2018届高三数学基础专题练习:导数与零点(答案版)
- 格式:docx
- 大小:240.61 KB
- 文档页数:5
三年真题专题08 导数与不等式、函数零点相结合(解析附后)考纲解读明方向2018年高考全景展示1.【2018(1时,(22.【2018年理数全国卷II(1(23.【2018年江苏卷】某农场有一块农田,如图所示,它的边界由圆O P 为此圆弧的中点)和线段MN 构成.已知圆O 的半径为40米,点P 到MN 的距离为50米.现规划在此农田上修建两个温室大棚,大棚Ⅰ内的地块形状为矩形ABCD OC 与MN(1(2)若大棚Ⅰ内种植甲种蔬菜,大棚Ⅱ内种植乙种蔬菜,且甲、乙两种蔬菜的单位面积年产值之比2017年高考全景展示1.【2017课标3,理11】已知函数211()2()x x f x x x a e e --+=-++有唯一零点,则a =A .12-B .13C .12D .12.【2017课标1,理21】已知函数2()(2)x x f x ae a e x =+--. (1)讨论()f x 的单调性;(2)若()f x 有两个零点,求a 的取值范围.3.【2017课标II ,理】已知函数()2ln f x ax ax x x =--,且()0f x ≥。
(1)求a ;(2)证明:()f x 存在唯一的极大值点0x ,且()2202e f x --<<。
4.【2017天津,理20】设a ∈Z ,已知定义在R 上的函数432()2336f x x x x x a =+--+在区间(1,2)内有一个零点0x ,()g x 为()f x 的导函数.(Ⅰ)求()g x 的单调区间; (Ⅱ)设00[1,)(,2]m x x ∈,函数0()()()()h x g x m x f m =--,求证:0()()0h m h x <;(Ⅲ)求证:存在大于0的常数A ,使得对于任意的正整数,p q ,且00[1,)(,2],px x q∈ 满足041||p x q Aq -≥.2016年高考全景展示1.【2016高考新课标1卷】已知函数()()()221x f x x e a x =-+-有两个零点.(I)求a 的取值范围;(II)设x 1,x 2是()f x 的两个零点,证明:122x x +<.2. 【2016高考山东理数】(本小题满分13分) 已知()221()ln ,R x f x a x x a x-=-+∈. (I )讨论()f x 的单调性;(II )当1a =时,证明()3()'2f x f x +>对于任意的[]1,2x ∈成立.3.【2016高考江苏卷】已知函数()(0,0,1,1)xxf x a b a b a b =+>>≠≠.设12,2a b ==. (1)求方程()2f x =的根;(2)若对任意x R ∈,不等式(2)f()6f x m x ≥-恒成立,求实数m 的最大值;(3)若01,1a b <<>,函数()()2g x f x =-有且只有1个零点,求ab 的值。
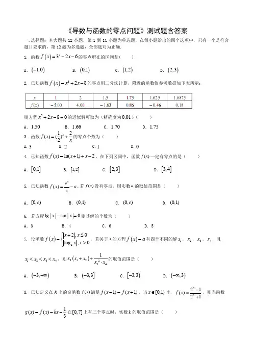
《导数与函数的零点问题》测试题含答案一.选择题:本大题共12小题,第1到11小题为单选题,在每小题给出的四个选项中,只有一个是符合题目要求的,第12题为多选题,全部选对为正确. 1. 函数()326xf x x =+-的零点所在的区间是( )A .()1,0-B .()0,1C .()1,2D .()2,32. 已知函数()328f x x x =+-的零点用二分法计算,附近的函数值参考数据如下表所示:则方程3280x x +-=的近似解可取为(精确度为0.01)( ) A .1.50 B .1.66 C .1.70 D .1.753. 函数12()()2xf x x=+的零点个数为( ) A.3 B.2 C.1 D.04. 已知函数()ln(1)2f x x x =++-,在下列区间中,函数()f x 一定有零点的是( ) A .[]0,1 B .[]1,2 C .[]2,3 D .[]3,45. 已知函数()xe f x a x=-.若()f x 没有零点,则实数a 的取值范围是( )A .[0,)eB .(0,1)C .(0,)eD .(0,1) 6. 若方程lg ||sin ||0x x -=则其解的个数为( )A .3B .4C .6D .5 7. 设函数()22,0log ,0x x f x x x ⎧+≤⎪=⎨>⎪⎩,若关于x 的方程()f x a =有四个不同的解1x ,2x ,3x ,4x ,且1234x x x x <<<,则()3122341x x x x x ++⋅的取值范围是( )A .()3,-+∞B .(]3,3-C .[)3,3-D .(),3-∞ 8. 已知定义在R 上的奇函数()f x 满足(1)(1)f x f x -=+,当[0,1)x ∈时,21()21x xf x ,则当函数1()()3g x f x kx =--在[0,7]上有三个零点时,实数k 的取值范围是( )A .12,415⎡⎫--⎪⎢⎣⎭ B .22,915⎛⎤-- ⎥⎝⎦ C .22,915⎛⎤-- ⎥⎝⎦ D .221,9153⎛⎤⎧⎫--⋃-⎨⎬ ⎥⎝⎦⎩⎭9. 设函数tan ,(2,2),22()3cos ,[2,2]22x x k k f x x x k k ππππππππ⎧∈-+⎪⎪=⎨⎪∈++⎪⎩(k Z ∈),()sin ||g x x =,则方程()()0f xg x -=在区间[3,3]ππ-上的解的个数是( )A .7B .8C .9D .10 10. 已知M 是函数()2112sin 2x f x ex π--⎡⎤⎛⎫=+- ⎪⎢⎥⎝⎭⎣⎦在[]3,5x ∈-上的所有零点之和,则M 的值为( )A .4B .6C .8D .1011. 已知函数22,0,(),0,x a x f x x ax x +<⎧=⎨-≥⎩若函数()(())g x f f x =恰有8个零点,则a 的值不可能为( ) A .8 B .9 C .10 D .1212.(多选题)若关于x 的一元二次方程()()23x x m --=有实数根12,x x ,且12x x <,则下列结论中正确的说法是( )A .当0m =时,122,3x x ==B .14m >-C .当0m >时,1223x x <<<D .当0m >时,1223x x <<< 二.填空题:把答案填在答题卡相应题号后的横线上 13. 方程4220x x --=的解为______.14. 若函数()y f x =的图像是连续不断的,有如下的对应值表:则函数()y f x =在[]1,6x ∈上的零点至少有______个.15. 关于x 的方程2(3)4210m x mx m +-+-=有两根12,x x ,且101x <<,212x <<,则实数m 的取值范围是__________16. 已知函数211()2()x x f x x x a e e --+=-++有唯一零点,则a =________三.解答题:解答应写出文字说明,证明过程或演算步骤17.已知函数3()sin f x x x =-,()f x '为()f x 的导函数.(Ⅰ)求函数()f x 在0x =处的切线方程;(Ⅱ)求证:()f x '在,22ππ⎛⎫- ⎪⎝⎭上有且仅有两个零点.18.已知函数()(1)ln f x x x =-,3()ln eg x x x =--. (Ⅰ)求函数()f x 的单调区间;(Ⅱ)令()()()(0)h x mf x g x m =+>两个零点1212,()x x x x <,证明:121ex e x +>+.19.已知函数()()222ln ,2af x ax xg x ax ax x=+-=-+ (Ⅰ)若0,a ≥试讨论函数()f x 的单调性;(Ⅱ)当0a >时,若函数()f x 与()g x 的图象有且仅有一个交点()00,x y ,求[]0x 的值(其中[]x 表示不超过x 的最大整数,如[[][0.3710,0.37 1.2.92])=-=-=.参考数据:ln 20.693 ,ln3 1.099 ,ln5 1.609,ln 7 1.946====20.已知函数1()ln 1x f x x a x -⎛⎫=- ⎪+⎝⎭.(Ⅰ)讨论函数()f x 的单调性; (Ⅱ)若函数1()ln 1x f x x a x -⎛⎫=- ⎪+⎝⎭有三个零点,求实数a 的取值范围.21.已知函数2213()ln 224f x x ax x ax x ⎛⎫=-+-⎪⎝⎭,其中0a e <<.(Ⅰ)求函数()f x 的单调区间;(Ⅱ)讨论函数()f x 零点的个数;(Ⅲ)若函数()f x 存在两个不同的零点12,x x ,求证:212x x e <.22.已知函数2()ln f x ax x x =--,a R ∈.(Ⅰ)当38a =时,求函数()f x 的最小值; (Ⅱ)若10a -,证明:函数()f x 有且只有一个零点;(Ⅲ)若函数()f x 有两个零点,求实数a 的取值范围.导数与函数的零点问题答案一.选择题: 1. C因为()132)1(160f -=+---⋅<,()03600f =-<,()132610f =+-=-<,()294670f =+-=>,所以()f x 在()1,2上存在零点.故选:C. 2. B由表知函数零点在区间(1.625,1.6875) ,所以近似解可取为1.66,选B. 3. C()12()2x f x x =+,当0x >时,()12()02x f x x=+>;当0x <时,()f x 单调递减且()10f -= ,故函数有且仅有一个零点 故选:C4. B()ln(1)2f x x x =++-在(1,)-+∞是连续的增函数,(1)ln 210,(2)ln30f f =-<=>,函数()f x 一定有零点,且在区间[]1,2上. 故选:B 5. A当0a =时,()x e f x x =,令=0x e x,则>=00x xe e ,恒成立,=0x e x ∴无解,即()x ef x x =无零点.故选:A.6. C方程lg ||sin ||0x x -=,即lg ||sin ||x x =,令lg y x = ,()sin f x x =,易知它们都是偶函数,分别画出它们的图像,由图可知它们有6个交点. 故选:C . 7. B作出函数22,0()log ,0x x f x x x ⎧+≤⎪=⎨>⎪⎩的图象如下图所示:可得:124x x +=-,341x x =,所以()12234333114x x x x x x x ++=+-, 因为230log 2x <-≤,所以3114x ≤<,所以331343x x -<-≤,所以3122341()x x x x x ++的范围是(]3,3-,故选:B.8. D因为(1)(1)f x f x -=+,所以()f x 的周期为2,又因为()f x 为奇函数,()()f x f x =--, 令1x =,得(1)(1) f f =--,又(1)(1)f f -=,所以(1)(1)0f f =-=,当(1,1)x ∈-时,212()12121x x xf x -==-++,由221x y =+单调递减得函数()f x 在(1,1)-上单调递增, 所以(1)()(1)f f x f -<<,得11()33f x -<<,作出函数图象如图所示, 由图象可知当13y kx =+经过点13,3⎛⎫- ⎪⎝⎭时,29k =-,当13y kx =+过点15,3⎛⎫- ⎪⎝⎭时,215k =-,当13y kx =+经过点(1,0)时,13k =-,所以当函数1()()3g x f x kx =--在[0,7]上有三个零点时,22915k -<≤-或13k =-.故选:D.9. A由题意得,方程()()0f x g x -=在区间[3,3]ππ-上的解的个数即函数()f x 与函数()g x 的图像在区间[3,3]ππ-上的交点个数.在同一坐标系内画出两个函数图像,注意当02x π<<时,sin tan x x <恒成立,易得交点个数为7.选A .10. C 因为()212112sin 2cos 2x x f x ex e x ππ----⎡⎤⎛⎫=+-=- ⎪⎢⎥⎝⎭⎣⎦,所以()()2f x f x =-,因为()10f ≠,所以函数零点有偶数个,两两关于1x =对称.当[]1,5x ∈时, ()(]210,1x y e--=∈,且单调递减;[]2cos π2,2y x =∈-,且在[]1,5上有两个周期,因此当[]1,5x ∈时, ()21x y e --=与2cos πy x =有4个不同的交点;从而所有零点之和为428⨯=,选C.11. A易知,当0a ≤时,方程()0f x =只有1个实根, 从而()(())g x f f x =不可能有8个零点, 则0,a >()0f x =的实根为2,a -0,a . 令()f x t =,则(())()0f f x f t ==, 则2,0,t a a =-数形结合可知,直线y a =与()f x 的图象有2个交点,直线0y =与()f x 的图象有3个交点,所以由题意可得直线2y a =-与()f x 的图象有3个交点,则必有224aa ->-,又0a >,所以8a >.故选:A 12. ABD当0m =时,()()230x x --=,∴122,3x x ==,故A 对; 方程()()23x x m --=化为2560x x m -+-=,由方程有两个不等实根得()2546140m m ∆=--=+>,∴14m >-,故B 对; 当0m >时,画出函数()()23y x x =--和函数y m =的图象如图,由()()23x x m --=得,函数()()23y x x =--和函数y m =的交点横坐标分别为12,x x ,由图可知,1223x x <<<,故C 错,D 对;故选:ABD . 二.填空题: 13. 1x =设20x t =>,即转化为求方程220t t --=的正实数根 由220t t --=得2t =或1t =-(舍),所以=22x t =,则1x = 故答案为:1x = 14. 2由表得(1)(2)0,(4)(5)0f f f f <<,因为函数的图像是连续不断的, 所以函数在(1,2)内至少有一个零点,在(4,5)内至少有一个零点, 所以函数()y f x =在[]1,6x ∈上的零点至少有两个. 故答案为:2 15. 11(2,)2. 设2()(3)421f x m x mx m =+-+-,()f x 的零点为12,x x ,且101x <<,212x <<,需满足30(0)210(1)20(2)2110m f m f m f m +>⎧⎪=->⎪⎨=-+<⎪⎪=-+>⎩ 或30(0)210(1)20(2)2110m f m f m f m +<⎧⎪=-<⎪⎨=-+>⎪⎪=-+<⎩,解得1122m << 或m ∈∅,实数m 的取值范围是11(2,)2.故答案为:11(2,)216. 12()()()()221111211x x x x f x x x a e e x a e e --+--+=-++=--++设1t x =-,则()()21ttf t t a e e-=-++,定义域为R ,()()()()21t t f t t a e e f t --=--++=所以()f t 为偶函数,所以()f x 的图像关于1x =成轴对称,要使()f x 有唯一零点,则只能()10f =,即()21210a e e-⨯++=,解得12a =, 故答案为:12. 三.解答题:17.解:(Ⅰ)()2cos 3,f x x x '=-()01f '=,又()00f =,所以切点为()0,0. 故()f x 在0x =处的切线方程为y x =;(Ⅱ)2()cos 3,f x x x '=-因为()f x '为偶函数,且()01f '=,则只需证明()f x '在0,2π⎛⎫ ⎪⎝⎭上有且仅有一个零点即可.因为()sin 6f x x x ''=--,当0,2x π⎛⎫∈ ⎪⎝⎭时()0f x ''<,故()f x '在0,2π⎛⎫⎪⎝⎭上单调递减, 因为()010f '=>,23022f ππ⎛⎫⎛⎫'=-⨯< ⎪ ⎪⎝⎭⎝⎭, 由零点存在定理,可知存在00,2x π⎛⎫∈ ⎪⎝⎭使得()00f x '=,所以()f x '在0,2π⎛⎫⎪⎝⎭上有且仅有一个零点, 因此()f x '在,22ππ⎛⎫- ⎪⎝⎭上有且仅有两个零点.18.解:(Ⅰ)由题意,函数()(1)ln f x x x =-,则1()ln 1f x x x=+-',且()01f '=, 当01x <<时,()0f x '<,函数()f x 单调递减; 当1x ≥时,()0f x '≥,函数()f x 单调递增;所以函数()f x 在(0,1)上单调递减,在[1,)+∞上单调递增. (Ⅱ)由3()(1)ln ln h x m x x x x e=-+--有两个零点可知 由11()(1ln )1h x m x xx-'=++-且0m >可知,当01x <<时,()0h x '<,函数()h x 单调递减;当1x ≥时,()0h x '≥,函数()h x 单调增;即()h x 的最小值为3(1)10h e=-<,因此当1x e =时,1113(1)2()(1)(1)(1)0m e e h m e e e e e-+-=--+---=>, 可知()h x 在1(,1)e上存在一个零点;当x e =时,3()(1)10h e m e e e=-+-->,可知()h x 在(1,)e 上也存在一个零点, 因此211x x e e -<-,即121x e x e+>+.19. 解:(Ⅰ)()2222122'2a ax x a f x a x x x--=-+-= 对于函数()222,h x ax x a =--21160a ∆=+> 当0a =时,则()1'0,f x x=-<()f x ∴在()0,∞+单调递减; 当0a >时,令()0f x '<,则2220ax x a --<,解得104x a+<< ∴()f x在⎛ ⎝⎭单调递减; 令()0f x '>,解得x >()f x在1,4a ⎛⎫++∞ ⎪ ⎪⎝⎭单调递增. (Ⅱ)0a >且两函数有且仅有一个交点 ()00,x y ,则方程222ln 2a ax x ax ax x +-=-+ 即方程22ln 0a ax x x+-=在()0,∞+只有一个根 令()22ln a F x ax x x =+-,则()3222'ax x a F x x--= 令()[)322,0,x ax x a x ϕ=--∈+∞,则()2'61x ax ϕ=- ()0,a x ϕ>∴在⎛ ⎝单调递减,在⎫+∞⎪⎪⎭上单调递增,故()min x ϕϕ=注意到()()020,a x ϕϕ=-<∴在⎛ ⎝无零点,在⎫+∞⎪⎪⎭仅有一个变号的零点m ()F x ∴在()0.m 单调递减,在(),m +∞单调递增,注意到()130F a =>根据题意m 为 ()F x 的唯一零点即0m x =20003002ln 0220a ax x x ax x a ⎧+-=⎪∴⎨⎪--=⎩消去a ,得:3003300232ln 111x x x x +==+-- 令()332ln 11H x x x =---,可知函数()H x 在()1,+∞上单调递增 ()101022ln 220.693077H =-=⨯-<,()292932ln 32 1.00902626H =-=⨯-> ()[]002,3,2x x ∴∈∴=20.解:(Ⅰ)222112(22)1()ln ()1(1)(1)x a x a x f x x a f x x x x x x -+-+⎛⎫'=-∴=-= ⎪+++⎝⎭当2(22)40,02a a ∆=--≤≤≤时,()0f x '≥,即()f x 在(0,)+∞上单调递增;当0a <时,()0f x '>,即()f x 在(0,)+∞上单调递增;当2a >时,(0,1(1)x a a ∈--++∞时()0f x '>,即()f x 在(0,1a -和(1)a -+∞上单调递增;(11x a a ∈--时()0f x '<,即()f x 在(11a a --上单调递减;综上:当2a ≤时, ()f x 在(0,)+∞上单调递增;当2a >时, ()f x 在(0,1a -和(1)a -+∞上单调递增;在(11a a --上单调递减;(Ⅱ)因为单调函数至多一个零点,所以2a >,因为(1)0,111f a a =-<<-所以(10,(10,f a f a ->-<因为0,();,()x f x x f x →→-∞→+∞→+∞而()f x 在(0,1a -和(1)a -+∞上单调递增;在(11a a --上单调递减;所以()f x 在(0,1a -上有且仅有一个零点,在(11a a --上有且仅有一个零点(即1),在(1)a -++∞上有且仅有一个零点,所以当2a >时,函数1()ln 1x f x x a x -⎛⎫=- ⎪+⎝⎭有三个零点. 21.解:(Ⅰ)函数()f x 的定义域为{}|0x x >,()()()211313ln 2ln 22222f x x a x x ax a x x a x x a a x x⎛⎫'=-+-⋅+-=-+-+- ⎪⎝⎭ ()()ln ()(ln 1)x a x x a x a x =---=--,令()0f x '=,得x a =或x e =,因为0a e <<,当0x a <<或x e >时,()0f x '>,()f x 单调递增;当a x e <<时,()0f x '<,()f x 单调递减,所以()f x 的增区间为()0,a ,(),e +∞;减区间为(),a e (Ⅱ)取{}=min 1,2a δ,则当()0,x δ∈时,102x a -<,ln 0x <,3204a x -> 所以()13ln 2024f x x x a x x a x ⎛⎫⎛⎫=-+-> ⎪ ⎪⎝⎭⎝⎭; 又因为0a e <<,由(1)可知()f x 在(0,)a 上单调递增,因此,当(]0,x a ∈,()0f x >恒成立,即()f x 在(]0,a 上无零点.;下面讨论x a >的情况: ①当04e a <<时,因为()f x 在(,)a e 单调递减,(,)e +∞单调递增,且()0f a >,()1320244e f e e e a e a e e a ⎛⎫⎛⎫⎛⎫=-+-=-< ⎪ ⎪ ⎪⎝⎭⎝⎭⎝⎭,()222224*********f e e e a e a e e ⎛⎫⎛⎫=-+-=> ⎪ ⎪⎝⎭⎝⎭, 根据零点存在定理,()f x 有两个不同的零点; ②当4e a =时,由()f x 在(,)a e 单调递减,(,)e +∞单调递增,且()0f e =,此时()f x 有唯一零点e ; ③若4e a e <<,由()f x 在(),a e 单调递减,(),e +∞单调递增,()()04e f x f e e a ⎛⎫≥=-> ⎪⎝⎭, 此时()f x 无零点;综上,若04e a <<,()f x 有两个不同的零点;若4e a =,()f x 有唯一零点e ;若4e a e <<,()f x 无零点 (Ⅲ)证明:由(2)知,04e a <<,且12a x e x <<<, 构造函数()()2e F x f x f x ⎛⎫=- ⎪⎝⎭,(,)x a e ∈, 则()()()()4232ln 1ln 1e e F x x a x a x x x ⎛⎫'=----- ⎪⎝⎭()43243ln 1x ax e ax e x x -+-=-, 令4324()g x x ax e ax e =-+-,(,)x a e ∈,因为当(,)x a e ∈时,220x e ax +->,220x e -<,所以43242222()=()()<0g x x ax e ax e x e ax x e =-+-+--又ln 1ln 10x e -<-=,所以()0F x '>恒成立,即()F x 在(,)a e 单调递增,于是当a x e <<时,()()0F x F e <=,即 ()2e f x f x ⎛⎫< ⎪⎝⎭, 因为1(,)x a e ∈,所()211e f x f x ⎛⎫< ⎪⎝⎭,又12()()f x f x =,所以()221e f x f x ⎛⎫< ⎪⎝⎭, 因为2x e >,221e e e x e>=,且()f x 在(),e +∞单调递增,所以由()221e f x f x ⎛⎫< ⎪⎝⎭,可得221e x x <,即212x x e <22.解:(Ⅰ)当38a =时,23()ln 8f x x x x =--.所以31(32)(2)()144x x f x x x x +-'=--=,(0)x >. 令()0f x '=,得2x =,当(0,2)x ∈时,()0f x '<;当(2,)x ∈+∞时,()0f x '>,所以函数()f x 在(0,2)上单调递减,在(2,)+∞上单调递增.所以当2x =时,()f x 有最小值1(2)ln 22f =--. (Ⅱ)由2()ln f x ax x x =--,得2121()21,0ax x f x ax x x x--'=--=>. 所以当0a 时,221()0ax x f x x --'=<,函数()f x 在(0,)+∞上单调递减, 所以当0a 时,函数()f x 在(0,)+∞上最多有一个零点.因为当10a -时, ()110f a =-<,221()0e e a f e e -+=>, 所以当10a -时,函数()f x 在(0,)+∞上有零点.综上,当10a -时,函数()f x 有且只有一个零点.(Ⅲ)由(2)知,当0a 时,函数()f x 在(0,)+∞上最多有一个零点.因为函数()f x 有两个零点,所以0a >.由2()ln f x ax x x =--,得221(),(0)ax x f x x x --'=>,令2()21g x ax x =--. 因为(0)10g =-<,20a >,所以函数()g x 在(0,)+∞上只有一个零点,设为0x .当0(0,)x x ∈时,()0<g x ,()0f x '<;当0(x x ∈,)+∞时,()0>g x ,()0f x '>.所以函数()f x 在0(0,)x 上单调递减;在0(x ,)+∞上单调递增.要使得函数()f x 在(0,)+∞上有两个零点,只需要函数()f x 的极小值0()0f x <,即2000ln 0ax x x --<. 又因为2000()210g x ax x =--=,所以002ln 10x x +->,又因为函数()2ln 1h x x x =+-在(0,)+∞上是增函数,且()10h =,所以01x >,得0101x <<. 又由200210ax x --=,得22000111112()()24a x x x =+=+-,所以01a <<. 以下验证当01a <<时,函数()f x 有两个零点.当01a <<时,21211()10a a g a a a a -=--=>,所以011x a<<. 因为22211()10a e e a f e e e e -+=-+=>,且0()0f x <. 所以函数()f x 在01(,)x e上有一个零点. 又因为2242222()(1)10a f ln a a a a a a =----=>(因为ln 1)x x -,且0()0f x <.所以函数()f x 在02(,)x a上有一个零点. 所以当01a <<时,函数()f x 在12(,)e a内有两个零点.综上,实数a 的取值范围为(0,1). 下面证明:ln 1x x -.设()1ln t x x x =--,所以11()1x t x x x -'=-=,(0)x >.令()0t x '=,得1x =. 当(0,1)x ∈时,()0t x '<;当(1,)x ∈+∞时,()0t x '>.所以函数()t x 在(0,1)上单调递减,在(1,)+∞上单调递增.所以当1x =时,()t x 有最小值()10t =.所以()1ln 0t x x x =--,得ln 1x x -成立.。
专题对点练8导数与函数的零点及参数范围专题对点练第8页1.(2016江西南昌十所重点学校二模,理21)已知函数f(x)=e x(sin x+cos x)+a,g(x)=(a2-a+10)e x(a∈R且a为常数).(1)若曲线y=f(x)在(0,f(0))处的切线过点(1,2),求实数a的值;(2)判断函数φ(x)=错误!未找到引用源。
+1+ln x(b>1)在(0,+∞)内的零点个数,并说明理由.解(1)f'(x)=e x(sin x+cos x)+e x(cos x-sin x)=2e x cos x,又曲线y=f(x)在(0,f(0))处的切线过点(1,2),得f'(0)=错误!未找到引用源。
,即2=1-a,解得a=-1.(2)由φ(x)=错误!未找到引用源。
+1+ln x=0(x>0),得错误!未找到引用源。
+1+ln x=0,化为错误!未找到引用源。
=1-x-x ln x,令h(x)=1-x-x ln x,则h'(x)=-2-ln x.由h'(x)=-2-ln x=0,得x=e-2,故h(x)在错误!未找到引用源。
内递增,在错误!未找到引用源。
内递减,h(x)max=h错误!未找到引用源。
=1+错误!未找到引用源。
.再令t(x)=错误!未找到引用源。
=b错误!未找到引用源。
e x,因为b>1,所以函数t(x)=b错误!未找到引用源。
e x在(0,+∞)内递增,t(x)>t(0)=b错误!未找到引用源。
e0=b错误!未找到引用源。
>1+错误!未找到引用源。
.故t(x)>h(x)max,由此判断函数φ(x)在(0,+∞)内没有零点,故φ(x)零点个数为0.2.(2017山西第四次五校联考,理21)设函数f(x)=ln x-ax(a∈R).(1)求曲线y=f(x)在点A(1,f(1))处的切线L的方程,并证明:除点A外,曲线y=f(x)都在直线L 的下方;(2)若函数h(x)=e x+f(x)在区间(1,3)内有零点,求a的取值范围.解(1)∵f'(x)=错误!未找到引用源。
考纲解读明方向2018年高考全景展示1.【2018年浙江卷】已知函数f (x ln x .(Ⅰ)若f (x )在x =x 1,x 2(x 1≠x 2)处导数相等,证明:f (x 1)+f (x 2)>8−8ln2;(Ⅱ)若a ≤3−4ln2,证明:对于任意k >0,直线y =kx +a 与曲线y =f (x )有唯一公共点.2.【2018(1处的切线方程;(23.【2018年全国卷II(1的单调区间;(22017年高考全景展示1.【2017课标3,文21】已知函数()f x =ln x +ax 2+(2a +1)x . (1)讨论()f x 的单调性; (2)当a ﹤0时,证明3()24f x a≤--.2.【2017天津,文19】设,a b ∈R ,||1a ≤.已知函数32()63(4)f x x x a a x b =---+,()e ()x g x f x =. (Ⅰ)求()f x 的单调区间;(Ⅱ)已知函数()y g x =和e x y =的图象在公共点(x 0,y 0)处有相同的切线, (i )求证:()f x 在0x x =处的导数等于0;(ii )若关于x 的不等式()e x g x ≤在区间00[1,1]x x -+上恒成立,求b 的取值范围.2016年高考全景展示1. 【2016高考新课标1文数】若函数1()sin 2sin 3f x x -x a x =+在(),-∞+∞单调递增,则a 的取值范围是( )(A )[]1,1-(B )11,3⎡⎤-⎢⎥⎣⎦(C )11,33⎡⎤-⎢⎥⎣⎦(D )11,3⎡⎤--⎢⎥⎣⎦2. [2016高考新课标Ⅲ文数]设函数()ln 1f x x x =-+. (I )讨论()f x 的单调性; (II )证明当(1,)x ∈+∞时,11ln x x x-<<; (III )设1c >,证明当(0,1)x ∈时,1(1)xc x c +->.3.【2016高考天津文数】((本小题满分14分)设函数b ax x x f --=3)(,R x ∈,其中R b a ∈, (Ⅰ)求)(x f 的单调区间;(Ⅱ)若)(x f 存在极值点0x ,且)()(01x f x f =,其中01x x ≠,求证:0201=+x x ; (Ⅲ)设0>a ,函数|)(|)(x f x g =,求证:)(x g 在区间]1,1[-上的最大值不小于...41. 4. 【2016高考浙江文数】(本题满分15分)设函数()f x =311x x++,[0,1]x ∈.证明: (I )()f x 21x x ≥-+; (II )34<()f x 32≤. 5.【2016高考新课标1文数】(本小题满分12分)已知函数()()()22e 1xf x x a x =-+-. (I)讨论()f x 的单调性;f x有两个零点,求a的取值范围. (II)若()。
导数专题训练及答案专题一导数的几何意义及其应用导数的几何意义是高考重点考查的内容之一,常与解析几何知识交汇命题,主要题型是利用导数的几何意义求曲线上某点处切线的斜率或曲线上某点的坐标或过某点的切线方程,求解这类问题的关键就是抓住切点P(x0,f(x0)),P点的坐标适合曲线方程,P点的坐标也适合切线方程,P点处的切线斜率k=f′(x0).解题方法:(1) 解决此类问题一定要分清“在某点处的切线”,还是“过某点的切线”的问法.(2)解决“过某点的切线”问题,一般是设切点坐标为P(x0,y0),然后求其切线斜率k=f′(x0),写出其切线方程.而“在某点处的切线”就是指“某点”为切点.(3)曲线与直线相切并不一定只有一个公共点,当曲线是二次曲线时,我们知道直线与曲线相切,有且只有一个公共点,这种观点对一般曲线不一定正确.[例1]已知曲线y=13x3+43.(1)求曲线在点P(2,4)处的切线方程;(2)求曲线过点P(2,4)的切线方程;(3)求斜率为4的曲线的切线方程.[变式训练]已知函数f(x)=x3+x-16.(1)求曲线y=f(x)在点(2,-6)处的切线的方程;(2)直线l为曲线y=f(x)的切线,且经过原点,求直线l的方程及切点坐标.专题二导数在研究函数单调性中的应用利用导数的符号判断函数的单调性,进而求出函数的单调区间,是导数几何意义在研究曲线变化规律时的一个重要应用,体现了数形结合思想.这类问题要注意的是f(x)为增函数⇔f′(x)≥0且f′(x)=0的根有有限个,f(x)为减函数⇔f′≤0且f′(x)=0的根有有限个.解题步骤:(1)确定函数的定义域;(2)求导数f′(x);(3)①若求单调区间(或证明单调性),只需在函数f(x)的定义域内解(或证明)不等式f′(x)>0或f′(x)<0.②若已知函数f(x)的单调性,则将原问题转化为不等式f′(x)≥0或f′(x)≤0在单调区间上恒成立问题,再进行求解.[例2]设函数f(x)=x e a-x+bx,曲线y=f(x)在点(2,f(2))处的切线方程为y=(e-1)x+4.(1)求a,b的值;(2)求f(x)的单调区间.[变式训练]设函数f(x)=xekx(k≠0).(1)讨论函数f(x)的单调性;(2)若函数f(x)在区间(-1,1)内单调递增,求k的取值范围.专题三 导数在求函数极值与最值中的应用利用导数可求出函数的极值或最值,反之,已知函数的极值或最值也能求出参数的值或取值范围.该部分内容也可能与恒成立问题、函数零点问题等结合在一起进行综合考查,是高考的重点内容.解题方法:(1)运用导数求可导函数y =f(x)的极值的步骤:①先求函数的定义域,再求函数y =f(x)的导数f ′(x);②求方程f ′(x)=0的根;③检查f ′(x)在方程根的左右的值的符号,如果左正右负,那么f(x)在这个根处取得极大值,如果左负右正,那么f(x)在这个根处取得极小值.(2)求闭区间上可导函数的最值时,对函数极值是极大值还是极小值,可不再作判断,只需要直接与端点的函数值比较即可获得.(3)当连续函数的极值点只有一个时,相应的极值点必为函数的最值.[例3] 已知函数f (x )=-x 3+ax 2+bx 在区间(-2,1)内,当x =-1时取极小值,当x =23时取极大值.(1)求函数y =f (x )在x =-2时的对应点的切线方程;(2)求函数y =f (x )在[-2,1]上的最大值与最小值.[变式训练] 设函数f (x )=[ax 2-(4a +1)x +4a +3]e x .(1)若曲线y =f (x )在点(1,f (1))处的切线方程与x 轴平行,求a ;(2)若f (x )在x =2处取得极小值,求a 的取值范围.专题四 导数在证明不等式中的应用在用导数方法证明不等式时,常构造函数,利用单调性和最值方法证明不等式.解题方法:一般地,如果证明f(x)>g(x),x ∈(a ,b),可转化为证明F(x)=f(x)-g(x)>0,若F ′(x)>0,则函数F(x)在(a ,b)上是增函数,若F(a)≥0,则由增函数的定义知,F(x)>F(a)≥0,从而f(x)>g(x)成立,同理可证f(x)<g(x),f(x)>g(x).[例4] 已知函数f (x )=ln x -(x -1)22. (1)求函数f (x )的单调递增区间;(2)证明:当x >1时,f (x )<x -1.[变式训练] 已知函数f (x )=a e x -ln x -1.(1)设x =2是f (x )的极值点,求a ,并求f (x )的单调区间;(2)证明:当a ≥1e 时,f (x )≥0.专题五 定积分及其应用定积分的基本应用主要有两个方面:一个是求坐标平面上曲边梯形的面积,另一个是求变速运动的路程(位移)或变力所做的功.高考中要求较低,一般只考一个小题.解题方法:(1)用微积分基本定理求定积分,关键是找出被积函数的原函数,这就需要利用求导运算与求原函数是互逆运算的关系来求原函数.(2) 利用定积分求平面图形的面积的步骤如下:①画出图形,确定图形范围;②解方程组求出图形交点坐标,确定积分上、下限;③确定被积函数,注意分清函数图形的上、下位置;④计算定积分,求出平面图形面积.(3)利用定积分求加速度或路程(位移),要先根据物理知识得出被积函数,再确定时间段,最后用求定积分方法求出结果.[例5] 已知抛物线y =x 2-2x 及直线x =0,x =a ,y =0围成的平面图形的面积为43,求a 的值.[变式训练] (1)若函数f (x )在R 上可导,f (x )=x 3+x 2f ′(1),则∫20f (x )d x = ____;(2)在平面直角坐标系xOy 中,直线y =a (a >0)与抛物线y =x 2所围成的封闭图形的面积为823,则a =____.专题六 化归与转化思想在导数中的应用化归与转化就是在处理问题时,把待解决的问题或难解决的问题,通过某种转化过程,归结为一类已解决或易解决的问题,最终求得问题的解答.解题方法:与函数相关的问题中,化归与转化思想随处可见,如,函数在某区间上单调可转化为函数的导数在该区间上符号不变,不等式的证明可转化为最值问题等.[例6] 设f (x )=e x1+ax 2,其中a 为正实数. (1)当a =43时,求f (x )的极值点;(2)若f (x )为R 上的单调函数,求a 的取值范围.[变式训练] 如果函数f(x)=2x2-ln x 在定义域内的一个子区间(k -1,k +1)上不是单调函数,则实数k 的取值范围是________.答案例1 解:(1)因为P (2,4)在曲线y =13x 3+43上,且y ′=x 2,所以在点P (2,4)处的切线的斜率k =y ′|x =2=4.所以曲线在点P (2,4)处的切线方程为y -4=4(x -2),即4x -y -4=0.(2)设曲线y -13x 3+43与过点P (2,4)的切线相切于点A ⎝ ⎛⎭⎪⎫x 0,13x 30+43,则切线的斜率k =y ′|x =x 0=x 20,所以切线方程为y -⎝ ⎛⎭⎪⎫13x 30+43=x 20(x -x 0), 即y =x 20·x -23x 30+43.因为点P (2,4)在切线上,所以4=2x 20-23x 30+43,即x 30-3x 20+4=0,所以x 30+x 20-4x 20+4=0,所以(x 0+1)(x 0-2)2=0,解得x 0=-1或x 0=2,故所求的切线方程为4x -y -4=0或x -y +2=0.(3)设切点为(x 1,y 1),则切线的斜率k =x 21=4,得x 0=±2.所以切点为(2,4),⎝ ⎛⎭⎪⎫-2,-43, 所以切线方程为y -4=4(x -2)和y +43=4(x +2),即4x -y -4=0和12x -3y +20=0.变式训练 解:(1)因为f (2)=23+2-16=-6,所以点(2,-6)在曲线上.因为f ′(x )=(x 3+x -16)′=3x 2+1,所以在点(2,-6)处的切线的斜率为k =f ′(2)=3×22+1=13,所以切线的方程为y =13(x -2)+(-6),即y =13x -32.(2)设切点坐标为(x 0,y 0),则直线l 的斜率为f ′(x 0)=3x 20+1,所以直线l 的方程为y =(3x 20+1)(x -x 0)+x 30+x 0-16.又因为直线l 过点(0,0),所以0=(3x 20+1)(-x 0)+x 30+x 0-16,整理得x 30=-8,所以x 0=-2,y 0=(-2)3+(-2)-16=-26,所以k =3×(-2)2+1=13,所以直线l 的方程为y =13x ,切点坐标为(-2,-26).例2 解:(1)因为f (x )=x e a -x +bx ,所以f ′(x )=(1-x )e a -x +b .依题设,知⎩⎪⎨⎪⎧f (2)=2e +2,f ′(2)=e -1,即⎩⎪⎨⎪⎧2e a -2+2b =2e +2,-e a -2+b =e -1.解得a =2,b =e.(2)由(1)知f (x )=x e 2-x +e x .由f ′(x )=e 2-x (1-x +e x -1)及e 2-x >0知,f ′(x )与1-x +e x -1同号. 令g (x )=1-x +e x -1,则g ′(x )=-1+e x -1.所以,当x ∈(-∞,1)时,g ′(x )<0,g (x )在区间(-∞,1)上单调递减;当x ∈(1,+∞)时,g ′(x )>0,g (x )在区间(1,+∞)上单调递增. 故g (1)=1是g (x )在区间(-∞,+∞)上的最小值,从而g (x )>0,x ∈(-∞,+∞).综上可知,f ′(x )>0,x ∈(-∞,+∞). 故f (x )的单调递增区间为(-∞,+∞).变式训练 解:(1)f ′(x )=(1+kx )e kx (k ≠0), 令f ′(x )=0得x =-1k (k ≠0).若k >0,则当x ∈⎝ ⎛⎭⎪⎫-∞,-1k 时,f ′(x )<0,函数f (x )单调递减,当x ∈⎝ ⎛⎭⎪⎫-1k ,+∞时,f ′(x )>0,函数f (x )单调递增; 若k <0,则当x ∈⎝⎛⎭⎪⎫-∞,-1k 时,f ′(x )>0,函数f (x )单调递增,当x ∈⎝ ⎛⎭⎪⎫-1k ,+∞时,f ′(x )<0,函数f (x )单调递减. (2)由(1)知,若k >0时,则当且仅当-1k ≤-1,即k ≤1,函数f (x )在(-1,1)上单调递增.若k <0时,则当且仅当-1k ≥1,即k ≥-1时,函数f (x )在(-1,1)上单调递增.综上可知,函数f (x )在(-1,1)上单调递增时,k 的取值范围是[-1,0)∪(0,1].例3 解:(1)f ′(x )=-3x 2+2ax +b .又x =-1,x =23分别对应函数取得极小值、极大值的情况,所以-1,23为方程-3x 2+2ax +b =0的两个根.所以a =-12,b =2,则f (x )=-x 3-12x 2+2x . x =-2时,f (x )=2,即(-2,2)在曲线上. 又切线斜率为k =f ′(x )=-3x 2-x +2, f ′(-2)=-8,所求切线方程为y -2=-8(x +2), 即为8x +y +14=0.(2)x 在变化时,f ′(x )及f (x )的变化情况如下表: ↘↗↘则f (x )在[-2,1]上的最大值为2,最小值为-32.变式训练 解:(1)因为f (x )=[ax 2-(4a +1)x +4a +3]e x , 所以f ′(x )=[2ax -(4a +1)]e x +[ax 2-(4a +1)x +4a +3]e x =[ax 2-(2a +1)x +2]e x .所以f ′(1)=(1-a )e.由题设知f ′(1)=0,即(1-a )e =0,解得a =1. 此时f (1)=3e ≠0. 所以a 的值为1.(2)由(1)得f ′(x )=[ax 2-(2a +1)x +2]e x =(ax -1)(x -2)e x .若a >12,则当x ∈⎝ ⎛⎭⎪⎫1a ,2时,f ′(x )<0;当x ∈(2,+∞)时,f ′(x )>0. 所以f (x )在x =2处取得极小值.若a ≤12,则当x ∈(0,2)时,x -2<0,ax -1≤12x -1<0,所以f ′(x )>0.所以2不是f (x )的极小值点.综上可知,a 的取值范围是⎝ ⎛⎭⎪⎫12,+∞.例4 (1)解:f ′(x )=1x -x +1=-x 2+x +1x,x ∈(0,+∞). 由f ′(x )>0得⎩⎪⎨⎪⎧x >0,-x 2+x +1>0,解得0<x <1+52. 故f (x )的单调递增区间是⎝ ⎛⎭⎪⎫0,1+52. (2)证明:令F (x )=f (x )-(x -1),x ∈(0,+∞). 则有F ′(x )=1-x 2x .当x ∈(1,+∞)时,F ′(x )<0, 所以F (x )在[1,+∞)上单调递减,故当x >1时,F (x )<F (1)=0,即当x >1时,f (x )<x -1.变式训练 (1)解:f (x )的定义域为(0,+∞),f ′(x )=a e x -1x .由题设知,f ′(2)=0,所以a =12e 2. 从而f (x )=12e 2e x -ln x -1,f ′(x )=12e 2e x -1x . 当0<x <2时,f ′(x )<0;当x >2时,f ′(x )>0.所以f (x )在(0,2)上单调递减,在(2,+∞)上单调递增. (2)证明:当a ≥1e 时,f (x )≥e xe -ln x -1. 设g (x )=e x e -ln x -1,则g ′(x )=e x e -1x . 当0<x <1时,g ′(x )<0;当x >1时,g ′(x )>0. 所以x =1是g (x )的最小值点. 故当x >0时,g (x )≥g (1)=0. 因此,当a ≥1e 时,f (x )≥0.例5 解:作出y =x 2-2x 的图象如图所示.(1)当a <0时,S =∫0a (x 2-2x )d x =⎝⎛⎭⎪⎫13x 3-x 2|0a =-a 33+a 2=43,所以(a +1)(a -2)2=0, 因为a <0,所以a =-1. (2)当a >0时, ①若0<a ≤2,则S =-∫a 0(x 2-2x )d x = -⎝ ⎛⎭⎪⎫13x 3-x 2|a 0=a 2-a 33=43, 所以a 3-3a 2+4=0, 即(a +1)(a -2)2=0. 因为a >0,所以a =2. ②当a >2时,不合题意. 综上a =-1或a =2.变式训练 解析:(1)因为f (x )=x 3+x 2f ′ 所以f ′(x )=3x 2+2xf ′(x ), 所以f ′(1)=3+2f ′(1), 所以f ′(1)=-3,所以∫20f (x )d x =⎝⎛⎭⎪⎫14x 4+13x 3f ′(1)|20=-4.(2)由⎩⎪⎨⎪⎧y =x 2,y =a 可得A (-a ,a ),B (a ,a ),S = (a -x 2)d x=⎝ ⎛⎭⎪⎫ax -13x 3|=2⎝ ⎛⎭⎪⎫a a -13a a =4a 323=823, 解得a =2. 答案:(1)-4 (2)2例6 解:(1)对f (x )求导得f ′(x )=e x·1+ax 2-2ax (1+ax 2)2.①当a =43时,若f ′(x )=0,则4x 2-8x +3=0, 解得x 1=32,x 2=12. 综合①,可知: ↗↘↗所以,x 1=32是极小值点,x 2=12是极大值点. (2)若f (x )为R 上的单调函数,则f ′(x )在R 上不变号,结合①与条件a >0, 知ax 2-2ax +1≥0在R 上恒成立, 因此Δ=4a 2-4a =4a (a -1)≤0, 由此并结合a >0,知0<a ≤1.变式训练 解析:显然函数f (x )的定义域为(0,+∞), y ′=4x -1x =4x 2-1x .由y ′>0,得函数f (x )的单调递增区间为⎝ ⎛⎭⎪⎫12,+∞; 由y ′<0,得函数f (x )的单调递减区间为⎝⎛⎭⎪⎫0,12,由于函数在区间(k -1,k +1)上不是单调函数,所以⎩⎨⎧k -1<12<k +1,k -1≥0,解得1≤k <32. 答案:⎣⎢⎡⎭⎪⎫1,32。
专题08 导数与不等式、函数零点相结合考纲解读明方向考纲内容考 点考查频度学科素养 规律与趋向1.利用导数研究函数的单调性、极(最)值,并会解决与之有关的方程(不等式)问题;2.会利用导数解决某些简单的实际问题. 1.导数与不等式3年3考★★★逻辑推理数学计算1.高频考向:利用导数解决与之有关的方程(不等式)问题2.低频考向:利用导数解决某些实际问题.3.特别关注:利用导数研究函数的零点问题.2018年高考全景展示1.【2018年全国卷Ⅲ理】已知函数. (1)若,证明:当时,;当时,;(2)若是的极大值点,求.【答案】(1)见解析(2)当时,;当时,.故当时,,且仅当时,,从而,且仅当时,.所以在单调递增.又,故当时,;当时,.(2)(i )若,由(1)知,当时,,这与是的极大值点矛盾.(ii )若,设函数.由于当时,,故与符号相同.又,故是的极大值点当且仅当是的极大值点..如果,则当,且时,,故不是的极大值点.如果,则存在根,故当,且时,,所以不是的极大值点.如果,则.则当时,;当时,.所以是的极大值点,从而是的极大值点,综上,. 点睛:本题考查函数与导数的综合应用,利用函数的单调性求出最值证明不等式,第二问分类讨论和,当时构造函数时关键,讨论函数的性质,本题难度较大。
2.【2018年理数全国卷II】已知函数.(1)若,证明:当时,;(2)若在只有一个零点,求.【答案】(1)见解析(2)【解析】分析:(1)先构造函数,再求导函数,根据导函数不大于零得函数单调递减,最后根据单调性证得不等式,(2)研究零点,等价研究的零点,先求导数:,这里产生两个讨论点,一个是a与零,一个是x与2,当时,,没有零点;当时,先减后增,从而确定只有一个零点的必要条件,再利用零点存在定理确定条件的充分性,即得a的值.。
专题能力训练6函数与方程及函数的应用能力突破训练1.f(x)=-+log2x的一个零点落在下列哪个区间()A.(0,1)B.(1,2)C.(2,3)D.(3,4)2.设函数f(x)的零点为x1,函数g(x)=4x+2x-2的零点为x2,若|x1-x2|>,则f(x)可以是()A.f(x)=2x-B.f(x)=-x2+x-C.f(x)=1-10xD.f(x)=ln(8x-2)3.(2017山西三区八校二模)如图,有一直角墙角,两边的长度足够长,若P处有一棵树与两墙的距离分别是4 m和a m(0<a<12),不考虑树的粗细.现用16 m长的篱笆,借助墙角围成一个矩形花圃ABCD,设此矩形花圃的最大面积为u,若将这棵树围在矩形花圃内,则函数u=f(a)(单位:m2)的图象大致是()4.(2017贵州贵阳模拟)已知M是函数f(x)=e-2|x-1|+2sin在区间[-3,5]上的所有零点之和,则M的值为()A.4B.6C.8D.105.(2017湖北武汉质检)已知函数f(x)是奇函数,且满足f(2-x)=f(x)(x∈R),当0<x≤1时,f(x)=ln x+2,则函数y=f(x)在区间(-2,4]上的零点个数是()A.7B.8C.9D.106.已知e是自然对数的底数,函数f(x)=e x+x-2的零点为a,函数g(x)=ln x+x-2的零点为b,则f(a),f(1),f(b)的大小关系为.7.已知函数f(x)=若存在实数b,使函数g(x)=f(x)-b有两个零点,则a的取值范围是.8.某商场对顾客实行购物优惠活动,规定购物付款总额要求如下:①若一次性购物不超过200元,则不给予优惠;②若一次性购物超过200元但不超过500元,则按标价给予9折优惠;③若一次性购物超过500元,则500元按第②条给予优惠,剩余部分给予7折优惠.甲单独购买A商品实际付款100元,乙单独购买B商品实际付款450元,若丙一次性购买A,B 两件商品,则应付款元.9.已知函数f(x)=2x,g(x)=+2.(1)求函数g(x)的值域;(2)求满足方程f(x)-g(x)=0的x的值.10.如图,一个长方体形状的物体E在雨中沿面P(面积为S)的垂直方向做匀速移动,速度为v(v>0),雨速沿E移动方向的分速度为c(c∈R).E移动时单位时间内的淋雨量包括两部分:①P或P的平行面(只有一个面淋雨)的淋雨量,假设其值与|v-c|×S成正比,比例系数为;②其他面的淋雨量之和,其值为.记y为E移动过程中的总淋雨量.当移动距离d=100,面积S=时,(1)写出y的表达式;(2)设0<v≤10,0<c≤5,试根据c的不同取值范围,确定移动速度v,使总淋雨量y最少.思维提升训练11.如图,偶函数f(x)的图象如字母M,奇函数g(x)的图象如字母N,若方程f(g(x))=0,g(f(x))=0的实根个数分别为m,n,则m+n=()A.18B.16C.14D.1212.已知函数f(x)=函数g(x)=3-f(2-x),则函数y=f(x)-g(x)的零点个数为()A.2B.3C.4D.513.设函数f(x)=①若a=1,则f(x)的最小值为;②若f(x)恰有2个零点,则实数a的取值范围是.14.已知一家公司生产某种品牌服装的年固定成本为10万元,每生产1千件需另投入2.7万元.设该公司一年内生产该品牌服装x千件并全部销售完,每千件的销售收入为R(x)万元,且R(x)=(1)写出年利润W(单位:万元)关于年产量x(单位:千件)的函数解析式;(2)当年产量为多少千件时,该公司在这一品牌服装的生产中所获得的年利润最大.(注:年利润=年销售收入-年总成本)15.甲方是一农场,乙方是一工厂,由于乙方生产须占用甲方的资源,因此甲方有权向乙方索赔以弥补经济损失并获得一定净收入,在乙方不赔付的情况下,乙方的年利润x(单位:元)与年产量q(单位:t)满足函数关系:x=2 000.若乙方每生产一吨产品必须赔付甲方s元(以下称s为赔付价格).(1)将乙方的年利润w(单位:元)表示为年产量q(单位:t)的函数,并求出乙方获得最大利润的年产量;(2)在乙方年产量为q(单位:t)时,甲方每年受乙方生产影响的经济损失金额y=0.002q2(单位:元),在乙方按照获得最大利润的产量进行生产的前提下,甲方要在索赔中获得最大净收入,应向乙方要求的赔付价格s是多少?参考答案专题能力训练6函数与方程及函数的应用能力突破训练1.B解析由题意得f(x)单调递增,f(1)=-1<0,f(2)=>0,所以f(x)=-+log2x的零点落在区间(1,2)内.2.C解析依题意得g-2<0,g=1>0,则x2若f(x)=1-10x,则有x1=0,此时|x1-x2|>,因此选C.3.B解析设AD长为x cm,则CD长为(16-x)cm,又因为要将点P围在矩形ABCD内,所以a≤x≤12,则矩形ABCD的面积S=x(16-x).当0<a≤8时,当且仅当x=8时,S=64,当8<a<12时,S=a(16-a),即f(a)=画出分段函数图形可得其形状与B接近,故选B.4.C解析因为f(x)=e-2|x-1|+2sin=e-2|x-1|-2cosπx,所以f(x)=f(2-x).因为f(1)≠0,所以函数零点有偶数个,且两两关于直线x=1对称.当x∈[1,5]时,函数y=e-2(x-1)∈(0,1],且单调递减;函数y=2cosπx∈[-2,2],且在[1,5]上有两个周期,因此当x∈[1,5]时,函数y=e-2(x-1)与y=2cosπx有4个不同的交点;从而所有零点之和为4×2=8,故选C.5.C解析由函数f(x)是奇函数且满足f(2-x)=f(x)知,f(x)是周期为4的周期函数,且关于直线x=1+2k(k∈Z)成轴对称,关于点(2k,0)(k∈Z)成中心对称.当0<x≤1时,令f(x)=ln x+2=0,得x=,由此得y=f(x)在区间(-2,4]上的零点分别为-2+,-,0,,2-,2,2+,-+4,4,共9个零点.故选C.6.f(a)<f(1)<f(b)解析由题意,知f'(x)=e x+1>0恒成立,则函数f(x)在R上是单调递增的,因为f(0)=e0+0-2=-1<0,f(1)=e1+1-2=e-1>0,所以函数f(x)的零点a∈(0,1).由题意,知g'(x)=+1>0,则函数g(x)在区间(0,+∞)上是单调递增的.又g(1)=ln1+1-2=-1<0,g(2)=ln2+2-2=ln2>0,则函数g(x)的零点b∈(1,2).综上,可得0<a<1<b<2.因为f(x)在R上是单调递增的,所以f(a)<f(1)<f(b).7.(-∞,0)∪(1,+∞)解析要使函数g(x)=f(x)-b有两个零点,应使f(x)图象与直线y=b有两个不同的交点.当0≤a≤1时,由f(x)的图象(图略)知f(x)在定义域R上单调递增,它与直线y=b不可能有两个交点.当a<0时,由f(x)的图象(如图①)知,f(x)在(-∞,a]上递增,在(a,0)上递减,在[0,+∞)上递增,且a3<0,a2>0,所以,当0<b<a2时,f(x)图象与y=b有两个不同的交点.图①图②当a>1时,由f(x)的图象(如图②)知,f(x)在区间(-∞,a]上递增,在区间(a,+∞)上递增,但a3>a2,所以当a2<b≤a3时,f(x)图象与y=b有两个不同的交点.综上,实数a的取值范围是a<0或a>1.8.520解析设商品价格为x元,实际付款为y元,则y=整理,得y=∵0.9×200=180>100,∴A商品的价格为100元.∵0.9×500=450,∴B商品的价格为500元.当x=100+500=600时,y=100+0.7×600=520,即若丙一次性购买A,B两件商品,则应付款520元.9.解(1)g(x)=+2=+2,因为|x|≥0,所以0<1,即2<g(x)≤3,故g(x)的值域是(2,3].(2)由f(x)-g(x)=0,得2x--2=0.当x≤0时,显然不满足方程,当x>0时,由2x--2=0整理,得(2x)2-2·2x-1=0,(2x-1)2=2,解得2x=1±因为2x>0,所以2x=1+,即x=log2(1+).10.解(1)由题意知,E移动时单位时间内的淋雨量为|v-c|+,故y=(3|v-c|+10)(v>0).(2)由(1)知,当0<v≤c时,y=(3c-3v+10)=-15;当c<v≤10时,y=(3v-3c+10)=+15.故y=①当0<c时,y是关于v的减函数.故当v=10时,y min=20-②当<c≤5时,在(0,c]内,y是关于v的减函数;在(c,10]内,y是关于v的增函数.故当v=c时,y min=思维提升训练11.A解析由题中图象知,f(x)=0有3个根0,a,b,且a∈(-2,-1),b∈(1,2);g(x)=0有3个根0,c,d,且c ∈(-1,0),d∈(0,1).由f(g(x))=0,得g(x)=0或a,b,由图象可知g(x)所对每一个值都能有3个根,因而m=9;由g(f(x))=0,知f(x)=0或c,d,由图象可以看出f(x)=0时对应有3个根,f(x)=d时有4个,f(x)=c 时只有2个,加在一起也是9个,即n=9,∴m+n=9+9=18,故选A.12.A解析因为f(x)=所以f(2-x)=f(2-x)=f(x)+f(2-x)=所以函数y=f(x)-g(x)=f(x)-3+f(2-x)=其图象如图所示.显然函数图象与x轴有2个交点,故函数有2个零点.13.①-1[2,+∞)解析①当a=1时,f(x)=当x<1时,2x-1∈(-1,1);当x≥1时,4(x-1)(x-2)∈[-1,+∞).故f(x)的最小值为-1.②若函数f(x)=2x-a的图象在x<1时与x轴有一个交点,则a>0,并且当x=1时,f(1)=2-a>0,所以0<a<2.同时函数f(x)=4(x-a)(x-2a)的图象在x≥1时与x轴有一个交点,所以a<1.若函数f(x)=2x-a的图象在x<1时与x轴没有交点,则函数f(x)=4(x-a)(x-2a)的图象在x≥1时与x轴有两个不同的交点,当a≤0时,函数f(x)=2x-a的图象与x轴无交点,函数f(x)=4(x-a)(x-2a)的图象在x≥1上与x轴也无交点,不满足题意.当21-a≤0,即a≥2时,函数f(x)=4(x-a)·(x-2a)的图象与x轴的两个交点x1=a,x2=2a都满足题意.综上,a的取值范围为[2,+∞).14.解(1)当0<x≤10时,W=xR(x)-(10+2.7x)=8.1x--10;当x>10时,W=xR(x)-(10+2.7x)=98--2.7x.故W=(2)①当0<x≤10时,由W'=8.1-=0,得x=9.当x∈(0,9)时,W'>0;当x∈(9,10]时,W'<0.所以当x=9时,W取得最大值,即W max=8.1×9-93-10=38.6.②当x>10时,W=98-98-2=38,当且仅当=2.7x,即x=时,W取得最大值38.综合①②知:当x=9时,W取得最大值38.6,故当年产量为9千件时,该公司在这一品牌服装的生产中所获的年利润最大.15.解(1)因为赔付价格为s元/吨,所以乙方的实际年利润为w=2000-sq(q≥0).因为w=2000-sq=-s,所以当q=时,w取得最大值.所以乙方取得最大利润的年产量q=t.(2)设甲方净收入为v元,则v=sq-0.002q2,将q=代入上式,得到甲方净收入v与赔付价格s之间的函数关系式:v=又v'=-,令v'=0得s=20.当s<20时,v'>0;当s>20时,v'<0.所以当s=20时,v取得最大值.因此甲方向乙方要求赔付价格s为20元/吨时,获最大净收入.。
专题03直击函数压轴题中零点问题、解答题21•已知函数 f x = Inx a x - i a 0 . (1)讨论f x 的单调性;3(2) 若f (x )在区间(0,1 )内有唯一的零点x 0,证明:e 2 <x 0 <e ,. 【答案】(1)答案见解析;(2)证明见解析.【解析】试题分析:(1 )求出函数的导数,通过讨论 a 的范围,求出函数的单调区间即可; (2 )依题可知f 1=0,若f (x )在区间(0,1 )内有唯一的零点x 0,由(1)可知a a 2,且 x ° =为 0,-,于是:lnx 0 a x 0 -1 i =0 ①,2ax 02-2ax 0 1=0 ②2由①②得lnx 0 -生=0,设g (x )= Inx -口 , (x € (0,1)),求出函数的导数,根据函数的单调性证明 2x ° 2x即可.试题解析:① 当0 5兰2时,y = f[x )^ (A g )上单调递増② 当GA2时』设2a^-2ax+\=Q 的两个根为耳花(0<码C* <花“且a — ^a 1 —2a a + —2a 西= > ^3 =lalay = /(x )在(Q 西)丄冷+«>)单调递増,在(坷也)单调递减.(2)依题可知f 1 =0,若f X 在区间0,1内有唯一的零点x 0,由(1)可知a 2,⑴ r (x )=—2ax+lx冃-'1 ;且X。
= Xi 0, .2十□ 2于疋:lnx0 a x0 -1 0 ①22ax o - 2ax o 1=0 ②x —1 X —1由①②得inx0- 0,设g x =1 nx , [0,1 ,2 x° 2 x2x ,,因此g x在i。
,1上单调递减,则g x二2x I 2丿3f 3、勺」p ~2' e —4 j A e —3 _又g e 2 = --------- >0, g (e )=-------------------- <0l丿2 23根据零点存在定理,故e 2::: x0::: e」.点睛:本题考查了函数的单调性,零点问题,考查导数的应用以及不等式的证明,零点存在性定理,考查分类讨论思想,转化思想,构造函数的解题方法22.设函数f(x) = x + bx—1(b€ R).(1)当b= 1时证明:函数f (x)在区间(2)若当x€ [1,2],不等式f(x)<1有解.求实数b的取值范围.【答案】(1)见解析;(2) -::,1【解析】试题分析:(1 )先根据对称轴与定义区间位置关系确定函数f(x)在区间-,1单调性,再根据区12丿间端点函数值异号,结合零点存在定理确定零点个数(2)先分离变量化为对应函数最值问题:b:::^-X ,x再根据函数单调性确定函数最小值,即得实数b的取值范围.试题解析:(1)由得・丁£]二份+扌一1=-*0, /ti )=i ;+i-i=i>0j *Jti )<Oj 所以函数心)在区间(右D 內存在零点.又由二次函数的團象,可知少)二r+x —i 在(右D 上单调遥魯 从而函数心)在区间(占D 内存在唯一零点.⑵ 由题意可知x 2+ bx — 1<1在区间[1,2]上有解,所以 b 厶-? x 在区间[1,2]上有解.XX令g (x ) = — x ,可得g (x )在区间[1,2]上递减,X所以b <g (X )max = g (1) = 2— 1= 1 ,从而实数b 的取值范围为(一8, 1).方法2.由题意可知分+址一25在区间[1,2]±有解.令g (X )=J^ + bx-2?则等价于gh )在区间丄2]上的最小值小于0. 当-茹2即底-4时,訴)在丄刃上递獄=2b+2<Q,即 0<-「所以 冥一4』当1< —*2即— 46—2时,咖在山-刽上递氟 在| 二訓)丽=g (-》=(护一耳_2= _”2<0恒成立.所汉_4<风_ 2; 当-冷即於一2时“曲)在12]上递増,二宮⑴=心一 1<0即Ml,所以一20<1・综上可得 &W — 4 或一4<ft<—2 或一 2^b<l }所b<l ? 从而实数A 的取值范围为(一8, 1),点睛:利用零点存在性定理不仅要求函数的图象在区间 [a , b ]上是连续不断的曲线,且 f (a ) • f (b )<0,还必须结合函数的图象与性质 (如单调性、奇偶性)才能确定函数有多少个零点增应『二-± ■2b-2f_ 23•已知函数 f x 二 ax mx m 「1 a = 0 • (1 )若f -1 =0,判断函数f x 的零点个数;(2)若对任意实数 m ,函数f x 恒有两个相异的零点,求实数 a 的取值范围;(3)已知 X iX • RR 且 % ::: X 2, f X i= f X 2 ,求证:方程 在区间X i ,X 2上有实数根•【答案】⑴见解析;⑵0 :: a < 1;⑶见解析.⑴:f -1 =0, a-m m-1 =0, a =12f x 二 x mx m T2 2:二m -4 m-1 二 m-2 ,当m=2时,厶=0,函数f x 有一个零点; 当m=2时,二0,函数f x 有两个零点⑵已知则A = m 1 —4a\ m — l}>Q 对于冊e R t 旦成立,即訝『一4o 初+4” 恒成立$所以川=16/-1&1<0, 从而解得O< a<l.⑶设 g X = f X || f X 1 f X 2,1 - _ 1 _ 则 g X1 ;= f x l --||fX ! • f X 2 || f X ! - f X 2f x=2L f x if x2【解析】试题分析:(1)利用判别式定二次函数的零点个数:(2)零点个数问题转化为图象交点个数问题,即试题解析:1 - _ 1 _ g X2 = f X- -- f X1 f X- = - ||f X- -f x1:f X1 = f X1 - ¥ g X1 g X^ - - 4 || f X1 - f X-..O'-g X =0在区间X1, X-上有实数根,1 _ 即方程f X f X1f X2计在区间X1'X2上有实数根•点睛:已知函数有零点求参数取值范围常用的方法和思路(1)直接法:直接根据题设条件构建关于参数的不等式,再通过解不等式确定参数范围;(2)分离参数法:先将参数分离,转化成求函数值域问题加以解决;(3)数形结合法:先对解析式变形,在同一平面直角坐标系中,画出函数的图象,然后数形结合求解.24•已知函数f x]=a Inx-bx图象上一点P 2, f 2处的切线方程为y - -3x • 2ln2 - 2 .(1)求a, b的值;⑵若方程f xi亠m=0在1,e内有两个不等实根,求m的取值范围(其中_ee =2.71828| ||为自然对数的底).1 【答案】(1)a=2, b=1.(2) 「::m 22.e【解析】试题分析:本题考查函数与方程,函数与导数的综合应用. (1)根据导数的几何意义,得出两个方程,然后求解. 先利用导数研究函数h(x)=f (x)+ m=2lnx - x2+ m的单调性,根据单调性与极值点确定关系然后求解.试题解析:(1)',' f I A ) = -olnx — Eu 1 jt\ f r (x} = — -2bx 9xf (2) = aln2r4b =~6 + 2In2+ 2ci =2解得J i - D = 1(2)由(1 )得 f (x )=2l nx - x 2, 令 h ( x )=f ( x )+ m =2lnx - x +m ,222(1—x )则 h x = — - 2x =xx令 h '( x )=0,得 x =1(x =- 1 舍去)•故当x € 1,1时,h '( x ) > 0, h (x )单调递增;H e当 x € (1 , e ]时,h '( x ) v 0, h (x )单调递减. •••方程h (x )=0在 丄,e 内有两个不等实根,IL e『1 ) 1 h _ = —2 —右+m 兰0 2丿 ej1••• { h 1 = -1 m 0 ,解得 1 :: me h e = 2「e m 空0(11•实数m 的取值范围为11,-2 2 .\ e」点睛:根据函数零点求参数取值或范围的方法 (1 )利用零点存在的判定定理构建不等式求解;(2 )分离参数后转化为函数的值域(最值)问题求解,如果涉及由几个零点时,还需考虑函数的图象与参 数的交点个数;(3 )利用方程根的分布求解,转化为不等式问题.由题意得{(4 )转化为两熟悉的函数图象的上、下关系问题,从而构建不等式求解5•已知函数f x二e x-ax-1,其中e为自然对数的底数, a R(I )若a = e,函数g x = 2 - e x①求函数h x = f x -g x的单调区间f f x x 兰m②若函数F x;={ 的值域为R,求实数m的取值范围g(x ),x>m(II )若存在实数X i,X2 w 0,2】,使得f (X i )= f (刈),且X i -X2 31,求证:e—1兰a兰e2—e【答案】(1)①详见解析②实数m的取值范围是0,丄 ;(2) e-仁a^e2-e;IL e-2【解析】试題分析:⑴①求出函数的导数,解关干导函数的不等式,求出函数的单调区间即可, ②求岀函数的导数」通过讨论桝的范围得到函数的值域,从而确定加的具体范围即可,(R求出函数/■(刘的导数,得到a>0 在(加]道减在)递増,设O< Jq <X| <2 ,则有0<^<^<^<2,根1®函数的单调性得到关于滞的不等式组,解出即可.试题解析:(1 )当a=e时,f x 二e X-ex-1.①h x = f x -g x =e X-2x-1,h'x =e X-2.由h' x 0得x ln2,由h' x 0 得x : ln2 .所以函数h x的单调增区间为In2, •::,单调减区间为-二,1 n2 .②f ' x = e x _ e当x <1时,f' x :::0,所以f x在区间」:,1上单调递减;当x 1时,f' x 0,所以f x在区间1,匸:上单调递增.g x = 2 -e x在m, 上单调递减,值域为-::,2 - e m ,因为F x的值域为R,所以e m-em-仁2 _e)m ,即e m-2m <0.(*)由①可知当m<Q时》h(m)-e n-2m-l>h(O)=Q f故0不成立-因为*(用)在(0>2)上单调递冰在(加2:1)上单调递聲且应(0)= 0旳(1)="3<0 所以当0兰用51时,A(m)<0恒成立,因此0<m<l.2°当初Al时,/(刘在(Y M)上单调递减,在(I曲上单调递増,所叹函数f(x) = ^-^c-l在{toe)上的值域为|>(1丄如),即[7他)・^(x) = (2-e)jc在(观+x)上单调递减,值域为(Y\(2-总)酬). 因为F(刃的值域为左,所以一丄(2-町乩即兰丄.总一2综合T,2°可知,实数用的取值范围是k-!-・_ 左一2.(2)f' x 二e x-a •若a岂0时,f' x • 0 ,此时f x在R上单调递增•由f(X i )= f(X2 )可得人=X2,与X i —X2色1相矛盾,同样不能有x1,x2 !jna, •::.不妨设0三为:::x2込2,则有0込捲:::Ina :::x2込2.因为f x在X i,lna上单调递减,在Ina,X2上单调递增,且f为=f X2 ,所以当x^i^x三x2时,f x - f捲=f x2.由0兰为v x2兰2,且捲一x2岸1,可得1e Ix1, x2 ]故f 1 岂f % A f X2 .又f x在」:,ln a 1单调递减,且0 一X, :::Ina,所以f %乞f 0,所以f 1岂f 0,同理f 1乞f 2 •e - a -1 — 0, 2即{2解得e -1乞a乞e2「e「1 ,e -a -仁e -2a -2,所以e —1乞a乞e2-e.点睛:本题考查函数的单调性极值及恒成立问题,涉及函数不等式的证明,综合性强,难度大,属于难题.处理导数大题时,注意分层得分的原则,力争第一二问答对,第三问争取能写点,一般涉及求函数单调性及极值时,比较容易入手,求导后注意分类讨论,对于恒成立问题一般要分离参数,然后利用函数导数求函数的最大值或最小值,对于含有不等式的函数问题,一般要构造函数,利用函数的单调性来解决,但涉及技巧比较多,需要多加体会.x6 .已知函数f x X _ ax 1.e(1 )当a =1时,求y = f x在x 1-1,1吐的值域;(2)试求f x的零点个数,并证明你的结论.【答案】(1) l2-e,11 (2)当a乞0时,f x只有一个零点;当a 0时,f x有两个零点.【解析】试题分析:⑴当4=1时,»)二电-Q+1,则门©二今一1二£(町,而丈(力=需小e e e在卜1」]上恒成立,所以g(x)=/(x)®[-l1l]±递减,由f⑼",可得当xe(-lO)时,,才㈤递增*当就时/(刈递;咸,所以=/(<>)= ^ ttK/f-lJ./fl)的大小可得f(x)^f(-l) = 2-^进而可得结果;1 1(2)原方程等价于e x…一…a=0实根的个数,原命题也等价于h x i = e x…一…a在x「「「0)-(0,=x x上的零点个数,讨论a = 0, a :::0, a 0,三种情况,分别利用导数研究函数的单调性,结合函数图象与零点存在定理可得结果•x 1 — x试题解析:(1)当a=1 时,fx x _ax 1,则f x x 1二gx ,e e而g x = J2:::0在1-1,11上恒成立,所以g x二「x在〔-1,11上递减,ef X max 二f -1 =2e—1 0, f X min 二f 1」X0,所以「x在〔-1,11上存在唯一的X。
配餐作业(十七)导数与函数的零点(时间:40分钟)1.已知函数f(x)=x3-3ax-1,a≠0。
(1)求f(x)的单调区间;(2)若f(x)在x=-1处取得极值,直线y=m与y=f(x)的图象有三个不同的交点,求m 的取值范围。
解析(1)f′(x)=3x2-3a=3(x2-a),当a<0时,对x∈R,有f′(x)>0;所以当a<0时,f(x)的单调递增区间为(-∞,+∞)。
当a>0时,由f′(x)>0,解得x<-a或x> a。
由f′(x)<0,解得-a<x< a,所以当a>0时,f(x)的单调递增区间为(-∞,-a),( a,+∞),单调递减区间为(-a,a)。
(2)因为f(x)在x=-1处取得极值,所以f′(-1)=3×(-1)2-3a=0,所以a=1。
所以f(x)=x3-3x-1,f′(x)=3x2-3,由f′(x)=0,解得x1=-1,x2=1。
由(1)中f(x)的单调性可知,f(x)在x=-1处取得极大值f(-1)=1,在x=1处取得极小值f(1)=-3。
因为直线y=m与函数y=f(x)的图象有三个不同的交点,结合如图所示f(x)的图象可知,实数m的取值范围是(-3,1)。
答案(1)见解析(2)(-3,1)a-12.已知f(x)=x2+3x+1,g(x)=+x。
x-1(1)a=2时,求y=f(x)和y=g(x)的公共点个数;(2)a为何值时,y=f(x)和y=g(x)的公共点个数恰为两个。
解析(1)a=2时,由Error!11得x2+3x+1=+x,x-1整理得x3+x2-x-2=0(x≠1)。
令y=x3+x2-x-2,求导得y′=3x2+2x-1,1令y′=0,得x1=-1,x2=,31故得极值分别在x=-1和x=处取得,且极大值、极小值都是负值。
3所以x3+x2-x-2=0的解只有一个,即y=f(x)与y=g(x)的公共点只有一个。
专项限时集训(七)函数零点、单调性、极值等综合问题(对应学生用书第125页)(限时:60分钟)1.(本小题满分14分)已知函数f (x )=ax 2-bx +ln x ,a ,b ∈R .(1)当b =2a +1时,讨论函数f (x )的单调性;(2)当a =1,b >3时,记函数f (x )的导函数f ′(x )的两个零点分别是x 1和x 2(x 1<x 2),求证:f (x 1)-f (x 2)>34-ln 2.【导学号:56394110】[解] (1)因为b =2a +1,所以f (x )=ax 2-(2a +1)x +ln x , 从而f ′(x )=2ax -(2a +1)+1x =2ax 2-2a +1x +1x=2ax -1x -1x,x >0.2分当a ≤0时,由f ′(x )>0得0<x <1,由f ′(x )<0得x >1, 所以f (x )在区间(0,1)上单调递增,在区间(1,+∞)上单调递减.当0<a <12时,由f ′(x )>0得0<x <1或x >12a ,由f ′(x )<0得1<x <12a ,所以f (x )在区间(0,1)和区间⎝ ⎛⎭⎪⎫12a ,+∞上单调递增,在区间⎝ ⎛⎭⎪⎫1,12a 上单调递减.当a =12时,因为f ′(x )≥0(当且仅当x =1时取等号),所以f (x )在区间(0,+∞)上单调递增.当a >12时,由f ′(x )>0得0<x <12a 或x >1,由f ′(x )<0得12a <x <1,所以f (x )在区间⎝ ⎛⎭⎪⎫0,12a 和区间(1,+∞)上单调递增,在区间⎝ ⎛⎭⎪⎫12a ,1上单调递减.综上,当a ≤0时,f (x )在区间(0,1)上单调递增,在区间(1,+∞)上单调递减;当0<a <12时,f (x )在区间(0,1)和区间⎝ ⎛⎭⎪⎫12a ,+∞上单调递增,在区间⎝ ⎛⎭⎪⎫1,12a 上单调递减;当a =12时,f (x )在区间(0,+∞)上单调递增,无单调递减区间;当a >12时,f (x )在区间⎝ ⎛⎭⎪⎫0,12a 和区间(1,+∞)上单调递增,在区间⎝ ⎛⎭⎪⎫12a ,1上单调递减.(2)法一:因为a =1,所以f (x )=x 2-bx +ln x (x >0),从而f ′(x )=2x 2-bx +1x,由题意知x 1,x 2是方程2x 2-bx +1=0的两个根,故x 1x 2=12.记g (x )=2x 2-bx +1,因为b >3,所以g ⎝ ⎛⎭⎪⎫12=3-b 2<0,g (1)=3-b <0, 所以x 1∈⎝ ⎛⎭⎪⎫0,12,x 2∈(1,+∞),且bx 1=2x 21+1,bx 2=2x 22+1,f (x 1)-f (x 2)=(x 21-x 22)-(bx 1-bx 2)+ln x 1x 2=-(x 21-x 22)+ln x 1x 2,因为x 1x 2=12,所以f (x 1)-f (x 2)=x 22-14x 22-ln(2x 22),x 2∈(1,+∞).令t =2x 22∈(2,+∞),φ(t )=f (x 1)-f (x 2)=t 2-12t -ln t .因为当t >2时,φ′(t )=t -122t2>0,所以φ(t )在区间(2,+∞)上单调递增,所以φ(t )>φ(2)=34-ln 2,即f (x 1)-f (x 2)>34-ln 2.14分法二:因为a =1,所以f (x )=x 2-bx +ln x (x >0),从而f ′(x )=2x 2-bx +1x,由题意知x 1,x 2是方程2x 2-bx +1=0的两个根,故x 1x 2=12.记g (x )=2x 2-bx +1,因为b >3,所以g ⎝ ⎛⎭⎪⎫12=3-b 2<0,g (1)=3-b <0, 所以x 1∈⎝ ⎛⎭⎪⎫0,12,x 2∈(1,+∞),且f (x )在(x 1,x 2)上是减函数,所以f (x 1)-f (x 2)>f ⎝ ⎛⎭⎪⎫12-f (1)=⎝ ⎛⎭⎪⎫14-b2+ln 12-(1-b )=-34+b 2-ln 2,因为b >3,所以f (x 1)-f (x 2)>-34+b 2-ln 2>34-ln 2.14分2.(本小题满分14分)(南通、泰州市2017届高三第一次调研测试)已知函数f (x )=ax 2-x -ln x ,a ∈R .(1)当a =38时,求函数f (x )的最小值;(2)若-1≤a ≤0,证明:函数f (x )有且只有一个零点; (3)若函数f (x )有两个零点,求实数a 的取值范围. [解] (1)当a =38时,f (x )=38x 2-x -ln x .所以f ′(x )=34x -1-1x =3x +2x -24x(x >0).令f ′(x )=0,得x =2,当x ∈(0,2)时,f ′(x )<0;当x ∈(2,+∞)时,f ′(x )>0, 所以函数f (x )在(0,2)上单调递减,在(2,+∞)上单调递增.所以当x =2时,f (x )有最小值f (2)=-12-ln 2.3分(2)证明:由f (x )=ax 2-x -ln x ,得f ′(x )=2ax -1-1x =2ax 2-x -1x,x >0.所以当a ≤0时,f ′(x )=2ax 2-x -1x<0,函数f (x )在(0,+∞)上单调递减,所以当a ≤0时,函数f (x )在(0,+∞)上最多有一个零点.因为当-1≤a ≤0时,f (1)=a -1<0,f ⎝ ⎛⎭⎪⎫1e =e 2-e +a e 2>0, 所以当-1≤a ≤0时,函数f (x )在(0,+∞)上有零点. 综上,当-1≤a ≤0时,函数f (x )有且只有一个零点.7分(3)法一:由(2)知,当a ≤0时,函数f (x )在(0,+∞)上最多有一个零点. 因为函数f (x )有两个零点,所以a >0.由f (x )=ax 2-x -ln x ,得f ′(x )=2ax 2-x -1x(x >0),令g (x )=2ax 2-x -1.因为g (0)=-1<0,2a >0,所以函数g (x )在(0,+∞)上只有一个零点,设为x 0.当x ∈(0,x 0)时,g (x )<0,f ′(x )<0;当x ∈(x 0,+∞)时,g (x )>0,f ′(x )>0. 所以函数f (x )在(0,x 0)上单调递减;在(x 0,+∞)上单调递增. 要使得函数f (x )在(0,+∞)上有两个零点,只需要函数f (x )的极小值f (x 0)<0,即ax 20-x 0-ln x 0<0. 又因为g (x 0)=2ax 20-x 0-1=0,所以2ln x 0+x 0-1>0,又因为函数h (x )=2ln x +x -1在(0,+∞)上是增函数,且h (1)=0, 所以x 0>1,得0<1x 0<1.又由2ax 20-x 0-1=0,得2a =⎝ ⎛⎭⎪⎫1x 02+1x 0=⎝ ⎛⎭⎪⎫1x 0+122-14,所以0<a <1.以下验证当0<a <1时,函数f (x )有两个零点. 当0<a <1时,g ⎝ ⎛⎭⎪⎫1a =2a a2-1a -1=1-a a>0,所以1<x 0<1a.因为f ⎝ ⎛⎭⎪⎫1e =a e 2-1e+1=e 2-e -a e 2>0,且f (x 0)<0. 所以函数f (x )在⎝ ⎛⎭⎪⎫1e ,x 0上有一个零点.又因为f ⎝ ⎛⎭⎪⎫2a =4a a2-2a-ln 2a ≥2a -⎝ ⎛⎭⎪⎫2a -1=1>0(因为ln x ≤x -1),且f (x 0)<0.所以函数f (x )在⎝ ⎛⎭⎪⎫x 0,2a 上有一个零点.所以当0<a <1时,函数f (x )在⎝ ⎛⎭⎪⎫1e ,2a 内有两个零点.综上,实数a 的取值范围为(0,1). 下面证明:ln x ≤x -1.设t (x )=x -1-ln x ,所以t ′(x )=1-1x =x -1x(x >0).令t ′(x )=0,得x =1.当x ∈(0,1)时,t ′(x )<0;当x ∈(1,+∞)时,t ′(x )>0. 所以函数t (x )在(0,1)上单调递减,在(1,+∞)上单调递增. 所以当x =1时,t (x )有最小值t (1)=0. 所以t (x )=x -1-ln x ≥0,得ln x ≤x -1成立.14分法二:由(2)知,当a ≤0时,函数f (x )在(0,+∞)上最多有一个零点. 因为函数f (x )有两个零点,所以a >0. 由f (x )=ax 2-x -ln x =0,得关于x 的方程a =x +ln xx 2(x >0)有两个不等的实数解. 又因为ln x ≤x -1, 所以a =x +ln x x 2≤2x -1x 2=-⎝ ⎛⎭⎪⎫1x -12+1(x >0). 因为x >0时,-⎝ ⎛⎭⎪⎫1x-12+1≤1,所以a ≤1.又当a =1时,x =1,即关于x 的方程a =x +ln xx 2有且只有一个实数解. 所以0<a <1. 14分(以下解法同法一)3.(本小题满分14分)(苏北四市(淮安、宿迁、连云港、徐州)2017届高三上学期期中)设函数f (x )=ln x -ax 2+ax ,a 为正实数.(1)当a =2时,求曲线y =f (x )在点(1,f (1))处的切线方程;(2)求证:f ⎝ ⎛⎭⎪⎫1a≤0; (3)若函数f (x )有且只有1个零点,求a 的值.[解] (1)当a =2时,f (x )=ln x -2x 2+2x ,则f ′(x )=1x-4x +2,所以f ′(1)=-1,又f (1)=0,所以曲线y =f (x )在点(1,f (1))处的切线方程为x +y -1=0.4分(2)证明:因为f ⎝ ⎛⎭⎪⎫1a =ln 1a -1a+1,设函数g (x )=ln x -x +1,则g ′(x )=1x -1=1-xx,另g ′(x )=0,得x =1,列表如下:x (0,1) 1 (1,+∞)g ′(x ) +0 -g (x )极大值所以g (x )的极大值为g 所以f ⎝ ⎛⎭⎪⎫1a=ln 1a -1a+1≤0.8分(3)f ′(x )=1x -2ax +a =-2ax 2-ax -1x,x >0,令f ′(x )>0,得a -a 2+8a 4a <x <a +a 2+8a 4a ,因为a -a 2+8a 4a<0,所以f (x )在⎝ ⎛⎭⎪⎫0,a +a 2+8a 4a 上单调递增,在⎝ ⎛⎭⎪⎫a +a 2+8a 4a ,+∞上单调递减.所以f (x )≤f ⎝ ⎛⎭⎪⎫a +a 2+8a 4a .设x 0=a +a 2+8a4a,因为函数f (x )只有1个零点,而f (1)=0,所以1是函数f (x )的唯一零点.当x 0=1时,f (x )≤f (1)=0,f (x )有且只有1个零点,此时a +a 2+8a 4a=1,解得a =1.下证,当x 0≠1时,f (x )的零点不唯一.若x 0>1,则f (x 0)>f (1)=0,此时a +a 2+8a 4a >1,即0<a <1,则1a>1.由(2)知,f ⎝ ⎛⎭⎪⎫1a <0,又函数f (x )在以x 0和1a为端点的闭区间上的图象不间断,所以在x 0和1a之间存在f (x )的零点,则f (x )共有2个零点,不符合题意;若x 0<1,则f (x 0)>f (1)=0,此时a +a 2+8a 4a <1,即a >1,则0<1a<1.同理可得,要1a和x 0之间存在f (x )的零点,则f (x )共有2个零点,不符合题意.因此x 0=1,所以a 的值为1. 14分4.(本小题满分16分)(扬州市2017届高三上学期期末)已知函数f (x )=g (x )·h (x ),其中函数g (x )=e x,h (x )=x 2+ax +a .(1)求函数g (x )在(1,g (1))处的切线方程;(2)当0<a <2时,求函数f (x )在x ∈[-2a ,a ]上的最大值;(3)当a =0时,对于给定的正整数k ,问函数F (x )=e·f (x )-2k (ln x +1)是否有零点?请说明理由.(参考数据e≈2.718,e ≈1.649,e e ≈4.482,ln 2≈0.693)【导学号:56394111】[解] (1)g ′(x )=e x,故g ′(1)=e ,g (1)=e , 所以切线方程为y -e =e(x -1),即y =e x .2分(2)f (x )=e x ·(x 2+ax +a ), 故f ′(x )=(x +2)(x +a )e x, 令f ′(x )=0,得x =-a 或x =-2.①当-2a ≥-2,即0<a ≤1时,f (x )在[-2a ,-a ]上递减,在[-a ,a ]上递增, 所以f (x )max =max{f (-2a ),f (a )}, 由于f (-2a )=(2a 2+a )e -2a,f (a )=(2a 2+a )e a,故f (a )>f (-2a ),所以f (x )max =f (a );②当-2a <-2,即1<a <2时,f (x )在[-2a ,-2]上递增,[-2,-a ]上递减,在[-a ,a ]上递增, 所以f (x )max =max{f (-2),f (a )},由于f (-2)=(4-a )e -2,f (a )=(2a 2+a )e a,故f (a )>f (-2), 所以f (x )max =f (a );综上得,f (x )max =f (a )=(2a 2+a )e a.6分(3)结论:当k =1时,函数F (x )无零点;当k ≥2时,函数F (x )有零点. 理由如下:①当k =1时,实际上可以证明:e x 2e x-2ln x -2>0.F ′(x )=(x 2+2x )e x +1-2x ,显然可证F ′(x )=(x 2+2x )e x +1-2x在(0,+∞)上递增,所以存在x 0∈⎝ ⎛⎭⎪⎫1e ,12,使得F ′(x 0)=0,所以当x ∈(0,x 0)时,F (x )递减;当x ∈(x 0,+∞)时,F (x )递增,所以F (x )min =F (x 0)=2⎝ ⎛⎭⎪⎫1x 0+2-ln x 0-1,其中x 0∈⎝ ⎛⎭⎪⎫1e ,12,而φ(x )=2⎝⎛⎭⎪⎫1x +2-ln x -1递减,所以φ(x )>φ⎝ ⎛⎭⎪⎫12=2⎝ ⎛⎭⎪⎫ln 2-35>0,所以F (x )min >0,所以命题得证.10分下面证明F (e k )>0,可借助结论e x >x 2(x ≥2)处理,首先证明结论e x >x 2(x ≥2): 令φ(x )=e x -x 2(x ≥2),则φ′(x )=e x -2x ,故φ′(x )=e x-2x >0, 所以φ′(x )=e x-2x 在[2,+∞)上递增, 所以φ′(x )>φ′(2)>0,所以φ(x )=e x -x 2在[2,+∞)上递增, 所以φ(x )>φ(2)>0,得证.借助结论得ee k+2k +1>e k 2+2k +1>(k 2+2k +1)2=(k +1)4=(k +1)(k +1)3>2k (k +1),所以F (e k)>0,又因为函数F (x )连续,所以F (x )在⎝ ⎛⎭⎪⎫12,e k 上有零点. 16分5.(本小题满分16分)(扬州市2017届高三上学期期中)已知函数f (x )=a e xx+x .(1)若函数f (x )的图象在(1,f (1))处的切线经过点(0,-1),求a 的值;(2)是否存在负整数a ,使函数f (x )的极大值为正值?若存在 ,求出所有负整数a 的值;若不存在,请说明理由;(3)设a >0,求证:函数f (x )既有极大值,又有极小值.[解] (1)∵f ′(x )=a e x x -1+x 2x 2,∴f ′(1)=1,f (1)=a e +1,∴函数f (x )在(1,f (1))处的切线方程为:y -(a e +1)=x -1,又直线过点(0,-1), ∴-1-(a e +1)=-1,解得:a =-1e.4分(2)若a <0,f ′(x )=a e x x -1+x 2x 2,当x ∈(-∞,0)时,f ′(x )>0恒成立,函数在(-∞,0)上无极值; 当x ∈(0,1)时,f ′(x )>0恒成立,函数在(0,1)上无极值;法一:在(1,+∞)上,若f (x )在x 0处取得符合条件的极大值f (x 0),则⎩⎪⎨⎪⎧x 0>1,f x 0>0,f ′x 0=0,则⎩⎪⎨⎪⎧x 0>1, ①a e x 0x0+x 0>0, ②a e x 0x 0-1+x20x20=0, ③由③得:a e x 0=-x 20x 0-1,代入②得:-x 0x 0-1+x 0>0,结合①可 解得:x 0>2,再由f (x 0)=a e x 0x 0+x 0>0得:a >-x 20e x 0,设h (x )=-x 2ex ,则h ′(x )=x x -2ex,当x >2时,h ′(x )>0,即h (x )是增函数,所以a >h (x 0)>h (2)=-4e2,又a <0,故当极大值为正数时,a ∈⎝ ⎛⎭⎪⎫-4e 2,0,从而不存在负整数a 满足条件.8分 法二:在x ∈(1,+∞)时,令H (x )=a e x (x -1)+x 2,则H ′(x )=(a e x+2)x , ∵x ∈(1,+∞),∴e x∈(e ,+∞),∵a 为负整数, ∴a ≤-1,∴a e x≤a e≤-e ,∴a e x+2<0,∴H ′(x )<0,∴H (x )在(1,+∞)上单调递减,又H (1)=1>0,H (2)=a e 2+4≤-e 2+4<0,∴∃x 0∈(1,2),使得H (x 0)=0, 且1<x <x 0时,H (x )>0,即f ′(x )>0;x >x 0时,H (x )<0,即f ′(x )<0; ∴f (x )在x 0处取得极大值f (x 0)=a e x 0x 0+x 0,(*) 又H (x 0)=a e x 0(x 0-1)+x 20=0,∴a e x 0x 0=-x 0x 0-1代入(*)得:f (x 0)=-x 0x 0-1+x 0=x 0x 0-2x 0-1<0, ∴不存在负整数a 满足条件.8分(3)证明:设g (x )=a e x(x -1)+x 2,则g ′(x )=x (a e x+2), 因为a >0,所以,当x >0时,g ′(x )>0,g (x )单调递增; 当x <0时,g ′(x )<0,g (x )单调递减;故g (x )至多有两个零点. 又g (0)=-a <0,g (1)=1>0,所以存在x 1∈(0,1), 使g (x 1)=0再由g (x )在(0,+∞)上单调递增知, 当x ∈(0,x 1)时,g (x )<0,故f ′(x )=g xx 2<0,f (x )单调递减; 当x ∈(x 1,+∞)时,g (x )>0,故f ′(x )=g xx 2>0,f (x )单调递增; 所以函数f (x )在x 1处取得极小值. 当x <0时,e x<1,且x -1<0,所以g (x )=a e x (x -1)+x 2>a (x -1)+x 2=x 2+ax -a ,函数y =x 2+ax -a 是关于x 的二次函数,必存在负实数t ,使g (t )>0,又g (0)=-a <0, 故在(t,0)上存在x 2,使g (x 2)=0, 再由g (x )在(-∞,0)上单调递减知, 当x ∈(-∞,x 2)时,g (x )>0,故f ′(x )=g xx 2>0,f (x )单调递增;当x ∈(x 2,0)时,g (x )<0,故f ′(x )=g xx 2<0,f (x )单调递减; 所以函数f (x )在x 2处取得极大值.综上,函数f (x )既有极大值,又有极小值. 16分。
【2018高三数学各地优质二模试题分项精品】一、选择题1.【2018河南郑州高三二模】已知(){}|0M f αα==, (){}|0N g ββ==,若存在,M N αβ∈∈,使得n αβ-<,则称函数()f x 与()g x 互为“n 度零点函数”.若()231x f x -=-与()2x g x x ae =-互为“1度零点函数”,则实数a 的取值范围为( ) A. 214(,e e ⎤⎥⎦ B. 214(, e e ⎤⎥⎦C. 242[, e e ⎫⎪⎭D. 3242[, e e ⎫⎪⎭ 【答案】B【点睛】要学会分析题中隐含的条件和信息,如本题先观察出f(x)的零点及单调性是解题的关键,进一步转化为函数()2xg x x ae =-在区间(1,3)上存在零点,再进行参变分离,应用导数解决。
2.【2018陕西咸阳高三一模】已知奇函数()f x 的导函数为()f x ',当0x ≠时, ()()0f x f x x+'>,若()11,a f b ef e e e ⎛⎫==- ⎪⎝⎭, ()1c f =,则,,a b c 的大小关系正确的是( ) A. a b c << B. b c a << C. c a b << D. a c b << 【答案】D【解析】 设()()h x xf x =,所以()()()h x f x xf x ='+',因为()y f x =是定义域上的奇函数,所以()h x 是定义在实数集上的偶函数,当0x >时, ()()()0h x f x xf x =+'>',此时()h x 为单调递增函数, 又由11e e <<-,所以()()()111f f ef e ef e e e ⎛⎫<<--=-- ⎪⎝⎭, 即a c b <<,故选D.点睛:本题主要考查了函数性质的基本应用问题,其中解答中利用题设条件,构造新函数()()h x xf x =,得出函数()h x 为单调递增函数和函数()h x 是定义在实数集上的偶函数是解答的关键,着重考查了学生分析问题和解答问题的能力.3.【2018湖南衡阳高三二模】已知e 为自然对数的底数,设函数()21f ln 2x x ax b x =-+存在极大值点0x ,且对于a 的任意可能取值,恒有极大值()0f 0x <,则下列结论中正确的是( ) A. 存在0x b = ,使得()01f 2x e<-B. 存在0x b =,使得()20f x e >- C. b 的最大值为3e D. b 的最大值为22e 【答案】C分析得()f x 的极大值点为10x x =,()2222244422424a a b a a b a a b b ba a ba a b--+---==<=+-+-, (()0,x b f x ∴∈∴在()00,x 递增,在()02,x x 递减,当()0,x x f x =取得极大值()0f x ,又()200000'00bf x x a x b ax x =⇒-+=⇒+=,()()222000000011ln ln 22f x x ax b x x x b b x =-+=-++,即()20001ln 2f x x b b x =--+,令 ()()21ln ,0,2g x x b x b x b =-+-∈,原命题转化为()0g x <恒成立,()()22'000b x bg x x x b x b x x-+∴=-+=><<⇒<<, ()g x ∴在()0,b 上递增,()()()1ln2g x gb b b b b ∴<=-+- 1ln 02b b b b =-+-≤,3323ln 2bb b b e b e ∴≤⇒≤⇒≤,所以b 的最大值为3e , C 对、D 错,又0x b <,即不存在极大值点0x b =,排除,A B ,故选C.【方法点睛】本题主要考查利用导数判断函数的单调性以及函数的极值,属于难题.求函数()f x 极值的步骤:(1) 确定函数的定义域;(2) 求导数()f x ';(3) 解方程()0,f x '=求出函数定义域内的所有根;(4) 列表检查()f x '在()0f x '=的根0x 左右两侧值的符号,如果左正右负(左增右减),那么()f x 在0x 处取极大值,如果左负右正(左减右增),那么()f x 在0x 处取极小值. 4.【2018河南商丘高三二模】记函数,若曲线上存在点使得,则的取值范围是( )A. B.C. D.【答案】B点睛:利用函数零点的情况求参数值或取值范围的方法 (1)利用零点存在的判定定理构建不等式求解. (2)分离参数后转化为函数的值域(最值)问题求解.(3)转化为两熟悉的函数图象的上、下关系问题,从而构建不等式求解.5.【2018四川德阳高三二诊】已知函数,若,使得成立,则实数的取值范围是( ) A. B.C.D.【答案】A6.【2018重庆高三二诊】已知函数()ln f x x a =+, ()1g x ax b =++,若0x ∀>, ()()f x g x ≤,则ba的最小值是( ) A. 1e + B. 1e - C. 1e - D. 12e - 【答案】B【解析】 由题意()()0,x f x g x ∀>≤,即ln 1x a ax b +≤++,即ln 1x ax a b -+≤+, 设()ln h x x ax a =-+,则()1h x a x'=-, 若0a ≤时, ()10h x a x -'=>,函数()h x 单调递增,无最大值,不适合题意; 当0a >时,令()10h x a x -'==,解得1x a=,当10,x a ⎛⎫∈ ⎪⎝⎭时, ()0h x '>,函数()h x 单调递增, 当1,x a ⎛⎫∈+∞⎪⎝⎭时, ()0h x '<,函数()h x 单调递减,所以()max 1ln 1h x h a a a ⎛⎫==-+-⎪⎝⎭,即ln 11a a b -+-≤+,即ln 20a a b -+--≤点睛:本题主要考查导数在函数中的应用,考查了转化与化归思想、逻辑推理能力与计算能力.导数是研究函数的单调性、极值(最值)最有效的工具,对导数的应用的考查主要从以下几个角度进行: (1)考查导数的几何意义,往往与解析几何、圆等知识联系; (2)利用导数求函数的单调区间,判断单调性;已知单调性,求参数; (3)利用导数求函数的最值(极值),解决函数的恒成立与有解问题.7.【2018甘肃兰州高三二模】已知()f x 是定义在R 上的可导函数,若在R 上()()3f x f x >'有恒成立,且()31(f e e =为自然对数的底数),则下列结论正确的是( ) A. ()01f = B. ()01f < C. ()62f e < D. ()62f e >【答案】C 【解析】设()()3xf xg x e =,则()()()()()()()333223333x x x xxe f x f x e f x e f x g x e e ⎡⎤-'-⎣⎦=''=.∵在R 上()()3f x f x >'有恒成立∴()0g x '<在R 上恒成立,即()g x 在R 上为减函数. ∴()()()()()0301001f f g f g ee==>=∵()31f e =∴()01f >,故A ,B 不正确. ∵()()()62211f g g e =<=∴()62f e < 故选C.点睛:利用导数解抽象函数不等式,实质是利用导数研究对应函数单调性,而对应函数需要构造. 构造辅助函数常根据导数法则进行:如()()f x f x '<构造()()xf xg x e =, ()()0f x f x '+<构造()()xg x e f x =,()()xf x f x '<构造()()f x g x x=, ()()0xf x f x +<'构造()()g x xf x =等8.【2018河北唐山高三二模】已知函数()f x 满足()()f x f x >',在下列不等关系中,一定成立的是( ) A. ()()12ef f > B. ()()12ef f < C. ()()12f ef > D. ()()12f ef < 【答案】A点睛:本题的关键在于通过()f x f >'(x )能得到()'()0xf x e<,得到()xf x R e是上的减函数,问题就迎刃而解.所以在这里,观察和联想的数学能力很重要.9.【2018吉林四平高三质检】若存在实常数k 和b ,使得函数()F x 和()G x 对其公共定义域上的任意实数x 都满足: ()F x kx b ≥+和()G x kx b ≤+恒成立,则称此直线y kx b =+为()F x 和()G x 的“隔离直线”,已知函数()()2f x xx R =∈, ()()()10,2ln g x x h x e x x=<=,有下列命题:①()()()F x f x g x =-在32x ⎛⎫∈ ⎪⎝⎭内单调递增;②()f x 和()g x 之间存在“隔离直线”,且b 的最小值为-4;③()f x 和()g x 之间存在“隔离直线”,且k 的取值范围是](40 -,; ④()f x 和()g x 之间存在唯一的“隔离直线”2y ex e =-. 其中真命题的个数有( )A. 1个B. 2个C. 3个D. 4个 【答案】C2424,1664,40b k k b k k ≤-≤≤--≤≤,同理421664,b k b ≤≤-可得40b -≤≤,故②正确,③错误,④函数()f x 和()h x 的图象在x e =()f x 和()h x 的隔离直线,那么该直线过这个公共点,设隔离直线的斜率为k ,则隔离直线方程为(y e k x e -=,即y kx e e =-,由()()f x kx e e x R ≥-∈,可得20x kx e e -+≥,当x R ∈恒成立,则(20k e∆=-≤,只有k e =,此时直线方程为2y ex e =-,下面证明()2h x ex e ≤-,令()()2G x ex e h x =-- 22ln ex e e x =--, ()2'e x eG x x=,当x e =()'0G x =;当0x e << ()'0G x <;当x e >()'0G x >;当x e = ()'G x 取到极小值,极小值是0,也是最小值,()()20G x ex e h x ∴=--≥,则()2h x ex e ≤-, ∴函数()f x 和()h x 存在唯一的隔离直线y ex e =-,故④正确,真命题的个数有三个,故选C.【方法点睛】本题考查利用导数研究函数的单调性与不等式恒成立问题、以及新定义问题,属于难题. 新定义题型的特点是:通过给出一个新概念,或约定一种新运算,或给出几个新模型来创设全新的问题情景,要求考生在阅读理解的基础上,依据题目提供的信息,联系所学的知识和方法,实现信息的迁移,达到灵活解题的目的.遇到新定义问题,应耐心读题,分析新定义的特点,弄清新定义的性质,按新定义的要求,“照章办事”,逐条分析、验证、运算,使问题得以解决.本题定义“隔离直线”达到考查导数在研究函数性质的应用的目的. 10.【2018湖南郴州高三二诊】已知函数()212ln f x x x e e ⎛⎫=≤≤⎪⎝⎭, ()1g x mx =+,若()f x 与()g x 的图像上存在关于直线1y =对称的点,则实数m 的取值范围是( )A. 2,2e e ⎡⎤-⎢⎥⎣⎦B. 23,3e e -⎡⎤-⎣⎦C. 2,3e e -⎡⎤-⎣⎦D. 322,3e e -⎡⎤-⎢⎥⎣⎦【答案】D若直线y=1﹣mx 经过点(1e,﹣2),则m=3e , 若直线y=1﹣mx 与y=2lnx 相切,设切点为(x ,y ).则1{2 2y mxy lnx m x===-﹣,解得3232{3 2x ey m e-===-.∴322e--≤m≤3e.故选:D .点睛:已知函数有零点求参数取值范围常用的方法和思路(1)直接法:直接根据题设条件构建关于参数的不等式,再通过解不等式确定参数范围; (2)分离参数法:先将参数分离,转化成求函数值域问题加以解决;(3)数形结合法:先对解析式变形,在同一平面直角坐标系中,画出函数的图象,然后数形结合求解.11.【2018云南昆明高三质检二】已知函数()22ln xe f x k x kx x=+-,若2x =是函数()f x 的唯一极值点,则实数k 的取值范围是( )A. 2,4e ⎛⎤-∞ ⎥⎝⎦ B. ,2e ⎛⎤-∞ ⎥⎝⎦ C. (]0,2 D. [)2,+∞【答案】A【点睛】函数有唯一极值点x=2,即导函数只有唯一零点x=2,且在x=2两侧导号。
导数与函数的零点专题研究方程根或函数的零点的情况,可以通过导数研究函数的单调性、最大值、最小值、变化趋势等,根据题目要求,画出函数图象的走势规律,标明函数极(最)值的位置,通过数形结合的思想去分析问题,可以使问题的求解有一个清晰、直观的整体展现. 例题精讲例1、已知函数f (x )=x 3-3x 2+ax +2,曲线y =f (x )在点(0,2)处的切线与x 轴交点的横坐标为-2.(1)求a ;(2)证明:当k <1时,曲线y =f (x )与直线y =kx -2只有一个交点.解析:f ′(x )=3x 2-6x +a ,f ′(0)=a .曲线y =f (x )在点(0,2)处的切线方程为y =ax +2,由题设得-2a =-2,所以a =1.(2)证明 由(1)知,f (x )=x 3-3x 2+x +2,设g (x )=f (x )-kx +2=x 3-3x 2+(1-k )x +4. 由题设知1-k >0.当x ≤0时,g ′(x )=3x 2-6x +1-k >0,g (x )单调递增,g (-1)=k -1<0,g (0)=4,所以g (x )=0在(-∞,0]有唯一实根.当x >0时,令h (x )=x 3-3x 2+4,则g (x )=h (x )+(1-k )x >h (x ).h ′(x )=3x 2-6x =3x (x -2),h (x )在(0,2)单调递减,在(2,+∞)单调递增,所以g (x )>h (x )≥h (2)=0. 所以g (x )=0在(0,+∞)没有实根.综上,g (x )=0在R 有唯一实根,即曲线y =f (x )与直线y =kx -2只有一个交点.例2、已知函数.(I)讨论的单调性;(II)假设有两个零点,求a 的取值范围.【解析】〔Ⅰ〕()(1)2(1)(1)(2)xxf x x e a x x e a '=-+-=-+.〔 i 〕当0a ≥时,则当1x >时,()0f x '>;当1x <时,()0f x '< 故函数()f x 在(,1)-∞单调递减,在(1,)+∞单调递增.〔 ii 〕当0a <时,由()0f x '=,解得:1x =或ln(2)x a =- ①假设ln(2)1a -=,即2e a =-,则x R ∀∈,()(1)()0xf x x e e '=-+≥ 故()f x 在(,)-∞+∞单调递增.②假设ln(2)1a -<,即2ea >-,则当(,ln(2))(1,)x a ∈-∞-+∞时,()0f x '>;当(ln(2),1)x a ∈-时,()0f x '<故函数在(,ln(2))a -∞-,(1,)+∞单调递增;在(ln(2),1)a -单调递减. ③假设ln(2)1a ->,即2ea <-,则当(,1)(ln(2),)x a ∈-∞-+∞时,()0f x '>;当(1,ln(2))x a ∈-时,()0f x '<;故函数在(,1)-∞,(ln(2),)a -+∞单调递增;在(1,ln(2))a -单调递减.〔Ⅱ〕〔i 〕当0a >时,由〔Ⅰ〕知,函数()f x 在(,1)-∞单调递减,在(1,)+∞单调递增. 又∵(1),(2)f e f a ==,取实数b 满足0b <且ln2ab <,则 223()(2)(1)()022a fb b a b a b b >-+-=-> ∴()f x 有两个零点.〔ii 〕假设0a =,则()(2)xf x x e =-,故()f x 只有一个零点. 〔iii 〕假设0a <,由〔I 〕知,当2ea ≥-,则()f x 在(1,)+∞单调递增,又当1x ≤时,()0f x <,故()f x 不存在两个零点;当2ea <-,则函数在(ln(2),)a -+∞单调递增;在(1,ln(2))a -单调递减.又当1x ≤时,()0f x <,故不存在两个零点.综上所述,a 的取值范围是()0,+∞.例3、设函数32()f x x ax bx c =+++.〔I 〕求曲线()y f x =在点()()0,0f 处的切线方程;〔II 〕设4a b ==,假设函数()f x 有三个不同零点,求c 的取值范围;〔III 〕求证:230a b ->是()f x 有三个不同零点的必要而不充分条件.解:〔I 〕由()32f x x ax bx c =+++,得()232f x x ax b '=++.因为()0f c =,()0f b '=,所以曲线()y f x =在点()()0,0f 处的切线方程为y bx c =+. 〔II 〕当4a b ==时,()3244f x x x x c =+++,所以()2384f x x x '=++.令()0f x '=,得23840x x ++=,解得2x =-或23x =-.()f x 与()f x '在区间(),-∞+∞上的情况如下:所以,当0c >且32027c -<时,存在()14,2x ∈--,222,3x ⎛⎫∈-- ⎪⎝⎭,32,03x ⎛⎫∈- ⎪⎝⎭,使得()()()1230f x f x f x ===.由()f x 的单调性知,当且仅当320,27c ⎛⎫∈ ⎪⎝⎭时,函数()3244f x x x x c =+++有三个不同零点. 〔III 〕当24120a b ∆=-<时,()2320f x x ax b '=++>,(),x ∈-∞+∞, 此时函数()f x 在区间(),-∞+∞上单调递增,所以()f x 不可能有三个不同零点.当24120a b ∆=-=时,()232f x x ax b '=++只有一个零点,记作0x .当()0,x x ∈-∞时,()0f x '>,()f x 在区间()0,x -∞上单调递增; 当()0,x x ∈+∞时,()0f x '>,()f x 在区间()0,x +∞上单调递增. 所以()f x 不可能有三个不同零点.综上所述,假设函数()f x 有三个不同零点,则必有24120a b ∆=->. 故230a b ->是()f x 有三个不同零点的必要条件.当4a b ==,0c =时,230a b ->,()()232442f x x x x x x =++=+只有两个不同 零点, 所以230a b ->不是()f x 有三个不同零点的充分条件.因此230a b ->是()f x 有三个不同零点的必要而不充分条件.基础专练1.假设函数f (x )=2x 3-9x 2+12x -a 恰好有两个不同的零点,则a 可能的值为( )A .4B .6C .7D .8 答案 A解析 由题意得f ′(x )=6x 2-18x +12=6(x -1)(x -2),由f ′(x )>0得x <1或x >2,由f ′(x )<0得1<x <2,所以函数f (x )在(-∞,1),(2,+∞)上单调递增,在(1,2)上单调递减,从而可知f (x )的极大值和极小值分别为f (1),f (2),假设欲使函数f (x )恰好有两个不同的零点,则需使f (1)=0或f (2)=0,解得a =5或a =4, 而选项中只给出了4,所以选A.2.设函数f (x )=e 2x -a ln x .(1)讨论f (x )的导函数f ′(x )零点的个数;(2)证明:当a >0时,f (x )≥2a +a ln 2a .(1)解 f (x )的定义域为(0,+∞),f ′(x )=2e 2x -ax (x >0).当a ≤0时,f ′(x )>0,f ′(x )没有零点.当a >0时,因为y =e 2x 单调递增,y =-a x 单调递增,所以f ′(x )在(0,+∞)上单调递增.又f ′(a )>0,当b 满足0<b <a4且b <14时,f ′(b )<0,故当a >0时,f ′(x )存在唯一零点.(2)证明 由(1),可设f ′(x )在(0,+∞)的唯一零点为x 0,当x ∈(0,x 0)时,f ′(x )<0;当x ∈(x 0,+∞)时,f ′(x )>0. 故f (x )在(0,x 0)上单调递减,在(x 0,+∞)上单调递增,所以当x =x 0时,f (x )取得最小值,最小值为f (x 0). 由于2e2x 0-a x 0=0,所以f (x 0)=a 2x 0+2ax 0+a ln 2a ≥2a +a ln 2a .故当a >0时,f (x )≥2a +a ln 2a .3.已知函数f (x )=x +aex .(1)假设f (x )在区间(-∞,2)上为单调递增函数,求实数a 的取值范围;(2)假设a =0,x 0<1,设直线y =g (x )为函数f (x )的图象在x =x 0处的切线,求证:f (x )≤g (x ).(1)解 易得f ′(x )=-x -1-ae x,由已知得f ′(x )≥0对x ∈(-∞,2)恒成立,故x ≤1-a 对x ∈(-∞,2)恒成立,∴1-a ≥2,∴a ≤-1.(2)证明 a =0,则f (x )=xex .函数f (x )的图象在x =x 0处的切线方程为y =g (x )=f ′(x 0)(x -x 0)+f (x 0). 令h (x )=f (x )-g (x )=f (x )-f ′(x 0)(x -x 0)-f (x 0),x ∈R ,则h ′(x )=f ′(x )-f ′(x 0)=1-x e x -1-x 0e x 0=1-x e x 0-1-x 0e xe x x +.设φ(x )=(1-x )e x 0-(1-x 0)e x ,x ∈R ,则φ′(x )=-e x 0-(1-x 0)e x ,∵x 0<1,∴φ′(x )<0,∴φ(x )在R 上单调递减,而φ(x 0)=0,∴当x <x 0时,φ(x )>0,当x >x 0时,φ(x )<0,∴当x <x 0时,h ′(x )>0,当x >x 0时,h ′(x )<0,∴h (x )在区间(-∞,x 0)上为增函数,在区间(x 0,+∞)上为减函数,∴x ∈R 时,h (x )≤h (x 0)=0,∴f (x )≤g (x ).4. 设a >1,函数f (x )=(1+x 2)e x -a . (1)求f (x )的单调区间;(2)证明:f (x )在(-∞,+∞)上仅有一个零点;(3)假设曲线y =f (x )在点P 处的切线与x 轴平行,且在点M (m ,n )处的切线与直线OP 平行(O 是坐标原点),证明:m ≤3a -2e-1.解析:〔1〕f ′(x )=2x e x +(1+x 2)e x =(x 2+2x +1)e x =(x +1)2e x ∀x ∈R ,f ′(x )≥0恒成立.∴f (x )的单调增区间为(-∞,+∞). (2)证明 ∵f (0)=1-a ,f (a )=(1+a 2)e a -a ,∵a >1,∴f (0)<0,f (a )>2a e a -a >2a -a =a >0,∴f (0)·f (a )<0,∴f (x )在(0,a )上有一零点, 又∵f (x )在(-∞,+∞)上递增,∴f (x )在(0,a )上仅有一个零点, ∴f (x )在(-∞,+∞)上仅有一个零点.(3)证明 f ′(x )=(x +1)2e x ,设P (x 0,y 0),则f ′(x 0)=e x 0(x 0+1)2=0,∴x 0=-1,把x 0=-1,代入y =f (x )得y 0=2e -a ,∴k OP =a -2e.f ′(m )=e m (m +1)2=a -2e ,令g (m )=e m -(m +1),g ′(m )=e m -1.令g ′(x )>0,则m >0,∴g (m )在(0,+∞)上增.令g ′(x )<0,则m <0,∴g (m )在(-∞,0)上减.∴g (m )min =g (0)=0. ∴e m -(m +1)≥0,即e m ≥m +1.∴e m (m +1)2≥(m +1)3,即a -2e ≥(m +1)3.∴m +1≤3a -2e ,即m ≤3a -2e-1.。
导数与零点考点一。
求参数取值范围(1) 设函数 f (x ) = x 3 - 9x 2 + 6x - a ,若方程 f (x ) = 0 有且仅有一个实根,求 a 的取值范围.2解:(1) f ' (x ) = 3x 2 - 9x + 6 = 3(x -1)(x - 2) ,因为 当 x < 1时, f ' (x ) > 0 ;当1 < x < 2 时,f ' (x ) < 0 ;当 x > 2 时,f ' (x ) > 0 ;所以 当 x = 1 时, f (x ) 取极大值f (1) = 5- a ; 当 x = 2 时, f (x ) 取极小值 2f (2) = 2 - a ;故当 f (2) > 0 或 f (1) < 0 时, 方程 f (x ) = 0 仅有一个实根. 解得a < 2 或 a > 5. 2 (2) 已知函数 f (x ) = x 3 - 3ax -1,(a ≠ 0),若 f (x ) 在 x = -1 处取得极值,直线 y=m 与 y =f (x ) 的图象有三个不同的交点,求 m 的取值范围。
解: f ' (x ) = 3x 2 - 3a = 3(x 2 - a ), 因为 f (x ) 在 x = -1 处取得极大值,所以 f ' (-1) = 3⨯(-1)2 - 3a = 0,∴ a = 1.所以 f (x ) = x 3 - 3x -1, f ' (x ) = 3x 2 - 3, 由 f ' (x ) = 0解得 x= -1, x= 1。
f (x ) 在 x = -1 处取得极大值 f (-1) = 11 2,在 x = 1 处取得极小值 f (1) = -3 ,又直线 y = m 与函数 y =f (x ) 的图象有三个不同点,则 m 的范围是(-3,1) 。
导数与函数的零点专题研究方程根或函数的零点的情况,可以通过导数研究函数的单调性、最大值、最小值、变化趋势等,根据题目要求,画出函数图象的走势规律,标明函数极(最)值的位置,通过数形结合的思想去分析问题,可以使问题的求解有一个清晰、直观的整体展现. 例题精讲例1、已知函数f (x )=x 3-3x 2+ax +2,曲线y =f (x )在点(0,2)处的切线与x 轴交点的横坐标为-2.(1)求a ;(2)证明:当k <1时,曲线y =f (x )与直线y =kx -2只有一个交点.解析:f ′(x )=3x 2-6x +a ,f ′(0)=a .曲线y =f (x )在点(0,2)处的切线方程为y =ax +2,由题设得-2a =-2,所以a =1.(2)证明 由(1)知,f (x )=x 3-3x 2+x +2,设g (x )=f (x )-kx +2=x 3-3x 2+(1-k )x +4. 由题设知1-k >0.当x ≤0时,g ′(x )=3x 2-6x +1-k >0,g (x )单调递增,g (-1)=k -1<0,g (0)=4,所以g (x )=0在(-∞,0]有唯一实根.当x >0时,令h (x )=x 3-3x 2+4,则g (x )=h (x )+(1-k )x >h (x ).h ′(x )=3x 2-6x =3x (x -2),h (x )在(0,2)单调递减,在(2,+∞)单调递增,所以g (x )>h (x )≥h (2)=0. 所以g (x )=0在(0,+∞)没有实根.综上,g (x )=0在R 有唯一实根,即曲线y =f (x )与直线y =kx -2只有一个交点.例2、已知函数.(I)讨论的单调性;(II)若有两个零点,求a 的取值范围.【解析】(Ⅰ)()(1)2(1)(1)(2)xxf x x e a x x e a '=-+-=-+.( i )当0a ≥时,则当1x >时,()0f x '>;当1x <时,()0f x '< 故函数()f x 在(,1)-∞单调递减,在(1,)+∞单调递增.( ii )当0a <时,由()0f x '=,解得:1x =或ln(2)x a =- ①若ln(2)1a -=,即2e a =-,则x R ∀∈,()(1)()0xf x x e e '=-+≥ 故()f x 在(,)-∞+∞单调递增.②若ln(2)1a -<,即2ea >-,则当(,ln(2))(1,)x a ∈-∞-+∞U 时,()0f x '>;当(ln(2),1)x a ∈-时,()0f x '<故函数在(,ln(2))a -∞-,(1,)+∞单调递增;在(ln(2),1)a -单调递减. ③若ln(2)1a ->,即2ea <-,则当(,1)(ln(2),)x a ∈-∞-+∞U 时,()0f x '>;当(1,ln(2))x a ∈-时,()0f x '<;故函数在(,1)-∞,(ln(2),)a -+∞单调递增;在(1,ln(2))a -单调递减.(Ⅱ)(i )当0a >时,由(Ⅰ)知,函数()f x 在(,1)-∞单调递减,在(1,)+∞单调递增. 又∵(1),(2)f e f a ==,取实数b 满足0b <且ln2ab <,则 223()(2)(1)()022a fb b a b a b b >-+-=-> ∴()f x 有两个零点.(ii )若0a =,则()(2)xf x x e =-,故()f x 只有一个零点. (iii )若0a <,由(I )知,当2ea ≥-,则()f x 在(1,)+∞单调递增,又当1x ≤时,()0f x <,故()f x 不存在两个零点;当2ea <-,则函数在(ln(2),)a -+∞单调递增;在(1,ln(2))a -单调递减.又当1x ≤时,()0f x <,故不存在两个零点.综上所述,a 的取值范围是()0,+∞.例3、设函数32()f x x ax bx c =+++.(I )求曲线()y f x =在点()()0,0f 处的切线方程;(II )设4a b ==,若函数()f x 有三个不同零点,求c 的取值范围;(III )求证:230a b ->是()f x 有三个不同零点的必要而不充分条件.解:(I )由()32f x x ax bx c =+++,得()232f x x ax b '=++.因为()0f c =,()0f b '=,所以曲线()y f x =在点()()0,0f 处的切线方程为y bx c =+. (II )当4a b ==时,()3244f x x x x c =+++,所以()2384f x x x '=++.令()0f x '=,得23840x x ++=,解得2x =-或23x =-.()f x 与()f x '在区间(),-∞+∞上的情况如下:所以,当0c >且32027c -<时,存在()14,2x ∈--,222,3x ⎛⎫∈-- ⎪⎝⎭,32,03x ⎛⎫∈- ⎪⎝⎭,使得()()()1230f x f x f x ===.由()f x 的单调性知,当且仅当320,27c ⎛⎫∈ ⎪⎝⎭时,函数()3244f x x x x c =+++有三个不同零点. (III )当24120a b ∆=-<时,()2320f x x ax b '=++>,(),x ∈-∞+∞, 此时函数()f x 在区间(),-∞+∞上单调递增,所以()f x 不可能有三个不同零点.当24120a b ∆=-=时,()232f x x ax b '=++只有一个零点,记作0x .当()0,x x ∈-∞时,()0f x '>,()f x 在区间()0,x -∞上单调递增; 当()0,x x ∈+∞时,()0f x '>,()f x 在区间()0,x +∞上单调递增. 所以()f x 不可能有三个不同零点.综上所述,若函数()f x 有三个不同零点,则必有24120a b ∆=->. 故230a b ->是()f x 有三个不同零点的必要条件.当4a b ==,0c =时,230a b ->,()()232442f x x x x x x =++=+只有两个不同 零点, 所以230a b ->不是()f x 有三个不同零点的充分条件.因此230a b ->是()f x 有三个不同零点的必要而不充分条件.基础专练1.若函数f (x )=2x 3-9x 2+12x -a 恰好有两个不同的零点,则a 可能的值为( )A .4B .6C .7D .8 答案 A解析 由题意得f ′(x )=6x 2-18x +12=6(x -1)(x -2),由f ′(x )>0得x <1或x >2,由f ′(x )<0得1<x <2,所以函数f (x )在(-∞,1),(2,+∞)上单调递增,在(1,2)上单调递减,从而可知f (x )的极大值和极小值分别为f (1),f (2),若欲使函数f (x )恰好有两个不同的零点,则需使f (1)=0或f (2)=0,解得a =5或a =4, 而选项中只给出了4,所以选A.2.设函数f (x )=e 2x -a ln x .(1)讨论f (x )的导函数f ′(x )零点的个数;(2)证明:当a >0时,f (x )≥2a +a ln 2a .(1)解 f (x )的定义域为(0,+∞),f ′(x )=2e 2x -ax (x >0).当a ≤0时,f ′(x )>0,f ′(x )没有零点.当a >0时,因为y =e 2x 单调递增,y =-a x 单调递增,所以f ′(x )在(0,+∞)上单调递增.又f ′(a )>0,当b 满足0<b <a4且b <14时,f ′(b )<0,故当a >0时,f ′(x )存在唯一零点.(2)证明 由(1),可设f ′(x )在(0,+∞)的唯一零点为x 0,当x ∈(0,x 0)时,f ′(x )<0;当x ∈(x 0,+∞)时,f ′(x )>0. 故f (x )在(0,x 0)上单调递减,在(x 0,+∞)上单调递增,所以当x =x 0时,f (x )取得最小值,最小值为f (x 0). 由于2e2x 0-a x 0=0,所以f (x 0)=a 2x 0+2ax 0+a ln 2a ≥2a +a ln 2a .故当a >0时,f (x )≥2a +a ln 2a .3.已知函数f (x )=x +aex .(1)若f (x )在区间(-∞,2)上为单调递增函数,求实数a 的取值范围;(2)若a =0,x 0<1,设直线y =g (x )为函数f (x )的图象在x =x 0处的切线,求证:f (x )≤g (x ).(1)解 易得f ′(x )=-x -1-ae x,由已知得f ′(x )≥0对x ∈(-∞,2)恒成立,故x ≤1-a 对x ∈(-∞,2)恒成立,∴1-a ≥2,∴a ≤-1.(2)证明 a =0,则f (x )=xex .函数f (x )的图象在x =x 0处的切线方程为y =g (x )=f ′(x 0)(x -x 0)+f (x 0). 令h (x )=f (x )-g (x )=f (x )-f ′(x 0)(x -x 0)-f (x 0),x ∈R ,则h ′(x )=f ′(x )-f ′(x 0)=1-x e x -1-x 0e x 0=1-x e x 0-1-x 0e xe x x +.设φ(x )=(1-x )e x 0-(1-x 0)e x ,x ∈R ,则φ′(x )=-e x 0-(1-x 0)e x ,∵x 0<1,∴φ′(x )<0,∴φ(x )在R 上单调递减,而φ(x 0)=0,∴当x <x 0时,φ(x )>0,当x >x 0时,φ(x )<0,∴当x <x 0时,h ′(x )>0,当x >x 0时,h ′(x )<0,∴h (x )在区间(-∞,x 0)上为增函数,在区间(x 0,+∞)上为减函数,∴x ∈R 时,h (x )≤h (x 0)=0,∴f (x )≤g (x ).4. 设a >1,函数f (x )=(1+x 2)e x -a . (1)求f (x )的单调区间;(2)证明:f (x )在(-∞,+∞)上仅有一个零点;(3)若曲线y =f (x )在点P 处的切线与x 轴平行,且在点M (m ,n )处的切线与直线OP 平行(O 是坐标原点),证明:m ≤3a -2e-1.解析:(1)f ′(x )=2x e x +(1+x 2)e x =(x 2+2x +1)e x =(x +1)2e x ∀x ∈R ,f ′(x )≥0恒成立.∴f (x )的单调增区间为(-∞,+∞). (2)证明 ∵f (0)=1-a ,f (a )=(1+a 2)e a -a ,∵a >1,∴f (0)<0,f (a )>2a e a -a >2a -a =a >0,∴f (0)·f (a )<0,∴f (x )在(0,a )上有一零点, 又∵f (x )在(-∞,+∞)上递增,∴f (x )在(0,a )上仅有一个零点, ∴f (x )在(-∞,+∞)上仅有一个零点.(3)证明 f ′(x )=(x +1)2e x ,设P (x 0,y 0),则f ′(x 0)=e x 0(x 0+1)2=0,∴x 0=-1,把x 0=-1,代入y =f (x )得y 0=2e -a ,∴k OP =a -2e.f ′(m )=e m (m +1)2=a -2e ,令g (m )=e m -(m +1),g ′(m )=e m -1.令g ′(x )>0,则m >0,∴g (m )在(0,+∞)上增.令g ′(x )<0,则m <0,∴g (m )在(-∞,0)上减.∴g (m )min =g (0)=0. ∴e m -(m +1)≥0,即e m ≥m +1.∴e m (m +1)2≥(m +1)3,即a -2e ≥(m +1)3.∴m +1≤3a -2e ,即m ≤3a -2e-1.。