全国高中数学竞赛专题三角函数
- 格式:docx
- 大小:973.64 KB
- 文档页数:15
全国高中数学竞赛专题-三角函数三角函数是数学中的一个重要分支,它与三角学和几何学密切相关,广泛应用于物理、工程、计算机科学等领域。
在全国高中数学竞赛中,三角函数是一个常见的考点,掌握好相关知识对于获得好的成绩至关重要。
首先,我们来介绍一下三角函数的基本概念。
在直角三角形中,定义了三个基本三角函数:正弦函数(sin)、余弦函数(cos)和正切函数(tan)。
这些函数的值与直角三角形的各边长之间的关系密切相关,可以通过三角函数表格或计算器查到具体的数值。
接着,我们来讨论一下三角函数的性质和相关公式。
首先是奇偶性。
正弦函数是奇函数,即sin(-x)=-sin(x);余弦函数是偶函数,即cos(-x)=cos(x);正切函数的奇偶性与正弦函数相同,即tan(-x)=-tan(x)。
其次是周期性。
正弦函数和余弦函数的周期都是2π,即sin(x+2π)=sin(x),cos(x+2π)=cos(x);正切函数的周期是π,即tan(x+π)=tan(x)。
最后是相关公式。
三角函数之间有一系列的相关公式,如正弦函数和余弦函数之间的勾股定理:sin^2(x) + cos^2(x) = 1;另外还有和差公式、积化和差公式等。
在解题过程中,掌握好三角函数的这些性质和公式,是非常重要的。
很多题目需要在使用相关公式的基础上,灵活运用三角函数的性质,进行合理的转化和变形。
这不仅要求对三角函数的概念有深刻的理解,还需要通过大量的练习和思考,掌握一些解题的技巧和方法。
此外,在解题过程中,还需要掌握一些常见三角函数的特殊值。
例如,sin0=0,sinπ/6=1/2,sinπ/4=√2/2,sinπ/3=√3/2等。
对于这些特殊值的掌握,有助于简化计算和验证答案。
最后,我们来介绍一些常见的三角函数应用题。
在数学竞赛中,三角函数的应用题常常涉及到几何问题、物理问题以及实际生活中的应用问题。
比如,在几何问题中,可以根据角度和边长给出的条件,计算出未知边长或角度的值。
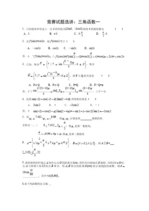
竞赛试题选讲:三角函数一1.已知锐角α终边上一点A 的坐标为(2sin3,-2cos3),则角α的弧度数为的弧度数为( )A .3 B .π-3 C .3-2p D . 2p-3 2.若f (sin x )=cos2x ,则(cos )f x 等于(等于( ). A .-cos2xB .cos2xC .-sin2xD .sin2x答.A ∵f (sin x )=cos2x ,∴(cos )=(sin())=cos2()=cos(2)=cos 222f x f x x x x p pp ----3.已知:集合þýüîíìÎ-==Z k k x x P ,3)3(sin |p ,集合,集合þýüîíìÎ--==Z k ky y Q ,3)21(sin |p ,则P 与Q 的关系是 ( ).A .P ÌQ B .P ÉQ C .P=Q D .P ∩Q=φ 答.C∵(21)(3)(3)sinsin[8]sin333k k k pp p p ----=-+=,∴P=Q,∴P=Q4.化简sin(2)cos(2)tan(24)p p -+---所得的结果是(所得的结果是( ))A.2sin 2 B.0B.0 C.2sin 2- D.-1D.-1答.C答.C sin(2)cos(2)tan(24)=sin 2(cos 2)tan 22sin 2p p -+---+-=- 5.设99.9,412.721-==a a ,则21,a a 分别是第分别是第 象限的角象限的角若集合一、二若集合一、二 07.4122,2pp <-<得1a 是第一象限角;是第一象限角;9.994,2pp p <-+<得2a 是第二象限角是第二象限角6.|,3A x k x k k Z pp p p ìü=+££+Îíýîþ,{}|22B x x =-££,则B A =___[2,0][,2]3p-7.某时钟的秒针端点A 到中心点O 的距离为5cm ,秒针均匀地绕点O 旋转,当时间0t =时,点A 与钟面上标12的点B 重合,将,A B 两点的距离()d cm 表示成()t s 的函数,则d =π10sin60t,其中[0,60]t Î。
三角函数公式汇总一、任意角的三角函数在角α的终边上任取..一点),(y x P ,记:22y x r +=,正弦:r y =αsin 余弦:r x =αcos 正切:xy=αtan 二、同角三角函数的基本关系式商数关系:αααcos sin tan =平方关系:1cos sin 22=+αα,αα22sec tan 1=+,αα22csc cot 1=+。
三、诱导公式⑴παk 2+)(Z k ∈、α-、απ+、απ-、απ-2的三角函数值,等于α的同名函数值,前面加上一个把α看成..锐角时原函数值的符号。
(口诀:函数名不变,符号看象限) ⑵απ+2、απ-2、απ+23、απ-23的三角函数值,等于α的异名函数值,前面加上一个把α看成..锐角时原函数值的符号。
(口诀:函数名改变,符号看象限)四、和角公式和差角公式βαβαβαsin cos cos sin )sin(⋅+⋅=+ βαβαβαsin cos cos sin )sin(⋅-⋅=- βαβαβαsin sin cos cos )cos(⋅-⋅=+ βαβαβαs i n s i n c o s c o s )c o s (⋅+⋅=-βαβαβαtan tan 1tan tan )tan(⋅-+=+ βαβαβαt a n t a n 1t a n t a n )t a n (⋅+-=- 五、二倍角公式αααcos sin 22sin =ααααα2222sin 211cos 2sin cos 2cos -=-=-=…)(*ααα2tan 1tan 22tan -=二倍角的余弦公式)(*有以下常用变形:(规律:降幂扩角,升幂缩角)αα2cos 22cos 1=+ αα2sin 22cos 1=-2)cos (sin 2sin 1ααα+=+2)cos (sin 2sin 1ααα-=-六、万能公式(可以理解为二倍角公式的另一种形式)ααα2tan 1tan 22sin +=,ααα22tan 1tan 12cos +-=,ααα2tan 1tan 22tan -=。
全国高中数学竞赛专题-三角函数三角函数是高中数学中的重要内容,也是数学竞赛中常考的考点之一、掌握好三角函数相关的知识,在竞赛中起到事半功倍的效果。
本文将从基本概念、常用公式、性质以及解题方法等几个方面全面介绍三角函数在数学竞赛中的应用。
首先,我们来了解一下基本概念。
在直角三角形中,三角函数是指与一个锐角的对边、邻边和斜边之间的关系。
其中,正弦函数(sin)、余弦函数(cos)、正切函数(tan)是最常用的三种三角函数。
它们分别表示为sinθ、cosθ和tanθ,其中θ是一个锐角。
在解题时,我们常常需要利用这些基本概念进行推导和计算。
其次,我们要掌握一些常用的三角函数公式。
比如,角的加减关系公式:sin(α±β) = sinαcosβ ± cosαsinβcos(α±β) = cosαcosβ ∓ sinαsinβtan(α±β) = (tanα ± tanβ)/(1 ∓ tanαtanβ)这些公式可以帮助我们更方便地计算复杂的三角函数式子。
此外,还有一些特殊角的值,如0°、30°、45°、60°和90°等。
熟记这些特殊角的三角函数值对于解题时的计算非常重要。
然后,我们要了解一些三角函数的性质。
三角函数的定义域是实数集R,值域是[-1,1]。
另外,正弦函数是奇函数,余弦函数是偶函数,正切函数在一个周期内有无穷多个零点。
最后,我们来谈一谈解题方法。
在解三角函数的题目时,我们首先要根据题目给出的条件建立方程,然后进行简化和变形,最终求解出未知量。
常见的解题方法有两角和差的公式、倍角公式、半角公式和三角恒等式等。
我们在解题时要熟练运用这些公式,灵活选择适合题目情况的公式来求解。
除此之外,我们还可以利用三角函数的图像性质来解题。
通过观察函数图像的变化规律,可以快速找到题目中所求的解。
因此,熟悉和掌握基本的函数图像是十分必要的。
全国高中数学联赛培训讲座第一讲 三角函数 一、 考题回顾1.(92年)在△ABC 中,角A ,B ,C 的对边分别记为a ,b ,c (b ≠1),且A B A C sin sin ,都是方程x blog=log b (4x -4)的根,则△ABC ( )(A)是等腰三角形,但不是直角三角形 (B)是直角三角形,但不是等腰三角形 (C)是等腰直角三角形 (D)不是等腰三角形,也不是直角三角形 2.(92年)在区间[0,π]中,三角方程cos7x =cos5x 的解的个数是______. 3.(93年)若M ={(x ,y )| |tg πy |+sin 2πx =0},N ={(x ,y )|x 2+y 2≤2},则M N 的元素个数是( )(A)4 (B )5 (C )8 (D )9 4.(93年)若直线x =4π被曲线C :(x -arcsin a )(x -arccos a )+(y -arcsin a )(y +arccos a )=0 所截的弦长为d ,当a 变化时d 的最小值是( )(A) 4π (B ) 3π (C )2π (D )π5.(93年)在△ABC 中,角A ,B ,C 的对边长分别为a ,b ,c ,若c -a 等于AC 边上的高h ,则2cos 2sin A C A C ++-的值是( )(A)1 (B )21 (C )31 (D )-16.(94年)设a,b,c 是实数,那么对任何实数x, 不等式a x b x c sin cos .++>0都成立的充要条件是 (A)a,b 同时为0,且c >0 (B)a b c 22+=(C)a b c 22+< (D)a b c 22+>7.(94年)已知0104<<<<b a ,π,则下列三数:x a b a =(sin )log sin ,y a b a =(cos )log cos , z a b a =(sin )log cos 的大小关系是(A)x<z<y (B)y<z<x (C)z<x<y (D)x<y<z8.(94年)已知x y a R ,[,],∈-∈ππ44且x x a y y y a 332040+-=++=⎧⎨⎩sin sin cos 则cos()x y +2=_____.9.(94年)设0<<θπ,则sin (cos )θθ21+的最大值是______.10.(95年)1tg log ,1sin log ,1tg log ,1cos log 1cos 1cos 1sin 1sin 的大小关系是( ) (A)1tg log 1log 1sin log 1cos log 1cos 1sin 1cos 1sin <<<tg (B)1tg log 1cos log 1log 1sin log 1sin 1sin 1cos 1cos <<<tg (C)1cos log 1sin log 1tg log 1tg log 1sin 1cos 1cos 1sin <<< (D)1sin log 1cos log 1tg log 1tg log 1cos 1sin 1sin 1cos <<<11.(96年)设x ∈-(,)120,以下三个数απ1=cos(sin )x ,απ2=sin(cos )x ,απ31=+cos()x 的大小关系是( )(A)ααα321<< (B)ααα132<< (C)ααα312<< (D)ααα231<< 12.(97年)设x x x f π-=2)(,α =arcsin 31,)45(arcctg ),31arccos(,45arctg -=-==δγβ,则(A ))()()()(γδβαf f f f >>> (B ))()()()(γβδαf f f f >>> (C ))()()()(γβαδf f f f >>> (D ))()()()(βγαδf f f f >>> 13.(97年)设x ≥y ≥z ≥12π,且x +y +z =2π,求乘积cos x sin y cos z 的最大值和最小值.14.(99年)在△ ABC 中,记 BC = a ,CA = b ,AB = c ,若9 a 2 +9 b 2-19 c 2=0,则ctgBctgA ctgC+ =__________.15.(99年)已知当 x ∈[0,1]时,不等式x 2co sθ-x(1-x)+(1-x)2s inθ>0,恒成立,试求θ的取值范围。
【高中数学竞赛专题大全】 竞赛专题3 三角函数 (50题竞赛真题强化训练)一、单选题1.(2018·吉林·高三竞赛)已知()sin 2cos xf x x=+,则对任意x ∈R ,下列说法中错误的是( ) A .()1sin 3f x x ≥B .()f x x ≤C .()f x ≤D .()()0f x f x ππ++-=【答案】A 【解析】 【详解】由()1sin 3f x x ≥得sin (1cos 01cos 0x x x ),-≥-≥,所以该式不一定成立,sinx 有可能是负数,所以选项A 错误; ()sin sin 2cos x f x x x x =≤≤+.所以选项B 正确;()sin 2cos x f x x=+=sin 0||cos (2)x x ---表示单位圆上的点和(-2,0)所在直线的斜率的绝对值,数形结合观察得到()f x ≤C 正确; ()()f x f x ππ++-=sin sin 002-cos 2-cos 2-cos x x x x x-+==,所以选项D 正确.故答案为A2.(2018·四川·高三竞赛)函数()()()sin 1cos 12sin 2x x y x R x--=∈+的最大值为( ).A .2B .1C .12+D【答案】B 【解析】 【详解】因为()sin cos sin cos 122sin cosxx x x x y x ⋅-++=+⋅,令sin cos 4t x x x π⎛⎫⎡=+=+∈ ⎪⎣⎝⎭, 则()21sin cos 12x x t ⋅=-,于是()()22211112.2121t t t y t t --+==-++- 令()(21t g t t t =+,则()()22211t g t t '-=+. 由()0g t '=知1t =-或1.因为(()()111,1,22g g g g =-=-==()g t 的最小值是()112g -=-,所以y 的最大值是11122⎛⎫--= ⎪⎝⎭.故答案为:B3.(2019·全国·高三竞赛)函数[][]sin cos sin cos y x x x x =⋅++的值域为( )([]x 表示不超过实数x 的最大整数). A .{}2,1,0,1,2-- B .{}2,1,0,1-- C .{}1,0,1- D .{}2,1,1--【答案】D 【解析】 【详解】1sin224y x x π⎤⎡⎤⎛⎫=++ ⎪⎥⎢⎥⎣⎦⎝⎭⎦..下面的讨论均视k Z ∈. (1)当222k x k πππ≤≤+时,1y =; (2)当32224k x k ππππ+<≤+时,1y =-; (3)当3224k x k ππππ+<<+时,2y =-; (4)当2x k ππ=+或322k ππ+时,1y =-;(5)当3222k x k ππππ+<<+时,2y =-; (6)当372224k x k ππππ+<<+时,2y =-; (7)当72224k x k ππππ+≤<+时,1y =-. 综上,{}2,1,1y ∈--. 故答案为D4.(2010·四川·高三竞赛)已知条件43p =和条件4:sin cos 3q αα+=.则p 是q 的( ). A .充分但不必要条件 B .必要但不充分条件 C .充要条件 D .既不充分也不必要条件【答案】C 【解析】 【详解】sin cos αα+,所以,p 是q 的充要条件.5.(2018·全国·高三竞赛)在ABC ∆中,A B C ∠≤∠≤∠,sin sin sin cos cos cos A B CA B C++=++则B 的取值范围是( ).A .,32ππ⎛⎫ ⎪⎝⎭B .0,2π⎛⎫ ⎪⎝⎭C .3π D .,43ππ⎛⎫ ⎪⎝⎭【答案】C 【解析】 【详解】由条件有)sin sin sin cos cos cos A B C A B C ++=++2sincos sin 22A C A C B +-⇒︒+ 2cos cos cos 22A C A C B +-⎫=︒+⎪⎭2sin cos222A C A C A C ++-⎛⎫⇒- ⎪⎝⎭ sin B B =. 利用辅助角公式有2sin cossin 3223A C A C B ππ+-⎛⎫⎛⎫-=- ⎪ ⎪⎝⎭⎝⎭2sin cos 262B A C π-⎛⎫⇒- ⎪⎝⎭ 2sin cos 2626B B ππ⎛⎫⎛⎫=-- ⎪ ⎪⎝⎭⎝⎭60602sin cos cos 0222B A C B -︒--︒⎛⎫⇒-= ⎪⎝⎭606060sinsin sin 0244B AC B B A C -︒-+-︒-+-︒⇒︒︒=, 所以,600B ∠-︒=或者600A C B ∠-∠+∠-︒=或者600B A C ∠-∠+∠-︒=, 即60B ∠=︒或者60C ∠=︒或者60A ∠=︒,亦即A B C ∠∠∠、、中有一个为60︒.若60B ∠<︒,则60A B ∠≤∠<︒,所以,只能60C ∠=︒,此时,180A B C ∠+∠+∠<︒,矛盾; 若60B ∠>︒,则60C B ∠≥∠>︒,所以,只能60A ∠=︒,从而,180A B C ∠+∠+∠>︒,亦矛盾. 选C. 二、填空题6.(2018·江西·高三竞赛)若三个角x 、y 、z 成等差数列,公差为π3,则tan tan tan tan tan tan x y y z z x ++=______.【答案】3- 【解析】 【详解】 根据π3x y =-,π3z y =+,则tan x =tan z =所以tan tan x y tan tan y z 22tan 3tan tan 13tan y z x y -=-. 则229tan 3tan tan tan tan tan tan 313tan y x y y z z x y-++==--. 故答案为-37.(2018·广东·高三竞赛)已知△ABC 的三个角A 、B 、C 成等差数列,对应的三边为a 、b 、c ,且a 、c成等比数列,则2:ABC S a ∆=___________.【解析】 【详解】因为A 、B 、C 成等差数列,2B A C =+,3180B A B C =++=︒,因此60B =︒.又因为a 、c成等比数列,所以c qa =,b =由正弦定理()sin sin 120a qa A A ==︒-,整理得22sin A q =221A q q=-,()()232235420q q q q ⎡⎤-+++-=⎣⎦. 所以2q =,1sin 2A =,30A =︒,90C =︒.故212ABC S ab ∆==,所以2:ABC S a ∆=8.(2019·全国·高三竞赛)设锐角α、β满足αβ≠,且()()22cos cos 1tan tan 2αβαβ++⋅=,则αβ+=__________. 【答案】90 【解析】 【详解】由已知等式得()()()()22222tan tan 1tan tan 21tan 1tan αβαβαβ+++⋅=++,()()2tan tan tan tan 10αβαβ-⋅-=.但锐角αβ≠,故tan tan 10αβ⋅-=()cos 090αβαβ⇒+=⇒+=︒.故答案为909.(2021·全国·高三竞赛)函数sin 1tan tan 2x y x x ⎛⎫=+⋅ ⎪⎝⎭的最小正周期为____________.【答案】2π 【解析】 【详解】解析:当=2,x k k Z π∈时,sin 1tan tan 02x y x x ⎛⎫=+⋅= ⎪⎝⎭,当2,x k k Z π≠∈时,sin 1cos sin 1tan cos sin x x y x x x x -⎛⎫=+⋅= ⎪⎝⎭,其中2x k ππ≠+且2x k ππ≠+,画出图象可得函数周期为2π.故答案为:2π.10.(2021·浙江金华第一中学高三竞赛)设()()πcos 2243x f x x x =++为定义在R 上的函数.若正整数n 满足()12021nk f k ==∏,则n 的所有可能值之和为______.【答案】12121 【解析】 【详解】()cos cos cos 2222()41(1)(3)xxxf k k k k k πππ=++=++,111()(11)(13)(21)(23)nk f k --==++++⨯∏00(431)(433)m m ⨯-+-+11(421)(423)m m --⨯-+-+0011(411)(413)(41)(43)m m m m ⨯-+-+++,考虑cos2x π的周期为4,分四种情况考虑(1)当43k m =-(m 为正整数)时,4311111001()(21)(23)(41)(43)(443)(431)(433)m k f k m m m ---==++++⨯-+-+-+∏13(41)2021m -=⨯-=,所以416063,436061m n m -==-=;(2)当42k m =-时,42111()3(41)2021m k f k m ---==⨯+=∏,无正整数解;(3)当41k m =-时,41111()3(41)2021m k f k m ---==⨯+=∏,无正整数解;(4)当4k m =时,41111()3(43)2021m k f k m --==⨯+=∏,此时46060n m ==,综上,6060n =或6061n =, 故答案为:12121.11.(2021·全国·高三竞赛)在ABC 中,1155,tantantan222AC AC B =+-=,则+BC AB 的值为__________. 【答案】7 【解析】 【详解】解析:记ABC 中A 、B 、C 所对的边分别是a 、b 、c , 如图,设内切圆的半径为r ,则tan22A r b c a =+-,tan 22C r a b c =+-,tan 22B r a c b =+-,故5()b c a a b c a c b +-++-=+-,故()57a c b +=, 即7a c +=, 故答案为:712.(2021·全国·高三竞赛)已知ABC 满足2sin sin 2sin A B C +=,则59sin sin A C+的最小值是_______. 【答案】16 【解析】【详解】解析:2sin sin 2sin sin 2(sin sin )A B C B C A +=⇒=-2sincos 4sin cos 2222A C A C C A A C ++-+⇒⋅=⋅sin 2sin tan 3tan 2222A C C A C A+-⇒=⇒=. 令tan 2A t =,则222259595527326sin sin 22191t t t t A C t t t t +++=+=+++216416t t +=≥=.当113,tan ,tan 22222A C t ===时,tan02A C+>,所以180A C +<︒, 故min5916sin sin A C ⎛⎫+= ⎪⎝⎭. 故答案为:1613.(2020·浙江·高三竞赛)已知,,0,2παβγ⎡⎤∈⎢⎥⎣⎦,则cos 2cos cos cos()2cos()αβγαγβγ++-+-+的最大值为___________.【答案】【解析】 【详解】()cos cos 2sin sin 2sin 222γγγααγα⎛⎫-+=+≤ ⎪⎝⎭,同理()cos cos 2sin2γββγ-+≤,故cos 2cos cos cos()6sin22cos()cos αβγαγβγγγ++-+-++≤,而22cos 2sin 3116sin 6sin 12sin 222222γγγγγ⎛⎫+++=--+ -⎪=⎝⎭,因为0sin 2γ≤≤23112sin 222γ⎛⎫--+≤ ⎪⎝⎭当且仅当,24ππγαβ===时,各等号成立,故答案为:14.(2021·全国·高三竞赛)已知三角形ABC 的三个边长a b c 、、成等比数列,并且满足a b c ≥≥.则A ∠的取值范围为___________.【答案】2[,)33ππ【解析】 【详解】由条件2b ac =,结合余弦定理222cos 2a c b B ac+-=,则有11cos (1)22a c B c a =+-≥,从而(0,]3B π∈,而A 是最大角,从而2,33A ππ⎡⎫∈⎪⎢⎣⎭.故答案为:2,33ππ⎡⎫⎪⎢⎣⎭. 15.(2021·全国·高三竞赛)设02πθ<<,且333cos sin 1(cos sin 1)m θθθθ++=++,则实数m 的取值范是___________.【答案】14⎫⎪⎣⎭ 【解析】 【详解】解析:333cos sin 1(cos sin 1)m θθθθ++=++ ()223(cos sin )cos cos sin sin 1(cos sin 1)θθθθθθθθ+-++=++.令cos sin x θθ=+,则4x πθ⎛⎫=+∈ ⎪⎝⎭,且21sin cos 2x θθ-=, 于是2323321112232231(1)2(1)2(1)2(1)2(1)2x x x x x x x m x x x x x ⎛⎫--+ ⎪+-+--⎝⎭=====-+++++, 为然m是上的减函数,所以()(1)f f m f ≤<,即14m ⎫∈⎪⎣⎭.故答案为:41,24⎡⎫⎪⎢⎣⎭. 16.(2021·浙江·高三竞赛)在ABC 中,30B C ∠=∠=︒,2AB =.若动点P ,Q 分别在AB ,BC 边上,且直线PQ 把ABC 的面积等分,则线段PQ 的取值范围为______.【答案】 【解析】 【分析】【详解】如图所示,设,BP x BQ y ==,所以113sin 30222BPQBBCSxy S ︒===,所以23xy =由余弦定理可得,2222222312266PQ x y xy x y x x=+-=+-=+-, 易得[1,2]x ∈,所以2[1,4]x ∈, 所以2367PQ ≤≤,则PQ 的取值范围为[436,7]-. 故答案为:[436,7]-.17.(2021·浙江·高三竞赛)若π3,π44x ⎛⎫∈- ⎪⎝⎭,则函数4sin cos 3sin cos x x y x x +=+的最小值为______.【答案】22【解析】 【分析】 【详解】令(sin cos 224t x x x π⎛⎫=+=+∈ ⎪⎝⎭, ()22213211222t t y t tt t-++===+≥当且仅当12t t =即2t =.故答案为:2218.(2021·全国·高三竞赛)已知等腰直角PQR 的三个顶点分别在等腰直角ABC 的三条边上,记PQR 、ABC 的面积分别为PQR S、ABCS,则PQR ABCS S的最小值为__________.【答案】15【解析】 【分析】 【详解】(1)当PQR 的直角顶点在ABC 的斜边上,如图1所示,则P ,C 、Q ,R 四点共圆,180APR CQR BQR ∠=∠=︒-∠,所以sin sin APR BQR ∠=∠.在APR △、BQR 中分别应用正弦定理得,sin sin sin sin PR AR QR BRA APRB BQR==∠∠. 又45,A B PR QR ∠=∠=︒=,故AR BR =,即R 为AB 的中点. 过R 作RH AC ⊥于H ,则12PR RH BC ≥=, 所以22221124PQR ABCBC SPR SBC BC ⎛⎫ ⎪⎝⎭=≥=,此时PQR ABCS S 的最小值为14.(2)当PQR 的直角顶点在ABC 的直角边上,如图2所示.设1,(01),02BC CR x x BRQ παα⎛⎫==≤≤∠=<< ⎪⎝⎭,则90CPR PRC BRQ α∠=︒-∠=∠=. 在Rt CPR 中,sin sin CR xPR αα==,在BRQ 中, 31,,sin 4x BR x RQ PR RQB QRB B ππαα=-==∠=-∠-∠=-, 由正弦定理,11sin 3sin sin sin cos 2sin sin sin 44x RQ RB x x B RQB απαααπα-=⇔=⇔=∠+⎛⎫- ⎪⎝⎭,因此222111122sin 2cos 2sin PQRx SPR ααα⎛⎫⎛⎫=== ⎪ ⎪+⎝⎭⎝⎭. 这样,()()2222111cos 2sin 512cos sin PQR ABCS Sαααα⎛⎫=≥= ⎪+++⎝⎭,当且仅当arctan 2α=时取等号,此时PQR ABCS S的最小值为15.故答案为:15.19.(2021·全国·高三竞赛)满足方程223cos cos 22cos cos2cos4,[0,2]4x x x x x x π+-=∈的实数x 构成的集合的元素个数为________. 【答案】14 【解析】 【分析】 【详解】将方程变形为,1cos2cos44cos cos2cos42x x x x x +-=-.两边同乘2sin x ,运用积化和差和正弦的倍角公式,得:(sin3sin )(sin5sin3)sin8sin x x x x x x -+--=-,即sin5sin8x x =,故58(21),x x k k π+=+∈Z 或852,x x k k π=+∈Z , 即21,13k x k π+=∈Z 或2,3k x k π=∈Z . 又因为在方程两边同时乘sin x 时,所以引入了增根,x k k π=∈Z (代入原方程检验可得). 再结合[0,2]xπ,得所求结果为14.故答案为:14.20.(2021·全国·高三竞赛)设ABC 的三内角A 、B 、C 所对的边长分别为a 、b 、c ,若2b c a +-=,则2222sin sin 2sin sin sin 22222C B A B Cb c bc +-值为_________. 【答案】1 【解析】 【分析】 【详解】2222sin sin 2sin sin sin 22222C B A B Cb c bc +- 2211(1cos )(1cos )12(cos cos cos 1)22b Cc B bc A B C =-+--++- 22(2)(cos cos 1114)(cos cos 22)b c bc b C b c B c c B b C =++-+-+221(2cos )4b c bc A ++-22221111(2)()142242b c a b c bc ba ca a +-=++--+==. 故答案为:1.21.(2021·全国·高三竞赛)ABC 中,A 、B 、C 的对边分别为a 、b 、c ,O 是ABC 的外心,点P 满足OP OA OB OC =++,若3B π=,且4BP BC ⋅=,则ABC 的面积为_________.【答案】【解析】 【分析】 【详解】由OP OA OB OC =++,得OP OA OB OC -=+,即AP OB OC =+. 注意到()OB OC BC +⊥,所以AP BC ⊥. 同理,BP AC ⊥,所以P 是ABC 的垂心, ()BP BC BA AP BC BA BC ⋅=+⋅=⋅,所以cos 4ac B =,8ac =,所以1sin 2ABC S ac B ==△故答案为:22.(2021·全国·高三竞赛)设ABC 的三个内角分别为A 、B 、C ,并且sin cos sin A B C 、、成等比数列,cos sin cos A B C 、、成等差数列,则B 为____________. 【答案】23π【解析】 【分析】 【详解】依题意,2sin sin cos ,cos cos 2sin A C B A C B =+=, 前一式积化和差可得2cos()2cos cos A C B B -=-,后一式和差化积可得cos2cos 22A C B-=, 所以22cos()2cos18cos 14cos 322A CB AC B --=-=-=+,联立两式得1cos 2B =-或3(舍去),所以23B π=. 故答案为:23π. 23.(2021·全国·高三竞赛)如果三个正实数x y 、、z 满足2225x xy y ++=,22144y yz z ++=,22169z zx x ++=,则xy yz zx ++=_________.【答案】【解析】 【分析】 【详解】易知三个等式可化为2222222222cos1205,2cos12012,2cos12013.x y xy y z yz z x zx ⎧+-︒=⎪+-︒=⎨⎪+-︒=⎩构造Rt ABC ,其中13,5,12AB BC CA ===.设P 为ABC 内一点,使得,,,120PB x PC y PA z BPC CPA APB ===∠=∠=∠=︒. 因BPCCPAAPBABCSSSS++=,则11()sin12051222xy yz zx ++︒=⨯⨯,所以xy yz zx ++=故答案为:24.(2021·全国·高三竞赛)设()cos ()cos 30xf x x =︒-,则()()()1260f f f ︒+︒++︒=_________.【解析】 【分析】 【详解】 因为()cos ()cos 30xf x x =︒-,所以:()()()()cos 60cos ()60cos 30cos 30x xf x f x x x ︒-+︒-=+︒--︒()()()()cos cos 602cos30cos 30cos 30cos 30x x x x x +︒-︒-︒===-︒-︒令:()()()1259s f f f =︒+︒++︒,① ()()()()595821s f f f f =︒+︒++︒+︒,②①+②得::()()()()()()2159258591s f f f f f f =︒+︒+︒+︒++︒+︒=⎡⎤⎡⎤⎡⎤⎣⎦⎣⎦⎣⎦所以s =()()()59312592f f f +++=.又()()1cos6060cos 3060f ︒︒==︒=︒-,则()()()()125960f f f f ︒+︒++︒+︒==. 25.(2021·全国·高三竞赛)已知cos cos 1x y +=,则sin sin xy -的取值范围是________. 【答案】⎡⎣【解析】 【分析】 【详解】设sin sin x y t -=,易得2cos in sin 1cos s 2y x y t x --=,即21cos()2t x y -+=. 由于()1cos 1x y -≤+≤,所以21112t --≤≤,解得t≤故答案为:⎡⎣.26.(2020·全国·高三竞赛)在ABC中,6,4AB BC ==,边AC 66sin cos 22A A+的值为_______. 【答案】211256. 【解析】【分析】由中线长公式计算出AC 的长度,然后运用余弦定理计算出cos A 的值,化简后即可求出结果. 【详解】记M 为AC 的中点,由中线长公式得()222242BM AC AB BC +=+,可8AC ==.由余弦定理得2222228647cos 22868CA AB BC A CA AB +-+-===⋅⋅⋅,所以66224224sin cos sin cos sin sin cos cos 22222222A A A A A A A A ⎛⎫⎛⎫+=+-+ ⎪⎪⎝⎭⎝⎭22222sin cos 3sin cos 2222A A A A ⎛⎫=+- ⎪⎝⎭231sin 4A =-213211cos 44256A =+=. 故答案为:211256【点睛】关键点点睛:解答本题关键是能够熟练运用中线长公式、余弦定理、倍角公式等进行计算,考查综合能力.27.(2019·江苏·高三竞赛)已知函数()4sin 23cos 22sin 4cos f x x x a x a x =+++的最小值为-6,则实数a 的值为________ .【答案】【解析】 【详解】令sin 2cos x x t +=,则[t ∈, ∴224sin 23cos 25t x x =++,∴2()()225,[f x g t t at t ==+-∈,当2a-≤a ≥函数的最小值为:(((22256g a =⨯+⨯⨯-=-,解得:a =当2a-a ≤-函数的最小值为:22256g a =⨯+⨯⨯-=-,解得:a =,不合题意,舍去;当2a-<a -< 函数的最小值为:22256222a a a g a ⎛⎫⎛⎫⎛⎫-=⨯-+⨯-⨯-=- ⎪ ⎪ ⎪⎝⎭⎝⎭⎝⎭,解得:a =.故答案为:28.(2019·福建·高三竞赛)在△ABC中,若AC =AB =25tan 12π=,则BC =____________ .【解析】 【详解】5tan 12π=,得2sin 56tan 122cos 6A A πππ⎛⎫+ ⎪⎝⎭=⎛⎫+ ⎪⎝⎭,即5tan tan 612A ππ⎛⎫+= ⎪⎝⎭,所以5,612A k k πππ+=+∈Z . 结合0A π<<,得5,6124A A πππ+==. 所以由余弦定理,得:2222cos BC AC AB AC AB A =+-⋅⋅⋅22222cos4π=+-⋅2=所以BC29.(2018·全国·高三竞赛)设 A B C ∠∠∠、、是ABC 的三个内角.若sin ,A a =cos B b =,其中,a >0,0b >,且221a b +≤,则tan C =______.【解析】 【详解】因为cos 0B b =>,所以,B ∠为锐角,sin B又221a b +≤,则sin sin A a B =≤. 于是()sin sin A B π-≤. 若A ∠为钝角,则A π-∠为锐角.又B ∠为锐角,则A B A B ππ-∠≤∠⇒∠+∠≥矛盾.从而,A ∠为锐角,且cos A .故sin tan cos A A A ==sin tan cos B B B ==则tan tan tan tan tan 1A B C A B +==⋅-30.(2018·全国·高三竞赛)在ABC ∆中,已知a 、b 、c 分别是A ∠、B 、C ∠的对边.若4cos a b C b a +=,()1cos 6A B -=,则cos C ______. 【答案】23【解析】 【详解】由题设及余弦定理知222222422a b a b c a b c b a ab+-+=⋅⇒+=()()2221cos21cos22sin sin sin 1cos cos 22A BC A B A B A B --⇒=+=+=-+⋅-()2111cos 1cos 21cos 66C C C =+⇒+=-2cos 3C ⇒=或34-. 而()3cos cos 2sin sin 0cos 4C A B A B C ++=⋅>⇒=-(舍去).因此,2cos 3C =. 31.(2018·全国·高三竞赛)若对任意的ABC ∆,只要()+p q r p q R 、+=∈,就有222sin sin sin p A q B pq C +>,则正数r 的取值范围是______.【答案】01r <≤ 【解析】 【详解】设的三边长分别为a 、b 、c . 则222sin sin sin p A q B pq C +>①22211a b c q p⇔+>. 若1r ≤,则()22221111a b q p a b q p qp ⎛⎫+≥++ ⎪⎝⎭ ()22a b c ≥+>;若1r >,令2rp q ==. 当a b =,C π∠→时,2221 22a b rc +→<,式①不成立.综上,01r <≤.32.(2018·全国·高三竞赛)在锐角ABC ∆中,cos cos sin sin A B A B +--的取值范围是______. 【答案】()2,0- 【解析】 【详解】由02A B C π<∠∠∠<、、 22A B AB πππ⇒<∠+∠⇒∠-∠,2B A π∠>-∠.则0cos sin 1A B <<<,0cos sin 1B A <<<故2cos cos sin sin 0A B A B -<+--<. 所以取值范围是()2,0-.33.(2019·全国·高三竞赛)已知单位圆221x y +=上三个点()11,A x y ,()22,B x y ,()33,C x y满足1231230x x x y y y ++=++= .则222222123123x x x y y y ++=++=__________.【答案】32【解析】 【详解】设1cos x α=,2cos x β=,3cos x γ=,1sin y α=,2sin y β= 3sin y γ=. 由题设知ABC ∆的外心、重心、垂心重合,其为正三角形.故()222313cos cos cos cos2cos2cos2222αβγαβγ++=+++=, ()222313sin sin sin cos2cos2cos2222αβγαβγ++=-++=. 故答案为3234.(2021·全国·高三竞赛)在ABC 中,2cos 3cos 6cos A B C +=,则cos C 的最大值为_______________.【解析】 【分析】 【详解】令cos ,cos ,cos A x B y C z ===,则236x y z +=,即223y z x =-. 因为222cos cos cos 2cos cos cos 1A B C A B C +++=, 所以22222212233x z x z x z x z ⎛⎫⎛⎫+-+=-- ⎪ ⎪⎝⎭⎝⎭,整理得222134********z x z z x z ⎛⎫⎛⎫-+-+-= ⎪ ⎪⎝⎭⎝⎭,()2228134Δ44510393z z z z ⎛⎫⎛⎫=----≥ ⎪ ⎪⎝⎭⎝⎭,化简得2413(1)(1)4039z z z z ⎛⎫+-+-≥ ⎪⎝⎭, 于是24134039z z +-≤,得z ≤ 所以cos C.16. 35.(2021·全国·高三竞赛)已知正整数n p 、,且2p ≥,设正实数12,,,n m m m 满足1111npi im ==+∑,则12n m m m 的最小值为_______.【答案】(1)mp n - 【解析】 【分析】【详解】令2tan ,0,,1,2,,2p i i i m x x i n π⎛⎫=∈= ⎪⎝⎭.由题设可得22212cos cos cos 1n x x x +++=,于是:2222121cos cos cos sin n n x x x x -+++=,222221221cos cos cos cos sin n n n x x x x x --++++=,……2222231cos cos cos sin n x x x x +++=,将上述各式利用均值不等式得:2221(1)cos sin n n n x x --≤, 22221(1)cos sin n n n x x ---≤,……2231(1)cos sin n n x x -≤,再把上述n 个不等式相乘,得()2222221212(1)cos cos cos sin sin sin n n n n x x x x x x -≤,即22212tan tan tan (1)n n x x x n ≥-.由于2tan ,1,2,,p i i m x i n ==,故12(1)n pn m mm n ≥-,当且仅当1(1)p i m n =-时上式等号成立.故答案为:(1)mp n -.36.(2021·全国·高三竞赛)设锐角ABC 的三个内角、、A B C ,满足sin sin sin A B C =⋅,则tan tan tan A B C ⋅⋅的最小值为_______.【答案】163【解析】 【分析】 【详解】由题设可知,0,,2A B C π<<,则cos 0,cos 0B C >>.又由A B C π++=及sin sin sin A B C =⋅ 得()()sin sin sin B C B C π-+=⋅, 即()sin sin sin B C B C +=⋅,则sin cos cos sin sin sin B C B C B C +=⋅, ① 由cos 0,cos 0B C >>,①式两边同时除以cos cos B C ⋅, 可得tan tan tan tan B C B C +=⋅. 设tan tan B C s +=,则tan tan B C s ⋅=, 由0,2B C π<<知,tan 0,tan 0B C >>,则0s >. 于是有()tan tan B s B s ⋅-=,故2tan tan 0B s B s -+=,从而有22(tan )(4)244s s sB s s -=-=-.又2(tan )02s B -≥,得(4)04s s -≥,而0s >.所以4s ≥.故4s ≥.tan tan tan tan(())tan tan A B C B C B C π⋅⋅=-+⋅⋅2tan tan tan tan 1tan tan 1B C s B C B C s +=-⋅⋅=-⋅-. 因为4s ≥,于是求tan tan tan A B C ⋅⋅的最小值转化为求函数2()(4)1x f x x x =≥-的最小值.考虑函数221()(4),()(1)2(4)111x x f x x f x x x x x x =≥==-++≥---,即()f x 在[)4,+∞上单调递增,从而()()4,4x f x f ≥≥. 因此()f x 的最小值在4x =时取得,为2416(4)413f ==-. 由tan tan tan tan 4B C B C +=⋅=得,tan tan 2B C ==,从而4tan 3A =, 故当4tan 3A =,tan tan 2BC ==时,tan tan tan A B C ⋅⋅取得最小值163. 故答案为:163. 37.(2019·贵州·高三竞赛)在△ABC 中,0,0GA GB GC GA GB ++=⋅=.则(tan tan )tan tan tan A B CA B+⋅=____________ .【答案】12 【解析】 【详解】设△ABC 中角A 、B 、C 所对的边分别为a 、b 、c .由0,0GA GB GC GA GB ++=⋅=,知G 为△ABC 的重心. 又GA ⊥GB ,所以22222222211221122GA GB c GA GB a GB GA b ⎧⎪+=⎪⎪⎪⎛⎫⎛⎫+=⎨ ⎪ ⎪⎝⎭⎝⎭⎪⎪⎛⎫⎛⎫⎪+= ⎪ ⎪⎪⎝⎭⎝⎭⎩.得到2225a b c +=.故:(tan tan )tan (sin cos cos sin )sin tan tan sin sin cos A B C A B A B C A B A B C++=⋅2sin sin sin cos C A B C =()22222abc ab a b c =+-2222212c a b c ==+-. 故答案为:12.38.(2019·江西·高三竞赛)△ABC 的三个内角A 、B 、C 满足:A =3B =9C ,则cos cos A B +cos cos cos cos B C C A +=____________ .【答案】14-【解析】 【详解】设,3,9C B A θθθ===,由39θθθπ++=得13πθ=,所以cos cos cos cos cos cos S A B B C C A =++9339coscos cos cos cos cos 131313131313ππππππ=++112642108cos cos cos cos cos cos 2131313131313ππππππ⎡⎤⎛⎫⎛⎫⎛⎫=+++++ ⎪ ⎪ ⎪⎢⎥⎝⎭⎝⎭⎝⎭⎣⎦. 注意括号中的诸角度构成公差为213π的等差数列,两边同乘4sin 13π,得到 246810124sin2sincos cos cos cos cos cos 1313131313131313S ππππππππ⎛⎫⋅=+++++⎪⎝⎭35375sin sin sin sin sin sin 131313131313ππππππ⎛⎫⎛⎫⎛⎫=-+-+-+ ⎪ ⎪ ⎪⎝⎭⎝⎭⎝⎭971191311sin sin sin sin sin sin 131313131313ππππππ⎛⎫⎛⎫⎛⎫-+-+- ⎪ ⎪ ⎪⎝⎭⎝⎭⎝⎭ sin13π=-.所以,14S =-.故答案为:14-.三、解答题39.(2021·全国·高三竞赛)在ABC 中,三内角A 、B 、C 满足tan tan tan tan tan tan A B B C C A =+,求cos C 的最小值.【答案】23【解析】 【分析】 【详解】由tan tan tan tan tan tan A B B C C A =+,得: sin sin sin sin sin sin cos cos cos cos cos cos A B B C C AA B B C C A =+sin (sin cos sin cos )cos cos cos C B A A B A B C +=sin sin()cos cos cos C A B A B C+=2sin cos cos cos C A B C=, 所以2sin sin cos sin A B C C =.由正余弦定理,得22222a b c abc ab+-=, 所以2222222sin 223,cos sin sin 333C c a b ab a b c C A B ab ab ab ++====≥=, 当且仅当a b =时等号成立,所以cos C 的最小值为23.40.(2021·全国·高三竞赛)解关于实数x 的方程:{}202020201arctan k x x k==∑(这里{}[][],x x x x =-为不超过实数x 的最大整数) 【答案】{}0 【解析】 【分析】 【详解】(1)当0x <时,{}202020201arctan 0(1,2,,2020),arctan 0k x x k x k k =<=<≤⋅⋅⋅∑,此时原方程无解.(2)当0x =时,有{}202020001arctan0k x x k===∑. (3)当01x <<时,令arct ()1)2an (0x xf x x =-<<,则211()0(01)12f x x x '=-><<+, 故()f x 在()0,1上递增.有()()00f x f >=,即arctan 2x x > 于是,此时{}202020204202020201111125arctan 2224k k k x x x xx x x k k k =====>>=>∑∑∑,即1x >,矛盾.故无解.(4)当1≥x 时,注意到111123tan(arctan arctan )112316++==-, 且由110arctan arctan arctan1arctan1232π<+<+=,知11arctan arctan 234+=π.则{}20202020202011111arctan arctan arctan1arctan arctan 1232k k x x k k π===≥>++=>∑∑,与{}202001x <<,矛盾.故此时无解.由(1)(2)(3)(4),知原方程的解集为{}0.41.(2021·全国·高三竞赛)已知点(2cos ,sin ),(2cos ,sin ),(2cos ,sin )A B C ααββγγ,其中,,[0,2)αβγπ∈,且坐标原点O 恰好为ABC 的重心,判断ABCS是否为定值,若是,求出该定值;若不是,请说明理由.【答案】三角形ABC【解析】 【分析】 【详解】先证明一个引理:若()()1122,,,,(0,0)A x y B x y C ,则122112ABCS x y x y =-. 因为()()1122,,,CA x y CB x y ==, 所以21cosCA CB C CA CBx⋅==⨯所以sin C ==所以:1sin 2ABCSCACB C =⋅⋅ 12211122x y x y ==-回到原题,连结OA 、OB 、OC ,则: ABCOABOBCOACSSSS=++112cos sin 2sin cos 2cos sin 2sin cos 22αβαββγβγ=-+- 12cos sin 2sin cos 2αγαγ+- sin()sin()sin()αββγαγ=-+-+-.由三角形的重心为原点得sin sin sin 0,2cos 2cos 2cos 0.αβγαβγ++=⎧⎨++=⎩即sin sin sin ,cos cos cos .αβγαβγ+=-⎧⎨+=-⎩ 所以两式平方相加可得1cos()2αβ-=-,所以sin()αβ-=,同理sin()sin()βγαγ-=-=, 所以sin()sin()sin()3ABCSαββγαγ=-+-+-==故三角形ABC 42.(2019·上海·高三竞赛)已知,0,2A B π⎛⎫∈ ⎪⎝⎭,且sin sin A B =()sin A B +,求tanA 的最大值.【答案】43【解析】 【详解】由题设等式可得sin sin (sin cos cos sin )A B A B A B =+, 所以tan sin (tan cos sin )A B A B B =+. 令tan t A =,则2sin cos sin t t B B B =+,于是2sin 21cos2t t B B =+-,21)t B θ--, 这里θ是锐角,sin θ=.所以2|21|1t t -+,注意到t >0,可得43t. 当413arctan ,arcsin 3225A B π⎛⎫==+ ⎪⎝⎭时,题设等式成立.所以,tanA 的最大值为43.43.(2018·全国·高三竞赛)在ABC ∆中,证明:coscos cos cos cos cos 222222cos cos cos 222B C C A A BA B C ⋅⋅⋅++≥ABC ∆为正三角形时,上式等号成立.【答案】见解析 【解析】 【详解】如图,对ABC ∆,作其相伴111A B C ∆. 则11cos 2B E B B O =,111cos 2C G C A C =,111cos 2C G A B C =. 故11111111111111coscos 22cos2B E C G B C B O A C B E B C A C G B O A C B C ⋅⋅⋅==⋅. 由O 、E 、1C 、F 四点共圆得11111B E B C B O B F ⋅=⋅则111cos cos 22cos 2B C B F A AC ⋅=.类似地,111coscos 22cos 2B C C G A A B ⋅=,111cos cos 22cos2B C A E A B C ⋅= 记111A B C ∆的三边111111B C C A A B 、、分别为111a b c 、、,相应边上的高111A E B F C G 、、分别为123h h h 、、,且其面积为S 、则312222222111111111cos cos 222111222cos2B C h h h S S S S A a b c a b c a b c ⋅⎛⎫∑=++=++=++ ⎪⎝⎭.其中,“∑”表示轮换对称和.由熟知的不等式222111111334a b c S++≥,得coscos 33222cos 2B CA ⋅∑≥. 当且仅当ABC ∆为正三角形时,上式等号成立.44.(2019·全国·高三竞赛)在△ABC 中,若cos cos 2sin sin A BB A+=,证明:∠A +∠B =90° 【答案】见解析 【解析】 【详解】由sin cos sinB sin sin sin sinB 0A A cosB A B A ⇒⋅+⋅-⋅-⋅=()()sin cos sin sinB cosB sinA 0A A B ⇒-+-=()()sinA sin 90sinB sinB sin 90sinA 0A B ⎡⎤⎡⎤⇒︒--+︒--=⎣⎦⎣⎦909090902sinA cossin 2sin cos sin 2222A B A B B A B AB ︒-+︒--︒-+︒--⇒⋅⋅+⋅⋅ 902sin sin cos 45?sin cos 450222A B A B A B A B ⎡⎤︒----⎛⎫⎛⎫⎛⎫⇒⋅︒-+⋅︒+= ⎪ ⎪ ⎪⎢⎥⎝⎭⎝⎭⎝⎭⎣⎦=0902A B ︒--⎛⎫⇒ ⎪⎝⎭sin cos sin sin cos sin 02222A B A B A B A B A B ⎡⎤----⎛⎫⎛⎫++-= ⎪ ⎪⎢⎥⎝⎭⎝⎭⎣⎦.()()90cos sin sin sin sin sin 0222A B A B A B A B A B ︒----⎛⎫⎡⎤⇒++-= ⎪⎢⎥⎝⎭⎣⎦222cos sin 2sin cos 02222A B A B A B A B -+-+⋅+⋅>sin cos sin sin cos sin 02222A B A B A B A B A B ⎡⎤----⎛⎫⎛⎫++-= ⎪ ⎪⎢⎥⎝⎭⎝⎭⎣⎦. 90sin 02A B ︒--⎛⎫⇒= ⎪⎝⎭ 90A B ⇒∠+∠=︒()10A a a a ⎛⎫> ⎪⎝⎭,. 45.(2018·全国·高三竞赛)已知ABC 的三个内角满足2A C B ∠+∠=∠,cos cos A C +=cos 2A C -的值.【解析】 【详解】由题设知60,B ∠= 120A C ∠+∠=︒. 设2A Cα∠-∠=,则2A C α∠-∠=,于是,60,60A C αα∠=+∠=-. 故()()cos cos cos 60cos 602cos60cos cos A C αααα+=++-=⋅=.()()()260cos 6032cos2cos120cos cos604αααα+⋅-⎫==+︒=-⎪⎭.故223cos cos 2cos 04αααα⎫=--⇒+-=⎪⎭()(32cos 0αα⇒+=.若3cos 1αα+⇒=<-舍,从而,2cos 0cos αα=⇒=. 46.(2018·全国·高三竞赛)已知函数()()()3333sin cos sin cos f x x x m x x =+++在0,2x π⎡⎤∈⎢⎥⎣⎦有最大值2.求实数m 的值.【答案】1m =- 【解析】 【详解】注意到,()()233sin cos sin cos sin cos 3sin cos x x x x x x x x ⎡⎤+=++-⋅⎣⎦()()()223sin cos sin cos sin cos 12x x x x x x ⎧⎫⎡⎤=++-+-⎨⎬⎣⎦⎩⎭.令sin cos 4t x x x π⎛⎫⎡=+=+∈ ⎪⎣⎝⎭. 则()()()223333931222f x t t t mt m t t g t ⎡⎤⎛⎫=--+=-+∆ ⎪⎢⎥⎣⎦⎝⎭.由()233322g t m t ⎡⎤⎛⎫=-+ ⎪⎢⎥⎝⎭⎣⎦',有以下两种情形.(1)32m ≥. 由()0g t '>,知()max 92322g t g m ⎫==-+=⎪⎭ 230m ⇒-<,矛盾.(2)32m <. 若32132m -<-,即0m <时,()()max 1321g t g m m ==+=⇒=-;若32132m -≤≤-3012m ⎛≤≤ ⎝⎭时, ()max271523248g t g m m ==⇒=-⇒=-,矛盾;若3232m ->-33122m ⎛<< ⎝⎭时,()max 3 222g t g m ⎫==+=⎪⎭34m ⇒=-. 综上,1m =-.47.(2019·全国·高三竞赛)求(),f xy =【答案】42 【解析】 【详解】注意到,2cos472cos 26x x +=+ ()2222cos 16x =-+ ()428cos cos 1x x =-+,同理,()42cos478cos cos 1y y y +=-+,而22cos4cos48sin sin 6x y x y +-⋅+ ()()22cos47cos478sin sin 8x x x y =+++-⋅-()428cos cos 1x x =-++ ()428cos cos 1y y -+- ()()2281cos 1cos 8x y ---()44228cos cos 8cos cos x y x y =+-⋅,()()42424422,8cos cos 1cos cos 1cos cos cos cos f x y x x y y x y x y =-++-+++-⋅,如图,作边长为1的正SAB ∆、SBC ∆、SCD ∆,在SB 、SC 上分别取点X 、Y 使得2cos SX x =,2cos SY y =,联结AX 、AY ,则(),f x y ()8AX XY YD =++,其最小值就是线段ASD 的长度,即当2x y π==时,min 2842f ==.48.(2021·全国·高三竞赛)求证:对任意的n +∈N ,都有21111arctan arctan arctanarctan 37114n n n π++++=+++.【答案】证明见解析. 【解析】 【详解】由于1111tan arctan 1412111n n n n n π-⎛⎫+-== ⎪++⎝⎭+⨯+,只需证: 2111arctan arctan arctanarctan 3712nn n n +++=+++.设*(),2nf n n n =∈+N ,注意到:21()(1)12111()(1)1121n n f n f n n n n n f n f n n n n n ----++==-+-+++⋅++,即21tan[arctan ()arctan (1)]tan arctan 1f n f n n n ⎛⎫--= ⎪++⎝⎭, 又由于()f n 、(1)f n -、211n n ++均大于0,则21[arctan ()arctan (1)],,arctan 0,2212f n f n n n πππ⎛⎫⎛⎫--∈-∈ ⎪ ⎪++⎝⎭⎝⎭, 从而21arctanarctan ()arctan (1)1f n f n n n =--++. 所以2111arctan arctan arctan371n n +++=++arctan ()arctan (0)arctan 2nf n f n -=+,所以对任意的n +∈N ,都有21111arctan arctan arctanarctan 37114n n n π++++=+++.49.(2021·全国·高三竞赛)设αβγ、、是锐角,满足αβγ+=,求证:cos cos cos 1αβγ++-≥【答案】证明见解析 【解析】 【详解】2cos cos cos 12coscos2sin 222αβαβγαβγ+-++-=⋅- 2cos cos sin sin 2222γαβγαβ-+⎛⎫=⋅-⋅ ⎪⎝⎭.由于0,224αβγπ+⎛⎫=∈ ⎪⎝⎭,所以cos cos cos sin 2222αβαβγγ-+>=>. 由恒等式()()222222()()ac bd ad bc a b c d ---=--可知,如果0a b >>且0c d >>,则ac bd -≥cos cossinsin2222γαβγαβ-+⋅≥-⋅===所以cos cos cos 1αβγ++-≥50.(2019·河南·高二竞赛)锐角三角形ABC 中,求证:cos()cos()cos()8cos cos cos B C C A A B A B C ---.【答案】证明见解析 【解析】 【详解】 原不等式等价于cos()cos()cos()8cos cos cos B C C A A B A B C---.在三角形ABC 中,tan tan tan tan tan tan A B C A B C ++=, cos()sin sin cos cos cos sin sin cos cos B C B C B C A B C B C -+=-tan tan 1tan tan 1B C B C +=-tan (tan tan 1)tan tan A B C B C +=+2tan tan tan tan tan A B CB C++=+.令tan tan tan tan tan tan A B xB C y C A z+=⎧⎪+=⎨⎪+=⎩,则原不等式等价于()()()8z x y z x y yxz +++. 而上式左边228zx yxz⋅=,故原不等式得证【高中数学竞赛专题大全】 竞赛专题3 三角函数 (50题竞赛真题强化训练)一、单选题1.(2018·吉林·高三竞赛)已知()sin 2cos xf x x=+,则对任意x ∈R ,下列说法中错误的是( ) A .()1sin 3f x x ≥B .()f x x ≤C .()f x ≤D .()()0f x f x ππ++-=2.(2018·四川·高三竞赛)函数()()()sin 1cos 12sin 2x x y x R x--=∈+的最大值为( ).A .2B .1C .12+D3.(2019·全国·高三竞赛)函数[][]sin cos sin cos y x x x x =⋅++的值域为( )([]x 表示不超过实数x 的最大整数). A .{}2,1,0,1,2-- B .{}2,1,0,1-- C .{}1,0,1-D .{}2,1,1--4.(2010·四川·高三竞赛)已知条件43p =和条件4:sin cos 3q αα+=.则p 是q 的( ). A .充分但不必要条件 B .必要但不充分条件 C .充要条件D .既不充分也不必要条件5.(2018·全国·高三竞赛)在ABC ∆中,A B C ∠≤∠≤∠,sin sin sin cos cos cos A B CA B C++=++则B 的取值范围是( ).A .,32ππ⎛⎫ ⎪⎝⎭B .0,2π⎛⎫ ⎪⎝⎭C .3π D .,43ππ⎛⎫ ⎪⎝⎭二、填空题6.(2018·江西·高三竞赛)若三个角x 、y 、z 成等差数列,公差为π3,则tan tan tan tan tan tan x y y z z x ++=______.。
高中数学竞赛与强基计划试题专题:三角函数一、单选题1.(2021·北京·高三强基计划)已知O 为ABC 的外心,,AB AC 与OBC △的外接圆分别交于点D ,E .若DE OA =,则OBC ∠=()A .30︒B .45︒C .60︒D .以上答案都不对2.(2020·北京·高三强基计划)设等边ABC 的边长为1,过点C 作以AB 为直径的圆的切线交AB 的延长线于点D ,AD BD >,则BCD △的面积为()ABCD .前三个答案都不对3.(2020·北京·高三强基计划)()AB.CD .前三个答案都不对4.(2020·北京·高三校考强基计划)使得sin115cos1n >+成立的最小正整数n 的值为()A .3B .4C .5D .65.(2020·北京·高三校考强基计划)在ABC中,90,1,A AB AC ∠=︒==点P 满足0||||||PA PB PCPA PB PC ++=,则()A .120APC ∠=︒B .120APB ∠=︒C .||2||PB PA =D .||2||PC PB = 6.(2020·北京·高三校考强基计划)设,αβ为锐角,且sin cos()sin ααββ+=,则tan α的最大值为()本号资*料全部来源于微信公众号:数学第六感A.4BC .1D7.(2020·北京·高三校考强基计划)212lim arctan nn k k →∞==∑()A .3π4B .πC .5π4D .3π28.(2020·北京·高三校考强基计划)sin arctan1⎛+= ⎝⎭()A .1BCD .22二、多选题9.(2020·北京·高三校考强基计划)设ABC 的三边长a ,b ,c 都是整数,面积是有理数,则a 的值可以为()A .1B .2C .3D .410.(2022·贵州·高二统考竞赛)如图,以正方形一边为斜边向外作直角三角形,再以该直角三角形的两直角边分别向外作正方形,重复上述操作(其中123∠∠∠==),得到四个小正方形,,,A B C D ,记它们的面积分别为,,,A B C D S S S S ,则以下结论正确的是()A .A DBC S S S S +=+B .AD B C S S S S ⋅=⋅C .2A D B S S S + D .2D A CS S S +<11.(2020·湖北武汉·高三统考强基计划)设ABC 的内角,,A B C 的对边分别为,,a b c .若{3cos (sin 1)0a cb Cc b C +=+-=),则()A .3B π=B .4B π=C .ABC 3316D .ABC 332三、填空题12.(2021·北京·高三强基计划)在锐角ABC 中,tan tan 2tan tan 3tan tan A B B C C A ++的最小值是_________.13.(2022·江苏南京·高三强基计划)设0,2x π⎛⎫∈ ⎪⎝⎭,则函数2sin cos y x x =的最大值为___________.14.(2022·江苏南京·高三强基计划)在ABC 中,角A 、B 、C 的对边分别为a 、b 、c ,已知2cos cos sin sin sin a C b A a A B c A -=-,则tan A 的值为___________.15.(2022·江苏南京·高三强基计划)函数4153y x x =--___________.16.(2021·全国·高三竞赛)设02πθ<<,且333cos sin 1(cos sin 1)m θθθθ++=++,则实数m 的取值范围是___________.17.(2020·浙江·高三竞赛)已知,,0,2παβγ⎡⎤∈⎢⎥⎣⎦,则cos 2cos cos cos()2cos()αβγαγβγ++-+-+的最大值为___________.18.(2021·全国·高三竞赛)函数sin 1tan tan 2x y x x ⎛⎫=+⋅ ⎪⎝⎭的最小正周期为____________.19.(2021·全国·高三竞赛)已知ABC 满足2sin sin 2sin A B C +=,则59sin sin A C+的最小值是_______.20.(2021·全国·高三竞赛)在ABC 中,1155,tantantan222AC A C B =+-=,则+BC AB 的值为__________.21.(2021·浙江·高三竞赛)若π3,π44x ⎛⎫∈- ⎪⎝⎭,则函数4sin cos 3sin cos x x y x x +=+的最小值为______.22.(2022·福建·高二统考竞赛)已知α,β,()0,γπ∈,且,则cos cos sin 2αβγ++的最大值为___________.23.(2022·浙江·高二竞赛)已知锐角ABC 的内角A ,B ,C 的对边分别为a ,b ,c ,且cos 2b aC a-=,则角A 的取值范围是______.24.(2022·北京·高三校考强基计划)在ABC 中,()2ABC cS a b =- ,其外接圆半径2R =,且())224sin sin sin A B b B -=-,则sinsin 22A B C-+=___________.25.(2022·北京·高三校考强基计划)在梯形ABCD 中,,AD BC M ∥在边CD 上,有ABM CBD BCD ∠∠∠==,则AMBM取值范围为___________.26.(2022·北京·高三校考强基计划)若ABC 三边长为等差数列,则cos cos cos A B C ++的取值范围是___________.27.(2021·全国·高三竞赛)在ABC 中,2cos 3cos 6cos A B C +=,则cos C 的最大值为_______________.四、解答题28.(2021·全国·高三竞赛)求证:对任意的n +∈N ,都有21111arctan arctan arctan arctan 37114n n n π++++=+++ .29.(2022·新疆·高二竞赛)直角三角形DEF 的三个顶点分别在等边三角形ABC 的边,,AB BC CA 上,且=90,=30DEF EDF ∠∠︒︒,求DEFABCS S 的最小值.30.(2019·河南·高二校联考竞赛)锐角三角形ABC 中,求证:cos()cos()cos()8cos cos cos B C C A A B A B C --- .高中数学竞赛与强基计划试题专题:三角函数答案一、单选题1.(2021·北京·高三强基计划)已知O 为ABC 的外心,,AB AC 与OBC △的外接圆分别交于点D ,E .若DE OA =,则OBC ∠=()A .30︒B .45︒C .60︒D .以上答案都不对【答案】B【分析】利用圆周角和圆心角的关系可求OBC ∠的大小.【详解】如图,连结BE .由于DE OA OB OC ===,于是弧BO 分别与弧DE 、弧OC 相等,进而可得弧BD 与弧OE 相等、弧OD 与弧CE 相等,进而190902EBC OBD AOB ECB ∠=∠=︒-∠=︒-∠,从而90BEC ∠=︒,因此BC 是OBC △外接圆的直径,进而45OBC ∠=︒.2.(2020·北京·高三强基计划)设等边ABC 的边长为1,过点C 作以AB 为直径的圆的切线交AB 的延长线于点D ,AD BD >,则BCD △的面积为()A .16-B .16-C .16D .前三个答案都不对【答案】C【分析】利用射影定理可求4OD =,故可求BCD △的面积.【详解】如图,设题中圆的圆心为O ,CD 与圆O 切于点T ,连结,CO TO ,则12OC OT ==,于是OD =,从而1112242216BCD S BD OC ⎛⎫=⋅⋅=⨯-⨯= ⎪⎝⎭△.3.(2020·北京·高三强基计划)222323cos cos 523cos cos 4sin θθθθθ++-++()A 23B .223C 223D .前三个答案都不对【答案】D【分析】利用基本不等式可求代数式的最大值.【详解】题中代数式为223cos 123cos 10(3cos 1)10(3cos 1)33θθθ+++-++-++111033≤+21023+=210(3cos 1)103cos 3cos 123θθθ-+=⇒+103.4.(2020·北京·高三校考强基计划)使得sin115cos1n >+成立的最小正整数n 的值为()A .3B .4C .5D .6【答案】C【分析】先证明3,1s π02in 6x x x x ⎛⎫⎛⎫∈ ⎪ ⎪⎝⎭⎝-⎭>成立,再结合2()1f x x x =+-21151sin1sin 1+-n 的值.【详解】根据题意,有21151sin1sin 1n >+-记2()1f x x x =+-,则函数()f x 在(1,)+∞上是单调递增函数.设()31sin 6g x x x x =-+,则:()2222sin 2sin sin 11cos 12222222g x x x xx x x x x ⎛⎫⎛⎫=-=-+ ⎪⎪⎝⎭+⎝=-⎭',当0,2x π⎛⎫∈ ⎪⎝⎭时,有sin 22x x >,故()0g x '>,故()g x 为0,2π⎛⎫⎪⎝⎭上的增函数,故()()30100sin 6g x g x x x >=⇔->+.接下来利用当0,2x π⎛⎫∈ ⎪⎝⎭时,31sin 6x x x >-以及正弦函数的单调性估计sin1.511sin1sin 663π=-<<<有16661045sin15553f f f ⎛⎫⎛⎫<=<<=++< ⎪ ⎪⎝⎭⎝⎭,因此使得不等式成立的最小正整数n 的值为5.5.(2020·北京·高三校考强基计划)在ABC 中,90,1,A AB AC ∠=︒==点P 满足0||||||PA PB PCPA PB PC ++=,则()A .120APC ∠=︒B .120APB ∠=︒C .||2||PB PA =D .||2||PC PB = 【答案】ABCD【分析】根据题设条件可得P 为ABC 的费马点,如图,以,AB BC 为边作等边三角形,ABE BCD ,可证,PAB BAD △∽△PBC BEC △∽△,故可判断各项的正误.【详解】根据题意,,,PA PB PC方向上的单位向量之和为零向量,因此120APB BPC CPA ∠=∠=∠=︒,进而P 为ABC 的费马点.如图,以,AB BC 为边作等边三角形,ABE BCD ,则60BPD BCD ∠=∠=︒,故,,,B P C D 四点共圆,故PBC PDC ∠=∠,故D PBA A B ∠=∠,故12PA BA PAB BAD PB BD ⇒==△∽△,同理,12PB BE PBC BEC PC BC ⇒==△∽△,因此所有选项均正确.6.(2020·北京·高三校考强基计划)设,αβ为锐角,且sin cos()sin ααββ+=,则tan α的最大值为()A .4B C .1D 【答案】A【分析】利用基本不等式可求最大值.【详解】解法一:由sin cos()sin ααββ+=得2cos cos sin sin sin sin αββαβα-=,所以2cos sin tan sin tan ββαβα-=.因为,αβ均为锐角,所以22cos sin tan 1tan 11sin 12tan 42tan tan βββαββββ===≤+++,当且仅当tan β=tan α的最大值是4.解法二:由sin cos()sin ααββ+=得:1cos()sin sin [sin(2)sin ]sin 2αββααβαα+=⇒+-=,于是11sin sin(2)33ααβ=+≤,等号当111arcsin ,arccos 323αβ==时取得,因此tan α的最大值为1tan arcsin 34=.7.(2020·北京·高三校考强基计划)212lim arctan nn k k →∞==∑()A .3π4B .πC .5π4D .3π2【答案】A【分析】利用裂项相消法可求数列的和,再根据基本极限可求题设中数列的极限.【详解】根据题意,有22(1)(1)arctanarctan arctan(1)arctan(1)1(1)(1)k k k k k k k +--==+--++-,于是211]2lim arctan lim arctan(1)arctan(1)nnn n k k k k k →∞→∞===+--∑∑()()lim arctan 1arctan arctan1arctan 0n n n ∞→=++--3π4=.8.(2020·北京·高三校考强基计划)sin arctan1arcsin arccos 510⎛++= ⎝⎭()A .1B.10C.5D.2【答案】A【分析】利用复数的乘法可求3个角的和的正弦值.【详解】arctan1,arcsin510分别是复数1i,2i,3i +++的辐角,于是题中代数式为复数(1i)(2i)(3i)10i z =+++=的辐角的正弦值,为1.二、多选题9.(2020·北京·高三校考强基计划)设ABC 的三边长a ,b ,c 都是整数,面积是有理数,则a 的值可以为()A .1B .2C .3D .4【答案】CD【分析】由特例可得a 的值可以取3,4,再利用整数的性质可判断a 的值不可能为1,2,故可得正确的选项.【详解】取三边为3,4,5的三角形,其面积为6,此时a 的值可以取3,4.当1a =时,有||||a b c a b c b -<<+⇒=,此时ABC 2413(mod 4)b -≡,不为完全平方数,因此ABC 的面积不可能是有理数.当2a =时,不妨设2b c ≤≤,有||||a b c a b c b -<<+⇒=或1c b =+.情形一若c b =,则ABCp q=,其中p ,q 为互质的正整数,则()2221q b p -=,于是21b -为完全平方数,而正整数的完全平方数的最小间隔为22213-=,因此该情形不成立.情形二若1c b =+,则2222(1)23cos 44b b b C b b+-+-+==,于是面积为有理数,等价于sin C =2121293(mod 4)b b +-≡,因此ABC 的面积不可能是有理数.综上所述,a 的值不可能为1,2,可能为3,4.故选:CD.10.(2022·贵州·高二统考竞赛)如图,以正方形一边为斜边向外作直角三角形,再以该直角三角形的两直角边分别向外作正方形,重复上述操作(其中123∠∠∠==),得到四个小正方形,,,A B C D ,记它们的面积分别为,,,A B C D S S S S ,则以下结论正确的是()A .A DBC S S S S +=+B .AD B C S S S S ⋅=⋅C .2A D B S S S + D .2D A CS S S +<【答案】BC【详解】设123α∠=∠=∠=,最大正方形的边长为1,小正方形,,,A B C D 的边长分别为a b c d ,,,.∵2cos ,sin cos a b ααα==,2sin cos ,sin c d ααα==,4422sin cos 2sin cos A D S S αααα+=+≥,22sin cos B C S S αα==,2A D B S S S +≥,所以C 正确;4444sin sin ,sin sin A D B C S S S S αααα==,所以A D B C S S S S =,所以B 正确,故选:BC.11.(2020·湖北武汉·高三统考强基计划)设ABC 的内角,,A B C 的对边分别为,,a b c .若{cos (sin 1)0a cbc b C ++-=),则()A .3B π=B .4B π=C .ABCD .ABC 【答案】AC【分析】利用正弦定理结合两角和的正弦公式以及基本不等式化简即可。
高中数学竞赛向量高中数学竞赛专题讲座——向量一、三角函数部分1.在△ABC中,角A、B、C的对边分别记为a、b、c(b≠1),且C,A sinB都是方程logx=log(4x-4)的根,则△ABC的形状是什么?解:由logb x=logb(4x-4)得:x^2-4x+4=0,所以x1=x2=2,故C=2A,sinB=2sinA,因A+B+C=180°,所以3A+B=180°,因此sinB=sin3A,∴3sinA-4sin3A=2sinA,因为sinA(1-4sin^2A)=0,又sinA≠0,所以sin^2A=1/4,而sinA>0,∴sinA=1/2.因此A=30°,B=90°,C=60°。
故选B。
2.已知函数y=sinx+acosx的图象关于x=5π/3对称,则函数y=asinx+cosx的图象的一条对称轴是什么?3.若三角形的三条高线长分别为12,15,20,则此三角形的形状是什么?4.若a=sinθ+tanθ,b=cosθ+cotθ,则以下诸式中错误的是什么?5.已知△ABC为等腰直角三角形,∠C = 90°,D、E为AB边上的两个点,且点D在AE之间,∠DCE=45°,则以AD、DE、EB为边长构成的三角形的最大角是什么?6.若sinθ-cosθ≥cosθ-sinθ,0≤θ<2π,则角θ的取值范围是什么?7.在△ABC中,tanA=1/2,cosB=1/√5.若△ABC的最长边为1,则最短边的长为多少?9.若sinx+siny=1,则cosx+cosy的取值范围是什么?解:设cosx+cosy=t,那么XXX。
又由sinx+siny=1,所以XXX。
将cos2x+cos2y=1-sin2x-2sinxsiny-sin2y代入得:2cosxcosy=t2+1,即2cos(x-y)=t2+1.由于-1≤cos(x-y)≤1,所以t2≤3,即-3≤t≤3.因此答案是D。
竞赛讲座33-三角函数几何中的两个基本量是:线段的长度和角的大小.三角函数的本质就是用线段长度之比来表示角的大小,从而将两个基本量联系在一起,使我们可以借助三角变换或三角计算来解决一些较难的几何问题.三角函数不仅是一门有趣的学问,而且是解决几何问题的有力工具.1.角函数的计算和证明问题在解三角函数问题之前,除了熟知初三教材中的有关知识外,还应该掌握:(1)三角函数的单调性当a为锐角时,sina与tga的值随a的值增大而增大;cosa与ctga 随a的值增大而减小;当a为钝角时,利用诱导公式转化为锐角三角函数讨论.注意到sin45°=cos45°=,由(1)可知,当时0<a<45°时,cosa>sina;当45°<a<90°时,cosa<sina.(2)三角函数的有界性|sina|≤1,|cosa|≤1,tga、ctga可取任意实数值(这一点可直接利用三角函数定义导出).例1(1986年全国初中数学竞赛备用题)在△ABC中,如果等式sinA+cosA=成立,那么角A是()(A)锐角(B)钝角(C)直角分析对A分类,结合sinA和cosA的单调性用枚举法讨论.解当A=90°时,sinA和cosA=1;当45°<A<90°时sinA>,cosA>0,∴sinA+cosA>当A=45°时,sinA+cosA=当0<A<45°时,sinA>0,cosA>∴sinA+cosA>∵1, 都大于.∴淘汰(A)、(C),选(B).例2(1982年上海初中数学竞赛题)ctg67°30′的值是()(A)-1 (B)2-(C)-1(D)(E)分析构造一个有一锐角恰为67°30′的Rt△,再用余切定义求之.解如图36-1,作等腰Rt△ABC,设∠B=90°,AB=BC=1.延长BA到D使AD=AC,连DC,则AD=AC=,∠D=22.5°,∠DCB=67.5°.这时,ctg67°30′=ctg∠DCB=∴选(A).例3(1990年南昌市初中数学竞赛题)如图,在△ABC中,∠A所对的BC边的边长等于a,旁切圆⊙O的半径为R,且分别切BC及AB、AC的延长线于D,E,F.求证:R≤a·证明作△ABC的内切圆O′,分别切三边于G,H,K.由对称性知GE=KF(如图36-2).设GB=a,BE=x,KC=y,CF=b.则x+a=y+b, ①且BH=a,BD=x,HC=y,DC=b.于是,x-a=y-b. ②①+②得,x=y.从而知a=b.∴GE=BC=a.设⊙O′半径为r.显然R+r≤OO′ (当AB=AC)时取等号.作O′M⊥EO于M,则O′M=GE=a,∠OO′M=∴R+r≤两式相加即得R≤.例4(1985年武汉等四市初中联赛题)凸4n+2边形A1A2A3…A4n+2(n为自然数)各内角都是30°的整数倍,已知关于x的方程:x2+2xsinA1+sinA2=0 ①x2+2xsinA2+sinA3=0 ②x2+2xsinA3+sinA1=0 ③都有实根,求这凸4n+2边形各内角的度数.解∵各内角只能是、、、,∴正弦值只能取当sinA1=时,∵sinA2≥sinA3≥∴方程①的判别式△1=4(sin2A1-sinA2)≤440方程①无实根,与已知矛盾,故sinA1≠.当sinA1=时,sinA2≥,sinA3≥,∴方程①的判别式△1=4(sin2A1-sinA2)=0.方程①无实根,与已知矛盾,故sinA1=.综上所述,可知sinA1=1,A1=.同理,A2=A3=.这样其余4n-1个内角之和为这些角均不大于又n为自然数,∴n=1,凸n边形为6边形,且A4+A5+A6=4×2.解三角形和三角法定理推论设a、b、c、S与a′、b′、c′、S′.若我们在正、余弦定理之前介绍上述定理和推论是为了在解三角形和用三角函数解几何题时有更大的自由.(1)解三角形例5(第37届美国中学生数学竞赛题)在图36-3中,AB是圆的直径,CD是平行于AB的弦,且AC和BD相交于E,∠AED=α,△CDE和△ABE的面积之比是( ).(A)cosα(B)sinα(C)cos2α(D)sin2α(E)1-sinα解如图,因为AB∥DC,AD=CB,且△CDE∽△ABE,BE=AE,因此连结AD,因为AB是直径,所以∠ADB=在直角三角形ADE中,DE=AEcosα.∴应选(C).例6 (1982年上海初中数学竞赛题)如图36-4,已知Rt△斜边AB=c,∠A=α,求内接正方形的边长.解过C作AB的垂线CH,分别与GF、AB交于P、H,则由题意可得又∵△ABC∽△GFC,∴,即(2)三角法.利用三角知识(包括下一讲介绍的正、余弦定理)解几何问题的方法叫三角法.其特点是将几何图形中的线段,面积等用某些角的三角函数表示,通过三角变换来达到计算和证明的目的,思路简单,从而减少几何计算和证明中技巧性很强的作辅助线的困难.例7(1986年全国初中数学竞赛征集题)如图36-5,在△A BC中,BE、CF是高,∠A=,则△AFE和四边形FBCE的面积之比是()(A)1∶2(B)2∶3(C)1∶1(D)3∶4解由BE、CF是高知F、B、C、E四点共圆,得AF·AB=AE·AC.在Rt△ABE中,∠ABE=,∴S△AFE∶S FBCE=1∶1.应选(C).例8 (1981年上海中学生数学竞赛题)在△ABC中∠C为钝角,AB边上的高为h,求证:AB>2h.证明如图36-6,AB=AD+BD=h(ctgA+ctgB) ①∵∠C是钝角,∴∠A+∠B<,∴ctgB>ctg(-A)=tgA.②由①、②和代数基本不等式,得例9 (第18届国际数学竞赛题)已知面积为32cm2的平面凸四边形中一组对边与一条对角线之长的和为16cm.试确定另一条对角线的所有可能的长度.解如图36-7,设四边形ABCD面积S为32cm2,并设AD=y,AC=x,BC=z.则x+y+z=16(cm)由但S=32,∴sinθ=1,sin =1,且x-8=0.故θ==且x=8,y+z=8.这时易知另一条对角线BD的长为此处无图例10 (1964年福建中学数学竞赛题)设a、b、c是直角三角形的三边,c为斜边,整数n≥3,求证:a n+b n<c n.分析如图34-8,注意到Rt△ABC的边角关系:a=csinα>0,b=ccosα>0,可将不等式转化为三角不等式sin nα+cos nα<1来讨论.证明设直角三角形一锐角∠BAC=α(如图),则。
高中数学竞赛常用定理在高中数学竞赛中,掌握一些常用的数学定理和公式是至关重要的。
这些定理和公式可以帮助学生在比赛中更快、更准确地解决问题,提高竞赛成绩。
下面我们就来介绍一些高中数学竞赛中常用的定理和公式。
1. 三角函数的基本关系:- 正弦定理:$\frac{a}{\sin A}=\frac{b}{\sin B}=\frac{c}{\sinC}=2R$,其中$a$、$b$、$c$分别为三角形$ABC$的三边长度,$A$、$B$、$C$为对应的内角,$R$为三角形$ABC$的外接圆半径。
- 余弦定理:$a^2=b^2+c^2-2bc\cos A$,$b^2=a^2+c^2-2ac\cos B$,$c^2=a^2+b^2-2ab\cos C$。
- 正弦函数和余弦函数的关系:$\sin(a \pm b)=\sin a \cos b \pm \cosa \sin b$,$\cos(a \pm b)=\cos a \cosb \mp \sin a \sin b$。
2. 相似三角形的性质:- 相似三角形的对应角相等,对应边成比例。
- 直角三角形中,正弦、余弦、正切函数的关系:$\sinA=\frac{a}{c}$,$\cos A=\frac{b}{c}$,$\tan A=\frac{a}{b}$。
3. 平面几何中的重要定理:- 圆的性质:圆内角的和为$180^\circ$,圆周角等于其对应圆心角的一半。
- 相交弦定理:相交弦乘积相等,即$AB \times CD=BC \timesDA$。
- 切线和半径的关系:切线和半径垂直,切线与半径的交点与圆心连线构成直角三角形。
- 内切圆和外切圆的性质:内切圆的切点和三角形的顶点共线,外切圆的切点和三角形的对边中点共线。
4. 数列和级数中的常用公式:- 等差数列前$n$项和公式:$S_n=\frac{n}{2}(a_1+a_n)$。
- 等比数列前$n$项和公式:$S_n=\frac{a_1(1-q^n)}{1-q}$。
高中奥数举一反三三角函数问题高中奥数举一反三:三角函数问题介绍三角函数是数学中重要的概念,广泛应用于各个领域。
在高中奥数竞赛中,三角函数问题常常出现,考察学生对三角函数的理解和运用能力。
本文将重点讨论高中奥数中的三角函数问题,以便帮助学生更好地准备竞赛。
正文1. 三角函数的基本概念三角函数包括正弦、余弦和正切等基本函数。
其中,正弦函数(sin)表示一个角的正弦值,余弦函数(cos)表示一个角的余弦值,正切函数(tan)表示一个角的正切值。
这些函数与角的边长比例相关。
2. 三角函数的性质- 正弦函数和余弦函数是周期函数,周期为360度或2π弧度。
- 正弦函数在0度和180度时取最大值1,在90度时取最小值-1。
- 余弦函数在0度和360度时取最大值1,在180度时取最小值-1。
- 正切函数在0度和180度时无定义,其他角度的正切值可能是正数、负数或无穷大。
3. 常见的三角函数问题类型在高中奥数竞赛中,三角函数问题的形式多种多样,但常见的类型包括:- 求角度:已知三角函数值,求对应角度。
- 求三角函数值:已知角度,求对应的三角函数值。
- 利用三角函数的性质解题:根据已知条件,运用三角函数的性质求解。
4. 解决三角函数问题的方法解决三角函数问题的关键是要熟悉三角函数的定义和性质,并掌握解决不同类型问题的方法。
以下是一些解题策略:- 使用特殊角度的三角函数值,如30度、45度和60度等。
- 利用三角函数的定义和性质进行变形、代入和联立方程等运算。
- 利用三角恒等式简化复杂的三角函数表达式。
- 结合图形进行推理和解题。
5. 案例分析以下是一个三角函数问题的案例:已知正弦函数sin(x)在90度时取最小值-1,求角度x的值。
解答:根据问题中给出的信息,我们知道sin(90度) = -1。
由此可知,角度x为90度。
结论通过研究和讨论高中奥数中的三角函数问题,我们深入了解了三角函数的基本概念和性质,掌握了解决不同类型问题的方法。
三角恒等式与三角不等式一、基础知识定义1 角:一条射线绕着它的端点旋转得到的图形叫做角。
角的大小是任意的。
若旋转方向为逆时针方向,则角为正角,若旋转方向为顺时针方向,则角为负角,若不旋转则为零角。
定义2 角度制:把一周角360等分,每一等分为一度。
弧度制:把等于半径长的圆弧所对的圆心角叫做一弧度。
360度=2π弧度。
若圆心角的弧长为L ,则其弧度数的绝对值|α|=rL,其中r 是圆的半径。
定义3 三角函数:在直角坐标平面内,把角α的顶点放在原点,始边与x 轴的正半轴重合,在角的终边上任意取一个不同于原点的点P ,设它的坐标为(x ,y ),到原点的距离为r,则正弦函数s in α=ry,余弦函数co s α=r x ,正切函数tan α=x y ,余切函数cot α=yx ,正割函数se c α=x r ,余割函数c s c α=.y r定理1 同角三角函数的基本关系式,倒数关系:tan α=αcot 1,s in α=αcsc 1,co s α=αsec 1;商数关系:tan α=αααααsin cos cot ,cos sin =; 乘积关系:tan α×co s α=s in α,cot α×s in α=co s α; 平方关系:s in 2α+co s 2α=1, tan 2α+1=se c 2α, cot 2α+1=c s c 2α.定理2 诱导公式(Ⅰ)s in (α+π)=-s in α, co s(π+α)=-co s α, tan (π+α)=tan α, cot (π+α)=cot α;(Ⅱ)s in (-α)=-s in α, co s(-α)=co s α, tan (-α)=-tan α, cot (-α)=cot α;(Ⅲ)s in (π-α)=s in α, co s(π-α)=-co s α, tan =(π-α)=-tan α, cot (π-α)=-cot α;(Ⅳ)s in ⎪⎭⎫⎝⎛-απ2=co s α, co s ⎪⎭⎫ ⎝⎛-απ2=s in α, tan ⎪⎭⎫⎝⎛-απ2=cot α(奇变偶不变,符号看象限)。
2009-2017全国高中数学联赛分类汇编第11讲:三角函数1、(2010一试2)已知函数x x a y sin )3cos (2-=的最小值为3-,则实数a 的取值范围是. 【答案】1223≤≤-a 【解析】令t x =sin ,则原函数化为t a at t g )3()(2-+-=,即t a at t g )3()(3-+-=.由3)3(3-≥-+-t a at ,0)1(3)1(2≥----t t at ,0)3)1()(1(≥-+--t at t 及01≤-t 知03)1(≤-+-t at 即3)(2-≥+t t a . (1)当1,0-=t 时(1)总成立;对20,102≤+<≤<t t t ;对041,012<+≤-<<-t t t .从而可知1223≤≤-a .2、(2011一试4)如果)cos (sin 7sin cos 3355θθθθ-<-,)2,0[πθ∈,那么θ的取值范围是. 【答案】⎪⎭⎫ ⎝⎛45,4ππ3、(2012一试7)满足11sin 43n π<<的所有正整数n 的和是. 【答案】33【解析】由正弦函数的凸性,有当(0,)6x π∈时,3sin ,x x x π<<由此得131sin ,sin ,1313412124πππππ<<>⨯=131sin ,sin .10103993πππππ<<>⨯=所以11sin sin sin sin sin .134********πππππ<<<<<< 故满足11sin 43n π<<的正整数n 的所有值分别为10,11,12,它们的和为33.4、(2014一试7)设等边三角形ABC 的内切圆半径为2,圆心为I .若点P 满足1=PI ,则AB C ∆与APC ∆的面积之比的最大值为__________.其中,00=.6IAP πθα-=∠ 由02AP I π∠=知,011sin ,24IP AI r θ===于是cot θ=所以1sin()cos 362sin()6πθθθπθ+++===- 根据(1)、(2)可知,当0P P =时,APB APCS S ∆∆5、(2015二试2)若实数θ满足cos tan θθ=,则41cos sin θθ+的值为 . 【答案】2 【解析】由条件知,2cos sin αα=,反复利用此结论,并注意到22cos sin 1αα+=,得2242221cos sin cos sin (1sin )(1cos )2sin cos 2sin sin αααααααααα++=+=++-=+-=6、(2015一试7)设ω为正实数,若存在,(2)a b a b ππ≤<≤,使得sin sin 2a b ωω+=,则实数ω的取值范围是 【答案】9513[,][,)424w ∈+∞ 【解析】由sin sin 2wa wb +=知sin sin 1wa wb ==,而[,][,2],wa wb w w ππ⊆故题目条件等价于:存在整数()k l k l <,,使得222.22w k l w ππππππ≤+<+≤⑴当4w ≥时,区间[,2]w w ππ的长度不小于4π,故必存在k,l 满足(1)式,当04w <<时,注意到[,2]0,8w w πππ⊆(),故仅需考虑如下几种情况: 5)2,22i w w ππππ≤<≤(此时15,24w w ≤≥且无解; 59)2,22ii w w ππππ≤<≤(此时有95;42w ≤≤ 913()222iii w w ππππ≤<≤,此时有13913, 4.424w w ≤≤≤<得 综合)()()i ii iii (、、,并注意到95134[,][,).424w w ≥∈+∞ 亦满足条件,可知7、(2016一试6)设函数10cos 10sin )(44kx kx x f +=,其中k 是一个正整数.若对任意实数a ,均有}|)({}1|)({R x x f a x a x f ∈=+<<,则k 的最小值为 .【答案】16反之,当π5>k 时,任意一个开区间均包含)(x f 的一个完整周期,此时}|)({}1|)({R x x f a x a x f ∈=+<<成立.综上可知,正整数的最小值为161]5[=+π.8、(2017一试2)若实数,x y 满足22cos 1x y +=,则cos x y -的取值范围是.【答案】[11]-【解析】由于212cos [1,3],[x y x =-∈-∈故 由21cos 2x y -=可知,2211cos (+1) 1.22x x y x x --=-=-因此当1x =-时,cos x y -有最小值-1.(这时y 可以取2π);当x =cos x y -(这时y 可取π),由于21(+1)12x -的值域是1],从而cos x y -的取值范围是1].9、(2011一试9)已知函数131()sin cos 2,,022f x a x x a a R a a =-+-+∈≠ (1)若对任意x R ∈,都有()0f x ≤,求a 的取值范围;(2)若2a ≥,且存在x R ∈,使得()0f x ≤,求a 的取值范围.【解析】(1)23()sin sin .f x x a x a a =++-令sin (11),t x t =-≤≤则23()g t t at a a=++-(2)因为2,a ≥所以 1.2a -≤-所以min 3()(1)1g t g a =-=- 因此min 3()1.f x a =-于是,存在x R ∈,使得()0f x ≤的充要条件是3100 3.a a-≤⇒<≤ 故a 的取值范围是[2,3].10、(2014一试10)(本题满分20分)数列}{n a 满足))(arctan(sec ,611*∈==+N n a a a n n π求正整数m ,使得1001sin ......sin sin 21=m a a a 【解析】由已知条件可知,对任意正整数n ,11(,),tan sec .(1)22n n n a a a ππ++∈-=且22211sec 0,(0,).1tan =sec =1+tan 2n n n n n a a a a a π++>∈由于故由()得,,故 221132tan =1tan 133n n a n a n --+=-+=,tan n a 即 121212tan tan tan sin sin sin sec sec sec m m m a a a a a a ααα⋅⋅⋅⋅⋅=⋅⋅⋅⋅⋅因此12231tan tan tan (1tan tan tan m m a a a a a a +=⋅⋅⋅⋅⋅利用())11tan tan n αα+==13333.100m =,得 11、(2016一试9)(本题满分16分)在ABC ∆中,已知CB CA BC BA AC AB ∙=∙+∙32.求C sin 的最大值.即22232c b a =+.由余弦定理及基本不等式,得abb a b a abc b a C 2)2(312cos 2222222+-+=-+= 3263263=∙≥+=a b b a a b b a 所以37cos 1sin 2≤-=C C . 等号成立当且仅当5:6:3::=c b a .因此C sin 的最大值是37.。
新编高中数学竞赛用三角函数公式大全一、角度公式1.正弦函数公式:在直角三角形中,对于角A的正弦函数,有sin A = 对边 / 斜边。
2.余弦函数公式:在直角三角形中,对于角A的余弦函数,有cos A = 邻边 / 斜边。
3.正切函数公式:在直角三角形中,对于角A的正切函数,有tan A = 对边 / 邻边。
4.余切函数公式:在直角三角形中,对于角A的余切函数,有cot A = 邻边 / 对边。
5.正割函数公式:在直角三角形中,对于角A的正割函数,有sec A = 斜边 / 邻边。
6.余割函数公式:在直角三角形中,对于角A的余割函数,有csc A = 斜边 / 对边。
7.反三角函数公式:反正弦函数:sin^(-1)(x) = A,其中A 为限定在[-π/2, π/2]的角。
反余弦函数:cos^(-1)(x) = A,其中A 为限定在[0,π]的角。
反正切函数:tan^(-1)(x) = A,其中A 为限定在[-π/2, π/2]的角。
二、和角差角公式1.用角度的和角公式去证明三角恒等式:sin(α ± β) = sin α cos β ± cos α sin βco s(α ± β) = cos α cos β ∓ sin α sin βtan(α ± β) = (tan α ± tan β) / (1 ∓ tan α tan β)。
2.用角度的差角公式去证明三角恒等式:sin(α - β) = sin α cos β - cos α sin βcos(α - β) = cos α cos β + sin α sin βtan(α - β) = (tan α - tan β) / (1 + tan α tan β)。
三、倍角公式1. sin(2α) = 2sin α cos αcos(2α) = cos^2 α - sin^2 α = 2cos^2 α - 1 =1 - 2sin^2 αtan(2α) = (2tan α) / (1 - tan^2 α)。
2022全国高中数学竞赛真题及答案详解高中数学竞赛一直以来都是对学生数学能力的高难度挑战,2022 年的全国高中数学竞赛也不例外。
接下来,让我们一起深入剖析这次竞赛的真题及详细答案。
首先来看第一道题,这是一道关于函数性质的题目。
已知函数 f(x)= x³ 3x + 1,求其在区间-2, 2上的最大值和最小值。
对于这道题,我们先对函数求导,f'(x) = 3x² 3,令 f'(x) = 0,解得 x = ±1。
然后分别计算函数在端点和极值点处的值,f(-2) =-1,f(-1) = 3,f(1) =-1,f(2) = 3。
所以,函数在区间-2, 2上的最大值为 3,最小值为-1。
再看第二道题,它是一道几何证明题。
在三角形 ABC 中,AD 是角A 的平分线,且 BD : DC = 2 : 1。
求证:AB : AC = 2 : 1。
这道题我们可以利用角平分线定理来解决。
因为 AD 是角 A 的平分线,所以根据角平分线定理,AB/AC = BD/DC = 2/1,从而得证。
接下来是第三道题,是一个数列问题。
已知数列{aₙ}满足a₁=1,aₙ₊₁= 2aₙ + 1,求数列{aₙ}的通项公式。
我们可以通过构造等比数列来求解。
将等式两边同时加 1,得到aₙ₊₁+ 1 = 2(aₙ + 1),所以数列{aₙ + 1}是以 2 为首项,2 为公比的等比数列。
根据等比数列通项公式可得 aₙ + 1 =2ⁿ,所以 aₙ =2ⁿ 1。
然后是第四道题,这是一道关于复数的题目。
已知复数z =1 +i,求 z 的模和辐角。
复数 z = 1 + i 的模为|z| =√(1²+ 1²) =√2,辐角为 arctan(1/1) =π/4。
接着看第五道题,是一个概率问题。
从 1,2,3,4,5 这五个数字中随机抽取三个数字,求这三个数字能构成等差数列的概率。
总的组合数为 C₅³= 10 种。
高中数学竞赛(07-10年)试题分类汇总——三角、向量一、选择题1.(07全国)设函数f (x )=3sin x +2cos x +1。
若实数a 、b 、c 使得af (x )+bf (x−c )=1对任意实数x 恒成立,则a cb cos 的值等于( ) A. 21- B. 21 C. −1 D. 1解:令c=π,则对任意的x ∈R ,都有f (x )+f (x−c )=2,于是取21==b a ,c=π,则对任意的x ∈R ,af (x )+bf (x−c )=1,由此得1cos -=acb 。
一般地,由题设可得1)sin(13)(++=ϕx x f ,1)sin(13)(+-+=-c x c x f ϕ,其中20π<<ϕ且32tan =ϕ,于是af (x )+bf (x−c )=1可化为1)sin(13)sin(13=++-+++b a c x b x a ϕϕ,即0)1()cos(sin 13cos )sin(13)sin(13=-+++-+++b a x c b c x b x a ϕϕϕ,所以 0)1()cos(sin 13)sin()cos (13=-+++-++b a x c b x c b a ϕϕ。
由已知条件,上式对任意x ∈R 恒成立,故必有⎪⎩⎪⎨⎧=-+==+)3(01)2(0sin )1(0cos b a c b c b a , 若b =0,则由(1)知a =0,显然不满足(3)式,故b≠0。
所以,由(2)知sin c =0,故c=2kπ+π或c=2kπ(k ∈Z )。
当c=2kπ时,cos c =1,则(1)、(3)两式矛盾。
故c=2kπ+π(k ∈Z ),cos c =−1。
由(1)、(3)知21==b a ,所以1cos -=ac b 。
2.(08全国)ABC ∆中,边,,a b c 成等比数列,则sin cot cos sin cot cos A C A B C B++的取值范围是( C )A. (0,)+∞B. 1)2C.D. )+∞[解] 设,,a b c 的公比为q ,则2,b aq c aq ==,而sin cot cos sin cos cos sin sin cot cos sin cos cos sin A C A A C A CB C B B C B C++=++ sin()sin()sin sin()sin()sin A C B B bq B C A A aππ+-=====+-.因此,只需求q 的取值范围.因,,a b c 成等比数列,最大边只能是a 或c ,因此,,a b c 要构成三角形的三边,必需且只需a b c +>且b c a +>.即有不等式组22,a aq aq aq aq a ⎧+>⎪⎨+>⎪⎩即2210,10.q q q q ⎧--<⎪⎨+->⎪⎩解得11,2211.22q q q ⎧<<⎪⎪⎨⎪><-⎪⎩或q <<,因此所求的取值范围是. 3.(08江苏)如果111C B A ∆的三个内角的余弦值分别是222C B A ∆的三个内角的正弦值,那么 答:[B]A. 111C B A ∆与222C B A ∆都是锐角三角形B. 111C B A ∆是锐角三角形,222C B A ∆是钝角三角形C. 111C B A ∆是钝角三角形,222C B A ∆是锐角三角形D. 111C B A ∆与222C B A ∆都是钝角三角形解 两个三角形的内角不能有直角;111C B A ∆的内角余弦都大于零,所以是锐角三角形;若222C B A ∆是锐角三角形,则不妨设cos 1A =sin 2A =cos ⎪⎭⎫⎝⎛-12A π, cos 1B =sin 2B =cos ⎪⎭⎫⎝⎛-22A π, cos 1C =sin 2C =cos ⎪⎭⎫⎝⎛-12C π.则212A A -=π,212B B -=π,212C C -=π,即 )(23222111C B A C B A ++-=++π,矛盾. 选B. 4.(08河北)已知cos cos 1x y +=,则sin sin x y -的取值范围是( ).A []11-,B []2-,2C 0⎡⎣ D⎡⎣答案:D .解:设sin sin x y t -=,易得21cos cos sin sin 2t x y x y --=,即()21cos 2t x y -+=.由于()1cos 1x y -≤+≤,所以21112t --≤≤,解得t ≤≤5.(08湖南)设)2008sin(sin 0=a ,)2008sin(cos 0=b ,)2008cos(sin 0=c ,)2008cos(cos 0=d ,则d c b a ,,,的大小关系是( )A.d c b a <<< B.c d a b <<< C.a b d c <<< D.b a c d <<<解:因为00002818036052008++⨯=,所以,0)28sin(sin )28sin sin(00<-=-=a ;0)28sin(cos )28cos sin(00<-=-=b ;0)28cos(sin )28sin cos(00>=-=c ;0)28cos(cos )28cos cos(00>=-=d .又0028cos 28sin <,故.c d a b <<<故选B.6.(08江西)若对所有实数x ,均有sin sin cos cos cos 2kkkx kx x kx x ⋅+⋅=,则k =( ).A 、6;B 、5;C 、4;D 、3.解:记()sin sin cos cos cos 2k k k f x x kx x kx x =⋅+⋅- ,则由条件,()f x 恒为0,取2x π=,得()sin12k k π=-,则k 为奇数,设21k n =-,上式成为sin 12n ππ⎛⎫-=- ⎪⎝⎭,因此n 为偶数,令2n m =,则41k m =-,故选择支中只有3k =满足题意.二、填空题1.(08江西)0sin 20sin 40sin80⋅⋅= .解:()8sin 20sin 40sin804cos 20cos60sin80⋅⋅=-()0004sin80cos202sin802sin100sin 602sin80=-=+-02sin 60==所以0sin 20sin 40sin 80⋅⋅=2.(08湖北)设集合⎭⎬⎫⎩⎨⎧-∈==)34,3(,21|sin |ππx x x E ,则E 的真子集的个数为 15 3.(08湖北)若1|lg |<ϕ,则使函数)cos()sin()(ϕϕ-+-=x x x f 为奇函数的ϕ的个数为3 .4.(08湖北)在△ABC 中,已知B ∠的平分线交AC 于K .若BC =2,CK =1,223=BK ,则△ABC 的面积为16715.5.(08湖北)已知=,=,过O 作直线AB 的垂线,垂足为P .若3||,3||==,6π=∠AOB ,y x +=,则=-y x -2 .6.(07全国)在△ABC 和△AEF 中,B 是EF 的中点,AB =EF =1,BC =6,33=CA ,若2=⋅+⋅,则与的夹角的余弦值等于________解:因为2=⋅+⋅AF AC AE AB ,所以2)()(=+⋅++⋅BF AB AC BE AB AB ,即22=⋅+⋅+⋅+。
全国高中数学竞赛专题三角函数This manuscript was revised on November 28, 2020三角恒等式与三角不等式一、基础知识定义1 角:一条射线绕着它的端点旋转得到的图形叫做角。
角的大小是任意的。
若旋转方向为逆时针方向,则角为正角,若旋转方向为顺时针方向,则角为负角,若不旋转则为零角。
定义2 角度制:把一周角360等分,每一等分为一度。
弧度制:把等于半径长的圆弧所对的圆心角叫做一弧度。
360度=2π弧度。
若圆心角的弧长为L ,则其弧度数的绝对值|α|=rL,其中r 是圆的半径。
定义3 三角函数:在直角坐标平面内,把角α的顶点放在原点,始边与x 轴的正半轴重合,在角的终边上任意取一个不同于原点的点P ,设它的坐标为(x ,y ),到原点的距离为r,则正弦函数s in α=ry,余弦函数co s α=r x ,正切函数tan α=xy,余切函数cot α=y x ,正割函数se c α=x r ,余割函数c s c α=.y r定理1 同角三角函数的基本关系式,倒数关系:tan α=αcot 1,s in α=αcsc 1,co s α=αsec 1; 商数关系:tan α=αααααsin cos cot ,cos sin =; 乘积关系:tan α×co s α=s in α,cot α×s in α=co s α;平方关系:s in 2α+co s 2α=1, tan 2α+1=se c 2α,cot 2α+1=c s c 2α.定理2 诱导公式(Ⅰ)s in (α+π)=-s in α, co s(π+α)=-co s α, tan (π+α)=tan α, cot (π+α)=cot α;(Ⅱ)s in (-α)=-s in α, co s(-α)=co s α, tan (-α)=-tan α,cot (-α)=cot α;(Ⅲ)s in (π-α)=s in α, co s(π-α)=-co s α, tan =(π-α)=-tanα, cot (π-α)=-cot α;(Ⅳ)s in ⎪⎭⎫ ⎝⎛-απ2=co s α, co s ⎪⎭⎫ ⎝⎛-απ2=s in α, tan ⎪⎭⎫⎝⎛-απ2=cot α(奇变偶不变,符号看象限)。
定理3 正弦函数的性质,根据图象可得y =s inx (x ∈R )的性质如下。
单调区间:在区间⎥⎦⎤⎢⎣⎡+-22,22ππππk k 上为增函数,在区间⎥⎦⎤⎢⎣⎡++ππππ232,22k k 上为减函数, 最小正周期:2π. 奇偶性:奇函数有界性:当且仅当x =2kx +2π时,y 取最大值1,当且仅当x =3k π-2π时, y 取最小值-1,值域为[-1,1]。
对称性:直线x =k π+2π均为其对称轴,点(k π, 0)均为其对称中心。
这里k ∈Z .定理4 余弦函数的性质,根据图象可得y =co s x (x ∈R )的性质。
单调区间:在区间[2k π, 2k π+π]上单调递减,在区间[2k π-π, 2k π]上单调递增。
最小正周期:2π。
奇偶性:偶函数。
有界性:当且仅当x =2k π时,y 取最大值1;当且仅当x =2k π-π时,y 取最小值-1。
值域为[-1,1]。
对称性:直线x =k π均为其对称轴,点⎪⎭⎫ ⎝⎛+0,2ππk 均为其对称中心。
这里k ∈Z .定理5 正切函数的性质:由图象知奇函数y =tanx (x ≠k π+2π)在开区间(k π-2π,k π+2π)上为增函数,最小正周期为π,值域为(-∞,+∞),点(k π,0),(k π+2π,0)均为其对称中心。
定理6 两角和与差的基本关系式:co s(α±β)=co s αco s β s in αs in β,s in (α±β)=s in αco s β±co s αs in β;tan (α±β)=.)tan tan 1()tan (tan βαβα ± 两角和与差的变式:2222sin sin cos cos sin()sin()αββααβαβ-=-=+-三角和的正切公式:tan tan tan tan tan tan tan()1tan tan tan tan tan tan αβγαβγαβγαββγγα++-++=---定理7 和差化积与积化和差公式:s in α+s in β=2s in ⎪⎭⎫ ⎝⎛+2βαco s ⎪⎭⎫⎝⎛-2βα, s in α-s in β=2s in ⎪⎭⎫ ⎝⎛+2βαco s ⎪⎭⎫ ⎝⎛-2βα,co s α+co s β=2co s ⎪⎭⎫ ⎝⎛+2βαco s ⎪⎭⎫⎝⎛-2βα, co s α-co s β=-2s in ⎪⎭⎫ ⎝⎛+2βαs in ⎪⎭⎫ ⎝⎛-2βα,s in αco s β=21[s in (α+β)+s in (α-β)], co s αs in β=21[s in (α+β)-s in (α-β)],co s αco s β=21[co s(α+β)+co s(α-β)], s in αs in β=-21[co s(α+β)-co s(α-β)].定理8 二倍角公式:s in 2α=2s in αco s α, co s2α=co s 2α-s in 2α=2co s 2α-1=1-2s in 2α, tan 2α=.)tan 1(tan 22αα- 三倍角公式及变式:3sin 33sin 4sin ααα=-,3cos34cos 3cos ααα=-1sin(60)sin sin(60)sin 34αααα-+=,1cos(60)cos cos(60)cos34αααα-+=定理9 半角公式: s in 2α=2)cos 1(α-±, co s 2α=2)cos 1(α+±,tan2α=)cos 1()cos 1(αα+-±=.sin )cos 1()cos 1(sin αααα-=+ 定理10 万能公式: ⎪⎭⎫ ⎝⎛+⎪⎭⎫ ⎝⎛=2tan 12tan 2sin 2ααα, ⎪⎭⎫ ⎝⎛+⎪⎭⎫ ⎝⎛-=2tan 12tan 1cos 22ααα,.2tan 12tan 2tan 2⎪⎭⎫⎝⎛-⎪⎭⎫ ⎝⎛=ααα 定理11 辅助角公式:如果a , b 是实数且a 2+b 2≠0,则取始边在x 轴正半轴,终边经过点(a , b )的一个角为β,则s in β=22ba b +,co s β=22ba a +,对任意的角α.a s in α+bco s α=)(22b a +s in (α+β).定理12 正弦定理:在任意△ABC 中有R CcB b A a 2sin sin sin ===, 其中a , b , c 分别是角A ,B ,C 的对边,R 为△ABC 外接圆半径。
定理13 余弦定理:在任意△ABC 中有a 2=b 2+c 2-2bco s A ,其中a ,b ,c 分别是角A ,B ,C 的对边。
定理14 射影定理:在任意△ABC 中有cos cos a b C c B =+,cos cos b a C c A =+,cos cos c a B b A =+定理15 欧拉定理:在任意△ABC 中,222OI R Rr =-,其中O,I 分别为△ABC 的外心和内心。
定理16 面积公式:在任意△ABC 中,外接圆半径为R,内切圆半径为r ,半周长2a b cp ++=则211sin 2sin sin sin (sin sin sin )224a abc S ah ab C rp R A B C rR A B C R======++定理17 与△ABC 三个内角有关的公式:(1)sin sin sin 4cos cos cos ;222A B CA B C ++=(2)cos cos cos 14sin sin sin ;222A B CA B C ++=+(3)tan tan tan tan tan tan ;A B C A B C ++=(4)tantan tan tan tan tan 1;222222A B B C C A++= (5)cot cot cot cot cot cot 1;A B B C C A ++= (6)sin 2sin 2sin 24sin sin sin .A B C A B C ++=定理18 图象之间的关系:y =s inx 的图象经上下平移得y =s inx +k 的图象;经左右平移得y =s in (x +ϕ)的图象(相位变换);纵坐标不变,横坐标变为原来的ω1,得到y =s in x ω(0>ω)的图象(周期变换);横坐标不变,纵坐标变为原来的A 倍,得到y =A s inx 的图象(振幅变换);y =A s in (ωx +ϕ)(ω>0)的图象(周期变换);横坐标不变,纵坐标变为原来的A 倍,得到y =A s inx 的图象(振幅变换);y =A s in (ωx +ϕ)(ω, ϕ>0)(|A |叫作振幅)的图象向右平移ωϕ个单位得到y =A s in ωx 的图象。
定义4 函数y =s inx ⎪⎪⎭⎫⎝⎛⎥⎦⎤⎢⎣⎡-∈2,2ππx 的反函数叫反正弦函数,记作y =a r c s inx (x ∈[-1, 1]),函数y =co s x (x ∈[0, π]) 的反函数叫反余弦函数,记作y =a r cco s x (x ∈[-1,1]).函数y =tanx ⎪⎪⎭⎫⎝⎛⎥⎦⎤⎢⎣⎡-∈2,2ππx 的反函数叫反正切函数。
记作y =a r ctanx (x ∈[-∞, +∞]).函数y =co t x (x ∈[0, π])的反函数称为反余切函数,记作y =a r ccotx (x ∈[-∞, +∞]).定理19 三角方程的解集,如果a ∈(-1,1),方程s inx =a 的解集是{x |x =n π+(-1)n a r c s ina , n ∈Z }。
方程co s x =a 的解集是{x |x =2kx ±a r cco s a ,k ∈Z }.如果a ∈R ,方程tanx =a 的解集是{x |x =k π+a r ctana ,k ∈Z }。
恒等式:a r c s ina +a r cco s a =2π;a r ctana +a r ccota =2π.定理20 若干有用的不等式:(1)若⎪⎭⎫⎝⎛∈2,0πx ,则s inx <x <tanx .(2)函数sin x y x =在(0,)π上为减函数;函数tan x y x =在(0,)2π上为增函数。