高等数学(2)第二次作业
- 格式:doc
- 大小:61.50 KB
- 文档页数:2
高等数学Ⅱ第二章习题课习题1(导数的定义)(1)设函数()y f x =在1x =处可导,且0(13)(1)1lim 3x f x f x ∆→+∆-=∆,求(1)f '。
(2)设函数()y f x =在0x =处连续,且0()lim x f x x →存在,求0(2)lim x f x x→。
【解】:(1)00(13)(1)(13)(1)1lim3lim 3(1)33x x f x f f x f f x x ∆→∆→+∆-+∆-'===∆∆, 所以 1(1)9f '=(2)因为0()lim x f x x→存在,故0lim ()0x f x →=,又函数()y f x =在0x =处连续,从而0(0)lim ()0x f f x →==,所以00(2)(2)(0)()(0)lim2lim 2lim 2(0)200x x t f x f x f f t f f x x t →→→--'===--2(求导法则)(1)设函数21()(1)(1)f x x x=+-,求()f x '; (2)设函数3()(1)cot f x x arc x =+,求(0)f '; (3)设3ln 1x xy x=+,求y '. 【解】:(1)21()1f x x x x =-++-, 21()21f x x x'=-+-(2)33()(1)cot (1)(cot )f x x arc x x arc x '''=+++32213cot 1x x arc x x +=-+所以 (0)1f '=-(3)33323232(ln )(1)(ln )(1)(1ln )(1)(ln )(3)(1)(1)x x x x x x x x x x x y x x ''+-+++-'==++ 33321ln (12)(1)x x x x ++-=+3(一元复合函数求导)(1)设函数()lnsin f x x =,求()f x ';(2)设函数ln y =y '; (3)设(4)ln f x x =,求()f x ';(4)设cos2f x =,求()f x '. 【解】:(1)2cos ()sin xf x x'=+(2)y '==(3)在(4)ln f x x =两边同时对x 求导,得 14(4)f x x '=,从而1(4)4f x x'= 所以 1()f x x'=(4)在cos2f x =两边同时对x 求导,得 2sin 2f x '=-,从而2f x '⋅=-所以 2()4sin 2f x x x '=-4(分段函数求导)(1)设函数212()2ax x f x x b x +≤⎧=⎨+>⎩在2x =处可导,求,a b ;(2)设函数20()20x ae x f x bx x ⎧<=⎨-≥⎩处处可导,求,a b 及()f x ';【解】:(1)函数在2x =处可导,在2x =处必连续。
高等数学基础第一次作业第1章 函数第2章 极限与连续(一) 单项选择题⒈下列各函数对中,(C )中的两个函数相等.A. 2)()(x x f =,x x g =)( B. 2)(x x f =,x x g =)(C. 3ln )(x x f =,x x g ln 3)(= D. 1)(+=x x f ,11)(2--=x x x g分析:判断函数相等的两个条件(1)对应法则相同(2)定义域相同A 、2()f x x ==,定义域{}|0x x ≥;x x g =)(,定义域为R定义域不同,所以函数不相等;B 、()f x x ==,x x g =)(对应法则不同,所以函数不相等;C 、3()ln 3ln f x x x ==,定义域为{}|0x x >,x x g ln 3)(=,定义域为{}|0x x > 所以两个函数相等D 、1)(+=x x f ,定义域为R ;21()11x g x x x -==+-,定义域为{}|,1x x R x ∈≠ 定义域不同,所以两函数不等。
故选C⒉设函数)(x f 的定义域为),(+∞-∞,则函数)()(x f x f -+的图形关于(C )对称. A. 坐标原点 B. x 轴 C. y 轴 D. x y = 分析:奇函数,()()f x f x -=-,关于原点对称偶函数,()()f x f x -=,关于y 轴对称()y f x =与它的反函数()1y f x -=关于y x =对称,奇函数与偶函数的前提是定义域关于原点对称设()()()g x f x f x =+-,则()()()()g x f x f x g x -=-+= 所以()()()g x f x f x =+-为偶函数,即图形关于y 轴对称故选C⒊下列函数中为奇函数是(B ).A. )1ln(2x y += B. x x y cos =C. 2xx a a y -+= D. )1ln(x y +=分析:A 、()()()()22ln(1)ln 1y x x xy x -=+-=+=,为偶函数B 、()()()cos cos y x x x x x y x -=--=-=-,为奇函数 或者x 为奇函数,cosx 为偶函数,奇偶函数乘积仍为奇函数C 、()()2x xa a y x y x -+-==,所以为偶函数 D 、()ln(1)y x x -=-,非奇非偶函数故选B⒋下列函数中为基本初等函数是(C ). A. 1+=x y B. x y -= C. 2xy = D. ⎩⎨⎧≥<-=0,10,1x x y 分析:六种基本初等函数(1) y c =(常值)———常值函数(2) ,y x αα=为常数——幂函数 (3) ()0,1x y a a a =>≠———指数函数 (4) ()log 0,1a y x a a =>≠———对数函数(5) sin ,cos ,tan ,cot y x y x y x y x ====——三角函数(6) [][]sin ,1,1,cos ,1,1,tan ,cot y arc x y arc x y arc x y arc x=-=-==——反三角函数分段函数不是基本初等函数,故D 选项不对 对照比较选C⒌下列极限存计算不正确的是(D ).A. 12lim 22=+∞→x x x B. 0)1ln(lim 0=+→x x C. 0sin lim =∞→x x x D. 01sin lim =∞→xx x分析:A 、已知()1lim 00n x n x→∞=>2222222211lim lim lim 1222101x x x x x x x x x x x →∞→∞→∞====++++ B 、0limln(1)ln(10)0x x →+=+=初等函数在期定义域内是连续的C 、sin 1limlim sin 0x x x x xx →∞→∞==x →∞时,1x是无穷小量,sin x 是有界函数,无穷小量×有界函数仍是无穷小量D 、1sin1lim sin lim1x x x x x x→∞→∞=,令10,t x x =→→∞,则原式0sin lim 1t t t →== 故选D⒍当0→x 时,变量(C )是无穷小量. A.x x sin B. x1C. xx 1sinD. 2)ln(+x 分析;()lim 0x af x →=,则称()f x 为x a →时的无穷小量A 、0sin lim1x xx →=,重要极限B 、01lim x x→=∞,无穷大量C 、01lim sin 0x x x →=,无穷小量x ×有界函数1sin x 仍为无穷小量D 、()0limln(2)=ln 0+2ln 2x x →+=故选C⒎若函数)(x f 在点0x 满足(A ),则)(x f 在点0x 连续。
一、单项选择题(共20道小题,共100.0分)1.曲线的拐点为()A.B.C.D.不存在知识点: 第五章导数的应用学生答案: [B;]标准答案:B;得分: [5] 试题分值:5.0提示:2.设,则曲线在区间内沿X轴正向()A.下降且为凹B.下降且为凸C.上升且为凹D.上升且为凸知识点: 第五章导数的应用学生答案: [A;]标准答案:A;得分: [5] 试题分值:5.0提示:3.设存在二阶导数,如果在区间内恒有(),则在内曲线上凹.A.B.C.D.知识点: 第五章导数的应用学生答案: [C;]标准答案:C;得分: [5] 试题分值:5.0提示:4.若曲线有拐点,则一定有( )A.B.C.不存在D.或不存在知识点: 第五章导数的应用学生答案: [D;]标准答案:D;得分: [5] 试题分值:5.0提示:5.设,则为在上的()A.极小值点但不是最小值点B.极小值点也是最小值点C.极大值点但不是最大值点D.极大值点也是最大值点知识点: 第五章导数的应用学生答案: [B;]标准答案:B;得分: [5] 试题分值:5.0提示:6.下列命题中正确的是()A.若为的极值点,则必有B.若,则必为的极值点C.若为的极值点,可能不存在D.若在内存在极大值,也存在极小值,则极大值必定大于极小值知识点: 第五章导数的应用学生答案: [C;]标准答案:C;得分: [5] 试题分值:5.0提示:7.()A. 1B.C.D.知识点: 第五章导数的应用学生答案: [C;]标准答案:C;得分: [5] 试题分值:5.0提示:8.已知,则( )A.B.C.D.知识点: 第五章导数的应用学生答案: [C;]标准答案:C;得分: [5] 试题分值:5.0提示:9.(错误)若是的一个原函数,则( ) A.B.C.D.知识点: 第六章不定积分学生答案: [C;]标准答案:B;得分: [0] 试题分值:5.0提示:10.设是的一个原函数,则()A.B.C.D.知识点: 第六章不定积分学生答案: [B;]标准答案:B;得分: [5] 试题分值:5.0提示:11.下列函数中,()是的原函数.A.B.C.D.知识点: 第六章不定积分学生答案: [D;]标准答案:D;得分: [5] 试题分值:5.0提示:12.( )A.0B.C.D.知识点: 第七章定积分及其应用学生答[C;] 标准答案: C;案:得分: [5] 试题分值: 5.0提示:13.设,,,则()A.B.C.D.知识点: 第七章定积分及其应用学生答[A;] 标准答案: A;案:得分: [5] 试题分值: 5.0提示:14.下列积分中,积分值为零的是()A.B.C.D.知识点: 第七章定积分及其应用学生答[A;] 标准答案: A;案:得分: [5] 试题分值: 5.0 提示:15.( )A.0B. 1C. 2D. 4知识点: 第七章定积分及其应用学生答[C;] 标准答案: C;案:得分: [5] 试题分值: 5.0 提示:16.( )A.0B.C.D.知识点: 第七章定积分及其应用学生答[B;] 标准答案: B;案:得分: [5] 试题分值: 5.0提示:17.设(为常数),则()A.B.C.D.知识点: 第七章定积分及其应用学生答[D;] 标准答案: D;案:得分: [5] 试题分值: 5.0提示:18.设函数在上是连续的,下列等式中正确的是()A.B.C.D.知识点: 第七章定积分及其应用学生答[C;] 标准答案: C;案:得分: [5] 试题分值: 5.0提示:19.(错误)设函数在上连续,则()A.小于零B.等于零C.大于零D.不能确定知识点: 第七章定积分及其应用学生答[D;] 标准答案: B;案:得分: [0] 试题分值: 5.0提示:20.设在闭区间上连续,()A.等于零B.小于零C.大于零D.不能确定知识点: 第七章定积分及其应用学生答[A;] 标准答案: A;案:得分: [5] 试题分值: 5.0 提示:21.。
1. 计算⎰Γ+s y x d )(22,其中Γ螺旋线⎪⎩⎪⎨⎧===bt z t a y t a x sin cos 上从0=t 到π2=t 的一段弧。
1.解:原积分= = 2. 求幂级数∑∞=+-⋅-11212)1(n nn n n x 的收敛域及收敛半径。
2.解:收敛区间为 ,收敛半径当,级数为,其中,应用Leibniz 判别法,级数收敛 (2分)当, 级数为 , 其中,应用Leibniz 判别法,级数收敛此幂级数的收敛域dt t z t y t x ds 222))(())(())(('+'+'=,sin )(t a t x -=',cos )(t a t y ='b t z =')(dt b a ds 22+=dtb a a 22202+⎰π2222b a a+π122)1(2)1()1(lim 2121132<=-+-+-++∞→x n x n x n n n n n nn )2,2(-2=r 2=x ∑∞=--112)1(n n n 0}2{↓n 2-=x n n n 2)1(1∑∞=-0}2{↓n ]2,2[-=E3. 求曲面zx y z ln+=在点(1,1,1)处的切平面方程和法线方程。
3. 解:令z x y z zx y z z y x F ln ln ln ),,(+--=--= 则x F x 1-=;1-=y F ;z F z 11+=; 所以1)1,1,1(-=x F ;1)1,1,1(-=y F ;2)1,1,1(=z F ;所以切平面方程为0)1)(1,1,1()1)(1,1,1()1)(1,1,1(=-+-+-z F y F x F z y x即0)1(2)1()1(1=-+----z y x 法平面方程为211111-=--=--z y x 4. 求微分方程032=-'-''y y y 的通解。
高等数学(2)第二次作业一、单项选择题1、若 f(x,y=xy, 则 f(x+y,x-y=(A. (x+y2B.(x-y2C.x2+y2D.x2-y22、若z=xy,则(A. eB.C. 1D. 03、若 z=exsiny, 则dz=(A. exsinydx+excosydyB. excosydxdyC. exsinydxD. exsinydy+excosydx4、若y-xey=0,则(A. B. C. D.5、函数的定义域为()A. x+y>0B. ln(x+y≠0C. x+y>1D. x+y≠1二、填空题1、函数的定义域是___________2、可微函数f(x,y在点(x0,y0达到极值,则必有________________3、曲线x=t(sint-1,y=t-cost,z=t2+1,当t=0时的切线方程为_____________4、曲面x2+x+y+z2=0过点(0,0,0的切平面方程为____________________5、设,其中u=ex,v=x+x2,则____________6、二元函数z=yx2+exy,则= ____________三、计算题1、,求 ,2、 ,求 ,3、 ,求dz4、 ,求u在点(1,1,1处的全微分5、设,求dz6、设,求 ,7、设exyz +lnz+lnx=1,求,8、求曲线x=acost,y=asint,z=bt(a,b都是常数)平行于平面x+y=4的切平面方程和此时的法平面方程(0t9、求曲面z=x2-y2平行于平面x+3y+z+9=0的切平面方程和此时的法线方程10、求原点到(x-y2-z2=1的最短距离。
高数II-2一、单项选择1、级数为( )• A、发散• B、条件收敛但不绝对收敛• C、绝对收敛但不条件收敛• D、绝对收敛且条件收参考答案 B2、曲线在t=2处的切向量是( )。
• A、(2,1, 4)•B、(4,3,4)•C、0•D、(−4,3, 4)参考答案 A3、在)处均存在是在处连续的()条件.• A、充分• B、必要• C、充分必要• D、既不充分也不必要参考答案 D4、设a为常数,则级数( )• A、绝对收敛• B、条件收敛• C、发散• D、敛散性与a的值有关参考答案 A5、二元函数的定义域是()。
• A、• B、• C、• D、参考答案 A6、方程表示的曲面是()。
• A、圆• B、椭球• C、抛物面• D、球面参考答案 D7、有且仅有一个间断点的函数是()。
• A、• B、• C、• D、参考答案 B8、下列级数中,收敛级数是()• A、• B、• C、• D、参考答案 A9、按牛顿冷却定律:物体在空气中冷却的速度与物体的温度和空气的温度之差成正比。
已知空气温度为300C,而物体在15分钟内从1000C冷却到700C,求物体冷却到400C所需的时间为()分钟.• A、50•B、51•C、52•D、53参考答案 C10、平面4y-7z=0的位置特点是()• A、平行于z轴• B、垂直于x轴• C、平行于y轴• D、通过x轴参考答案 D11、若满足,则交错级数。
• A、一定发散• B、一定收敛• C、可收敛也可发散• D、难以确定参考答案 C12、下列无穷级数中发散的是().• A、• B、• C、• D、参考答案 C13、下列说法正确的是() .• A、两直线之间的夹角范围在• B、两平面之间的夹角范围在• C、两向量之间的夹角范围在• D、直线和平面之间的夹角范围在参考答案 C14、级数收敛,则参数a满足条件()• A、a〉e•B、a〈e•C、a=e•D、a为任何实数参考答案 A15、下列方程中()是表示母线平行于y轴的双曲柱面。
《高等数学(二)》作业一、填空题1.点A (2,3,-4)在第 卦限。
2.设22(,)sin,(,)yf x y x xy y f tx ty x=--=则 .3。
4.设25(,),ff x y x y y x y∂=-=∂则。
5.设共域D 由直线1,0x y y x ===和所围成,则将二重积分(,)Df x y d σ⎰⎰化为累次积分得 。
6.设L 为连接(1,0)和(0,1)两点的直线段,则对弧长的曲线积分()Lx y ds +⎰= 。
7.平面2250x y z -++=的法向量是 。
8.球面2229x y z ++=与平面1x y +=的交线在0x y 面上的投影方程为 。
9.设22,z u v ∂=-=∂z而u=x-y,v=x+y,则x。
10.函数z =的定义域为 。
11.设n 是曲面22z x y =+及平面z=1所围成的闭区域,化三重积为(,,)nf x y z dx dy dz ⎰⎰⎰为三次积分,得到 。
12.设L 是抛物线2y x =上从点(0,0)到(2,4)的一段弧,则22()Lx y dx -=⎰。
13.已知两点12(1,3,1)(2,1,3)M M 和。
向量1212M M M M =的模 ;向量12M M 的方向余弦cos α= ,cos β= ,cos γ= 。
14.点M (4,-3,5)到x 轴的距离为 。
15.设sin ,cos ,ln ,dzz uv t u t v t dt=+===而则全导数。
16.设积分区域D 是:222(0)x y a a +≤>,把二重积分(,)Df x y dx dy ⎰⎰表示为极坐标形式的二次积分,得 。
17.设D 是由直线0,01x y x y ==+=和所围成的闭区域,则二重积分Dx d σ⎰⎰= 。
18.设L 为XoY 面内直线x=a 上的一段直线,则(,)Lp x y dx ⎰= 。
19.过点0000(,,)p x y z 作平行于z 轴的直线,则直线方程为 。
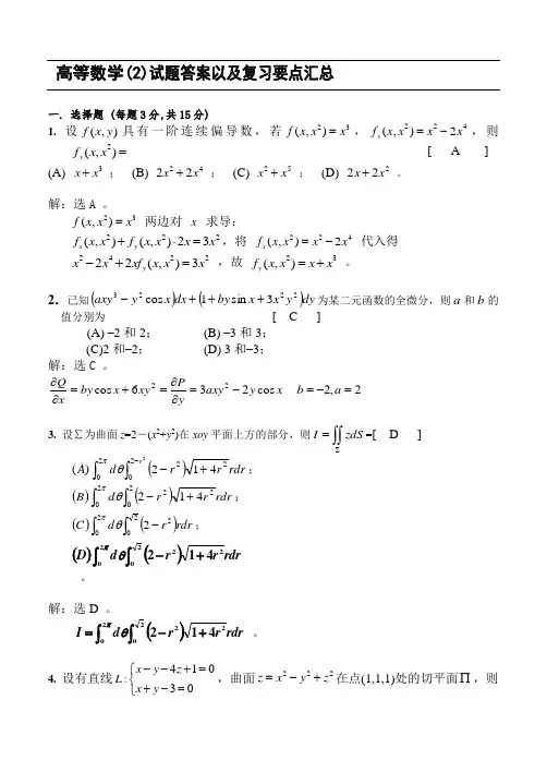
高等数学(2)试题答案以及复习要点汇总一. 选择题 (每题3分,共15分)1. 设(,)f x y 具有一阶连续偏导数,若23(,)f x x x =,224(,)2x f x x x x =-,则2(,)y f x x = [ A ](A) 3x x + ; (B) 2422x x + ; (C) 25x x + ; (D) 222x x + 。
解:选A 。
23(,)f x x x = 两边对 x 求导:222(,)(,)23x y f x x f x x x x +⋅=,将 224(,)2x f x x x x =- 代入得 242222(,)3y x x xf x x x -+= ,故 23(,)y f x x x x =+ 。
2.已知()()dy y x x by dx x y axy 22233sin 1cos +++-为某二元函数的全微分,则a 和b 的值分别为 [ C ] (A) –2和2; (B) –3和3; (C)2和–2; (D) 3和–3;解:选C 。
x y axy yPxy x by x Q cos 236cos 22-=∂∂=+=∂∂ 2,2=-=a b3. 设∑为曲面z =2-(x 2+y 2)在xoy 平面上方的部分,则⎰⎰∑=zdS I =[ D ]()⎰⎰-+-2202220412)(rrdr r r d A πθ;()()⎰⎰+-22220412rdr r r d B πθ; ()()⎰⎰-22202rdr r d C πθ;()()⎰⎰+-22220412rdr r r d D πθ。
解:选D 。
()⎰⎰+-=22220412rdr r r d I πθ 。
4. 设有直线410:30x y z L x y --+=⎧⎨+-=⎩,曲面222z x y z =-+在点(1,1,1)处的切平面∏,则2直线L 与平面∏的位置关系是: [ C ] (A) L ⊂∏; (B) //L ∏; (C) L ⊥∏; (D) L 与∏斜交 。
高等数学2课后习题答案高等数学2课后习题答案高等数学2作为大学数学课程的一部分,是一门相对较难的课程。
在学习过程中,课后习题是巩固和深化知识的重要手段。
然而,对于许多学生来说,课后习题往往是一个难以逾越的障碍。
因此,为了帮助大家更好地学习和掌握高等数学2,本文将提供一些常见习题的答案及解析。
一、极限与连续1. 计算极限这类题目主要考察对极限的计算能力。
在计算过程中,我们需要运用一些基本的极限性质和运算法则。
例如,当求解形如lim(x→a) (f(x) + g(x))时,我们可以利用极限的加法法则,将其拆分为lim(x→a) f(x) + lim(x→a) g(x)。
2. 判断函数的连续性对于连续性的判断,我们需要掌握连续函数的定义和连续函数的性质。
例如,根据连续函数的定义,如果一个函数在某个点a处连续,那么lim(x→a) f(x) = f(a),这是判断函数连续性的一个重要条件。
二、导数与微分1. 求导函数求导函数是导数与微分章节的重点内容之一。
在求导函数时,我们需要掌握导数的基本定义和运算法则。
例如,当求解f(x) = x^n的导数时,我们可以利用幂函数的导数公式,即f'(x) = n*x^(n-1)。
2. 利用导数求解问题在实际问题中,我们常常需要利用导数来求解一些相关的问题。
例如,求解函数的极值点、判断函数的单调性等。
在这类题目中,我们需要将问题转化为数学模型,然后利用导数的性质来求解。
三、定积分1. 计算定积分计算定积分是定积分章节的核心内容之一。
在计算过程中,我们需要掌握定积分的基本定义和运算法则。
例如,当计算∫[a,b] f(x)dx时,我们可以利用定积分的性质,将其转化为求解不定积分的问题。
2. 利用定积分解决几何问题定积分在解决几何问题中有着广泛的应用。
例如,我们可以利用定积分来计算曲线与坐标轴所围成的面积、计算曲线的弧长等。
在这类题目中,我们需要将几何问题转化为数学模型,然后利用定积分的性质来求解。
高等数学(2)试题答案以及复习要点汇总一. 选择题 (每题3分,共15分)1. 设(,)f x y 具有一阶连续偏导数,若23(,)f x x x =,224(,)2x f x x x x =-,则2(,)y f x x = [ A ](A) 3x x + ; (B) 2422x x + ; (C) 25x x + ; (D) 222x x + 。
解:选A 。
23(,)f x x x = 两边对 x 求导:222(,)(,)23x y f x x f x x x x +⋅=,将 224(,)2x f x x x x =- 代入得 242222(,)3y x x xf x x x -+= ,故 23(,)y f x x x x =+ 。
2.已知()()dy y x x by dx x y axy 22233sin 1cos +++-为某二元函数的全微分,则a 和b 的值分别为 [ C ] (A) –2和2; (B) –3和3; (C)2和–2; (D) 3和–3;解:选C 。
x y axy yPxy x by x Q cos 236cos 22-=∂∂=+=∂∂ 2,2=-=a b3. 设∑为曲面z =2-(x 2+y 2)在xoy 平面上方的部分,则⎰⎰∑=zdS I =[ D ]()⎰⎰-+-2202220412)(rrdr r r d A πθ;()()⎰⎰+-22220412rdr r r d B πθ; ()()⎰⎰-22202rdr r d C πθ;()()⎰⎰+-22220412rdr r r d D πθ。
解:选D 。
()⎰⎰+-=22220412rdr r r d I πθ 。
4. 设有直线410:30x y z L x y --+=⎧⎨+-=⎩,曲面222z x y z =-+在点(1,1,1)处的切平面∏,则直线L 与平面∏的位置关系是: [ C ] (A) L ⊂∏; (B) //L ∏; (C) L ⊥∏; (D) L 与∏斜交 。
高一数学暑期数学基础检测(集合函数三角)班级____________ 姓名____________一、填空题:每小题题5分,共80分.1.设全集U =R ,集合A ={x |x ≥2},B ={x |0≤x <5},则集合(∁U A )∩B 等于____________.2.若P ={x |x 2+x -6=0},S ={x |ax +1=0},且S ⊆P ,则由a 的可能取值组成的集合_______.3.f (x )是一次函数,且满足3f (x +1)-f (x )=2x +9,则f (x )=____________.4.函数f (x )= x x -1的定义域为____________.5.函数f (x )=x +1x在(0,+∞)上最小值为____________.6.352log (24)⨯=____________.7.如图,函数f (x )的图象为折线ACB ,则不等式f (x )≥log 2(x +1)的解集是________.8.函数f (x )=(lg x )2-lg x 的零点为____________.9.已知方程210x x =-的根x ∈(k ,k +1),k ∈Z ,则k =________.10.若sin α=-45,且α是第三象限角,则cos α =____________.11.已知tan α=2,则2sin α-2cos α4sin α-9cos α=____________.12.y =2sin ⎝⎛⎭⎫2x -π3的单调减区间为____________.13.y =2sin ⎝⎛⎭⎫2x -π3,x ∈[0,π2]的值域为____________.14.sin y x x =+的值域为____________.15.设α为锐角,若cos ⎝⎛⎭⎫α+π6=45,则sin ⎝⎛⎭⎫2α+π12的值为____________.16.在△ABC 中,已知a =2,b =2 ,C =15°,则A=____________.第7题二、解答题:每小题题10分,共20分.17.求证:函数()2log(1)2x f x x =++-有且只有一个零点.18.在△ABC 中,a ,b ,c 分别是角A ,B ,C 的对边,(2b − c )cos A – a cos C = 0.(1)求证:π=3A ∠; (2)若a = 2,求△ABC 的面积S 的最大值.参考答案一、填空题:每小题题5分,共80分.1.设全集U =R ,集合A ={x |x ≥2},B ={x |0≤x <5},则集合(C U A )∩B 等于____________.答案:{x |0≤x <2}2.若P ={x |x 2+x -6=0},S ={x |ax +1=0},且S ⊆P ,则由a 的可能取值组成的集合_______. 答案:11{0}32-,,3.f (x )是一次函数,且满足3f (x +1)-f (x )=2x +9,则f (x )=____________.答案:f (x )=x +34.函数f (x )=x x -1的定义域为____________. 答案:{x |x ≥0且x ≠1}.5.函数f (x )=x +1x在(0,+∞)上最小值为____________. 答案:26.352log (24)⨯=____________.答案:138.函数f (x )=(lg x )2-lg x 的零点为____________.答案:x =1或x =109.已知方程210x x =-的根x ∈(k ,k +1),k ∈Z ,则k =____________.答案:210.若sin α=-45,且α是第三象限角,则cos α =____________. 答案:3-511.已知tan α=2,则2sin α-2cos α4sin α-9cos α=____________. 答案:−212.y =2sin ⎝⎛⎭⎫2x -π3的单调减区间为____________. 答案:5π11π[,]1212k k k ππ++∈Z ,13.y =2sin ⎝⎛⎭⎫2x -π3,x ∈[0,π2]的值域为____________.答案:[2]14.sin y x x =+的最大值为____________.答案:215.设α为锐角,若cos ⎝⎛⎭⎫α+π6=45,则sin ⎝⎛⎭⎫2α+π12的值为____________.16.在△ABC 中,已知a =2,b =2 ,C =15°,则A=____________. 答案:30°二、解答题:每小题题10分,共20分.17.求证:函数()2log(1)2xf x x =++-有且只有一个零点.答案:略18.在△ABC 中,a ,b ,c 分别是角A ,B ,C 的对边,(2b − c )cos A – a cos C = 0.(1)求角A 的大小;(2)若a = 2,求△ABC 的面积S 的最大值.解:(1)因为(2b -c )cos A -a cos C =0.可得2sin B cos A -sin C cos A -sin A cos C =0,即2sin B cos A =sin C cos A +sin A cos C =sin B ,∵0<B <π,sin B ≠0.∴cos A =12, ∵0<A <π,∴A =π3;(2)由余弦定理得:a 2=b 2+c 2-2cb cos A ,∴a 2=b 2+c 2-bc .即4+bc =b 2+c 2≥2bc ,当且仅当b =c 时取等号.∴bc ≤4,那么:△ABC 的面积S =12bc sin A ≤ 12×4×sin π3=3. 此时△ABC 为等边三角形,∴△ABC 的面积S 的最大值为3.。
高等数学(2)第二次作业
一、单项选择题
1、若 f(x,y)=xy , 则 f(x+y ,x-y)=( )
A. (x+y)2
B.(x-y)2
C.x 2+y 2
D.x 2-y 2
2、若z=x y ,则=∂∂)
1,(e y z
( ) A. e B. e 1
C. 1
D. 0
3、若 z=e x siny , 则dz=( )
A. e x sinydx+e x cosydy
B. e x cosydxdy
C. e x sinydx
D. e x sinydy+e x cosydx
4、 若y-xe y =0,则
=dx dy ( ) A. 1-y y xe e
B. y y xe
e -1 C. y y e xe -1 D. y y e xe 1- 5、函数)ln(1),(y x y x
f +=的定义域为( )
A. x+y>0
B. ln(x+y)≠0
C. x+y>1
D. x+y ≠1
二、填空题
1、函数)ln(1
),(y x y x f -=的定义域是___________
2、可微函数f(x,y)在点(x 0,y 0)达到极值,则必有________________
3、曲线x=t(sint-1),y=t-cost,z=t 2+1,当t=0时的切线方程为_____________
4、曲面x 2+x+y+z 2=0过点(0,0,0)的切平面方程为____________________
5、设v u
z =,其中u=e x ,v=x+x 2,则
=dx dz ____________ 6、二元函数z=yx 2+e xy ,则
)2,1(y z ∂∂= ____________ 三、计算题
1、)2ln(y x x y
z -=,求1
1==∂∂y x x z
,
11==∂∂y x y z 2、y x z arcsin
= ,求x z ∂∂ , y z
∂∂
3、xy e
e z y x -=- ,求dz
4、z y x u 1
2
)(= ,求u 在点(1,1,1)处的全微分 5、设),(22x y
e y x
f z -=,求dz
6、设),(y x xy f z =,求x z ∂∂ ,
y z ∂∂ 7、设e xyz +lnz+lnx=1,求x z
∂∂,y z ∂∂
8、求曲线x=acost,y=asint,z=bt (a,b 都是常数)平行于平面x+y=4的切平面方程和此时的法平面方程(0≤t ≤π)
9、求曲面z=x 2-y 2平行于平面x+3y+z+9=0的切平面方程和此时的法线方程
10、求原点到(x-y)2-z 2=1的最短距离。