2009北航应用数理统计期末考试试题及参考解答
- 格式:pdf
- 大小:314.02 KB
- 文档页数:5
北航数理统计答案【篇一:北航数理统计考试题】术部2011年12月2007-2008学年第一学期期末试卷一、(6分,a班不做)设x1,x2,…,xn是来自正态总体n(?,?2)的样本,令t?x?x),试证明t服从t-分布t(2)二、(6分,b班不做)统计量f-f(n,m)分布,证明1f的?(0?1)的分位点x?是1f1??(n,m)。
三、(8分)设总体x的密度函数为?(1??)x?,0?x?1p(x;?)??0,其他?其中???1,是位置参数。
x1,x2,…,xn是来自总体试求参数?的矩估计和极大似然估计。
四、(12分)设总体x的密度函数为?1?x???exp???,x???p(x;?)??????,??0,其它其中???????,?已知,??0,?是未知参数。
x1,x2,…,xn是来自总?体x的简单样本。
(1)试求参数?的一致最小方差无偏估计?;(2)?是否为?的有效估计?证明你的结论。
五、(6分,a班不做)设x1,x2,…,xn是来自正态总体n(?简单样本,y1,y2,…,yn是来自正态总体n(?两样本相互独立,其中?设h0:?1??2,h1:?1??2,1221?,?1)2的,?2)的简单样本,且21,?1,?2,?222是未知参数,???22。
为检验假可令zi?xi?yi, i?1,2,...,n ,???1??2 ,则上述假设检验问题等价于h0:?1?0,h1:?1?0,这样双样本检验问题就变为单检验问题。
基于变换后样本z1,z2,…,zn,在显著性水平?下,试构造检验上述问题的t-检验统计量及相应的拒绝域。
六、(6分,b班不做)设x1,x2,…,xn是来自正态总体n(?简单样本,?0已知,?2未知,试求假设检验问题h0:?2,?)02的??0,h1:?22??02的水平为?的umpt。
七、(6分)根据大作业情况,试简述你在应用线性回归分析解决实际问题时应该注意哪些方面?八、(6分)设方差分析模型为?xij????i??j??ij?2??ij服从正态总体分布n(0,?)且?ij相互独立??i?1,2,...,p;j?1,...,q?pq??和?满足??i?0,??j?0.j?ii?1j?1?总离差平方和pst?sa?sb?se中sa?q?(xi??x),x?i?1x??pqi?1j?11pqij,xi??1qijx?qj?1,且e(se)=(p-1)(q-1)?.?...??p?0的拒绝2试求e(sa),并根据直观分析给出检验假设h0:?1??2域形式。
材料学院研究生会学术部2011年12月2007-2008学年第一学期期末试卷一、(6分,A 班不做)设x 1,x 2,…,x n 是来自正态总体2(,)N μσ的样本,令)x x T -=,试证明T 服从t -分布t (2)二、(6分,B 班不做)统计量F-F(n,m)分布,证明111(,)F F n m αααα-的(0<<1)的分位点x 是。
三、(8分)设总体X 的密度函数为其中1α>-,是位置参数。
x 1,x 2,…,x n 是来自总体X 的简单样本,试求参数α的矩估计和极大似然估计。
四、(12分)设总体X 的密度函数为1x exp x (;) 0 , p x μμσσσ⎧⎧-⎫-≥⎨⎬⎪=⎭⎨⎩⎪⎩,其它,其中,0,μμσσ-∞<<+∞>已知,是未知参数。
x 1,x 2,…,x n 是来自总体X 的简单样本。
(1)试求参数σ的一致最小方差无偏估计σ∧; (2)σ∧是否为σ的有效估计?证明你的结论。
五、(6分,A 班不做)设x 1,x 2,…,x n 是来自正态总体211(,)N μσ的简单样本,y 1,y 2,…,y n 是来自正态总体222(,)N μσ的简单样本,且两样本相互独立,其中221122,,,μσμσ是未知参数,2212σσ≠。
为检验假设012112:, :,H H μμμμ=≠可令12, 1,2,..., , ,i i i z x y i n μμμ=-==-则上述假设检验问题等价于0111:0, :0,H H μμ=≠这样双样本检验问题就变为单检验问题。
基于变换后样本z 1,z 2,…,z n ,在显著性水平α下,试构造检验上述问题的t-检验统计量及相应的拒绝域。
六、(6分,B 班不做)设x 1,x 2,…,x n 是来自正态总体20(,)N μσ的简单样本,0μ已知,2σ未知,试求假设检验问题22220010:, :H H σσσσ≥<的水平为α的UMPT 。
北京航空航天大学BEIHANG UNIVERSITY2009-2010 学年 第二学期期末考试统一用答题册考试课程 概率统计与随机过程A (09J70050)班 级_____________ 学 号 _____________姓 名______________ 成 绩 _________ 考场教室_________ 任课教师_________题号 一 二 三 四 五 六 七[七] 八[八] 总分 分数阅卷人 校对人A2009年6月 24 日8:00—10:00一、单项选择题(每小题3分,满分18分)1、设1234,,,X X X X 是来自正态总体2(0,)N σ的样本,设∑==4141i i X X ,当2σ= ( )时, 概率}21{≤≤X P 最大。
(A, (B )6ln2 , (C, (D ) 32ln 2。
2、 设总体X 的密度函数为1(1)01(;)0x x x f x θθθθ-⎧+<<=⎨⎩(1-),,其它,其中0θ>,12,,,n X X X 是来自总体X 的样本,则参数θ的矩估计量为( )。
(A )1X X - , ( B )22X X - , (C ) 2XX- , ( D ) 21X X -。
3、设1,,n X X 是来自正态总体2(,)N μσ的样本,当c =( )时,222ˆˆX c μσ=+是 2μ的无偏估计,其中2211ˆ()n i i X X n σ==-∑,∑==n i i X n X 11 。
(A )11n -- , (B )11n - , ( C ) 1n - , ( D )1n。
4、设随机变量),(~2σμN X ,则=-||μX E [ ].(A) 0, (B) σ, (C)σπ22, (D) μ.5、两人约定在某地相会,假定每人到达的时间是相互独立的,且到达时间在中午12时到下午1时之间服从均匀分布,则先到者等待10分钟以上的概率为[ ]. (A) 3625, (B) 7225, (C)5247, (D)3611.6、设n X X X ,,,21⋅⋅⋅是总体),(2σμN 的样本,μ已知,下列几个作为2σ的估计量中,较优的是[ ].(A) 2121)(1ˆX X n n i i -=∑=σ, (B) 2122)(11ˆX X n n i i --=∑=σ, (C) 2123)(1ˆμσ-=∑=n i i X n , (D) 21124)(11ˆμσ--=∑-=n i i X n .二、填空题(每小题3分,满分18分)1、有n 个白球与n 个黑球任意地放入两个袋中,每袋装n 个球.现从两袋中各取一球,则所取两球颜色相同的概率为 。
材料学院研究生会学术部2011 年12 月2007-2008学年第一学期期末试卷一、(6 分,A 班不做)设x1,x2,⋯,x n是来自正态总体N( , 2) 的样本,令2(x1 x2)T(x3 x4)2 (x5 x6)2 ,试证明T 服从t-分布t(2)二、( 6 分, B 班不做 ) 统计量F-F(n,m) 分布,证明1的 (0< <1)的分位点x 是1。
F F1 (n,m) 。
三、(8分)设总体X 的密度函数为其中1,是位置参数。
x1,x2,⋯,x n是来自总体X 的简单样本,试求参数的矩估计和极大似然估计。
四、(12分)设总体X 的密度函数为1xexp ,xp(x; )0 , 其它其中, 已知,0, 是未知参数。
x1,x2,⋯,x n 是来自总体X 的简单样本。
1)试求参数的一致最小方差无偏估计;2) 是否为的有效估计?证明你的结论。
五、(6分,A 班不做)设x1,x2,⋯,x n是来自正态总体N( 1, 12) 的简单样本,y1,y2,⋯,y n 是来自正态总体N( 2, 22) 的简单样本,且两样本相互独立,其中1, 12, 2, 22是未知参数,1222。
为检验假设H0 :可令z i x i y i, i 1,2,..., n ,1 2 ,1 2, H1 : 1 2,则上述假设检验问题等价于H0 : 1 0, H1: 1 0,这样双样本检验问题就变为单检验问题。
基于变换后样本z1,z2,⋯,z n,在显著性水平下,试构造检验上述问题的t-检验统计量及相应的拒绝域。
六、(6 分,B 班不做)设x1,x2,⋯,x n是来自正态总体N( 0, 2) 的简单样本,0 已知,2未知,试求假设检验问题H0: 202, H1: 202的水平为的UMPT。
七、(6 分)根据大作业情况,试简述你在应用线性回归分析解决实际问题时应该注意哪些方面?八、(6 分)设方差分析模型为总离差平方和试求E(S A ) ,并根据直观分析给出检验假设H0 : 1 2 ... P 0的拒绝域形式。
《应用数理统计》试卷 第 1 页 共 4 页《应用数理统计》期末考试试卷一、单项选择题:(每小题2分,共20分)在每小题列出的四个选项中只有一个选项是符合题目要求的,请将正确选项前的字母填在题后的括号内。
1、设随机事件A 与B 互不相容,且P(A)>0,P(B)>0,则( )A.P(A)=1-P (B )B.P(AB)=P(A)P(B)C.P(A ∪B)=1D.P(AB )=1 2、设A ,B 为随机事件,P(A)>0,P (A|B )=1,则必有( ) A.P(A ∪B)=P(A) B.A ⊂B C.P(A)=P(B) D.P(AB)=P(A)3、将两封信随机地投入四个邮筒中,则未向前面两个邮筒投信的概率为( )A.2422B .C C 2142 C .242!A D.24!!4、某人连续向一目标射击,每次命中目标的概率为34,他连续射击直到命中为止,则射击次数为3的概率是( ) A.()343B.41)43(2C. 43)41(2D.C 4221434()5、已知随机变量X 的概率密度为f X (x ),令Y=-2X ,则Y 的概率密度f Y (y)为( )A.2f X (-2y)B.f X ()-y2C.--122f y X () D.122f y X ()- 6、如果函数f(x)=x a x b x a x b,;,≤≤或0<>⎧⎨⎩是某连续随机变量X 的概率密度,则区间[a,b]可以是( )A.〔0,1〕B.〔0,2〕C.〔0,2〕D.〔1,2〕7、下列各函数中是随机变量分布函数的为( )A.F x xx 1211(),=+-∞<<+∞B..0,1;0,0)(2x x x x x F ≤C.F x e x x 3(),=-∞<<+∞-D.F x arctgx x 43412(),=+-∞<<+∞π8 则P{X=0}=A.112B.212 C. 412 D. 5129、已知随机变量X 和Y 相互独立,且它们分别在区间[-1,3]和[2,4]上服从均匀分布,则E(XY)=( ) A. 3 B. 6 C. 10 D. 12 10、设Ф(x)为标准正态分布函数,X i =10,,事件发生;事件不发生,A A ⎧⎨⎩ i=1,2,…,100,且P(A)=0.8,X 1,X 2,…,X 100相互独立。
专业学位研究⽣应⽤数理统计期末试题航天学院2019-2020学年第⼀学期专业学位研究⽣《应⽤数理统计》课程考试卷(A卷)考核形式:开卷部门:班级:姓名:说明:下列试题均可⽤SPSS软件计算,所有问题均要求提供纸质答案及电⼦答案。
最后⼀题要求提供数据⽂件.sav和输出⽂件.spv.⽤两种软件提供答案的试卷可适当加分。
2章参数估计⼀、随机地从A批导线中抽取4根,并从B批导线中抽取5根,测得其电阻(单位:)设测试数据分别服从正态分布,在下列两种情况下讨论两总体均值差的区间估计。
(1)两总体⽅差相等;(2)两总体⽅差不等。
3章假设检验⼆、为研究长跑运动对增强普通⾼校学⽣⼼脏功能的效果,对某⾼校15名男⽣进⾏测试,经过5个⽉的长跑训练后看其晨脉是否减少。
锻炼前后的晨脉数据如下表所⽰。
试问锻炼前后的晨脉在显著性⽔平0.05下有⽆显著性差别。
4章⽅差分析三、为了研究⽕箭燃料和推进器对⽕箭射程的影响,选⽤了4种不同燃料和3种不同推进器,将他们相互搭配并在每⼀种搭配下做了两次试验,得到⽕箭射程(海⾥)数据如下表。
在显著性⽔平0.05下,试分析燃料、推进器以及燃料和推进器这两种因素的交互作⽤对⽕箭射程的影响是否显著?6章回归分析四、国家需要⼤⼒发展国际旅游⾏业以增加国家的外汇收⼊,外汇收⼊Y 与接待的旅游⼈数X 之间构成什么样的统计关系呢?根据2004年的中国统计年鉴,得到1985—2002年间的统计数据如下表:(1)试根据上述数据建⽴外汇收⼊Y 与接待的旅游⼈数X 之间的回归模型,并进⾏回归分析,对2003年和2004年的外汇收⼊Y 与接待的旅游⼈数X 进⾏预测。
(2)试查找2005-2016年间连续6年的国家的外汇收⼊与接待的旅游⼈数的相关统计数据,分析其是否符合(1)中的模型,如不符合,试建⽴新的回归模型。
(3)利⽤(2)中的回归模型对我国2017年(可验证)和2019年(预测)的外汇收⼊Y 与接待的旅游⼈数X 进⾏预测。
2214243.(1)[||]0.140(2)[||]0.144(,4),(,),(0,)[||]20.1800255(3){||0.1}2(10.9521.9615372tnE a D nnE aN a N a t a NnnE t t dtnP t Pnξξξξξξπ-+∞-==≤⇒=-≤=-==≤==≤=≤=Φ-≥=⇒≥⎰《应用数理统计》参考答案习题一0.51.(,0.5)(,){||0.1}0.9972.97442N a N anP a Pnξξξξ⇒-<=<==⇒=2242.(,4)(,)100||(1)(||)()0.90,0.330.20.2(2):P(||)N a N aa UP a U P Uaξξξξσξεε⇒--<=<==-≥≤挈比学夫不等式(5)(5)125515(3){15}1{15}1{15,15,,15}1215121[{}]221[1(1.5)]0.292P P P P ξξξξξξ>=-≤=-≤≤≤--=->=--Φ=1121212111()(1){}{,,,}{1,1,,1}()()(1)(1)k n n nn m nm n m n m ni i P k pq P M m P m m m P m m m pqpq q q ξξξξξξξ----======≤≤≤-≤-≤-≤-=-=---∑∑4.5. 6. 13.0)25(1}8.012138.012{}13{)54,12(~)1()4,12(~=Φ-=->-=>ξξξξP P N N (1)(1)1255511515(2){10}1{10}1{10,10,,10}1[{10}]1[1{10}]1210121[1{}]221[11(1)]0.579P P P P P P ξξξξξξξξ<=-≥=->>>=->=--≤--=--≤=--+Φ=6(1)0.001567.2800~(0.0015)(1){800}[{800}][0.0015]x E P P e dx e ξξξ∞-->=>==⎰6(6)30000.00156 4.56(2){3000}[{3000}][0.0015](1)x P P e dx e ξξ--<=<==-⎰1212(2){}{,,,}{1,1,,1}n n nn P K k P k k k P k k k ξξξξξξ==≥≥≥-≥+≥+≥+7.8.均值的和(差)等于和的均值,方差的和差都等于方差的和9.由中心极限定理:10.11.22222(1)(1)(1)()222~()()()[()](,)it itit n e n n e n e it i t t tn it it n n nn p t e t t ee n e e e N n λξλλξξλλλλλξλϕϕϕλξλ---+--∴=∴======∴12121233~(20,3),~(20,),~(20,)10151~(0,)2{||0.3}1220.67N N N N P P ξξξξξξξξξ-∴->=->=-Φ=2(),(),E a D ξξσ==121(0,1)(0,1)~(,)n n i i i ni i na a n N N N a n nξξσξσξ==--∴∴=∑∑∑22222222,(),()()(),(),(),(,)k k k k k k k k k k k k k kk k E a E a D E E a a a a E A a D A n a a A N a nξξξξξ===-=--∴==-∴22121212222(),()(),()0,()()()2,()()()2,i i E E a D D E D D D E E D ξξξξσξξξξξξσξξξξξξσ====∴-=-=+=∴-=-+-=13.14.15.16.2212221221,(),(),()()0,()()()(1),11[()](1)1niii ii i iniiniiE a E a D DnE D D DnDn D nDES n Dn nE ES Dn n nσξξξσξξξξξξξσξξξξξξξ=======∴-=-=+--===--==--∑∑∑222222222424222(1),11()(1)()2(1)21 ()2(1)() nsnns nE n Es On nns nD n Ds On n n χσσσσσσσ--=-⇒==+-=-⇒==+112323''' '2(121)(1)()()()()5231()(121)23023021AD E E E EA E E A AVar Aξξξξξξηξηηηηηξξξξξ⎛⎫⎪-+=-==⎪⎪⎝⎭=--=--⎛⎫⎛⎫⎪⎪==--=⎪⎪⎪⎪⎝⎭⎝⎭11223''''110(2)(,)111()()()()5231()(121)23023021BE E E EB E E B BVar Bξηηηξξξηηηηξξξξξ⎛⎫⎛⎫ ⎪===⎪ ⎪⎝⎭ ⎪⎝⎭∑=--=--⎛⎫⎛⎫⎪⎪==--=⎪⎪⎪⎪⎝⎭⎝⎭11222211()2822121(2)||2241128116xx xxe dx dxπ⎛⎫⎛⎫- ⎪⎪∞∞⎝⎭⎝⎭-∞-∞-=∑-⎛⎫⎛⎫∑==⎪ ⎪-⎝⎭⎝⎭⎰⎰17.18.21.22.()11223'122'111110(,),211151,1101221111111100130111100310110N A A AAA Aξηξηξηηθθ⎛⎫⎛⎫⎛⎫ ⎪⎪ ⎪ ⎪⎝⎭⎝⎭ ⎪⎝⎭∑⎛⎫⎛⎫⎛⎫⎪==⎪ ⎪⎪⎝⎭⎝⎭⎪⎝⎭⎛⎫⎛⎫⎛⎫⎛⎫⎪⎪∑=-=⎪ ⎪⎪⎪⎝⎭⎝⎭⎪⎪⎝⎭⎝⎭‘=,由引理1.2.3,则-的联合分布为--11223''12111111~(,),1011111432111111121301111210.2N A A AA Aξηξξηξηθρρρρρρρρρηη⎛⎫⎛⎫⎛⎫ ⎪⎪ ⎪ ⎪-⎝⎭⎝⎭ ⎪⎝⎭∴∑⎛⎫⎛⎫+--⎛⎫⎛⎫⎪⎪∑=-=⎪ ⎪⎪⎪---⎝⎭⎝⎭⎪⎪-⎝⎭⎝⎭∴--=⇒=-==A,--时与独立2''44''22'''''' 44224(0,)(,)()()2()()()()()cov(,)(,)()() ()()2()()()2()nN IE A B tr A tr B tr ABE A E B tr A tr BA B E A B E A E Btr A tr B tr AB tr A tr B tr AB ζσζζζζσσζζζζσσζζζζζζζζζζζζσσσσσ=+=∴=-=+-=()11112222121122,1,1,0822177,122477yay y Qyba babθθθθθθθ--⎛⎫⎛⎫--=⎪⎪-⎝⎭⎝⎭⇒===-=⎛⎫⎪⎛⎫⎛⎫∴=∑== ⎪⎪ ⎪⎪⎝⎭⎝⎭⎪⎝⎭23.24.又 则令 则与 独立,则 与独立,且26.则2212221~(,),~(0,),~(1),(0,1)/(1)n n N a N n n ns n N T t n σξξξσξξχσξξ++----=-'11111(,,),(,,)111(,,),()11n n n ij n n n n i i i ia a B D nn n ξξθξσσσσδσσ⨯======-∑∑'2,0,D D D BD ===221(,)(,)1()n ni i nnB N a N I ηξθσσ===∑,i i i aξγσ-=2'11,()()()ni i i a D n ηγζγγξθξθσ=-==-=--∑∑B nηξ=ξηζ)1(~2-n χζ11(,)22U ξθθ-+(1)()121111221111()2201()121()()[1()]1[]21()()[()][]2(,)(1)()()[()()](1)[]n x n n n n n n n x f x other F x dx x f x nf x F x n x f x nf x F x n x f x y n n f x f y F y F x n n y x ξξθξξθθθθθ-------⎧-<<+⎪=⎨⎪⎩==-+∴=-=⋅⋅-+==⋅+-=--=⋅-⋅-⎰27.33.2222122222212222(0,),1()||2 ()()()()22(1)iyniniiY a NE d Y dynaD dE d E d Ennn nσξσσξσσσπσσσππ-∞-∞===-==-=-=-=⋅-=-∑⎰∑2222122122210.3(0,0.3),(0,)1010()(9)0.310()100.18{}0.30.3{(2}0.01iniiniiniN NPPξξξξχξξξ===--⨯<=<=∑∑∑222(2)(0,1),(1)0.3(9){0.9}0.9932nsN ntP Psnξχσξξξ--<=<=12121222221221212(3)(0,0.18),(0,0.18)(0,1),(0,1)0.18(1),()(1)0.18{()40}0.9N NN NPξξξξχχξξξξ+-+-+<=-224132244(4)~(1),~(0,0.12),10.73 {10.73}{}0.95NP Pξχξξξξ-<=<=34.《应用数理统计》参考答案2211222212222211(1)(0,),(0,)(1),()(1)11,()()(2)nn miii i n nniii nn mi i i i n N n N m n m m a b n m a b n m ξσξσξξχχσσσξξχ+==+=+==+--==++-∑∑∑∑∑∑222211112(2)(),(0,)(0,1),/(),n mni ii n i nniii i i m N n N t m c m n ξχξσσξξσσ+=+===∴=∑∑∑∑∑2222221121221(3)(),()()/(1,1),/nn mi i i i n ni i n mi i n n m n mF n m d nm ξξχχσσξσξσ+==+=+=+--∴=∑∑∑∑1. 由矩估计法2. (1) 由矩估计法(2)(3)(4)(5)818226212266174.00281610(74.002)88610 6.85710181ii i i a X x S x n S S n σ=-=--⎧===⎪⎪⎨⎪==⨯=-⎪⎩∴==⨯⨯=⨯--∑∑11'1202()33A x EX x dx θαξθθαξθθξ==-====∴=⎰111'101(1)2211A EX x x dx θαξθαθξθξθξ==+==+==+-∴=-⎰1211211122222221212222222121112()2x x n i i e xdx e x dx A X n A S S S θθθθθθαθθξθαθθξθξθξθθξθξθ--+∞--+∞==⋅=+==⋅===+∴=+==-+⎧=-⎪∴⎨=⎪⎩⎰∑⎰111(1)122Ni N NA x N NN ξξ=+===⋅⇒=∑11102()1A dx ξξθξ===⇒=-⎰2∞3.4.2()2{0},(){0}{}()0.7,110.7,0.525x aA X AP A P dxa aP a pp aξξξ--=<=<=--=<=Φ-=≈∴≈=-⎰设表示出现的次数,(1)11111(1)()ln()[ln ln(1)ln]ln()1[ln ln]ln ln0 ln lnniiniin ni ii iniiL c xL c xLc x n c xnnx n cθθθθθθθθθθθθθ-+=======+-+∂=+-=+-=∂=-∏∑∑∑∑1111221(2)()ln()[ln1)ln]ln()]0(ln)niniiniiniiLL xLxnxθθθθθ======+∂=+=∂=∑∑∑11()()()()11(3)()ln()lnln()11,,,,()0,0,11,()()nnin nn nnn nnnLL nL nLother otherL Lθθθθθθθθξξθξθθθθθξθξθξ====-∂=-=∂⎧⎧≤≤⎪⎪==⎨⎨⎪⎪⎩⎩≤≤=∏11()()()()11(3)()ln()lnln()11,,,,()0,0,11,()()nnin nn nnn nnnLL nL nLother otherL Lθθθθθθθθξξθξθθθθθξθξθξ====-∂=-=∂⎧⎧≤≤⎪⎪==⎨⎨⎪⎪⎩⎩≤≤=∏5.221()212212241(5)()()ln()[ln]22()2()ln()[022in xiniini iiLxLx xLθθθθθθθθθθθθθξθ--====-=-----∂==∂=∑∑(1)11(1)11(1)(1)(6)()ln()[ln ln(1)ln]ln()(),,,()()nc ciiniinc ci niL c xL c c c xL ncL c xL Lθθθθθθθθθθθξξθξθξ-+==-+===--+∂=-=∂=≤≤⇒=∏∑∏不能解出,所以由22111(7)()1)(1)ln()[2ln(2)ln(1)ln(1)]2ln()22]01inxiini iiniiL xL x xx nL nθθθθθθθθθθθξ-====--=+--+--∂=-=⇒=∂-∏∑∑(~(,0)11nUξθ∏6.7.所以不唯一。
北京工业大学2009-20010学年第一学期期末数理统计与随机过程(研) 课程试卷学号 姓名 成绩 注意:试卷共七道大题,请写明详细解题过程。
考试方式:半开卷,考试时只允许看教材《概率论与数理统计》 浙江大学 盛骤等编第三版(或第二版)高等教育出版社。
考试时允许使用计算器。
考试时间120分钟。
考试日期:2009年12月31日一、随机抽取某班28名学生的英语考试成绩,算得平均分数为80=x 分,样本标准差8=s 分,若全年级的英语成绩服从正态分布,且平均成绩为85分,问:能否认为该班的英语成绩与全年级学生的英语平均成绩有显著差异(取显著性水平050.=α)?三、某公司在为期10年内的年利润表如下:(1)求该公司年利润对年份的线性回归方程;(2)对回归方程进行显著性检验:(取05.0=α);(3)解释回归系数的意义;(4)求第11年利润的预测区间(取050.=α)。
四、用三种不同材料的小球测定引力常数,实验结果如下:在单因素试验方差分析模型下,检验材料对引力常数的测定是否有显著影响?取显著性水平05.0=α, 计算结果保留三位小数。
五、某大型设备在任何长度为t 的时间区间内发生故障的次数{}+∞<≤t t N 0),(是强度λ的Poisson 过程,记设备无故障运行时间为T 。
(1)求})(|)({4365==N N P ; (2)求自相关函数),(t s R N ,写出推导过程;(3)求T 的概率分布函数; (4)已知设备已经无故障运行了10小时,求再无故障运行8小时的概率。
六、(15分)设{,}n X n T ∈是一个齐次马尔可夫链,其状态空间}4,3,2,1{,=I ,一步转移概率矩阵为 ⎪⎪⎪⎪⎪⎭⎫ ⎝⎛=2/12/1004/12/14/1004/14/12/1002/12/1P (1)求}4,2,1,3,2{54321=====X X X X X P ;(2)求}1|3{2==+n n X X P ;(3)讨论此链是否具有遍历性,若是遍历的求其极限分布。
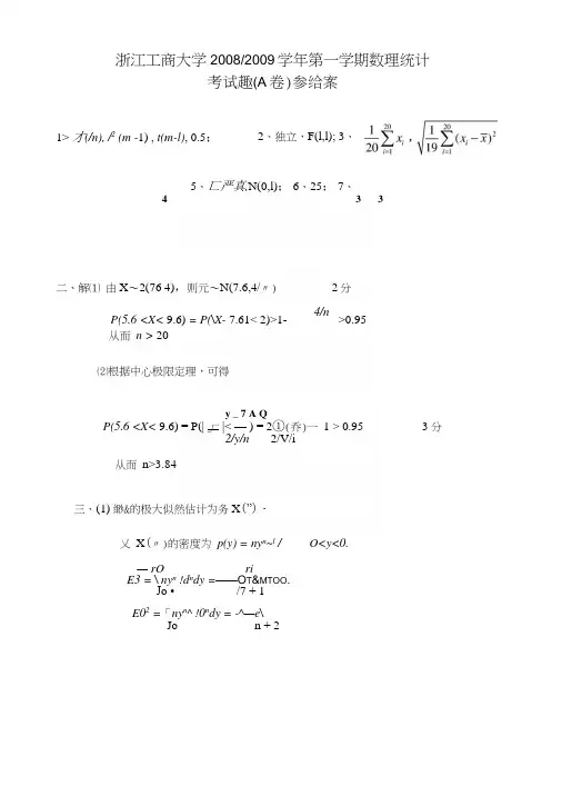
浙江工商大学2008/2009学年第一学期数理统计考试趣(A 卷)参给案1> 才(/n), /2 (m -1) , t(m-l), 0.5;5、匸严真,N(0,l);6、25;7、433二、解⑴ 由X 〜2(76 4),则元〜N(7.6,4/〃) 2分从而 n > 20⑵根据中心极限定理,可得y _ 7 A QP(5.6 <X< 9.6) = P(| _厂 |< — ) = 2①(乔)一 1 > 0.953 分2/y/n 2/V/i从而 n>3.84三、(1) 缈&的极大似然估计为务X (”)・乂 X (〃)的密度为 p(y) = ny n ~l /O<y<0.— rO riE3 = \ ny n !d n dy =——O T &MTOO .Jo • /7 + 1 E02 =「ny n ^ !0n dy = -^—e\ Jo n + 2P(5.6 <X< 9.6) = P(\X- 7.61< 2)>1- 4/n>0.952、独立,F(l,l);3、Var (0) = -^—02 _(丄刖=n + 2 n +1⑵不是,修偏得&的无偏估计/二山 x (“).n⑶ MSE ( 7) = Var (疗)= ',考虑6的形如O a = &X (“)估计,其均方毬为n{n + 2)MSE®) = U“("X (”)) + ©EXg- 0)2 =a 2——?——e 1 + (竺一1)2 &2・ 2分(〃 + 1)~(川 + 2) 川 + 1易得兔=出 时,均方误差达^最小 但〃 + 1P (F 2 < 1) = P (F v 1) = 1 - P (F > 1)n(斤 + 1)(7卄2)2e 1TO ,.r\ [旋(和心)=耐严<旋(〃)02 /!(/?四、证明:Z (x,-//)2 旦—; ---------- 力2(2对2分CT4卄1__Z (X 厂X )23—; ------------ 才(2防2分b”4Var (S^ = Var (S ;) = — 2 分n并由两者的独立性可得2分〜F (2n,2n )2n£(X 「-“)4卄工(X 厂壬)2P(Fvl) = P(丄 vl) = P(F>l)FP(F<l) = 0.5五、⑴宙数据算得方差比的置信区间的两端分别为乱」9,9 丿=需 % 4.03 = 1.00752 分 由此可知其0.95置信区间为[0.0620, 1.0075] 1分⑵两正态总体方差比的置信水平为0.95的置信区间包含1,可以假定两个总体 的方差相等。
概率论与数理统计期末考试试卷答案一、选择题(每题5分,共25分)1. 下列事件中,不可能事件是()A. 抛掷一枚硬币,正面朝上B. 抛掷一枚硬币,正面和反面同时朝上C. 抛掷一枚骰子,出现7点D. 抛掷一枚骰子,出现1点答案:C2. 设A、B为两个事件,若P(A-B)=0,则下列选项正确的是()A. P(A) = P(B)B. P(A) ≤ P(B)C. P(A) ≥ P(B)D. P(A) = 0答案:B3. 设随机变量X服从二项分布B(n, p),则下列结论正确的是()A. 当n增加时,X的期望值增加B. 当p增加时,X的期望值增加C. 当n增加时,X的方差增加D. 当p增加时,X的方差减少答案:B4. 设X~N(μ, σ^2),下列选项中错误的是()A. X的期望值E(X) = μB. X的方差D(X) = σ^2C. X的概率密度函数关于X = μ对称D. 当σ增大时,X的概率密度函数的峰值减小答案:D5. 在假设检验中,显著性水平α表示()A. 原假设为真的情况下,接受原假设的概率B. 原假设为假的情况下,接受原假设的概率C. 原假设为真的情况下,拒绝原假设的概率D. 原假设为假的情况下,拒绝原假设的概率答案:C二、填空题(每题5分,共25分)6. 设A、B为两个事件,P(A) = 0.5,P(B) = 0.6,P(A∩B) = 0.3,则P(A-B) = _______。
答案:0.27. 设随机变量X服从泊松分布,已知P(X=1) = 0.2,P(X=2) = 0.3,则λ = _______。
答案:1.58. 设随机变量X~N(μ, σ^2),若P(X<10) = 0.2,P(X<15) = 0.8,则μ = _______。
答案:12.59. 在假设检验中,若原假设H0为μ=10,备择假设H1为μ≠10,显著性水平α=0.05,则接受原假设的临界值是_______。
答案:9.5或10.510. 设X、Y为两个随机变量,若X与Y相互独立,则下列选项正确的是()A. E(XY) = E(X)E(Y)B. D(X+Y) = D(X) + D(Y)C. D(XY) = D(X)D(Y)D. 上述选项都正确答案:D三、解答题(每题25分,共100分)11. 设某班有50名学生,其中有20名男生,30名女生。
绝密★启用前2009级《概率论与数理统计》期末考试试卷(二)标准答案和评分标准_____________________________________________________________________二、填 空 题(5×4分)1、 0.2;2、 21, 99 ; 3、 1,24; 4. 0.5328 0.6977 ; 5、(12.706,13.294)三、解:设=A {任取一个产品为合格品},=B {任取一个产品被判为合格品},则()()()();03.0,98.002.01,05.0,95.0==-===A B P A B P A P A P ………………2分于是(1) 任意抽查一个产品,它被判为合格品的概率是()()()()()P B P A P B A P A P B A =+0.950.980.050.030.9325=⨯+⨯=……………………………………………6分 (2)一个经检查被判为合格的产品确实是合格品的概率是()()()().9984.09325.098.095.0≈⨯==B P A B P A P B A P ………………………………10分四、解:()1由题意知,()1,010, X x f x others <<⎧=⎨⎩……………………………2分又相互独立,故与的联合概率密度为()()21, 01, 0,,()20, ,y X Y e x y f x y f x f y others -⎧<<>⎪=⋅=⎨⎪⎩…………….5分()2因{a 有实根}={判别式22440X Y =-≥ }{}2X Y =≥,故P {a 有实根}{}2P X Y =≥…………………………………………6分()2,x yf x y dxdy >=⎰⎰21212y x dx e dy -=⎰⎰…………………………………………8分 ()2121xe dx -=-⎰222110222011x x x edx e dx e dx ----∞-∞⎡⎤=-=--⎢⎥⎣⎦⎰⎰⎰()()221221110x x e dx e dx ---∞-∞⎤=⎥⎦=Φ-Φ⎤⎦………………………………10分1 2.50640.34130.1446=-⨯=…………………………………………………11分五、解:由于2i X (1,...,36)(52,6.3),i N =故36111)36523636i i X X X ==⨯⨯∑=,E(,2221 6.3D()36 6.3(),366X =⨯⨯=……2分故26.3(52,())6X N ,从而52(0,1)6.36X N - ………………………………….5分 设52=,6.36X ξ-故50.8525253.852(50.853.8)()6.3 6.3 6.3666X P X P ---<<=<< -81212-8()()()7777P ξφφ=<<=- 128()()10.8293.77φφ=+-≈………………………………………………….10分六、解:()1()()11,E X xf x y dxdy dx +∞+∞-∞-∞-==⎰⎰⎰0=……………………….……………………………….2分由对称性得()0E Y =…………………………………………………….3分()()11,E XY xyf x y dxdy dx +∞+∞-∞-∞-==⎰⎰⎰0=……………………………………………….…………………….5分 而()()()()cov ,0X Y E XY E X E Y =-=,于是0XY ρ=,X 与Y 不相关……………………………………………….…………6分()2()()1,0,1X x f x f x y dy x +∞-∞⎧≤⎪==⎨⎪>⎩⎰……………..……………..8分 由对称性得()()1,0,1 Y y f y f x y dx y +∞-∞⎧⎪≤==⎨⎪>⎩⎰……………………9分当1,1x y ≤≤时,()()(),X Y f x y f x f y ≠故X 与Y 不独立………………………………………………………………11分七、解:()()01;x E X xf x dx x e dx λλλ+∞+∞--∞==⋅=⎰⎰……………………………2分按矩估计法取()1,E X A X ==得1ˆXλ=………………………………………………………………4分 设1,,n x x 为总体X 的一个样本值,则似然函数为1nii x nn nx L e e λλλλ=--∑==………………………………………………………6分 取对数 ln ln L n nx λλ=-由对数似然方程()ln 0d L nnx d λλ=-=…………………………………9分解得1xλ=,……………………………………………………………………10分 故得极大似然估计为1ˆXλ= ………………………………………………11分编辑:张永锋2010-12-8。
考研数学冲刺·概率论与数理统计一、基本概念总结 1、概念网络图⎪⎪⎪⎪⎭⎪⎪⎪⎪⎬⎫→→≤≤=→−−→−→-→≤=→−−→−、协方差、相关系数)数字特征(期望、方差)两大分布(均匀、正态二维随机变量随机事件)数字特征(期望、方差正态)、几何、均匀、指数、、二项、泊松、超几何八大分布(一维随机变量随机事件数字化数字化),(),(),()(10)()()()(y Y x X P y x F Y X AB P x X P x F X A P ω⎪⎪⎪⎩⎪⎪⎪⎪⎨⎧⎪⎩⎪⎨⎧→假设检验参数估计数分布))(多维随机变量的函四大统计分布(正态数理统计理大数定律和中心极限定F t ,,,2χ2、最重要的5个概念(1)古典概型(由比例引入概率)例1:3男生,3女生,从中挑出4个,问男女相等的概率?例2:有5个白色珠子和4个黑色珠子,从中任取3个,问其中至少有1个是黑色的概率? (2)随机变量与随机事件的等价(将事件数字化))()(A P x X P == )(),(AB P y Y x X P ===例3:已知甲、乙两箱中装有两种产品,其中甲箱中装有3件合格品和3件次品,乙箱中仅装有3件合格品。
从甲箱中任取3件产品放入乙箱后,求:(1) 乙箱中次品件数X 的数学期望。
(2) 从乙箱中任取一件产品是次品的概率。
例4:将一枚均匀硬币连掷三次,以X 表示三次试验中出现正面的次数,Y 表示出现正面的次数与出现反面的次数的差的绝对值,求(X ,Y )的联合分布律。
(3)分布函数(将概率与函数联系起来) )()(x X P x F ≤= (4)离散与连续的关系dx x f x X P )()(==dxdy y x f y Y x X P ),(),(===例5:见“数字特征”的公式。
(5)简单随机样本(将概率和统计联系在一起)样本是由n 个同总体分布的个体组成的,相当于n 个同分布的随机变量的组合(n 维随机变量)。
A北京航空航天大学2009-2010 学年第二学期期末《工科数学分析(2)》班号学号姓名成绩一、填空题(每题5分,共40分) 1) 求 ⎰⎰++Ddxdy yx y x 2222)sin(= )cos 12ππ-(其中}0|),{(22π≤+≤=y x y x D 。
2) 计算dxdydz z y x I 2)(++=⎰⎰⎰Ω=54π其中Ω为球体1222≤++z y x 。
3) 求 ⎰=L ds y || )(12238-.)2,1()2,1(,4:2一段到从其中-=x y L4) 计算 ⎰L xydx = 0的一段弧到,上,从为抛物线其中)1,1()11(2B A x y L -=。
5) 计算曲面积分⎰⎰+SS y z d )(22=π22其中 S 为锥面22y z x += 界于0到1之间的部分。
6) 计算 ⎰⎰Sxydxdy = 81其中S 是球面1222=++z y x 在0,0,0≥≥≥z y x 的部分,取外侧.7) 设),,(z x y z x y F =ρ,则=)(F div ρ )(222zxy z x y ++- =)(F rot ρ)(xz y 1,1,1- 8) dy y y y x e dx y y y x e r x x Lr )sin cos ()cos sin (1lim2++-⎰→= π2其中L 为圆心在原点半径为r 的圆周,方向沿逆时针方向。
二、(使用Green 公式计算,本题满分10分) 计算,4.22yx xdyydx L++-⎰其中L 为 ,.42x y -=从点(2,0)到(-2,0)的一段。
解:令 22224,4yx x Q y x y P +=+-=,则当0422≠+y x 时, 有 .)4(422222yPy x x y x Q ∂∂=+-=∂∂--------------- 分2-------- 取椭圆 44:22=+y x ,上半部分记为l ,方向为逆时针,。
中山大学南方学院期末测试题一、判断题(√)1、根据中心极限定理可知,当样本容量充分大时,样本均值的抽样分布服从正态分布,其分布的方差为σ2/n。
(√)2、参数估计就是用样本统计量去估计总体的参数。
(√)3、不存在趋势的时间序列称为平稳时间序列。
(×)4、相关系数为0表明两个变量之间不存在任何关系。
(×)5、在假设检验中,“=”号总是放在备择假设上。
二、单项选择题( B )6、已知某一批元件的正品率为70%,现从中随机抽取容量为n的样本,其中有x个为正品,则x的分布服从:A、正态分布B、二项分布C、泊松分布D、超几何分布( C )7、某总体的均值是10,其离散系数(或变异系数)是0.5,则该总体的方差是:A、5B、100C、25D、20( D )8、假定总体服从正态分布,下列哪种场合适合用t检验统计量进行检验:A、大样本,且总体方差已知B、大样本,且总体方差未知C、小样本,且总体方差已知 D、小样本,且总体方差未知( D )9、根据你的判断,下面的相关系数的取值哪一个是错误的?A、-0.98B、0.89C、0D、1.33( A )10、下面有关相关关系与函数关系之间的关系的说法正确的是:A、相关关系普遍存在,函数关系是相关关系的一种特例B、相关关系与函数关系没有区别C、函数关系普遍存在,相关关系是函数关系的一种特例D、相关关系与函数关系是两种完全不同的现象三、填空题11、在假设检验中,如果检验统计量的P值小于给定的显著性水平α,则在做决策时,需要在显著性水平α的情况下,_ 拒绝_原假设。
12、抽样分布是指样本统计量的概率分布。
13、假设检验依据的基本原理是小概率原理。
14、变量与变量之间存在的不确定的数量关系,称为 相关关系 。
15、同一现象在不同时间上的相继观察值排列而成的序列称为 时间序列 。
16、广义地讲,任何两个数值对比形成的相对数都可以称为 指数 。
四、简答题17、简述假设检验的基本步骤。
北京航空航天大学2008-2009学年第二学期期末考试统一用答题册考试课程高等數学2院系: ____________ 学号_______________ 姓名_________________2009年6月”日一.填空题(每小题4分,共20分) 1.设比=/ \ 2,则? -!ln2dz(12-1) 2 2. 微分方程冬=」一的通解为x=y(\ny + C)^y = Ce^ . dx x+ y ---------------------------------3. 设 D = {(x, y)\x 2 + y 2 < 2x, y > o},则 jj y dxdy =—.D A兀24. 已知 d u(x, y) = (x + ye x )dx + (e x + 2y)dy,则 u(x, y) = 一— y 2 4- ye x + C . 2JV v y v 0 则f (劝的傅里叶级数在X = 7T3 九 Q<X <7T,71 点处收敛于—• 2二.单项选择题(每小题4分,共2()分)1・设函数/(兀,y)有一阶连续偏导数,则使得方程几兀,y) = z 在点P(x 0, y 0,z 0)的某邻域内 能唯一确定一个单值、冇连续偏导数的函数x = g(y,z)的充分条件是(C )(A)于(兀0,为)=0,且咒(兀0』0)工。
・ (B)/UoO ;o )= °»且(兀0*0)工°・ (C) /(兀o ,yo )= Z0,且齐(兀0』0)工°・(D) /(Xo ,yo )= Zo ,且 (兀0,沟)工°・ 2.设空间有界闭区域々由分片光滑有向闭曲面2 (外侧)围成,函数P(x 9y,z)f Q(X 9y 9z),R (兀”z)在X2上有一阶连续偏导数,则卜•列正确的公式是(A )d* = # Qdydz + Rclzdx + Pdxdy. Xfff — + + — dv = Pdxdy + Qdydz + Rclzdx.J#® dy dzj 左{(A)塑+艺+叩 dx dy dz 丿 (B)in 込塑+逖 dx dy dz ) dv = ff(P + Q + H)dS(C)法线方程 x-1 y - V32V33.微分方程(\-x )y f + xy-y = 0的通解是(B )4.设曲面S:x 2+y 2+z 2 =a 2 (z>0), S t 是S 在第一卦限的部分,则有(C )(A) JJ xdS = 4JJ xdS .(B) j|ydS = 4JJ ydS . S S] S S](C) JJ zdS = 4JJ zdS.S S]5.下列叙述中正确的是(C )8(A )若正项级数工知收敛, n=\88 OO (C )若级数工知与工%?都收敛,则级数Y (知+乙)收敛.8 8 OO(D )若级数工知与工b 都发散,贝IJ 级数工(知)发散77=1 n=l n=\三.(10分)求|11|面3”+2〉,2+3, =12在点(1,V3,1)处的切平面与法线方程. 解 设 F(x,y, z) = 3x 2 + 2y 2 + 3z 2 -12,F : = 6无,F ; = 4y, F ; = 6z,则在点(1,V3,D 的法向量n = (6,4V3,6),于是切平面方程3(兀-D + 2巧(y-73) + 3(z-1) = 0, 即 3 无+ 2 巧 y + 3z — 12 = 0, (D) JJJ(P + Q + /?如 强 dydz + dQ j j dR .. —-cizdx + —— dxdy. oy dz(A) y = c x e x 4-C 2 . (C) y = c x e x +c 2x 2.(B) . y = c {e A + c 2x.(D) y = c x e x +c 2e~x . 则lim 也<1."Too U n (B) 若 lim 也 vl U n 8 则级数工2如收敛.n=\x+2y + 3z,求该平而薄板的质量.W M = JJ(x + 2y+ 3z)dS 二 JJ (3 — 2兀一 y)y/3dxdy,D: 0<^<l-x, 0<x<l,S D二间;述 \3-2x-y)dyR i=J^(5 -8x + 3x 2 )dx =逅.五. (10分)计算严+ Mz 力+z 艸,其中刀为球面兀2十2+z2= 1的外侧 Z J (2宀宀 z2)3解 作椭球工。