高三职高模拟题6
- 格式:doc
- 大小:44.00 KB
- 文档页数:4
一、选择题(共40分,每小题2分)1. 下列词语中加点的字,读音完全正确的一项是()A. 冰屑(xiè)B. 精湛(jiāo)C. 畅快(chǎng)D. 磕绊(kē)2. 下列各组词语中加点的字的读音,与所给注音全都相同的一项是()A. 拖延(tuō yán)B. 畅游(chàng yóu)C. 融化(róng huà)D. 奔跑(bēn pǎo)3. 下列各组词语中没有错别字的一项是()A. 欣欣向荣B. 鸡毛蒜皮C. 风吹草动D. 一丝不苟4. 下列词语中有两个错别字的一组是()A. 息息相关B. 眼疾手快C. 青出于蓝D. 青出于蓝而胜于蓝5. 依次填入下列横线上的词语,最恰当的一组是()A. 与时俱进B. 迎难而上C. 脚踏实地D. 艰苦卓绝二、填空题(共20分,每空2分)1. 《背影》一文中,父亲送儿子去车站时,背影的形象被作者描绘得十分感人,文中写道:“我看见他戴着黑布小帽,穿着黑布大马褂,深青布棉袍,蹒跚地走到铁道边,慢慢探身下去,尚不大难。
”这里父亲的形象是()。
2. 《离骚》中,“路漫漫其修远兮,吾将上下而求索”这句话表达了诗人()。
3. 《岳阳楼记》中,“先天下之忧而忧,后天下之乐而乐”这句话体现了作者()。
4. 《三国演义》中,“三顾茅庐”的故事展现了刘备()。
5. 《红楼梦》中,贾宝玉与林黛玉的爱情故事感人至深,其中“木石前盟”指的是()。
三、阅读理解题(共40分)阅读下面的文章,回答问题。
1. 阅读下面的文言文,完成下面的题目(共10分)孔子曰:“三人行,必有我师焉。
择其善者而从之,其不善者而改之。
”子曰:“温故而知新,可以为师矣。
”《论语》(1)解释下列句子中的加点词语(每小题2分,共4分)①择其善者而从之:______ ②温故而知新:______(2)翻译下列句子(4分)温故而知新,可以为师矣。
(3)根据文意,判断下列说法正确的一项是(2分)A. 孔子认为每个人都有优点和缺点,我们应该向他人学习。
安徽职高高考模拟试卷一、听力理解(共20分)1. A) bikingB) swimmingC) hikingD) playing guitar2. A) 30 dollarsB) 35 dollarsC) 40 dollarsD) 45 dollars3. A) Weather reportB) Traffic reportC) Sports newsD) Entertainment news4. A) Write an essayB) Talk to the teacherC) Take a testD) Work in a group5. A) In a restaurantB) In a libraryC) In a parkD) In a museum二、单项选择(共20分)1. D2. B3. C4. D5. C6. B7. A8. D9. C10. B三、完形填空(共20分)1. C2. A3. B4. A5. D6. B7. A8. C9. A10. D四、阅读理解(共40分)1. C2. B3. A4. C5. D6. B7. A8. D9. B10. C五、写作(共引导60分)1. 写作主题:我的暑假计划2. 写作要求:重点描述你的暑假计划,包括活动内容、时间、地点等方面,并表达你对计划的期望和想法。
3. 评分标准:包括语言表达、语法、使用词汇和逻辑结构等方面。
范文:暑假即将到来,我早早地就开始制定自己的暑假计划。
今年的暑假,我计划去我的故乡乡下度假。
故乡的乡村很美丽,我希望能在那里度过一个有意义的假期。
在乡村里,我打算去小河边钓鱼、去果园采摘水果、去田野里放飞风筝和去山上徒步旅行。
我还打算参加一些与自然生态相关的活动,例如植树、保护环境等,希望能为社会做出一份贡献。
另外,我还会在家里学习一些知识,例如学习一门新技能、阅读一些好书等等。
同时,我还会参加一些文化活动,例如参加音乐会或者看电影等等。
考试时间:120分钟满分:100分一、选择题(每题5分,共30分)1. 已知函数$f(x) = x^2 - 4x + 4$,则$f(2)$的值为:A. 0B. 2C. 4D. 82. 若$a > b$,则下列不等式中正确的是:A. $a^2 > b^2$B. $\frac{1}{a} > \frac{1}{b}$C. $a - b > 0$D. $a + b > 0$3. 已知等差数列$\{a_n\}$的前$n$项和为$S_n$,若$S_5 = 20$,$S_9 = 54$,则该数列的公差为:A. 1B. 2C. 3D. 44. 函数$y = \frac{1}{x}$的图像是:A. 一条直线B. 一条抛物线C. 一条双曲线D. 一条指数曲线5. 在直角坐标系中,点$A(2, 3)$关于直线$y = x$的对称点为:A. $B(-2, -3)$B. $B(-3, -2)$C. $B(3, 2)$D. $B(2, 3)$二、填空题(每题5分,共20分)6. 若$|x - 1| = 3$,则$x$的值为______。
7. 若$a = 3$,$b = 4$,则$(a + b)^2 - 2ab$的值为______。
8. 等差数列$\{a_n\}$的通项公式为$a_n = 2n + 1$,则该数列的第10项为______。
9. 函数$y = -x^2 + 4x - 3$的图像与$x$轴的交点坐标为______。
10. 若$\angle A = 45^\circ$,$\angle B = 90^\circ$,则$\angle C$的度数为______。
三、解答题(共50分)11. (10分)已知函数$f(x) = x^3 - 3x^2 + 4x + 2$,求:(1)$f(2)$的值;(2)函数$f(x)$的零点。
12. (15分)已知等差数列$\{a_n\}$的前$n$项和为$S_n$,若$S_5 = 20$,$S_9 = 54$,求:(1)该数列的首项和公差;(2)求该数列的前10项和。
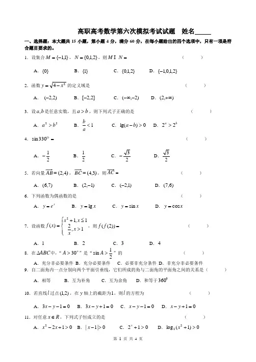
高职高考数学第六次模拟考试试题 姓名一、选择题:本大题共15小题,第小题4分,满分60分,在每小题给出的四个选项中,只有一项是符合题目要求的。
1.设集合}1,1{-=M ,}2,1,0{=N ,则=N M ( )A .}0{B .}1{C .}2,1,0{D .}2,1,0,1{-2.函数24x y -=的定义域是 ( )A . )2,2(-B .]2,2[-C .)2,(--∞D .),2(+∞3.设b a ,是任意实数,且b a >,则下列式子正确的是 ( )A .22b a >B .1<a bC .0)lg(>-b aD .b a22>4.=O 330sin ( )A .21- B .21 C .23- D .235.若向量)4,2(=AB ,)3,4(=BC ,则=AC ( )A .)7,6(B .)1,2(-C .)1,2(-D .)6,7(6.下列函数为偶函数的是 ( )A .x e y =B .x y lg =C .x y sin =D .x y cos =7.设函数⎪⎩⎪⎨⎧>≤+=1,21,1)(2x x x x x f ,则=))2((f f( )A .1B .2C .3D .48.在ABC ∆中,“ 30>A ”是“21sin >A ”的 ( )A .充分非必要条件B .充分必要条件C .必要非充分条件D .非充分非必要条件9.自二面角内一点分别向两个平面引垂线,它们所成的角与二面角的平面角之间的关系是()A .相等B .互为补角C .互为余角D .和等于036010.若直线l 过点)2,1(,在y 轴上的截距为1,则l 的方程为 ( )A .013=--y xB .013=+-y xC .01=--y xD .01=+-y x11.对任意R x ∈,下列式子恒成立的是 ( )A .0122>+-x xB .0|1|>-xC .012>+xD .0)1(log 22>+x12.若d c b a ,,,均为正实数,且c 是a 和b 的等差中项,d 是a 和b 的等比中项,则有( )A .cd ab >B .cd ab ≥C .cd ab <D .cd ab ≤13.抛物线y x 82-=的准线方程是 ( )A .4=yB .4-=yC .2=yD .2-=y14.已知x 是1021,,,x x x 的平均值,1a 为4321,,,x x x x 的平均值,2a 为1065,,,x x x 的平均值,则=x ( )A .53221a a +B .52321a a +C .21a a +D .221a a + 15.容量为20的样本数据,分组后频数分布如下:组距)20,10[ )30,20[ )40,30[ )50,40[ )60,50[ )70,60[ 频数 2 3 4 5 4 2则样本在区间)40,10[的频率为 ( )A .35.0B .45.0C .55.0D .65.0二、填空题:(本大题共5小题,每小题4分,满分20分)。
一、选择题(每题5分,共50分)1. 下列各数中,无理数是()A. √2B. 0.1010010001...C. 3.14159D. -1/3答案:A2. 函数 y = -2x + 1 的图像是()A. 一次函数图像B. 二次函数图像C. 反比例函数图像D. 指数函数图像答案:A3. 已知 a、b 是实数,且 a + b = 0,则 a^2 + b^2 的值是()A. 1B. 0C. -1D. 无法确定答案:B4. 下列各对数式中,相等的是()A. log2(8) = 3B. log3(27) = 2C. log4(16) = 2D. log5(25) = 1答案:D5. 已知函数 y = 2x - 3,当 x = 2 时,y 的值为()A. 1B. 3C. 5D. 7答案:C6. 下列各数中,属于等差数列的是()A. 1, 3, 5, 7, 9B. 2, 4, 8, 16, 32C. 1, 2, 4, 8, 16D. 3, 6, 9, 12, 15答案:A7. 已知等比数列的前三项分别为 2, 6, 18,则该数列的公比是()A. 1B. 2C. 3D. 6答案:B8. 在直角坐标系中,点 P(2, 3) 关于直线 y = x 的对称点坐标是()A. (3, 2)B. (2, 3)C. (-3, -2)D. (-2, -3)答案:A9. 下列各函数中,奇函数是()A. y = x^2B. y = |x|C. y = x^3D. y = x^4答案:C10. 已知等差数列的前三项分别为 3, 7, 11,则该数列的通项公式是()A. an = 4n - 1B. an = 2n + 1C. an = 4n + 1D. an = 2n - 1答案:A二、填空题(每题5分,共25分)11. 函数 y = x^2 - 4x + 4 的最小值是 ________。
答案:012. 已知 a、b 是实数,且 |a| = |b|,则 a + b 的值是 ________。
一、基础知识(每题2分,共20分)1. 下列词语中,字形、字音完全正确的一项是()A. 腼腆(miǎn tiǎn)漫不经心(màn bù jīn xīn)B. 潜伏(qián fú)脱颖而出(tuō yǐng ér chū)C. 跌宕起伏(diē dàng qǐ fú)鸦雀无声(yā què wú shēng)D. 殚精竭虑(dān jīng jié lǜ)津津乐道(jīn jīn lè dào)2. 下列句子中,没有语病的一项是()A. 随着我国经济的快速发展,人民生活水平不断提高,教育、医疗、住房等社会保障体系也在不断完善。
B. 这篇文章主要论述了网络对青少年成长的影响,其中既有积极的一面,也有消极的一面。
C. 为了提高学生的综合素质,学校决定开展丰富多彩的课外活动,培养学生的兴趣爱好。
D. 他的研究成果在国际上产生了重要影响,受到了国内外学者的广泛关注。
3. 下列各句中,没有使用比喻修辞手法的一项是()A. 那片树叶在阳光下闪烁着金黄色的光芒,像一只展翅的蝴蝶。
B. 他的笑声如银铃般清脆,让人感到无比愉悦。
C. 他的眼神坚定如鹰,仿佛能看穿一切。
D. 她的歌声如同天籁之音,让人陶醉其中。
4. 下列词语中,不属于近义词的一项是()A. 沉着冷静沉着稳重B. 严肃认真认真负责C. 欣喜若狂欣喜万分D. 精益求精不断进步5. 下列各句中,表达效果最佳的一项是()A. 这个故事告诉我们,要勇敢面对困难,才能取得成功。
B. 这部电影生动地展现了我国抗日战争的艰苦卓绝。
C. 这篇文章详细介绍了如何正确使用网络,提高网络安全意识。
D. 他的演讲激情洋溢,赢得了观众的阵阵掌声。
二、现代文阅读(每题3分,共15分)阅读下面的文章,回答问题。
《青春的力量》青春是人生中最美好的时光,也是最具活力的阶段。
1. 下列词语中,字形、字音、字义完全正确的一项是()A. 神采奕奕(yì)B. 毫不犹豫(yú)C. 眼疾手快(jí)D. 荒无人烟(yān)答案:C2. 下列句子中,没有语病的一项是()A. 为了提高学生的学习成绩,老师们在课堂上竭尽全力地讲解每一个知识点。
B. 她凭借自己的努力,成功地考上了心仪的大学。
C. 这个故事告诉我们,要相信自己,努力奋斗,才能实现梦想。
D. 虽然天气寒冷,但他仍然坚持每天早晨跑步锻炼。
答案:B3. 下列诗句中,运用了比喻修辞手法的一项是()A. 长风破浪会有时,直挂云帆济沧海。
B. 桃花潭水深千尺,不及汪伦送我情。
C. 海内存知己,天涯若比邻。
D. 人生得意须尽欢,莫使金樽空对月。
答案:A4. 下列句子中,运用了拟人修辞手法的一项是()A. 窗外,月亮悄悄地爬上了树梢。
B. 春风拂面,桃花笑颜如开。
C. 夏日的阳光洒在湖面上,波光粼粼。
D. 秋天的枫叶像火焰一样燃烧。
答案:B5. 下列词语中,属于偏正短语的一项是()A. 青铜器B. 美丽的花朵C. 火热的太阳D. 沉重的负担答案:B二、填空题6. 《诗经》是我国最早的诗歌总集,其中著名的诗篇有《关雎》、《蒹葭》等。
7. 《红楼梦》是我国古典小说的巅峰之作,作者曹雪芹以贾宝玉、林黛玉、薛宝钗等人为主要人物,描绘了一个庞大的家族故事。
8. 古代汉语中,表示时间的词语有:甲子、乙丑、丙寅等。
9. 古代汉语中,表示方位的词语有:东、西、南、北、东南、西南、东北、西北等。
10. 古代汉语中,表示数量的词语有:一、二、三、百、千、万等。
三、简答题11. 请简述《出师表》的主要内容和写作背景。
答案:《出师表》是三国时期蜀汉丞相诸葛亮写给刘备的一篇辞表,主要内容包括诸葛亮辞去丞相职务,请求刘备亲自出征讨伐东吴,以及诸葛亮对刘备的忠诚和报国之志。
写作背景是刘备病重,诸葛亮为保蜀汉江山,决定亲自出征。
12. 请简述《阿Q正传》的主要人物和主题思想。
xx 年广东省高等职业院校招收中等职业学校毕业生考试语文模拟试题(三)本试卷分选择题和非选择题两部分,共9 页,满分150分。
考试用时150 分钟第一部分(选择题,共78 分)单项选择题(共26小题,每小题3 分,共78分)一、(30分,每小题3 分)1、下列词语中加点的字,读音有错误的一项是()A、麻痹.(bì)B、横.(héng)祸C、河畔.(pàn)D、游说.(shuì)龟.(j ūn)裂桎梏.(gù)绿.(l ù)林执拗.(ni ù)自怨自艾.(yì)不卑不亢.(kàng)化险为夷.(yí)否.(pǐ)极泰来风驰电掣.(chè)心宽体胖.(pàng)海市蜃.(shèn)楼鲜.(xi ǎn)为人知2、下列各组词语中,没有错误字的一项是()A、沧桑风靡不寒而粟釜底抽薪B、精辟编篡励精图治剑拔弩张C、膨胀峥嵘千锤百练牵强附会D、虔诚喝彩谈笑风生真知灼见3、下列句子中,标点符号使用正确的一项是()A、通过学习,大家进一步明确了什么是民主和法制的问题。
B、对于这类问题,我们必须科学地去调查、研究、分析。
C、国内旅游最火爆的线路当数北京,海南、桂林、黄山⋯⋯等地也相当炙手,而香港、澳门游也备受国人青睐。
D、“好吧,”小王停了一会儿说:“明天早晨,我在学校门口等你。
”4、依次填入下列各句横线处的词语,恰当的一组是()①别人喊他,他好像没有什么,仍专心致志地看着书。
②我们这次到西藏,实地了拉萨地区藏族人民的生活情况。
③妇女在社会和家庭生活中享有同男子平等的。
④在奖金分配上,不能搞“吃光分净” ,对那些挖集体经济的人要给予严厉的打击。
A、反应考查权力墙脚B 、反映考察权力墙角C 、反应考察权利墙脚D 、反映考查权利墙角5、下列各句中,加点的词语使用正确的一项是()A、这次我与好友志远同学在北京天安门广场萍水.相.逢..,真是喜出望外。
职高高考模拟语文试卷一、选择题(每题2分,共20分)1、下列词语中,字形正确的是()A.沉缅B.影牒C.针砭D.精粹答案:C解析:A项应为“沉湎”;B项应为“影碟”;D项应为“精粹”。
2、下列词语中,字音正确的是()A.嗜好(shì)B.拓片(tuò)C.畸形(jī)D.吮吸(shǔn)答案:A解析:B项应为“拓片(tà)”;C项应为“畸形(jī)”;D项应为“吮吸(shǔn)”。
3、下列句子中,成语使用正确的是()A.老张今年65岁,短小精悍,思维敏捷。
B.这本小说情节跌宕起伏,引人入胜。
C.他经常风言风语地贬低别人,说别人的坏话。
D.我们不遵守交通规则,往往就会步履蹒跚地到达目的地。
答案:B解析:A项应为“短小精干”;C项应为“流言蜚语”;D项应为“力不从心”。
4、下列句子中,没有语病的是()A.他经常回忆起过去的往事。
B.我们从小就要养成爱读书的习惯。
C.我断定他大概是李明的弟弟。
D.看了这部电影,我们受到了很大的教育。
答案:D解析:A项应为“他经常回忆起过去的事”;B项应为“我们从小就要养成爱读书的习惯”;C项应为“我断定他是李明的弟弟”。
职高语文模拟试卷一、选择题(每题2分,共20分)A.家具店B.侯车室C.侦察兵D.座右铭2、下列词语中,字音正确的是()A.燕(yān)山B.卓(zhuō)越C.尽(jìn)管D.创(chuàng)伤3、下列句子中,成语使用正确的是()A.他的演讲太精彩了,让我感到如坐春风。
B.他最近工作很忙,经常夜以继日地工作。
C.他写的文章很有深度,真可谓鞭长莫及。
D.他对自己的要求很高,总是精益求精。
4、下列句子中,标点符号使用正确的是()A.明天是星期天吗?B.他喜欢看《人民日报》、《中国青年报》等报纸。
C.我不知道他今天为什么不去上班?D.他是喜欢看小说的,可现在他竟然放弃了。
A.我们学校的学生在老师的指导下,认真复习功课。
一、选择题(每题2分,共20分)1. 下列词语中,字形、字音完全正确的一项是:A. 恬静(tián jìng)谦逊(qiān xùn)拘泥(jū nì)B. 娴熟(xián shú)谨慎(jǐn shèn)蕴藏(yùn cáng)C. 谨严(jǐn yán)潜移默化(qián yí mò huà)谦虚(qiān xū)D. 狂妄(kuáng wàng)谨慎(jǐn shèn)潜移默化(qián yí mò huà)2. 下列句子中,没有语病的一项是:A. 为了确保产品质量,我们从原材料采购到成品出厂,每个环节都严格把关。
B. 我每天早晨都坚持锻炼身体,但效果并不明显,这使我非常苦恼。
C. 随着科技的不断发展,我国在航天、高铁等领域取得了举世瞩目的成就。
D. 通过这次考试,我深刻认识到自己的不足,决心努力学习,争取在下次考试中取得好成绩。
3. 下列各句中,加点的成语使用不正确的一项是:A. 他平时沉默寡言,但关键时刻却能挺身而出,彰显出英雄本色。
B. 为了这次演出,他们日夜兼程,辛苦劳作,终于取得了圆满成功。
C. 他的论文在学术会议上发表后,引起了广泛关注,被誉为“理论创新”。
D. 这位企业家眼光独到,在市场竞争激烈的情况下,果断地调整了发展战略。
4. 下列各句中,下列句子没有语病的一项是:A. 这位专家的讲座深入浅出,使我对这个领域有了更全面的认识。
B. 她凭借自己的努力,从一名普通职员成长为公司的部门经理。
C. 近年来,我国加大了对贫困地区的扶贫力度,取得了显著成效。
D. 通过这次活动,我们不仅锻炼了身体,还增进了彼此之间的友谊。
5. 下列各句中,下列句子没有语病的一项是:A. 我国拥有丰富的文化遗产,这是我们民族的瑰宝,应该加以保护和传承。
一、选择题(每题2分,共20分)1. 下列词语中,字形、字音、字义完全正确的一项是()A. 剥削(bō xiāo)B. 剥削(bō xiǎo)C. 剥削(bāo xiāo)D. 剥削(bāo xiǎo)2. 下列句子中,没有语病的一项是()A. 由于受到自然灾害的影响,农民的收入大幅度减少。
B. 她的书法作品受到了很多人的喜爱,因此被誉为“书法天才”。
C. 通过这次比赛,我们充分认识到了自己的不足。
D. 小明在这次考试中取得了优异的成绩,他的努力得到了老师和同学们的认可。
3. 下列词语中,没有错别字的一项是()A. 潇洒B. 潇洒C. 潇洒D. 潇洒4. 下列句子中,标点符号使用正确的一项是()A. 他一边吃饭,一边看电视,一边聊天。
B. 他的笑容,如同阳光一般温暖。
C. “你今天去哪儿?”他问道。
D. 这本书很有趣,我已经看了一半了。
5. 下列诗句中,韵脚押韵的一项是()A. 春风又绿江南岸,明月何时照我还?B. 举头望明月,低头思故乡。
C. 床前明月光,疑是地上霜。
D. 独在异乡为异客,每逢佳节倍思亲。
二、填空题(每题2分,共20分)6. 下列句子出自《论语》,请填写空缺部分。
子曰:“学而时习之,______。
”子曰:“______,不亦说乎?”7. 下列句子出自《离骚》,请填写空缺部分。
路漫漫其修远兮,______。
吾将上下而求索。
8. 下列句子出自《庐山谣》,请填写空缺部分。
青青园中葵,朝露待日晞。
______,______。
9. 下列句子出自《岳阳楼记》,请填写空缺部分。
先天下之忧而忧,______。
后天下之乐而乐。
10. 下列句子出自《出塞》,请填写空缺部分。
秦时明月汉时关,______。
万里长征人未还。
三、阅读题(每题5分,共25分)11. 阅读下面的文言文,完成题目。
孟子见梁惠王。
王曰:“叟不远千里而来,亦将有以利吾国乎?”孟子对曰:“王何必曰利?亦有仁义而已矣。
王曰何以利吾国?抑曰仁义与?二者不可得兼,舍生而取义者也。
一、选择题(每题5分,共50分)1. 下列各数中,绝对值最小的是()A. -3B. -2C. 0D. 1答案:C2. 若a,b是方程x² - 3x + m = 0的两个实数根,则m的取值范围是()A. m > 3B. m ≤ 3C. m ≥ 3D. m < 3答案:B3. 函数f(x) = x² - 4x + 3的图像与x轴的交点坐标是()A. (1, 0), (3, 0)B. (0, 1), (3, 1)C. (1, 3), (3, 3)D. (0, 3), (3, 3)答案:A4. 在直角坐标系中,点A(2, 3),点B(-2, -3),则线段AB的中点坐标是()A. (0, 0)B. (1, 1)C. (2, 2)D. (-1, -1)答案:A5. 已知数列{an}的通项公式为an = 2n - 1,则数列的前10项和S10等于()A. 90B. 100C. 110D. 120答案:A6. 若等差数列{an}的第一项为a₁,公差为d,则第n项an的表达式是()A. an = a₁ + (n - 1)dB. an = a₁ - (n - 1)dC. an = a₁ + ndD. an = a₁ - nd答案:A7. 下列函数中,是偶函数的是()A. f(x) = x² - 3x + 2B. f(x) = x³ + 2x² - 3xC. f(x) = 2x + 3D. f(x) = x² + 2答案:D8. 若sinθ = 1/2,则cos(2θ)的值是()A. 3/4B. 1/4C. -1/4D. -3/4答案:B9. 在△ABC中,若∠A = 60°,∠B = 45°,则sinC的值是()A. √3/2B. 1/2C. √2/2D. √6/4答案:C10. 下列不等式中,恒成立的是()A. x² + 1 > 0B. x² - 1 > 0C. x² + 1 < 0D. x² - 1 < 0答案:A二、填空题(每题5分,共25分)11. 若函数f(x) = 3x² - 2x + 1在x = 1时取得极值,则该极值为______。
一、选择题(每题2分,共20分)1. 下列词语中,字形、字音完全正确的一项是()A. 蹉跎岁月茁壮成长B. 翩翩起舞亘古不变C. 惟妙惟肖纵横交错D. 雕梁画栋摇摇欲坠2. 下列句子中,没有语病的一项是()A. 随着科技的进步,我国的高铁技术越来越先进,已经成为世界上高铁技术最发达的国家之一。
B. 通过这次活动,使我认识到团队合作的重要性。
C. 阅读课外书籍可以拓宽我们的视野,增长我们的知识。
D. 这本书深受广大青少年喜爱,因为它内容丰富,插图精美。
3. 下列各句中,加点的成语使用不正确的一项是()A. 他的演讲激情洋溢,赢得了全场观众的喝彩。
B. 她的歌唱得如怨如诉,让人陶醉。
C. 他的研究成果在学术界引起了轰动,被誉为“里程碑”。
D. 他做事雷厉风行,从不拖泥带水。
4. 下列各句中,没有错别字的一项是()A. 她的文笔犹如行云流水,读起来令人赏心悦目。
B. 他凭借聪明才智,在事业上取得了骄人的成绩。
C. 这位学者学识渊博,对诸多领域的知识都有深入研究。
D. 他的言论荒谬绝伦,让人难以置信。
5. 下列各句中,标点符号使用不正确的一项是()A. “今天天气真好,我们去公园玩吧!”小明说。
B. 他来到教室,发现同学们都在专心致志地学习。
C. 这个故事告诉我们,要相信自己,勇往直前。
D. “你叫什么名字?”老师问,“我叫李华。
”6. 下列各句中,下列词语使用不恰当的一项是()A. 他的成绩一直名列前茅,是我们班的学习榜样。
B. 她的歌声如天籁之音,让人陶醉。
C. 这位专家的研究成果在国内外都有很高的声誉。
D. 他做事优柔寡断,常常错失良机。
7. 下列各句中,下列词语使用不恰当的一项是()A. 她的演讲激情洋溢,赢得了全场观众的喝彩。
B. 他的歌声如怨如诉,让人陶醉。
C. 这位学者学识渊博,对诸多领域的知识都有深入研究。
D. 他的言论荒谬绝伦,让人难以置信。
8. 下列各句中,下列词语使用不恰当的一项是()A. 他的成绩一直名列前茅,是我们班的学习榜样。
温州市高三第二次适应性模拟测试卷考试时间:150分钟分数:150分1.下列标号的句子中没有错别字且加点字的读音正确的一项是()①扬州处处皆风景,秀美如画,隽.(juàn)永如诗……穿过一带林园,曲折狭长如锦带漂拂的瘦西湖终于到了。
②一泓.(hóng)曲水,细柳轻斜,随风挑拨湖面,都已是冬季,却不知哪来片片落红在湖中逐波而去。
③画舫.(fāng)清荡,玉桥横卧,与杭州西湖相较,当是燕瘦环肥、各擅胜场,别有一番风味。
④不想归去,只想做瘦西湖上,一阙.(què)诗,一方亭,一棵柳,一朵花。
或者,就斜卧成一波湖水,收录着花红柳绿,还有蓝天和飞鸟的影,就这样终老。
A、①B、②C、③D、④2.下列各句中加点词语,使用不正确的一项是()A、中国的改革开放,何以能够除旧布新、改天换地?最关键、最重要的就是在把握历史前进的逻辑..中前进,在顺应时代发展的潮流中发展。
B、产业升级的过程就像开动离心机...,总是有一些落后的、低端的制造要被“甩”出去,这个过程不会轻松。
C、浙江衢州市“为官不为”定期通报制度又发力,相关单位负责人被问责通报。
同时,该市还针对不作为、慢作为、乱作为的干部,作了六类画像,谓之“六机干部”,引发群众持续热评..。
D、家长需要引导孩子树立正确的金钱观、消费观,也需要对孩子使用手机多一份严格管理,给孩子更多陪伴,别让孩子的童年被手机绑架..。
3.请找出与例句不相同的一组熟语()例句:兔子不吃窝边草――肥水不流外人田A、光阴似箭――度日如年B、人不犯我,我不犯人;人若犯我,我必犯人――忍一时风平浪静,退一步海阔天空C、道高一尺,魔高一丈――邪不压正D、八竿子打不着――风马牛不相及4.对下面文段中修辞手法及作用的分析,不正确的一项是()从未见过开得这样盛的藤萝,只见一片辉煌的淡紫色,像一条瀑布,从空中垂下,不见其发端,也不见其终极。
只是深深浅浅的紫,仿佛在流动,在欢笑,在不停地生长。
一、选择题(每小题2分,共20分)1. 下列词语中字形、字音完全正确的一项是()A. 气概(gài)恍若(huǎng)惊愕(è)B. 峰回路转(zhuǎn)恣意(zì)靡靡之音(mǐ)C. 遒劲(qiú)瞬息万变(xùn)振聋发聩(kuì)D. 轰轰烈烈(liè)瞬息万变(shùn)窃窃私语(qiè)2. 下列句子中,没有语病的一项是()A. 为了提高学生的综合素质,学校决定开设书法、绘画、音乐等兴趣班。
B. 随着科技的发展,人类对自然资源的过度开发,导致生态环境日益恶化。
C. 这场演讲比赛,使同学们受到了一次深刻的思想教育,也丰富了他们的课余生活。
D. 他的作文写得非常生动,不仅语言流畅,而且富有想象力。
3. 下列词语中,最接近“满载而归”的意思是()A. 一帆风顺B. 一蹴而就C. 一举两得D. 一挥而就4. 下列各句中,加点词语使用不恰当的一项是()A. 这位专家的报告深入浅出,让我们受益匪浅。
B. 面对困难,我们要有迎难而上的精神,不能知难而退。
C. 她的歌声婉转动听,仿佛一股清泉滋润着我们的心田。
D. 在这次比赛中,他充分发挥了自己的实力,一举夺得了冠军。
5. 下列各句中,句式变换正确的一项是()A. 原句:他热爱祖国,关心集体,团结同学,尊敬师长。
改句:他热爱祖国,关心集体,团结同学,尊敬师长,表现出了良好的品质。
B. 原句:我国的经济实力不断增强,人民生活水平不断提高。
改句:我国的经济实力不断增强,人民生活水平不断提高,这是我们共同努力的结果。
C. 原句:春天来了,万物复苏,鸟语花香,生机勃勃。
改句:春天来了,万物复苏,鸟语花香,生机勃勃,这是一幅美丽的画卷。
D. 原句:他的成绩一直名列前茅,深受老师和同学们的喜爱。
改句:他的成绩一直名列前茅,深受老师和同学们的喜爱,这是他勤奋努力的结果。
二、填空题(每空2分,共20分)6. 《离骚》中“路漫漫其修远兮,吾将上下而求索”一句,表达了作者怎样的精神?7. 《荷塘月色》中,作者通过描写荷塘的景色,抒发了怎样的情感?8. 《背影》中,作者对父亲的感情是怎样的?9. 《社戏》中,鲁迅先生运用了怎样的手法来表现农村生活的真实面貌?10. 《记念刘和珍君》中,作者对刘和珍君的评价是怎样的?三、阅读题(每题10分,共30分)11. 阅读下面的文言文,完成(1)~(4)题。
一、选择题(每题2分,共20分)1. 下列词语中,字形、字音、字义完全正确的一项是()A. 漫不经心(màn)胸有成竹(zhú)呕心沥血(lì)B. 精益求精(jīng)风和日丽(rì)畏首畏尾(wèi)C. 赏心悦目(shǎng)碌碌无为(lù)呆若木鸡(dāi)D. 喜出望外(wàng)息息相关(xī)青出于蓝(qīng)2. 下列句子中,没有语病的一项是()A. 为了提高学生的阅读兴趣,学校决定举办一场读书比赛。
B. 随着我国经济的快速发展,人们的生活水平有了很大提高,住房、医疗、教育等方面的支出也随之增加。
C. 现在的学生普遍存在缺乏独立思考的能力,这种现象值得我们深思。
D. 为了确保考试公平,监考老师对考场进行了严格检查。
3. 下列句子中,标点符号使用正确的一项是()A. 我喜欢看书,尤其喜欢看历史书籍。
(逗号改为分号)B. 他既热爱学习,又乐于助人,是同学们的好榜样。
(逗号改为顿号)C. 请问您叫什么名字?(问号改为句号)D. 你知道吗?我国第一颗原子弹爆炸成功是在1964年。
(问号改为逗号)4. 下列词语中,形近字完全正确的一项是()A. 姿色姿势姿容B. 梦寐梦幻梦境C. 喜剧喜剧喜剧D. 体裁体格体面5. 下列句子中,使用了比喻修辞手法的一项是()A. 那个男孩跑得像兔子一样快。
B. 我的心像被针扎了一下。
C. 那本书的内容非常丰富。
D. 他的声音像银铃一样清脆。
6. 下列句子中,使用了排比修辞手法的一项是()A. 他既聪明又勤奋,成绩一直名列前茅。
B. 那里的风景美极了,山清水秀,鸟语花香。
C. 他非常努力,每天都起早贪黑地学习。
D. 我喜欢看书,喜欢历史,更喜欢文学。
7. 下列句子中,使用了拟人修辞手法的一项是()A. 那朵花在微风中摇曳。
B. 那只鸟在树上唱歌。
C. 那本书的内容非常有趣。
D. 那条小河在静静地流淌。
2024职高高考模拟题
2024职高高考模拟题指的是针对2024年职业高中(职高)高考的模拟试题。
这些模拟题旨在帮助学生了解和熟悉高考的考试形式、难度和要求,以便更好地备考。
以下是3道2024职高高考模拟题的示例:
1.阅读以下材料,回答问题:
材料:一位顾客在商店里买了一台电视机,回家后发现不能正常工作。
他回到商店要求退货或修理,但商店拒绝了他的要求。
问题:你认为商店的做法是否合理?为什么?
2.请用英语回答以下问题:
问题:What is the capital city of France?
答案:The capital city of France is Paris.
3.请计算以下数学题:
题目:3 × (1/3) + √9 - |-5|
答案:3 × (1/3) + √9 - |-5| = 1 + 3 - 5 = -1
总结:2024职高高考模拟题指的是针对2024年职业高中(职高)高考的模拟试题,旨在帮助学生熟悉高考的考试形式和难度,以便更好地备考。
这些模拟题可以涵盖各种学科和题型,包括语文、数学、英语、专业科目等。
高三职高高考模拟试题(六)一、填空题.根据提示在横线上分别写出英语或汉语的相应词汇或短语(共20空,每空0.5分,共10分)1. There is a little boy with a bad in our class.(脾气).2. (即使)you said ''sorry'' , you would hurt your friend.3. What (发生) in your school last night?4. It's not easy for children to answer this (问题)5. My mother won't allow me to play outside if I don't (完成) my homework.6. It's the (第三) time I can't pass the English exam.7. I don't know (是否) he will come on time or not.8. Don't (忘记) to turn off the light when you leave.9. Your bad temper will (留下)a scar just like the hole.10. He is very (积极的) in helping children who are out of school.11. Mr. Wang has rich experence in English-teaching.12. I want to book an air ticket for my mother.13. We are not allowed to play games in class.14. Computers are more and more popular in our daily life.15. "sorry, I don't know." she said, pointing at the dark screen.16. He is not a teacher but a writer.17. The bus is full of people.18. The old picture reminded me of the days we worked on the farm.19. We agree with our teacher.20. The number of teachers in our school is 260.二、选择题(共20题,每小题0.5分,共10分)( ) 1. Miss Gao ____ English on the radio every morning.A. had studiedB. StudiesC. studyD. studied ()2. These little boys ____ playing football.A. are likingB. likeC. likesD. were liking ()3. Could you ring me up as soon as he ___?A. arrivedB. would arriveC. arrivesD. will arrive ()4. When we came in, they ___ their lessons.A. are not doingB. weren't doingC. not were doingD. have done()5. ___ you ___ a teacher when you grow up?A. Will; beB. Are; going to beC. Are; /D. Will; going to be,()6. My father isn't here now. He ___ Shanghai. He ___ there twice.A. has gone; has beenB. has gone to; has been toC. has been to; has goneD. has gone to; has been()7. Look at the clouds. ___.A. It's going to rainB. It'll be rainingC. It will be rainedD. It’ll rain ()8. He ___ in our school for 20 years and he ___ here in 1977.A. has taught; cameB. has taught; has comeC. taught; cameD. has teached; has came()9. You must study hard if you______ want to fail the exam.A. won’tB. don’tC. haven’tD. hadn’t()10. -- Are you going to borrow a dictionary or a magazine?- ______.A. Yes, a dictionaryB.No , a magazineC. A dictionaryD. Yes, bot h()11.Smoking and drinking is harmful______our health.A. toB.forC.withD. At()12. Pollution is a ______ problem now.A. worldwideB. World-classC. World-famousD. Worldly()13.Would you mind your TV a little?A. turning offfB. to turn upC. to turn offD.turning up()14. --- I take the book out?--- I'm afraid not.A. IwillB. mayC. mustD.need()15.--I feel very tired. ---why not stop ?A.to workB.to have a restC.having a restD.to go on with a work ()16. This news sounds .A.excitingB.excitedC.exciteD.to excite()17. My mother told me football in the street.A. don't playB. not playC.not playingD.not to play()18. She kept the word in my hand until understood.A. spellingB.spelledC. spellD.to spell()19. English is difficult a language I can't learn it well.A. such,thatB. very, that Cas, as D.so,that()20. It me two hours to find your house.A. tookB. costC. spentD. Used三阅读理解(共10题,每小题1分,共10分)阅读短文,选择正确的答案AWaste can be seen everywhere in the school. Some students ask for more food than they can eat and others often forget to turn off the lights when they leave the classroom. They say they can afford these things. But I don't agree with them.Waste can bring a lot of problems. Although China is rich in some resources(资源),we are short of(缺乏)others,for example,fresh water(淡水)。
It is reported that we will have no coal(煤)or oil to use in 100 years. So if we go on wasting our resources,what can we use in the future and where can we move?Think about it.I think we should say no to the students who waste things every day. Everybody should stop wasting as soon as possible.In our everyday life,we can do many things to prevent waste from happening,for example,turn off the water taps(水龙头)when we finish washing,turn off the lights when we leave the classroom,try not to order more food than we need,and so on. Little by little,everything will be changed. Waste can be stopped one day,if we do our best.( ) 1. From the passage we know that some students often _______ in the school.A.eat too muchB. don't work hardC. waste thingsD. throw rubbish everywhere( )2. Which is not mentioned in this passage?A. Fresh waterB. Forest.C. Oil.D. Coal.( )3. What may happen in 100 years?A. We may still have enough oil.B. We may still have enough coal.C. We may have a little oil.D. We may have no coal or oil to use. ( )4. Which of the following is right?A. Waste brings problems.B. Waste can bring no problem.C. China is rich in fresh water.D. Students never waste things.( )5. Which is the best title of this passage?A. Stop WastingB. School lifeC. Waste in the SchoolD. Rich Resources in ChinaBDear sir,Just over six months ago, I saw an advertisement in a morning newspaper for aset of the complete works (全集) of William Shakespeare. Your company offered this set at a low price: 15pounds and 50 pence. I had wanted a set of Shakespeare’s plays and poems for some time, so I sent for them.Two weeks later, the books arrived, together with a set of the works of Charles Dickens that I had not wanted. So I returned the Dickens’ books to you. Two more weeks passed. Then there arrived a second set of books and a set of the plays of Moliere, in French. I do not read French, and they were not useful at all, so I wrote to you.You did not answer that letter. Instead you sent me a bill for 42 pounds and a set of the plays of Schiller, in German. I have no room for any more books, and I haveno time to read them all.Please send no more books, no more bills and no more angry letters for payment. Just send one large truck and take all the books away, leaving me only with the one set of the works of Shakespeare for which I have paid.Yours,Simon Walker判断正误:( )1.The advertisement in the morning paper was for a set of the complete works of William Shakespeare.( )2.Mr Walker wanted to order Dickens’ books.( )3.Two weeks later, he got the works of Schiller.( )4.The company wanted Simon to pay for all the books.( )5.Mr. Walker told them to take away all the books except Shakespeare’s books. 模拟试题五答案:一·翻译1.either2.experiences3.Success4. challenges5.smile6.mean7.listen to8. Since9. dark 10.mistakes 11.显然,很清楚12.接下来的13.直到....才....14.原谅15.关小,调小16.修理17.目的18. 驱赶19.导致,引起20. 休息一下二.单选1----5 DCADA 6----10 CBCDC 11---15 ABABC 16---20 CCDBB三.阅读理解(A)DCDCC (B)ADCDB模拟试题六答案:一·翻译1.temper2.even if/though3.happened4.question5.finish6.third7.whether8.forget9.leave10.active 11.经验12.预订13.允许14.越来越普遍15.指着16.不是...而是... 17.挤满了18.使...想起19.同意,赞成20....的数量二.单选1----5 BBCBB 6----10 DAABC 11---15 AADBB 16---20 ADADA三.阅读理解(A) CBDAA (B)TFFTT。