大学概率统计复习题(答案)
- 格式:doc
- 大小:334.50 KB
- 文档页数:10
《概率论与数理统计》复习题及答案《概率论与数理统计》复习题一、填空题 1. 已知P(AB)?P(A),则A与B的关系是独立。
2.已知A,B互相对立,则A与B的关系是互相对立。
,B为随机事件,则P(AB)?。
P(A)?,P(B)?,P(A?B)?,4. 已知P(A)?,P(B)?,P(A?B)?,则P(A?B)?。
,B为随机事件,P(A)?,P(B)?,P(AB)?,则P(BA)?____。
36.已知P(BA)? ,P(A?B)?,则P(A)?2 / 7。
7.将一枚硬币重复抛掷3次,则正、反面都至少出现一次的概率为。
8. 设某教研室共有教师11人,其中男教师7人,现该教研室中要任选3名为优秀教师,则3名优秀教师中至少有1名女教师的概率为___26____。
339. 设一批产品中有10件正品和2件次品,任意抽取2次,每次抽1件,抽出1___。
611110. 3人独立破译一密码,他们能单独译出的概率为,,,则此密码被译出的5343概率为______。
5后不放回,则第2次抽出的是次品的概率为___11.每次试验成功的概率为p,进行重复独立试验,则第8次试验才取得第3235Cp(1?p)7次成功的概率为______。
12. 已知3次独立重复试验中事件A至少成功一次的概率为1事件A成功的概率p?______。
319,则一次试验中27c35813.随机变量X能取?1,0,1,取这些值的概率为,c,c,则常数c?__。
24815k14.随机变量X 分布律为P(X?k)?,k?1,2,3,4,5,则P(X?3X?5 )?__。
15x??2,?0?X?(x)???2?x?0,是X的分布函数,则X分布律为__??pi?1x?0?0? ?__。
??2?0,x?0??16.随机变量X的分布函数为F(x)??sinx,0?x??,则2?1,x???2?P(X??3)?__3__。
217. 随机变量X~N(,1),P(X?3)?,P(X??)?__ 。
概率统计试题及答案概率统计是数学中的一个重要分支,它在自然科学、社会科学、工程技术等多个领域都有着广泛的应用。
本文将提供一套概率统计的试题及答案,以供学习和复习之用。
一、选择题1. 概率论中,如果事件A和B是互斥的,那么P(A∪B)等于:A. P(A) + P(B)B. P(A) - P(B)C. P(A) / P(B)D. 1 - (1 - P(A))(1 - P(B))答案:A2. 以下哪项不是随机变量的典型性质?A. 可测性B. 有界性C. 随机性D. 独立性答案:D3. 标准正态分布的数学期望和方差分别是:A. 0和1B. 1和0C. 1和1D. 0和0答案:A4. 若随机变量X服从参数为λ的指数分布,其概率密度函数为f(x) = λe^(-λx), x > 0,则λ的值为:A. E(X)B. Var(X)C. E(X)^2D. 1 / Var(X)答案:D5. 在贝叶斯定理中,先验概率是指:A. 基于经验或以往数据得到的概率B. 基于主观判断得到的概率C. 事件实际发生的概率D. 事件未发生的概率答案:B二、填空题1. 事件的空间是指包含所有可能发生的事件的集合,其记作______。
答案:Ω2. 若随机变量X服从均匀分布U(a,b),则X在区间[a, b]上的概率密度函数是______。
答案:1 / (b - a)3. 两个事件A和B相互独立的必要不充分条件是P(A∩B) = ______。
答案:P(A)P(B)4. 若随机变量X服从正态分布N(μ, σ^2),则其概率密度函数为f(x) = (1 / (σ * √(2π))) * e^(- (x - μ)^2 / (2σ^2)),其中μ是______,σ^2是______。
答案:数学期望,方差5. 拉普拉斯定理表明,对于独立同分布的随机变量序列,当样本容量趋于无穷大时,样本均值的分布趋近于______分布。
答案:正态三、简答题1. 请简述条件概率的定义及其计算公式。
概率论与数理统计复习题一、选择题(1)设0)(,0)(>>B P A P ,且A 与B 为对立事件,则不成立的是 。
(a)A 与B 互不相容;(b)A 与B 相互独立; (c)A 与B 互不独立;(d)A 与B 互不相容(2)10个球中有3个红球,7个白球,随机地分给10个人,每人一球,则最后三个分到球的人中恰有一个得到红球的概率为 。
(a))103(13C ;(b)2)107)(103(;(c)213)107)(103(C ;(d)3102713C C C (3)设X ~)1,1(N ,概率密度为)(x f ,则有 。
(a)5.0)0()0(=≥=≤X P X p ;(b)),(),()(∞-∞∈-=x x f x f ; (c)5.0)1()1(=≥=≤X P X P ;(d)),(),(1)(∞-∞∈--=x x F x F (4)若随机变量X ,Y 的)(),(Y D X D 均存在,且0)(,0)(≠≠Y D X D ,)()()(Y E X E XY E =,则有 。
(a)X ,Y 一定独立;(b)X ,Y 一定不相关;(c))()()(Y D X D XY D =;(d))()()(Y D X D Y X D -=-(5)样本4321,,,X X X X 取自正态分布总体X ,已知μ=)(X E ,但)(X D 未知,则下列随机变量中不能作为统计量的是 。
(a)∑==4141i i X X ;(b)μ241-+X X ;(c)∑=-=4122)(1i i X X K σ;(d)∑=-=4122)(31i i X X S(6)假设随机变量X 的密度函数为)(x f 即X ~)(x f ,且)(X E ,)(X D 均存在。
另设n X X ,,1 取自X 的一个样本以及X 是样本均值,则有 。
(a)X ~)(x f ;(b)X ni ≤≤1min ~)(x f ;(c)X ni ≤≤1max ~)(x f ;(d)(n X X ,,1 )~∏=ni x f 1)((7)每次试验成功率为)10(<<p p ,进行重复独立试验,直到第10次试验才取得4次成功的概率为 。
2020年大学必修课概率论与数理统计必考题及答案(完整版)一、单选题1、设X ~(1,)p β 12,,,,,n X X X ⋅⋅⋅是来自X 的样本,那么下列选项中不正确的是 (A)当n 充分大时,近似有X ~(1),p p N p n -⎛⎫⎪⎝⎭(B){}(1),k kn k n P X k C p p -==-0,1,2,,k n =⋅⋅⋅ (C ){}(1),k k n k n kP X C p p n-==-0,1,2,,k n =⋅⋅⋅ (D ){}(1),1k kn k i nP X k C p p i n -==-≤≤ 【答案】B2、设总体X 服从正态分布()212,,,,,n N X X X μσ是来自X 的样本,则2σ的最大似然估计为(A )()211n i i X X n =-∑ (B )()2111n i i X X n =--∑ (C )211n i i X n =∑ (D )2X 【答案】A3、1621,,,X X X 是来自总体),10(N ~X 的一部分样本,设:216292821X X Y X X Z ++=++= ,则YZ~( ) )(A )1,0(N )(B )16(t )(C )16(2χ )(D )8,8(F【答案】D4、在假设检验问题中,犯第一类错误的概率α的意义是( ) (A)在H 0不成立的条件下,经检验H 0被拒绝的概率 (B)在H 0不成立的条件下,经检验H 0被接受的概率 (C)在H 00成立的条件下,经检验H 0被拒绝的概率 (D)在H 0成立的条件下,经检验H 0被接受的概率 【答案】C5、在单因子方差分析中,设因子A 有r 个水平,每个水平测得一个容量为的样本,则下列说法正确的是___ __(A)方差分析的目的是检验方差是否相等 (B)方差分析中的假设检验是双边检验im(C)方差分析中包含了随机误差外,还包含效应间的差异(D)方差分析中包含了随机误差外,还包含效应间的差异【答案】D6、设X 的密度函数为)(x f ,分布函数为)(x F ,且)()(x f x f -=。
概率论与数理统计复习试卷一、填空题(本题共10小题,每小题2分,共20分)1. 已知事件A ,B 有概率4.0)(=A P ,5.0)(=B P ,条件概率3.0)|(=A B P ,则=⋃)(B A P .2. 设随机变量X 的分布律为1234020104Xp ..a .b c+-,则常数c b a ,,应满足的条件为 .3. 已知二维随机变量),(Y X 的联合分布函数为),(y x F ,试用),(y x F 表示概率{}P X a ,Y b >>= .4. 设随机变量)2,2(~-U X ,Y 表示作独立重复m 次试验中事件)0(>X 发生的次数,则=)(Y E ,=)(Y D .5.设12n X ,X ,,X 是从正态总体),(~2σμN X 中抽取的样本,则概率()202221201037176i i P .X X.σσ=⎧⎫≤-≤=⎨⎬⎩⎭∑ .6、设n X X X ,,,21 为正态总体),(2σμN (2σ未知)的一个样本,则μ的置信度为1α-的单侧置信区间的下限为7、设θ∧是参数θ的估计,若θ∧满足________________,则称θ∧是θ的无偏估计。
8、设E (X )=-1,D (X )=4,则由切比雪夫不等式估计概率:P {-4<X<2}≥_______________.9、设随机变量X 服从二项分布()2.0,100B ,应用中心极限定理可以得到{}≈≥30X P (已知()9938.05.2=Φ)。
10、设样本,,,,21n X X X 取自正态总体()2,,0Nμσσ>X ______________。
二、单项选择题(本题共10小题,每小题2分,共20分)注意:在每小题列出的四个备选项中只有一个是符合题目要求的,请将其代码填写下面的表格内.............。
错选、多选或未选均无分。
1、如果 1)()(>+B P A P ,则 事件A 与B 必定( ))(A 独立;)(B 不独立;)(C 相容;)(D 不相容.2、已知人的血型为 O 、A 、B 、AB 的概率分别是0.4; 0.3;0.2;0.1。
《概率论与数理统计》练习题(含答案)一、单项选择题1.设,,A B C 为三个事件,且,A B 相互独立,则以下结论中不正确的是( ) (A )若()1P C =,则AC 与BC 也独立. (B )若()1P C =,则A C 与B 也独立. (C )若()0P C =,则A C 与B 也独立. (D )若C B ⊂,则A 与C 也独立.答案:(D ).解答:因为概率为1的事件和概率为0的事件与任何事件独立,所以(A ),(B ),(C )都是正确的,只能选(D ).事实上由图 可见A 与C 不独立.2.设随机变量~(0,1),X N X 的分布函数为()x Φ,则(||2)P X >的值为( ) (A )2[1(2)]-Φ. (B )2(2)1Φ-. (C )2(2)-Φ. (D )12(2)-Φ.答案:(A )解答: ~(0,1)X N 所以(||2)1(||2)1(22)P X P X P X >=-≤=--<≤ 1(2)(2)1[2(2)1]2[1(2)]=-Φ+Φ-=-Φ-=-Φ 应选(A ).3.设随机变量X 和Y 不相关,则下列结论中正确的是( ) (A )X 与Y 独立. (B )()D X Y DX DY -=+. (C )()D X Y DX DY -=-. (D )()D XY DXDY =.SABC答案:(B )解答:由不相关的等价条件知,0y x cov 0xy =⇒=),(ρ ()+2cov x y D X Y DX DY -=+(,) 应选(B ).4.设离散型随机变量X 和Y 的联合概率分布为(,)(1,1)(1,2)(1,3)(2,1)(2,2)(2,3)111169183X Y P αβ若,X Y 独立,则,αβ的值为( )(A )21,99αβ==. (A )12,99αβ==.(C ) 11,66αβ== (D )51,1818αβ==.答案:(A )解答: 若,X Y 独立则有(2,2)(2)(2)P X Y P X P Y α======1121()()()3939αβαα=+++=+∴29α=, 19β=故应选(A ).5.设总体X 的数学期望为12,,,,n X X X μ为来自X 的样本,则下列结论中正确的是( )(A )1X 是μ的无偏估计量. (B )1X 是μ的极大似然估计量. (C )1X 是μ的相合(一致)估计量. (D )1X 不是μ的估计量. 答案:(A ) 解答:1EX μ=,所以1X 是μ的无偏估计,应选(A ).6. 设A 、B 、C 为三个事件,()0P AB >且(|)1P C AB =,则有( )Y X(A )()()() 1.P C P A P B ≤+- (B )()().P C P A B ≤ (C )()()() 1.P C P A P B ≥+- (D )()().P C P A B ≥答案:C 解答:由(|)1P C AB =知()()P ABC P AB =,故()()P C P AB ≥ ()()()()()()()1P C P AB P A P B P A B P A P B ≥=+-≥+- 应选C.7. 设随机变量X 的概率密度为2(2)4(),x f x x +-=-∞<<∞, 且~(0,1)Y aX b N =+,则在下列各组数中应取( ) (A )1/2, 1.a b == (B)2,a b ==(C )1/2,1a b ==-. (D)2,a b == 答案:B 解答:22(2)4()x f x +-==即~(2,)X N - 故当a b ===时 ~(0,1)Y aX b N =+ 应选B.8. 设随机变量X 与Y 相互独立,其概率分布分别为010.40.6X P010.40.6Y P则有( )(A )()0.P X Y == (B )()0.5.P X Y ==(C )()0.52.P X Y == (D )() 1.P X Y == 答案:C解答:()(0,0)(1,1)P X Y P X Y P X Y ====+== 0.40.40.60.60.52=⨯+⨯= 应选C.9. 对任意随机变量X ,若EX 存在,则[()]E E EX 等于( )(A )0. (B ).X (C ).EX (D )3().EX 答案:C 解答:[()]E E EX EX = 应选C.10. 设12,,,n x x x 为正态总体(,4)N μ的一个样本,x 表示样本均值,则μ的置信度为1α-的置信区间为( ) (A )/2/2(x u x u αα-+ (B )1/2/2(x u x u αα--+ (C )(x u x uαα-+ (D )/2/2(x u x u αα-+ 答案:D 解答:因为方差已知,所以μ的置信区间为/2/2(X u X u αα-+应选D. 11、设为总体的一个样本,为样本均值,则下),,,(21n X X X )2,1(2N X列结论中正确的是( D )。
第一章 随机事件及其概率一、选择题:1.设A 、B 、C 是三个事件,与事件A 互斥的事件是: ( )A .AB AC + B .()A B C + C .ABCD .A B C ++2.设B A ⊂ 则 ( )A .()P AB =1-P (A ) B .()()()P B A P B A -=-C . P(B|A) = P(B)D .(|)()P AB P A =3.设A 、B 是两个事件,P (A )> 0,P (B )> 0,当下面的条件( )成立时,A 与B 一定独立A .()()()P AB P A P B = B .P (A|B )=0C .P (A|B )= P (B )D .P (A|B )= ()P A4.设P (A )= a ,P (B )= b, P (A+B )= c, 则 ()P AB 为: ( )A .a-bB .c-bC .a(1-b)D .b-a5.设事件A 与B 的概率大于零,且A 与B 为对立事件,则不成立的是 ( )A .A 与B 互不相容 B .A 与B 相互独立C .A 与B 互不独立D .A 与B 互不相容6.设A 与B 为两个事件,P (A )≠P (B )> 0,且A B ⊃,则一定成立的关系式是( )A .P (A|B )=1 B .P(B|A)=1C .(|A)1p B =D .(A|)1p B =7.设A 、B 为任意两个事件,则下列关系式成立的是 ( )A .()AB B A -= B .()A B B A -⊃C .()A B B A -⊂D .()A B B A -=8.设事件A 与B 互不相容,则有 ( )A .P (AB )=p (A )P (B ) B .P (AB )=0C .A 与B 互不相容D .A+B 是必然事件9.设事件A 与B 独立,则有 ( )A .P (AB )=p (A )P (B ) B .P (A+B )=P (A )+P (B )C .P (AB )=0D .P (A+B )=110.对任意两事件A 与B ,一定成立的等式是 ( )A .P (AB )=p (A )P (B ) B .P (A+B )=P (A )+P (B )C .P (A|B )=P (A )D .P (AB )=P (A )P (B|A )11.若A 、B 是两个任意事件,且P (AB )=0,则 ( )A .A 与B 互斥 B .AB 是不可能事件C .P (A )=0或P (B )=0D .AB 未必是不可能事件12.若事件A 、B 满足A B ⊂,则 ( )A .A 与B 同时发生 B .A 发生时则B 必发生C .B 发生时则A 必发生D .A 不发生则B 总不发生13.设A 、B 为任意两个事件,则P (A-B )等于 ( )A . ()()PB P AB - B .()()()P A P B P AB -+C .()()P A P AB -D .()()()P A P B P AB --14.设A 、B 、C 为三事件,则AB BC AC 表示 ( )A .A 、B 、C 至少发生一个 B .A 、B 、C 至少发生两个C .A 、B 、C 至多发生两个D .A 、B 、C 至多发生一个15.设0 < P (A) < 1. 0 < P (B) < 1. P(|B)+P(A B A )=1. 则下列各式正确的是( )A .A 与B 互不相容 B .A 与B 相互独立C .A 与B 相互对立D .A 与B 互不独立16.设随机实际A 、B 、C 两两互斥,且P (A )=0.2,P (B )=0.3,P (C )=0.4,则PA B C -= ()( ). A .0.5 B .0.1 C .0.44 D .0.317掷两枚均匀硬币,出现一正一反的概率为 ( )A .1/2B .1/3C .1/4D .3/418.一种零件的加工由两道工序组成,第一道工序的废品率为 1p ,第二道工序的废品率为2p ,则该零件加工的成品率为 ( )A .121p p --B .121p p -C .12121p p p p --+D .122p p --19.每次试验的成功率为)10(<<p p ,则在3次重复试验中至少失败一次概率为( )。
;第一章 一、填空题1. 若事件A ⊃B 且P (A )=0.5, P(B) =0.2 , 则 P(A -B)=( 0.3 )。
2. 甲、乙各自同时向一敌机炮击,已知甲击中敌机的概率为0.7,乙击中敌机的概率为0.8.求敌机被击中的概率为( 0.94 )。
3. 设A、B、C为三个事件,则事件A,B,C中不少于二个发生可表示为(AB AC BC ++ )。
4. 三台机器相互独立运转,设第一,第二,第三台机器不发生故障的概率依次为0.9,0.8,0.7,则这三台机器中至少有一台发生故障的概率为( 0.496 )。
5. 某人进行射击,每次命中的概率为0.6 独立射击4次,则击中二次的概率为( 0.3456 )。
6. 设A、B、C为三个事件,则事件A,B与C都不发生可表示为( ABC )。
7. 设A、B、C为三个事件,则事件A,B,C中不多于一个发生可表示为( ABAC BC I I ); 8. 若事件A 与事件B 相互独立,且P (A )=0.5, P(B) =0.2 , 则 P(A|B)=( 0.5 ); 9. 甲、乙各自同时向一敌机炮击,已知甲击中敌机的概率为0.6,乙击中敌机的概率为0.5.求敌机被击中的概率为( 0.8 ); 10. 若事件A 与事件B 互不相容,且P (A )=0.5, P(B) =0.2 , 则 P(B A -)=( 0.5 ) 11. 三台机器相互独立运转,设第一,第二,第三台机器不发生故障的概率依次为0.8,0.8,0.7,则这三台机器中最多有一台发生故障的概率为( 0.864 )。
12. 若事件A ⊃B 且P (A )=0.5, P(B) =0.2 , 则 P(B A )=( 0.3 ); 13. 若事件A 与事件B 互不相容,且P (A )=0.5, P(B) =0.2 , 则 P(B A )=( 0.5 ) 14. A、B为两互斥事件,则A B =U ( S )15. A、B、C表示三个事件,则A、B、C恰有一个发生可表示为( ABC ABC ABC ++ )16. 若()0.4P A =,()0.2P B =,()P AB =0.1则(|)P AB A B =U ( 0.2 ) 17. A、B为两互斥事件,则AB =( S )18. 保险箱的号码锁定若由四位数字组成,则一次就能打开保险箱的概率为(110000)。
一、 填空题(每题2分,共20分)1、记三事件为A ,B ,C . 则用A ,B ,C 及其运算关系可将事件,“A ,B ,C 中只有一个发生”表示为 . 2、匣中有2个白球,3个红球。
现一个接一个地从中随机地取出所有的球。
那么,白球比红球早出现的概率是 2/5 。
3、已知P(A)=0.3,P (B )=0.5,当A ,B 相互独立时,06505P(A B )_.__,P(B |A )_.__⋃==。
4、一袋中有9个红球1个白球,现有10名同学依次从袋中摸出一球(不放回),则第6位同学摸出白球的概率为 1/10 。
5、若随机变量X 在区间 (,)a b 上服从均匀分布,则对a c b <<以及任意的正数0e >,必有概率{}P c x c e <<+ =⎧+<⎪⎪-⎨-⎪+>⎪-⎩e,c e b b ab c ,c e b b a6、设X 服从正态分布2(,)N μσ,则~23X Y -= N ( 3-2μ , 4σ2 ) .7、设1128363X B EX DX ~n,p ),n __,p __==(且=,=,则 8、袋中装有5只球,编号为1,2,3,4,5,在袋中同时取出3只,以X 表示取出3只球中的最大号码。
则X 的数学期望=)(X E 4.5 。
9、设随机变量(,)X Y 的分布律为则条件概率 ===}2|3{Y X P 2/5 .10、设121,,X X 来自正态总体)1 ,0(N , 2129285241⎪⎭⎫⎝⎛+⎪⎭⎫ ⎝⎛+⎪⎭⎫ ⎝⎛=∑∑∑===i i i i i i X X X Y ,当常数k = 1/4 时,kY 服从2χ分布。
二、计算题(每小题10分,共70分)1、三台机器因故障要人看管的概率分别为0.1,0.2,0.15,求: (1)没有一台机器要看管的概率 (2)至少有一台机器不要看管的概率 (3)至多一台机器要看管的概率解:以A j 表示“第j 台机器需要人看管”,j =1,2,3,则: ABC ABC ABCP ( A 1 ) = 0.1 , P ( A 2 ) = 0.2 , P ( A 3 ) = 0.15 ,由各台机器间的相互独立性可得()()()()()123123109080850612P A A A P A P A P A ....=⋅⋅=⨯⨯= ()()()12312321101020150997P A A A P A A A ....⋃⋃=-=-⨯⨯= ()()()()()()1231231231231231231231233010808509020850908015090808500680153010806120941P A A A A A A A A A A A A P A A A P A A A P A A A P A A A .................=+++=⨯⨯+⨯⨯+⨯⨯+⨯⨯=+++=2、甲袋中有n 只白球、m 只红球;乙袋中有N 只白球、M 只红球。
概率论与数理统计考试试卷(附答案)一、选择题(共6小题,每小题5分,满分30分) 1. 事件表达式B A -的意思是 ( ) (A) 事件A 与事件B 同时发生 (B) 事件A 发生但事件B 不发生 (C) 事件B 发生但事件A 不发生(D) 事件A 与事件B 至少有一件发生2. 假设事件A 与事件B 互为对立,则事件A B ( ) (A) 是不可能事件 (B) 是可能事件 (C) 发生的概率为1(D) 是必然事件3. 已知随机变量X ,Y 相互独立,且都服从标准正态分布,则X 2+Y 2服从 ( ) (A) 自由度为1的χ2分布 (B) 自由度为2的χ2分布 (C) 自由度为1的F 分布(D) 自由度为2的F 分布4. 已知随机变量X ,Y 相互独立,X ~N (2,4),Y ~N (-2,1), 则( )(A) X +Y ~P (4) (B) X +Y ~U (2,4) (C) X +Y ~N (0,5) (D) X +Y ~N (0,3)5. 样本(X 1,X 2,X 3)取自总体X ,E (X )=μ, D (X )=σ2, 则有( ) (A) X 1+X 2+X 3是μ的无偏估计(B)1233X X X ++是μ的无偏估计(C) 22X 是σ2的无偏估计(D) 21233X X X ++⎛⎫ ⎪⎝⎭是σ2的无偏估计6. 随机变量X 服从在区间(2,5)上的均匀分布,则X 的方差D (X )的值为( ) (A) 0.25(B) 3.5(C) 0.75(D) 0.5二、填空题(共6小题,每小题5分,满分30分。
把答案填在题中横线上) 1. 已知P (A )=0.6, P (B |A )=0.3, 则P (AB )= __________2. 三个人独立地向一架飞机射击,每个人击中飞机的概率都是0.4,则飞机被击中的概率为__________3. 一个袋内有5个红球,3个白球,2个黑球,任取3个球恰为一红、一白、一黑的概率为_____4. 已知连续型随机变量,01,~()2,12,0,.x x X f x x x ≤≤⎧⎪=-<≤⎨⎪⎩其它 则P {X ≤1.5}=_______.5. 假设X ~B (5, 0.5)(二项分布), Y ~N (2, 36), 则E (2X +Y )=__________6. 一种动物的体重X 是一随机变量,设E (X )=33, D (X )=4,10个这种动物的平均体重记作Y ,则D (Y )=_____________________ _______三、有两个口袋,甲袋中盛有两个白球,一个黑球,乙袋中盛有一个白球,两个黑球。
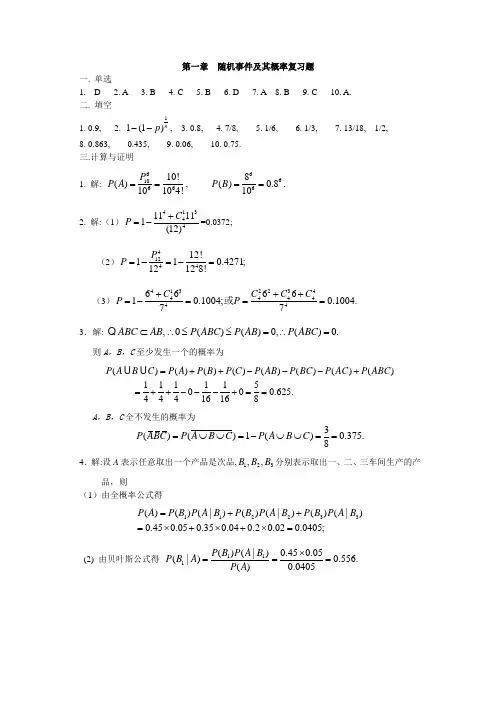
第一章 随机事件及其概率复习题一. 单选1. D2. A3. B4. C5. B6. D7. A8. B9. C 10. A. 二. 填空1. 0.9,2. 11(1)n p --, 3. 0.8, 4. 7/8, 5. 1/6, 6. 1/3, 7. 13/18, 1/2, 8. 0.863, 0.435, 9. 0.06, 10. 0.75. 三.计算与证明 1. 解: 6106610!()10104!P P A ==, 6668()0.810P B ==.2. 解:(1)4134411111(12)C P +=-=0.0372;(2)4124412!110.4271;12128!P P =-=-=(3)4132234444444666610.1004;0.1004.77C C C C P P +++=-===或3.解: ,0()()0,()0.ABC AB P ABC P AB P ABC ⊂∴≤≤=∴=则A ,B ,C 至少发生一个的概率为()()()()()()()()111115000.625.44416168P A B C P A P B P C P AB P BC P AC P ABC =++---+=++---+==A ,B ,C 全不发生的概率为3()()1()0.375.8P A B C P A B C P A B C =⋃⋃=-⋃⋃==4.解:设A 表示任意取出一个产品是次品,123,,B B B 分别表示取出一、二、三车间生产的产品,则(1)由全概率公式得112233()()(|)()(|)()(|)0.450.050.350.040.20.020.0405;P A P B P A B P B P A B P B P A B =++=⨯+⨯+⨯=(2) 由贝叶斯公式得 111()(|)0.450.05(|)0.556.()0.0405P B P A B P B A P A ⨯===5.解:设12,A A 分别表示第一、第二次取出的零件是一等品,12,B B 分别表示取出第一、第二箱中的零件,则 (1)由全概率公式得1111212()()(|)()(|)0.50.20.50.60.4;P A P B P A B P B P A B =+=⨯+⨯=21121122122111()()(|)()(|)(2)(|)()()11091817()2504930290.4856.0.4P A A P B P A A B P B P A A B P A A P A P A +==⨯⨯+⨯==6.证明:{()}()()()()P A B C P AC BC P AC P BC P ABC ⋃=⋃=+- =()()()()()()()P A P C P B P C P A P B P C +- =(()()())()()()P A P B P AB P C P A B P C =+-=⋃ 故 A B ⋃与C 独立.第二章随机变量及其分布复习题一 选择题1. B2. B3. C4. D5. C 二 填空题 1.22(),0,1,2,;!kP X k e k k -=== 0.592.27193. ,1,21π==B A2111,,21x R xπ∈+4.,65,61 分布律:X -1 1 2P 616221三 解答题1. 解: X 的分布律为 X 1 2 3 4 P643764196476412. 解: X 的分布律为 1(),1,2,3,.k P X k q p k -=== 3. 解:设X 表示两次调整之间生产的合格品数,则X 的分布律为1()(1),0,1,2,.k P X k p p k -==-=4. 解: X 的概率分布为55()0.250.75,0,1,2,3,4,5.k k k P X k C k -=== 设A 表示“5道选择题至少答对两题”,则()1(0)(1)0.3672.P A P X P X =-=-==5. 解:1)一天中必须有油船转走意味着“X .>3”242(3)0.143;!kk P X ek ∞-=>==∑(查泊松分布表)2) 设设备增加到一天能为y 艘油船服务,才能使到达港口的90%的油船可以得到服务.则21212()0.910.9!20.1,15 4.!kk y kk y P X y ek ey y k ∞-=+∞-=+≤≥⇒-≥⇒≤+≥⇒≥∑∑反查泊松分布表得6. 解:21)()()31()31(3131=+=+⇒>=<⎰⎰∞dx b ax dx b ax X P X P47,23=-=⇒b a7.170170170:1)()0.01()()0.99666170(2.33)0.99 2.33184.6X h h P X h P h h ---≥<⇒<=Φ≥-Φ≈⇒≥⇒≥解查表得2)(182)P X ≥=1821701()1(2)0.02,6--Φ=-Φ≈设A 表示“100个男子中与车门碰头人数不多于2个”676.002.098.002.098.098.0)(2982100991100100=++=C C A P .8. 解:(1) X 的分布函数为 1,02()11,02xx e x F x e x -⎧-∞<≤⎪⎪=⎨⎪-<<+∞⎪⎩011(2)(1)(0)2211(1)(0),22xxP Y P X e dx P Y P X e dx ∞--∞==>===-=≤==⎰⎰故Y 的概率分布律为 Y -1 1P 1/2 1/2Y 的分布函数为 0,11(),1121,1Y y F y y y <-⎧⎪⎪=-≤<⎨⎪≥⎪⎩ 第三章 多维随机变量及其分布复习题1. 解:()1由X 和Y 相互独立可知()()(),P X i Y j P X i P Y j =====,i =1,2,3; 0j =,1,2.则X 和Y 的联合概率分布为YX0 1 212311218 124 16 14 11211218124()2()()313P X Y P X Y +≠=-+=()()()()11,22,13,0P X Y P X Y P X Y =-==+==+==111951124412248⎛⎫=-++=-=⎪⎝⎭. 2. 解:由二维联合概率分布律及其性质可知:0.40.11a b +++=,即0.5a b += ()*()00.4P X a ==+, ()1P Y =0.1a =+()()10,1P X Y P X Y +====()1,00.5P X Y a b +===+=则由随机事件{0}X =与{1}X Y +=相互独立可得: ()()()01P X X Y =⋂+=()1P Y ==0.1a =+()()01P X P X Y ==+=()()()0.40.50.4a a b a =++=+,即 0.10.5(0.4a a +=+可得:0.2a =,再有()*式得:0.3b =.3. 解:由题意可知(),X Y 的可能取值为()0,0,()0,1,()1,0,()1,1, 则(),X Y 的联合分布律为()0,0P X Y ==()()P A B P A B ==⋃()1P A B =-⋃()()()()1P A P B P AB =-+-1111211461233⎛⎫=-+-=-= ⎪⎝⎭()0,1P X Y ==()()()P AB P B P AB ==-11161212=-=()()()()1,0P X Y P A B P A P AB ====- ()()11,112P X Y P AB ====即YX0 1123 112161124. 解:由题意知Y 的密度函数为(),00,y Y e y f y -⎧>=⎨⎩其他,()12,X X 的可能取值为()0,0,()0,1,()1,0,()1,1,则()12,X X 的联合分布律为()()120,01,2P X X P Y Y ===≤≤()1P Y =≤111y e dy e --==-⎰()()()120,11,20P X X P Y Y P φ===≤>==()()()2121211,01,212y P X X P Y Y P Y e dy ee---===>≤=<≤==-⎰()()()21221,11,22yP X X P Y Y P Y e dy e +∞--===>>=>==⎰,即:2X1X0 1111e -- 012ee--- 2e-5. 解:()1由题意记区域G 的面积为()A G ,则()()1216A G x x dx =-=⎰,所以()()()6,,,0,,x y G f x y x y G∈⎧⎪=⎨∉⎪⎩()2 关于X的边缘密度函数为()()22666,01,0,x x X dy x x x f x f x y dy +∞-∞⎧=-≤≤⎪==⎨⎪⎩⎰⎰其他关于Y 的边缘密度函数为()()()66,01,0,yy Y dx y y y f y f x y dx +∞-∞⎧=-≤≤⎪==⎨⎪⎩⎰⎰其他()3 不独立. 因为当01,01x y ≤≤≤≤时()()(),X Y fx y f x f y ≠.6. 解:()1关于X 的边缘密度函数为()()2012,01,0,x X dy x x f x f x y dy +∞-∞⎧=<<⎪==⎨⎪⎩⎰⎰其他关于Y 的边缘密度函数为()()1211,022,0,y Y y dx y f y f x y dx +∞-∞⎧=-<<⎪==⎨⎪⎩⎰⎰其他 ()2()112211,,22P X Y fx y dxdy -∞-∞⎛⎫<<=⎪⎝⎭⎰⎰111222002131(1).216y dy dx y dy ==-=⎰⎰⎰第四章 随机变量的数字特征复习题一 选择题B D B D C二 填空题1.18.4 2.1 3.0.9 4.6三 计算题 1.解:⎰+∞∞-dx x f )(=⎰20axdx +42()2621bx c dx a b c +=++=⎰242433222856()()()()6233233a b c E X xf x dx xaxdx x bx c dx xx x a b c +∞-∞==++=++=++=⎰⎰⎰P( 1<x<3)=⎰21axdx +⎰+32)(dx c bx =23a+25b+c=43∴11,,144a b c ==-=2解: E(Z)=21E(X)+31E(Y)=67, Cov(X,Y)= X YρDX DY =1,D(Z)=41D(X)+91D(Y)+31cov(X,Y)=3637Cov(X,Z)= cov(X,2X+3Y )= 21D(X)+31cov(X,Y)=65第七章 参数估计复习题1.解 似然函数为 12222221111()(,)2(2)nii i x x n ni ni i L f x e eσσσσπσπσ=--==∑===∏∏,取对数 221122ln ()ln(2)ln 2ln 22nniii i xxL n n n σπσπσσσ===--=---∑∑令2122ln ()022nii xd n L d σσσσ==-+=∑,解得2σ的极大似然估计值为221ˆxσ=.2.解 记12m in(,,...,)n n X X X X *=,此时θ的似然函数等价于1,()0,ni i x n n n e x L x θθθθ=-+**⎧∑⎪≤=⎨⎪>⎩所以只有当n x θ*≤时,才有可能使()L θ取到最大值.又()L θ对n x θ*≤的θ是增函数,故当n x θ*=取到其最大值.即()m ax ()n L x L θθ*>=所以θ的极大似然估计值为 12ˆmin(,,...,)n n x x x x θ*==.3.解 由于[,1]X U θθ+ ,故总体的期望为212E X θ+=,从而得到方程ˆ21,2X θ+= 解得 1ˆ2X θ=-.所以θ的矩估计量为 1ˆ2X θ=-.又111ˆ()()()222E E X E X E X θθ=-=-=-= ,故1ˆ2X θ=-是θ的无偏估计量.4.证明2221122111ˆ[()]()1(2)nniii i ni i i E E XE X nnEX EX nσμμμμ====-=-=-+∑∑∑2222211(2)ni nμσμμσ==+-+=∑故2ˆσ是2σ的无偏估计量。
概率论与数理统计复习题 一.填空题1.设, , A B C 为三个事件,用, , A B C 的运算关系式表示下列事件:, , A B C 都发生_____________;, , A B C 中不多于一个发生______________.解:ABC ; AB BC AC ABC ABC ABC ABC ⋃⋃=⋃⋃⋃2.一副扑克牌共52张,无大小王,从中随机地抽取2张牌,这2张牌花色不相同的概率为解:211413132521317C C C p C ==或者1241325213117C C p C =-= 3.同时掷甲、已两枚骰子,则甲的点数大于乙的点数的概率为 解:155{(,)|,1,,6},{},()3612S i j i j A i j P A ===>== 4.设随机事件A 与B 相互独立,()0.5,()0.6P A P B ==,则()P A B -= ,()P A B ⋃= 。
解:()()()()0.2P A B P AB P A P B -===, ()()()()()0.8P A B P A P B P A P B ⋃=+-=5.已知61)(,31)|(,41)(===B P A B P A P ,则()P A B ⋃=______________. 解:111()()(|)4312P AB P A P B A ==⨯=,1()()()()3P A B P A P B P AB ⋃=+-=6.已知()0.6,()0.3P A P AB ==,且,A B 独立,则()P A B ⋃= . 解:()()()0.3()0.5()0.5P AB P A P B P B P B ==⇒=⇒=()()()()()()()()0.8P A B P A P B P AB P A P B P A P B ⋃=+-=+-=7.已知 P(A)=0.4,P(B)=0.3,且A,B 互不相容,则()_____,()_____P AB P AB ==. 解:()()()0.3,()()()0.3P AB P B P AB P AB P A P AB =-==-= 或()()1()()0.3P AB P A B P A P B =⋃=--=8.在三次独立的实验中,事件B 至少出现一次的概率为19/27,若每次实验中B 出现的概率均为p, 则p=_______________解:设X 表示3次试验中事件B 出现的次数,则(3,)XB p ,3191{1}1{0}1(1),273P X P X p p ≥=-==--=∴= 9.设(),0XP λλ>,则X 的分布律为解:{},0,1,2,!k e P X k k k λλ-===10.设随机变量X 服从泊松分布,且已知{1}{2}P X P X ===,那么{4}P X == 。
大学概率统计试题及答案一、选择题(每题3分,共30分)1. 随机变量X服从标准正态分布,即X~N(0,1),则P(X > 1)等于()。
A. 0.1587B. 0.8413C. 0.5000D. 0.34462. 设随机变量X服从区间[0,1]上的均匀分布,则E(X)等于()。
A. 0B. 0.5C. 1D. 0.253. 一组数据的方差是12,标准差是()。
A. 2B. 3.46C. 4D. 64. 两个独立的随机变量X和Y,如果P(X > 0) = 0.7,P(Y > 0) =0.5,则P(X > 0 且 Y > 0)等于()。
A. 0.35B. 0.5C. 0.7D. 0.25. 抛一枚均匀硬币两次,出现至少一次正面朝上的概率是()。
A. 0.5B. 0.75C. 1D. 0.256. 从1到10的整数中随机抽取一个数,抽到奇数的概率是()。
A. 0.5B. 0.4C. 0.6D. 0.37. 设随机变量X服从泊松分布,参数为λ=2,则P(X=1)等于()。
A. 0.2707B. 0.1353C. 0.5000D. 0.75008. 一组数据的平均数是5,中位数是4,则这组数据的众数可能是()。
A. 3B. 4C. 5D. 69. 随机变量X和Y相互独立,且都服从标准正态分布,则Z=X+Y服从()。
A. 正态分布B. 泊松分布C. 二项分布D. 均匀分布10. 随机变量X服从二项分布,参数为n=10,p=0.5,则P(X=5)等于()。
A. 0.246B. 0.176C. 0.121D. 0.061二、填空题(每题4分,共20分)1. 如果随机变量X服从二项分布B(n,p),那么其方差Var(X)=________。
2. 设随机变量X服从指数分布,参数为λ,则其概率密度函数为f(x)=________,x>0。
3. 一组数据的均值为50,标准差为10,则这组数据的变异系数CV=________。
概率论与数理统计期末复习题一一、填空题(每空2分,共20分)1、设X 为连续型随机变量,则P{X=1}=( 0 ).2、袋中有50个球,其编号从01到50,从中任取一球,其编号中有数字4的概率为(14/50 或7/25 ).3、若随机变量X 的分布律为P{X=k}=C(2/3)k,k=1,2,3,4,则C=( 81/130 ). 4、设X 服从N (1,4)分布,Y 服从P(1)分布,且X 与Y 独立,则 E (XY+1-Y )=( 1 ) ,D (2Y-X+1)=( 17 ).5、已知随机变量X ~N(μ,σ2),(X-5)/4服从N(0,1),则μ=( 5 );σ=( 4 ). 6且X 与Y 相互独立。
则A=( 0.35 ),B=( 0.35 ).7、设X 1,X 2,…,X n 是取自均匀分布U[0,θ]的一个样本,其中θ>0,n x x x ,...,,21是一组观察值,则θ的极大似然估计量为( X (n) ).二、计算题(每题12分,共48分)1、钥匙掉了,落在宿舍中的概率为40%,这种情况下找到的概率为0.9; 落在教室里的概率为35%,这种情况下找到的概率为0.3; 落在路上的概率为25%,这种情况下找到的概率为0.1,求(1)找到钥匙的概率;(2)若钥匙已经找到,则该钥匙落在教室里的概率.解:(1)以A 1,A 2,A 3分别记钥匙落在宿舍中、落在教室里、落在路上,以B 记找到钥匙.则 P(A 1)=0.4,P(A 2)=0.35,P(A 3)=0.25, P(B| A 1)=0.9 ,P(B| A 2)=0.3,P(B| A 3)=0.1 所以,49.01.025.03.035.09.04.0)|()()(31=⨯+⨯+⨯==∑=ii iA B P A P B P(2)21.049.0/)3.035.0()|(2=⨯=B A P 2、已知随机变量X 的概率密度为其中λ>0为已知参数.(1)求常数A; (2)求P{-1<X <1/λ)}; (3)F(1).⎪⎩⎪⎨⎧<≥=-000)(2x x e A x f x λλ解:(1)由归一性:λλλλλλ/1,|)(102==-===∞+--+∞+∞∞-⎰⎰A A e A dx e A dx x f x x 所以(2)⎰=-==<<--λλλλ/1036.0/11}/11{e dx e X P x(3)⎰---==11)1(λλλe dx eF x3、设随机变量X 的分布律为且X X Y 22+=,求(1)()E X ; (2)()E Y ; (3))(X D . 解:(1)14.023.012.001.01)(=⨯+⨯+⨯+⨯-=X E (2)24.043.012.001.01)(2=⨯+⨯+⨯+⨯=X E422)(2)()2()(22=+=+=+=X E X E X X E Y E(3)112)]([)()(22=-=-=X E X E X D4、若X ~N(μ,σ2),求μ, σ2的矩估计.解:(1)E(X)=μ 令μ=-X 所以μ的矩估计为-Λ=X μ(2)D(X)=E(X 2)-[E(X)]2又E(X 2)=∑=n i i X n 121D(X)= ∑=n i i X n 121--X =212)(1σ=-∑=-n i i X X n所以σ2的矩估计为∑=-Λ-=ni i X X n 122)(1σ三、解答题(12分)设某次考试的考生的成绩X 服从正态分布,从中随机地抽取36位考生的成绩,算得平均成绩为66.5分,标准差为15分,问在显著性水平0.05下,是否可以认为在这次考试中全体考生的平均成绩为70分? 解:提出假设检验问题:H 0: μ=70, H 1 :μ≠70,nS X t /70-=-~t(n-1),其中n=36,-x =66.5,s=15,α=0.05,t α/2(n-1)=t 0.025(35)=2.03 (6)03.24.136/15|705.66|||<=-=t所以,接受H 0,在显著性水平0.05下,可认为在这次考试中全体考生的平均成绩为70分四、综合题(每小题4分,共20分) 设二维随机变量),(Y X 的联合密度函数为:32,01,01(,)0,x ce y x y f x y ⎧≤≤≤≤=⎨⎩其它试求: )1( 常数C ;)2(()X f x , )(y f Y ;)3( X 与Y 是否相互独立?)4( )(X E ,)(Y E ,)(XY E ; )5( )(X D ,)(Y D . 附:Φ(1.96)=0.975; Φ(1)=0.84; Φ(2)=0.9772t 0.05(9)= 1.8331 ; t 0.025(9)=2.262 ; 8595.1)8(05.0=t , 306.2)8(025.0=t t 0.05(36)= 1.6883 ; t 0.025(36)=2.0281 ; 0.05(35) 1.6896t =, 0.025(35) 2.0301t = 解:(1))1(9|31|3113103103101010102323-=⋅⋅=⋅==⎰⎰⎰⎰e c y e c dy y dx e c dxdy y ce x x x 所以,c=9/(e 3-1)(2)0)(1319)(,103323103=-=-=≤≤⎰x f x e e dy y e e x f x X xx X 为其它情况时,当当所以,333,01()10,xX e x f x e ⎧≤≤⎪=-⎨⎪⎩其它同理, 23,01()0,Y y y f y ⎧≤≤=⎨⎩其它(3)因为: 32333,01,01()()(,)10,x X Y e y x y f x f y f x y e ⎧⋅≤≤≤≤⎪==-⎨⎪⎩其它所以,X 与Y 相互独立. (4)113333013130303331111(|)1213(1)x xx x EX x e dx xde e e y e e dx e e e =⋅=--=⋅--+=-⎰⎰⎰124100333|44EY y y dx y =⋅==⎰ 3321()4(1)e E XY EX EY e +=⋅=- (5) 22()DX EX EX =-11223231303300133130303331|21112(|)13529(1)x x xx x EX x e dy x e e xdx e e e xe e dx e e e ⎡⎤=⋅=⋅-⋅⎢⎥⎣⎦--⎡⎤=--⎢⎥-⎣⎦-=-⎰⎰⎰ ∴3323326332521(21)9(1)9(1)1119(1)e DX e e e e e e -=-+---+=-22()DY EY EY =- 12225010333|55EY y y dy y =⋅==⎰ ∴ 2333()5480DY =-=概率论与数理统计期末复习题二一、计算题(每题10分,共70分)1、设P (A )=1/3,P (B )=1/4,P (A ∪B )=1/2.求P (AB )、P (A-B ).解:P (AB )= P (A )+P (B )- P (A ∪B )=1/12P (A-B )= P (A )-P (AB )=1/42、设有甲乙两袋,甲袋中装有3只白球、2只红球,乙袋中装有2只白球、3只红球.今从甲袋中任取一球放入乙袋,再从乙袋中任取两球,问两球都为白球的概率是多少?解:用A 表示“从甲袋中任取一球为红球”, B 表示“从乙袋中任取两球都为白球”。
2020年大学公共课概率论与数理统计必考题及答案(精华版)一、单选题1、设X ~2(,)N μσ,那么当σ增大时,{}P X μσ-<= A )增大 B )减少 C )不变 D )增减不定。
【答案】C2、服从正态分布,,,是来自总体的一个样本,则服从的分布为___ 。
(A)N (,5/n) (B)N (,4/n) (C)N (/n,5/n) (D)N (/n,4/n) 【答案】B3、设n X X ,,1 是来自总体X 的样本,且μ=EX ,则下列是μ的无偏估计的是( ))(A ∑-=111n i i X n )(B ∑=-n i i X n 111 )(C ∑=ni i X n 21 )(D ∑-=-1111n i i X n 【答案】D 4、设为来自正态总体的一个样本,若进行假设检验,当___ __时,一般采用统计量(A) (B)(C)(D)【答案】D5、设12,,,n X X X ⋅⋅⋅是取自总体X 的一个简单样本,则2()E X 的矩估计是(A )22111()1n i i S X X n ==--∑(B )22211()n i i S X X n ==-∑(C )221S X + (D )222S X + 【答案】D6、设总体X 服从正态分布()212,,,,,n N X X X μσ是来自X 的样本,则2σ的最大似然估计为X 1-=EX 25EX =),,(1n X X X ∑==ni inX X 111-1-1-1-nX X X ,,,21 2(,)N μσX U =220μσσ未知,检验=220μσσ已知,检验=20σμμ未知,检验=20σμμ已知,检验=(A )()211n i i X X n =-∑ (B )()2111n i i X X n =--∑ (C )211n i i X n =∑ (D )2X 【答案】A7、在单因子方差分析中,设因子A 有r 个水平,每个水平测得一个容量为的样本,则下列说法正确的是____ _(A)方差分析的目的是检验方差是否相等 (B)方差分析中的假设检验是双边检验(C) 方差分析中包含了随机误差外,还包含效应间的差异(D) 方差分析中包含了随机误差外,还包含效应间的差异【答案】D 8、设为来自正态总体的一个样本,若进行假设检验,当__ __时,一般采用统计量(A) (B)(C)(D)【答案】C9、设n X X ,,1 是来自总体X 的样本,且μ=EX ,则下列是μ的无偏估计的是( ))(A ∑-=111n i i X n )(B ∑=-n i i X n 111 )(C ∑=ni i X n 21 )(D ∑-=-1111n i i X n 【答案】D10、设X 1,X 2,…X n ,X n+1, …,X n+m 是来自正态总体2(0,)N σ的容量为n+m 的样本,则统计量2121ni i n mi i n m V n =+=+X =X ∑∑服从的分布是(A) (,)F m n (B) (1,1)F n m -- (C) (,)F n m (D)(1,1)F m n -- 【答案】C 二、填空题im 211.()im r e ij i i j S y y ===-∑∑2.1()rA i i i S m y y ==-∑nX X X ,,,21 2(,)N μσX t =220μσσ未知,检验=220μσσ已知,检验=20σμμ未知,检验=20σμμ已知,检验=1、设总体X ~[]120,,(,,,)n U X X X θ⋅⋅⋅是来自X 的样本,则θ的最大似然估计量是 。
概率论与数理统计期末复习20题及解答【第一章】 随机事件与概率1、甲袋中有4个白球3个黑球,乙袋中有2个白球3个黑球,先从甲袋中任取一球放入乙袋, 再从乙袋中任取一球返还甲袋. 求经此换球过程后甲袋中黑球数增加的概率.2、某人忘记了电话号码的最后一个数字,因而他随意地拨号,求此人拨号不超过两次而接通所需电话的概率.3、已知将1,0两字符之一输入信道时输出的也是字符0或1,且输出结果为原字符的概率为)10(<<αα. 假设该信道传输各字符时是独立工作的. 现以等概率从“101”,“010”这两个字符串中任取一个输入信道.求输出结果恰为“000”的概率.4、试卷中的一道选择题有4个答案可供选择,其中只有1个答案是正确的.某考生如果会做这道题,则一定能选出正确答案;若该考生不会做这道题,则不妨随机选取一个答案.设该考生会做这道题的概率为85.0.(1)求该考生选出此题正确答案的概率;(2)已知该考生做对了此题,求该考生确实会做这道题的概率.【第二章】 随机变量及其分布5、设连续随机变量X 的分布函数为+∞<<∞-+=x x B A x F ,arctan )(.(1)求系数A 及B ;(2)求X 落在区间)1,1(-内的概率;(3)求X 的概率密度.6、设随机变量X 的概率密度为⎩⎨⎧≤≤=其它,0,10,)(x ax x f ,求:(1)常数a ;(2))5.15.0(<<X P ;(3)X 的分布函数)(x F .7、设二维随机变量),(Y X 的联合概率密度为⎩⎨⎧<<+=.,0;1,1),1(),(其它y x xy A y x f 求:(1)系数A ;(2)X 的边缘概率密度)(x f X ;(3)概率)(2X Y P ≤.8、设二维随机变量),(Y X 的概率密度为⎩⎨⎧<<<<=.,0;20,10,1),(其它x y x y x f求:(1)),(Y X 的边缘概率密度)(x f X ,)(y f Y ;(2)概率)1,21(≤≤Y X P ;(3)判断X ,Y 是否相互独立.9、设X 和Y 是两个相互独立的随机变量,]2.0,0[~U X ,Y 的概率密度函数为⎩⎨⎧≤>=-.0,0,0,5)(5y y e y f y Y(1)求X 和Y 的联合概率密度),(y x f ;(2)求概率)(X Y P ≤.【第三章】数字特征10、设随机变量X 的概率密度为⎪⎩⎪⎨⎧≤<-≤≤+-=,,0,21,)2(,10,)()(其它x x a x b x b a x f ,已知21)(=X E ,求:(1)b a ,的值;(2))32(+X E .11、设随机变量X 的概率密度为⎩⎨⎧≤>=-.0,0,0,)(2x x Ae x f x 求:(1)常数A ;(2))(X E 和)(X D .12、设),(Y X 的联合概率分布如下:XY1104/14/12/10(1)求Y X ,的数学期望)(X E ,)(Y E ,方差)(X D ,)(Y D .(2)求Y X ,的协方差),cov(Y X 与相关系数),(Y X R .【第四章】正态分布13、假设某大学学生在一次概率论与数理统计统考中的考试成绩X (百分制)近似服从正态分布,已知满分为100分平均成绩为75分,95分以上的人数占考生总数的2.3%.(1)试估计本次考试的不及格率(低于60分为不及格);(2)试估计本次考试成绩在65分至85分之间的考生人数占考生总数的比例. [已知9332.0)5.1(,8413.0)1(≈≈ΦΦ,9772.0)2(=Φ]14、两台机床分别加工生产轴与轴衬.设随机变量X (单位:mm )表示轴的直径,随机变量Y (单位:mm )表示轴衬的内径,已知)3.0,50(~2N X ,)4.0,52(~2N Y ,显然X 与Y 是独立的.如果轴 衬的内径与轴的直径之差在3~1mm 之间,则轴与轴衬可以配套使用.求任取一轴与一轴衬可以配套使用的概率.[已知9772.0)2(≈Φ]【第五章】 数理统计基本知识15、设总体)1,0(~N X ,521,,,X X X 是来自该总体的简单随机样本,求常数0>k 使)3(~)2(25242321t XX X X X k T +++=.16、设总体)5 ,40(~2N X ,从该总体中抽取容量为64的样本,求概率)1|40(|<-X P .【第六章】参数估计17、设总体X 的概率密度为⎩⎨⎧≥=--,,0,2,);()2(其它x e x f x λλλ其中参数0>λ.设n X X X ,,,21 是取自该总体的一组简单随机样本,n x x x ,,,21 为样本观测值.(1)求参数λ的矩估计量.(2)求参数λ的最大似然估计量.18、设总体X 的概率密度为⎪⎩⎪⎨⎧≤>=-,0,0;0,e 1);(2x x x xf x λλλ 其中参数0>λ.设n X X X ,,,21 是取自该总体的一组简单随机样本, n x x x ,,,21 为样本观测值.(1)求参数λ的最大似然估计量.(2)你得到的估计量是不是参数λ的无偏估计,请说明理由.【第七章】假设检验19、矩形的宽与长之比为618.0(黄金分割)时将给人们视觉上的和谐美感. 某工艺品厂生产矩形裱画专用框架. 根据该厂制定的技术标准,一批合格产品的宽与长之比必须服从均值为618.00=μ的正态分布. 现从该厂某日生产的一批产品中随机抽取25个样品,测得其宽与长之比的平均值为,646.0=x 样本标准差为093.0=s . 试问在显著性水平05.0=α水平上能否认为这批产品是合格品?20、已知某种口服药存在使服用者收缩压(高压)增高的副作用. 临床统计表明,在服用此药的人群中收缩压的增高值服从均值为220=μ(单位:mmHg ,毫米汞柱)的正态分布. 现在研制了一种新的替代药品,并对一批志愿者进行了临床试验. 现从该批志愿者中随机抽取16人测量收缩压增高值,计算得到样本均值)mmHg (5.19=x ,样本标准差)mmHg (2.5=s . 试问这组临床试验的样本数据能否支持“新的替代药品比原药品副作用小”这一结论 (取显著性水平05.0=α).解答部分【第一章】 随机事件与概率1、甲袋中有4个白球3个黑球,乙袋中有2个白球3个黑球,先从甲袋中任取一球放入乙袋, 再从乙袋中任取一球返还甲袋. 求经此换球过程后甲袋中黑球数增加的概率.【解】设A 表示“从甲袋移往乙袋的是白球”,B 表示“从乙袋返还甲袋的是黑球”,C 表示“经此换球过程后甲袋中黑球数增加”,则AB C =, 又2163)(,74)(===A B P A P ,于是由概率乘法定理得所求概率为 )()(AB P C P =)()(A B P A P ==722174=⋅.2、某人忘记了电话号码的最后一个数字,因而他随意地拨号,求此人拨号不超过两次而接通所需电话的概率.【解】 设i A 表示“此人第i 次拨号能拨通所需电话” )2,1(=i ,A 表示“此人拨号不超过两次而接通所需电话”,则211A A A A +=,由概率加法定理与乘法定理得所求概率为)()()()(211211A A P A P A A A P A P +=+=)()()(1211A A P A P A P +=2.091109101=⋅+=.3、已知将1,0两字符之一输入信道时输出的也是字符0或1,且输出结果为原字符的概率为)10(<<αα. 假设该信道传输各字符时是独立工作的. 现以等概率从“101”,“010”这两个字符串中任取一个输入信道.求输出结果恰为“000”的概率.【解】设:1A 输入的是“101”,:2A 输入的是“010”,:B 输出的是“000”,则2/1)(1=A P ,2/1)(2=A P ,αα21)1()(-=A B P ,)1()(22αα-=A B P ,从而由全概率公式得)()()()()(2211A B P A P A B P A P B P +=)1(21)1(2122αααα-+-=)1(21αα-=.4、试卷中的一道选择题有4个答案可供选择,其中只有1个答案是正确的.某考生如果会做这道题,则一定能选出正确答案;若该考生不会做这道题,则不妨随机选取一个答案.设该考生会做这道题的概率为85.0.(1)求该考生选出此题正确答案的概率;(2)已知该考生做对了此题,求该考生确实会做这道题的概率.【解】设A 表示“该考生会解这道题”,B 表示“该考生选出正确答案”,则85.0)(=A P ,2.0)(=A P ,1)(=A B P ,25.0)(=A B P .(1)由全概率公式得)()()()()(A B P A P A B P A P B P +=25.02.0185.0⨯+⨯=9.0=.(2)由贝叶斯公式得944.018179.0185.0)()()()(≈=⨯==B P A B P A P B A P .【第二章】 随机变量及其分布5、设连续随机变量X 的分布函数为+∞<<∞-+=x x B A x F ,arctan )(.(1)求系数A 及B ;(2)求X 落在区间)1,1(-内的概率;(3)求X 的概率密度.【解】(1)由分布函数的性质可知0)2()(lim )(=-⋅+==-∞-∞→πB A x F F x ,12)(lim )(=⋅+==+∞+∞→πB A x F F x ,由此解得 π1,21==B A . (2)X 的分布函数为)(arctan 121)(+∞<<-∞+=x x x F π, 于是所求概率为21))1arctan(121()1arctan 121()1()1()11(=-+-+=--=<<-ππF F X P .(3)X 的概率密度为)1(1)()(2x x F x f +='=π.6、设随机变量X 的概率密度为⎩⎨⎧≤≤=其它,0,10,)(x ax x f ,求:(1)常数a ;(2))5.15.0(<<X P ;(3)X 的分布函数)(x F .【解】(1)由概率密度的性质可知⎰∞+∞-dx x f )(121===⎰aaxdx , 由此得2=a .(2) )5.15.0(<<X P 75.000212/122/3112/1=+=+=⎰⎰x dx xdx .(3)当0<x 时,有00)(==⎰∞-xdx x F ;当10<≤x 时,有20020)(x xdx dx x F x=+=⎰⎰∞-;当1≥x 时,有1020)(1100=++=⎰⎰⎰∞-xdx xdx dx x F .所以,X 的分布函数为⎪⎩⎪⎨⎧≥<≤<=.1,1,10,,0,0)(2x x x x x F7、设二维随机变量),(Y X 的联合概率密度为⎩⎨⎧<<+=.,0;1,1),1(),(其它y x xy A y x f 求:(1)系数A ;(2)X 的边缘概率密度)(x f X ;(3)概率)(2X Y P ≤.【解】(1)由联合概率密度的性质可知=⎰⎰+∞∞-+∞∞-dxdy y x f ),(14)1(1111==+⎰⎰--A dy xy A dx ,由此得41=A . (2)当11<<-x 时,有=)(x f X =⎰+∞∞-dy y x f ),(214111=+⎰-dy xy ; 当1-≤x 或1≥x 时,显然有0)(=x f X .所以X 的边缘概率密度⎩⎨⎧<<-=.,0;11,2/1)(其它x x f X(3))(2X Y P ≤⎰⎰≤=2),(x y dxdy y x f dy xy dx x ⎰⎰--+=211141dx x x x )1221(412511+-+=⎰-32=.8、设二维随机变量),(Y X 的概率密度为⎩⎨⎧<<<<=.,0;20,10,1),(其它x y x y x f求:(1)),(Y X 的边缘概率密度)(x f X ,)(y f Y ;(2)概率)1,21(≤≤Y X P ;(3)判断X ,Y 是否相互独立.【解】(1)当10<<x 时,有x dy dy y x f x f xX 2),()(20⎰⎰===+∞∞-;当0≤x 或1≥x 时,显然有0)(=x f X .于是X 的边缘概率密度为⎩⎨⎧<<=.,0;10,2)(其它x x x f X 当20<<y 时,有⎰⎰-===+∞∞-1221),()(y Y ydx dx y x f y f ; 当0≤y 或2≥y 时,显然有0)(=y f Y .于是Y 的边缘概率密度为⎪⎩⎪⎨⎧<<-=.,0;20,21)(其它y y y f Y(2)⎰⎰⎰⎰===≤≤∞-∞2/12/102/11-41),()}1,21{(y dx dy dx y x f dy Y X P .(3)容易验证)()(),(y f x f y x f Y X ≠,故X 与Y 不独立.9、设X 和Y 是两个相互独立的随机变量,]2.0,0[~U X ,Y 的概率密度函数为⎩⎨⎧≤>=-.0,0,0,5)(5y y e y f y Y(2)求X 和Y 的联合概率密度),(y x f ;(2)求概率)(X Y P ≤.【解】(1)由题意知,X 的概率密度函数为⎩⎨⎧<<=.,0;2.00,5)(其它x x f X因为X 和Y 相互独立,故X 和Y 的联合概率密度⎩⎨⎧><<==-.,0;0,2.00,25)()(),(5其它y x e y f x f y x f y Y X(2)12.005052.00)1(525),()(---≤=-===≤⎰⎰⎰⎰⎰e dx e dy e dx dxdy y x f X Y P x x y xy .【第三章】数字特征10、设随机变量X 的概率密度为⎪⎩⎪⎨⎧≤<-≤≤+-=,,0,21,)2(,10,)()(其它x x a x b x b a x f ,已知21)(=X E ,求:(1)b a ,的值;(2))32(+X E . 【解】(1)由概率密度的性质可知=⎰∞+∞-dx x f )(12)2(])[(2110=+=-++-⎰⎰ba dx x a dxb x b a ; 又dx x xf X E ⎰∞+∞-=)()(.216)2(])[(2110=+=-++-=⎰⎰b a dx x x a xdx b x b a联立方程组⎪⎩⎪⎨⎧=+=+,216,12b a b a 解得41=a ,23=b . (2) 由数学期望的性质,有432123)(2)32(=+⋅=+=+X E X E . 11、设随机变量X 的概率密度为⎩⎨⎧≤>=-.0,0,0,)(2x x Ae x f x求:(1)常数A ;(2))(X E 和)(X D .【解】(1)由概率密度的性质可知=⎰∞+∞-dx x f )(122==⎰∞+-Adx Ae x , 由此得2=A .(2)由数学期望公式得⎰⎰∞++∞-=-=⋅=0022212)(dt te dx ex X E t tx x21)2(Γ21==. 由于⎰∞+-⋅=02222)(dx ex X E xdt e t t tx ⎰+∞-==0224121!241)3(Γ41=⋅==,故利用方差计算公式得41)21(21)]([)()(222=-=-=X E X E X D .12、设),(Y X 的联合概率分布如下:XY1104/14/12/10(1)求Y X ,的数学期望)(X E ,)(Y E ,方差)(X D ,)(Y D .(2)求Y X ,的协方差),cov(Y X 与相 关系数),(Y X R .【解】 由),(Y X 的联合概率分布知Y X ,服从"10"-分布:4/1)0(==X P ,4/3)1(==X P , 2/1)0(==Y P ,2/1)1(==Y P ,由"10"-分布的期望与方差公式得16/3)4/11(4/3)(,4/3)(=-⨯==X D X E , 4/1)2/11(2/1)(,2/1)(=-⨯==Y D Y E ,由),(Y X 的联合概率分布知2/14/1114/1010104/100)(=⨯⨯+⨯⨯+⨯⨯+⨯⨯=XY E ,从而8/12/14/32/1)()()(),cov(=⨯-=-=Y E X E XY E Y X ,=),(Y X R 334/116/38/1)()(),cov(==Y D X D Y X .【第四章】正态分布13、假设某大学学生在一次概率论与数理统计统考中的考试成绩X (百分制)近似服从正态分布,已知满分为100分平均成绩为75分,95分以上的人数占考生总数的2.3%.(1)试估计本次考试的不及格率(低于60分为不及格);(2)试估计本次考试成绩在65分至85分之间的考生人数占考生总数的比例. [已知9332.0)5.1(,8413.0)1(≈≈ΦΦ,9772.0)2(=Φ]【解】 由题意,可设X 近似服从正态分布),75(2σN .已知%3.2)95(=≥X P ,即%3.2)20(1)7595(1)95(1)95(=-=--=<-=≥σΦσΦX P X P ,由此得977.0)20(=σΦ,于是220≈σ,10≈σ,从而近似有)10,75(~2N X .(1)0668.09332.01)5.1(1)5.1()107560()60(=-≈-=-=-=<ΦΦΦX P , 由此可知,本次考试的不及格率约为%68.6.(2))107565()107585()8565(---=≤≤ΦΦX P 6826.018413.021)1(2)1()1(=-⨯≈-=--=ΦΦΦ,由此可知,成绩在65分至85分之间的考生人数约占考生总数的%26.68.14、两台机床分别加工生产轴与轴衬.设随机变量X (单位:mm )表示轴的直径,随机变量Y (单位:mm )表示轴衬的内径,已知)3.0,50(~2N X ,)4.0,52(~2N Y ,显然X 与Y 是独立的.如果轴 衬的内径与轴的直径之差在3~1mm 之间,则轴与轴衬可以配套使用.求任取一轴与一轴衬可以配套使用的概率.[已知9772.0)2(≈Φ]【解】 设X Y Z -=,由X 与Y 的独立性及独立正态变量的线性组合的性质可知,)4.03.0,5052(~22+--=N X Y Z , 即)5.0,2(~2N Z .于是所求概率为)2()2()5.021()5.023()31(--=---=≤≤ΦΦΦΦZ P .9544.019772.021)2(2=-⨯≈-=Φ【第五章】 数理统计基本知识15、设总体)1,0(~N X ,521,,,X X X 是来自该总体的简单随机样本,求常数0>k 使)3(~)2(25242321t X X X X X k T +++=.【解】 由)1,0(~N X 知)5,0(~221N X X +,于是)1,0(~5221N X X +,又由2χ分布的定义知)3(~2252423χX X X ++,所以)3(~2533/)(5/)2(2524232125242321t X X X X X X X X X X T +++⋅=+++=,比较可得53=k .16、设总体)5 ,40(~2N X ,从该总体中抽取容量为64的样本,求概率)1|40(|<-X P . 【解】 由题设40=μ,5=σ,64=n ,于是)1,0(~8540N X nX u -=-=σμ从而)58|8/540(|)1|40(|<-=<-X P X P .8904.019452.021)6.1(2)58|(|=-⨯≈-=<=Φu P【第六章】参数估计17、设总体X 的概率密度为⎩⎨⎧≥=--,,0,2,);()2(其它x e x f x λλλ其中参数0>λ.设n X X X ,,,21 是取自该总体的一组简单随机样本,n x x x ,,,21 为样本观测值.(1)求参数λ的矩估计量.(2)求参数λ的最大似然估计量. 【解】(1)21)2(),()(02)2(2+=+===-+∞=---+∞+∞∞-⎰⎰⎰λλλλλλdt e t dx ex dx x xf X E t tx x ,令)(X E X =,即21+=λX ,解得参数λ的矩估计量为21-=∧X λ. (2)样本似然函数为∑====--=--=∏∏ni i i n x nni x n i i eex f L 1)2(1)2(1),()(λλλλλλ,上式两边取对数得∑--==ni i n X n L 1)2(ln )(ln λλλ,上式两边对λ求导并令导数为零得=λλd L d )(ln 0)2(1=∑--=n i i n x nλ, 解得2121-=∑-==x nx nni i λ,从而参数λ的最大似然估计量为 21-=∧X λ. 18、设总体X 的概率密度为⎪⎩⎪⎨⎧≤>=-,0,0;0,e 1);(2x x x xf x λλλ 其中参数0>λ.设n X X X ,,,21 是取自该总体的一组简单随机样本, n x x x ,,,21 为样本观测值. (1)求参数λ的最大似然估计量.(2)你得到的估计量是不是参数λ的无偏估计,请说明理由. 【解】(1)样本似然函数为,e1e1),()(1121211∏∏∏=-=-=∑⋅====n i x inni x i n i i ni iixx x f L λλλλλλ上式两边取对数得∑∑==-+-=ni i ni i x x n L 111ln ln 2)(ln λλλ, 求导数得∑=+-=ni i x n L d d 1212)(ln λλλλ, 令0)(ln =λλL d d解得2211x x n n i i==∑=λ,于是参数λ的极大似然估计量为 221ˆ1X X n n i i ==∑=λ. (2)dx x X E x λλ/202e 1)(-+∞⎰=dx x x λλ/20e )(-+∞⎰=dx t t t x -∞+=⎰=e 02λλλΓλ2)3(==, λλλ=⋅====221)(21)(21)2()ˆ(X E X E X E E , 于是221ˆ1X X n ni i ==∑=λ是λ的无偏估计.【第七章】假设检验19、矩形的宽与长之比为618.0(黄金分割)时将给人们视觉上的和谐美感. 某工艺品厂生产矩形裱画专用框架. 根据该厂制定的技术标准,一批合格产品的宽与长之比必须服从均值为618.00=μ的正态分布. 现从该厂某日生产的一批产品中随机抽取25个样品,测得其宽与长之比的平均值为,646.0=x 样本标准差为093.0=s . 试问在显著性水平05.0=α水平上能否认为这批产品是合格品?【解】由题意,待检验的假设为0H : 618.00==μμ; 1H : 618.0≠μ.因为σ未知,所以检验统计量为)24(~)618.0(525/618.0/0t S X S X n S X t -=-=-=μ, 关于0H 的拒绝域为 06.2)24()1(||025.02/==->t n t t α. 现在646.0=x ,093.0=s ,所以统计量t 的观测值为505.1093.0)618.0646.0(5=-=t . 因为)24(06.2505.1||025.0t t =<=,即t 的观测值不在拒绝域内,从而接受..原假设,即可以认为这批产品是合格品.20、已知某种口服药存在使服用者收缩压(高压)增高的副作用. 临床统计表明,在服用此药的人群中收缩压的增高值服从均值为220=μ(单位:mmHg ,毫米汞柱)的正态分布. 现在研制了一种新的替代药品,并对一批志愿者进行了临床试验. 现从该批志愿者中随机抽取16人测量收缩压增高值,计算得到样本均值)mmHg (5.19=x ,样本标准差)mmHg (2.5=s . 试问这组临床试验的样本数据能否支持“新的替代药品比原药品副作用小”这一结论 (取显著性水平05.0=α).【解】由题意,待检验的假设为0H : 220==μμ; 1H : 22<μ.因为σ未知,所以取统计量)15(~)22(4/0t S X nS X t -=-=μ, 且关于0H 的拒绝域为 753.1)15()1(05.0-=-=--<t n t t α. 现在5.19=x ,2.5=s ,所以统计量t 的观测值为923.12.5)225.19(4-≈-=t . 因为)15(753.1923.105.0t t -=-<-≈,即t 的观测值在拒绝域内,从而拒绝..原假设,即认为这次试验支持“新的替代药品比原药品副作用小”这一结论.。
概率论与数理统计试题及答案一、选择题(每题2分,共10分)1. 设随机变量X服从参数为λ的泊松分布,那么P(X=2)等于:A. λ^2B. e^(-λ)λ^2C. λ^2/2D. e^(-λ)λ^2/2答案:D2. 某工厂生产的零件长度服从正态分布N(50, 25),那么长度在45到55之间的零件所占的百分比是:A. 68.27%B. 95.45%C. 99.74%D. 50%答案:B3. 一袋中有10个红球和5个蓝球,随机抽取3个球,那么抽到至少2个红球的概率是:A. 0.4375B. 0.5625C. 0.8125D. 0.9375答案:C4. 设随机变量Y服从二项分布B(n, p),那么E(Y)等于:A. npB. n/2C. p/nD. n^2p答案:A5. 以下哪个事件是不可能事件:A. 抛硬币正面朝上B. 抛骰子得到1点C. 一天有25小时D. 随机变量X取负无穷答案:C二、填空题(每题3分,共15分)6. 设随机变量X服从均匀分布U(0, 4),那么P(X>2)等于______。
答案:1/27. 随机变量Z服从标准正态分布,那么P(Z ≤ -1.5)等于______(结果保留两位小数)。
答案:0.06688. 设随机变量W服从指数分布Exp(μ),那么W的期望E(W)等于______。
答案:1/μ9. 从一副不含大小王的扑克牌中随机抽取一张,抽到黑桃A的概率是______。
答案:1/5210. 设随机变量V服从二项分布B(15, 0.4),那么P(V=5)等于______(结果保留三位小数)。
答案:0.120三、解答题(共75分)11. (15分)设随机变量ξ服从二项分布B(n, p),已知P(ξ=1) = 0.4,P(ξ=2) = 0.3,求n和p的值。
答案:根据二项分布的性质,我们有:P(ξ=1) = C(n, 1)p^1(1-p)^(n-1) = 0.4P(ξ=2) = C(n, 2)p^2(1-p)^(n-2) = 0.3通过解这两个方程,我们可以得到n=5,p=0.4。
第一章1.设P (A )=31,P (A ∪B )=21,且A 与B 互不相容,则P (B )=____61_______.2. 设P (A )=31,P (A ∪B )=21,且A 与B 相互独立,则P (B )=______41_____.3.设事件A 与B 互不相容,P (A )=0.2,P (B )=0.3,则P (B A )=___0.5_____.4.已知P (A )=1/2,P (B )=1/3,且A ,B 相互独立,则P (A B )=________1/3________.5.设P (A )=0.5,P (A B )=0.4,则P (B|A )=___0.2________.6.设A ,B 为随机事件,且P(A)=0.8,P(B)=0.4,P(B|A)=0.25,则P(A|B)=____ 0.5______.7.一口袋装有3只红球,2只黑球,今从中任意取出2只球,则这两只恰为一红一黑的概率是________ 0.6________.8.设袋中装有6只红球、4只白球,每次从袋中取一球观其颜色后放回,并再放入1只同颜色的球,若连取两次,则第一次取得红球且第二次取得白球的概率等于____12/55____.9.一袋中有7个红球和3个白球,从袋中有放回地取两次球,每次取一个,则第一次取得红球且第二次取得白球的概率p=___0.21_____.10.设工厂甲、乙、丙三个车间生产同一种产品,产量依次占全厂产量的45%,35%,20%,且各车间的次品率分别为4%,2%,5%.求:(1)从该厂生产的产品中任取1件,它是次品的概率; 3.5% (2)该件次品是由甲车间生产的概率. 3518第二章1.设随机变量X~N (2,22),则P {X ≤0}=___0.1587____.(附:Φ(1)=0.8413)2.设连续型随机变量X 的分布函数为⎩⎨⎧≤>-=-,0,0;0,1)(3x x e x F x则当x >0时,X 的概率密度f (x )=___ xe 33-_____.3.设随机变量X 的分布函数为F (x )=⎩⎨⎧≤>--,0,0;0,2x x e a x 则常数a =____1____.4.设随机变量X~N (1,4),已知标准正态分布函数值Φ(1)=0.8413,为使P{X<a}<0.8413,则常数a<___3_________.5.抛一枚均匀硬币5次,记正面向上的次数为X ,则P{X ≥1}=_____3231_______.6.X 表示4次独立重复射击命中目标的次数,每次命中目标的概率为0.5,则X~ _B(4, 0.5)____7.设随机变量X 服从区间[0,5]上的均匀分布,则P {}3≤X = ____0.6_______.8.设随机变量X 的分布律为Y =X 2,记随机变量Y 的分布函数为F Y (y ),则F Y (3)=_____1____________.9.设随机变量X 的分布律为P {X =k }=a/N , k =1,2,…,N ,试确定常数a . 110.已知随机变量X 的密度函数为f (x )=A e -|x |, -∞<x <+∞,求:(1)A 值;(2)P {0<X <1}; (3) F (x ).21 21(1-e -1) ⎪⎩⎪⎨⎧≤>-=-0210211)(x e x e x F x x11.设随机变量X 分布函数为F (x )=e ,0,(0),00.xt A B x ,x λ-⎧+≥>⎨<⎩(1) 求常数A ,B ;(2) 求P {X ≤2},P {X >3}; (3) 求分布密度f (x ). A=1 B=-1 P {X ≤2}=λ21--e P {X >3}=λ3-e⎩⎨⎧≤>=-0)(x x e x f xλλ 12.设随机变量X 的概率密度为f (x )=,01,2,12,0,.x x x x ≤<⎧⎪-≤<⎨⎪⎩其他 求X 的分布函数F (x ).⎪⎪⎪⎩⎪⎪⎪⎨⎧≥≤<-+-≤<≤=21211221102100)(22x x x x x x x x F求(1)X 的分布函数,(2)Y =X 2的分布律.⎪⎪⎪⎪⎩⎪⎪⎪⎪⎨⎧≥<≤<≤<≤--<≤--<=313130/191030/170130/11125/120)(x x x x x x x F 14.设随机变量X ~U (0,1),试求:(1) Y =e X 的分布函数及密度函数; (2) Z =-2ln X 的分布函数及密度函数.⎪⎩⎪⎨⎧<<=others e y y y f Y 011)(⎪⎩⎪⎨⎧>=-othersz ez f zZ 0021)(2第三章1.设二维随机变量(X ,Y )的概率密度为 ⎪⎩⎪⎨⎧>>=+-,,0;0,0,),()(其他y x ey x f y x(1)求边缘概率密度f X (x)和f Y (y ),(2)问X 与Y 是否相互独立,并说明理由.⎩⎨⎧≤>=-00)(x x e x f xX ⎩⎨⎧≤>=-00)(y y e y f yY因为 )()(),(y f x f y x f Y X = ,所以X 与Y 相互独立2.设二维随机变量221212(,)~(,, ,,)X Y N μμσσρ,且X 与Y 相互独立,则ρ=____0______.3.设X~N (-1,4),Y~N (1,9)且X 与Y 相互独立,则2X-Y~___ N (-3,25)____.4.设随机变量X 和Y 相互独立,它们的分布律分别为,则{}==+1Y X P _____516_______. 5.设随机变量(X,Y)服从区域D 上的均匀分布,其中区域D 是直线y=x ,x=1和x 轴所围成的三角形区域,则(X,Y)的概率密度101()2y x f x y others⎧≤<≤⎪=⎨⎪⎩,.6,Y(2)随机变量Z=XY 的分布律.7求:(1)a 的值;(2)(X ,Y )分别关于X 和Y 的边缘分布列;(3)X 与Y 是否独立?为什么?(4)X+Y 的分布列.因为{0,1}{0}{1}P X Y P X P Y ==≠==,所以X 与Y 不相互独立。
8.设随机变量(X ,Y )的分布密度f (x ,y )=⎩⎨⎧>>+-.,0,0,0,)43(其他y x A y x e求:(1) 常数A ; (2) P {0≤X <1,0≤Y <2}. A=12 P {0≤X <1,0≤Y <2}=38(1)(1)e e ----9.设随机变量(X ,Y )的概率密度为f (x ,y )=⎩⎨⎧<<<<--.,0,42,20),6(其他y x y x k(1) 确定常数k ;(2) 求P {X <1,Y <3};(3) 求P {X +Y ≤4}.18 38 2310.设X 和Y 是两个相互独立的随机变量,X 在(0,0.2)上服从均匀分布,Y 的密度函数为f Y (y )=⎩⎨⎧>-.,0,0,e 55其他y y求 X 与Y 的联合分布密度.f(x, y)=525e,0,0,0,.y x y-⎧>>⎨⎩其他11.设二维随机变量(X,Y)的概率密度为f(x,y)=4.8(2),01,0,0,.y x x y x-≤≤≤≤⎧⎨⎩其他求边缘概率密度.12.设二维随机变量(X,Y)的概率密度为f(x,y)=e,0, 0,.y x y-⎧<<⎨⎩其他求边缘概率密度.13.设二维随机变量(X,Y)的概率密度为f(x,y)=22,1, 0,. cx y x y⎧≤≤⎨⎩其他(1)试确定常数c;(2)求边缘概率密度.14.设随机变量(X,Y)的概率密度为f(x,y)=1,,01, 0,.y x x⎧<<<⎨⎩其他求条件概率密度f Y|X(y|x),f X|Y(x|y).(1)求关于X和关于Y的边缘分布;(2)X与Y是否相互独立?第四章1.设X ~B (4,21),则E (X 2)=____5_______. 2.设E (X )=2,E (Y )=3,E (XY )=7,则Cov (X ,Y )=____1_______.3.随机变量X 的所有可能取值为0和x ,且P{X=0}=0.3,E (X )=1,则x =____10/7________.4.设随机变量X 服从参数为3的指数分布,则E (2X+1)=__5/3__, D (2X+1)=___4/9___.5. X 的分布律为则{}=<)(X E X P __ 0.8 __.6.设X 1,X 2,Y 均为随机变量,已知Cov(X 1,Y )=-1,Cov(X 2,Y )=3,则Cov(X 1+2X 2, Y )=__7_____.7.设X~N (0,1),Y~B (16,21),且两随机变量相互独立,则D(2X+Y)= ____8____.8.设二维随机向量(X ,Y )的概率密度为⎩⎨⎧<<<<=,y x xy y x f 其他,0;20,10,),(试求:(1)E (X ),E (Y );(2)D (X ),D (Y );(3)ρXY . 2/3 4/3 1/18 2/9 0 9 ,且已知E (Y )=1,试求:(1)常数α,β;(2)E (X );(3)E (XY ). 0.2 0.2 0.6 0.6 10.设随机变量X 的分布律为求E (X ),E (X 2),E (2X +3).11.设随机变量X 的概率密度为f (x )=⎪⎩⎪⎨⎧≤≤-<≤.,0,21,2,10,其他x x x x求E (X ),D (X ).12.设随机变量X ,Y ,Z 相互独立,且E (X )=5,E (Y )=11,E (Z )=8,求下列随机变量的数学期望.(1) U =2X +3Y +1; (2) V =YZ -4X .13.设随机变量X ,Y 相互独立,且E (X )=E (Y )=3,D (X )=12,D (Y )=16,求E (3X -2Y ),D (2X -3Y ).14.设随机变量(X ,Y )的概率密度为f (x ,y )=⎩⎨⎧<<<<.,0,0,10,其他x y x k试确定常数k ,并求XY ρ.15.对随机变量X 和Y ,已知D (X )=2,D (Y )=3,Cov(X ,Y )= -1,计算:Cov (3X -2Y +1,X +4Y -3).16.设二维随机变量(X ,Y )的概率密度为f (x ,y )=221,1,π0,.x y ⎧+≤⎪⎨⎪⎩其他试验证X 和Y 是不相关的,但X 和Y 不是相互独立的.17. -1 0 1-1 0 11/8 1/8 1/8 1/8 0 1/8 1/8 1/8 1/8验证X 和Y 是不相关的,但X 和Y 不是相互独立的.XY第六章1.设总体~(0, 1)X N ,X 1, X 2,…,X n 为样本,则统计量21nii X=∑的抽样分布为___)(2n χ___.2. 设X 1,X 2…,X n 是来自总体2~(, )X N μσ的样本,则∑=σμ-n1i i )X (2 ~__)(2n χ__(需标出参数).3. 设X 1,X 2,…,X n (n>5) 是来自总体~(0, 1)X N 的样本,则∑∑==-=ni ii iXX n Y 62512)55( ~__)5,5(-n F __(需标出参数).4.设总体2~(1, )X N σ,X 1, X 2,…,X n 为来自该总体的样本,则11ni i X X n ==∑,则()E X =____1____, ()D X =__n2σ___。