 Summilux-M 1:1,4/35 mm ASPH. silver 11883 1994 - 2004 Summicron-M 1:2/35 mm black 11310 1979 - 1996 Summicron-M 1:2/35 mm silver 11311 1993 - 1996 Noctilux-M 1:1,0/50 mm black 11821 1975 - 1994 Summilux-M 1:1,4/50 mm black 11868 1992 - 2004 Summilux-M 1:1,4/50 mm silver 11856 1992 - 2004 Summicron-M 1:2,0/50 mm black 11817 1969 - 1979 Summicron-M 1:2,0/50 mm black 11819 1979 - 1994 Summicron-M 1:2,0/50 mm silver 11825 1992 - 1994 Summilux-M 1:1,4/75 mm black 11814 1980 - 1982 Summilux-M 1:1,4/75 mm black 11815 1982 - 1998 Summicron-M 1:2,0/90 mm black 11136 1980 - 1989 Summicron-M 1:2,0/90 mm silver 11137 1993 - 1989 Apo-Summicron-M 1:2,0/90 mm ASPH. silver 11885 2002 - 2004 Tele-Elmarit-M 1:2,8/90 mm black 11800 1973 - 1989 Elmarit-M 1:2,8/90 mm silver 11808 1997 - 2004 Please ask either your authorized Leica dealer or Customer Service in Solms to perform the update. The latter will be happy to inform you on this subject. Customer Service is available under the phone number +49 (0)6442 208-189 or via e-mail customer.care@.。
莱卡相机2在相机收藏中,莱卡牌相机由于其历史悠久、影响深远、品种繁多、品质超卓而居于首位。
它不仅是摄影的工具,而且是科技和文化在高水平上的结晶。
自从70年代后期以来,更形成了一个收藏莱卡牌相机的热潮,至今仍经久不衰。
近10年来,古典莱卡牌相机的价格不断上涨。
莱卡牌相机中,最珍贵者当属莱卡Ur,在德文中为“第一”之意,是莱卡发明者奥斯卡·巴纳克在1913年所制,现藏于莱卡厂内(即原莱茨厂,现改此名)。
第一次世界大战的前后,巴纳克又试制了两台机型,连同第一台Ur,今天被称为莱卡原型(Leica prototype),一共为3台。
其中第二台历经沧桑之后,在1960年被拍卖,现已不知去向。
第三台则经常被人们提到,是研究莱卡历史和发展的重要材料,现为私人收藏。
1923年后,莱卡牌相机进入小批量手工试制阶段,共制造了大约130台,这批相机称为莱卡0型,或称为“无效编号”(Nullseries),弥足珍贵,每台价格可达数万美元。
1925年,莱卡相机正式生产在商场出售。
这时的相机,统称为莱卡Ⅰ型,其中又分为若干种类。
ⅠA型相机,装有50/3.5莱卡消像散镜头,为五片三组结构,今天相机连同镜头的价格达2万美元-3万美元。
大约一年后,镜头改称为爱尔玛克斯(Elmax),价格稍低,约值1万多美元。
1926年,改装四片三组的爱尔玛镜头,约值500美元-2000美元。
更晚一些时候,也有装用50/2.5海克托(Hektor)镜头的莱卡ⅠA,比装用爱尔玛镜头的要贵。
ⅠB型相机不用焦点平面帘幕快门,而用康普(Compur)镜间快门,因为当时的帘幕快门没有慢的速度,最慢只能到1/20秒,所以也生产了这个品种。
ⅠB型相机分两种,一种装老式的康普快门,速度调节在镜头上端一个小盘,另一种为新式,如现在常见到的康普快门那样,速度调节在镜头外环。
ⅠB型相机因产量少而昂贵,可达1万美元以上,老式的那种要更贵一些。
1930年生产了ⅠC型相机,特点是可以更换镜头,也分两种,一种是非标准接口型,每台相机有自己一套镜头,分别为50/3.5爱尔玛、353.5爱尔玛和135/4.5爱尔玛。
徕卡相机发展史及全系列相机图谱1913年,第一部徕卡相机的原型(Ur-Leica)在韦茨拉尔市的恩斯特·莱茨光学工厂(E. Leitz Optische Werke)厂由奥斯卡·巴尔纳克(Oskar Barnack)制作。
作为风光摄影使用的便携式相机,这台徕卡相机是世界上最早的使用35毫米标准电影底片的35mm相机。
它把电影底片的18×24毫米画幅扩展到24×36毫米,纵横比也随之从4:3变为3:2。
徕卡经历了几次改良,在1923年巴尔纳克说服了他的老板恩斯特·莱茨二世制造31版的原型系列。
在1925年的莱比锡德国展销会上,徕卡I(Leica I)一推出就立即取得成功。
所用的爱尔玛50毫米f/3.5镜头由马克思·贝雷克博士设计,其4片4组设计受到蔡司天塞镜头的影响。
焦平面快门速度可在1/20秒至1/500秒之间调整,此外还设有Z档(长时间快门,Z即Zeit,德语中表示时间)。
1930年,徕卡发布了带有39毫米螺纹可换镜头系统的徕卡I螺口版(Leica I Schraubgewinde),除了50毫米标准镜头以外,最初还有35毫米广角镜头和135毫米长焦镜头可供选择。
拥有能与镜头对焦系统耦合的测距仪的徕卡II(Leica II)于1932年发布,这一型号装有分离的取景器和测距仪。
徕卡III(Leica III)的出现将快门速度的下限降至1秒,而IIIa则将上限提高到1/1000秒。
徕卡IIIa是巴尔纳克去世前制作的最后一个型号。
直至1957年,莱茨一直在改进该型号的设计,其最终的版本IIIg包括一个有若干条画幅框线的大取景器。
1954年,莱茨发布了徕卡M3(Leica M3),这是一个采用卡口镜头的型号。
原先分离的测距仪和取景器在这个型号中合而为一,在大而明亮的取景器中间有一个更加明亮的对焦用双重图像,并引入了视差补偿系统。
此外,这一型号还采用了可靠的橡皮牵引焦平面快门。
全系列徕卡相机编号查询(1923年Leica 机身序列号(100~181000)序列号型号生产日期100-122 Leica 0 1923123-130 Prototypes 1924131-1000 I, Model A 19251001-2445 I, Model A 19262446-5433 I, Model A 26-275434-5700 I, Model A 19285701-6280 Dial Compur Model. B 26-296281-13099 I, Model A 192813100-13153 Dial Compur Model.B 28-2913154-13159 Dial Compur Model. B 192813160-13163 Dial Compur Model. B 192813164-13300 Ring Compur Model. B 192813301-13373 I, Model A 192913374 Ring Compur Model. B 192913375-21478 I, Model A 192921479-21810 Ring Compur Model. B 29-3021811-28691 I, Model A 192928692-28700 Luxus Model A 192928701-34550 I, Model A 29-3034551-34802 Ring Compur Model. B 1930 34803-34818 Luxus Model A 193034819-37133 I, Model A 193037134-37138 Luxus Model A 193037139-37250 I, Model A 193037251 Luxus Model A 193037252 I, Model A 193037253-37Z62 Luxus Model A 193037263-37264 I, Model A 193037265-37268 Luxus Model A 193037269 I, Model A 193037270-37272 Luxus Model A 193037273 I, Model A 193037274-37279 Luxus Modelef A 1930 37280-37281 I, Model. C, non-stand. 1930 37282 Luxus Model 193037283-37315 I, Model. C, non-stand. 1930 37316 I, Model A 193037317-37349 I, Model. C, non-stand. 1930 37350 I, Model A 193037351-37383 I, Model. C, non-stand. 1930 37384 I, Model A 193037385-37426 I, Model. C,non-stand. 1930 37427 I, Model A 193037428-37454 I, Model. C, non-stand. 1930 37455 l, Model A 193037456-37468 I, Model. C.non-stand. 1930 37469-38631 I, Model A 193038632 Luxus Model C 193038633-38640 I,Model A 193038641-38642 Luxus Modelet C 1930 38643-39880 I, Model A 193039881-48400 I, Model. A, non-stand. 1930 48401 Luxus Model A 193048402-48403 Luxus Model C 193048404 Luxus w/Hektor 193048406-48407 Luxus Model C 193048408 Luxus Model A 193048409-48415 Luxus Model C 193048417-43419 Luxus Model C 193148420-48441 Luxus Model C 30.,3148451-50535 I, Model. A, non-stand. 30-31 50536-50589 Ring Compur Model. B 30-32 50591-50597 Ring Compur Model. B 30-4150599-50623 Ring Compur Model. B 30-41 50628-50635 Ring Compur Model. B 31-41 50637-50644 Ring Compur Model. B 38-44 50646 Ring Compur Model. B 194150650-50670 Ring Compur Model. B 30-41 50673 Ring Compur Model. B 193150676-50685 Ring Compur Model. B 1931 50696 Ring Compur Model. B 193150702-50703 Ring Compur Model. B 1931 50707-50709 Ring Compur Model. B 1931 50711 Ring Compur Model. B 193150712-50719 I, Model A 193150721 I, Model. C, non-stand. 193050722-50728 I, Model A 193150729 I, Model. C, non-stand. 193050730-50744 I, Model A 193050745-55403 I, Model. A, non-stand. 30-31 55404-55406 I, Model. C.stand. 1931 55407-55413 I, Model A 193155414-55431 I, Model. C, stand. 1931 55450 I, Model A 193155451-55496 I, Model. C, stand. 193155497-55695 I, Model. A, or stand. 1931 55696 Luxus w/ Hektor 193155697-68600 I, Model. A, or stand. 1931 68601 Luxus Model C 193168602-68833 I, Model. A, or stand. 1931 68834 Luxus Model C 193168835-71199 I, Model. A, or stand. 31-35 71200-101000 II, Model D 1.2.32101001-106000 Standard,Model.E 21.10.32 106001-107600 II, Model D 1933107601-107757 III, Model F 1934107758-108650 II, Model D 1934108651-108700 III, Model F 1933108701-109000 II, Model D 1933109001-111550 III, Model F 1933111551-111580 II, Model. D, chrorne 1933 111581-112000 III, Model F 1933112001-112500 II, Model. D, chrome 1933 112501-114000 III, Model F 1934114001-114050 Standard (E), chrome 1933 114051-114052 Reporter,prototypes 1933 114053-114400 III, Model F 1934114401-115300 II, Model. D,chrome 1933 115301-115650 III, Model F 1934115651-115900 II, Model. D, chrome 1934 115901-116000 Standard (E), chrome 1934 116001-123000 lII, chrome 1933123001-123580 Standard, Model. E 1934 123581-124800 lII, chrome 1933124801-126200 II, chrome 24.11.33 126201-126800 III, Model F .126801-130000 III, Model F 1934130001-130020 Reporter FF 1934130021-135600 III, Model F 1934135601-135650 Reporter FF 1934135651-137000 III, Model F 1934137001-137050 ReporterFF 1934137051-137400 III, Model F 1934137401-137625 Standard, Model. E 1934 137626-138700 III, chrome 1934138701-138950 Standard (E) chrome 1934 138951-139900 III, chrome 1934139901-139950 Standard, Model. E 1934 139951-140000 II, Model D 1934140001-141500 III, chrome 1934141501-141850 Standard,Model. E 1934 141851-141900 II, Model D 1934141901-142250 III, chrome 1934141251-142350 II, Model D 1934142351-142500 III, Model F 1934 142501-142700 Standard, Model. E 1934 142701-143425 III, Model F 1934 143426-143750 II, Model. D, chrome 1934 143751-143900 Standard 1934143901-144200 III, Model F 1934 144201-144400 II, Model D 1934144401-144500 Standard, Model. E 1934 144501-145600 III, Model F 1934 145601-145800 Standard,Model;E 1934 145801-146200 III, Model F 1934 146201-146375 II, Model D 1934146376-146675 III, Modele1F 1934 146676-146775 II, Model D, 1934 146776-147000 III, Model F 1934 147001-147075 Standard, Model. E 1934 147076-147175 II, Model D 1934147176-147875 Standard (E), chrome 1934 147876-148025 II, Model. D, chrome 1934 148026-148850 III, chrorne 1934148851-148950 II, Model. D, chrome 1934 148951-149350 III,chrome 1935149351-149450 Standard (E), chrome 34-35 149451-149550 II, Model. D, chrome 34-35 149551-150000 I, chrorne 1935150001-150124 Reporter FF 34-35150125-150200 Reporter GG 35-36 150201-150850 III, chrome 34-35150851-151100 Standard, Model.E 1935 151101-151225 III, Model F 1935151226-151300 II, Model D 1935151301-152500 III, Model F 1935152501-152600 Standard (E), chrome 1935 152601-153175 III, chrome 1935152176-153225 II, Modeln D 1935153226-153550 III, Model F 1935153551-153700 II, Model D 1935153701-154150 III, Model F 1935154151-154200 II, Model D 1935154201-154800 III, Model F 1935154501-154900 Standard (E), chrome 1935 154901-156200 III, Model F 1935156201-156850 llla, Model G 1935 150851-157250 III, Model F 1935157251-157400 II, Model D 1935157401-158300 llla,Model G 1935 158301-158350 Standard 1935158351-158400 II, Model D 1935158401-158650 llla, Model G 1935 168651-159000 III, Model F 1935159001-159200 llla, Model G 1935 159201-159350 Standard 1935159351-159550 III, Model F 1935159551-159625 IIIa, Model G 1935 159626-159675 III, Model F 1935159676-160325 llla, Model G 1935 160326-160375 III, Model F 1935l60376-160450 llla, Model G 1935 160451-160700 II, Model D 1935160701-161150 Standard 1935161151-161450 II, Model D 1935161450-161550 llla, Model G 1935 161551-161600 III, Model F 1935 161601-161800 llla, Model G 1935 161801-161950 III, chrome 1935 161951-162100 IIIa, Model G 1935 162101-162175 III,Model F 1935 162176-162350 llla,Model G 1935 162351-162400 III,Model F 1935 162401-162500 llla,Model G 1935 162501-162625 III,Model F 1935 162626-162675 llla,Model G 1935 162676-162750 III,Model F 1935 162751-162800 llla,Modele1 G 1935 162801-162825 III,Model F 1935 162826-162925 IIIa,Model G 1935 162926-162975 III,Model F 1935 162976-163050 llla,Model G 1935 163051-163100 III,Model F 1935 163101-163225 IIIa,Model G 1935 163226-163250 III,Model F 1935 163251-163400 llla,Model G 1935 163401-163450 Standard 1935163451-163550 llla,Modele1 G 1935 163551-163775 III,Model F 1935 163776-163950 llla,Model G 1935 163951-164150 Standard 1935 164151-164275 llla,ModelaI G 1935 164276-164675 III,Model F 1935 164676-164900 llla,Model G 1935 164901-165700 II,Model D 1935 165001-165100 III,Model F 1935 165101-165300 II,Model D 1935 165301-165500 Standard 1935 165501-165975 III,Model F 1935 165976-166075 llla, Model G 1935 166076-166600 III,Model F 1935 166601-166750 llla,Model G 1935 166751-166900 III,Model F 1935 166901-167050 llla,Model G 1935 167051-167175 III,Model F 1935 167176-I67200 llla,Model G 1935 167201-167225 III,Model F 1935 167226-167700 llla,Model G 1935 167701-167750 III,Model F 1935167751-168000 Standard 1975 168001-168200 II,Model D 1935 168201-168250 III,Model F 1935 168251-168325 llla,Model G 1935 168326-168400 III,Model F 1935 168401-168500 III,Model G 1935 168501-168600 III,Model F 1935 168601-168725 llla,Model G 1935 168726-168750 III,Model F 1935 168751-168850 llla,Model G 1935 168851-169000 Standard 1935 169001-169200 III,Model F 1935 169201-169350 Standard 1935 169351-169450 II,Model D 1935 169451-169550 III,Model F 1935 169551-169650 II,Model D 1935 169651-170150 llla,Model G 1935 170151-170500 III,Model F 1935 170501-171300 llla,Model G 1935 171301-171550 II,Modele1 D 1935 I71551-171900 Standard 1935 171901-172250 llla,Model G 1935172301-172350 llla,Model G 1935 172351-172670 III,Model F 1935 172601-172800 II,Model D 1935 172801-173000 Standard 1935 173001-173125 llla,Model G 1935 173126-173176 III,Model F 1935 173177-173425 llla,Model G 1935 173426-173475 III,Model F 1935 173476-173500 llla,Modele1 G 1935 173501-173650 Standard 1935 173651-173675 llla,Model G 1935 173676-173725 III,Model F 1935 173726-173825 llla,Model G 1935 173826-173900 III,Model F 1935 173901-174025 llla,Model G 1935 174026-174075 III,Model F 1935 174076-174100 llla,Model G 1935 174101-174125 III,Model F 1935 174126-174150 llla,Model G 1935 174151-174400 III,Model F 1935 174401-174650 II,Model D 1935174676-174750 III,Model F 1935 174751-174950 IIIa, Model G 1935 174951-175125 III,Model F 1935 175126-175200 IIIa,Model G 1935 175201-175350 III,Model F 1935 175351-175450 IIIa,Model G 1935 175451-175500 III,Model F 1935 175501-175700 Standard 1935 175701-175750 III,Model F 1935 175751-175850 IIIa,Model G 1935 175851-175900 III,Model F 1935 175901-176100 llla,Model G 1935 176101-176150 III,Model F 1935 176151-176250 IIIa,Model G 1935 176251-176300 III,Model F 1935 176301-176600 llla,Model G 1935 176601-177000 III,Model F 1935 177001-177400 llla,Modela 1935 177401-177550 III,Model F 1935 177551-177600 llla,Model G 1935 177601-177700 III,Model F 1935177701-177800 Standard 1935177801-177900 llla,Mddel G 1935177901-178000 III,Model F 1935178001-178100 llla,Model G 1935178171-178250 III,Model F 1935178251-178550 llla,Model G 1935178551-178600 III,Model F 1935178601-179200 llla,Model G 1935179201-179250 III,Model F 1935179251-179500 llla,Model G 1935179501-179575 II,Model D 1935179576-179800 Standard 1935179801-179900 II,Model D 1935179901-180100 llla,Model G 1935Leica 机身序列号(181001~261600)序列号型号生产日期181001-181450 IIIa, Model G 1935181451-181550 III, Model F 1935181551-181600 IIIa, Model G 1935181601-181700 III, Model F 1935181701-182000 IIIa, Model G 1935182001-182050 III, Model F 1935182301-182350 III, Model F 1935 182351-182500 IIIa, Model G 1935 182501-182700 Standard 1935 182701-182850 II, Model D 1935 182851-183500 lIIa,Model G 1935 183501-183600 II, Model D 1935 183601-183750 Standard 35-36 183751-184400 lIIa,Model G 1936 184401-184450 III, Model F 1936 184451-184700 IIIa, Model G 1936 184701-184750 III, Model F 1936 184751-184800 IIIa, Model G 1936 184801-184950 III, Model F 1936 184951-185200 IIIa, Model G 1936 185201-185350 III, Model F 1936 185351-185500 II, Model D 1936 185501-185650 Standard 1936 185651-185700 III, Model F 1936 185701-185800 Standard 1936 185801-186100 IIIa, Model G 1936 186101-186200 III, Model F 1936186501-186550 III, Model F 1936 186551-186800 IIIa, Model G 1936 186810-186900 III, Model F 1936 186901-186950 IIIa, Model G 1936 186951-187000 III, Model F 1936 187001-187100 IIIa, Model G 1936 187101-187200 III, Model F 1936 187201-187400 IIIa, Model G 1936 187401-187500 III, Model F 1936 187501-187650 II, Model D 1936 187651-187775 III, Model F 1936 187776-187785 IIIa, Model G 1936 187786-187850 III, Model F 1936 187851-188100 IIla, Model G 1936 188101-188300 III, Model F 1936 188301-188600 Standard 1936 188601-188750 II, Model D 1936 188751-189300 IIIa, Model G 1936 189301-189475 III, Model F 1936 189476-189800 IIIa, Model G 1936 189801-189900 iii, Model F 1936190201-190500 III, Model F 1936 190501-190700 IIIa, Model G 1936 190701-190900 III, Model F 1936 190901-191100 IIIa, Model G 1936 191101-191200 III, Model F 1936 191200-191300 II, Model D 1936 191301-191350 IIIa, Model G 1936 191351-191500 III, Model F 1936 191501-191650 II, Model D 1936 191651-191750 Standard. 1936 191751-191850 III, Model F 1936 191851-192100 IIIa,Model G 1936 192101-192400 III, Model F 1936 192401-192500 IIIa, Model G 1936 192501-192800 III, Model F 1936 192801-192950 II, Model D 1936 192951-193200 IIla,Model G 1936 193201-193450 Standard 1936 193451-193500 IIIa, Model G 1936 193501-193600 III, Model F 1936 193601-194300 IIIa, Model G 1936194651-194850 II, Model D 1936 194851-194950 Standard 1936 194951-196200 IIIa, Model G 1936 196201-196300 III, Model F 1936 196301-196400 IIla,Model G 1936 196401-196550 II, Model D 1936 196551-196750 Standard 1936 196751-197400 IIIIa, Model G 1936 197401-197500 Standard 1936 197501-197550 IIIa, Model G 1936 197551-197800 III, Model F 1936 197801-198200 IIIa, Model G 1936 198201-198400 III, Model F 1936 198401-198800 lIIa,Model G 1936 198801-198900 III, Model F 1936 198901-199200 IIIla, Model G 1936 199201-199300 III, Model F 1936 199301-199500 IIIa, Model G 1936 199501-199600 III, Model F 1936 199601-199800 II, Model D 1936 199801-200100 IIla,Model G 1936200201-200500 IIIa, Model G 1936 200501-200650 II, Model D 1936 200651-200750 Standard 1936 200751-201100 III, Model F 1936 201101-201200 III, Model F 1936 201201-201300 IIIa, Model G 1936 201301-201400 III, Model F 1936 201401-201600l IIIa, Model G 1936 201601-201700 Standard 1936 201701-202300 IIIa, Model G 1936 202301-202450 II, Model D 1936 202451-202600 IIIa, Model G 1936 202601-202700 III, Model F 1936 202701-202800 IIIa, Model G 1936 202801-202900 II, Model D 1936 202901-203100 IIIa, Model G 1936 203101-203300 III, Model F 1936 203301-203400 Standard 1936 203401-204100 IIIa,Model G 1936 204101-204200 III, Model F 1936 204201-204300 IIIa, Model G 1936204501-204600 III, Model F 1936 204601-204800 IIIa, Model G 1936 204801-205000 III, Model F 1936 205001-205100 IIIa, Model G 1936 205101-205300 III, Model F 1936 205301-205400 IIIa, Model G 1936 205401-205500 II, Model D 1936 205501-205700 Standard 1936 205701-207300 IIIa, Model G 1936 207301-207400 II, Model D 1936 207401-207600 Standard! 1936 207601-207800 III, Model F 1936 207801-208000 IIIa, Model G 1936 208001-208300 III, Model F 1936 208301-208600 IIIa, Model G 1936 208601-208800 III, Model F 1936 208801-209000 IIIa, Model G 1936 209001-209600 III, Model F 1936 209601-209900 II, Model D 1936 209901-210100 llla,Model G 1936 210101-210200 III, Model F 1936210401-210900 Standard 1936 210901-211000 iii, Model F 1936 211001-211600 IIIa, Model G 1936 211601-211700 III, Model F 1936 211701-211800 IIIa, Model G 1936 211800-211900 II,ModelD 1936 211901-212400 IIIa, Model G 1936 212401-212700 Standard 1936 212701-212800 IIIa, Model G 1936 212801-213200 III, Model F 1936 213201-213300 IIIa, Model Gl 1936 213301-213600 Standard 1936 213601-213700 II, Model D 1936 213701-214400 IIIa,Model G 1936 214401-214800 Standard 1936 214801-215300 IIIa, Model G 1936 215301-216000 III, Model F 1936 216001-216300 IIIa, Model G 1936 216301-216500 II, Model D 1936 216501-216800 IIIa, Model G 1936 216801-217000 III, Model F 1936217201-217300 III, Model F 1936 217301-217500 Standard 1936 217501-217700 III, Model F 1937 217701-217900 II, Model D 36-37 217901-218300 IIIa, Model G 36-37 218301-218700 II, Model D 1936 218701-218800 III, Model F 1936 218801-219600 IIIa, Model G 1936 219601-219800 II, Model D 1936 219801-219900 IIIa, Model G 1936 219901-220000 III, Model F 1936 220001-220300 IIIa, Model G 1936 220301-220500 II, Model D 1937 221401-222150 IIIa, Model G 1936 220501-220600 IIIa, Model G 1936 220601-220700 III, Model F 1936 220701-220900 IIla,Model G 1936 220901-221000 III, Model F 1936 221001-221300 IIIa, Model G 1936 221301-221400 III, Model F 1936 222151-222200 III,Model F 1936222301-222700 Standard 1937 222701-223000 II, Model D 1937 223001-223300 III, Model F 1937 223301-223600 IIIa, Model G 1936 223601-223700 III, Model F 1936 223701-224600 IIIa, Modelef G 36-37 224601-224800 Standard 36-37 224801-224900 IIIa, Model G 36.37 224901-225000 III, Model F 36-37 225001-225200 IIIa, Model G 36-37 225201-225300 III, Model F 36-37 225301-225400 IIIa, Model G 36-37 225401-225600 III, Model F 36-37 225601-226300 IIIa, Model G 36-37 226301-226400 III, Model F 36-37 226401-227000 IIIa, Model G 36-37 227001-227050 III, Model F 36-37 227051-227600 IIIa, Model G 36-37 227601-227650 III, Model F 36-37 227651-231500 IIIa, Model G 36-37 231501-231600 III, Model F 36-37231601-231800 IIIa,Model G 36-37 231801-231900 III, Model F 36-37 231901-232200 IIIa, Model G 36-37 232201-232500 III, Model F 36-37 232501-232800 IIla, Model G 36-37 232801-232900 III, Model F 36-37 232901-233400 IIla,Model G 36-37 233401-233500 III, Model F 36-37 233501-233700 Standard 1937 233701-233800 III, Model F 1937 233801-234000 IIIia, Modelet G 1937 234001-234100 II, Model D 1937 234101-234200 III, Model F 1937 234201-234500 IIIa, Model G 1937 234501-234600 III, Model F 1937 234601-235100 IIIa, Model G 1937 235101-235200 III, Model F 1937 235201-235800 IIIa, Modelef G 1937 235801-235875 III, Model F 1937 235876-236200 IIIa, Model G 1937 236201-236300 III, Model F 1937 236301-236500 IIIa, Model G 1937236501-236700 II, Model D 1937 236701-236800 IIIa, Model G 1937 236801-236900 III, Model F 1937 236901-237000 IIIa, Model G 1937 237001-237200 III, Model F 1937 237201-237500 IIIa, Model G 1937 237501-237600 III, Model F 1937 237601-238000 IIIia, Model G 1937 238001-238100 III, Model F 1937 238101-238500 IIIa, Model G 1937 238501-238600 III, Model F 1937 238601-238800 IIIa, Model G 1937 238801-238825 III, Model F 1937 238826-238900 IIIa, Model G 1937 238901-239000 III, Model F 1937 239001-239100 IIIa, Model G 1937 239101-239300 III, Model F 1937 239301-239400 IIIa, Model G 1937 239401-239600 III, Model F 1937 239601-239700 IIIa, ModelefG 1937 239701-239800 III, Model F 1937 239801-240000 Standard 1937241001-241100 IIIa, Model G 37-38 241101-241300 III, Model F 37-38 241301-241500 IIIa, Model G 37-38 241501-241700 II, Model D 37-38 241701-241900 Standard 37-38 241901-242000 II, Model D 37-38 242001-243000 IIlb, Model G 37-38 243001-243400 IIIa, Model G 37-38 243401-243500 III, Model F 37-38 243501-243800 II, Model D 37-38 243801-244100 IIIa, Model G 37-38 244101-244200 III, Model F 37-38 244201-244400 Standard 37-38 244401-244600 III, Model F 37-38 244601-244800 IIIa, Model G 37-38 244801-245000 Standard 37-38 245001-245100 IIIa, Model G 37-38 245101-245300 III, Model F 37-38 245301-246200 IIla,Model G 37-38 246201-246300 III, Model F 37-38 246301-246400 IIIa, Model G 37-38246501-246700 II, Model D 37-38 246701-247500 IIIa, Model G 37-38 247501-247600 II, Model D 37-38 247601-248300 IIIa, Model G 37.38 248301-248400 II, Model D 37-38 248401-248600 Standard 37-38 248601-248900 IIIa, Model G 1937 248901-249000 III, Model F 1937 249001-249200 IIIa, Model G 1937 249201-249400 II, Model D 1937 249401-249500 III, Model F 1937 249501-249700 Standard 1937 249701-249800 IIIa, Model G 1937 248801-249900 III, Model F 1937 249901-250300 IIIa, Model G 1937 250301-250400 III, Model F 1937 250401-251200 IIIa, Model G 1937 251201-251300 II, Model D 1937 251301-251500 Standard 1937 251501-251600 IIIa, Model G 1937 251601-251800 II, Model D 1937252001-252200 II, Model D 1937 252201-252900 IIIa, Model G 1937 252901-253000 III, Model F 1937 253001-253200 IIIa, Model G 1937 253201-253400 III, Model F 1937 253401-253500 IIIa, Model G 1937 253501-253600 III, Model F 1937 253601-253800 Standar 1937 253801-254000 IIIa, Model G 1937 254001-254200 III, Model F 1937 254201-254600 IIIa, Model G 1937 254601-254800 II, Model D 1937 254801-254900 III, Model F 1937 254901-256400 IIIa, Model G 1937 256401-256600 Standard 1937 256601-256800 IIIa, Model G 1937 256801-256900 III, Model F 1937 256901-257400 IIIa, Model G 1937 257401-257525 III, Model F 1937 257526-257600 IIIa, Model G 1937 257601-257800 Standard 1937258201-259500 IIIa, Model G 1937259501-259800 II, Model D 1937259801-259900 Standard 1937259901-260000 lIIa,Model G 1937260001-260100 Reporter GG 1937260101-260200 IIIa, Model G 1937260201-260600 III, Model F 1937260601-260800 IIIa, Model G 1937260801-260900 III, Model F 1937260901-261200 IIIa, Model G 1937261201-261300 III, Model F 1937261301-261500 IIIa, Model G 1937261501-261600 III, Model F 1937Leica 机身序列号(261601~357200)序列号型号生产日期261601-261800 IIIa, Model G 1937261801-262000 Standard 1937262001-262800 IIIa, Model G 1937262801-263000 III, Model F 1937263001-263600 IIIa, Model G 1937263601-263900 II, Model D 1937264001-264800 IIIa, Model G 1937 264801-285000 Standard 1937 265001-266000 IIIb, Model G 1937 266001-266100 IIIa, Model G 1937 266101-266200 III, Model F 1937 266201-266400 IIIa, Model G 1937 266401-266500 III, Model F 1937 266501-266800 II, Model D 1937 266801-266900 IIIa, Model G 1937 266901-267000 III, Model F 1937 267001-267700 IIIa, Model G 1937 267701-267800 III, Model F 1937 267801-267900 IIIa, Model G 1937 267901-268000 Standard 1937 268001-268100 IIIa, Model G 37-38 268101-268200 III, Model F 1938 268201-268400 IIIa, Model G 1937 268401-268500 III, Model F 1938 268501-268700 IIIa, Model G 1938 268701-268800 III, Model F 1938 268801-269300 IIIa, Model G 1938269401-269600 IIIa, Model G 1938 269601-269700 III, Model F 1938 269701-270100 IIIa, Model G 1938 270101-270200 III, Model F 1938 270201-270300 IIIa, Model G 1938 270301-270400 III, Model F 1938 270401-271000 IIIa, Model G 1938 271001-271100 II, Model D 1938 271101-271600 Standard 1938 271601-271700 II, Model D 1938 271701-271800 III, Model F 1938 271801-272300 IIIa, Model G 1938 272301-272400 II, Model D 1938 272401-274800 IIIa, Model G 1938 274801-275200 III, Model F 1938 275201-275350 IIIa, Model G 1938。
徕卡?Leica?Summicron徕卡 Leica Summicron-R 50mm f/2(2013-02-03 06:02:58)转载▼徕卡Leica Summicron-R 50mm f/2Leica Summicron-R 50mm f/2 这是只所有徕卡玩家都不能回避的镜头,哈苏实验室评测的高分镜头。
拍出的照片结像踏实,还原逼真,层次丰富,对暖色的还原非常艳丽。
从1963年开始生产,到1997年停产历经30多年,两代产品。
第一代:1963-1976(序列号1940501-2777650) E43-S6口径,5组6片镜,外置遮光罩。
前3000只是银色红字版,市面上很难见到。
序列号21之前是黑色红字版,重金属材质,黄金镀膜,色彩画质及其通透,德味十足,色彩凝重,效果惊艳。
第一代2cam版,德国徕卡原厂制造,也被誉为上世纪最伟大的标头之一,全开光圈锐利,出片油润,有着很让人意外的高光控制能力。
成像典雅,质感细腻,色彩层次丰富,立体感表现突出,是人文小品和人物拍摄的利器,喜欢莱卡或德味的人不可错过。
历史价格:2008年,银色780殴元, 黑色188殴元。
第二代:1976-1997 (序列号2777651- 3764800)E55口径,4组6片镜,前期加产后期德产,此头是徕卡一个年代的经典,是当年最受欢迎,使用率最高的一个头,非常有纪念意义。
在光圈全开时,锐度表现优异,立体感强,色彩油润。
R50/2 E55和其他R头一样都有徕兹,徕卡标的区别,前期为圆字,大概34号段后为方字版。
1997-XXX,(序列号3764800-xxx)ROM版 E55口径。
后期德产ROM版E55,虽说光学结构没有变化,但明显感觉ROM版在解像力和画面均衡度上都较前期E55要好。
最大光圈表现已经很优异,F4到F8锐不可挡,难怪国外称Summicron-R 50是上世纪最伟大的标头之一。
历史价格:面市价格1,495美元;2008年600 美元(3-cam)版本;2010年(ROM)版本790 美元。
徕卡R系列镜头列表徕卡R系列镜头Code Name Production Year Lens hood Frontlens cover Filter 11315-ROM 3,5/15mm Super-Elmar-R from 1997 built-in filter-built-in11213 3,5/15mm Super-Elmar-R - 1980-1996 built-in 14294 filter-built-in11222 2,8/16mm Fisheye-Elmarit - 1974 - 14089 filter-built-in11329-ROM 2,8/19 Elmarit-R - from 1998 12529 14221 filter-built-in11225 2,8/19 Elmarit - 1975-1991 12529 14221 -11258 2,8/19 Elmarit - from 1991 12546 14301 filter built-in 11803 3,4/21 Super-Angulon - 1964-1968 12511 14144 Serie 811813 4,0/21 Super-Angulon - 1968-1992 12506 14145 Serie 8.511331-ROM 2,8/24 Elmarit-R from 1998 12523 14184 Serie 8 11221 2,8/24 Elmarit - 1974-1990 12523 14184 Serie 811257 2,8/24 Elmarit - from 1990 12523 14290 Serie 811333-ROM 2,8/28 Elmarit-R from 1998 built-in 14289 E55 11204 2,8/28 Elmarit - 1970-1985 12509 14172 Serie 711247 2,8/28 Elmarit - 1985-1994 12509 14172 Serie 711259 2,8/28 Elmarit 3664831+ from 1994 built-in 14289 E55 or Serie 7 + 1422511812 2,8/28 PC Super-Angulon - from 1988 12540 14232 67 EW11337-ROM 1,4/35 Summilux from 1998 built-in 14291 E67 11143 1,4/35 Summilux - 1984-1991 built-in 14291 E67 orSerie 8 + 1426411144 1,4/35 Summilux - from 1992 built-in 14291 E67 or Serie 8 + 1426411339-ROM 2,0/35 Summicron from 1997 built-in 14290 E60 11227 2,0/35 Summicron -till 2791416 1972-1976 12509 14172 Serie 711115 2,0/35 Summicron from 2791417 from 1976 built-in 14289 E55 or Serie 7 + 1422511101 2,8/35 Elmarit till 2517850 1964-1974 12564 - Serie 6 + 1416011201 2,8/35 Elmarit till 2928900 1974-1979 12509 14172 Serie 711231 2,8/35 Elmarit from 2928901 1979-1986 built-in 14289 E55 or Serie 7 + 1422511251 2,8/35 Elmarit - from 1986 built-in 14289 E55 or Serie 7 + 1422511202 4,0/35 PA Curtagon - 1969-1995 12514 14290 Serie 8 11344-ROM 1:1,4/50mm Summilux-R from 1997 built-in 14290 E6011875 1,4/50 Summilux till 2806500 1969-1978 12508 14172 Serie 711777 1,4/50 Summilux from 2806501 from 1979 built-in 14289 E55 or Serie 7 + 1422511345-ROM 2,0/50 Summicron from 1997 built-in 14289 E55 11228 2,0/50 Summicron till 2777650 1964-1976 12564 - >Serie 6 + 1416011215 2,0/50 Summicron from 2777651 1976-1978 built-in 14289 E55 or Serie 7 + 1422511216 2,0/50 Summicron - from 1979 built-in 14289 E55 or Serie 7 + 1422511347-ROM 2,8/60 Macro-Elmarit from 1997 built-in 14289 E5511203 2,8/60 Macro-Elmarit till 3013650 1972-1980 12514 14290 Serie 811212 2,8/60 Macro-Elmarit from 3013651 1980-1986 built-in 14289 E55 or Serie 7 + 1422511253 2,8/60 Macro-Elmarit - from 1986 built-in 14289 E55 or Serie 7 + 1422511349-ROM 1,4/80 Summilux from 1998 built-in 14291 E67 11880 1,4/80 Summilux - 1989-1985 built-in 14291 E67 or Serie 8 + 1426411881 1,4/80 Summilux - from 1985 built-in 14291 E67 or Serie 8 + 1426411219 2,0/90 Summicron till 2770950 1969-1976 built-in 14144 Serie 7 + 1416111219 2,0/90 Summicron till 2770951 1976-1986 built-in 14289 E55 or Serie 7 + 1422511254 2,0/90 Summicron from 3381677 from 1986 built-in 14289 E55 or Serie 7 + 1422511229 2,8/90 Elmarit till 280900 1964-1977 built-in 14089 Serie 7 + 1416111239 2,8/90 Elmarit till 3260100 1977-1983 built-in 14289 E55 or Serie 7 + 1422511806/11154 2,8/90 Elmarit from 3260101 1983-1996 built-in 14289 E55 or Serie 7 + 1422511352-ROM 2,8/100 Apo-Macro-Elmarit from 1997 built-in 14290 E6011210 2,8/100 Apo-Macro-Elmarit - 1987-1997 built-in 14290 E60 or Serie 7 + 1426311230 4,0/100 Macro-Elmar till 2933350 1968-1978 built-in14089 Serie 7 + 1416111230 4,0/100 Macro-Elmar from 2933351 1969-1994 built-in 14289 E55 or Serie 7 + 1422511270 4,0/100 Macro-Elmar - 1995-1997 built-in 14289 E55 or Serie 7 + 1422511232 4,0/100 Macro-Elmar - 1978-1995 built-in 14289 E55 or Serie 7 + 1422511111 2,8/135 Elmarit - 1964-1968 built-in - Serie 7 + 14161 11211 2,8/135 Elmarit till 2772618 1968-1976 built-in 14089 Serie 7 + 1416111211 2,8/135 Elmarit from 2772619 1976-199? built-in 14089 E55 or Serie 7 + 1422511354-ROM 2,0/180 Apo-Summicron from 1997 built-in 14298 E100 or Serie 6 + cassette11271 2,0/180 Apo-Summicron - 1994-1997 built-in 14298 E100 or Serie 6 + cassette11273-ROM Apo-Elmarit-R 1:2,8/180 mm from 1998 built-in 14291 E6711919 2,8/180 Elmarit till 2939700 1968-1979 built-in 14166 Serie 8 + 1416511923 2,8/180 Elmarit from 2939701 1979-1998 built-in 12291 E67 or Serie 8 + 1426411240 3,4/180 Apo-Telyt till 2947023 1975-1980 built-in 14089 Serie 7,5 + 1422211242 3,4/180 Apo-Telyt from 2947024 1980-1998 built-in 14290 E60 or Serie 7,5 + 1426311922 4,0/180 Elmar - 1976-1995 built-in 14289 E55 or Serie 7 + 1422511920 4,0/250 Telyt till 3050600 1970-1979 built-in 14152 Serie 8 + 1416511925 4,0/250 Telyt from 3050601 1980-1994 built-in 14291 E67 or Serie 8 + 1426411245 2,8/280 Apo-Telyt till 3280401 1984-1992 built-in 14012 E11211263 2,8/280 Apo-Telyt from 3492511 1992-1997 built-in 14012 E112 or Serie 5,511360-ROM 4,0/280 Apo-Telyt from 1998 built-in 14319 E77 or Serie 5.511846-ROMmodul systemAPO-Telyt-R 1:2.8/280 from 1998 built-in 14012 filter drawer for series 611847-ROMmodul systemAPO-Telyt-R 1:2.8/400 from 1998 12590 14086 filter drawer for series 611857-ROMmodul systemAPO-Telyt-R 1:4/400 from 1998 built-in 14012 filter drawer for series 611848-ROMmodul systemAPO-Telyt-R 1:4/560 from 1998 12590 14086 filter drawer for series 611858-ROMmodul systemAPO-Telyt-R 1:5.6/560 from 1998 built-in 14012 filter drawer for series 611849-ROMmodul systemAPO-Telyt-R 1:5.6/800 from 1998 12590 14086 filter drawer for series 611261 4,0/280 Apo-Telyt - 1994-1998 built-in 14319 E77 or Serie 5.511915 4,8/350 Telyt - 1980-1995 built-in 14294 E77 or Serie 8.5 +1420111260 2,8/400 Apo-Telyt - 1992-1996 12545 - Serie 5.511969 6,8/400 Telyt - 1971-1995 built-in 14152 Serie 711243 8,0/500 Telyt - 1980-1996 built-in 14294 E32 or E77 11865 6,8/560 Telyt - 1971-1995 built-in 14295 Serie 711921 6,3/800 Telyt - 1972-1995 built-in - Serie 711275-ROM Vario-Elmarit-R 1:2.8/35-70 ASPH from 2000 built-in 14319 E7711364-ROM Vario-Elmar-R 3,5-4,5/28-70 from 1998 built-in 14233 E6011265 3,5-4,5/28-70 Vario-Elmar - 1990-1998 built-in 14233 E60 or Serie 7,5 + 1426311277-ROM Vario-Elmar-R 1:4/35-70 from 1998 built-in 14233 E6011244 3,5/35-70 Vario-Elmar till 3393300 1983-1988 built-in 14290 E60 or Serie 7,5 + 1426311248 3,5/35-70 Vario-Elmar from 3393301 1988-1997 built-in 14291 E67 or Serie 8 + 1426411930 2,8/45-90 Angenieux - 1969-1982 S.VIII - Serie 811279-ROM 2,8/70-180 Vario-Apo-Elmarit from 1998 built-in 14319 E7711267 2,8/70-180 Vario-Apo-Elmarit - 1995-1998 built-in 14319 E7711246 4,0/70-210 Vario-Elmar - 1984-1996 built-in 14290 E60 or Serie 7,5 + 1426311226 4,5/75-200 Vario-Elmar - 1978-1984 built-in 14289 E55 or Serie 7 + 1422511224 4,5/80-200 Vario-Elmar - 1974-1978 built-in 14261 E55 or Serie 7 + 1422511281-ROM 4,0/80-200 Vario-Elmar from 1998 built-in 14290 E6011280 4,0/80-200 Vario-Elmar - 1996-1998 built-in 14290 E60 or Serie 7,5 + 1426311268-ROM 4,2/105-280 Vario-Elmar - from 1996 built-in - E77 14263。
在八十多年以前,人们所看到的相机多数还是体积巨大的机器:木壳的机身又笨又重,固定的镜头,固定的快门速度,使用8 x 13厘米的大玻璃底片,还必须有沉重的三脚架,携带极不方便。
当时,拍照对摄影师来说,是一项艰苦的劳动,而对普通人来说,则是一件繁琐而昂贵的事情。
在德国中西部,有一座名叫“威兹勒”的小镇。
在绿色的山丘之间,有高高低低的古塔、木结构的建筑、窄窄的街巷和宁静的生活。
十九世纪末,这片地区曾是德国光学和精密制造工业的重要基地。
而世界著名的徕茨公司和徕卡相机,就是在这里诞生的。
徕卡相机的历史,是从1911年奥斯卡·巴纳克(见图)成为徕茨公司研究部主任时开始的。
奥斯卡·巴纳克是一位很有才华的机械工程师,也是一个狂热的摄影“发烧友”。
他喜欢拉着笨重的大相机和三脚架外出拍照,更喜欢用电影机拍摄短片。
那时他已沉迷于电影机,所以他熟悉拍电影使用的35毫米电影胶片。
为了携带方便,他特意设计了一种使用35毫米电影胶片、可拍摄24 X 36毫米规格底片的小型相机用来试拍,作为拍摄电影曝光时的参考。
不料,这台相机拍出的底片放大后,效果很好。
而它的轻便、灵巧更使他爱不释手。
于是,他开始考虑开发研制便于携带的新一代相机。
而这台采用42毫米镜头。
l/40秒快门速度,可以拍摄40张底片的“测光机”,也就成了世界上第一台135相机。
当时该相机还没有牌子,后来,人们称之为“原型涂卡”(Ur-Leica)。
其实,奥斯卡·巴纳克并不是第一个由有齿孔的35毫米胶片,想到制造一台小型实用相机的人,但他是一位机械工程师,他的运气好,而且在一个能够发挥其天才的公司找到了工作。
这就是他有别于那些人的地方。
巴纳克手工制造了两台(也有人说是三台)原型样机(有一台至今还保存在徕卡工厂的博物馆里;而巴纳克曾使用过的另一台曾保存在慕尼黑博物馆里,战后被拍卖了),都不是出于工作的需要,而仅仅是为了自己的爱好和使用方便。
但当时徕茨公司的老板厄恩斯特·徕茨时他这位部下的“癖好”相当赏识。
全系列徕卡相机编号查询(1923年Leica 机身序列号(100~181000)序列号型号生产日期100-122 Leica 0 1923123-130 Prototypes 1924131-1000 I, Model A 19251001-2445 I, Model A 19262446-5433 I, Model A 26-275434-5700 I, Model A 19285701-6280 Dial Compur Model. B 26-296281-13099 I, Model A 192813100-13153 Dial Compur Model.B 28-2913154-13159 Dial Compur Model. B 192813160-13163 Dial Compur Model. B 192813164-13300 Ring Compur Model. B 192813301-13373 I, Model A 192913374 Ring Compur Model. B 192913375-21478 I, Model A 192921479-21810 Ring Compur Model. B 29-3021811-28691 I, Model A 192928692-28700 Luxus Model A 192928701-34550 I, Model A 29-3034551-34802 Ring Compur Model. B 1930 34803-34818 Luxus Model A 193034819-37133 I, Model A 193037134-37138 Luxus Model A 193037139-37250 I, Model A 193037251 Luxus Model A 193037252 I, Model A 193037253-37Z62 Luxus Model A 193037263-37264 I, Model A 193037265-37268 Luxus Model A 193037269 I, Model A 193037270-37272 Luxus Model A 193037273 I, Model A 193037274-37279 Luxus Modelef A 1930 37280-37281 I, Model. C, non-stand. 1930 37282 Luxus Model 193037283-37315 I, Model. C, non-stand. 1930 37316 I, Model A 193037317-37349 I, Model. C, non-stand. 1930 37350 I, Model A 193037351-37383 I, Model. C, non-stand. 1930 37384 I, Model A 193037385-37426 I, Model. C,non-stand. 1930 37427 I, Model A 193037428-37454 I, Model. C, non-stand. 1930 37455 l, Model A 193037456-37468 I, Model. C.non-stand. 1930 37469-38631 I, Model A 193038632 Luxus Model C 193038633-38640 I,Model A 193038641-38642 Luxus Modelet C 1930 38643-39880 I, Model A 193039881-48400 I, Model. A, non-stand. 1930 48401 Luxus Model A 193048402-48403 Luxus Model C 193048404 Luxus w/Hektor 193048406-48407 Luxus Model C 193048408 Luxus Model A 193048409-48415 Luxus Model C 193048417-43419 Luxus Model C 193148420-48441 Luxus Model C 30.,3148451-50535 I, Model. A, non-stand. 30-31 50536-50589 Ring Compur Model. B 30-32 50591-50597 Ring Compur Model. B 30-4150599-50623 Ring Compur Model. B 30-41 50628-50635 Ring Compur Model. B 31-41 50637-50644 Ring Compur Model. B 38-44 50646 Ring Compur Model. B 194150650-50670 Ring Compur Model. B 30-41 50673 Ring Compur Model. B 193150676-50685 Ring Compur Model. B 1931 50696 Ring Compur Model. B 193150702-50703 Ring Compur Model. B 1931 50707-50709 Ring Compur Model. B 1931 50711 Ring Compur Model. B 193150712-50719 I, Model A 193150721 I, Model. C, non-stand. 193050722-50728 I, Model A 193150729 I, Model. C, non-stand. 193050730-50744 I, Model A 193050745-55403 I, Model. A, non-stand. 30-31 55404-55406 I, Model. C.stand. 1931 55407-55413 I, Model A 193155414-55431 I, Model. C, stand. 1931 55450 I, Model A 193155451-55496 I, Model. C, stand. 193155497-55695 I, Model. A, or stand. 1931 55696 Luxus w/ Hektor 193155697-68600 I, Model. A, or stand. 1931 68601 Luxus Model C 193168602-68833 I, Model. A, or stand. 1931 68834 Luxus Model C 193168835-71199 I, Model. A, or stand. 31-35 71200-101000 II, Model D 1.2.32101001-106000 Standard,Model.E 21.10.32 106001-107600 II, Model D 1933107601-107757 III, Model F 1934107758-108650 II, Model D 1934108651-108700 III, Model F 1933108701-109000 II, Model D 1933109001-111550 III, Model F 1933111551-111580 II, Model. D, chrorne 1933 111581-112000 III, Model F 1933112001-112500 II, Model. D, chrome 1933 112501-114000 III, Model F 1934114001-114050 Standard (E), chrome 1933 114051-114052 Reporter,prototypes 1933 114053-114400 III, Model F 1934114401-115300 II, Model. D,chrome 1933 115301-115650 III, Model F 1934115651-115900 II, Model. D, chrome 1934 115901-116000 Standard (E), chrome 1934 116001-123000 lII, chrome 1933123001-123580 Standard, Model. E 1934 123581-124800 lII, chrome 1933124801-126200 II, chrome 24.11.33 126201-126800 III, Model F .126801-130000 III, Model F 1934130001-130020 Reporter FF 1934130021-135600 III, Model F 1934135601-135650 Reporter FF 1934135651-137000 III, Model F 1934137001-137050 ReporterFF 1934137051-137400 III, Model F 1934137401-137625 Standard, Model. E 1934 137626-138700 III, chrome 1934138701-138950 Standard (E) chrome 1934 138951-139900 III, chrome 1934139901-139950 Standard, Model. E 1934 139951-140000 II, Model D 1934140001-141500 III, chrome 1934141501-141850 Standard,Model. E 1934 141851-141900 II, Model D 1934141901-142250 III, chrome 1934141251-142350 II, Model D 1934142351-142500 III, Model F 1934 142501-142700 Standard, Model. E 1934 142701-143425 III, Model F 1934 143426-143750 II, Model. D, chrome 1934 143751-143900 Standard 1934143901-144200 III, Model F 1934 144201-144400 II, Model D 1934144401-144500 Standard, Model. E 1934 144501-145600 III, Model F 1934 145601-145800 Standard,Model;E 1934 145801-146200 III, Model F 1934 146201-146375 II, Model D 1934146376-146675 III, Modele1F 1934 146676-146775 II, Model D, 1934 146776-147000 III, Model F 1934 147001-147075 Standard, Model. E 1934 147076-147175 II, Model D 1934147176-147875 Standard (E), chrome 1934 147876-148025 II, Model. D, chrome 1934 148026-148850 III, chrorne 1934148851-148950 II, Model. D, chrome 1934 148951-149350 III,chrome 1935149351-149450 Standard (E), chrome 34-35 149451-149550 II, Model. D, chrome 34-35 149551-150000 I, chrorne 1935150001-150124 Reporter FF 34-35150125-150200 Reporter GG 35-36 150201-150850 III, chrome 34-35150851-151100 Standard, Model.E 1935 151101-151225 III, Model F 1935151226-151300 II, Model D 1935151301-152500 III, Model F 1935152501-152600 Standard (E), chrome 1935 152601-153175 III, chrome 1935152176-153225 II, Modeln D 1935153226-153550 III, Model F 1935153551-153700 II, Model D 1935153701-154150 III, Model F 1935154151-154200 II, Model D 1935154201-154800 III, Model F 1935154501-154900 Standard (E), chrome 1935 154901-156200 III, Model F 1935156201-156850 llla, Model G 1935 150851-157250 III, Model F 1935157251-157400 II, Model D 1935157401-158300 llla,Model G 1935 158301-158350 Standard 1935158351-158400 II, Model D 1935158401-158650 llla, Model G 1935 168651-159000 III, Model F 1935159001-159200 llla, Model G 1935 159201-159350 Standard 1935159351-159550 III, Model F 1935159551-159625 IIIa, Model G 1935 159626-159675 III, Model F 1935159676-160325 llla, Model G 1935 160326-160375 III, Model F 1935l60376-160450 llla, Model G 1935 160451-160700 II, Model D 1935160701-161150 Standard 1935161151-161450 II, Model D 1935161450-161550 llla, Model G 1935 161551-161600 III, Model F 1935 161601-161800 llla, Model G 1935 161801-161950 III, chrome 1935 161951-162100 IIIa, Model G 1935 162101-162175 III,Model F 1935 162176-162350 llla,Model G 1935 162351-162400 III,Model F 1935 162401-162500 llla,Model G 1935 162501-162625 III,Model F 1935 162626-162675 llla,Model G 1935 162676-162750 III,Model F 1935 162751-162800 llla,Modele1 G 1935 162801-162825 III,Model F 1935 162826-162925 IIIa,Model G 1935 162926-162975 III,Model F 1935 162976-163050 llla,Model G 1935 163051-163100 III,Model F 1935 163101-163225 IIIa,Model G 1935 163226-163250 III,Model F 1935 163251-163400 llla,Model G 1935 163401-163450 Standard 1935163451-163550 llla,Modele1 G 1935 163551-163775 III,Model F 1935 163776-163950 llla,Model G 1935 163951-164150 Standard 1935 164151-164275 llla,ModelaI G 1935 164276-164675 III,Model F 1935 164676-164900 llla,Model G 1935 164901-165700 II,Model D 1935 165001-165100 III,Model F 1935 165101-165300 II,Model D 1935 165301-165500 Standard 1935 165501-165975 III,Model F 1935 165976-166075 llla, Model G 1935 166076-166600 III,Model F 1935 166601-166750 llla,Model G 1935 166751-166900 III,Model F 1935 166901-167050 llla,Model G 1935 167051-167175 III,Model F 1935 167176-I67200 llla,Model G 1935 167201-167225 III,Model F 1935 167226-167700 llla,Model G 1935 167701-167750 III,Model F 1935167751-168000 Standard 1975 168001-168200 II,Model D 1935 168201-168250 III,Model F 1935 168251-168325 llla,Model G 1935 168326-168400 III,Model F 1935 168401-168500 III,Model G 1935 168501-168600 III,Model F 1935 168601-168725 llla,Model G 1935 168726-168750 III,Model F 1935 168751-168850 llla,Model G 1935 168851-169000 Standard 1935 169001-169200 III,Model F 1935 169201-169350 Standard 1935 169351-169450 II,Model D 1935 169451-169550 III,Model F 1935 169551-169650 II,Model D 1935 169651-170150 llla,Model G 1935 170151-170500 III,Model F 1935 170501-171300 llla,Model G 1935 171301-171550 II,Modele1 D 1935 I71551-171900 Standard 1935 171901-172250 llla,Model G 1935172301-172350 llla,Model G 1935 172351-172670 III,Model F 1935 172601-172800 II,Model D 1935 172801-173000 Standard 1935 173001-173125 llla,Model G 1935 173126-173176 III,Model F 1935 173177-173425 llla,Model G 1935 173426-173475 III,Model F 1935 173476-173500 llla,Modele1 G 1935 173501-173650 Standard 1935 173651-173675 llla,Model G 1935 173676-173725 III,Model F 1935 173726-173825 llla,Model G 1935 173826-173900 III,Model F 1935 173901-174025 llla,Model G 1935 174026-174075 III,Model F 1935 174076-174100 llla,Model G 1935 174101-174125 III,Model F 1935 174126-174150 llla,Model G 1935 174151-174400 III,Model F 1935 174401-174650 II,Model D 1935174676-174750 III,Model F 1935 174751-174950 IIIa, Model G 1935 174951-175125 III,Model F 1935 175126-175200 IIIa,Model G 1935 175201-175350 III,Model F 1935 175351-175450 IIIa,Model G 1935 175451-175500 III,Model F 1935 175501-175700 Standard 1935 175701-175750 III,Model F 1935 175751-175850 IIIa,Model G 1935 175851-175900 III,Model F 1935 175901-176100 llla,Model G 1935 176101-176150 III,Model F 1935 176151-176250 IIIa,Model G 1935 176251-176300 III,Model F 1935 176301-176600 llla,Model G 1935 176601-177000 III,Model F 1935 177001-177400 llla,Modela 1935 177401-177550 III,Model F 1935 177551-177600 llla,Model G 1935 177601-177700 III,Model F 1935177701-177800 Standard 1935177801-177900 llla,Mddel G 1935177901-178000 III,Model F 1935178001-178100 llla,Model G 1935178171-178250 III,Model F 1935178251-178550 llla,Model G 1935178551-178600 III,Model F 1935178601-179200 llla,Model G 1935179201-179250 III,Model F 1935179251-179500 llla,Model G 1935179501-179575 II,Model D 1935179576-179800 Standard 1935179801-179900 II,Model D 1935179901-180100 llla,Model G 1935Leica 机身序列号(181001~261600)序列号型号生产日期181001-181450 IIIa, Model G 1935181451-181550 III, Model F 1935181551-181600 IIIa, Model G 1935181601-181700 III, Model F 1935181701-182000 IIIa, Model G 1935182001-182050 III, Model F 1935182301-182350 III, Model F 1935 182351-182500 IIIa, Model G 1935 182501-182700 Standard 1935 182701-182850 II, Model D 1935 182851-183500 lIIa,Model G 1935 183501-183600 II, Model D 1935 183601-183750 Standard 35-36 183751-184400 lIIa,Model G 1936 184401-184450 III, Model F 1936 184451-184700 IIIa, Model G 1936 184701-184750 III, Model F 1936 184751-184800 IIIa, Model G 1936 184801-184950 III, Model F 1936 184951-185200 IIIa, Model G 1936 185201-185350 III, Model F 1936 185351-185500 II, Model D 1936 185501-185650 Standard 1936 185651-185700 III, Model F 1936 185701-185800 Standard 1936 185801-186100 IIIa, Model G 1936 186101-186200 III, Model F 1936186501-186550 III, Model F 1936 186551-186800 IIIa, Model G 1936 186810-186900 III, Model F 1936 186901-186950 IIIa, Model G 1936 186951-187000 III, Model F 1936 187001-187100 IIIa, Model G 1936 187101-187200 III, Model F 1936 187201-187400 IIIa, Model G 1936 187401-187500 III, Model F 1936 187501-187650 II, Model D 1936 187651-187775 III, Model F 1936 187776-187785 IIIa, Model G 1936 187786-187850 III, Model F 1936 187851-188100 IIla, Model G 1936 188101-188300 III, Model F 1936 188301-188600 Standard 1936 188601-188750 II, Model D 1936 188751-189300 IIIa, Model G 1936 189301-189475 III, Model F 1936 189476-189800 IIIa, Model G 1936 189801-189900 iii, Model F 1936190201-190500 III, Model F 1936 190501-190700 IIIa, Model G 1936 190701-190900 III, Model F 1936 190901-191100 IIIa, Model G 1936 191101-191200 III, Model F 1936 191200-191300 II, Model D 1936 191301-191350 IIIa, Model G 1936 191351-191500 III, Model F 1936 191501-191650 II, Model D 1936 191651-191750 Standard. 1936 191751-191850 III, Model F 1936 191851-192100 IIIa,Model G 1936 192101-192400 III, Model F 1936 192401-192500 IIIa, Model G 1936 192501-192800 III, Model F 1936 192801-192950 II, Model D 1936 192951-193200 IIla,Model G 1936 193201-193450 Standard 1936 193451-193500 IIIa, Model G 1936 193501-193600 III, Model F 1936 193601-194300 IIIa, Model G 1936194651-194850 II, Model D 1936 194851-194950 Standard 1936 194951-196200 IIIa, Model G 1936 196201-196300 III, Model F 1936 196301-196400 IIla,Model G 1936 196401-196550 II, Model D 1936 196551-196750 Standard 1936 196751-197400 IIIIa, Model G 1936 197401-197500 Standard 1936 197501-197550 IIIa, Model G 1936 197551-197800 III, Model F 1936 197801-198200 IIIa, Model G 1936 198201-198400 III, Model F 1936 198401-198800 lIIa,Model G 1936 198801-198900 III, Model F 1936 198901-199200 IIIla, Model G 1936 199201-199300 III, Model F 1936 199301-199500 IIIa, Model G 1936 199501-199600 III, Model F 1936 199601-199800 II, Model D 1936 199801-200100 IIla,Model G 1936200201-200500 IIIa, Model G 1936 200501-200650 II, Model D 1936 200651-200750 Standard 1936 200751-201100 III, Model F 1936 201101-201200 III, Model F 1936 201201-201300 IIIa, Model G 1936 201301-201400 III, Model F 1936 201401-201600l IIIa, Model G 1936 201601-201700 Standard 1936 201701-202300 IIIa, Model G 1936 202301-202450 II, Model D 1936 202451-202600 IIIa, Model G 1936 202601-202700 III, Model F 1936 202701-202800 IIIa, Model G 1936 202801-202900 II, Model D 1936 202901-203100 IIIa, Model G 1936 203101-203300 III, Model F 1936 203301-203400 Standard 1936 203401-204100 IIIa,Model G 1936 204101-204200 III, Model F 1936 204201-204300 IIIa, Model G 1936204501-204600 III, Model F 1936 204601-204800 IIIa, Model G 1936 204801-205000 III, Model F 1936 205001-205100 IIIa, Model G 1936 205101-205300 III, Model F 1936 205301-205400 IIIa, Model G 1936 205401-205500 II, Model D 1936 205501-205700 Standard 1936 205701-207300 IIIa, Model G 1936 207301-207400 II, Model D 1936 207401-207600 Standard! 1936 207601-207800 III, Model F 1936 207801-208000 IIIa, Model G 1936 208001-208300 III, Model F 1936 208301-208600 IIIa, Model G 1936 208601-208800 III, Model F 1936 208801-209000 IIIa, Model G 1936 209001-209600 III, Model F 1936 209601-209900 II, Model D 1936 209901-210100 llla,Model G 1936 210101-210200 III, Model F 1936210401-210900 Standard 1936 210901-211000 iii, Model F 1936 211001-211600 IIIa, Model G 1936 211601-211700 III, Model F 1936 211701-211800 IIIa, Model G 1936 211800-211900 II,ModelD 1936 211901-212400 IIIa, Model G 1936 212401-212700 Standard 1936 212701-212800 IIIa, Model G 1936 212801-213200 III, Model F 1936 213201-213300 IIIa, Model Gl 1936 213301-213600 Standard 1936 213601-213700 II, Model D 1936 213701-214400 IIIa,Model G 1936 214401-214800 Standard 1936 214801-215300 IIIa, Model G 1936 215301-216000 III, Model F 1936 216001-216300 IIIa, Model G 1936 216301-216500 II, Model D 1936 216501-216800 IIIa, Model G 1936 216801-217000 III, Model F 1936217201-217300 III, Model F 1936 217301-217500 Standard 1936 217501-217700 III, Model F 1937 217701-217900 II, Model D 36-37 217901-218300 IIIa, Model G 36-37 218301-218700 II, Model D 1936 218701-218800 III, Model F 1936 218801-219600 IIIa, Model G 1936 219601-219800 II, Model D 1936 219801-219900 IIIa, Model G 1936 219901-220000 III, Model F 1936 220001-220300 IIIa, Model G 1936 220301-220500 II, Model D 1937 221401-222150 IIIa, Model G 1936 220501-220600 IIIa, Model G 1936 220601-220700 III, Model F 1936 220701-220900 IIla,Model G 1936 220901-221000 III, Model F 1936 221001-221300 IIIa, Model G 1936 221301-221400 III, Model F 1936 222151-222200 III,Model F 1936222301-222700 Standard 1937 222701-223000 II, Model D 1937 223001-223300 III, Model F 1937 223301-223600 IIIa, Model G 1936 223601-223700 III, Model F 1936 223701-224600 IIIa, Modelef G 36-37 224601-224800 Standard 36-37 224801-224900 IIIa, Model G 36.37 224901-225000 III, Model F 36-37 225001-225200 IIIa, Model G 36-37 225201-225300 III, Model F 36-37 225301-225400 IIIa, Model G 36-37 225401-225600 III, Model F 36-37 225601-226300 IIIa, Model G 36-37 226301-226400 III, Model F 36-37 226401-227000 IIIa, Model G 36-37 227001-227050 III, Model F 36-37 227051-227600 IIIa, Model G 36-37 227601-227650 III, Model F 36-37 227651-231500 IIIa, Model G 36-37 231501-231600 III, Model F 36-37231601-231800 IIIa,Model G 36-37 231801-231900 III, Model F 36-37 231901-232200 IIIa, Model G 36-37 232201-232500 III, Model F 36-37 232501-232800 IIla, Model G 36-37 232801-232900 III, Model F 36-37 232901-233400 IIla,Model G 36-37 233401-233500 III, Model F 36-37 233501-233700 Standard 1937 233701-233800 III, Model F 1937 233801-234000 IIIia, Modelet G 1937 234001-234100 II, Model D 1937 234101-234200 III, Model F 1937 234201-234500 IIIa, Model G 1937 234501-234600 III, Model F 1937 234601-235100 IIIa, Model G 1937 235101-235200 III, Model F 1937 235201-235800 IIIa, Modelef G 1937 235801-235875 III, Model F 1937 235876-236200 IIIa, Model G 1937 236201-236300 III, Model F 1937 236301-236500 IIIa, Model G 1937236501-236700 II, Model D 1937 236701-236800 IIIa, Model G 1937 236801-236900 III, Model F 1937 236901-237000 IIIa, Model G 1937 237001-237200 III, Model F 1937 237201-237500 IIIa, Model G 1937 237501-237600 III, Model F 1937 237601-238000 IIIia, Model G 1937 238001-238100 III, Model F 1937 238101-238500 IIIa, Model G 1937 238501-238600 III, Model F 1937 238601-238800 IIIa, Model G 1937 238801-238825 III, Model F 1937 238826-238900 IIIa, Model G 1937 238901-239000 III, Model F 1937 239001-239100 IIIa, Model G 1937 239101-239300 III, Model F 1937 239301-239400 IIIa, Model G 1937 239401-239600 III, Model F 1937 239601-239700 IIIa, ModelefG 1937 239701-239800 III, Model F 1937 239801-240000 Standard 1937241001-241100 IIIa, Model G 37-38 241101-241300 III, Model F 37-38 241301-241500 IIIa, Model G 37-38 241501-241700 II, Model D 37-38 241701-241900 Standard 37-38 241901-242000 II, Model D 37-38 242001-243000 IIlb, Model G 37-38 243001-243400 IIIa, Model G 37-38 243401-243500 III, Model F 37-38 243501-243800 II, Model D 37-38 243801-244100 IIIa, Model G 37-38 244101-244200 III, Model F 37-38 244201-244400 Standard 37-38 244401-244600 III, Model F 37-38 244601-244800 IIIa, Model G 37-38 244801-245000 Standard 37-38 245001-245100 IIIa, Model G 37-38 245101-245300 III, Model F 37-38 245301-246200 IIla,Model G 37-38 246201-246300 III, Model F 37-38 246301-246400 IIIa, Model G 37-38246501-246700 II, Model D 37-38 246701-247500 IIIa, Model G 37-38 247501-247600 II, Model D 37-38 247601-248300 IIIa, Model G 37.38 248301-248400 II, Model D 37-38 248401-248600 Standard 37-38 248601-248900 IIIa, Model G 1937 248901-249000 III, Model F 1937 249001-249200 IIIa, Model G 1937 249201-249400 II, Model D 1937 249401-249500 III, Model F 1937 249501-249700 Standard 1937 249701-249800 IIIa, Model G 1937 248801-249900 III, Model F 1937 249901-250300 IIIa, Model G 1937 250301-250400 III, Model F 1937 250401-251200 IIIa, Model G 1937 251201-251300 II, Model D 1937 251301-251500 Standard 1937 251501-251600 IIIa, Model G 1937 251601-251800 II, Model D 1937252001-252200 II, Model D 1937 252201-252900 IIIa, Model G 1937 252901-253000 III, Model F 1937 253001-253200 IIIa, Model G 1937 253201-253400 III, Model F 1937 253401-253500 IIIa, Model G 1937 253501-253600 III, Model F 1937 253601-253800 Standar 1937 253801-254000 IIIa, Model G 1937 254001-254200 III, Model F 1937 254201-254600 IIIa, Model G 1937 254601-254800 II, Model D 1937 254801-254900 III, Model F 1937 254901-256400 IIIa, Model G 1937 256401-256600 Standard 1937 256601-256800 IIIa, Model G 1937 256801-256900 III, Model F 1937 256901-257400 IIIa, Model G 1937 257401-257525 III, Model F 1937 257526-257600 IIIa, Model G 1937 257601-257800 Standard 1937258201-259500 IIIa, Model G 1937259501-259800 II, Model D 1937259801-259900 Standard 1937259901-260000 lIIa,Model G 1937260001-260100 Reporter GG 1937260101-260200 IIIa, Model G 1937260201-260600 III, Model F 1937260601-260800 IIIa, Model G 1937260801-260900 III, Model F 1937260901-261200 IIIa, Model G 1937261201-261300 III, Model F 1937261301-261500 IIIa, Model G 1937261501-261600 III, Model F 1937Leica 机身序列号(261601~357200)序列号型号生产日期261601-261800 IIIa, Model G 1937261801-262000 Standard 1937262001-262800 IIIa, Model G 1937262801-263000 III, Model F 1937263001-263600 IIIa, Model G 1937263601-263900 II, Model D 1937264001-264800 IIIa, Model G 1937 264801-285000 Standard 1937 265001-266000 IIIb, Model G 1937 266001-266100 IIIa, Model G 1937 266101-266200 III, Model F 1937 266201-266400 IIIa, Model G 1937 266401-266500 III, Model F 1937 266501-266800 II, Model D 1937 266801-266900 IIIa, Model G 1937 266901-267000 III, Model F 1937 267001-267700 IIIa, Model G 1937 267701-267800 III, Model F 1937 267801-267900 IIIa, Model G 1937 267901-268000 Standard 1937 268001-268100 IIIa, Model G 37-38 268101-268200 III, Model F 1938 268201-268400 IIIa, Model G 1937 268401-268500 III, Model F 1938 268501-268700 IIIa, Model G 1938 268701-268800 III, Model F 1938 268801-269300 IIIa, Model G 1938269401-269600 IIIa, Model G 1938 269601-269700 III, Model F 1938 269701-270100 IIIa, Model G 1938 270101-270200 III, Model F 1938 270201-270300 IIIa, Model G 1938 270301-270400 III, Model F 1938 270401-271000 IIIa, Model G 1938 271001-271100 II, Model D 1938 271101-271600 Standard 1938 271601-271700 II, Model D 1938 271701-271800 III, Model F 1938 271801-272300 IIIa, Model G 1938 272301-272400 II, Model D 1938 272401-274800 IIIa, Model G 1938 274801-275200 III, Model F 1938 275201-275350 IIIa, Model G 1938。