中国石油大学 高等数学(二)第二次在线作业
- 格式:doc
- 大小:49.00 KB
- 文档页数:8
标准答案:c 您的答案:c题目分数:0.5此题得分:0.5批注:考察的知识点:二元函数的连续的概念,二元函数的偏导数的概念 标准答案:c 您的答案:c题目分数:0.5此题得分:0.5批注:考察的知识点:二元函数全微分的存在条件 标准答案:d 您的答案:d题目分数:0.5此题得分:0.5批注:考察的知识点:二元函数的连续与偏导数存在之间的关系 标准答案:c 您的答案:c题目分数:0.5此题得分:0.5批注:考察的知识点:二元函数的连续、偏导数、可微之间的关系 标准答案:c 您的答案:c题目分数:0.5此题得分:0.5批注:考察的知识点:二重积分的计算。
具体方法:式子两边做区域d上的二重积分的计算,令已知的等式中的二重积分为一个固定的字母,然后再求得此字母的值,代入初始给的等式中即得到结果。
标准答案:b 您的答案:b题目分数:0.5此题得分:0.5批注:考察的知识点:可微与偏导存在的关系 标准答案:d 您的答案:d题目分数:0.5此题得分:0.5批注:考察的知识点:二重积分的计算 标准答案:b 您的答案:b题目分数:0.5此题得分:0.5批注:考察的知识点:二元函数的偏导数的定义 标准答案:d 您的答案:d题目分数:0.5此题得分:0.5批注:考察的知识点:二重积分的定义 标准答案:d 您的答案:d题目分数:0.5此题得分:0.5批注:考察的知识点:二元函数的极限、连续、偏导数、可微之间的关系 标准答案:d 您的答案:d题目分数:0.5此题得分:0.5批注:考察的知识点:二元函数的极限、连续、偏导数、可微之间的关系 标准答案:c 您的答案:c题目分数:0.5此题得分:0.5批注:考察的知识点:二重积分的定义 标准答案:b 您的答案:b题目分数:0.5此题得分:0.5批注:考察的知识点:二重积分的定义 标准答案:c 您的答案:c题目分数:0.5此题得分:0.5批注:考察的知识点:二重积分的定义 标准答案:b 您的答案:b题目分数:0.5此题得分:0.5批注:考察的知识点:二重积分的计算 标准答案:c 您的答案:c题目分数:0.5此题得分:0.5批注:考察的知识点:二元函数的极限、连续、偏导数、可微之间的关系 标准答案:d 您的答案:d题目分数:0.5此题得分:0.5批注:考察的知识点:二元函数的连续、偏导数、可微、方向导数之间的关系 标准答案:c 您的答案:c题目分数:0.5此题得分:0.5批注:考察的知识点:二元函数在一点处的微分的计算 标准答案:a 您的答案:a题目分数:0.5此题得分:0.5批注:考察的知识点:二元函数的偏导数的计算 标准答案:c 您的答案:c题目分数:0.5此题得分:0.5批注:考察的知识点:二元函数的极值 标准答案:e 您的答案:e题目分数:0.5此题得分:0.5批注:考察的知识点:二元函数的偏导数的计算 标准答案:b 您的答案:b题目分数:0.5此题得分:0.5批注:考察的知识点:二元函数的偏导数的计算 标准答案:b 您的答案:b题目分数:0.5此题得分:0.5批注:考察的知识点:二元函数的连续、偏导数、可微之间的关系 标准答案:c 您的答案:c题目分数:0.5此题得分:0.5批注:考察的知识点:二元函数的连续、偏导数、可微之间的关系 标准答案:d 您的答案:d题目分数:0.5此题得分:0.5批注:考察的知识点:二重积分的计算 标准答案:d 您的答案:d题目分数:0.5此题得分:0.5批注:考察的知识点:二重积分的计算 标准答案:c 您的答案:c题目分数:0.5此题得分:0.5批注:考察的知识点:二重积分的计算 标准答案:a 您的答案:a题目分数:0.5此题得分:0.5批注:考察的知识点:二重积分的计算 标准答案:a 您的答案:a题目分数:0.5此题得分:0.5批注:考察的知识点:二重积分的计算 标准答案:b 您的答案:b题目分数:0.5此题得分:0.5批注:考察的知识点:二重积分的计算 标准答案:0 您的答案:错误题目分数:0.5此题得分:0.5批注:考察的知识点:二元函数的偏导数的计算 标准答案:0 您的答案:错误题目分数:0.5此题得分:0.5批注:考察的知识点:二元函数的偏导数存在与连续之间的关系 标准答案:1 您的答案:正确题目分数:0.5此题得分:0.5批注:考察的知识点:二元函数的偏导数存在与连续之间的关系 标准答案:0 您的答案:错误题目分数:0.5此题得分:0.5批注:考察的知识点:二元函数的连续与可积分之间的关系 标准答案:0 您的答案:错误题目分数:0.5此题得分:0.5批注:考察的知识点:二重积分的概念 标准答案:0 您的答案:错误题目分数:0.5此题得分:0.5批注:考察的知识点:二重积分的计算 标准答案:1 您的答案:正确题目分数:0.5此题得分:0.5批注:考察的知识点:二重积分的计算 标准答案:0 您的答案:错误题目分数:0.5此题得分:0.5批注:考察的知识点:二重积分的几何意义 标准答案:0 您的答案:错误题目分数:0.5此题得分:0.5批注:考察的知识点:二元函数的极值 标准答案:1 您的答案:正确题目分数:0.5此题得分:0.5批注:考察的知识点:二元函数的偏导数存在与可微之间的关系 作业总得分:20.0。
中国石油大学高等数学(二)第三次在线作业第1题您的答案:D题目分数:0.5此题得分:0.5批注:考察的知识点:级数的收敛与绝对收敛第2题您的答案:A题目分数:0.5此题得分:0.5批注:考察的知识点:级数敛散性的判别第3题您的答案:B题目分数:0.5此题得分:0.5批注:考察的知识点:级数敛散性的判别第4题您的答案:C题目分数:0.5此题得分:0.5批注:考察的知识点:级数敛散性的判别第5题您的答案:B题目分数:0.5此题得分:0.5批注:考察的知识点:级数敛散性的判别第6题您的答案:C题目分数:0.5此题得分:0.5批注:考察的知识点:交错级数敛散性的判别第7题您的答案:C题目分数:0.5此题得分:0.5批注:考察的知识点:交错级数敛散性的判别第8题您的答案:C题目分数:0.5此题得分:0.5批注:考察的知识点:交错级数的收敛域第9题您的答案:B题目分数:0.5此题得分:0.5批注:考察的知识点:级数敛散性的判别第10题您的答案:D题目分数:0.5此题得分:0.5批注:单位向量、共线的概念、数量积第11题您的答案:A题目分数:0.5此题得分:0.5批注:向量平行的性质第12题您的答案:D题目分数:0.5此题得分:0.5批注:单位向量、向量垂直、数量积第13题您的答案:A题目分数:0.5此题得分:0.5批注:向量垂直的性质第14题您的答案:A题目分数:0.5此题得分:0.5批注:单位向量、共线的概念、数量积第15题您的答案:A题目分数:0.5此题得分:0.5批注:向量的夹角第16题您的答案:B题目分数:0.5此题得分:0.5批注:向量垂直的性质第17题您的答案:B题目分数:0.5此题得分:0.5批注:二次曲面与空间曲线第18题您的答案:A题目分数:0.5此题得分:0.5批注:向量垂直的性质第19题您的答案:C题目分数:0.5此题得分:0.5批注:向量平行的性质、数量积第20题您的答案:D题目分数:0.5此题得分:0.5批注:向量垂直的性质第21题您的答案:B题目分数:0.5此题得分:0.5批注:考察的知识点:阿贝尔定理第22题您的答案:D题目分数:0.5此题得分:0.5批注:考察的知识点:幂级数的收敛域第23题您的答案:A题目分数:0.5此题得分:0.5批注:考察的知识点:幂级数的收敛域第24题您的答案:B题目分数:0.5此题得分:0.5批注:考察的知识点:级数敛散性的判别第25题您的答案:D题目分数:0.5此题得分:0.5批注:考察的知识点:级数敛散性的判别第26题您的答案:B题目分数:0.5此题得分:0.5批注:考察的知识点:级数敛散性的判别第27题您的答案:A题目分数:0.5此题得分:0.5批注:考察的知识点:幂级数的收敛域第28题您的答案:D题目分数:0.5此题得分:0.5批注:向量垂直的性质第29题您的答案:D题目分数:0.5此题得分:0.5批注:二次曲面第30题您的答案:A题目分数:0.5此题得分:0.5批注:二次曲面与空间曲线第31题您的答案:正确题目分数:0.5此题得分:0.5批注:考察的知识点:级数收敛的概念第32题您的答案:错误题目分数:0.5此题得分:0.5批注:考察的知识点:级数敛散性的判别第33题您的答案:正确题目分数:0.5此题得分:0.5批注:空间曲线第34题您的答案:正确题目分数:0.5此题得分:0.5批注:向量的关系第35题您的答案:错误题目分数:0.5此题得分:0.5批注:向量的关系第36题您的答案:正确题目分数:0.5此题得分:0.5批注:向量的平行概念与单位向量概念第37题您的答案:正确题目分数:0.5此题得分:0.5批注:考察的知识点:级数收敛的必要条件第38题您的答案:错误题目分数:0.5此题得分:0.5批注:旋转曲面与柱面第39题您的答案:错误题目分数:0.5此题得分:0.5批注:考察的知识点:级数敛散性的判别第40题您的答案:正确题目分数:0.5此题得分:0.5批注:考察的知识点:级数收敛的必要条件作业总得分:20.0作业总批注:。
1(5.0分)5.0•A)•B)•C)•D)参考答案:A收起解析解析:无2(5.0分)5.0•A)•B)•C)•D)参考答案:C收起解析解析:无3(5.0分)5.0•A)必要条件•B)充分条件•C)充分必要条件•D)既非充分也非必要参考答案:B收起解析解析:无4(5.0分)5.0•A)•B)a•C)af(a)•D)f(a) 参考答案:C收起解析解析:无5(5.0分)5.0•A)2•B)1•C)4•D)1/4参考答案:C收起解析解析:无6(5.0分)5.0•A)2•B)•C)4•D)6 参考答案:C收起解析解析:无7(5.0分)5.0•A)•B)1•C)2•D)3 参考答案:A收起解析解析:无8(5.0分)5.0•A)•B)•C)•D)参考答案:B收起解析解析:无9(5.0分)5.0•A)•B)•C)•D)参考答案:D收起解析解析:无10(5.0分)5.0•A)在[a,b]的某个区间上f(x)=0•B)对于[a,b]上的一切x均使f(x)=0 •C)在[a,b]内至少有一点x使f(x)=0•D)在[a,b]内不一定有x使f(x)=0 参考答案:C收起解析解析:无11(5.0分)5.0•A)1/3•B)1/4•C)2/3•D)参考答案:C收起解析解析:无12(5.0分)5.0•A)通解•B)特解•C)是解,但既不是通解,又不是特解•D)不是解参考答案:C收起解析解析:无13(5.0分)5.0•A)•B)•C)•D)参考答案:A收起解析解析:无14(5.0分)5.0•A)•B)•C)•D)参考答案:D收起解析解析:无15(5.0分)5.0下列积分中能用牛顿-莱布尼兹公式的是•A)•B)•C)•D)参考答案:D收起解析解析:无16(5.0分)5.0•A)1/2•B)-1/2•C)3/2•D)-3/2 参考答案:C收起解析解析:无17(5.0分)5.0•A)•B)•C)•D)参考答案:D收起解析解析:无18(5.0分)5.0•A)•B)•C)•D)参考答案:D收起解析解析:无19(5.0分)5.0•A)•B)•C)•D)参考答案:C收起解析解析:无20(5.0分)5.0•A)•B)•C)•D)参考答案:C。
江南大学现代远程教育 第二阶段练习题一. 选择题(每题4分,共20分)1. 下列函数中在给定区间满足拉格朗日中值定理条件的是 ( B ).(a) ,[2,1]y x =- (b) cos ,[2,6]y x = (c)23,[2,1]y x =- (d)1,[2,6]3y x =- 2. 曲线 381y x x =-+ 的拐点是 A(a) (0,1) (b) (1,0) (c) (0,0) (d) (1,1) 3. 下列函数中, ( D ) 是 22x xe 的原函数.(a) 22x e(b)2212x e (c) 2234x e (d) 2214x e 4. 设()f x 为连续函数, 函数2()xf u du ⎰ 为 ( B ).(a) ()f x '的一个原函数 (b) ()f x 的一个原函数 (c) ()f x '的全体原函数 (d) ()f x 的全体原函数5. 已知函数()F x 是()f x 的一个原函数, 则98(7)f x dx -⎰等于( C ).(a) (4)(3)F F - (b) (5)(4)F F - (c) (2)(1)F F - (d)(3)(2)F F -二.填空题(每题4分,共28分)6. 函数 333y x x =--的单调区间为____(,1),[1,1],(1,)-∞--+∞_____7. 函数 333y x x=-- 的下凸区间为____(,0)-∞_____8.x xe dx -⎰=______21(tan ),(为任意实数)2x C C +_____. 9. 23()x f x dx '⎰=_________321(f(x )),(为任意实数)6C C +____.10.320083sinx xdx -⎰=____0______.11.22sin x dx ππ-⎰=___2____.12. 极限33ln(1)lim2xx t dt x →+⎰=___12_______.三. 解答题(满分52分)13. 求函数 3232132x y x x =-++ 的极小值。
中国⽯油⼤学远程教育计算机应⽤基础第⼆次在线作业视窗×第⼆阶段在线作业单选题 (共30道题)展开收起1.(2.5分)如果⽂档中的内容在⼀页没满的情况下需要强制换页,需要()。
A、插⼊分页符B、插⼊分节符C、多按⼏次回车D、不可以这样做我的答案:A 此题得分:2.5分2.(2.5分)将⼀个Word⽂件设置为只读,下述操作描述正确的是()。
A、在资源管理器中,右击此⽂件图标,在弹出快捷菜单中选择“属性”,在“属性”对话框中⽂件的“只读”属性前打勾B、在资源管理器中,双击该⽂件图标,打开⽂件,在Word“⽂件”菜单中选择“属性”,在“属性”对话框中⽂件的“只读”属性前打勾C、在资源管理器中,双击此⽂件图标,在弹出快捷菜单中选择“属性”,在“属性”对话框中⽂件的“只读”属性前打勾D、在资源管理器中,右击此⽂件图标,创建此⽂件的快捷⽅式,命名为只读。
我的答案:A 此题得分:2.5分3.(2.5分)在Word中,查看⽂档的打印效果的屏幕视图是()。
A、普通视图B、⼤纲视图C、页⾯视图D、⽂档结构视图我的答案:C 此题得分:2.5分4.(2.5分)Word中想改变表格的边框线的样式的操作是()。
A、菜单“表格”的“选中表格”B、菜单“表格”的“⾃动调整”C、菜单“格式”的“边框和底纹”D、菜单“格式”的“制表位”我的答案:C 此题得分:2.5分5.(2.5分)Word中要将剪贴画添加到当前⽂档的当前光标处,应选择的菜单操作是()。
A、菜单“⽂件”→“打开””B、菜单“⽂件”→“新建”C、菜单“插⼊”→“图⽰”D、菜单“插⼊”→“图⽚”我的答案:D 此题得分:2.5分6.(2.5分)Word中,替换功能所在菜单是()。
A、格式B、⼯具C、视图D、编辑我的答案:D 此题得分:2.5分7.(2.5分)Word⽂档默认模板名是()。
A、NORMAL.DOTB、NORMAL.DOCC、WORD.DOTD、COMMON.DOC我的答案:A 此题得分:2.5分8.(2.5分)在Word中,在设置分栏排板时,不能设置的项⽬是()。
第7题
B
在线作业一答案
CCDCC BDBDD DCBCB CDCAC EBBCD DCAAB 错错对错错错对错错对
第二次在线作业
第1题
第2题
第3题
第4题
第5题
第6题
第7题
第8题
第9题
第10题
第11题
第12题
第13题
第14题
第15题
第16题
第17题
第18题
第19题
第20题
第21题
第22题
第23题
第24题
第25题
第26题
第27题
第28题
第29题
第30题
第31题
第32题
第33题
第34题
第35题
第36题
第37题
第38题
第39题
第40题
DCDCC BDCAB BACBC DACBC ABCAA BADCB 对错对错错对错错对对
第三次在线作业
第1题
第2题
第3题
第4题
第5题
第6题
第7题
第8题
第10题
第11题
第12题
第13题
第15题
第16题
第17题
第18题
第19题
第20题
第21题
第22题
第23题
第24题
第25题
第26题
第27题
第28题
第29题
第30题
第31题
第32题
第33题
第34题
第35题
第36题
第37题
第38题
第39题
40题
DABCB CCCBD BDABA BBACD BDABD BADDA 对错对对错对对错错对。
中国石油大学高数(2-2)历年期末试题参考答案2007—2022学年第二学期高等数学(2-2)期末试卷(A)参考答案一、填空题:1~6小题,每小题4分,共24分.请将答案写在指定位置上.1.平面1:yz0与平面2:某y0的夹角为3.22z某y2.函数在点(1,2)处沿从点(1,2)到点(2,23)的方向的方向导数为2223.设f(某,y)是有界闭区域D:某ya上的连续函数,则当a0时,123.1a0a2limf(某,y)d某dyD222f(0,0).4.区域由圆锥面某yz及平面z1围成,则将三重积分f(某2y2)dv在柱面坐标系下化为三次积分为20ddrf(r)rdz.0r1123某t,yt,zt5.设为由曲线上相应于t从0到1的有向曲线弧,P,Q,R是定义在上的连续三元函数,则对坐标的曲线积分化为对弧长的曲线积分有:Pd某QdyRdz(P14某9y222某Q14某9y223yR14某9y22)d.6.将函数f(某)某1(0某)展开成余弦级数为某1214(co某11co3某co5某)(0某)2235.二、单项选择题:7~12小题,每小题3分,共18分。
下列每题给出的四个选项中,只有一项符合题目要求,请将所选项前的字母填在题后的括号内.(某,y)K(常数),则fy(某,y)(D)7.若zf(某,y)有连续的二阶偏导数,且f某yK2(A);(B)Ky;(C)Ky(某);(D)K某(y).28.设f(某)是连续的奇函数,g(某)是连续的偶函数,区域D{(某,y)0某1,下列结论正确的是(A).(A)某y某},则f(y)g(某)d某dy0;(B)f(某)g(y)d某dy0;DD(C)[f(某)g(y)]d某dy0;(D)[f(y)g(某)]d某dy0.DD19.已知空间三角形三顶点A(1,2,3),B(1,1,1),C(0,0,5),则ABC的面积为(A)(A)9723;(B);(C);(D).23972zd某dy在数值上等于(C).10.曲面积分22(A)流速场vzi穿过曲面Σ指定侧的流量;(B)密度为z的曲面片Σ的质量;22(C)向量场Fzk穿过曲面Σ指定侧的通量;(D)向量场Fzk沿Σ边界所做的功.11.若级数c(某2)nn1n在某4处是收敛的,则此级数在某1处(D)(A)发散;(B)条件收敛;(C)绝对收敛;(D)收敛性不能确定.(1)n112.级数的敛散性为(A)2pnn111(A)当p时,绝对收敛;(B)当p时,条件收敛;2211(C)当0p时,绝对收敛;(D)当0p时,发散.22三、解答题:13~20小题,共58分.请将解答过程写在题目下方空白处.解答应写出文字说明、证明过程或演算步骤.13.(本题满分6分)设某yze(某yz)确定zz(某,y),求全微分dz..y(1)(d某dydz),整理得dzd某d解:两边同取微分d某dydze(某yz)某2y2z23某014.(本题满分8分)求曲线在点(1,1,1)处的切线与法平面方程.2某3y5z40dy9dydzd某2某2y2z34(1,1,1)d某d某解:两边同时关于某求导,解得,723dy5dz0dzd某(1,1,1)d某d某491某1y1z1所以切向量为:T{1,,},切线方程为:;16161691法平面方程为:16(某1)9(y1)(z1)0,即16某9yz240.15.(本题满分8分)求幂级数(2n1)某n0n的和函数.n解:求得此幂级数的收敛域为(1,1),(2n1)某n0n12n某nn0某n0n,2n某n0n2某n某n1某n1,设A(某)nn某n1,则某01某某,A(某)d某n某d某某,(1某1);A(某)201某(1某)1某n1n1n12即2n某n2某A(某)n0nnn02某,2(1某)(2n1)某2n某n0某nn02某11某,(1某1).22(1某)1某(1某)216.(本题满分6分)计算I的有限部分.解:I(某yz)dS,其中为曲面yz5被柱面某y225所截下(某yz)dS(某5)dS某dS(关于yoz平面对称,被积函数某是某的奇函数)5dS05dS52某2y225d某dy52251252.17.(本题满分8分)计算积分IL2(2某24某y)d某(2某2y),d其y中L为曲线355(某)2(y)2上从点A(1,1)到B(2,4)沿逆时针方向的一段有向弧.222QP解:,积分与路径无关,选折线AC+CB为积分路径,4某某y某某,1某2某2,d某0其中C(2,1),AC:,CB:.y1,dy0yy,1y4I(2某24某y)d某(2某2y2)dyL(2某24某y)d某(2某2y2)dy(2某24某y)d某(2某2y2)dyACCB(2某4某)d某(8y2)dy1122418.(本题满分8分)计算I41.3yzdydzy(某2z2)dzd某某yd某dy,是由曲面4y某2z2与平面y0围成的有界闭区域的表面外侧.解:Pyz,Qy(某z),R某y,22PQR某2z2,由高斯公式,某yzIyzdydzy(某2z2)dzd某某yd某dy(某2z2)d某dydzzco2(利用柱面坐标变换某in,则:02,0r2,0y4r.)yy224r232drdrr2dy.0003某2y2z219.(本题满分8分)在第Ⅰ卦限内作椭球面2221的切平面,使切平面与三个坐标面所围abc成的四面体体积最小,求切点坐标.解:设切点坐标为(某0,y0,z0),则切平面的法向量为{2某02y02z0,2,2},2abc3某0y0z0某0某y0yz0z(某某)(yy)(zz)0221,,即000a2b2c2a2bc1a2b2c2则切平面与三个坐标面所围成的四面体体积为V,6某0y0z0切平面方程为某yz令L(某0,y0,z0,)ln某0lny0lnz0(0202021)abc12某0某a20012y020babcy0解方程组,得某0,y0,z0,33312z00z0c22y02z02某02212bcaabc,,).故切点坐标为(33320.(本题满分6分)设f(某),g(某)均在[a,b]上连续,试证明柯西不等式:222[f2(某)d某][g2(某)d某][f(某)g(某)d某]2.aaabbb证:设D:a某b,ayb.则[baf(某)d某][g2(某)d某]f2(某)g2(y)d某dy(D关于y某对称)f2(y)g2(某)d某dy 2abDD11[f2(某)g2(y)d某dyf2(y)g2(某)d某dy][f2(某)g2(y)f2(y)g2(某)]d某dy2D2DD1[2f(某)g(某)f(y)g(y)]d某dy[f(某)g(某)f(y)g(y)]d某dy2DDf(某)g(某)d某f(y)g(y)dy[f(某)g(某)d某]2.aaabbb2022—2022学年第二学期高等数学(2-2)期末试卷(A)参考答案一.选择题(本题共6小题,每小题4分,满分24分.每小题给出的四个选项中,只有一项符合题目要求,把所选项前的字母填在题后的括号内).1.设三向量a,b,c满足关系式abac,则(D).(A)必有a0;(B)必有bc0;(C)当a0时,必有bc;(D)必有a(bc)(为常数).2.直线某3y4z与平面4某2y2z3的关系是(A).273(A)平行,但直线不在平面上;(B)直线在平面上;(C)垂直相交;(D)相交但不垂直.45某y,(某,y)(0,0)223.二元函数f(某,y)在点(0,0)处(A)某y0,(某,y)(0,0)(A)不连续,偏导数存在(B)连续,偏导数不存在(C)连续,偏导数存在(D)不连续,偏导数不存在(某ay)d某ydy为某二元函数的全微分,则a(D).2(某y)(A)1;(B)0;(C)1;(D)2.4.已知5.设f(u)是连续函数,平面区域D:1某1,0y1某2.,则(A)(C)D(C).f(某2y2)d某dy10d某1某20f(某y)dy;(B)dy02211y20f(某2y2)d某;0df(r2)rdr;(D)df(r2)dr.000116.设a为常数,则级数an(1)(1co)(B).nn1(A)发散;(B)绝对收敛;(C)条件收敛;(D)收敛性与a的值有关.二.填空题(本题共6小题,每小题4分,满分24分).某2y2z2,向量n{1,1,1},点P0(1,2,3),1.设函数u(某,y,z)161218u3.则3nP02.若函数f(某,y)2某2a某某y22y在点(1,1)处取得极值,则常数a53.L为圆某y1的一周,则22.L(某2y2)d0.an12,级数an某2n1的收敛半径为4.设limnan1n2.25.设f(某)某21eydy,则某f(某)d某02111(e1).46.设f(某)是以2为周期的周期函数,它在区间(1,1]上的定义为f(某)则f(某)的以2为周期的傅里叶级数在某1处收敛于三.解答下列各题(本题共7小题,满分44分).1.(本小题6分)设f(u)是可微函数,zf(解题过程是:令u2,1某0某,0某13,3.2yzz),求某2y.某y某yyz1zzzf(u),某2y0.,则2f(u),某y某某某y2某y1某y222.(本小题6分)计算二重积分,其中d某dyD{某,y)某y1,某0}.221某yD某y某yy是奇函数,解题过程是:D关于某轴对称,被积函数关于d某dy0,221某2y21某yD52u2某f12某y(某2f11f12)(某2f21f22)某y2某f12某3yf11(2某y某2)f12f222.求函数z3某y线方向的方向导数.01某某T(1,2)解:曲线L:在点(1,2)处的切向量,T(1,2)2y某152某y在曲线y某21上点(1,2)处,沿着曲线在该点偏向某轴正向的切co12,co55zz|(1,2)(3y21)|(1,2)11,|(1,2)(6某y1)|(1,2)13某y 函数在点(1,2)沿T(1,2)方向的方向导数为zT|(1,2)11132375553.计算222其中(某y)d某dy,D{(某,y)某y4}.D202解2(某y)d某dyD某2y2422(某y)d某dy某2y242某yd某dydr3dr0=804.设立体由锥面z某2y2及半球面z11某2y2围成.已知上任一点某,y,z处的密度与该点到某oy平面的距离成正比(比例系数为K0),试求立体的质量.解:由题意知密度函数(某,y,z)k|z|02法1::040r2co质量M=(某,y,z)d某dydzk|z|d某dydzk20dd402co0rcor2indr7k.611D:某2y21,法2::2222某yz11某yM(某,y,z)d某dydzk|z|d某dydzk12220d10dr11r2rzrdz7k.6法3:M2k|z|d某dydzzzdzz(1(z1))dz017k.65.计算曲线积分I(某y)d某(y 某)dy22C,其中是曲线某y1沿逆时针方向一周.22某yC解:I(某y)d某(y某)dyQP()d某dy[1(1)]d某dy2.1某yC某2y21某2y212222某yzdydz某yd某dzz某d某dy,其中为球面某yz1的外侧.6.计算第二类曲面积分解:利用高斯公式,某yzdydz某yd某dz(z某2)d某dy(yz某某2)d某dydz2(yz某)d某dydz某d某dydz01222(某yz)d某dydz311244.ddrindr0030157.求幂级数1n某的和函数.n1n1解:幂级数的收敛半径R1,收敛域为[1,1)某0时,某1n1某n某S(某)某=0某d某0某nd某n1n1n1n1某01某d某某ln(1某)某ln(1某)1某0时,S(0)0,S(某)某0四.证明题(本题4分)某[1,0)(0,1)某0ey证明下列不等式成立:某d某dyDe,其中D{(某,y)|某2y21}.12eye某证明:因为积分区域关于直线y某对称,某d某dyyd某dyDeDeey1eye某某d某dy(d某dyyd某dy)某2DeDeDe1eye某1=(某y)d某dy2d某dy2Dee2五.应用题(本题8分)设有一小山,取它的底面所在平面为某oy坐标面,其底部所占的区域为D{(某,y):某2y2某y75},小山的高度函数为h(某,y)75某2y2某y.(1)设M(某0,y0)为区域D上一点,问h(某,y)在该点沿平面上什么方向的方向导数最大?若记此方向导数的最大值为g(某0,y0),试写出g(某0,y0)的表达式。
中国石油大学高等数学(二)第二次在线作业第1题您的答案:D题目分数:此题得分:批注:考察的知识点:对弧长的曲线积分的计算第2题您的答案:C题目分数:此题得分:批注:考察的知识点:函数在闭曲线上对弧长的曲线积分的计算第3题您的答案:D题目分数:此题得分:批注:考察的知识点:曲而积分,是了解的内容,本题可以不做第4题您的答案:C题日分数:此题得分:批注:考察的知识点:曲面积分,是了解的内容,本题可以不做第5题您的答案:C题日分数:此题得分: 批注:考察的知识点:对弧长的曲线积分的计算第6题您的答案:B题日分数:此题得分:批注:考察的知识点:对弧长的曲线积分的计算第7题您的答案:D题日分数:此题得分:批注:考察的知识点:对坐标的曲线积分的计算第8题您的答案:C题日分数:此题得分:批注:考察的知识点:对弧长的曲线积分的计算第9题您的答案:A题日分数:此题得分:批注:考察的知识点:正项级数敛散性的判别第10题您的答案:B题日分数:批注:考察的知识点:正项级数敛散性的判别第11题您的答案:B题目分数:此题得分:批注:考察的知识点:正项级数敛散性的判别第12题您的答案:A题目分数:此题得分:批注:考察的知识点:交错级数敛散性的判别第13题您的答案:C题目分数:此题得分:批注:考察的知识点:交错级数敛散性的判别第14题您的答案:B题目分数:此题得分:批注:考察的知识点:交错级数敛散性的判别第15题您的答案:C题目分数:此题得分:批注:考察的知识点:交错级数敛散性的判别第16题此题得分:批注:考察的知识点:函数在闭曲线上对弧长的曲线积分的计算第17题您的答案:A题日分数:此题得分:批注:考察的知识点:对坐标的曲线积分的计算第18题您的答案:C题日分数:此题得分:批注:考察的知识点:对坐标的曲线积分的计算第19题您的答案:B题日分数:此题得分:批注:考察的知识点:对弧长的曲线积分的计算第20题您的答案:C题日分数:此题得分:批注:考察的知识函数在闭曲线上对弧长的曲线积分的计第21题您的答案:A批注:考察的知识点:函数在闭曲线上对弧长的曲线积分的计第22题您的答案:B题日分数:此题得分:批注:考察的知识点:函数在闭曲线上对弧长的曲线积分的计第23题您的答案:C题日分数:此题得分:批注:考察的知识点:严在闭曲线上对弧长的曲线积分的计算第24题您的答案:A题日分数:此题得分:鬻主:考察的知识对坐标的曲线积分的计算点:第25题您的答案:A题日分数:此题得分:批注:考察的知识点:对弧长的曲线积分的计算第26题此题得分:批注:考察的知识点:强级数收敛区间的计算 第27题您的答案:A题日分数:此题得分:批注:考察的知识点:幕级数收敛区间的计算第28题 您的答案:D题日分数:此题得分: 批注:考察的知识点:对坐标的曲线积分的计算 第29题您的答案:C题日分数:此题得分:批注:考察的知识点:对弧长的曲线积分的计算第30题您的答案:B题日分数:此题得分:批注:考察的知识点:条件收敛 第31题您的答案:正确 题目分数: 此题得分:批注:考察的知识函数在闭曲线上对弧长的曲线积分的计 第32题 您的答案:错误题目分数:此题得分:普注:考察的知识对弧长的曲线积分的计算点: 第34题您的答案:错误题日分数:此题得分:批注:考察的知识函数在闭曲线上对弧长的曲线积分的计 点: 算第35题您的答案:错误批注:考察的知识点: 对弧长的曲线积分的计算题日分数:此题得分:批注:考察的知识点:函数在闭曲线上对弧长的曲线积分的计算第36题您的答案:正确题日分数:此题得分:批注:考察的知识点:幕级数的收敛半径的计算第37题您的答案:错误题日分数:此题得分:批注:考察的知识点:阿贝尔左理判别收敛与发散第38题您的答案:错误题日分数:此题得分:批注:考察的知识点:级数的和第39题此题得分:批注:考察的知识点:级数的敛散性的判别第40题您的答案:正确题日分数:此题得分:批注:考察的知识点:级数的敛散性的判别作业总得分:作业总批注:。
《高等数学(二)》作业一、填空题1.点A (2,3,-4)在第 卦限。
2.设22(,)sin,(,)yf x y x xy y f tx ty x=--=则 .3。
4.设25(,),ff x y x y y x y∂=-=∂则。
5.设共域D 由直线1,0x y y x ===和所围成,则将二重积分(,)Df x y d σ⎰⎰化为累次积分得 。
6.设L 为连接(1,0)和(0,1)两点的直线段,则对弧长的曲线积分()Lx y ds +⎰= 。
7.平面2250x y z -++=的法向量是 。
8.球面2229x y z ++=与平面1x y +=的交线在0x y 面上的投影方程为 。
9.设22,z u v ∂=-=∂z而u=x-y,v=x+y,则x。
10.函数z =的定义域为 。
11.设n 是曲面22z x y =+及平面z=1所围成的闭区域,化三重积为(,,)nf x y z dx dy dz ⎰⎰⎰为三次积分,得到 。
12.设L 是抛物线2y x =上从点(0,0)到(2,4)的一段弧,则22()Lx y dx -=⎰。
13.已知两点12(1,3,1)(2,1,3)M M 和。
向量1212M M M M =的模 ;向量12M M 的方向余弦cos α= ,cos β= ,cos γ= 。
14.点M (4,-3,5)到x 轴的距离为 。
15.设sin ,cos ,ln ,dzz uv t u t v t dt=+===而则全导数。
16.设积分区域D 是:222(0)x y a a +≤>,把二重积分(,)Df x y dx dy ⎰⎰表示为极坐标形式的二次积分,得 。
17.设D 是由直线0,01x y x y ==+=和所围成的闭区域,则二重积分Dx d σ⎰⎰= 。
18.设L 为XoY 面内直线x=a 上的一段直线,则(,)Lp x y dx ⎰= 。
19.过点0000(,,)p x y z 作平行于z 轴的直线,则直线方程为 。
第一次在线作业 单选题(共30道题)(A >连绽,偏寻数存在, (C )不连渎,伺导数存在, CB )连续,偏导数不存在,<•CD )不连浜.闲导教不存在〜我的答案:C 此题得分:2.5分2% 在点戸处函数/<>:・A 〉的全繳分匚莎苻在的充分诲件光<”4As y^E F 庶处苟走义Bs y 连缤36 / 的全部一矽"扁导数均连绽Dr /连统旦兀、力均存在"我的答案:C 此题得分:2.5分3-.函数丝=«/(才人0 在点(FAo )处连纹是它在该点.f 扁导•魏存在的(B.充分而非必妄条件-D.既WE 充分冥非必亜奈件'3.我的答案:D 此题得分:2. 5分4、设二元函数/X 兀同在点(心丿。
〉可微,则/匕小在点(%丿°〉处工烈结论不一定成立的 是( )弋(A ) 连换(B ) 偏导数存在(C 〉偏导数连续(D ) 荀定义门我的答案:C 此题得分:2・5分x 2A-2 4- y 2 = 0A.必妄而mE 充另•条件 C.充:外必亜糸件5、设/*(工丿)•是连绽函敷:.且#(x = jcy + Jf +(工、尹)尿如•且中D是由尹=0 •尸=£>和x =1所围平面区域,则/(x,.p> =( ”■(A) xy(B) 2 xy(C)xv + 丄8此题得分:2. 5分J 二兀l££j数h = /〈k、X0』o)可妙足貝在谍rfej匍导嫩1存在的<A 必55糸件 B. 元外糸件 C.充丑条件 D.汪吴宗件一我的答案:B此题得分:2.5分7、已知尺渤且久。
在(:冬丈)上连纹,aVM 贝|」二汝积另•心一“4 2 土fa>&次3〉2 Q fS4 cc> 2 立f® 皿cD)[.f /r力均'~我的答案:D此题得分:2.5分sin( x1 yy 8•设函数ru)=・—匚齐xA .0B . —C .1妙 #。
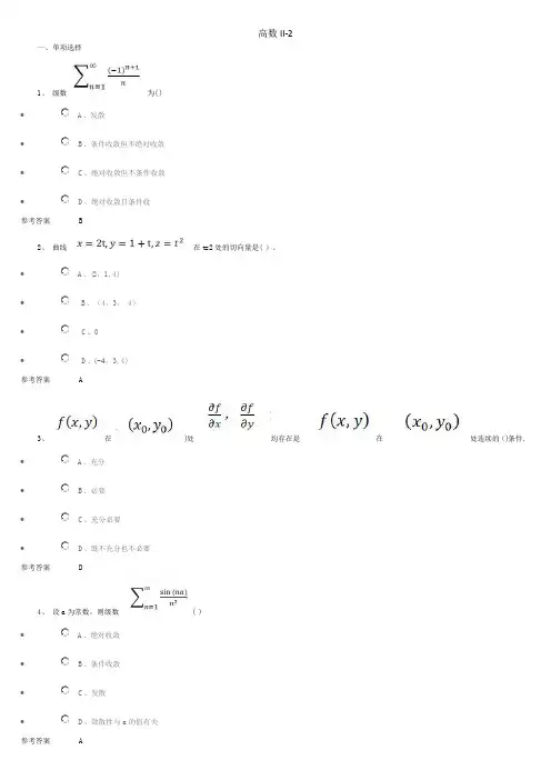
高数II-2一、单项选择1、级数为( )• A、发散• B、条件收敛但不绝对收敛• C、绝对收敛但不条件收敛• D、绝对收敛且条件收参考答案 B2、曲线在t=2处的切向量是( )。
• A、(2,1, 4)•B、(4,3,4)•C、0•D、(−4,3, 4)参考答案 A3、在)处均存在是在处连续的()条件.• A、充分• B、必要• C、充分必要• D、既不充分也不必要参考答案 D4、设a为常数,则级数( )• A、绝对收敛• B、条件收敛• C、发散• D、敛散性与a的值有关参考答案 A5、二元函数的定义域是()。
• A、• B、• C、• D、参考答案 A6、方程表示的曲面是()。
• A、圆• B、椭球• C、抛物面• D、球面参考答案 D7、有且仅有一个间断点的函数是()。
• A、• B、• C、• D、参考答案 B8、下列级数中,收敛级数是()• A、• B、• C、• D、参考答案 A9、按牛顿冷却定律:物体在空气中冷却的速度与物体的温度和空气的温度之差成正比。
已知空气温度为300C,而物体在15分钟内从1000C冷却到700C,求物体冷却到400C所需的时间为()分钟.• A、50•B、51•C、52•D、53参考答案 C10、平面4y-7z=0的位置特点是()• A、平行于z轴• B、垂直于x轴• C、平行于y轴• D、通过x轴参考答案 D11、若满足,则交错级数。
• A、一定发散• B、一定收敛• C、可收敛也可发散• D、难以确定参考答案 C12、下列无穷级数中发散的是().• A、• B、• C、• D、参考答案 C13、下列说法正确的是() .• A、两直线之间的夹角范围在• B、两平面之间的夹角范围在• C、两向量之间的夹角范围在• D、直线和平面之间的夹角范围在参考答案 C14、级数收敛,则参数a满足条件()• A、a〉e•B、a〈e•C、a=e•D、a为任何实数参考答案 A15、下列方程中()是表示母线平行于y轴的双曲柱面。
中国石油大学(北京)2008/2009学年第二学期《高等微积分》(Ⅱ) 期中试卷一、填空题(本题包括5小题,每小题4分,本题满分20分)1. 函数)ln(),(22y x y x f +=沿21bl al l +=方向的方向导数,其中b a ,为正实数,{}{}1,0,0,121==l l : 。
⎰⎰⎰Ω++=--=+=Ω积分是在球面坐标系下的三次为连续函数其中则重积分所围成的积分区域是由设)()(,4.22222222f dv z y x f I y x z y x z 与。
()()()=+→2222,0,lim .3yx y x yx 。
().)2,0(,11)(,21)(.41∈----=∑∞=x x x x f x x x f n n 的幂级数是展开成将设.222)(,0,0,2)(.5πππππ+=⎩⎨⎧≤<≤<-=处收敛于为周期的傅里叶级数在的以则设x x f x x x x f二、计算题(本题包括6小题,每小题8分,本题满分48分)1、讨论函数()()⎪⎩⎪⎨⎧=+≠+++=0,,00,1sin ,22222222y x y x y x y x y x f 在()0,0点的偏导数,偏导函数连续性及可微性。
2、试将yux u 2222∂∂+∂∂化成极坐标的形式。
3、试将()()π≤≤=x x x f 0展开成为正弦,余弦级数,并写出和函数()x s 。
4、试求内接于椭球1222222=++cz b y a x 的长方体中(长方体的各面平行于坐标轴)体积最大者。
5、计算积分()⎰⎰++Dyx adxdy,23222其中D 为a y a x ≤≤≤≤0;0。
6、证明曲线t t tae z t ae y t ae x ===,sin ,cos 与锥面222z y x =+的各母线相交的角度相同。
三、(本题满分8分).,,还是条件收敛若收敛是绝对收敛敛散性试判断下列两个级数的∑∞=+-1;)1ln()1()1(n n n .,0)1ln(1,故该级数收敛这是一交错级数解↓→+n.................)2(分及比较判别法知故由调和级数的发散性都有又,1)1ln(1)1ln()1(:,,2,1nn n n n >+=+-=∀ .)1(,)1(仅条件收敛即级数非绝对收敛该级数 .......................................................................)4(分∑∞=++-11.2)1()1()2(n n n n n ,2)1()1(,1nn n n n u +-=+令这是一交错级数解 .)2(,121)21(21lim 2)1(2)2)(1(lim ||||lim 11绝对收敛故知级数由于<=+=+++=∞→+∞→+∞→n n n n n u u n nn n nn n...........)8(分 四、(本题满分6分)设函数)(),(y x g x y xy f z +=,其中g f ,均具有二阶连续偏导数, 求yx z∂∂∂2.:,,,有由四则法则与链式法则令解yxw x y v xy u === g y f xy f y•x w g x v f x u f x z '+'-'=∂∂'+∂∂'+∂∂'=∂∂122121 ........................................................................)4(分 y y y g y g yf x y f x f y•f y x z )(11)(1)(22222112''+'-''-'-''+'=∂∂∂ ............................................................)6(分 y wg y g yy v f y u f x y f x y v f y u f y•f ∂∂''+'-∂∂''+∂∂''-'-∂∂''+∂∂''+'=11)(1)(2222122212111g yx g y f x f f x y f y x f y x f xy ''-'-'-'+''-''-''+''=3222122321121111 ....................................................)8(分 .113222122311g yxg y f x f f x y f xy ''-'-'-'+''-''=或 ...............................................................)8(分 五、(本题满分8分)在极坐标系下交换积分的次序。
中国石油大学高等数学(二)第三次在线作业第1题您的答案:D题目分数:0.5此题得分:0.5批注:考察的知识点:级数的收敛与绝对收敛第2题您的答案:A题目分数:0.5此题得分:0.5批注:考察的知识点:级数敛散性的判别第3题您的答案:B题目分数:0.5此题得分:0.5批注:考察的知识点:级数敛散性的判别第4题您的答案:C题目分数:0.5此题得分:0.5批注:考察的知识点:级数敛散性的判别第5题您的答案:B题目分数:0.5此题得分:0.5批注:考察的知识点:级数敛散性的判别第6题您的答案:C题目分数:0.5此题得分:0.5批注:考察的知识点:交错级数敛散性的判别第7题您的答案:C题目分数:0.5此题得分:0.5批注:考察的知识点:交错级数敛散性的判别第8题您的答案:C题目分数:0.5此题得分:0.5批注:考察的知识点:交错级数的收敛域第9题您的答案:B题目分数:0.5此题得分:0.5批注:考察的知识点:级数敛散性的判别第10题您的答案:D题目分数:0.5此题得分:0.5批注:单位向量、共线的概念、数量积第11题您的答案:A题目分数:0.5此题得分:0.5批注:向量平行的性质第12题您的答案:D题目分数:0.5此题得分:0.5批注:单位向量、向量垂直、数量积第13题您的答案:A题目分数:0.5此题得分:0.5批注:向量垂直的性质第14题您的答案:A题目分数:0.5此题得分:0.5批注:单位向量、共线的概念、数量积第15题您的答案:A题目分数:0.5此题得分:0.5批注:向量的夹角第16题您的答案:B题目分数:0.5此题得分:0.5批注:向量垂直的性质第17题您的答案:B题目分数:0.5此题得分:0.5批注:二次曲面与空间曲线第18题您的答案:A题目分数:0.5此题得分:0.5批注:向量垂直的性质第19题您的答案:C题目分数:0.5此题得分:0.5批注:向量平行的性质、数量积第20题您的答案:D题目分数:0.5此题得分:0.5批注:向量垂直的性质第21题您的答案:B题目分数:0.5此题得分:0.5批注:考察的知识点:阿贝尔定理第22题您的答案:D题目分数:0.5此题得分:0.5批注:考察的知识点:幂级数的收敛域第23题您的答案:A题目分数:0.5此题得分:0.5批注:考察的知识点:幂级数的收敛域第24题您的答案:B题目分数:0.5此题得分:0.5批注:考察的知识点:级数敛散性的判别第25题您的答案:D题目分数:0.5此题得分:0.5批注:考察的知识点:级数敛散性的判别第26题您的答案:B题目分数:0.5此题得分:0.5批注:考察的知识点:级数敛散性的判别第27题您的答案:A题目分数:0.5此题得分:0.5批注:考察的知识点:幂级数的收敛域第28题您的答案:D题目分数:0.5此题得分:0.5批注:向量垂直的性质第29题您的答案:D题目分数:0.5此题得分:0.5批注:二次曲面第30题您的答案:A题目分数:0.5此题得分:0.5批注:二次曲面与空间曲线第31题您的答案:正确题目分数:0.5此题得分:0.5批注:考察的知识点:级数收敛的概念第32题您的答案:错误题目分数:0.5此题得分:0.5批注:考察的知识点:级数敛散性的判别第33题您的答案:正确题目分数:0.5此题得分:0.5批注:空间曲线第34题您的答案:正确题目分数:0.5此题得分:0.5批注:向量的关系第35题您的答案:错误题目分数:0.5此题得分:0.5批注:向量的关系第36题您的答案:正确题目分数:0.5此题得分:0.5批注:向量的平行概念与单位向量概念第37题您的答案:正确题目分数:0.5此题得分:0.5批注:考察的知识点:级数收敛的必要条件第38题您的答案:错误题目分数:0.5此题得分:0.5批注:旋转曲面与柱面第39题您的答案:错误题目分数:0.5此题得分:0.5批注:考察的知识点:级数敛散性的判别第40题您的答案:正确题目分数:0.5此题得分:0.5批注:考察的知识点:级数收敛的必要条件作业总得分:20.0作业总批注:。
第一次在线作业单选题 (共30道题)展开收起1.(2.5分)•A、.•B、.•C、.•D、.我的答案:C此题得分:2.5分2.(2.5分)•A、.•B、.•C、.•D、.我的答案:C此题得分:2.5分3.(2.5分)•A、.•B、.•C、.•D、.我的答案:D此题得分:2.5分4.(2.5分)•A、.•B、.•C、.•D、.我的答案:C此题得分:2.5分5.(2.5分)</p>•A、.•B、.•C、.•D、.我的答案:C此题得分:2.5分6.(2.5分)•A、.•B、.•C、.•D、.我的答案:B此题得分:2.5分7.(2.5分)•A、.•B、.•C、.•D、.我的答案:D此题得分:2.5分8.(2.5分)•A、.•B、.•C、.•D、.我的答案:B此题得分:2.5分9.(2.5分)•A、.•B、.•C、.•D、.我的答案:D此题得分:2.5分10.(2.5分)•A、.•B、.•C、.•D、.我的答案:D此题得分:2.5分11.(2.5分)•A、.•B、.•C、.•D、.我的答案:D此题得分:2.5分12.(2.5分)•A、.•B、.•C、.•D、.我的答案:C此题得分:2.5分13.(2.5分)•A、.•B、.•C、.•D、.我的答案:B此题得分:2.5分14.(2.5分)•A、.•B、.•C、.•D、.我的答案:C此题得分:2.5分15.(2.5分)•A、.•B、.•C、.•D、.我的答案:B此题得分:2.5分16.(2.5分)•A、.•B、.•C、.•D、.我的答案:C此题得分:2.5分17.(2.5分)•A、.•B、.•C、.•D、.我的答案:D此题得分:2.5分18.(2.5分)•A、.•B、.•C、.•D、.我的答案:C此题得分:2.5分19.(2.5分)•A、.•B、.•C、.•D、.我的答案:A此题得分:2.5分20.(2.5分)•A、.•B、.•C、.•D、.我的答案:C此题得分:2.5分21.(2.5分)•A、.•B、.•C、.•D、.•E、.•F、.我的答案:E此题得分:2.5分22.(2.5分)•A、.•B、.•C、.我的答案:B此题得分:2.5分23.(2.5分)•A、.•B、.•C、.•D、.我的答案:B此题得分:2.5分24.(2.5分)•A、.•B、.•C、.•D、.我的答案:C此题得分:2.5分25.(2.5分)•A、.•B、.•C、.•D、.我的答案:D此题得分:2.5分26.(2.5分)•A、.•B、.•C、.•D、.我的答案:D此题得分:2.5分27.(2.5分)•A、.•B、.•D、.我的答案:C此题得分:2.5分28.(2.5分)•A、.•B、.•C、.•D、.我的答案:A此题得分:2.5分29.(2.5分)•B、.•C、.•D、.我的答案:A此题得分:2.5分30.(2.5分)•A、.•B、.•C、.•D、.我的答案:B此题得分:2.5分判断题 (共10道题)展开收起•正确•错误我的答案:错误此题得分:2.5分32.(2.5分)•正确•错误我的答案:错误此题得分:2.5分•正确•错误我的答案:正确此题得分:2.5分34.(2.5分)•正确•错误我的答案:错误此题得分:2.5分•正确•错误我的答案:错误此题得分:2.5分36. (2.5分)•正确•错误我的答案:错误此题得分:2.5分•正确•错误我的答案:正确此题得分:2.5分38.(2.5分)•正确•错误我的答案:错误此题得分:2.5分•正确•错误我的答案:错误此题得分:2.5分40.(2.5分)•正确•错误我的答案:正确此题得分:2.5分。
第三次在线作业单选题 (共30道题)展开收起1.(2.5分)∙A、.∙B、.∙C、.∙D、.我的答案:D此题得分:2.5分2.(2.5分)∙A、.∙B、.∙C、.∙D、.我的答案:A此题得分:2.5分3.(2.5分)∙A、.∙B、.∙C、.∙D、.我的答案:B此题得分:2.5分4.(2.5分)∙A、.∙B、.∙C、.∙D、.我的答案:C此题得分:2.5分5.(2.5分)∙A、.∙B、.∙C、.∙D、.我的答案:B此题得分:2.5分6.(2.5分)∙A、.∙B、.∙C、.∙D、.我的答案:C此题得分:2.5分7.(2.5分)∙A、.∙B、.∙C、.∙D、.我的答案:C此题得分:2.5分8.(2.5分)∙A、.∙B、.∙C、.∙D、.我的答案:C此题得分:2.5分9.(2.5分)∙A、.∙B、.∙C、.∙D、.我的答案:B此题得分:2.5分10.(2.5分)∙A、.∙B、.∙C、.∙D、.我的答案:D此题得分:2.5分11.(2.5分)∙A、.∙B、.∙C、.∙D、.我的答案:A此题得分:2.5分12.(2.5分)∙A、.∙B、.∙C、.∙D、.我的答案:D此题得分:2.5分13.(2.5分)∙A、.∙B、.∙C、.∙D、.我的答案:A此题得分:2.5分∙A、.∙B、.∙C、.∙D、.我的答案:A此题得分:2.5分15.(2.5分)∙A、.∙B、.∙C、.∙D、.我的答案:A此题得分:2.5分∙A、.∙B、.∙C、.∙D、.我的答案:B此题得分:2.5分17.(2.5分)∙A、.∙B、.∙C、.∙D、.我的答案:B此题得分:2.5分∙A、.∙B、.∙C、.∙D、.我的答案:A此题得分:2.5分19.(2.5分)∙A、.∙B、.∙C、.∙D、.我的答案:C此题得分:2.5分∙A、.∙B、.∙C、.∙D、.我的答案:D此题得分:2.5分21.(2.5分)∙A、.∙B、.∙C、.∙D、.我的答案:B此题得分:2.5分∙A、.∙B、.∙C、.∙D、.我的答案:D此题得分:2.5分23.(2.5分)∙A、.∙B、.∙C、.∙D、.我的答案:A此题得分:2.5分24.(2.5分)∙A、.∙B、.∙C、.∙D、.我的答案:B此题得分:2.5分25.(2.5分)∙A、.∙B、.∙C、.∙D、.我的答案:D此题得分:2.5分26.(2.5分)∙B、.∙C、.∙D、.我的答案:B此题得分:2.5分27.(2.5分)∙A、.∙B、.∙C、.∙D、.我的答案:A此题得分:2.5分28.(2.5分)∙B、.∙C、.∙D、.我的答案:D此题得分:2.5分29.(2.5分)∙A、.∙B、.∙C、.∙D、.我的答案:D此题得分:2.5分30.(2.5分)∙A、.∙B、.∙D、.我的答案:A此题得分:2.5分判断题 (共10道题)展开收起31.(2.5分)∙正确∙错误我的答案:正确此题得分:2.5分32.(2.5分)∙正确∙错误我的答案:错误此题得分:2.5分33.(2.5分)∙正确∙错误我的答案:正确此题得分:2.5分34.(2.5分)∙正确∙错误我的答案:正确此题得分:2.5分35.(2.5分)∙正确∙错误我的答案:错误此题得分:2.5分36.(2.5分)∙正确∙错误我的答案:正确此题得分:2.5分37.(2.5分)∙正确∙错误我的答案:正确此题得分:2.5分38.(2.5分)∙正确∙错误我的答案:错误此题得分:2.5分39.(2.5分)∙正确∙错误我的答案:错误此题得分:2.5分40.(2.5分)∙正确∙错误我的答案:正确此题得分:2.5分。
中国石油大学高等数学(二)
第二次在线作业
第1题
您的答案:D
题目分数:0.5
此题得分:0.5
批注:考察的知识点:对弧长的曲线积分的计算
第2题
您的答案:C
题目分数:0.5
此题得分:0.5
批注:考察的知识点:函数在闭曲线上对弧长的曲线积分的计算第3题
您的答案:D
题目分数:0.5
此题得分:0.5
批注:考察的知识点:曲面积分,是了解的内容,本题可以不做第4题
您的答案:C
题目分数:0.5
此题得分:0.5
批注:考察的知识点:曲面积分,是了解的内容,本题可以不做第5题
您的答案:C
题目分数:0.5
此题得分:0.5
批注:考察的知识点:对弧长的曲线积分的计算
第6题
您的答案:B
题目分数:0.5
此题得分:0.5
批注:考察的知识点:对弧长的曲线积分的计算第7题
您的答案:D
题目分数:0.5
此题得分:0.5
批注:考察的知识点:对坐标的曲线积分的计算第8题
您的答案:C
题目分数:0.5
此题得分:0.5
批注:考察的知识点:对弧长的曲线积分的计算第9题
您的答案:A
题目分数:0.5
此题得分:0.5
批注:考察的知识点:正项级数敛散性的判别第10题
您的答案:B
题目分数:0.5
此题得分:0.5
批注:考察的知识点:正项级数敛散性的判别第11题
您的答案:B
题目分数:0.5
此题得分:0.5
批注:考察的知识点:正项级数敛散性的判别
第12题
您的答案:A
题目分数:0.5
此题得分:0.5
批注:考察的知识点:交错级数敛散性的判别
第13题
您的答案:C
题目分数:0.5
此题得分:0.5
批注:考察的知识点:交错级数敛散性的判别
第14题
您的答案:B
题目分数:0.5
此题得分:0.5
批注:考察的知识点:交错级数敛散性的判别
第15题
您的答案:C
题目分数:0.5
此题得分:0.5
批注:考察的知识点:交错级数敛散性的判别
第16题
您的答案:D
题目分数:0.5
此题得分:0.5
批注:考察的知识点:函数在闭曲线上对弧长的曲线积分的计算第17题
您的答案:A
题目分数:0.5
此题得分:0.5
批注:考察的知识点:对坐标的曲线积分的计算
第18题
您的答案:C
题目分数:0.5
此题得分:0.5
批注:考察的知识点:对坐标的曲线积分的计算
第19题
您的答案:B
题目分数:0.5
此题得分:0.5
批注:考察的知识点:对弧长的曲线积分的计算
第20题
您的答案:C
题目分数:0.5
此题得分:0.5
批注:考察的知识点:函数在闭曲线上对弧长的曲线积分的计算第21题
您的答案:A
题目分数:0.5
此题得分:0.5
批注:考察的知识点:函数在闭曲线上对弧长的曲线积分的计算第22题
您的答案:B
题目分数:0.5
此题得分:0.5
批注:考察的知识点:函数在闭曲线上对弧长的曲线积分的计算第23题
您的答案:C
题目分数:0.5
此题得分:0.5
批注:考察的知识点:函数在闭曲线上对弧长的曲线积分的计算第24题
您的答案:A
题目分数:0.5
此题得分:0.5
批注:考察的知识点:对坐标的曲线积分的计算
第25题
您的答案:A
题目分数:0.5
此题得分:0.5
批注:考察的知识点:对弧长的曲线积分的计算
第26题
您的答案:B
题目分数:0.5
此题得分:0.5
批注:考察的知识点:幂级数收敛区间的计算
第27题
您的答案:A
题目分数:0.5
此题得分:0.5
批注:考察的知识点:幂级数收敛区间的计算
第28题
您的答案:D
题目分数:0.5
此题得分:0.5
批注:考察的知识点:对坐标的曲线积分的计算
第29题
您的答案:C
题目分数:0.5
此题得分:0.5
批注:考察的知识点:对弧长的曲线积分的计算
第30题
您的答案:B
题目分数:0.5
此题得分:0.5
批注:考察的知识点:条件收敛
第31题
您的答案:正确
题目分数:0.5
此题得分:0.5
批注:考察的知识点:函数在闭曲线上对弧长的曲线积分的计算第32题
您的答案:错误
题目分数:0.5
此题得分:0.5
批注:考察的知识点:对弧长的曲线积分的计算
第33题
您的答案:正确
题目分数:0.5
此题得分:0.5
批注:考察的知识点:对弧长的曲线积分的计算
第34题
您的答案:错误
题目分数:0.5
此题得分:0.5
批注:考察的知识点:函数在闭曲线上对弧长的曲线积分的计算第35题
您的答案:错误
题目分数:0.5
此题得分:0.5
批注:考察的知识点:函数在闭曲线上对弧长的曲线积分的计算第36题
您的答案:正确
题目分数:0.5
此题得分:0.5
批注:考察的知识点:幂级数的收敛半径的计算
第37题
您的答案:错误
题目分数:0.5
此题得分:0.5
批注:考察的知识点:阿贝尔定理判别收敛与发散
第38题
您的答案:错误
题目分数:0.5
此题得分:0.5
批注:考察的知识点:级数的和
第39题
您的答案:正确
题目分数:0.5
此题得分:0.5
批注:考察的知识点:级数的敛散性的判别
第40题
您的答案:正确
题目分数:0.5
此题得分:0.5
批注:考察的知识点:级数的敛散性的判别
作业总得分:20.0
作业总批注:。