高考文科数学模拟试题精编(十一)
- 格式:docx
- 大小:183.17 KB
- 文档页数:17
高考文科数学模拟试题精编(十一)(考试用时:120分钟分值:150分)注意事项:1.答卷前,考生务必将自己的姓名、考生号等填写在答题卡和试卷指定位置上.2.回答选择题时,选出每小题答案后,把答题卡上对应题目的答案标号填在表格内.回答非选择题时,将答案写在答题卡上.写在本试卷上无效.3.考试结束后,将本试卷和答题卡一并交回.一、选择题:本题共12小题,每小题5分,共60分.在每小题给出的四个选项中,只有一项是符合题目要求的.1.设集合A={x|x2-x>0},B={x|e x≥1},则A∩B=()A.(-∞,1) B.(-1,1)C.(1,+∞) D.[1,+∞)2.复数1+3i3-i的虚部是()A.2 B.-2C.1 D.-13.已知向量a与b的夹角为60°,|a|=2,|b|=1,则|a-2b|=()A.1 B. 3C.2 D.2 34.在气象观测中,降水量是指一定时间内,从天空降落到地面上的液态或固态(经融化后)水,未经蒸发、渗透、流失的情况下,在水平面上积聚的深度.降水量以mm为单位,气象观测中一般取一位小数.现某地正在下雨,10分钟的降水量为13.1 mm,小王在此地此时间段内用底面半径为5 cm的圆柱形量筒收集雨水,则这10分钟收集的雨水体积约为(其中π≈3.14)()A.1.02×103 mm3B.1.03×103 mm3C.1.02×105 mm3D.1.03×105 mm35.数学家欧拉在1765年提出定理:三角形的外心、重心、垂心位于同一直线上,且重心到外心的距离是重心到垂心距离的一半.这条直线被后人称为欧拉线.已知点A(0,2)和点B(1,0)为△ABC的顶点,则“△ABC的欧拉线的方程为x =1”是“点C 的坐标为(2,2)”的( )A .充分不必要条件B .必要不充分条件C .充要条件D .既不充分也不必要条件6.函数f (x )是定义在R 上的奇函数,当x <0时,f (x )=2x ,则f (log 23)=( ) A .13 B .3 C .-13D .-37.黎曼函数是一个特殊的函数,在高等数学中有着广泛的应用.黎曼函数定义在[0,1]上,其解析式为R (x )=⎩⎪⎨⎪⎧1p,当x =q p (p ,q 都是正整数,q p 是既约真分数)0,当x =0,1或(0,1)上的无理数,,若函数f (x )是定义在实数集上的偶函数,且对任意x 都有f (2+x )+f (x )=0,当x ∈[0,1]时,f (x )=R (x ),则f (-ln 2)-f (20225)=( )A .15B .25C .-25D .-158.如图,椭圆E :x 25+y 24=1的左、右焦点分别为F 1,F 2,过点F 1,F 2分别作弦AB ,CD .若AB ∥CD ,则|AF 1|+|CF 2|的取值范围为( )A .[25,1655] B .[25,1655) C .[855,25)D .[855,25] 9.若tan (π4-x )=2tan (π4+x ),则sin 2x =( ) A .-35 B .35 C .-13D .1310.如图是古希腊数学家特埃特图斯用来构造无理数2,3,5,…的图形.图中四边形ABCD 的对角线相交于点O ,若DO→=λOB →,则λ=( ) A .1 B . 2 C .62D . 311.已知实数a ,b ,c 满足a <2,a ln a -2ln 2=a -2,b <2,b ln b -2ln 2=b -2,c >12,c ln c -12ln 12=c -12,则( ) A .c <b <a B .b <c <a C .a <c <bD .a <b <c12.我们常说函数y =1x 的图象是双曲线,建立适当的平面直角坐标系,可求得这个双曲线的标准方程为x 22-y 22=1.函数y =x 3+3x 的图象也是双曲线,在适当的平面直角坐标系中,它的标准方程可能是( )A .x 26-y 22=1B .x 26-y 218=1C .x 27-y 273=1D .x 27-y 221=1二、填空题:本题共4小题,每小题5分,共20分.13.已知曲线y =f (x )=sin x +x 在点(π2,f (π2))处的切线与直线l :ax +by -1=0平行,则ba 的值为________.14.若实数x ,y 满足约束条件⎩⎨⎧y ≥x -12x +y -4≤0x ≥1,则z =6x +4y +2的最大值等于________.15.若定义在R 上的函数f (x ),对任意x 1≠x 2,都有x 1f (x 1)+x 2f (x 2)≥x 1f (x 2)+x 2f (x 1),则称f (x )为“H 函数”.现给出下列函数,其中是“H 函数”的有________.(填出所有正确答案的序号)①f (x )=x 2-2x +3; ②f (x )=2x -1; ③f (x )=lg (x -1); ④f (x )=⎩⎨⎧1,x <02x +1,x ≥0.16.已知矩形ABCD 中,AB =2,AD =1,点P 是平面ABCD 外一点,且点P 在平面ABCD 上的射影恰好为边AB 的中点E ,PC =5,若点P ,A ,B ,C 都在球O 的表面上,则球O 的表面积为________.三、解答题:共70分.解答应写出文字说明、证明过程或演算步骤.第17~21题为必考题,每个试题考生都必须作答.第22、23题为选考题,考生根据要求作答.(一)必考题:共60分.17.(12分)如图,正三棱柱ABC -A 1B 1C 1中,BA =BB 1=2,点D 是棱AA 1的中点.(1)求证:BD ⊥B 1C ;(2)求点B 到平面DCB 1的距离.18.(12分)葡萄酒是用新鲜的葡萄酿造而成的一种酒品.某课外兴趣小组为了研究葡萄酒的口感指标值y 与某食品添加剂的剂量x (单位:g)之间的关系,检测了6种不同的葡萄酒,整理得到如下数据.x 21 23 24 27 29 32 y61120275777(1)现有①y ^=b ^x +a ^,②y =171.18ln x -522.96两种模型可以拟合y 与x 之间的关系,且模型②的相关系数r ≈0.9572,请用相关系数说明哪种模型的拟合效果更好;(2)用拟合效果好的模型预测该食品添加剂的剂量是35 g 时葡萄酒的口感指标值.(结果保留整数)参考数据:330 120≈575,参考公式:回归直线y =bx +a 的斜率和截距的最小二乘估计公式分别为b =∑i =1n(x i -x )(y i -y )∑i =1n(x i -x )2,a^=y -b ^x ,相关系数r =∑i =1n(x i -x )(y i -y )∑i =1n(x i -x )2∑i =1n(y i -y )2.19.(12分)记S n 为数列{a n }的前n 项和,已知a 1=1,a 2=23,且数列{4nS n +(2n +3)a n }是等差数列.(1)证明:⎩⎨⎧⎭⎬⎫a n n 是等比数列,求{a n }的通项公式;(2)设b n =⎩⎪⎨⎪⎧3n -1·a n ,n 为奇数n a n,n 为偶数,求数列{b n }的前2n 项和T 2n .20.(12分)已知抛物线C :y 2=2px 的准线为l :x =-2,点A (x 1,y 1),B (4-x 1,y 2)是C 上两个动点.(1)若y 1+y 2=0,求|AB |的值;(2)若直线AB 的斜率k >43,线段AB 的垂直平分线与x 轴交于点M ,且|MA |=35,求MA →·MB→的值.21.(12分)已知函数f (x )=sin x -2ax ,a ∈R . (1)当a ≥12时,求函数f (x )在区间[0,π]上的最值;(2)若关于x 的不等式f (x )≤cos x -1在区间(π2,π)上恒成立,求a 的取值范围. (二)选考题:共10分.请考生在第22、23题中任选一题作答.如果多做,则按所做的第一题计分.22.(10分)[选修4-4:坐标系与参数方程]已知在直角坐标系xOy 中,直线l 的参数方程为⎩⎨⎧x =1+ty =1-t (t 为参数).以坐标原点为极点,x 轴正半轴为极轴建立极坐标系,曲线C 的极坐标方程为ρ=2|sin θ|+2|cos θ|.(1)求直线l 的普通方程和曲线C 的直角坐标方程;(2)若直线m :θ=a 0(a 0∈[0,π2])与曲线C 交于A ,B 两点,且|AB |=26,求a 0的值.23.(10分)[选修4-5:不等式选讲] 设函数f (x )=|2x -a |+⎪⎪⎪⎪⎪⎪x +1a -4x (a >0).(1)当a =1时,求不等式f (x )≤14的解集;(2)已知不等式f (x )≥⎪⎪⎪⎪⎪⎪x +1a 的解集为{x |x ≤1},m >0,n >0,m +n =a ,求2m +8n 的最小值.。
高考数学高三模拟考试试卷压轴题高考数学模拟试卷(文科) (11)一、选择题:每题5分,在每小题给出的四个选项中,只有一项是符合题目要求的.1.(5分)若实数x,y满足条件,则z=3x+y的最大值为()A.7B.8C.9D.142.(5分)已知全集U={1,2,3,4,5,6},集合A={2,3,5},集合B={1,3,4,6},则集合A∩∁UB=()A.{3}B.{2,5}C.{1,4,6}D.{2,3,5}3.(5分)阅读如图所示的程序框图,运行相应的程序,则输出i的值为()A.2B.3C.4D.54.(5分)设x∈R,则“1<x<2”是“|x﹣2|<1”的()A.充分而不必要条件B.必要而不充分条件C.充要条件D.既不充分也不必要条件5.(5分)已知双曲线﹣=1(a>0,b>0)的一个焦点为F(2,0),且双曲线的渐近线与圆(x﹣2)2+y2=3相切,则双曲线的方程为()A.﹣=1B.﹣=1C.﹣y2=1D.x2﹣=16.(5分)如图,在圆O中,M、N是弦AB的三等分点,弦CD,CE分别经过点M,N,若CM=2,MD=4,CN=3,则线段NE的长为()A. B.3 C. D.7.(5分)已知定义在R上的函数f(x)=2|x﹣m|﹣1(m为实数)为偶函数,记a=f (log0.53),b=f(log25),c=f(2m),则a,b,c的大小关系为()A.a<b<cB.a<c<bC.c<a<bD.c<b<a8.(5分)已知函数f(x)=,函数g(x)=3﹣f(2﹣x),则函数y=f (x)﹣g(x)的零点个数为()A.2B.3C.4D.5二、填空题:本大题共6小题,每小题5分,共30分.9.(5分)i是虚数单位,计算的结果为.10.(5分)一个几何体的三视图如图所示(单位:m),则该几何体的体积为m3.11.(5分)已知函数f(x)=axlnx,x∈(0,+∞),其中a为实数,f′(x)为f(x)的导函数,若f′(1)=3,则a的值为.12.(5分)已知a>0,b>0,ab=8,则当a的值为时,log2a•log2(2b)取得最大值.13.(5分)在等腰梯形ABCD中,已知AB∥DC,AB=2,BC=1,∠ABC=60°,点E和F分别在线段BC和DC上,且=,=,则•的值为.14.(5分)已知函数f(x)=sinωx+cosωx(ω>0),x∈R,若函数f(x)在区间(﹣ω,ω)内单调递增,且函数y=f(x)的图象关于直线x=ω对称,则ω的值为.三、解答题:本大题共6小题,共80分,解答应写出文字说明,证明过程或演算步骤.15.(13分)设甲、乙、丙三个乒乓球协会的运动员人数分别为27,9,18,先采用分层抽取的方法从这三个协会中抽取6名运动员组队参加比赛.(Ⅰ)求应从这三个协会中分别抽取的运动员的人数;(Ⅱ)将抽取的6名运动员进行编号,编号分别为A1,A2,A3,A4,A5,A6,现从这6名运动员中随机抽取2人参加双打比赛.(i)用所给编号列出所有可能的结果;(ii)设A为事件“编号为A5和A6的两名运动员中至少有1人被抽到”,求事件A发生的概率.16.(13分)在△ABC中,内角A,B,C所对的边分别为a,b,c,已知△ABC的面积为3,b﹣c=2,cosA=﹣.(Ⅰ)求a和sinC的值;(Ⅱ)求cos(2A+)的值.17.(13分)如图,已知AA1⊥平面ABC,BB1∥AA1,AB=AC=3,BC=2,AA1=,BB1=2,点E和F分别为BC和A1C的中点.(Ⅰ)求证:EF∥平面A1B1BA;(Ⅱ)求证:平面AEA1⊥平面BCB1;(Ⅲ)求直线A1B1与平面BCB1所成角的大小.18.(13分)已知{an}是各项均为正数的等比数列,{bn}是等差数列,且a1=b1=1,b2+b3=2a3,a5﹣3b2=7.(Ⅰ)求{an}和{bn}的通项公式;(Ⅱ)设cn=anbn,n∈N*,求数列{cn}的前n项和.19.(14分)已知椭圆+=1(a>b>0)的上顶点为B,左焦点为F,离心率为. (Ⅰ)求直线BF的斜率.(Ⅱ)设直线BF与椭圆交于点P(P异于点B),过点B且垂直于BP的直线与椭圆交于点Q(Q异于点B),直线PQ与y轴交于点M,|PM|=λ|MQ|.(i)求λ的值.(ii)若|PM|sin∠BQP=,求椭圆的方程.20.(14分)已知函数f(x)=4x﹣x4,x∈R.(Ⅰ)求f(x)的单调区间;(Ⅱ)设曲线y=f(x)与x轴正半轴的交点为P,曲线在点P处的切线方程为y=g(x),求证:对于任意的实数x,都有f(x)≤g(x);(Ⅲ)若方程f(x)=a(a为实数)有两个实数根x1,x2,且x1<x2,求证:x2﹣x1≤﹣+4.天津市高考数学试卷(文科)参考答案与试题解析一、选择题:每题5分,在每小题给出的四个选项中,只有一项是符合题目要求的.1.(5分)若实数x,y满足条件,则z=3x+y的最大值为()A.7B.8C.9D.14【分析】作出不等式组对应的平面区域,利用目标函数的几何意义,求最大值.【解答】解:作出不等式组对应的平面区域如图:(阴影部分).由z=3x+y得y=﹣3x+z,平移直线y=﹣3x+z,由图象可知当直线y=﹣3x+z经过点A时,直线y=﹣3x+z的截距最大,此时z最大.由,解得,即A(2,3),代入目标函数z=3x+y得z=3×2+3=9.即目标函数z=3x+y的最大值为9.故选:C.【点评】本题主要考查线性规划的应用,利用目标函数的几何意义,结合数形结合的数学思想是解决此类问题的基本方法.2.(5分)已知全集U={1,2,3,4,5,6},集合A={2,3,5},集合B={1,3,4,6},则集合A∩∁UB=()A.{3}B.{2,5}C.{1,4,6}D.{2,3,5}【分析】求出集合B的补集,然后求解交集即可.【解答】解:全集U={1,2,3,4,5,6},集合B={1,3,4,6},∁UB={2,5},又集合A={2,3,5},则集合A∩∁UB={2,5}.故选:B.【点评】本题考查集合的交、并、补的混合运算,基本知识的考查.3.(5分)阅读如图所示的程序框图,运行相应的程序,则输出i的值为()A.2B.3C.4D.5【分析】模拟执行程序框图,依次写出每次循环得到的i,S的值,当S=0时满足条件S≤1,退出循环,输出i的值为4.【解答】解:模拟执行程序框图,可得S=10,i=0i=1,S=9不满足条件S≤1,i=2,S=7不满足条件S≤1,i=3,S=4不满足条件S≤1,i=4,S=0满足条件S≤1,退出循环,输出i的值为4.故选:C.【点评】本题主要考查了循环结构的程序框图,正确写出每次循环得到的i,S的值是解题的关键,属于基础题.4.(5分)设x∈R,则“1<x<2”是“|x﹣2|<1”的()A.充分而不必要条件B.必要而不充分条件C.充要条件D.既不充分也不必要条件【分析】求解:|x﹣2|<1,得出“1<x<2”,根据充分必要条件的定义判断即可.【解答】解:∵|x﹣2|<1,∴1<x<3,∵“1<x<2”∴根据充分必要条件的定义可得出:“1<x<2”是“|x﹣2|<1”的充分不必要条件.故选:A.【点评】本题考查了简单的不等式的求解,充分必要条件的定义,属于容易题.5.(5分)已知双曲线﹣=1(a>0,b>0)的一个焦点为F(2,0),且双曲线的渐近线与圆(x﹣2)2+y2=3相切,则双曲线的方程为()A.﹣=1B.﹣=1C.﹣y2=1D.x2﹣=1【分析】由题意可得双曲线的渐近线方程,根据圆心到切线的距离等于半径得,求出a,b的关系,结合焦点为F(2,0),求出a,b的值,即可得到双曲线的方程.【解答】解:双曲线的渐近线方程为bx±ay=0,∵双曲线的渐近线与圆(x﹣2)2+y2=3相切,∴,∴b=a,∵焦点为F(2,0),∴a2+b2=4,∴a=1,b=,∴双曲线的方程为x2﹣=1.故选:D.【点评】本题考查点到直线的距离公式,双曲线的标准方程,以及双曲线的简单性质的应用,求出a,b的值,是解题的关键.6.(5分)如图,在圆O中,M、N是弦AB的三等分点,弦CD,CE分别经过点M,N,若CM=2,MD=4,CN=3,则线段NE的长为()A. B.3 C. D.【分析】由相交弦定理求出AM,再利用相交弦定理求NE即可.【解答】解:由相交弦定理可得CM•MD=AM•MB,∴2×4=AM•2AM,∴AM=2,∴MN=NB=2,又CN•NE=AN•NB,∴3×NE=4×2,∴NE=.故选:A.【点评】本题考查相交弦定理,考查学生的计算能力,比较基础.7.(5分)已知定义在R上的函数f(x)=2|x﹣m|﹣1(m为实数)为偶函数,记a=f (log0.53),b=f(log25),c=f(2m),则a,b,c的大小关系为()A.a<b<cB.a<c<bC.c<a<bD.c<b<a【分析】根据f(x)为偶函数便可求出m=0,从而f(x)=2|x|﹣1,这样便知道f(x)在[0,+∞)上单调递增,根据f(x)为偶函数,便可将自变量的值变到区间[0,+∞)上:a=f(|log0.53|),b=f(log25),c=f(0),然后再比较自变量的值,根据f(x)在[0,+∞)上的单调性即可比较出a,b,c的大小.【解答】解:∵f(x)为偶函数;∴f(﹣x)=f(x);∴2|﹣x﹣m|﹣1=2|x﹣m|﹣1;∴|﹣x﹣m|=|x﹣m|;(﹣x﹣m)2=(x﹣m)2;∴mx=0;∴m=0;∴f(x)=2|x|﹣1;∴f(x)在[0,+∞)上单调递增,并且a=f(|log0.53|)=f(log23),b=f(log25),c=f (0);∵0<log23<log25;∴c<a<b.故选:C.【点评】考查偶函数的定义,指数函数的单调性,对于偶函数比较函数值大小的方法就是将自变量的值变到区间[0,+∞)上,根据单调性去比较函数值大小.对数的换底公式的应用,对数函数的单调性,函数单调性定义的运用.8.(5分)已知函数f(x)=,函数g(x)=3﹣f(2﹣x),则函数y=f (x)﹣g(x)的零点个数为()A.2B.3C.4D.5【分析】求出函数y=f(x)﹣g(x)的表达式,构造函数h(x)=f(x)+f(2﹣x),作出函数h(x)的图象,利用数形结合进行求解即可.【解答】解:∵g(x)=3﹣f(2﹣x),∴y=f(x)﹣g(x)=f(x)﹣3+f(2﹣x),由f(x)﹣3+f(2﹣x)=0,得f(x)+f(2﹣x)=3,设h(x)=f(x)+f(2﹣x),若x≤0,则﹣x≥0,2﹣x≥2,则h(x)=f(x)+f(2﹣x)=2+x+x2,若0≤x≤2,则﹣2≤﹣x≤0,0≤2﹣x≤2,则h(x)=f(x)+f(2﹣x)=2﹣x+2﹣|2﹣x|=2﹣x+2﹣2+x=2,若x>2,﹣x<0,2﹣x<0,则h(x)=f(x)+f(2﹣x)=(x﹣2)2+2﹣|2﹣x|=x2﹣5x+8.即h(x)=,作出函数h(x)的图象如图:当y=3时,两个函数有2个交点,故函数y=f(x)﹣g(x)的零点个数为2个,故选:A.【点评】本题主要考查函数零点个数的判断,根据条件求出函数的解析式,利用数形结合是解决本题的关键.二、填空题:本大题共6小题,每小题5分,共30分.9.(5分)i是虚数单位,计算的结果为﹣i .【分析】直接利用复数的除法运算法则化简求解即可.【解答】解:i是虚数单位,===﹣i.故答案为:﹣i.【点评】本题考查复数的乘除运算,基本知识的考查.10.(5分)一个几何体的三视图如图所示(单位:m),则该几何体的体积为m3. 【分析】根据几何体的三视图,得出该几何体是圆柱与两个圆锥的组合体,结合图中数据求出它的体积.【解答】解:根据几何体的三视图,得;该几何体是底面相同的圆柱与两个圆锥的组合体,且圆柱底面圆的半径为1,高为2,圆锥底面圆的半径为1,高为1;∴该几何体的体积为V几何体=2×π•12×1+π•12•2=π.故答案为:π.【点评】本题考查了利用空间几何体的三视图求体积的应用问题,是基础题目.11.(5分)已知函数f(x)=axlnx,x∈(0,+∞),其中a为实数,f′(x)为f(x)的导函数,若f′(1)=3,则a的值为 3 .【分析】由题意求出f'(x),利用f′(1)=3,求a.【解答】解:因为f(x)=axlnx,所以f′(x)=f(x)=lna•axlnx+ax,又f′(1)=3,所以a=3;故答案为:3.【点评】本题考查了求导公式的运用;熟练掌握求导公式是关键.12.(5分)已知a>0,b>0,ab=8,则当a的值为 4 时,log2a•log2(2b)取得最大值. 【分析】由条件可得a>1,再利用基本不等式,求得当a=4时,log2a•log2(2b)取得最大值,从而得出结论.【解答】解:由题意可得当log2a•log2(2b)最大时,log2a和log2(2b)都是正数,故有a>1.再利用基本不等式可得log2a•log2(2b)≤===4,当且仅当a=2b=4时,取等号,即当a=4时,log2a•log2(2b)取得最大值,故答案为:4.【点评】本题主要考查基本不等式的应用,注意检查等号成立条件以及不等式的使用条件,属于中档题.13.(5分)在等腰梯形ABCD中,已知AB∥DC,AB=2,BC=1,∠ABC=60°,点E和F分别在线段BC和DC上,且=,=,则•的值为.【分析】根据向量数量积的公式和应用,进行运算求解即可.【解答】解:∵AB=2,BC=1,∠ABC=60°,∴BG==,CD=2﹣1=1,∠BCD=120°,∵=,=,∴•=(+)•(+)=(+)•(+)=•+•+•+•=2×1×cos60°+×2×1×cos0°+×1×1×cos60°+××1×1×cos120°=1+=,故答案为:【点评】本题主要考查向量数量积的应用,根据条件确定向量的长度和夹角是解决本题的关键.14.(5分)已知函数f(x)=sinωx+cosωx(ω>0),x∈R,若函数f(x)在区间(﹣ω,ω)内单调递增,且函数y=f(x)的图象关于直线x=ω对称,则ω的值为.【分析】由两角和的正弦函数公式化简解析式可得f(x)=sin(ωx+),由2kπ﹣≤ωx+≤2kπ+,k∈Z可解得函数f(x)的单调递增区间,结合已知可得:﹣ω≥①,ω≤②,k∈Z,从而解得k=0,又由ωx+=kπ+,可解得函数f(x)的对称轴为:x=,k∈Z,结合已知可得:ω2=,从而可求ω的值. 【解答】解:∵f(x)=sinωx+cosωx=sin(ωx+),∵函数f(x)在区间(﹣ω,ω)内单调递增,ω>0∴2kπ﹣≤ωx+≤2kπ+,k∈Z可解得函数f(x)的单调递增区间为:[,],k∈Z,∴可得:﹣ω≥①,ω≤②,k∈Z,∴解得:0<ω2≤且0<ω2≤2k,k∈Z,解得:﹣,k∈Z,∴可解得:k=0,又∵由ωx+=kπ+,可解得函数f(x)的对称轴为:x=,k∈Z,∴由函数y=f(x)的图象关于直线x=ω对称,可得:ω2=,可解得:ω=.故答案为:.【点评】本题主要考查了由y=Asin(ωx+φ)的部分图象确定其解析式,考查了正弦函数的图象和性质,正确确定k的值是解题的关键,属于中档题.三、解答题:本大题共6小题,共80分,解答应写出文字说明,证明过程或演算步骤.15.(13分)设甲、乙、丙三个乒乓球协会的运动员人数分别为27,9,18,先采用分层抽取的方法从这三个协会中抽取6名运动员组队参加比赛.(Ⅰ)求应从这三个协会中分别抽取的运动员的人数;(Ⅱ)将抽取的6名运动员进行编号,编号分别为A1,A2,A3,A4,A5,A6,现从这6名运动员中随机抽取2人参加双打比赛.(i)用所给编号列出所有可能的结果;(ii)设A为事件“编号为A5和A6的两名运动员中至少有1人被抽到”,求事件A发生的概率.【分析】(Ⅰ)由题意可得抽取比例,可得相应的人数;(Ⅱ)(i)列举可得从6名运动员中随机抽取2名的所有结果共15种;(ii)事件A包含上述9个,由概率公式可得.【解答】解:(Ⅰ)由题意可得抽取比例为=,27×=3,9×=1,18×=2,∴应甲、乙、丙三个协会中分别抽取的运动员的人数为3、1、2;(Ⅱ)(i)从6名运动员中随机抽取2名的所有结果为:(A1,A2),(A1,A3),(A1,A4),(A1,A5),(A1,A6),(A2,A3),(A2,A4),(A2,A5),(A2,A6),(A3,A4),(A3,A5),(A3,A6),(A4,A5),(A4,A6),(A5,A6),共15种;(ii)设A为事件“编号为A5和A6的两名运动员中至少有1人被抽到”,则事件A包含:(A1,A5),(A1,A6),(A2,A5),(A2,A6),(A3,A5),(A3,A6),(A4,A5),(A4,A6),(A5,A6)共9个基本事件,∴事件A发生的概率P==【点评】本题考查古典概型及其概率公式,涉及分层抽样,属基础题.16.(13分)在△ABC中,内角A,B,C所对的边分别为a,b,c,已知△ABC的面积为3,b﹣c=2,cosA=﹣.(Ⅰ)求a和sinC的值;(Ⅱ)求cos(2A+)的值.【分析】(Ⅰ)通过三角形的面积以及已知条件求出b,c,利用正弦定理求解sinC的值;(Ⅱ)利用两角和的余弦函数化简cos(2A+),然后直接求解即可.【解答】解:(Ⅰ)在三角形ABC中,由cosA=﹣,可得sinA=,△ABC的面积为3,可得:,可得bc=24,又b﹣c=2,解得b=6,c=4,由a2=b2+c2﹣2bccosA,可得a=8,,解得sinC=;(Ⅱ)cos(2A+)=cos2Acos﹣sin2Asin==.【点评】本题考查同角三角函数的基本关系式,二倍角公式,余弦定理的应用,考查计算能力.17.(13分)如图,已知AA1⊥平面ABC,BB1∥AA1,AB=AC=3,BC=2,AA1=,BB1=2,点E和F分别为BC和A1C的中点.(Ⅰ)求证:EF∥平面A1B1BA;(Ⅱ)求证:平面AEA1⊥平面BCB1;(Ⅲ)求直线A1B1与平面BCB1所成角的大小.【分析】(Ⅰ)连接A1B,易证EF∥A1B,由线面平行的判定定理可得;(Ⅱ)易证AE⊥BC,BB1⊥AE,可证AE⊥平面BCB1,进而可得面面垂直;(Ⅲ)取BB1中点M和B1C中点N,连接A1M,A1N,NE,易证∠A1B1N即为直线A1B1与平面BCB1所成角,解三角形可得.【解答】(Ⅰ)证明:连接A1B,在△A1BC中,∵E和F分别是BC和A1C的中点,∴EF∥A1B,又∵A1B⊂平面A1B1BA,EF⊄平面A1B1BA,∴EF∥平面A1B1BA;(Ⅱ)证明:∵AB=AC,E为BC中点,∴AE⊥BC,∵AA1⊥平面ABC,BB1∥AA1,∴BB1⊥平面ABC,∴BB1⊥AE,又∵BC∩BB1=B,∴AE⊥平面BCB1,又∵AE⊂平面AEA1,∴平面AEA1⊥平面BCB1;(Ⅲ)取BB1中点M和B1C中点N,连接A1M,A1N,NE,∵N和E分别为B1C和BC的中点,∴NE平行且等于B1B,∴NE平行且等于A1A,∴四边形A1AEN是平行四边形,∴A1N平行且等于AE,又∵AE⊥平面BCB1,∴A1N⊥平面BCB1,∴∠A1B1N即为直线A1B1与平面BCB1所成角,在△ABC中,可得AE=2,∴A1N=AE=2,∵BM∥AA1,BM=AA1,∴A1M∥AB且A1M=AB,又由AB⊥BB1,∴A1M⊥BB1,在RT△A1MB1中,A1B1==4,在RT△A1NB1中,sin∠A1B1N==,∴∠A1B1N=30°,即直线A1B1与平面BCB1所成角的大小为30°【点评】本题考查线面垂直与平行关系的证明,涉及直线与平面所成的角,属中档题. 18.(13分)已知{an}是各项均为正数的等比数列,{bn}是等差数列,且a1=b1=1,b2+b3=2a3,a5﹣3b2=7.(Ⅰ)求{an}和{bn}的通项公式;(Ⅱ)设cn=anbn,n∈N*,求数列{cn}的前n项和.【分析】(Ⅰ)设出数列{an}的公比和数列{bn}的公差,由题意列出关于q,d的方程组,求解方程组得到q,d的值,则等差数列和等比数列的通项公式可求;(Ⅱ)由题意得到,然后利用错位相减法求得数列{cn}的前n项和.【解答】解:(Ⅰ)设数列{an}的公比为q,数列{bn}的公差为d,由题意,q>0,由已知有,消去d整理得:q4﹣2q2﹣8=0.∵q>0,解得q=2,∴d=2,∴数列{an}的通项公式为,n∈N*;数列{bn}的通项公式为bn=2n﹣1,n∈N*.(Ⅱ)由(Ⅰ)有,设{cn}的前n项和为Sn,则,,两式作差得:=2n+1﹣3﹣(2n﹣1)×2n=﹣(2n﹣3)×2n﹣3.∴.【点评】本题主要考查等差数列、等比数列及其前n项和,考查数列求和的基本方法和运算求解能力,是中档题.19.(14分)已知椭圆+=1(a>b>0)的上顶点为B,左焦点为F,离心率为. (Ⅰ)求直线BF的斜率.(Ⅱ)设直线BF与椭圆交于点P(P异于点B),过点B且垂直于BP的直线与椭圆交于点Q(Q异于点B),直线PQ与y轴交于点M,|PM|=λ|MQ|.(i)求λ的值.(ii)若|PM|sin∠BQP=,求椭圆的方程.【分析】(Ⅰ)通过e=、a2=b2+c2、B(0,b),计算即得结论;(Ⅱ)设点P(xP,yP),Q(xQ,yQ),M(xM,yM).(i)通过(I),联立直线BF与椭圆方程,利用韦达定理可得xP=﹣,利用BQ⊥BP,联立直线BQ与椭圆方程,通过韦达定理得xQ=,计算即得结论;(ii)通过=可得|PQ|=|PM|,利用|PM|sin∠BQP=,可得|BP|=,通过yP=2xP+2c=﹣c计算可得c=1,进而可得结论.【解答】解:(Ⅰ)设左焦点F(﹣c,0),∵离心率e=,a2=b2+c2,∴a=c,b=2c,又∵B(0,b),∴直线BF的斜率k===2;(Ⅱ)设点P(xP,yP),Q(xQ,yQ),M(xM,yM).(i)由(I)知a=c,b=2c,kBF=2,∴椭圆方程为+=1,直线BF方程为y=2x+2c,联立直线BF与椭圆方程,消去y并整理得:3x2+5cx=0,解得xP=﹣,∵BQ⊥BP,∴直线BQ的方程为:y=﹣x+2c,联立直线BQ与椭圆方程,消去y并整理得:21x2﹣40cx=0,解得xQ=,又∵λ=,及xM=0,∴λ===;(ii)∵=,∴==,即|PQ|=|PM|,又∵|PM|sin∠BQP=,∴|BP|=|PQ|sin∠BQP=|PM|sin∠BQP=,又∵yP=2xP+2c=﹣c,∴|BP|==c,因此=c,即c=1,∴椭圆的方程为:+=1.【点评】本题考查椭圆的标准方程与几何性质、直线的方程、两条直线垂直等基础知识,考查用代数方法研究圆锥曲线的性质,考查运算求解能力以及用方程思想和化归思想解决问题的能力,属于中档题.20.(14分)已知函数f(x)=4x﹣x4,x∈R.(Ⅰ)求f(x)的单调区间;(Ⅱ)设曲线y=f(x)与x轴正半轴的交点为P,曲线在点P处的切线方程为y=g(x),求证:对于任意的实数x,都有f(x)≤g(x);(Ⅲ)若方程f(x)=a(a为实数)有两个实数根x1,x2,且x1<x2,求证:x2﹣x1≤﹣+4.【分析】(Ⅰ)求出原函数的导函数,得到导函数的零点,由零点对定义域分段,根据导函数在各区间段内的符号得到原函数的单调性;(Ⅱ)设出点p的坐标,利用导数求出切线方程g(x)=f′(x0)(x﹣x0),构造辅助函数F(x)=f(x)﹣g(x),利用导数得到对于任意实数x,有F(x)≤F(x0)=0,即对任意实数x,都有f(x)≤g(x);(Ⅲ)由(Ⅱ)知,,求出方程g(x)=a的根,由g (x)在(﹣∞,+∞)上单调递减,得到x2≤x2′.同理得到x1′≤x1,则可证得.【解答】(Ⅰ)解:由f(x)=4x﹣x4,可得f′(x)=4﹣4x3.当f′(x)>0,即x<1时,函数f(x)单调递增;当f′(x)<0,即x>1时,函数f(x)单调递减.∴f(x)的单调递增区间为(﹣∞,1),单调递减区间为(1,+∞).(Ⅱ)证明:设点p的坐标为(x0,0),则,f′(x0)=﹣12,曲线y=f(x)在点P处的切线方程为y=f′(x0)(x﹣x0),即g(x)=f′(x0)(x﹣x0),令函数F(x)=f(x)﹣g(x),即F(x)=f(x)﹣f′(x0)(x﹣x0),则F′(x)=f′(x)﹣f′(x0).∵F′(x0)=0,∴当x∈(﹣∞,x0)时,F′(x)>0;当x∈(x0,+∞)时,F′(x)<0,∴F(x)在(﹣∞,x0)上单调递增,在(x0,+∞)上单调递减,∴对于任意实数x,F(x)≤F(x0)=0,即对任意实数x,都有f(x)≤g(x);(Ⅲ)证明:由(Ⅱ)知,,设方程g(x)=a的根为x2′,可得.∵g(x)在(﹣∞,+∞)上单调递减,又由(Ⅱ)知g(x2)≥f(x2)=a=g(x2′),因此x2≤x2′.类似地,设曲线y=f(x)在原点处的切线方程为y=h(x),可得h(x)=4x,对于任意的x∈(﹣∞,+∞),有f(x)﹣h(x)=﹣x4≤0,即f(x)≤h(x).设方程h(x)=a的根为x1′,可得,∵h(x)=4x在(﹣∞,+∞)上单调递增,且h(x1′)=a=f(x1)≤h(x1),因此x1′≤x1,由此可得.【点评】本小题主要考查导数的运算、导数的几何意义、利用导数研究函数的性质等基础知识.考查函数思想、化归思想,考查综合分析问题和解决问题的能力,是压轴题.高考理科数学试题及答案 (考试时间:120分钟试卷满分:150分)一、选择题:本题共12小题,每小题5分,共60分。
2021届全国天一大联考新高考模拟试卷(十一)数学试卷(文科)★祝考试顺利★注意事项:1、考试范围:高考范围。
2、试题卷启封下发后,如果试题卷有缺页、漏印、重印、损坏或者个别字句印刷模糊不清等情况,应当立马报告监考老师,否则一切后果自负。
3、答题卡启封下发后,如果发现答题卡上出现字迹模糊、行列歪斜或缺印等现象,应当马上报告监考老师,否则一切后果自负。
4、答题前,请先将自己的姓名、准考证号用0.5毫米黑色签字笔填写在试题卷和答题卡上的相应位置,并将准考证号条形码粘贴在答题卡上的指定位置。
用2B 铅笔将答题卡上试卷类型A 后的方框涂黑。
5、选择题的作答:每个小题选出答案后,用2B 铅笔把答题卡上对应题目的答案标号涂黑。
写在试题卷、草稿纸和答题卡上的非选择题答题区域的答案一律无效。
6、填空题和解答题的作答:用签字笔直接答在答题卡上对应的答题区域内。
写在试题卷、草稿纸和答题卡上的非答题区域的答案一律无效。
如需改动,先划掉原来的答案,然后再写上新答案;不准使用铅笔和涂改液。
不按以上要求作答无效。
7、选考题的作答:先把所选题目的题号在答题卡上指定的位置用2B 铅笔涂黑。
答案用0.5毫米黑色签字笔写在答题卡上对应的答题区域内,写在试题卷、草稿纸和答题卡上的非选修题答题区域的答案一律无效。
8、保持答题卡卡面清洁,不折叠,不破损,不得使用涂改液、胶带纸、修正带等。
9、考试结束后,请将本试题卷、答题卡、草稿纸一并依序排列上交。
第Ⅰ卷(选择题,共60分)一、选择题:本大题共12小题,每小题5分,满分60分.在每小题给出的四个选项中,只有一项是符合题目要求的.1.已知集合{}|42M x x =-<<,{}2|60N x x x =--<,则M N ⋃=( )A. {}|43x x -<<B. {}|42x x -<<-C. {}|22x x -<<D. {}|23x x <<【答案】A 【解析】 【分析】化简集合N ,进而求并集即可.【详解】由题意可得{}|42M x x =-<<,{}|23N x x =-<<, 所以{}|43MN x x =-<<,故选A.【点睛】本题考查集合的并集运算,考查一元二次不等式的解法,属于基础题.2.已知角α的终边经过点(-,则sinα的值为()A.B.5- C.12- D. -2【答案】B【解析】【分析】求出(-到原点的距离,进而可求sinα的值.【详解】解:由题意知,(-到原点的距离5 r==,所以sin5rα==-.故选:B.【点睛】本题考查了已知角的三角函数值的求解.当已知角α终边上一点的坐标为(),x y,则代入公式sincostanyrxryxααα⎧=⎪⎪⎪=⎨⎪⎪=⎪⎩,其中r=.3.已知1e,2e为单位向量,且满足()12220e e e+⋅=,则12,e e=()A. 30B. 60︒C. 120︒D. 150︒【答案】C【解析】【分析】根据平面向量的数量积定义及乘法运算,即可求得12,e e【详解】因为()12220e e e+⋅=则212220e ee⋅+=由向量数量积的定义可得2121222cos,0e e e e e⋅+=1e ,2e 为单位向量则122cos ,10e e += 即121cos ,2e e =-由向量夹角的取值范围为o 0180⎡⎤⎣⎦,可得12,120e e = 故选:C【点睛】本题考查了向量数量积的定义,向量的夹角求法,属于基础题.4.《周髀算经》是我国古代的天文学和数学著作.其中有一个问题大意为:一年有二十四个节气,每个节气晷长损益相同(即太阳照射物体影子的长度增加和减少大小相同).二十四个节气及晷长变化如图所示,若冬至晷长一丈三尺五寸,夏至晷长一尺五寸(注:一丈等于十尺,一尺等于十寸),则夏至后的那个节气(小暑)晷长为( )A. 五寸B. 二尺五寸C. 三尺五寸D. 四尺五寸【答案】B 【解析】 【分析】由题意知,从夏至到冬至,冕长组成了等差数列{}n a ,其中115a =,13135a =,结合等差数列通项公式,可求公差10d =,进而可求小暑晷长.【详解】解:设从夏至到冬至,每个节气冕长为n a ,即夏至时冕长为115a =,冬至时冕长为13135a =, 由每个节气晷长损益相同可知,1n n a a +-=常数,所以{}n a 为等差数列,设公差为d , 由题意知,131121512135a a d d =+=+=,解得10d =,则21151025a a d =+=+=.故选:B.【点睛】本题考查了等差数列的定义,考查了等差数列的通项公式的求解及应用.本题的关键是将各个节气的冕长抽象成等差数列. 5.将函数sin 6y x π⎛⎫=-⎪⎝⎭的图像上所有的点向右平移4π个单位长度,再把图形上各点的横坐标扩大到原来的2倍(纵坐标不变),则所得图像的解析式为( ) A. 5sin 212x y π⎛⎫=-⎪⎝⎭B. 5sin 212x y π⎛⎫=+⎪⎝⎭ C. 5sin 212y x π⎛⎫=- ⎪⎝⎭D. 5sin 224x y π⎛⎫=-⎪⎝⎭【答案】A 【解析】 【分析】根据三角函数平移伸缩的变换求解即可.【详解】将函数sin 6y x π⎛⎫=- ⎪⎝⎭的图像上所有的点向右平移4π个单位长度得到5sin sin 4612y x x πππ⎛⎫⎛⎫=--=- ⎪ ⎪⎝⎭⎝⎭.再把图形上各点的横坐标扩大到原来的2倍(纵坐标不变)则变成15sin 212y x π⎛⎫=- ⎪⎝⎭.故选:A【点睛】本题主要考查了三角函数图像的变换,属于基础题型.6.已知函数2()2cos f x x x =+,()f x '是()f x 的导函数,则函数()y f x '=的图像大致为()A. B. C. D.【答案】C 【解析】 【分析】因为()22sin 2(sin )f x x x x x '=-=-,显然()f x '是奇函数,求导易得()f x '在R 上单调递增. 【详解】因为()22sin 2(sin )f x x x x x '=-=-,显然()f x '是奇函数, 又()22cos 0f x x ''=-≥,所以()f x '在R 上单调递增.只有C 符合, 故选C .【点睛】本题考查了函数的奇偶性以及利用导数判断函数的单调性,属中档题. 7.等比数列{}n a 中,10a >,则“13a a <”是“34a a <”的( ) A. 充分不必要条件 B. 必要不充分条件 C. 充要条件 D. 既不充分也不必要条件【答案】B 【解析】 【分析】根据等比数列的通项公式,结合充分必要条件的判断即可得解. 【详解】因为{}n a 为等比数列,10a >若13a a <,即211a a q <,可得21q <解得1q <或1q <-.则233141,a a q a a q ==当1q <时, 34a a <;当1q <-时, 34a a >,所以“13a a <”是“34a a <”非充分条件若34a a <,则233141,a a q a a q ==,即2311a q a q <,解得1q < 故2131a a a q <=,所以“13a a <”是“34a a <”的必要条件综上可知, “13a a <”是“34a a <”的必要不充分条件 故选:B【点睛】本题考查了等比数列的通项公式的简单应用,充分必要条件的判断,属于基础题. 8.若,m n 是两条不同的直线,,αβ是两个不同的平面,则下列命题正确的是( )A. 若,,m n αβαβ⊥⊥⊥,则//m nB. 若//,,m n αβαβ⊥⊥,则m n ⊥C. 若//,//,//m n αβαβ,则//m nD. 若,//,//m n αβαβ⊥,则m n ⊥【答案】D 【解析】利用空间线面、面面位置关系的判定定理和性质定理,逐项判定,即可求解. 【详解】对于A 中,若,,m n αβαβ⊥⊥⊥,则m n ⊥,所以不正确;对于B 中,若//,,m n αβαβ⊥⊥,则m 与n 的关系不能确定,所以不正确; 对于C 中,若//,//,//m n αβαβ,则m 与n 的关系不能确定,所以不正确;对于D 中,若,//m βαα⊥,可得m β⊥,又由//n β,可得m n ⊥,所以是正确的.故选:D .【点睛】本题主要考查了空间线面、面面位置关系的判定定理与性质定理,其中解答中熟记线面位置关系的判定定理与性质定理是解答的关键,着重考查了推理与论证能力,属于中档试题.9.已知2a =112b⎛⎫> ⎪⎝⎭,12log 1c >,则( )A. a b c >>B. c a b >>C. a c b >>D. c b a >>【答案】C 【解析】 【分析】根据指数与对数的转化,结合指数与对数的图像与性质,即可比较大小. 【详解】因为2a =由指数与对数的转化可知,2log a =根据对数函数的图像与性质可得221log log 2a =>=因为112b⎛⎫> ⎪⎝⎭,由指数函数的图像可知0b < 因为12log 1c >,由对数函数的图像与性质可知102c <<综上可知, a c b>> 故选:C【点睛】本题考查了指数式与对数式的转化,指数函数与对数函数的图像与性质,属于基础题.10.已知1F ,2F 为双曲线2222:1(0,0)x y C a b a b-=>>的左、右焦点,直线y =与双曲线C 的一个交点P 在以线段12F F 为直径的圆上,则双曲线C 的离心率为( ) A. 4+ B. 5+C.1D.2【解析】 【分析】先由题意得到12PF PF ⊥,不妨令P 在第一象限内,再得到2POF ∆为等边三角形,求出2PF c =,1PF =,结合双曲线的定义,即可求出结果.【详解】因为直线y =与双曲线C 的一个交点P 在以线段12F F 为直径的圆上, 所以12PF PF ⊥,不妨令P 在第一象限内, 又O 为12F F 中点,12(,0),(,0)F c F c -,所以1212F O c F P ==,因为直线y =的倾斜角为260POF ∠=, 所以2POF ∆为等边三角形,所以2PF c =,因此,在12Rt PF F ∆中,1PF ==,由双曲线的定义可得:212PF PF c a -=-=,所以双曲线C 的离心率为1c e a ===. 故选C【点睛】本题主要考查求双曲线的离心率,熟记双曲线的简单性质以及双曲线的定义即可,属于常考题型. 11.已知a ,b 为正实数,直线2y x a =-+与曲线1x b y e +=-相切,则11a b+的最小值为( ) A. 1 B. 2 C. 4D. 8【答案】B 【解析】 【分析】直线与曲线相切,则切点在直线与曲线上,且切点处的导数相等,求出,a b 的关系,再利用基本不等式求所求分式的最值.【详解】由2y x a =-+得1y'=;由1x b y e +=-得'x by e +=;因为2y x a =-+与曲线1x by e+=-相切,令1x b e +=,则可得x b =-,代入1x b y e +=-得0y =; 所以切点为(,0)b -.则20b a --+=,所以2a b +=.故1111()()22a b a b a b +=++=1222b a a b++≥ 当且仅当22b a a b=,即1a b ==时等号成立,此时取得最小值2.选B. 【点睛】本题主要考查导数的意义及基本不等式的综合应用.关于直线与曲线相切,求未知参数的问题,一般有以下几步:1、分别求直线与曲线的导函数;2、令两导数相等,求切点横坐标;3、代入两方程求参数关系或值.12.设函数2e 1,0(),0x x f x x ax x ⎧-=⎨->⎩,若关于x 的方程()0f x m +=对任意的(0,1)m ∈有三个不相等的实数根,则a 的取值范围是() A. (,2]-∞- B. [2,)+∞C. [2,2]-D. (,2][2,)-∞-+∞【答案】B 【解析】 【分析】将问题转化为当0x >时,2x ax m -=-恒有两个正根,再根据二次方程实根分布列式可解得. 【详解】因为关于x 的方程()0f x m +=对任意的(0,1)m ∈有三个不相等的实数根 所以当0x 时,(0,1)m ∀∈ ,1x e m -=-有一根,当0x >时,2x ax m -=-恒有两个正根,由二次函数的图象可知20240aa m ⎧>⎪⎨⎪=->⎩ 对任意的(0,1)m ∈恒成立,所以24a ≥ 解得2a .故选B .【点睛】本题考查了函数与方程,不等式恒成立,属中档题.第Ⅱ卷(非选择题,共90分)二、填空题:本大题共4小题,每小题5分,满分20分.13.设,x y 满足约束条件70310350x y x y x y +-≤⎧⎪-+≤⎨⎪--≥⎩, 则2z x y =-的最大值为______.【答案】8 【解析】【详解】作可行域,则直线2z x y =-过点B(5,2)时z 取最大值8.14.已知向量()2,sin a α=,()1,cos b α=,且//a b ,则()sin cos 2παπα⎛⎫-+= ⎪⎝⎭______. 【答案】45【解析】 【分析】由向量平行可得2cos sin αα=,结合221sin cos αα=+可得24sin 5α=,结合诱导公式化简得()2sin cos sin 2παπαα⎛⎫-+= ⎪⎝⎭即可得解.【详解】向量()2,sin a α=,()1,cos b α=,且//a b ,所以2cos sin αα=.()2sin cos (sin )(sin )sin 2παπαααα⎛⎫-+=--= ⎪⎝⎭.由22222sin 5sin 1sin cos sin 44ααααα=+=+=,所以24sin 5α=. 故答案为:45. 【点睛】本题主要考查了向量共线的向量表示及同角三角函数关系,属于基础题.15.过抛物线2:4C y x =的焦点F 作直线l 交抛物线C 于A B 、两点,若A 到抛物线的准线的距离为4,则AB = .【答案】163【解析】试题分析:∵24y x =,∴抛物线的准线为1x =-,(1,0)F ,又A 到抛物线准线的距离为4,∴14A x +=,∴3A x =,∵214A B p x x ==,∴13B x =,∴1163233A B AB x x p =++=++=.考点:1.直线与抛物线的位置关系;2.抛物线的定义及性质.16.已知边长为23的空间四边形ABCD 的顶点都在同一个球面上,若3BAD π∠=,平面ABD ⊥平面CBD ,则该球的球面面积为___________.【答案】20π 【解析】 【分析】根据题意,画出空间几何图形.由几何关系,找出球心.由勾股定理解方程即可求得球的半径,进而得球的面积. 【详解】根据题意, G 为底面等边三角形CBD 的重心,作OG ⊥底面CBD .作AE BD ⊥交BD 于E ,过O 作OF AE ⊥交AE 于F .连接,AO OC 画出空间几何图形如下图所示:因为等边三角形CBD 与等边三角形ABD 的边长为23且3BAD π∠=所以23sin33AE CE π===G 为底面等边三角形CBD 的重心,则113133EG CE ==⨯=,2GC = 面ABD ⊥平面CBD因而四边形OGEF 为矩形,设OG h =,则EF h =,球的半径为rRt AFO ∆和Rt OGC ∆中()222222312h r h r⎧-+=⎪⎨+=⎪⎩解得15h r =⎧⎪⎨=⎪⎩ 所以球的表面积为2244520S r πππ==⨯=故答案为: 20π【点睛】本题考查了空间几何体的结构特征,三棱锥外接球的半径与表面积求法,属于中档题.三、解答题:本大题共6小题,共70分.解答时应写出必要的文字说明、证明过程或演算步骤.17.已知直线l :20ax y a ++=,1l :10x ay a ++-=,圆C :228120x y y +-+=. (1)当a 为何值时,直线l 与1l 平行;(2)当直线l 与圆C 相交于A ,B两点,且AB =l 的方程. 【答案】(1)1a =;(2)7140x y -+=或20x y -+=. 【解析】 【分析】(1)当0a ≠时,由直线平行,可得两直线斜率相等,即可求出1a =或1a =-,将a 的值带回直线方程进行验证,可舍去1a =-;当0a =,求出两直线方程进行验证是否平行,进而可求出a 的值.(2)将已知圆的方程整理成标准方程形式,得到圆的半径和圆心,求出圆心到直线的距离,由勾股定理可知AB ==a 的方程,从而可求出a 的值,进而可求直线的方程. 【详解】解:(1)当0a ≠ 时,直线l 的斜率k a =-,1l 的斜率11k a=-,由两直线平行可知, 1a a-=-,解得1a =或1a =-.当1a =时,l :20x y ++=,1l :0x y +=,符合题意, 当1a =-时,l :20x y -+-=,1l :20x y -+=,此时两直线重合,不符合题意. 当0a =时,l :0y =,1l :10x +=,两直线垂直,不符合题意; 综上所述:1a =.(2)由题意知,C :()2244x y +-=,则圆的半径2r ,圆心为()0,4C ,则圆心到直线l的距离d =.由AB ==()2242214a a +-+=整理得,2870a a ++= ,解得7a =-或1a =-. 故所求直线方程为7140x y -+=或20x y -+=.【点睛】本题考查了两直线的位置关系,考查了直线与圆相交的弦长问题.本题的易错点,一是未讨论a 的值,直接令斜率相等;二是求出a 的值未带回 直线方程进行验证.涉及到直线和圆相交的弦长问题时,通常是结合勾股定理表示弦长.18.已知等差数列{}n a 中,n S 为其前n 项和,若611a =,220S =.(1)求通项n a ;(2)设{}n n b a -是首项为1,公比为2的等比数列,求数列{}n b 的通项公式及其前n 项和n T . 【答案】(1)232n a =n -;(2)12322n n b n -=-+,22221n n n -+-【解析】 【分析】(1)设公差为d ,由等差数列的通项公式和前n 项和公式,可得6122151122212202a a d S a d =+=⎧⎪⎨⨯=+=⎪⎩,从而可求出首项和公差,进而可求出通项公式.(2)由题意知12n n n b a -=+,结合分组求和法,可求出n T .【详解】(1)解:设公差为d ,由题意可得6122151122212202a a d S a d =+=⎧⎪⎨⨯=+=⎪⎩,解得1212a d =⎧⎨=-⎩. 所以232n a =n -.(2)由题意12n n n b a --=,故12n n n b a -=+.由(1)知,()211222n n n S a n d n n -=+=-, 因此1121212......12 (2)12nn n n n n T b b b a a a S --=++=+++++++=+- 22221n n n =-+-.【点睛】本题考查了等差数列的通项公式,考查了等差数列的前n 项和,考查了等比数列的前n 项和,考查了分组求和.本题第一问的关键是用基本量即首项和公差,表示出已知622,a S .对于数列求和问题,常见的方法有公式法、分组求和法、错位相减法、裂项求和法.19.已知ABC ∆是斜三角形,内角A B C 、、所对的边的长分别为a b c 、、.己知.(I )求角C ;(II )若c =21,且sin sin()5sin 2,C B A A +-=求ABC ∆的面积. 【答案】(I );(II ).【解析】【详解】试题分析:(I )根据正弦定理算出 csin A asinC =,与题中等式比较可得,结合为三角形内角,可得的大小;(II )余弦定理2222cos c a b ab C =+-的式子,列式解出5,1a b ==,再利用三角形的面积公式加以计算,即可得到ABC ∆的面积. 试题解析:(I )根据正弦定理a csinA sinC=,可得 csin A asinC =, sinA 3cos ,sin 3cos c a C a C a C =∴=,可得sin 3cos C C =,得3sinC tanC cosC ==,03C C ππ∈∴=(,),; (II )sin sin(B A)5sin 2A,C 3C π+-==sin sin()C A B ∴=+sin(A B)sin(B A)5sin 2A ∴++-=,2sin cosA 25sin cos B A A ∴=⨯为斜三角形,cos 0A ∴≠,sinB 5sinA ∴=,由正弦定理可知5b a =……(1) 由余弦定理2222cos c a b ab C =+-2212122a b ab…..(2) 由(1)(2)解得1,5a b ==11353sin 152224ABCSab C ∴==⨯⨯⨯=考点:1.正弦定理的运用;2.余弦定理的运用;3.面积公式的运用.【方法点睛】本题主要考查的是正弦定理,余弦定理和面积公式的运用,三角函数的化简和求值,运算能力,属于中档题,此类题目的解题方法主要是在对正弦定理与余弦定理的灵活运用,对正弦定理进行变形可得,从而求出的大小,通过三角函数之间的转化加上正弦定理可求出5b a =,再利用余弦定理可求出5,1a b ==,从而求出ABC ∆的面积,因此此类题目灵活运用正余弦定理是解决问题的关键. 20.如图,在几何体BACDEF 中,四边形CDEF 是菱形,//AB CD ,平面ADF ⊥平面CDEF ,AD AF =.(1)求证:AC DF ⊥;(2)若2FA FC FD ===,1AB =,求三棱锥A CDF -和三棱锥E BDF -的体积. 【答案】(1)证明见解析;(2)1,1 【解析】 【分析】(1)连接CE ,与DF 交于点O ,连接AO 易知CE DF ⊥,AO DF ⊥,由线面垂直的判定定理可得DF ⊥平面AOC ,从而可证明AC DF ⊥;(2)由面面垂直的性质可知,AO ⊥平面CDEF ,即AO 为三棱锥A CDF -的高,结合菱形、等边三角形的性质,可求出3CDFS=,从而可求三棱锥A CDF -的体积;由//AB 平面CDEF ,可知点B 到平面CDEF 的距离也为3AO =,由菱形的性质可知C FEDFD SS=,从而可求出三棱锥E BDF -的体积.【详解】(1)证明:如图,连接CE ,与DF 交于点O ,则O 为DF 的中点,连接AO , 由四边形CDEF 是菱形可得CE DF ⊥,因为AD AF =,所以AO DF ⊥, 因为CEAO O =,所以DF ⊥平面AOC ,因为AC ⊂平面AOC ,所以AC DF ⊥.(2)因为平面ADF ⊥平面CDEF ,平面ADF 平面CDEF FD =,且AO DF ⊥,所以AO ⊥平面CDEF ,即AO 为三棱锥A CDF -的高. 由2FA FC FD ===,四边形CDEF 是菱形,且AD AF =,可得ADF 与CDF 都是边长为2的等边三角形,所以2sin 603AO =⨯︒=因为CDF 的面积2323CDFS=⨯=1133133A CDFFCDV S AO -=⋅==. 因为//AB CD ,CD ⊂ 平面CDEF ,AB ⊄ 平面CDEF ,所以//AB 平面CDEF , 故点B 到平面CDEF 的距离也为3AO =CDEF 是菱形得C FEDFD S S=因此1133133E BDF B DEF EDFV V S AO --==⋅==. 【点睛】本题考查了线线垂直的证明,考查了线面垂直的判定,考查了锥体体积的求解,考查了面面垂直的性质.证明线线垂直时,可借助勾股定理、菱形的对角线、矩形的临边、线面垂直的性质证明.求三棱锥的体积时,注意选择合适的底面和高,会使得求解较为简单.21.已知椭圆C :()222210x y a b a b +=>>的离心率2e =,左、右焦点分别为1F 、2F ,抛物线2y =的焦点F 恰好是该椭圆的一个顶点. (1)求椭圆C 的方程;(2)已知直线l :y kx m =+与圆M :2223x y +=相切,且直线l 与椭圆相交于A 、B 两点,求OA OB ⋅的值.【答案】(1)2212x y +=;(2)0【解析】 【分析】(1)由抛物线2y =的焦点)F是该椭圆的一个顶点,可得a =e =,可求1c =,进而可求出2221b a c =-=,从而可求椭圆的方程. (2)由直线和圆相切,可知圆心到直线的距离等于半径,即()22213m k =+,设()11,A x y ,()22,B x y ,联立直线和圆的方程,整理后由韦达定理可知,21222221m x x k -=+,22122221m k y y k -=+,从而可求12120OA OB x x y y ⋅=+=.【详解】解:(1)因为椭圆C的离心率e =,所以c a =,即a =.因为抛物线2y =的焦点)F恰好是该椭圆的一个顶点,所以a =所以1c ==,则222211b a c =-=-=,所以椭圆C 的方程为2212x y +=. (2)由圆的方程可知,圆心为()0,0M,半径为3r =;由于直线l 与圆M 相切, 故圆心到直线l的距离3d ==,整理得()22213m k =+,则联立直线和椭圆的方程,即2212y kx m x y =+⎧⎪⎨+=⎪⎩,消去y ,得()222214220k x kmx m +++-=,设()11,A x y ,()22,B x y ,则122421km x x k -+=+,21222221m x x k -=+,则 ()()()2212121212y y kx m kx m k x x km x x m =++=+++222221m k k -=+.所以()2222121222212232202121k k m k OA OB x x y y k k +----⋅=+===++. 【点睛】本题考查了抛物线焦点的求解,考查了椭圆标准方程的求解,考查了直线和圆的位置关系,考查了直线和椭圆的位置关系.本题的难点是第二问中的计算化简.本题的关键是由直线和圆相切得两个参数的关系.22.设0a >,函数()222ln f x x ax a x =--,()2ln x xg x x+=. (1)当12a =时,求函数()f x 的单调区间; (2)求函数()g x 的极值;(3)若函数()f x 在区间()0,∞+上有唯一零点,试求a 的值.【答案】(1)()f x 的减区间为()0,1,增区间为()1,+∞;(2)()g x 有极大值()11g =,无极小值;(3)12a =. 【解析】 【分析】(1)求出()1'210f x x x =--=,解得1x =或12-,则可探究当01x <<时,当1x >时,()(),f x f x ' 的变化,从而求出单调区间; (2)求出()312ln 'x xg x x --=,令()()12ln 0h x x x x =-->,结合导数探究()h x 在()0,∞+ 的单调性,结合()10h =,可探究出()(),g x g x '随x 的变化情况,从而可求极值; (3)令222ln 0x ax a x --=,可得21ln 2x x a x+=在()0,∞+只有一个解,借助第二问可知()1112g a ==,从而可求出a 的值. 【详解】解:(1)当12a =时,()2ln f x x x x =--.易知()f x 定义域为()0,∞+,令()()()2211121'210x x x x f x x x x x+---=--===,解得1x =或12-,当01x <<时,()'0f x <,则()f x 递减;当1x >时,()'0f x >,则()f x 递增, 因此,()f x 的减区间为()0,1,增区间为()1,+∞. (2)()g x 的定义域为()0,∞+,则()312ln 'x xg x x--=,令()()12ln 0h x x x x =-->, 则()2'10h x x=--<,故()h x 在()0,∞+单调递减,又知()10h =, 当01x <<时,()0h x >,即()'0g x >;当1x >时,()0h x <,即()'0g x < 因此()g x 在()0,1单调递增,在()1,+∞单调递减. 即当1x = 时, ()g x 有极大值()11g =,无极小值. (3)令222ln 0x ax a x --=,整理得:21ln 2x x a x +=在()0,∞+只有一个解, 即12y a=的图像与()2ln x xg x x+=的图像在()0,∞+只有一个交点,由(2)知, ()g x 在()0,1单调递增,在()1,+∞单调递减,且()g x 有极大值()11g =,所以,()1112g a ==,解得12a =. 【点睛】本题考查了运用导数求函数的单调性,考查了运用导数求解函数的极值,考查了方程的根与函数的零点.本题的难点在于第二问,需要二次求导来确定导数为零的解.本题的易错点是求极值时,混淆了极值和极值点的概念,或漏写了极小值.。
数学(文)模拟试卷1.复数 z2i ( i 为虚数单位)在复平面内对应的点所在象限为() i 1第二象限B.第一象限C.第四象限D.第三象限2.已知命题 p : x 0 ,总有 ( x1)e x 1,则 p 为()A . x 0 0 ,使得 (x 0 1)e x 01B . x 0 ,总有 ( x x1 1)e C . x 00 ,使得 (x 0 1)e x 01D . x0 ,总有 ( x 1)e x 13.已知集合 A 1,0,1,2,3 , Bx x 2 2x0 , 则 A I B()A . {3}=B.{2,3}C.{ - 1,3}D.{1,2,3}4.如下图所示是一个几何体的三视图,则这个几何体外接球的表面积为( )A . 8πB . 16π C. 32 π D . 64π5.秦九韶算法是南宋时期数学家秦九韶提出的一种多项式简化算法,即使在现代,它依然是利用计算机解决多项式问题的最优算法.如图所示的程序框图给出了利用秦九韶算法求多项式值的一个实例,若输入 n,x 的值分别为 3,4 则输出 v 的值为( )A . 399B . 100C . 25D . 66.要得到函数 f (x)2sin x cos x 的图象,只需将函数 g (x)cos 2 x sin 2 x 的图象( )A .向左平移π个单位B .向右平移π个单位 C .向左平移π个单位 D .向右平移 π个单位2244第 1 页,总 9 页x y 1 07.若变量 x , y 满足约束条件 2 x y1 0 ,则目标函数 z2 x y 的最小值为()x y1 0A . 4B .- 1C. - 2 D .- 38.在正方形内任取一点,则该点在此正方形的内切圆外的概率为()4 B .C .3 . 2A .4 D 4449.三棱锥 P ABC 中, PA 面 ABC , ACBC , AC BC1, PA3 ,则该三棱锥外接球的表面积为A . 5B .2C . 20D .7210.已知是等比数列 ,若,数列 的前 项和为 ,则为 ( )A .B .C .D .log 2 x, x 0, 11.已知函数 f (x)( 1 )x, x则 f ( f ( 2)) 等于()0,2A . 2B .- 21D .- 1C .22412.设双曲线x y1( a 0,b 0) 的左、右焦点分别为 F 1 、F 2,离心率为 e ,过 F 2 的直线与双曲线的2b 2a右支交于 A 、 B 两点,若 △F 1AB 是以 A 为直角顶点的等腰直角三角形,则2()e A . 3 2 2 B . 5 2 2 C . 1 2 2 D . 4 2 2 二.填空题13.已知平面向量 a , b 的夹角为2,且 | a | 1 , | b | 2 ,若 ( a b) (a 2b) ,则_____.314.曲线 y=2ln x 在点 (1,0)处的切线方程为 __________.x 22315.已知椭圆y1(a b 0) 的左、右焦点为 F 1,F 2,离心率为 ,过 F 2 的直线 l 交椭圆 C 于 A , C :2b 23aB 两点.若 AF 1 B 的周长为 4 3 ,则椭圆C 的标准方程为.16.以 A 表示值域为R 的函数组成的集合,B 表示具有如下性质的函数( x) 组成的集合:对于函数(x) ,存在一个正数M ,使得函数(x) 的值域包含于区间[ M , M ] 。
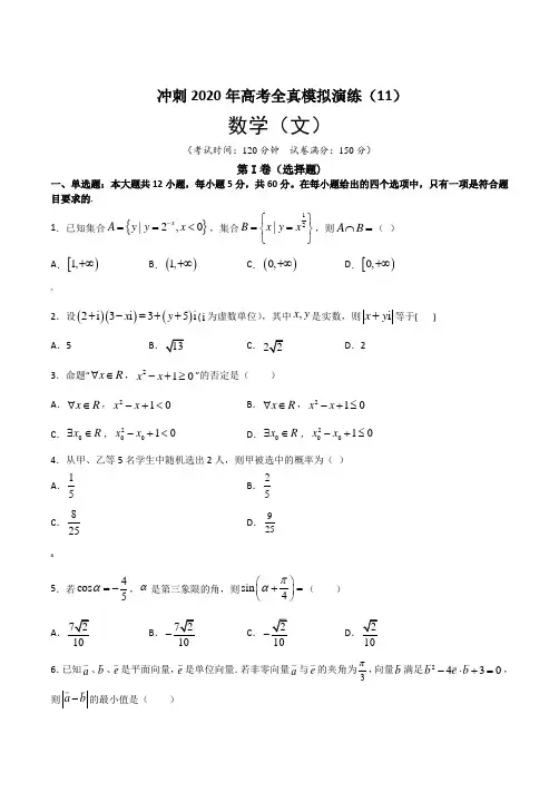
冲刺2020年高考全真模拟演练(11)数学(文)(考试时间:120分钟 试卷满分:150分)第I 卷(选择题)一、单选题:本大题共12小题,每小题5分,共60分。
在每小题给出的四个选项中,只有一项是符合题目要求的.1.已知集合{}|2,0xA y y x -==<,集合12|B x y x ⎧⎫==⎨⎬⎩⎭,则A B ⋂=( )A .[)1,+∞B .()1,+∞C .()0,+∞D .[)0,+∞ ^2.设()()()2i 3i 35i x y +-=++(i 为虚数单位),其中,x y 是实数,则i x y +等于( )A .5B C .D .23.命题“x R ∀∈,210x x -+≥”的否定是( ) A .x R ∀∈,210x x -+<B .x R ∀∈,210x x -+≤C .0x R ∃∈,20010x x -+<D .0x R ∃∈,20010x x -+≤4.从甲、乙等5名学生中随机选出2人,则甲被选中的概率为( ) A .15B .25C .825D .925&5.若4cos 5α=-,α是第三象限的角,则sin 4πα⎛⎫+= ⎪⎝⎭( )A B .10-C .10-D 6.已知a 、b 、e 是平面向量,e 是单位向量.若非零向量a 与e 的夹角为3π,向量b 满足2430b e b -⋅+=,则a b -的最小值是( )A .31-B .31+C .2D .23-7.公差不为零的等差数列{}n a 中,12513a a a ++=,且1a 、2a 、5a 成等比数列,则数列{}n a 的公差等于( ). A .1 B .2 C .3 D .48.设11333124log ,log ,log ,233a b c ===则a ,b ,c 的大小关系是( ) A .a b c <<B .c b a <<C .b a c <<D .b c a <<、9.函数()ln f x x x =的大致图象是( )A .B .C .D .10.一个几何体的三视图如图所示,则该几何体的外接球的表面积为( )A .92πB .9πC .12πD .16π11.已知F 是椭圆C :22132x y +=的右焦点,P 为椭圆C 上一点,(1,2)A ,则PA PF +的最大值为( )A .4B .C .4+D .。
100所名校高考模拟金典卷(十一)文科数学本试卷分第Ⅰ卷(选择题)和第Ⅱ卷(非选择题)两部分.参考公式:样本数据12,,,n x x x 的标准差s =其中x 为样本平均数 柱体体积公式V Sh = 其中S 为底面面积,h 为高锥体体积公式13V Sh =其中S 为底面面积,h 为高球的表面积,体积公式24R S π=,334R V π=其中R 为球的半径第Ⅰ卷(选择题共60分)一、选择题:本大题共12小题,每小题5分,共60分.在每小题给出的四个选项中,只有一项是符合题目要求的.1.设集合{}2|10M x x =-<,{}|120N x x =->,则()R M C N 等于A .{}|0x x >B .{}|11x x -<<C .{}|1x x >-D .{}|01x x <<2.复数21i z i+=-的实部等于A .32B .12C .12-D .32-3.已知向量1(1,0)e = ,2(0,1)e = ,122a e e =+ ,12b e e =- ,则cos ,a b <>等于A.5-B.5C.10- D104.在一个盒子里装有标号1、2、3的三个大小相同的球,现从盒子中每次取一球,记完号码后放回,则两次取出的球的号码之和为4的概率是A .13B .15C .16D .295.如图是一个简单几何体的三视图,正视图和侧视图都是矩形,俯视图是等边三角形,若其体积是a 的值为A.B .2CD .1正视图侧视图俯视图6.设n S 是等差数列{}n a 的前n 项和,7373()S a a =+,则54a a 的值为A .76B .56C .35D .157.设抛物线28y x =-的焦点为F ,准线为l ,P 为抛物线上一点,P A l ⊥,A 为垂足,如果直线A F||PF 等于A.B.C .8D .168.如果执行右面的程序框图,那么输出的a 等于A .23-B .52C .35D .259.“函数1()2xf x a x=--有两个零点”是“0a >”的A .充分不必要条件B .必要不充分条件C .充要条件D .既不充分也不必要条件10.已知函数()|ln |f x x =,若0a b <<,且()()f a f b =,则24a b +的最小值是A .5B .4C .3D .211.函数()sin()f x x ωϕ=+(其中||2πϕ<)的图像如图所示,为了得到()sin g x x ω=的图像,则只要将()f x 的图像A .向右平移6π个单位长度 B .向右平移12πC .向左平移6π个单位长度D .向左平移12π12.在三棱锥A B C D -中,6A B C D ==,5AC BD AD BC ====,则该三棱锥的外接球的表面积为A .33πB .43πC .40πD .20π第Ⅱ卷(非选择题共90分)注意事项:用钢笔或圆珠笔直接答在答题卡上.二、填空题:本大题共4小题,每小题5分,共20分,把答案填在题中横线上.13.已知变量,x y 满足约束条件250,1,1,x y x y +-≤⎧⎪≥⎨⎪≥⎩则1y z x =+的最大值是 .14.已知数列{}n a 为等比数列,且3542a a a =,设等差数列{}n b 的前n 项和为n S ,若44b a =,则7S = .15.某棉纺厂为了解一批棉花的质量,从中随机抽测100根棉花纤维的长度(棉花纤维的长度是棉花质量的一个重要指标),所得数据均在区间[]5,40中,其频率分布直方图如图所示,则由图中数据可知在抽测的100根中,棉花纤维的长度在[]20,30内的有 根. 16.过双曲线22221(0,0)x y a b ab-=>>的右焦点且与x 轴垂直的直线与双曲线相交于A 、B 两点,双曲线的左焦点为F ,若△A F B 为等边三角形,则双曲线的离心率为 .三、解答题:本大题共6小题,共70分,解答应写出文字说明,证明过程或演算步骤.17.(本小题满分12分)在△ABC 中,a 、b 、c 分别为内角A 、B 、C 的对边,且2c o s ()4s in s in 1B C B C -=-.(1)求A ; (2)若3a =,1sin23B =,求b .18.(本小题满分12分)如图所示,正方形11AA D D 与矩形A B C D 所在的平面互相垂直,22AB AD ==,点E 为A B 的中点. (1)求证:1BD ∥平面1A D E ; (2)求证:1D E ⊥1A D .19.(本小题满分12分)由世界自然基金会发起“地球1小时”活动,已发展成为最有影响力的环保活动之一,今年的参与人数再创新高.然而也有部分公众对该活动的实际效果与负面影响提出了疑问.对此,某新闻媒体进行了网上调查,所有参与调查的人中,持“支持”、“保留”和“不ABCDA 1D 1E)支持”态度的人数如下表所示:(1)在接受调查的人中,有8人给这项活动打出的分数如下:9.4,8.6,9.2,9.6,8.7,9.3,9.0,8.2.把这8个人打出的分数看作一个总体,从中任取一个数,求该数与总体平均数之差的绝对值超过0.6的概率;(2)在持“不支持”态度的人中,用分层抽样的方法抽取5人看成一个总体,从这5人中任意选取2人,求至少有1人是20岁以下的概率. 21.(本小题满分12分)已知函数(1)()ln ()a x f x x aR x-=-∈.(1)求()f x 的单调区间; (2)求证:不等式111ln 12xx -<-对一切(1,2)x ∈恒成立. 21.(本小题满分12分)已知椭圆2222:1(0)x y C a b ab+=>>经过点(2,1)A 2.过点(3,0)B 的直线与椭圆C 交于不同的两点M 、N . (1)求椭圆C 的方程;(2)求BM BN ⋅的取值范围.请考生在第22、23、24三题中任选一题作答,如果多做,则按所做的第一题记分.作答时请写清题号. 22.(本小题满分10分)【选修4-1:几何选讲】如图,直线A B 经过O 上的点C ,并且O A O B =,C A C B =,直线O B 交O 于点E 、D ,连结E C 、E D .(1)试判断直线A B 与O 的位置关系,并加以证明; (2)若1tan 2E =,O 的半径为3,求O A 的长.23.(本小题满分10分)【选修4-4:坐标系与参数方程】 已知曲线1C 的极坐标方程为sin()63πρθ-=,曲线2C 的参数方程为5cos ,45sin ,x y θθ=⎧⎨=+⎩(θ为参数).(1)求曲线1C 与2C 的直角坐标方程;(2)若曲线2C 上有一点P 到曲线1C 的距离为9,求点P 的直角坐标. 24.(本小题满分10分)【选修4-5:不等式选讲】 已知函数()|1||2|f x x x =-+-. (1)求不等式3()2f x x ≤的解集;(2)若不等式||||||()a b a b a f x ++-≥(0,,a a b R ≠∈)恒成立,求实数x 的取值范围.100所名校高考模拟金典卷(十一)文科数学参考答案一、选择题,本题考查基础知识,基本概念和基本运算能力13. 14. 15. 16.三、解答题 17.。
高考文科数学模拟试题精编(十)(考试用时:120分钟分值:150分)注意事项:1.答卷前,考生务必将自己的姓名、考生号等填写在答题卡和试卷指定位置上.2.回答选择题时,选出每小题答案后,把答题卡上对应题目的答案标号填在表格内.回答非选择题时,将答案写在答题卡上.写在本试卷上无效.3.考试结束后,将本试卷和答题卡一并交回.一、选择题:本题共12小题,每小题5分,共60分.在每小题给出的四个选项中,只有一项是符合题目要求的.1.已知集合A={x|x2-4x<0},B={x|log3x>1},则A∩B=()A.(3,4)B.(1,3)C.(0,4)D.(0,+∞)2.已知复数z满足:2z-z=3+i,则|z|=()A.10B.5C.823D.4133.给出下列四种图象的变换方法:①将图象向右平移π4个单位长度;②将图象向左平移π4个单位长度;③将图象向左平移3π8个单位长度;④将图象向右平移3π8个单位长度.利用上述变换中的某种方法能由函数y=sin4x的图象得到函数y=-sin4x的图象,则这种变换方法的序号是()A.①②B.②③C.①④D.③④4.我国古代数学名著《九章算术》中“开立圆术”曰:置积尺数,以十六乘之,九而一,所得开立方除之,即丸径.其意思是若给出了一个已知球的体积V,求这个球的直径d的近似公式,则d≈3169V.若取π≈3,利用我们已经学过的球的体积公式,试判断下列所算球的直径的近似公式中,最精确的一个是()A .d ≈3169VB .d ≈32111VC .d ≈33VD .d ≈34V5.曲线y =f (x )在x =1处的切线如图所示,则f ′(1)-f (1)=()A .0B .-1C .1D .-126.某企业在举行的安全知识竞答活动中,随机抽取了30名员工,统计了他们的测试成绩(单位:分),并得到如图所示的统计图,设这30名员工的测试成绩的中位数为m ,众数为n ,平均数为x ,则()A .m =n =xB .m =n <xC .n <m <xD .n <x <m7.若4a =0.8b =π,则()A .ab <0<a +bB .a +b <0<abC .a +b <ab <0D .ab <a +b <08.在平行四边形ABCD 中,已知DE→=12EC →,BF →=12FC →,|AE →|=2,|AF →|=6,则AC →·BD →=()A .-9B .-92C .-7D .-729.如图是某几何体的三视图(正视图也称主视图,侧视图也称左视图),其中正视图与侧视图是两个全等的等腰三角形,俯视图是面积等于4π的圆.若该几何体的侧面展开图是个半圆,则这个几何体的体积等于()A .83π3B .43π3C .83πD .43π10.已知函数f (x )=-2sin 2x +sin2x +1,则下列说法正确的是()A .f (x )的图象可由y =2sin 2x 的图象向右平移π8个单位长度得到B .f (x )在(0,π8)上单调递增C .f (x )在[0,π]上有1个零点D .f (x )在[-π2,0]上的最大值为211.已知双曲线x 2a 2-y 2b 2=1(a >0,b >0)的左、右焦点分别为F 1,F 2,点A 在双曲线上且AF →1·AF →2=0,若△AF 1F 2的内切圆半径为(3-2)b ,则双曲线的离心率为()A .3+2B .3+1C .3D .212.函数f (x )=|lg x |-kx -1,给出下列四个结论:①若k =0,则f (x )恰有2个零点;②存在负数k ,使得f (x )恰有1个零点;③存在负数k ,使得f (x )恰有3个零点;④存在正数k ,使得f (x )恰有3个零点.其中正确结论的个数为()A .1B .2C .3D .4二、填空题:本题共4小题,每小题5分,共20分.13.若f (x )=(x +3)5+(x +m )5是奇函数,则m =________.14.在△ABC 中,角A ,B ,C 的对边分别为a ,b ,c ,若a =3b ,则cos B 的最小值是________.15.已知一张纸上画有半径为4的圆O ,在圆O 内有一个定点A ,且|OA |=2,折叠纸片,使圆周上某一点A ′刚好与A 点重合,这样的每一种折法,都留下一条直线折痕,当A ′取遍圆周上所有点时,所有折痕与OA ′的交点形成的曲线记为C ,则曲线C 上的点到圆O 上的点的最大距离为________.16.无限循环小数可以通过等比数列法转化为分数.如0.2·1·=2×10-1+1×10-2+2×10-3+1×10-4+ (2)0.11-0.01+1×0.011-0.01=2199=733.应用上述方法转化为0.31·3·2·=n m (m ,n 为互质整数),则nm=________.三、解答题:共70分.解答应写出文字说明、证明过程或演算步骤.第17~21题为必考题,每个试题考生都必须作答.第22、23题为选考题,考生根据要求作答.(一)必考题:共60分.17.(12分)已知数列{a n }满足:a 1=1,a n +a n +1=3n +λ(n ∈N *,λ∈R ).(1)证明:数列{a 2n }是等差数列;(2)是否存在λ使得数列{a n }为等差数列?若存在,求λ的值及数列{a n }的前n 项和S n ;否则,请说明理由.18.(12分)某小区物业每天从供应商购进定量小包装果蔬,供本小区居民扫码自行购买,每份成本15元,售价20元.如果当天下午6点之前没有售完,物业将剩下的小包装果蔬打五折于当天处理完毕.物业对20天本小区这种小包装果蔬下午6点之前的日需求量(单位:份)进行统计,得到如下条形图:(1)假设物业某天购进20份小包装果蔬,当天下午6点之前的需求量为n (单位:份,n ∈N ).(ⅰ)求日利润y (单位:元)关于n 的函数解析式;(ⅱ)以20天记录的各需求量的频率作为各需求量发生的概率,求日利润不少于100元的概率.(2)依据统计学知识,请设计一个方案,帮助物业决策每天购进小包装果蔬的份数.只需说明原因,不需计算.19.(12分)风筝起源于春秋时期,是中国古代劳动人民智慧的结晶,风筝别名“纸鸢”.虽经变迁,但时至今日放风筝仍是人们喜爱的户外活动.如图,一只风筝的骨架模型是四棱锥P -ABCD ,其中AC ⊥BD ,垂足为O ,OA =OB =OD =12OC ,PO ⊥平面ABCD .(1)求证:AC ⊥PB ;(2)若AC =12,为使风筝保持最大张力,平面PBC 与底面ABCD 所成角的正切值应为54,求此时点P 到底面ABCD 的距离.20.(12分)已知椭圆E :x 2a 2+y 2b 2=1(a >b >0)的左焦点与短轴两端点的连线及短轴构成等边三角形,且椭圆经过点M (1,-32).(1)求椭圆E 的方程;(2)不经过点M 的直线y =32x +m (m ≠0)与椭圆E 相交于A ,B 两点,A 关于原点的对称点为R ,直线MR ,MB 与y 轴分别交于P ,Q 两点,求证:|MP |=|MQ |.21.(12分)已知函数f (x )=a (ln x +a )-x .(1)讨论f (x )的单调性;(2)当a>0时,证明:f(x)≤2a ln a+a2+1e2.(二)选考题:共10分.请考生在第22、23题中任选一题作答.如果多做,则按所做的第一题计分.22.(10分)[选修4-4:坐标系与参数方程]在直角坐标系xOy中,曲线C1=cosα=sinα(α为参数).以坐标原点为极点,x轴正半轴为极轴建立极坐标系,曲线C2的极坐标方程为ρcosθ-3ρsinθ=1.(1)求曲线C1和C2所表示的曲线类型;(2)已知曲线C1和C2交于A,B两点,点P在曲线C1上,且△PAB的面积为32,求点P的直角坐标.23.(10分)[选修4-5:不等式选讲]已知函数f(x)=|x+1|,g(x)=f(2x-2)-f(x-4).(1)画出函数y=f(x)和函数y=g(x)的图象;(2)若不等式f(ax)≥g(x)恒成立,a≠0,求实数a的取值范围.高考文科数学模拟试题精编(十)1—6ACABCD7—12CBABDC1.A因为A={x|x2-4x<0}={x|x(x-4)<0}={x|0<x<4},B={x|log3x>1}={x|log3x>log33}={x|x>3},所以A∩B={x|3<x<4},故选A.2.C设z=a+b i(a,b∈R),则由题意知2z-z=2(a+b i)-(a-b i)=a+3b i=3+i,所以a=3,b=13,由复数模的定义可知,|z|=|a+b i|=a 2+b2=823.故选C.3.A因为sin[4(x-π4)]=sin(4x-π)=-sin4x,所以①符合题意;因为sin[4(x+π4)]=sin(4x+π)=-sin4x,所以②符合题意;因为sin[4(x+3π8)]=sin(4x+3π2)=-cos4x,所以③不符合题意,因为sin[4(x-3π8)]=sin(4x-3π2)=cos4x,所以④不符合题意.故选A.4.B设球的半径为R,则2R=d,由球的体积公式V=43πR3=πd36,得d≈32V,因为2111≈1.909,169≈1.778,所以2111与2最为接近,故选B.5.C由题图知A(2,0),B(0,-1),所以直线AB的斜率k AB=-1-00-2=12,则直线AB的方程为y=12x-1,当x=1时,y=12×1-1=-12,所以f(1)=-12.由导数的几何意义可知f′(1)=12,所以f′(1)-f(1)=12-(-12)=1,故选C.6.D根据题中给出的统计图可知,中位数m=(80+90)÷2=85,众数n=80,平均数x=130×(40+50+60+70×2+80×10+90×9+100×6)≈83.3,所以n<x<m.故选D.7.C因为4a=0.8b=π,所以a=log4π,b=log0.8π.因为0<a=log4π<log44=1,b =log 0.8π<log 0.80.8-1=-1,所以a +b <0,ab <0.因为1a +1b =log π4+log π0.8=log π3.2>log ππ=1,所以a +b <ab ,所以a +b <ab <0.故选C.8.B设AD =x ,AB =y ,∠ADC =∠ABF =α,由DE →=12EC →,BF →=12FC →,可得DE =13y ,BF =13x ,在△ADE 中,AE 2=AD 2+DE 2-2AD ·DE ·cos α,即有x 2+19y 2-2x ·13y cos α=2,①在△ABF 中,AF 2=AB 2+BF 2-2AB ·BF ·cos α,可得y 2+19x 2-2y ·13x cos α=6,②②-①可得89y 2-89x 2=4,化为y 2-x 2=92,则AC →·BD →=(AB →+AD →)·(AD →-AB →)=AD →2-AB →2=x 2-y 2=-92.故选B.9.A易知三视图对应的几何体是圆锥,底面圆的面积是4π,底面圆的半径是2.设母线长为l ,因为侧面展开图是半圆,所以2πl =12πl 2,所以l =4,圆锥的高h =42-22=23,所以圆锥的体积V =13×4π×23=83π3.故选A.10.Bf (x )的定义域为R ,f (x )=-2sin 2x +sin2x +1=cos 2x +sin 2x =2·sin(2x +π4).对于A ,y =2sin 2x 的图象向右平移π8个单位长度,得到y =2sin [2(x -π8)]=2sin (2x -π4)的图象,故A 错误;对于B ,解法一:令-π2+2k π≤2x +π4≤π2+2k π(k ∈Z ),解得-3π8+k π≤x ≤π8+k π(k ∈Z ),所以其单调递增区间为[k π-3π8,k π+π8],k ∈Z ,当k =0时,x ∈[-3π8,π8],又(0,π8)⊆[-3π8,π8],所以f (x )在(0,π8)上单调递增,故B 正确.解法二:若x ∈(0,π8),则2x +π4∈(π4,π2),因为函数y =sin x 在(π4,π2)上单调递增,所以f (x )在(0,π8)上单调递增,故B 正确;对于C ,令f (x )=0,得2x +π4=k π,k ∈Z ,得x =k π2-π8,k ∈Z ,又x ∈[0,π],所以x 可取的值为3π8,7π8,即f (x )在[0,π]上有2个零点,故C 错误;对于D ,由x ∈[-π2,0],得2x +π4∈[-3π4,π4],则sin (2x +π4)∈[-1,22],所以f (x )∈[-2,1],故D 错误.故选B.11.D 由AF →1·AF →2=0可知AF →1⊥AF →2,所以△AF 1F 2为直角三角形,则有|AF 1|2+|AF 2|2=|F 1F 2|2①,不妨设点A 在双曲线的右支上,则有|AF 1|-|AF 2|=2a ②,设△AF 1F 2内切圆的半径为r ,则r =|AF 1|+|AF 2|-|F 1F 2|2,可得|AF 1|+|AF 2|=2r +2c③,由①②③可得(|AF 1|-|AF 2|)2+(|AF 1|+|AF 2|)2=(2a )2+(2r +2c )2=2×4c 2,将r =(3-2)b 代入上式,结合c 2=a 2+b 2可得c =2b ,c =2a ,所以双曲线的离心率为2,故选D.12.C令f (x )=0,得|lg x |=kx +1.直线y =kx +1恒过点(0,1),作出直线y =kx +1与曲线y =|lg x |的图象,如图.对于①,当k =0时,令f (x )=|lg x |-1=0,可得x =110或x =10,故f (x )恰有2个零点,①正确;对于②,设直线y =kx +1与曲线y =-lg x (0<x <1)相切于点P (t ,-lg t ),由y =-lg x 得y ′=-1x ln 10,由题意可得+1=-lg t=-1t ln 10,解得t=e 10k=-10e lg e,所以存在k=-10elg e<0,使得f(x)只有1个零点,②正确;对于③,当直线y=kx+1过点(1,0)时,k+1=0,解得k=-1,所以当-10 e lge<k<-1时,直线y=kx+1与曲线y=-lg x(0<x<1)有2个交点,若函数f(x)有3个零点,则直线y=kx+1与曲线y=-lg x(0<x<1)有2个交点,直线y=kx+1与曲线y=lg x(x>1)有1个交点,所以-10elg e<k<-1k+1>0,无解,因此不存在k<0,使得函数f(x)有3个零点,③错误;对于④,设直线y=kx+1与曲线y=lg x(x>1)相切于点Q(m,lg m),由y=lg x,得y′=1x ln10,由题意可得km+1=lg mk=1m ln10,解得m=10ek=lg e10e,所以当0<k<lg e10e时,函数f(x)有3个零点,④正确.故选C.13.解析:因为f(x)是定义域R的奇函数,所以f(0)=35+m5=0,解得m=-3.答案:-314.解析:cos B=a2+c2-b22ac=8b2+c26bc≥28b2·c26bc=223,当且仅当22b=c时,等号成立.答案:22 315.解析:取OA的中点为G,折痕l与OA′交于点D,连接AD,以OA的中点G为坐标原点,OA所在的直线为x轴建立平面直角坐标系如图所示,则O(-1,0),A(1,0),因为l是AA′的垂直平分线,所以|DA|=|DA′|,所以|OA′|=|OD|+|DA|=4,所以点D的轨迹是以O,A分别为左、右焦点,长轴长为4的椭圆,所以点D 的轨迹方程为x 24+y 23=1,所以曲线C 上的点到点O 的最大距离为2+1=3,所以曲线C 上的点到圆O 上的点的最大距离为3+4=7.答案:716.解析:因为0.2·1·=2×10-1+1×10-2+2×10-3+1×10-4+2×10-5+1×10-6+…=2×(10-1+10-3+10-5+…)+1×(10-2+10-4+10-6+…)=2×10-11-10-2+1×10-21-10-2,所以0.31·3·2·=0.3+1×10-2+3×10-3+2×10-4+1×10-5+3×10-6+2×10-7+1×10-8+3×10-9+2×10-10+…=0.3+1×(10-2+10-5+10-8+…)+3×(10-3+10-6+10-9+…)+2×(10-4+10-7+10-10+…)=310+1×10-21-10-3+3×10-31-10-3+2×10-41-10-3=310+10999+3999+29990=31299990=10433330.答案:1043333017.解:(1)证明:a n +a n +1=3n +λ,a n +1+a n +2=3n +3+λ,两式相减得a n+2-a n =3,故{a 2n }是公差为3的等差数列.(2)由题知,a 1=1,a 1+a 2=3+λ,a 2+a 3=6+λ,∴a 2=2+λ,a 3=4.若{a n }为等差数列,则a 2-a 1=12(a 3-a 1)=32,故2+λ-1=32,即λ=12,此时a 2n +1-a 2n =a 1+3n -a 2-3(n -1)=a 1-a 2+3=32,a 2n -a 2n -1=a 2+3(n -1)-a 1-3(n -1)=a 2-a 1=32,即对∀n ∈N *有a n +1-a n=32.故{a n }为等差数列,且a n =32n -12,S n =n (a 1+a n )2=34n 2+14n .18.解:(1)(ⅰ)当n ≥20时,日利润y =(20-15)×20=100,当n <20时,日利润y =5n -5(20-n )=10n -100,n ∈N .所以y 关于n 的函数解析式为y n -100,n <20,n ≥20,n ∈N .(ⅱ)依题意,只有当n ≥20时,日利润y =100满足题意,所以日利润不少于100元的概率为4+5+4+2+120=45.(2)物业可以把这20天的平均利润作为决策依据,分别计算每天购进的小包装果蔬份数为17,18,…,24时对应的平均利润,把平均利润最高时对应的小包装果蔬份数作为每天购进的小包装果蔬份数.(其他合理答案均可得分)19.解:(1)证明:因为PO ⊥平面ABCD ,AC ⊂平面ABCD ,所以PO ⊥AC .又AC ⊥BD ,BD ∩PO =O ,BD ⊂平面PBD ,PO ⊂平面PBD ,所以AC ⊥平面PBD .又PB ⊂平面PBD ,所以AC ⊥PB .(2)由AC =12,OA =OB =OD =12OC ,得OB =OA =4,OC =8.如图,作OE ⊥BC ,垂足为E ,连接PE ,由PO ⊥平面ABCD ,知PO ⊥BC ,又PO ∩OE =O ,PO ,OE ⊂平面POE ,所以BC ⊥平面POE .又PE ⊂平面POE ,所以BC ⊥PE ,又由图可知∠PEO为锐角,故∠PEO 是平面PBC 与底面ABCD 所成的角,故此时tan ∠PEO =POOE=54,又OE =4×842+82=855,所以此时点P 到底面ABCD 的距离PO =54×855=2.20.解:(1)设椭圆E 的上、下顶点分别为B 1(0,b ),B 2(0,-b ),左焦点为F 1(-c ,0),则△B 1B 2F 1是等边三角形,所以2b =c 2+b 2=a ,则椭圆E 的方程为x 24b 2+y 2b 2=1,将M (1,-32)代入椭圆E 的方程,可得14b 2+34b2=1,解得b =1,所以椭圆E的方程为x24+y2=1.(2)证明:设A(x1,y1),B(x2,y2),则R(-x1,-y1),将直线y=32x+m(m≠0)代入椭圆E的方程x24+y2=1,得x2+3mx+m2-1=0,其判别式Δ=3m2-4(m2-1)=-m2+4>0,即-2<m<2.x1+x2=-3m,x1x2=m2-1.解法一:要证|MP|=|MQ|,只需证直线MR与直线MB的斜率互为相反数,即证k MR+k MB=0.k MR+k MB=-y1+32-x1-1+y2+32x2-1=(y1-32)(x2-1)+(y2+32)(x1+1) (x1+1)(x2-1)=(32x1+m-32)(x2-1)+(32x2+m+32)(x1+1)(x1+1)(x2-1)=3x1x2+m(x1+x2)+3(x1+1)(x2-1)=0,所以|MP|=|MQ|.解法二:设P(0,y P),Q(0,y Q),要证|MP|=|MQ|,即证y P+y Q2=-32.直线MR的方程为y+32=-y1+32-x1-1(x-1),令x=0,得y P=-y1+32x1+1-32,直线MB的方程为y+32=y2+32x2-1(x-1),令x=0,得y Q=-y2-32x2-1-32.则y P+y Q=-y1+32x1+1+-y2-32x2-1-3=-(y1-32)(x2-1)+(y2+32)(x1+1)(x1+1)(x2-1)-3=-(32x1+m-32)(x2-1)+(32x2+m+32)(x1+1)(x1+1)(x2-1)-3=-3x1x2+m(x1+x2)+3(x1+1)(x2-1)-3=-3,即y P+y Q2=-32,所以|MP|=|MQ|.21.解:(1)因为f(x)=a(ln x+a)-x,定义域为(0,+∞),且f′(x)=ax-1=a-xx.当a≤0时,f′(x)<0,所以函数f(x)在(0,+∞)上单调递减;当a>0时,令f′(x)>0,得0<x<a,令f′(x)<0,得x>a;此时,函数f(x)在(0,a)上单调递增,在(a,+∞)上单调递减.(2)证明:由(1)知,当a>0时,f(x)≤f(a)=a(ln a+a)-a,要证f(x)≤2a ln a+a2+1 e2,只需证a ln a+a≥-1 e2,令φ(a)=a ln a+a(a>0),则φ′(a)=2+ln a(a>0),令φ′(a)=0,得a=1 e2,则当a∈(0,1e2)时,φ′(a)<0,所以φ(a )在区间(0,1e 2)上单调递减;当a ∈(1e 2,+∞)时,φ′(a )>0,所以φ(a )在(1e 2,+∞)上单调递增.所以φ(a )≥φ(1e 2)=-1e 2,原不等式得证.22.解:(1)将曲线C 1=cos α,=sin α(α为参数)中的参数消去,得C 1的普通方程为x 2+y 2=1,所以曲线C 1是以原点O 为圆心,1为半径的圆.将x =ρcos θ,y =ρsin θ代入C 2的极坐标方程ρcos θ-3ρsin θ=1,得曲线C 2的直角坐标方程为x -3y =1,所以曲线C 2是过点(1,0),且斜率为33的直线.(2)由(1)得圆心O 到直线C 2的距离为12,所以|AB |=21-14= 3.设点P (cos α,sin α),则点P 到直线C 2的距离d =|cos α-3sin α-1|2=|2cos (α+π3)-1|2,所以△PAB 的面积为12×3×|2cos (α+π3)-1|2=32,所以|2cos (α+π3)-1|=2,则cos (α+π3)=-12,所以α+π3=2π3+2k π或α+π3=4π3+2k π,k ∈Z ,所以α=π3+2k π或α=π+2k π,k ∈Z ,所以点P 的直角坐标为(12,32)或(-1,0).23.解:(1)f (x )=|x +1|+1,x ≥-1x -1,x <-1,g (x )=f (2x -2)-f (x -4)=|2x -1|-|x -3|+2,x ≥3x -4,12<x <3x -2,x ≤12,所以函数y =f (x )和函数y =g (x )的图象如图所示.(2)由(1)得函数y =f (ax )=|ax +1|的图象与x 轴的交点坐标为(-1a ,0),函数y =g (x )的图象与x 轴的交点坐标为(-2,0),(43,0),若不等式f (ax )≥g (x )恒成立,则-2≤-1a ≤43,即a ≥12或a ≤-34.当a ≥12时,需满足-a ≤-1,且点(3,5)不在直线y =ax +1的左上方,所以3a -5+1≥0,所以a ≥43;当a ≤-34时,需满足a ≤-1,且点(3,5)不在直线y =-ax -1的左上方,所以3a +5+1≤0,所以a ≤-2.综上,实数a 的取值范围为(-∞,-2]∪[43,+∞).。
2019年高考文科数学模拟试卷及答案(十一)【解答】解:将函数$f(x)=\sin\left(\dfrac{2x-\pi}{4}\right)$的图象向右平移$\dfrac{\pi}{5}$个单位后得到函数$g(x)=\sin\left(\dfrac{2}{4}\left(x-\dfrac{\pi}{5}\right)\right)=\sin\left(\dfrac{1}{2}x-\dfrac{\pi}{10}\right)$,故$g(x)$的周期为$4\pi$,振幅为$1$,相位为$-\dfrac{\pi}{10}$,故选B.排除;对于②,把x y代入椭圆方程,变形整理可得3x28y224x,化简得x28x168y2,即(x4)22y24,是一个以点(4,0)为中心,2为半径的圆,与椭圆有两个交点,故为椭型直线;对于③,把2x y1代入椭圆方程,变形整理可得12x25y224x,化简得12(x1)25y249,是一个以点(1,0)为中心,7/5为短轴,14/5为长轴的椭圆,与椭圆有两个交点,故为椭型直线;对于④,把x y3代入椭圆方程,变形整理可得7x24y242x,化简得7(x3)24y249,是一个以点(3,0)为中心,7/2为短轴,7为长轴的椭圆,与椭圆有两个交点,故为椭型直线;综上所述,选C.即f(x)为一条直线,且对称轴为x=-4,说明f(x)关于直线x=-4对称,即f(x)=f(-8-x)。
又因为在区间(k-1,k)上有零点,即存在x0∈(k-1,k),使得f(x0)=0。
由对称性可知,-8-x0也是f(x)的零点,即f(-8-x0)=0,即-8-x0∈(k-1,k)。
因此,k-1<-8-x0<k,解得k∈{3,4}。
又因为f(x)在(-4,3)和(4,∞)上均为单调递增函数,因此在(-4,3)和(4,∞)上无零点。
综上所述,k的值为3。
答案:C。
的球内,且AB AC,BC10,球心为O,则三角形ABC的面积为__________.【答案】100π【解答】解:如图,由题意可知,三角形ABC为等腰三角形,且BC10,球心O为三角形ABC的垂直平分线的交点.∴BO CO5,∴AO2AB2BO2AC2CO2,∴AO2AC225,∵A,B,C三点都在球内,∴AO,BO,CO均小于球的半径,∴AO2500,∴AC225500,∴AC25,∴三角形ABC的面积为12AC BC100π.故答案为:100π.15.(5分)已知函数f(x)ax2bx c在区间[1,1]上的最大值为2,最小值为2,则a b c的值为__________.【答案】0【解答】解:由题意可得:f(1)a b c,f(1)a b c,f(0)c.∵f(x)在区间[1,1]上的最大值为2,最小值为2,∴f(1)2,f(1)2,∴a b c2,a b c2,c f(0).∴a1,b0,∴a b c0.故答案为:0.17.(12分)(1)解:设等比数列的公比为q,则有:S_n = a_1 * (1-q^n)/(1-q)S_{n+2} = a_1 * (1-q^{n+2})/(1-q)代入题目中的等式得:a_1 * (1-q^{n+2})/(1-q) = 4 * a_1 * (1-q^n)/(1-q) + 6化简得:q^{n+2} + 4q^n - 4q^{n+1} - 6 = 0移项并整理得:q^2 - 4q + 6/q^{n} - 4 = 0由于q是正数,所以上式的两个根都是正数,设为α和β,且α > β,则有:α + β = 4αβ = 6/q^n根据等比数列的通项公式,有:a_n = a_1 * q^{n-1}因此,S_n = a_1 * (1-q^n)/(1-q) = a_1 * (1-q)(1+q+...+q^{n-1}) = a_1 * (1-q^n)/(1-q)将上式代入原等式中,得:a_1 * (1-q^{n+2})/(1-q) = 4 * a_1 * (1-q^n)/(1-q) + 6 化简得:a_1 = 6/(4q^{n+2}-q^{n+1}-4q^n+1)又因为a_1 > 0,所以有:4q^{n+2}-q^{n+1}-4q^n+1 > 0化简得:(q-1)^2(4q^{n}+2q^{n-1}+1) > 0因为q > 0,所以有:4q^{n}+2q^{n-1}+1 > 0因此,等比数列的公比q满足:4q^{n+2}-q^{n+1}-4q^n+1 > 04q^{n+2} > q^{n+1}+4q^n-1q > (1+√5)/4又因为q < 1,所以有:(1+√5)/4 < q < 1综上可得,等比数列的首项为:a_1 = 6/(4q^{n+2}-q^{n+1}-4q^n+1)等比数列的通项公式为:a_n = a_1 * q^{n-1}(2)解:根据题意,有:b_n = n因此,有:T_n = b_1 + b_2 + ... + b_n = 1 + 2 + ... + n = n(n+1)/2 因此,数列{b_n}的前n项和为n(n+1)/2。
新课标高考模拟试题数学文科本试卷分第Ⅰ卷(选择题)和第Ⅱ卷(非选择题)两部分。
满分150 分。
考试时间120 分钟。
参考公式:样本数据x1, x2 ,x n 的标准差锥体体积公式其中 x 为样本平均数其中 S 为底面面积, h 为高柱体体积公式球的表面积、体积公式其中 S 为底面面积, h 为高其中 R 为球的半径第Ⅰ卷(选择题共 60 分)一、选择题1.已知集合A{ x | x1}, B{ x | x22x0} ,则A I B =()A.( 0,1)B. C.0,1 D.1,12.若a(1,1),b(1,1),c(2,4),则 c 等于()A. -a+3b B .a-3b C.3a-b D. -3a+b3.已知四棱锥 P—ABCD 的三视图如右图所示,则四棱锥P— ABCD 的体积为()A.1B.2C.33 334D .84.已知函数f (x)Asin(x)( A0,0,||) 的部分图象如图所示,则 f ( x)2的解析式是()A.f (x)sin(3 x)( x R)B .f(x)sin(2x)(x)36R C.f (x)sin( x)( x R) D .f (x)sin(2 x)( x R)335.阅读下列程序,输出结果为 2 的是()6.在ABC 中,tan A 1,cos B 3 10,则 tanC 的值是()210A. -1 B .1 C.3 D .-27.设 m,n 是两条不同的直线,, ,是三个不同的平面,有下列四个命题:①若 m,, 则 m;②若/ / , m,则 m / / ;③若 n, n, m, 则 m; ④若,, m,则 m.其中正确命题的序号是A .①③B .①②C.8.两个正数a、b 的等差中项是心率 e 等于35A .B .C.23 9.已知定义域为R 的函数 f (则()A .f (2) f (3)B .10.数列{ a n}中,a32, a721A .B .C.52xx 11.已知函数 f ( x)ln( x ()A .(,1) U (2, )C.(1,2)12.若函数f ( x) 1e ax的图bC 的位置关系是()A .在圆外 B.在圆内第二、填空题(本大题共 4 小题13.复数z325的共轭复4i14.右图为矩形,长为5,宽为数得落在阴影部分的黄豆数部分的面积为。
2019高考数学文科模拟试题精编12套(全解析)高考文科数学模拟试题精编(一)(考试用时:120分钟试卷满分:150分)注意事项:1.作答选择题时,选出每小题答案后,用2B铅笔在答题卡上对应题目选项的答案信息点涂黑;如需要改动,用橡皮擦干净后,再选涂其他答案。
答案不能答在试卷上。
2.非选择题必须用黑色字迹的钢笔或签字笔作答,答案必须写在答题卡各题目指定区域内相应位置上;如需改动,先划掉原来的答案,然后再写上新答案;不准使用铅笔和涂改液。
不按以上要求作答无效。
3.考生必须保证答题卡的整洁。
考试结束后,将试卷和答题卡一并交回。
第Ⅰ卷一、选择题(本大题共12小题,每小题5分,共60分.在每小题给出的四个选项中,只有一项是符合题目要求的.)1.设全集Q={x|2x2-5x≤0,x∈N},且P⊆Q,则满足条件的集合P的个数是()A.3B.4C.7D.82.若复数z=m(m-1)+(m-1)i是纯虚数,其中m是实数,则1z=()A.i B.-i C.2i D.-2i3.已知等差数列{a n}的公差为5,前n项和为S n,且a1,a2,a5成等比数列,则S6=()A.80 B.85 C.90 D.954.小明每天上学都需要经过一个有交通信号灯的十字路口.已知十字路口的交通信号灯绿灯亮的时间为40秒,黄灯5秒,红灯45秒.如果小明每天到路口的时间是随机的,则小明上学时到十字路口需要等待的时间不少于20秒的概率是()A.34B.23C.12D.135.已知以下三视图中有三个同时表示某一个三棱锥,则不是..该三棱锥的三视图的是( )6.已知p :a =±1,q :函数f (x )=ln(x +a 2+x 2)为奇函数,则p 是q 成立的( )A .充分不必要条件B .必要不充分条件C .充分必要条件D .既不充分也不必要条件7.已知f (x )是定义在R 上的偶函数,且满足f (x +4)=f (x ),当x ∈[-2,0]时,f (x )=-2x ,则f (1)+f (4)等于( )A.32B .-32C .-1D .18.我们可以用随机数法估计π的值,如图所示的程序框图表示其基本步骤(函数RAND 是产生随机数的函数,它能随机产生(0,1)内的任何一个实数).若输出的结果为781,则由此可估计π的近似值为( )A .3.119B .3.124C .3.132D .3.1519.已知函数f (x )=sin(2x +φ),其中φ为实数,若f (x )≤|f ⎝ ⎛⎭⎪⎫π6|对x ∈R 恒成立,且f ⎝ ⎛⎭⎪⎫π2>f (π),则f (x )的单调递增区间是( )A.⎣⎢⎡⎦⎥⎤k π-π3,k π+π6(k ∈Z)B.⎣⎢⎡⎦⎥⎤k π,k π+π2(k ∈Z) C.⎣⎢⎡⎦⎥⎤k π+π6,k π+2π3(k ∈Z)D.⎣⎢⎡⎦⎥⎤k π-π2,k π(k ∈Z) 10.已知抛物线C :y 2=8x 的焦点为F ,准线为l ,P 是l 上一点,直线PF 与曲线C 相交于M ,N 两点,若PF→=3MF →,则|MN |=( ) A.212B.323C .10D .1111.数列{a n }满足a 1=1,且a n +1=a 1+a n +n (n ∈N *),则1a 1+1a 2+…+1a 2 018等于( )A.4 0362 019B.4 0322 017C.2 0172 018D.2 0162 01812.已知函数f (x )=-2x 2+1,函数g (x )=⎩⎨⎧log 12x ,x >02x ,x ≤0,则函数y =|f (x )|-g (x )的零点的个数为( )A .2B .3C .4D .5第Ⅱ卷二、填空题(本大题共4小题,每小题5分,共20分.把答案填在题中横线上)13.已知|a |=2,|b |=1,(a -2b )·(2a +b )=9,则|a +b |=________.14.已知实数x ,y满足不等式组⎩⎪⎨⎪⎧x -3y +5≥02x +y -4≤0y +2≥0,则z =x +y 的最小值为________.15.已知F 为双曲线x 2a 2-y 2b 2=1(a >0,b >0)的右焦点,过原点的直线l 与双曲线交于M ,N 两点,且MF →·NF →=0,△MNF 的面积为ab ,则该双曲线的离心率为________.16.在矩形ABCD 中,AB <BC ,现将△ABD 沿矩形的对角线BD 所在的直线进行翻折,在翻折的过程中,给出下列结论:①存在某个位置,使得直线AC 与直线BD 垂直; ②存在某个位置,使得直线AB 与直线CD 垂直; ③存在某个位置,使得直线AD 与直线BC 垂直.其中正确结论的序号是________.(写出所有正确结论的序号)三、解答题(共70分.解答应写出文字说明、证明过程或演算步骤.第17~21题为必考题,每个试题考生都必须作答.第22、23题为选考题,考生根据要求作答.)(一)必考题:共60分.17.(本小题满分12分)已知a ,b ,c 分别是△ABC 的内角A ,B ,C 所对的边,且c =2,C =π3.(1)若△ABC 的面积等于3,求a ,b ; (2)若sin C +sin(B -A )=2sin 2A ,求A 的值.18.(本小题满分12分)如图所示的几何体QPABCD 为一简单组合体,在底面ABCD 中,∠DAB =60°,AD ⊥DC ,AB ⊥BC ,QD ⊥平面ABCD ,PA ∥QD ,PA =1,AD =AB =QD =2.(1)求证:平面PAB ⊥平面QBC ; (2)求该组合体QPABCD 的体积.19.(本小题满分12分)某农科所对冬季昼夜温差大小与某反季节大豆新品种发芽多少之间的关系进行分析研究,他们分别记录了12月1日至12月5日的每天昼夜温差与实验室每天每100颗种子中的发芽数,得到如下资料:组数据求线性回归方程,再用被选取的2组数据进行检验.(1)求选取的2组数据恰好是不相邻2天数据的概率;(2)若选取的是12月1日与12月5日的两组数据,请根据12月2日至12月4日的数据,求出y 关于x 的线性回归方程y ^=b ^x +a ^;(3)若由线性回归方程得到的估计数据与所选出的检验数据的误差均不超过2颗,则认为得到的线性回归方程是可靠的,试问(2)中所得到的线性回归方程是否可靠?附:b ^=∑i =1nx i y i -n x -y -∑i =1n x 2i -n x 2,a ^=y -b x .20.(本小题满分12分)已知椭圆C :x 2a 2+y 2b2=1(a >b >0)的左、右焦点分别为F 1,F 2,且|F 1F 2|=43,A ⎝ ⎛⎭⎪⎫3,-132是椭圆上一点. (1)求椭圆C 的标准方程和离心率e 的值;(2)若T 为椭圆C 上异于顶点的任一点,M ,N 分别为椭圆的右顶点和上顶点,直线TM 与y 轴交于点P ,直线TN 与x 轴交于点Q ,求证:|PN |·|QM |为定值.21.(本小题满分12分)已知函数f (x )=(2-a )(x -1)-2ln x (a ∈R). (1)若曲线g (x )=f (x )+x 上点(1,g (1))处的切线过点(0,2),求函数g (x )的单调减区间;(2)若函数y =f (x )在区间⎝ ⎛⎭⎪⎫0,12内无零点,求实数a 的最小值. (二)选考题:共10分.请考生在第22、23题中任选一题作答.如果多做,则按所做的第一题计分.22.(本小题满分10分)选修4-4:坐标系与参数方程在直角坐标系xOy 中,设倾斜角为α的直线l 的参数方程为⎩⎪⎨⎪⎧x =3+t cos αy =t sin α(t为参数),直线l 与曲线C :⎩⎨⎧x =1cos θy =tan θ(θ为参数)相交于不同的两点A ,B .(1)若α=π3,求线段AB 的中点的直角坐标;(2)若直线l 的斜率为2,且过已知点P (3,0),求|PA |·|PB |的值. 23.(本小题满分10分)选修4-5:不等式选讲 已知函数f (x )=|x -3|+|x +m |(x ∈R). (1)当m =1时,求不等式f (x )≥6的解集;(2)若不等式f (x )≤5的解集不是空集,求参数m 的取值范围.高考文科数学模拟试题精编(一)班级:__________姓名:_________得分:_______题号123456789101112答案请在答题区域内答题19.(本小题满分12分)21.(本小题满分12分)高考文科数学模拟试题精编(二)(考试用时:120分钟 试卷满分:150分)注意事项:1.作答选择题时,选出每小题答案后,用2B 铅笔在答题卡上对应题目选项的答案信息点涂黑;如需要改动,用橡皮擦干净后,再选涂其他答案。
2020年高考文科数学模拟试卷及答案(十一)一、选择题:本大题共12个小题,每小题5分,共60分.在每小题给出的四个选项中,只有一项是符合题目要求的.1.(5分)已知集合{}1,3A =,1|0lg(1),2B x x x ⎧⎫=<+<∈⎨⎬⎩⎭Z ,则AB =( ).A .{}1B .{}1,3C .{}1,2,3D .{}1,3,4【答案】A【解答】解:由B 中不等式变形得:lg1lg(1)x <+<解得:01x <<,即{}{}|01,1,2B x x x =<∈=Z ,∵{}1,3A =,∴{}1AB =.故选A .2.(5分)若i ()1i z =+(i 为虚数单位),则z 的虚部是( ). A .1B .1-C .iD .i -【答案】B【解答】解:∵21i i i i ()1i z =+=+=-+, ∴i 1z =--, ∴z 的虚部为1-,故选B .3.(5分)执行如图所示的程序框图,若输入的x ,t 均为2,则输出的S =( ).A .4B .5C .6D .7【答案】D【解答】解:若2x t ==,则第一次循环,12≤成立,则1221M =⨯=,235S =+=,2k =, 第二次循环,22≤成立,则2222M =⨯=,257S =+=,3k =, 此时32≤不成立,输出7S =,故选D . 4.(5分)若{}n a 是等差数列,首项10a >,201620170a a >+,201620170a a ⋅<,则使前n 项和0n S >成立的最大自然数n 是( ). A .4031 B .4033 C .4034 D .4032【答案】D【解答】解:∵{}n a 是等差数列,首项10a >,201620170a a >+,201620170a a ⋅<, ∴20160a >,20170a <,公差0d <, ∴140324032201620174032()201602()a a S a a +=+>=, 14033403320174033()403302a a S a +==<, 使前n 项和0n S >成立的最大自然数n 是4032. 故选D .5.(5分)将函数πs 2)2(in f x x ⎛⎫=- ⎪⎝⎭的图象向右平移π4个单位后得到函数()g x ,则()g x 具有性质().A .最大值为1,图象关于直线π2x =对称 B .在π0,4⎛⎫⎪⎝⎭上单调递减,为奇函数 C .在3ππ,88⎛⎫- ⎪⎝⎭上单调递增,为偶函数 D .周期为π,图象关于点3π,08⎛⎫ ⎪⎝⎭对称 【答案】B【解答】解:将函数πs 2)2(in f x x ⎛⎫=-⎪⎝⎭的图象向右平移π4个单位后得到 函数ππsin 2sin(2π)sin 242()g x x x x ⎡⎤⎛⎫=--=-=- ⎪⎢⎥⎝⎭⎣⎦的图象, 当π2x =时,求得()0g x =,不是最值, 故()g x 的图象不关于直线π2x =对称,故排除A .在π0,4⎛⎫⎪⎝⎭上,π20,2x ⎛⎫∈ ⎪⎝⎭,sin 2x 单调递增, 故()g x 单调递减,且()g x 为奇函数, 故B 满足条件,C 不满足条件.当3π8x =时,()02g x =-≠, 故()g x 的图象不关于点3π,08⎛⎫⎪⎝⎭对称, 故选B . 6.(5分)如图是一个四面体的三视图,这个三视图均是腰长为2的等腰直角三角形,正视图和俯视图中的虚线是三角形的中线,则该四面体的体积为( ).A .23B .43C .83D .2【答案】A【解答】解:由四面体的三视图得该四面体为棱长为2的 正方体1111ABCD A B C D -中的三棱锥1C BDE -, 其中E 是CD 中点,BDE △面积1122122S ⎛⎫=⨯⨯⨯= ⎪⎝⎭, 三棱锥1C BDE -的高12h CC ==, ∴该四面体的体积:1233V Sh ==. 故选A .D ABCEA 1B 1C 1D 17.(5分)已知点0()1,M -和()1,0N ,若某直线上存在点P ,使得||||4PM PN +=,则称该直线为“椭型直线”.现有下列直线:①260x y -+=;②0x y -=;③210x y -+=;④30x y +-=.其中是“椭型直线”的是().A .①③B .①②C .②③D .③④【答案】C【解答】解:根据题意,点0()1,M -和()1,0N ,若||||4PM PN +=,则P 的轨迹是以M ,N 为焦点的椭圆,其标准方程为:22143x y +=,即2234120x y +-=, 对于①,把260x y -+=代入椭圆方程,变形整理可得21668960y y -+=, 由2(684169)615200∆=-⨯⨯=-<,即直线与椭圆没有交点, 则260x y -+=不是“椭型直线”,对于②,把0x y -=即y x =代入椭圆方程,解可得2127x =, 直线0x y -=与椭圆有2个交点,即直线0x y -=是“椭型直线”,对于③,把直线210x y -+=代入椭圆方程,变形整理可得2191680x x +-=, 由2164198))0((∆=-⨯->⨯,直线与椭圆有2个交点, 则210x y -+=是“椭型直线”,对于④,把直线30x y +-=代入椭圆方程,变形整理可得2724240x x -+=, 有2()2447240∆=--⨯⨯<,即直线与椭圆没有交点, 则30x y +-=不是“椭型直线”, 则②③是“椭型直线”故选C .8.(5分)一个袋中有大小相同,编号分别为1,2,3,4,5的五个球,从中有放回地每次取一个球,共取3次,取得三个球的编号之和不小于13的概率为( ). A .4125B .7125C .225D .425【答案】B【解答】解:∵一个袋中有大小相同, 编号分别为1,2,3,4,5的五个球, 从中有放回地每次取一个球,共取3次, ∴基本事件总数35125n ==,取得三个球的编号之和不小于13包含的基本事件有:(3,5,5),(5,3,5),(5,5,3),(4,5,5),(5,4,5),(5,5,4),(5,5,5),共有7个,∴取得三个球的编号之和不小于13的概率为7125p =. 故选B .9.(5分)若直线2y x =上存在点(,)x y 满足约束条件30230x y x y x m +-⎧⎪--⎨⎪⎩≤≤≥,则实数m 的最大值为( ). A .1- B .1C .32D .2【答案】B【解答】解:由题意,230y xx y =⎧⎨+-=⎩,可求得交点坐标为(1,2),要使直线2y x =上存在点(,)x y 满足约束条件30230x y x y x m +-⎧⎪--⎨⎪⎩≤≤≥,如图所示.可得1m ≤,∴实数m 的最大值为1. 故选B .510.(5分)已知定义在R 上的函数()f x 的图象的对称轴为4x =-,且当4x -≥时,3(2)x f x =-,若函数()f x 在区间()()1,k k k Z -∈上有零点,则k 的值为().A .8-或7-B .8-或2C .2或9-D .2-或8-【答案】C【解答】解:当4x -≥时, 3(2)x f x =-,∵0(1)231f =-=-<,222)310(f =-=>,由函数零点存在性定理,可得函数3(2)x f x =-有一个零点在(1,2)内,此时2k =, 又定义在R 上的函数()f x 的对称轴为4x =-,由对称性可知,函数3(2)x f x =-有另一个零点在(10,9)--内,此时9k =-. ∴k 的值为2或9-. 故选C .11.(5分)我国古代数学名著《数书九章》中有“天池盆测雨”题:在下雨时,用一个圆台形的天池盆接雨水.天池盆盆口直径为二尺八寸,盆底直径为一尺二寸,盆深一尺八寸.若盆中积水深九寸,则平地降雨量是( ). (注:①平地降雨量等于盆中积水体积除以盆口面积;②一尺等于十寸;③台体的体积公式1()3V S S h =⋅下上).【注意有文字】A .2寸B .3寸C .4寸D .5寸【答案】B【解答】解:如图,由题意可知,天池盆上底面半径为14寸,下底面半径为6寸,高为18寸. ∵积水深9寸,∴水面半径为14(2116)0+=寸,则盆中水的体积为221π9610610588π()3⨯++⨯=(立方寸), ∴平地降雨量等于2588π3π14=⨯(寸). 故选B .12.(5分)已知双曲线2221:()0C x y a a -=>关于直线2y x =-对称的曲线为2C ,若直线236x y +=与2C 相切,则实数a 的值为( ). AB .85C .45D【答案】D【解答】解:设2C 上的点为(),x y ,关于直线2y x =-对称的点的坐标为2,2)(y x +-, 代入双曲线2221:C x y a -=,可得22222()()y x a +--=, ∵直线236x y +=与2C 相切,∴联立化简可得2251210890x x a +-+=,214420108)9(0a ∆=--+=,∵0a >,∴a =故选D .二、填空题:每题5分,满分20分,将答案填在答题纸上13.(5分)若抛物线2()20x py p =->的焦点到准线的距离为1,则抛物线方程为__________. 【答案】22x y =-【解答】解:∵抛物线22x py =-的焦点到准线的距离为1, ∴1p =,∴抛物线方程为:22x y =-. 故答案为:22x y =-.14.(5分)已知A ,B ,C 三点都在体积为500π3的球O的表面上,若AB =60ACB =︒∠,则球心O 到平面ABC 的距离为__________.【答案】3【解答】解:设球的半径为R ,则24π500π33R =,解得5R =.设ABC △的外接圆的半径为r,28sin AB r ACB ==∠,解得4r =. ∴球心O 到平面ABC的距离3d ==.故答案为:3.15.(5分)若等边ABC △的边长为3,平面内一点M 满足1132CM CB CA =+,则AM MB ⋅的值为__________.【答案】2【解答】解:如图,ABC △是边长为3的等边三角形,且1132CM CB CA =+,C∴()()AM MB AC CM CB CM ⋅=+⋅-11113232CA CB CA CB CB CA ⎛⎫⎛⎫=-++⋅-- ⎪ ⎪⎝⎭⎝⎭11213232CB CA CB CA ⎛⎫⎛⎫=+⋅⋅- ⎪ ⎪⎝⎭⎝⎭22211||||924CB CB CA CA =-⋅+ 22211||||||cos60||924CB CB CA CA =-︒+ 22111933329224=⨯-⨯⨯⨯+⨯=. 故答案为:2. 16.(5分)若ABC △的三内角A 、B 、C 对应边a 、b 、c 满足2a b c =+,则角A 的取值范围为__________.【答案】π0,3⎛⎤⎥⎝⎦【解答】解:∵2a b c =+,由正弦定理可得,2sin sin sin A B C =+, 则2sin 2sin cos 22B C B CA +-=, ∴π2sincos sin cos 2222A A A B C--=, ∴2sin cos cos cos 2222AAAB C-=, ∴2sin cos 22AB C-=, ∵1cos12B C --≤≤且sin 02A>, 从而可得,10sin 22A<≤, ∴π026A<≤,∴π03A <≤. 故答案为:π0,3⎛⎤⎥⎝⎦.三、解答题:本大题共5小题,共70分.解答应写出文字说明、证明过程或演算步骤.17.(12分)各项均为正数的等比数列{}n a 的前n 项和为n S ,满足246n n S S +=+,*n ∈N .(1)求1a 及通项公式n a .(2)若n nnb a =,求数列{}n b 的前n 项和n T .【解答】解:(1)∵各项均为正数的等比数列{}n a 的前n 项和为n S , 满足246n n S S +=+,*n ∈N , ∴1n =时,3146S S =+, ∴123146a a a a ++=+,①2n =时,123412(46)a a a a a a +++=++,②由②-①,得24224a a a q ==, ∴24q =,∵0q >,∴2q =, 由①式知211(1)46a q q a ++=+,∴111244(6)a a ++=+,136a =,解得12a =, ∴2n n a =. (2)∵n nnb a =,∴231232222n n n T =++++,③∴234111231222222n n n n nT +-=+++++,④由③-④,得:2311111222222n n nnT =++++-1111221122212n n n nn n ⎛⎫- ⎪⎝⎭=-=---∴222n nn T +=-.18.(12分)已知某中学高三文科班学生共有800人参加了数学与地理的水平测试,学校决定利用随机数表法从中抽取100人进行成绩抽样调查,先将800人按001,002,,800进行编号.(1)如果从第8行第7列的数开始向右读,请你依次写出最先检查的3个人的编号.(下面摘取了第7行到第9行)844217533157245506887704744767217633502583921206766301637859169556671998105071751286735807443952387933211234297864560782524207443815510013429966027954(2)抽取的100人的数学与地理的水平测试成绩如下表:成绩,例如:表中数学成绩为良好的人数共有2018442++=.①若在该样本中,数学成绩优秀率是30%,求a,b的值.②在地理成绩及格的学生中,已知11a≥,7b≥,求数学成绩优秀人数比及格人数少的概率.【解答】解:(1)利用随机数表法从中抽取100人进行成绩抽样调查,先将800人按001,002,,800进行编号,从第8行第7列的数开始向右读,依次写出最先检查的3个人的编号为:785,667,199.(2)①∵在该样本中,数学成绩优秀率是30%,∴791030%0a++=,∴14a=,10030201()8456(7)1b=--++-+=.②()10072059186431()a b+=-++-++-=,∵11a≥,7b≥,∴a ,b 的搭配,(11,20),(12,19),(13,18),(14,17),(15,16),(16,15),(17,14),(18,13),(19,12),(20,11),(21,10),(22,9),(23,8),(24,7),共有14种,设11a ≥,7b ≥,数学成绩优秀的人数比及格的人数少为事件A ,5a b +<, 事件A 包括:(11,20),(12,19),共2个基本事件:211)47(P A ==, 数学成绩优秀的人数比及格的人数少的概率为17.19.(12分)如图,已知ABCD 为平行四边形,60A =︒∠,线段AB 上点F 满足2AF FB =,AB 长为12,点E 在CD 上,EF BC ∥,BD AD ⊥,BD 与EF 相交于N .现将四边形ADEF 沿EF 折起,使点D 在平面BCEF 上的射影恰在直线BC 上. (Ⅰ)求证:BD ⊥平面BCEF .(Ⅱ)求折后直线DE 与平面BCEF 所成角的正弦值.DABCEFNN FE CBAD【解答】(Ⅰ)证明:EF DN ⊥,EF BN ⊥, ∴EF ⊥平面BDN , ∴平面BDN ⊥平面BCEF ,又∵BN 为平面BDN 与平面BCEF 的交线, ∴D 在平面BCEF 上的射影在直线BN 上, 而D 在平面BCEF 上的射影在BC 上, ∴D 在平面BCEF 上的射影即为点B , 即BD ⊥平面BCEF .(Ⅱ)解:如图,D 在平面BCEF 上的射影点为点B , ∴DEB ∠为DE 与平面BCEF 所成的角,8DE AF ==,2NF =,4NE =,NB =,NB NE ⊥,∴BE =,6DB =,∴3sin 4DBDEB DE ==∠,即直线DE 与平面BCEF 所成角的正弦值为34. N FE CBAD20.(12分)已知圆2216:0C x y x ++=关于直线11:2l y x =+对称的圆为C . (1)求圆C 的方程.(2)过点()1,0-作直线与圆C 交于A ,B 两点,O 是坐标原点,是否存在这样的直线,使得在平行四边形OASB 中||||OS OA OB =-?若存在,求出所有满足条件的直线的方程;若不存在,请说明理由.【解答】解:(1)圆2216:0C x y x ++=化为标准方程为2239()x y ++=, 设圆1C 的圆心10()3,C -关于直线11:2l y x =+的对称点为,()C a b ,则111kc c k ⋅=-,且1CC 的中点3,22M a b -⎛⎫⎪⎝⎭在直线11:2l y x =+上, ∴213(3)102ba b a ⎧⨯=-⎪⎪+⎨⎪--+=⎪⎩,解得12a b =⎧⎨=-⎩, ∴圆C 的方程为22()(12)9x y -++=. (2)如图:设11(),A x y ,22(),B x y ,由||||||OS OA OB BA =-=,得四边形OASB 为矩形, ∴OA OB ⊥,必须使0OA OB ⋅=,即12120x x y y +=.①当直线的斜率不存在时,可得直线的方程为1x =-, 与圆22()(1)29C x y -++=:交于两点(2)A -,(1,2)B -.∵(1)(1)2)(2)0OA OB ⋅=-⨯-+⨯=,∴OA OB ⊥,∴当直线的斜率不存在时,直线:1l x =-满足条件; ②当直线的斜率存在时,可设直线的方程为(1)y k x =+, 设11(),A x y ,22(),B x y ,由22(1)(2)9(1)x y y k x ⎧-++=⎨=+⎩, 得2222()(40)12424k x k k x k k +++-++-=, 由于点()1,0-,在圆C 内部, ∴0∆>恒成立,∴21222421k k x x k +-=++,21222441k k x x k +-=+,由12120x x y y +=,得2212244(1)(1)01k k k x x k +-+++=+,整理得22222224442(1)011k k k k k k k k k +-+-+-⋅+=++,解得1k =,∴直线方程为1y x =+, ∴存在直线1x =-和1y x =+,它们与圆C 交A ,B 两点,且||||OS OA OB =-.21.(12分)已知函数()()(212l )n f x a x x =---. (1)当1a =时,求()f x 的单调区间.(2)若函数()f x 在10,2⎛⎫⎪⎝⎭上无零点,求a 最小值. 【解答】解:(1)当1a =时,2(1)ln f x x x =--, 则21()f x x '=-,由)0(f x '>,得2x >, 由()0f x '<,得02x <<,故()f x 的单调减区间为(0,2],单调增区间为[2,)+∞. (2)因为()0f x <在区间10,2⎛⎫⎪⎝⎭上恒成立不可能,故要使函数()f x 在10,2⎛⎫⎪⎝⎭上无零点,只要对任意的10,2x ⎛∈⎫⎪⎝⎭,()0f x >恒成立,即对10,2x ⎛∈⎫⎪⎝⎭,2ln 21xa x >--恒成立. 令2l 1()n 2x l x x =--,10,2x ⎛∈⎫⎪⎝⎭, 则222ln 2()(1)x x l x x +-'=-,再令22ln 2()m x x x =+-,10,2x ⎛∈⎫ ⎪⎝⎭, 则22222(1)0()x m x x x x --'=-+=<, 故()m x 在10,2⎛⎫ ⎪⎝⎭上为减函数,于是122ln 202()m x m ⎛⎫=-> ⎪⎝⎭>, 从而()0l x >,于是()l x 在10,2⎛⎫⎪⎝⎭上为增函数, 所以124ln 2(2)l x l ⎛⎫=- ⎪⎝⎭<, 故要使2ln 21xa x >--恒成立,只要24ln 2,[)a ∈-+∞, 综上,若函数()f x 在10,2⎛⎫⎪⎝⎭上无零点,则a 的最小值为24ln2-.[选修4-4:坐标系与参数方程]22.(10分)在直角坐标系xOy 中,已知点2(1,)P -,直线1:2x m l y m =+⎧⎨=-+⎩(m 为参数),以坐标原点为极点,以x 轴的正半轴为极轴建立极坐标系;曲线C 的极坐标方程为2sin 3cos ρθθ=;直线l 与曲线C 的交点为A ,B . (1)求直线l 和曲线C 的普通方程. (2)求11||||PA PB +的值.【解答】解:(1)在平面直角坐标系xOy 中直线1:2x ml y m =+⎧⎨=-+⎩(m 为参数)的参数方程转化为普通方程为:30x y --=. 曲线C 的极坐标方程为2sin 3cos ρθθ=转化为普通方程为:22y x =.(2)把直线1:2x m l y m =+⎧⎨=-+⎩(m 为参数)转化为:122x y ⎧=+⎪⎪⎨⎪=-+⎪⎩(t 为参数),代入曲线方程:22y x =,得到:240t -+=,求得:12t t +=124t t ⋅=,所以:11||||||||||||PA PB PA PB PA PB ++===⋅.[选修4-5:不等式选讲]23.已知函数1()||||2f x x x a x =-++--. (Ⅰ)当1a =时,求不等式()0f x >的解集.(Ⅱ)设1a >-,且存在01)[,x a ∈-,使得0()0f x ≤,求a 的取值范围. 【解答】解:(Ⅰ)当1a =时, 不等式即||1|1|20x x x +++-->,等价于11(1)20x x x x ⎧⎨-+---->⎩≤或11(1)120x x x x -<<⎧⎨-++-->⎩或1(1)(1)20x x x x ⎧⎨-++-->⎩≥,解得1x -≤或10x -<<或2x >, 即不等式()0f x >的解集为()(),02,-∞+∞.(Ⅱ)当,1[)x a ∈-时,()1f x a x =--,不等式()0f x ≤可化为1a x +≤,若存在0[,1)x a ∈-,使得0()0f x ≤,则2a <, 所以a 的取值范围为()1,2-.。
高三下学期数学(文科)模拟考试卷(带参考答案与解析)注意事项:1.答卷前,考生务必将自己的姓名、准考证号填写在答题卡上。
2.答选择题时,则选出每小题答案后,用铅笔把答题卡上对应题目的答案标号涂黑。
如需改动,用橡皮擦干净后,再选涂其他答案标号。
回答非选择题时,则将答案写在答题卡上。
写在本试卷上无效。
3.本试卷共22题,共150分,共4页。
考试结束后,将本试卷和答题卡一并交回。
一、选择题:本题共8小题,每小题5分,共40分。
在每小题给出的四个选项中只有一项是符合题目要求的。
1.已知向量(2,1)a =和(3,2)b =,则()a a b ⋅-=( ) A .-5 B .-3C .3D .52.不等式312x >+的解集为( ) A .{1,2}x x x <≠- B .{1}x x >C .{21}x x -<<D .{21}x x x <->或3.直线x +ay -3=0与直线(a +1)x +2y -6=0平行,则a =( )A .-2B .1C .-2或1D .-1或24.古希腊科学家阿基米德发明了享誉世界的汲水器,称为阿基米德螺旋泵,两千多年后的今天,左图所示的螺旋泵,仍在现代工农业生产中使用,其依据是“阿基米德螺线”.在右图所示的平面直角坐标系xOy 中点A 匀速离开坐标系原点O ,同时又以固定的角速度绕坐标系原点O 逆时针转动,产生的轨迹就是“阿基米德螺线”,该阿基米德螺线与坐标轴交点依次为A 1(-1,0),A 2(0,-2),A 3(3,0),A 4(0,4),A 5(-5,0),…按此规律继续,若四边形123n n n n A A A A +++的面积为220,则n =( )A .7B .8C .9D .105.△ABC 中AC =,BC =和60A =︒,则cos B =( )A .2±B .12±C .12D .26.设函数()f x 满足(1)()0f x f x ++=,当0≤x <1时,则1()2xf x -=,则()0.5log 8f =( ) A .-2B .12-C .12D .27.若cos 0,2(sin 2)1cos2αααα≠+=+,则tan2α=( ) A .43-B .34-C .34D .438.设函数()y f x =由关系式||||1x x y y +=确定,函数(),0,()(),0.f x xg x f x x -≥⎧=⎨-<⎩,则( )A .g (x )为增函数B .g (x )为奇函数C .g (x )值域为[1,)-+∞D .函数()()y f x g x =--没有正零点二、选择题:本题共4小题,每小题5分,共20分.在每小题给出的选项中有多项符合题目要求.全部选对的得5分,部分选对的得2分,有选错的得0分。
高考数学模拟题复习试卷习题资料高考数学试卷(文科)(附详细答案)(11)一、填空题(本大题共14题,满分56分)考生应在答题纸相应编号的空格内直接填写结果,每个空格填对得4分,否则一律得零分。
1.(4分)若复数z=1+2i,其中i是虚数单位,则(z+)•=.2.(4分)函数y=1﹣2cos2(2x)的最小正周期是.3.(4分)设常数a∈R,函数f(x)=|x﹣1|+|x2﹣a|,若f(2)=1,则f(1)=.4.(4分)若抛物线y2=2px的焦点与椭圆的右焦点重合,则该抛物线的准线方程.5.(4分)某校高一、高二、高三分别有学生1600名,1200名,800名.为了解该校高中学生的牙齿健康状况,按各年级的学生数进行分层抽样,若高三抽取20名学生,则高一、高二共需抽取的学生数为.6.(4分)若实数x,y满足xy=1,则x2+2y2的最小值为.7.(4分)若圆锥的侧面积是底面积的3倍,则其母线与轴所成角的大小为(结果用反三角函数值表示)8.(4分)在长方体中割去两个小长方体后的几何体的三视图如图所示,则切割掉的两个小长方体的体积之和等于.9.(4分)设f(x)=,若f(0)是f(x)的最小值,则a的取值范围为.10.(4分)设无穷等比数列{an}的公比为q,若a1=(a3+a4+…an),则q=.11.(4分)若f(x)=﹣,则满足f(x)<0的x的取值范围是.12.(4分)方程sinx+cosx=1在闭区间[0,2π]上的所有解的和等于.13.(4分)为强化安全意识,某商场拟在未来的连续10天中随机选择3天进行紧急疏散演练,则选择的3天恰好为连续3天的概率是(结果用最简分数表示).14.(4分)已知曲线C:x=﹣,直线l:x=6,若对于点A(m,0),存在C上的点P和l上的Q使得+=,则m的取值范围为.二、选择题(共4题,满分20分)每题有且只有一个正确答案,选对得5分,否则一律得零分15.(5分)设a,b∈R,则“a+b>4”是“a>2且b>2”的()A.充分非必要条件B.必要非充分条件C.充要条件D.既非充分又非必要条件16.(5分)已知互异的复数a,b满足ab≠0,集合{a,b}={a2,b2},则a+b=()A.2B.1C.0D.﹣117.(5分)如图,四个边长为1的小正方形排成一个大正方形,AB是大正方形的一条边,Pi(i=1,2,…,7)是小正方形的其余顶点,则•(i=1,2,…,7)的不同值的个数为()A.7B.5C.3D.118.(5分)已知P1(a1,b1)与P2(a2,b2)是直线y=kx+1(k为常数)上两个不同的点,则关于x和y的方程组的解的情况是()A.无论k,P1,P2如何,总是无解B.无论k,P1,P2如何,总有唯一解C.存在k,P1,P2,使之恰有两解D.存在k,P1,P2,使之有无穷多解三、解答题(共5小题,满分74分)19.(12分)底面边长为2的正三棱锥P﹣ABC,其表面展开图是三角形P1P2P3,如图,求△P1P2P3的各边长及此三棱锥的体积V.20.(14分)设常数a≥0,函数f(x)=.(1)若a=4,求函数y=f(x)的反函数y=f﹣1(x);(2)根据a的不同取值,讨论函数y=f(x)的奇偶性,并说明理由.21.(14分)如图,某公司要在A、B两地连线上的定点C处建造广告牌CD,其中D为顶端,AC长35米,CB长80米,设点A、B在同一水平面上,从A和B看D的仰角分别为α和β.(1)设计中CD是铅垂方向,若要求α≥2β,问CD的长至多为多少(结果精确到0.01米)?(2)施工完成后,CD与铅垂方向有偏差,现在实测得α=38.12°,β=18.45°,求CD的长(结果精确到0.01米).22.(16分)在平面直角坐标系xOy中,对于直线l:ax+by+c=0和点P1(x1,y1),P2(x2,y2),记η=(ax1+by1+c)(ax2+by2+c),若η<0,则称点P1,P2被直线l分隔,若曲线C与直线l没有公共点,且曲线C上存在点P1、P2被直线l分隔,则称直线l为曲线C的一条分隔线.(1)求证:点A(1,2),B(﹣1,0)被直线x+y﹣1=0分隔;(2)若直线y=kx是曲线x2﹣4y2=1的分隔线,求实数k的取值范围;(3)动点M到点Q(0,2)的距离与到y轴的距离之积为1,设点M的轨迹为E,求E 的方程,并证明y轴为曲线E的分隔线.23.(18分)已知数列{an}满足an≤an+1≤3an,n∈N*,a1=1.(1)若a2=2,a3=x,a4=9,求x的取值范围;(2)若{an}是等比数列,且am=,求正整数m的最小值,以及m取最小值时相应{an}的公比;(3)若a1,a2,…a100成等差数列,求数列a1,a2,…a100的公差的取值范围.高考模拟题复习试卷习题资料高考数学试卷(文科)(附详细答案)(11)参考答案与试题解析一、填空题(本大题共14题,满分56分)考生应在答题纸相应编号的空格内直接填写结果,每个空格填对得4分,否则一律得零分。
一中、正一中学2021届高三第十一次模拟考试制卷人:打自企;成别使;而都那。
审核人:众闪壹;春壹阑;各厅……日期:2022年二月八日。
文科数学试卷第一卷〔一共60分〕一、选择题:本大题一一共12个小题,每一小题5分,一共60分.在每一小题给出的四个选项里面,只有一项是哪一项符合题目要求的.满足〔为虚数单位〕,为的一共轭复数,那么〔〕A. B. C. D.【答案】A【解析】分析:把等式变形,利用复数代数形式的乘除运算化简,结合复数模的公式求解.详解:由,得,那么,,那么,应选A.点睛:复数是高考中的必考知识,主要考察复数的概念及复数的运算.要注意对实部、虚部的理解,掌握纯虚数、一共轭复数这些重要概念,复数的运算主要考察除法运算,通过分母实数化转化为复数的乘法,运算时特别要注意多项式相乘后的化简,防止简单问题出错,造成不必要的失分.中,,假设向该矩形内随机投一点,那么使得与的面积都不小于的概率为〔〕A. B. C. D.【答案】D【解析】,由题意知此题是一个几何概型的概率,以AB为底边,要使面积不小于2,由于,那么三角形的高要h⩾1,同样,P点到AD的间隔要不小于,满足条件的P的区域如图,其表示的区域为图中阴影局部,它的面积是,∴使得△ABP与△ADP的面积都不小于2的概率为:.应选D.为偶函数且在单调递减,那么的解集为〔〕A. B. C. D.【答案】B【解析】【分析】根据函数奇偶性的定义,求出a,b的关系,结合函数的单调性判断a的符号,然后根据不等式的解法进展求解即可.【详解】∵f〔x〕=〔x-1〕〔ax+b〕=ax2+〔b-a〕x-b为偶函数,∴f〔-x〕=f〔x〕,那么ax2-〔b-a〕x-b=ax2+〔b-a〕x-b,即-〔b-a〕=b-a,得b-a=0,得b=a,那么f〔x〕=ax2-a=a〔x2-1〕,假设f〔x〕在〔0,+∞〕单调递减,那么a<0,由f〔3-x〕<0得a[〔3-x〕2-1〕]<0,即〔3-x〕2-1>0,得x>4或者x<2,即不等式的解集为〔-∞,2〕∪〔4,+∞〕,应选B.【点睛】此题主要考察不等式的求解,根据函数奇偶性的性质求出a,b的关系是解决此题的关键.的离线率为,那么的值是〔〕A. B. C. D.【答案】C【解析】分析:可用排除法,验证与是否符合题意即可得结果.详解:可用排除法,当时,化为,离心率为,符合题意;当时,化为,离心率为,符合题意,的值是,应选C.点睛:用特例代替题设所给的一般性条件,得出特殊结论,然后对各个选项进展检验,从而做出正确的判断,这种方法叫做特殊法. 假设结果为定值,那么可采用此法. 特殊法是“小题小做〞的重要策略,排除法解答选择题是高中数学一种常见的解题思路和方法,这种方法即可以进步做题速度和效率.中,,那么〔〕A. B. C. D.【答案】C【解析】【分析】由可知为等腰三角形,取的中点,那么,故可得正确的选项.【详解】因为,所以,所以,所以为等腰三角形.取的中点,连接,那么,又,应选C.【点睛】向量的数量积的计算,有四种途径:〔1〕利用定义求解,此时需要知道向量的模和向量的夹角;〔2〕利用坐标来求,把数量积的计算归结坐标的运算,必要时需建立直角坐标系;〔3〕利用基底向量来计算,也就是用基底向量来表示未知的向量,从而未知向量数量积的计算可归结为基底向量的数量积的计算;〔4〕靠边靠角,也就是利用向量的线性运算,把未知向量的数量积转化到题设中的角或者边对应的向量.6.如图程序中,输入,那么输出的结果为〔〕A. B. C. D. 无法确定【答案】B【解析】【分析】该程序是求中的最大值,比拟三者的大小可得输出结果.【详解】该程序是求的最大值,因为,,,故的最大值为,应选B.【点睛】此题考察条件语句,为根底题.注意对数的大小比拟,可通过寻找适宜的单调函数来构建大小关系,假如底数不统一,可以利用对数的运算性质统一底数.不同类型的数比拟大小,应找一个中间数,通过它实现大小关系的传递.图像上的每一个点的横坐标缩短为原来的一半,纵坐标不变,再将所得图像向左平移个单位得到数学函数的图像,在图像的所有对称轴中,离原点最近的对称轴为〔〕A. B. C. D.【答案】A【解析】分析:根据平移变换可得,根据放缩变换可得函数的解析式,结合对称轴方程求解即可.详解:将函数的图象上的每个点的横坐标缩短为原来的一半,纵坐标不变,得到,再将所得图象向左平移个单位得到函数的图象,即,由,得,当时,离原点最近的对称轴方程为,应选A.点睛:此题主要考察三角函数的图象与性质,属于中档题.由函数可求得函数的周期为;由可得对称轴方程;由可得对称中心横坐标.中,,BC边上的高等于,那么A. B. C. D.【答案】D【解析】试题分析:设边上的高线为,那么,所以.由正弦定理,知,即,解得,应选D.【考点】正弦定理【方法点拨】在平面几何图形中求相关的几何量时,需寻找各个三角形之间的联络,穿插使用公一共条件,常常将所涉及到几何量与所求几何集中到某一个三角形,然后选用正弦定理与余弦定理求解.九章算术记载:“刍甍者,下有袤有广,而上有袤无丈刍,草也;甍,屋盖也〞翻译为:“底面有长有宽为矩形,顶部只有长没有宽为一条棱刍甍字面意思为茅草屋顶〞如图,为一刍甍的三视图,其中正视图为等腰梯形,侧视图为等腰三角形那么它的体积为A. B. 160 C. D. 64【答案】A【解析】分析:由三视图可知该刍甍是一个组合体,它由成一个直三棱柱和两个全等的四棱锥组成,根据三视图中的数据可得其体积.详解:由三视图可知该刍甍是一个组合体,它由成一个直三棱柱和两个全等的四棱锥组成,根据三视图中的数据,求出棱锥与棱柱的体积相加即可,,应选A.点睛:此题利用空间几何体的三视图重点考察学生的空间想象才能和抽象思维才能,属于难题.三视图问题是考察学生空间想象才能最常见题型,也是高考热点.观察三视图并将其“翻译〞成直观图是解题的关键,不但要注意三视图的三要素“齐,长对正,宽相等〞,还要特别注意实线与虚线以及一样图形的不同位置对几何体直观图的影响,对简单组合体三视图问题,先看俯视图确定底面的形状,根据正视图和侧视图,确定组合体的形状.焦点与双曲线一个焦点重合,过点的直线交于点、,点处的切线与、轴分别交于、,假设的面积为,那么的长为〔〕A. B. C. D.【答案】C【解析】【分析】双曲线的一个焦点为,所以,设点,那么利用导数得到处切线方程,求出的坐标后利用的面积为4得到,最后利用焦半径公式可求.【详解】双曲线的一个焦点为,所以.设点,故抛物线在点处切线的斜率为,切线方程为,所以,所以,故,,应选C.【点睛】假设求抛物线上点的切线,我们一般可利用导数求出切线的斜率,再结合切线方程讨论相关问题.注意求焦半径的大小时应利用抛物线的焦半径公式来求.存在唯一的零点,且,那么实数的范围为〔〕A. B. C. D.【答案】B【解析】【分析】分三种情形讨论,后两者情形可结合函数的单调性和零点存在定理去讨论.【详解】假设,那么,令,那么,不满足题设要求.假设,那么,当时,,在上为增函数,当时,,在上为减函数,当时,,在上为增函数,因,且,所以在有一个零点,与题设矛盾,舎.假设,那么,当时,,在上为减函数,当时,,在上为增函数,当时,,在上为减函数,因为有且只有一个负零点,所以,整理得到,故或者〔舎〕.当时,,由零点存在定理可知在有且只有一个负零点,结合的单调性及可知在上有且只有一个负零点.综上,,应选B.【点睛】函数零点个数的判断,需利用函数的单调性和零点存在定理来判断,选择怎样的点来计算其函数值且函数值异号是关键,可根据解析的特点选取适宜的点.;;;A. 1B. 2C. 3D. 4【答案】C【解析】【分析】此题首先可以构造函数,然后通过导数计算出函数的单调性以及最值,然后通过对①②③④四组数字进展适当的变形,通过函数的单调性即可比拟出大小。
高三数学文科模拟考试 (含答案)高三模拟考试数学(文科)本试卷分第Ⅰ卷(选择题)和第Ⅱ卷(非选择题),共4页,满分150分,考试时间120分钟。
考生作答时,请将答案涂在答题卡上,不要在试题卷和草稿纸上作答。
考试结束后,请将答题卡交回。
第Ⅰ卷(选择题,共60分)注意事项:请使用2B铅笔在答题卡上涂黑所选答案对应的标号。
第Ⅰ卷共12小题。
1.设集合A={x∈Z|x+1<4},集合B={2,3,4},则A∩B的值为A.{2,4}。
B.{2,3}。
C.{3}。
D.空集2.已知x>y,且x+y=2,则下列不等式成立的是A.x1.D.y<-113.已知向量a=(x-1,2),b=(x,1),且a∥b,则x的值为A.-1.B.0.C.1.D.24.若___(π/2-θ)=2,则tan2θ的值为A.-3.B.3.C.-3/3.D.3/35.某单位规定,每位职工每月用水不超过10立方米的,按每立方米3元收费;用水超过10立方米的,超过的部分按每立方米5元收费。
某职工某月缴水费55元,则该职工这个月实际用水为()立方米。
A.13.B.14.C.15.D.166.已知命题p:“存在实数x使得e^x=1”,命题q:“对于任意实数a和b,如果a-1=b-2,则a-b=-1”,下列命题为真的是A.p。
B.非q。
C.p或q。
D.p且q7.函数f(x)满足f(x+2)=f(x),且当-1≤x≤1时,f(x)=|x|。
若函数y=f(x)的图象与函数y=log_a(x)(a>0且a≠1)的图象有且仅有4个交点,则a的取值集合为A.(4,5)。
B.(4,6)。
C.{5}。
D.{6}8.已知函数f(x)=sin(θx)+3cos(θx)(θ>0),函数y=f(x)的最高点与相邻最低点的距离是17.若将y=f(x)的图象向右平移1个单位得到y=g(x)的图象,则函数y=g(x)图象的一条对称轴方程是A.x=1.B.x=2.C.x=5.D.x=6删除了格式错误的部分,对每段话进行了简单的改写,使其更流畅易懂。
高考文科数学模拟试题精编(十一)(考试用时:120分钟试卷满分:150分) 注意事项:1.作答选择题时,选出每小题答案后,用2B铅笔在答题卡上对应题目选项的答案信息点涂黑;如需要改动,用橡皮擦干净后,再选涂其他答案。
答案不能答在试卷上。
2.非选择题必须用黑色字迹的钢笔或签字笔作答,答案必须写在答题卡各题目指定区域内相应位置上;如需改动,先划掉原来的答案,然后再写上新答案;不准使用铅笔和涂改液。
不按以上要求作答无效。
3.考生必须保证答题卡的整洁。
考试结束后,将试卷和答题卡一并交回。
第Ⅰ卷一、选择题(本大题共12小题,每小题5分,共60分.在每小题给出的四个选项中,只有一项是符合题目要求的.)1.设A,B是两个非空集合,定义集合A-B={x|x∈A且x∉B},若A={x∈Z|0≤x≤5},B={x|x2-7x+10<0},则A-B的真子集个数为( )A.3 B.4C.7 D.152.设(1+i)(x+y i)=2,其中x,y是实数,则|2x+y i|=( ) A.1 B. 2 C. 3D. 53.为了解某校高三学生数学调研测试的情况,学校决定从甲、乙两个班中各抽取10名学生的数学成绩(满分150分)进行深入分析,得到如图所示的茎叶图,茎叶图中某学生的成绩因特殊原因被污染了,如果甲、乙两个班被抽取的学生的平均成绩相同,则被污染处的数值为( )A.6 B .7 C .8 D .94.设x ∈R ,则“x <2”是“x 2-x -2<0”的( ) A .充分不必要条件 B .必要不充分条件 C .充要条件 D .既不充分也不必要条件5.若将函数y =3sin ⎝⎛⎭⎪⎫2x +π3+12的图象向右平移π6个单位长度,则平移后图象的对称中心为( )A.⎝ ⎛⎭⎪⎫k π2+π4,12(k ∈Z)B.⎝ ⎛⎭⎪⎫k π2+π4,0(k ∈Z)C.⎝ ⎛⎭⎪⎫k π2,12(k ∈Z)D.⎝ ⎛⎭⎪⎫k π2,0(k ∈Z). 6.已知F 1,F 2分别是双曲线C :x 2a 2-y 2b2=1(a >0,b >0)的两个焦点,若在双曲线上存在点P 满足2|PF 1→+PF 2→|≤|F 1F 2→|,则双曲线C 的离心率的取值范围是( )A.(1,2] B.(1,2]C.[2,+∞) D.[2,+∞)7.某几何体的三视图如图所示,图中的四边形都是正方形,两条虚线互相垂直,若该几何体的体积是1603,则该几何体的表面积为( )A.96+16 2 B.80+16 2C.80 D.1128.执行如图所示的程序框图,若输出的值为-5,则判断框中可以填( )A.z>10 B.z≤10C.z>20 D.z≤209.已知{a n}满足a1=1,a n+a n+1=2n,数列的前n项和为S n,则S2 018的值为( )A.1 0072×2 B.1 0082×2C.1 0092×2 D.2 0182×210.如图,“赵爽弦图”是由四个全等的直角三角形(阴影部分)围成一个大正方形,中间空出一个小正方形组成的图形,若在大正方形内随机取一点,该点落在小正方形内的概率为15,则图中直角三角形中较大锐角的正弦值为( )A.55 B.255 C.15 D.3311.椭圆x 25+y 24=1的左焦点为F ,直线x =a 与椭圆相交于点M ,N ,当△FMN 的周长最大时,△FMN 的面积是( )A.55B.655C.855D.45512.已知函数f (x )=e xx-kx (e 为自然对数的底数)有且只有一个零点,则实数k 的取值范围是( )A .(0,2) B.⎝⎛⎭⎪⎫0,e 24C .(0,e)D .(0,+∞)第Ⅱ卷二、填空题(本大题共4小题,每小题5分,共20分.把答案填在题中横线上)13.如果实数x ,y 满足约束条件⎩⎪⎨⎪⎧2x +y -4≤0,x -y -1≤0,x ≥1,则z =3x+2y 的最大值为________.14.已知函数f(x)=e x,若关于x的不等式[f(x)]2-2f(x)-a≥0在[0,1]上有解,则实数a的取值范围为________.15.已知数列{a n}满足a1=1,a2=2,前n项和为S n满足S n+2=2S n+1-S n+1,则数列{a n}的前n项和S n=________.16.在正四面体ABCD中,M,N分别是BC和DA的中点,则异面直线MN和CD所成角的余弦值为________.三、解答题(共70分.解答应写出文字说明、证明过程或演算步骤.第17~21题为必考题,每个试题考生都必须作答.第22、23题为选考题,考生根据要求作答.)(一)必考题:共60分.17.(本小题满分12分)已知△ABC的内角A,B,C的对边分别为a,b,c,sin C=-3cos A cos B,tan A tan B=1-3,c=10.(1)求sin A+sin Ba+b的值;(2)若1a+1b=1,求△ABC的周长与面积.18.(本小题满分12分)某校高一年级学生全部参加了体育科目的达标测试,现从中随机抽取40名学生的测试成绩,整理数据并按分数段[40,50),[50,60),[60,70),[70,80),[80,90),[90,100)进行分组,假设同一组中的每个数据可用该组区间的中点值代替,则得到体育成绩的折线图(如下).(1)体育成绩大于或等于70分的学生常被称为“体育良好”.已知该校高一年级有1 000名学生,试估计该校高一年级中“体育良好”的学生人数;(2)为分析学生平时的体育活动情况,现从体育成绩在[60,70)和[80,90)的样本学生中随机抽取2人,求在抽取的2名学生中,至少有1人体育成绩在[60,70)的概率.19.(本小题满分12分)如图,在四棱锥P-ABCD中,底面ABCD是梯形,且BC∥AD,AD=2BC,点M是线段AD的中点,且PM⊥AB,△APD是等腰三角形,且∠APD=120°,BD=2AB=4,∠ADB=30°.(1)求证:平面APD⊥平面PMC;(2)求三棱锥B-PCD的体积.20.(本小题满分12分)已知圆N:(x-1)2+y2=1,点P是曲线y2=2x上的动点,过点P分别向圆N引切线PA,PB(A,B为切点).(1)若P(2,2),求切线的方程;(2)若切线PA,PB分别交y轴于点Q,R,点P的横坐标大于2,求△PQR的面积S的最小值.21.(本小题满分12分)设函数f(x)=e2x+a e x,a∈R(1)当a=-4时,求f(x)的单调区间;(2)若对x∈R,f(x)≥a2x恒成立,求实数a的取值范围.(二)选考题:共10分.请考生在第22、23题中任选一题作答.如果多做,则按所做的第一题计分.22.(本小题满分10分)选修4-4:坐标系与参数方程在以直角坐标原点O为极点,x的非负半轴为极轴的极坐标系下,曲线C的方程是ρ=2sin θ.(1)求曲线C 的直角坐标方程;(2)过曲线C 1:⎩⎪⎨⎪⎧x =cos αy =sin α(α为参数)上一点T 作C 1的切线交曲线C 于不同两点M ,N 求|TM |·|TN |的取值范围.23.(本小题满分10分)选修4-5:不等式选讲 已知f (x )=|x -a |x(a ∈R).(1)若a =1,解不等式f (x )<2x;(2)若对任意的x ∈[1,4],都有f (x )<4x 成立,求实数a 的取值范围.高考文科数学模拟试题精编(十一)1.解析:选D.由题意知A ={0,1,2,3,4,5},B ={x |2<x <5},A -B ={0,1,2,5},故A -B 的真子集有24-1=15个.2.解析:选D.∵(1+i)(x +y i)=(x -y )+(x +y )i =2,∴⎩⎪⎨⎪⎧x -y =2x +y =0,解得⎩⎪⎨⎪⎧x =1y =-1,∴|2x +y i|=|2-i|=22+(-1)2= 5.3.解析:选C.通解:由茎叶图可知,乙班的10名学生的成绩分别为88,96,97,98,101,102,103,105,111,129,所以x乙=88+96+97+98+101+102+103+105+111+12910=103,对于甲班,不妨设被污染处的数值为x ,则x 甲=85+87+94+97+98+105+108+116+110+x +12210=103,所以x =8,即被污染处的数值为8.优解:由茎叶图可知,乙班的10名学生的成绩同时减去100,分别为-12,-4,-3,-2,1,2,3,5,11,29,所以x 乙=100+-12-4-3-2+1+2+3+5+11+2910=103,对于甲班,设被污染处的数值为x ,甲班的10名学生的成绩同时减去100,分别为-15,-13,-6,-3,-2,5,8,16,10+x,22,所以x甲=100+-15-13-6-3-2+5+8+16+10+x +2210=103,所以x =8,即被污染处的数值为8.4.解析:选B.不等式x 2-x -2<0的解为-1<x <2.所以x <2是-1<x <2的必要不充分条件.5.解析:选C.y =3sin ⎝ ⎛⎭⎪⎫2x +π3+12的图象向右平移π6个单位长度得到y =3sin ⎣⎢⎡⎦⎥⎤2⎝ ⎛⎭⎪⎫x -π6+π3+12=3sin 2x +12的图象,由2x =k π,k ∈Z 得x =k π2,k ∈Z ,所以对称中心为⎝ ⎛⎭⎪⎫k π2,12(k ∈Z).故选C.6.解析:选D.设O 为坐标原点,由2|PF 1→+PF 2→|≤|F 1F 2→|,得4|PO →|≤2c (2c 为双曲线的焦距),∴|PO →|≤12c ,又由双曲线的性质可得|PO→|≥a ,于是a ≤12c ,e ≥2.故选D.7.解析:选B.该几何体为一个正方体去掉一个倒四棱锥,倒四棱锥顶点为正方体中心,底面为正方体上底面,设三视图中正方形的边长为a ,因此有a 3-13×a 2×a 2=1603,解得a =4,所以该几何体的表面积为5a 2+4×a2×22a =(5+2)a 2=80+16 2.8.解析:选D.第一次循环,得z =3,x =2,y =3;第二次循环,得z =5,x =3,y =5;第三次循环,得z =8,x =5,y =8;第四次循环,得z =13,x =8,y =13;第五次循环,得z =21,观察可知,要想输出-5,则z ≤20.故选D.9.解析:选C.∵a n +a n +1=2n ,∴a n +1+a n +2=2(n +1),两式相减可得a n +2-a n =2.又n =1时,a 1+a 2=2,∴a 2=1,∴a 1,a 3,……构成以a 1为首项,公差为2的等差数列,a 2,a 4,……也构成以a 2为首项,公差为2的等差数列.∴S 2 018=(a 1+a 3)+…+(a 2 017)+(a 2+a 4+…+a 2 018)=2(a 1+a 3+…+a 2 017),∴S 2 018=2(1 009×1+1 009×1 0082×2)=1 0092×2.故选C.10.解析:选B.通解:设大正方形的边长为1,直角三角形较大的锐角为α,则小正方形的边长为sin α-cos α,所以(sin α-cos α)2=15,所以sin α-cos α=55,两边平方得2sin αcos α=45,所以sin α=255,故选B.优解:由赵爽弦图可知,直角三角形较大的锐角一定大于π4,所以其正弦值一定大于22,故排除选项A ,C ,D ,选B. 11.解析:选C.设椭圆的右焦点为E ,由椭圆的定义知△FMN 的周长为L =|MN |+|MF |+|NF |=|MN |+(25-|ME |)+(25-|NE |).因为|ME |+|NE |≥|MN |,所以|MN |-|ME |-|NE |≤0,当直线MN 过点E 时取等号,所以L =45+|MN |-|ME |-|NE |≤45,即直线x =a 过椭圆的右焦点E 时,△FMN 的周长最大,此时S △FMN =12×|MN |×|EF |=12×2×45×2=855,故选C.12.解析:选B.由题意,知x ≠0,函数f (x )有且只有一个零点等价于方程e xx -kx =0只有一个根,即方程e xx2=k 只有一个根,设g (x )=e x x 2,则函数g (x )=e xx2的图象与直线y =k 只有一个交点.因为g ′(x )=(x -2)e x x3,所以函数g (x )在(-∞,0)上为增函数,在(0,2)上为减函数,在(2,+∞)上为增函数,g (x )的极小值为g (2)=e 24,且x →0时,g (x )→+∞,x →-∞时,g (x )→0,x →+∞时,g (x )→+∞,则g (x )的图象如图所示,由图易知0<k <e 24,故选B.13.解析:根据约束条件画出可行域如图中阴影部分所示,作直线3x +2y =0,平移该直线,当直线过A (1,2)时,3x +2y 取最大值7.答案:714.解析:由[f (x )]2-2f (x )-a ≥0在[0,1]上有解,可得a ≤[f (x )]2-2f (x ),即a ≤e 2x -2e x .令g (x )=e 2x -2e x (0≤x ≤1),则a ≤g (x )max ,因为0≤x ≤1,所以2x >x ,即e 2x >e x ,∴g ′(x )=2(e 2x -e x )>0,∴g (x )在[0,1]上为增函数.g (x )max =g (1)=e 2-2e ,即a ≤e 2-2e ,故实数a 的取值范围是(-∞,e 2-2e].答案:(-∞,e 2-2e]15.解析:S n +2=2S n +1-S n +1化为(S n +2-S n +1)-(S n +1-S n )=1,即a n +2-a n +1=1,又a 2-a 1=1,故{a n }为等差数列,公差d =1,a 1=1,所以S n =n ×1+n (n -1)2×1=n 2+n2.答案:n 2+n216.解析:如图,取AC 的中点E ,连接NE ,ME ,由E ,N 分别为AC ,AD 的中点,知NE ∥CD ,故MN 与CD 所成的角即MN 与NE 的夹角,即∠MNE .设正四面体的棱长为2,可得NE =1,ME =1,MN =AM 2-AN 2=(3)2-1=2,故cos ∠MNE =NE 2+MN 2-ME 22NE ·MN =22.答案:2217.解:(1)由sin C =-3cos A cos B 可得sin(A +B )=-3cosA cosB ,即sin A cos B +cos A sin B =-3cos A cos B ,因为tan A tan B =1-3,所以A ,B ≠π2,两边同时除以cos A cos B ,得到tan A+tan B =-3,因为tan(A +B )=tan(π-C )=-tan C ,tan(A +B )=tan A +tan B 1-tan A tan B =-31-1+3=-3,所以tan C =3,(3分) 又0<C <π,所以C =π3.(4分)根据正弦定理得asin A =bsin B =csin C=1032=2330, 故a =2330sin A ,b =2330sin B ,(5分)故sin A +sin B a +b =sin A +sin B 2330sin A +2330sin B =3020.(6分)(2)由(1)及余弦定理可得cos π3=a 2+b 2-c22ab ,因为c =10,所以a 2+b 2-10=ab ,即(a +b )2-2ab -10=ab ,(8分)又由1a +1b=1可得a +b =ab ,故(ab )2-3ab -10=0,解得ab =5或ab =-2(舍去),此时a +b =ab =5,所以△ABC 的周长为5+10,(10分) △ABC 的面积为12×5×sin π3=534.(12分)18.解:(1)由折线图,知样本中体育成绩大于或等于70分的学生人数为14+3+13=30.(2分)所以该校高一年级中,“体育良好”的学生人数大约为 1 000×3040=750.(4分)(2)设“至少有1人体育成绩在[60,70)”为事件M ,记体育成绩在[60,70)的数据为A 1,A 2,体育成绩在[80,90)的数据为B 1,B 2,B 3,则从这两组数据中随机抽取2个,所有可能的结果有10种,即(A 1,A 2),(A 1,B 1),(A 1,B 2),(A 1,B 3),(A 2,B 1),(A 2,B 2),(A 2,B 3),(B 1,B 2),(B 1,B 3),(B 2,B 3).(8分)而事件M 的结果有7种,即(A 1,A 2),(A 1,B 1),(A 1,B 2),(A 1,B 3),(A 2,B 1),(A 2,B 2),(A 2,B 3),因此事件M 的概率P (M )=710.(12分)19.解:(1)证明:设AD =x ,由BD =2AB =4,∠ADB =30°及余弦定理,得22=42+x 2-2×4×x ×cos 30°,即x 2-43x +12=0,解得x =23,即AD =23,于是AD 2+AB 2=BD 2,所以AB ⊥AD .(2分)又PM ⊥AB ,且PM ,AD ⊂平面APD ,PM ∩AD =M ,所以AB ⊥平面APD .(4分)又AM ∥BC ,且AM =BC ,所以四边形ABCM 是平行四边形,所以AB ∥MC ,所以MC ⊥平面APD ,又MC ⊂平面PMC ,所以平面APD ⊥平面PMC .(6分)(2)由△APD 是等腰三角形,且∠APD =120°,点M 是线段AD 的中点,得AM =MD =3,PA =PD =AMcos 30°=2,PM =DM tan 30°=1,PM ⊥AD ,(10分)由(1)知PM ⊥平面ABCD ,所以V B -PCD =V P -BCD =13×⎝ ⎛⎭⎪⎫12×BC ×MC ×MP=13×⎝ ⎛⎭⎪⎫12×3×2×1=33.(12分) 20.解:(1)由题意知,圆N 的圆心为(1,0),半径为1,因为P (2,2),所以其中一条切线的方程为x =2.(2分)设另一条切线的斜率为k ,则其方程为y -2=k (x -2),即y =kx +2-2k ,圆心(1,0)到切线的距离d =|k +2-2k |k 2+1=1,解得k =34,此时切线的方程为y =34x +12.(5分)综上,切线的方程为x =2或y =34x +12.(6分)(2)设P (x 0,y 0)(x 0>2),则y 20=2x 0,Q (0,a ),R (0,b ),则k PQ=y 0-a x 0,所以直线PQ 的方程为y =y 0-ax 0x +a ,即(y 0-a )x -x 0y +ax 0=0,因为直线PQ 与圆N 相切,所以|y 0-a +ax 0|(y 0-a )2+x 20=1,即(x 0-2)a 2+2y 0a -x 0=0,(8分)同理,由直线PR 与圆N 相切,得(x 0-2)b 2+2y 0b -x 0=0,所以a ,b 是方程(x 0-2)x 2+2y 0x -x 0=0的两根,其判别式Δ=4y 20+4x 0(x 0-2)=4x 20>0,a +b =-2y 0x 0-2,ab =-x 0x 0-2,则|QR |=|a -b |=(a +b )2-4ab =2x 0x 0-2,(10分)S =12|QR |x 0=x 20x 0-2=(x 0-2+2)2x 0-2=x 0-2+4x 0-2+4≥8,当且仅当x 0-2=4x 0-2即x 0=4时,S min =8.(12分) 21.解:(1)当a =-4时,f (x )=e 2x -4e x ,f ′(x )=2e 2x -4e x=2e x (e x -2),x ∈R.由f ′(x )>0,得e x >2,即x >ln 2;由f ′(x )<0,得e x <2,得x <ln 2.∴f (x )的单调递增区间为(ln 2,+∞),单调递减区间为(-∞,ln 2).(4分)(2)f (x )≥a 2x ⇔e 2x +a e x -a 2x ≥0,令g (x )=e 2x +a e x -a 2x ,g ′(x )=2e 2x +a e x -a 2=(2e x -a )(e x +a ).(6分)①当a =0时,g (x )=e 2x >0,显然g (x )≥0成立.②当a >0时,由g ′(x )>0,得x >ln a2,g (x )在区间⎝ ⎛⎭⎪⎫ln a 2,+∞上单调递增;(8分)由g ′(x )<0,得x <ln a2,g (x )在区间⎝⎛⎭⎪⎫-∞,ln a 2上单调递减.∴g (x )min =g ⎝ ⎛⎭⎪⎫ln a 2=34a 2-a 2ln a2≥0,∵a >0,∴0<a ≤2e 34.(10分)③当a <0时,由g ′(x )>0,得x >ln(-a ),g (x )在区间 (ln(-a ),+∞)上单调递增,由g ′(x )<0,得x <ln(-a ),g (x )在区间(-∞,ln(-a ))上单调递减,∴g (x )min =g (ln(-a ))=-a 2ln(-a )≥0. ∴a <0,∴-1≤a <0.综上,实数a 的取值范围是[-1,2e 34].(12分)22.解:(1)依题意,由ρ=2sin θ得ρ2=2ρsin θ,∴x 2+y 2=2y ,所以曲线C 的直角坐标方程为x 2+(y -1)2=1.(3分)(2)曲线C 1:⎩⎪⎨⎪⎧x =cos αy =sin α(α为参数)的直角坐标方程为:x 2+y 2=1,(5分)设T (x 0,y 0),切线MN 的倾斜角为θ,由题意知y 0∈(0,1],所以切线MN 的参数方程为:⎩⎪⎨⎪⎧x =x 0+t cos θy =y 0+t sin θ(t 为参数).(7分)代入C 的直角坐标方程得,t 2+2(x 0cos θ+y 0sin θ-sin θ)t +1-2y 0=0,设其两根为t 1,t 2,∴|TM |·|TN |=|t 1||t 2|=|t 1·t 2|=|1-2y 0|,因为1-2y 0∈[-1,1),所以|TM |·|TN |∈[0,1].(10分)23.解:(1)由已知得:|x -1|x <2x ,∴⎩⎪⎨⎪⎧x >0|x -1|<2解得0<x<3,或⎩⎪⎨⎪⎧x <0|x -1|>2解得x <-1.(4分)所以不等式的解集为:{x |0<x <3或x <-1}.(5分) (2)由题意知,|x -a |<4x 2,∴-4x 2<x -a <4x 2,x -4x 2<a <x+4x 2从而⎩⎪⎨⎪⎧a >x -4x 2a <x +4x 2,∵x ∈[1,4],∴-3<a <5.(10分)。