华东师范大学法学院2019年硕士研究生招生复试名单
- 格式:docx
- 大小:30.89 KB
- 文档页数:7
2020年华东师范大学法硕复试流程及其真题讲解
一、复试分数线和复试比
2019年非法学321(44 90),法学同非法学。
招生人数说明:
2019非法学全日制30人和法学全日制20人
2020年同2019年,没有非全日制。
二、复试流程
复试形式:笔试与面试,共计200+200=400分
1专业课笔试200分,考试时间2个小时。
科目是法理学,民法和刑法。
2 专业课面试,时间比想象中长一些(具体不等),200分。
7位面试老师,一位面试助理。
3英语面试,自我介绍+老师追问,100分。
英语面试3位老师,1位秘书助理。
总成绩等于初试*0.6+复试*0.4
三、复试内容(参考书目)
笔试部分包括初始五科,法理学,法制史,宪法,民法和刑法。
题型,4道简答,每道25分,2道论述,每道50分。
四、历年真题(需要历年真题题库的,请关注VX:faxuechenluqiong)
1英语
(1)研究生规划
(2)律师应该具备什么样的品质
2专业课笔试(2019年)
简答:(1)法与道德(2)缓刑的适用条件(3)简述礼法之争(4)简述民族区域自治制度论述:(1)权利的来源。
是上帝还是自然,还是法律本身?
(2)论述合同解除制度
3专业课面试
民法典编纂的意义
宪法的结构和特征
法院的组织结构。
2019华东师范大学法律(非法学)考研398法硕联考专业基础与498法硕联考综合真题试卷与真题答案《2019华东师范大学考研398法硕联考专业基础(非法学)复习全析》(含真题,共三册)由鸿知华东师大考研网依托多年丰富的教学与辅导经验,组织鸿知教学研发团队与华东师范大学优秀研究生共同合作编写而成。
全书内容紧凑权威细致,编排结构科学合理,为参加2019华东师范大学考研的考生量身定做的必备专业课资料。
《2019华东师范大学考研398法硕联考专业基础(非法学)复习全析》本书依据以下参考书目:高铭暄《刑法学》王利明《民法》本书结合华东师范大学考研专业课的往年真题,旨在帮助报考华东师范大学考研的同学通过教材章节框架分解、配套的课后/经典习题讲解及相关985、211名校考研真题与解答,帮助考生梳理指定教材的各章节内容,深入理解核心重难点知识,把握考试要求与考题命题特征。
通过研读演练本书,达到把握教材重点知识点、适应多样化的专业课考研命题方式、提高备考针对性、提升复习效率与答题技巧的目的。
同时,透过测试演练,以便查缺补漏,为初试高分奠定坚实基础。
适用院系:法学院:法律(非法学)(专业学位)适用科目:398法硕联考专业基础(非法学)内容详情本书包括了以下几个部分内容:一、考试重难点(复习笔记):通过总结和梳理《民法(王利明)》、《刑法学(高铭暄、马克昌)》两本教材各章节复习和考试的重难点,浓缩精华内容,令考生对各章节内容考察情况一目了然,从而明确复习方向,提高复习效率。
二、课后习题详解:对《民法(王利明)》这本教材各章节的课后习题进行了解答,并根据各章节的重难点补充了典型题。
通过做每一章节配套的课后习题,可以巩固各章节考察的知识点,加强理解与记忆。
三、名校考研真题详解:根据《民法(王利明)》、《刑法学(高铭暄、马克昌)》两本教材各章节复习和考试的重难点,精选相关的名校考研真题并进行解析。
以加强对知识点的理解,并更好地掌握考试基本规律,全面了解考试题型及难度。
院系所学位类型专业研究方向101 人文社会科学学院中国语言文学系学术型050101 文艺学所有方向101 人文社会科学学院中国语言文学系学术型050102 语言学及应用语言学所有方向101 人文社会科学学院中国语言文学系学术型050103 汉语言文字学所有方向101 人文社会科学学院中国语言文学系学术型050105 中国古代文学所有方向101 人文社会科学学院中国语言文学系学术型050106 中国现当代文学所有方向101 人文社会科学学院中国语言文学系学术型050108 比较文学与世界文学所有方向101 人文社会科学学院中国语言文学系专业学位135105 广播电视所有方向102 人文社会科学学院历史学系学术型060200 中国史01中国近现代史(15人)102 人文社会科学学院历史学系学术型060200 中国史02中国古代史(8人)102 人文社会科学学院历史学系学术型060200 中国史03历史文献学(3人)102 人文社会科学学院历史学系学术型060200 中国史04史学理论及史学史(4人)102 人文社会科学学院历史学系学术型060200 中国史05银行史(3人)102 人文社会科学学院历史学系学术型060300 世界史所有方向103 人文社会科学学院哲学系学术型010101 马克思主义哲学所有方向103 人文社会科学学院哲学系学术型010102 中国哲学所有方向103 人文社会科学学院哲学系学术型010103 外国哲学所有方向103 人文社会科学学院哲学系学术型010104 逻辑学所有方向103 人文社会科学学院哲学系学术型010105 伦理学所有方向103 人文社会科学学院哲学系学术型010107 宗教学所有方向103 人文社会科学学院哲学系学术型010108 科学技术哲学所有方向104 人文社会科学学院政治学系学术型030201 政治学理论所有方向104 人文社会科学学院政治学系学术型030204 中共党史所有方向104 人文社会科学学院政治学系学术型030206 国际政治所有方向104 人文社会科学学院政治学系学术型0302Z1 政治哲学与思想史所有方向104 人文社会科学学院政治学系学术型0302Z2 政治传播与政府公关所有方向104 人文社会科学学院政治学系专业学位055200 新闻与传播所有方向105 法学院学术型030100 法学所有方向105 法学院专业学位035101 法律(非法学)所有方向106 马克思主义学院学术型030501 马克思主义基本原理所有方向106 马克思主义学院学术型030502 马克思主义发展史所有方向106 马克思主义学院学术型030503 马克思主义中国化研究所有方向106 马克思主义学院学术型030505 思想政治教育所有方向106 马克思主义学院学术型030506 中国近现代史基本问题研究所有方向107 人文社会科学学院古籍研究所学术型050104 中国古典文献学所有方向107 人文社会科学学院古籍研究所学术型050105 中国古代文学所有方向108 社会发展学院学术型030301 社会学所有方向108 社会发展学院学术型030302 人口学所有方向108 社会发展学院学术型030303 人类学所有方向108 社会发展学院学术型030304 民俗学所有方向108 社会发展学院专业学位035200 社会工作所有方向109 外语学院学术型050201 英语语言文学所有方向109 外语学院学术型050202 俄语语言文学所有方向109 外语学院学术型050203 法语语言文学所有方向109 外语学院学术型050204 德语语言文学所有方向109 外语学院学术型050205 日语语言文学所有方向109 外语学院学术型050211 外国语言学及应用语言学所有方向109 外语学院专业学位055101 英语笔译所有方向109 外语学院专业学位055102 英语口译所有方向110 国际汉语文化学院专业学位045300 汉语国际教育所有方向110 国际汉语文化学院学术型050101 文艺学所有方向110 国际汉语文化学院学术型050102 语言学及应用语言学所有方向110 国际汉语文化学院学术型050103 汉语言文字学所有方向110 国际汉语文化学院学术型050105 中国古代文学所有方向110 国际汉语文化学院学术型050108 比较文学与世界文学所有方向111 教育学部教育学系学术型040101 教育学原理所有方向111 教育学部教育学系学术型040103 教育史所有方向111 教育学部教育学系学术型0401Z1 教育文化与社会所有方向111 教育学部教育学系学术型0401Z2 教育政策学所有方向111 教育学部教育学系学术型0401Z3 少年儿童组织与思想意识教育所有方向112 教育学部教育信息技术学系专业学位045114 现代教育技术所有方向112 教育学部教育信息技术学系学术型078401 教育技术学所有方向113 教育学部课程与教学系学术型040102 课程与教学论所有方向114 教育学部高等教育研究所学术型040106 高等教育学所有方向115 教育学部职业教育与成人教育研究所学术型040107 成人教育学所有方向115 教育学部职业教育与成人教育研究所学术型040108 职业技术教育学所有方向115 教育学部职业教育与成人教育研究所专业学位045120 职业技术教育01信息技术专业教师115 教育学部职业教育与成人教育研究所专业学位045120 职业技术教育02旅游管理专业教师116 心理与认知科学学院学术型040202 发展与教育心理学所有方向116 心理与认知科学学院学术型040203 应用心理学所有方向116 心理与认知科学学院学术型0402Z1 认知神经科学所有方向116 心理与认知科学学院专业学位045400 应用心理所有方向116 心理与认知科学学院学术型077101 基础心理学所有方向117 教育学部学前教育学系学术型040105 学前教育学所有方向118 教育学部特殊教育学系学术型040109 特殊教育学所有方向118 教育学部特殊教育学系专业学位045119 特殊教育所有方向119 教育学部教育康复学系学术型0401J1 言语听觉康复科学所有方向120 体育与健康学院学术型040301 体育人文社会学所有方向120 体育与健康学院学术型040302 运动人体科学所有方向120 体育与健康学院学术型040303 体育教育训练学所有方向120 体育与健康学院学术型040304 民族传统体育学所有方向120 体育与健康学院专业学位045201 体育教学所有方向124 传播学院学术型050301 新闻学所有方向124 传播学院学术型050302 传播学所有方向124 传播学院专业学位055200 新闻与传播所有方向124 传播学院专业学位055300 出版所有方向124 传播学院学术型130300 戏剧与影视学所有方向124 传播学院专业学位135105 广播电视01数字媒体艺术(12人)124 传播学院专业学位135105 广播电视02播音主持艺术(13人)125 美术学院学术型130400 美术学01美术教育理论125 美术学院学术型130400 美术学02美术史论125 美术学院学术型130400 美术学03美术考古125 美术学院专业学位135107 美术01西方艺术125 美术学院专业学位135107 美术02现当代艺术125 美术学院专业学位135107 美术03中国画125 美术学院专业学位135107 美术04雕塑与公共艺术125 美术学院专业学位135107 美术05书法篆刻125 美术学院专业学位135107 美术06艺术品鉴定与艺术市场126 音乐学院学术型130200 音乐与舞蹈学01音乐教育学126 音乐学院学术型130200 音乐与舞蹈学02中国音乐史126 音乐学院学术型130200 音乐与舞蹈学04音乐分析126 音乐学院学术型130200 音乐与舞蹈学03西方音乐史126 音乐学院学术型130200 音乐与舞蹈学05中外作曲家与作品126 音乐学院专业学位135101 音乐所有方向127 设计学院学术型130500 设计学所有方向127 设计学院专业学位135108 艺术设计所有方向128 数学科学学院学术型0701 数学所有方向129 物理与材料科学学院学术型070201 理论物理所有方向129 物理与材料科学学院学术型070203 原子与分子物理所有方向129 物理与材料科学学院学术型070205 凝聚态物理所有方向129 物理与材料科学学院学术型070208 无线电物理所有方向129 物理与材料科学学院学术型0702J1 材料与光电子所有方向130 化学与分子工程学院学术型070301 无机化学所有方向130 化学与分子工程学院学术型070302 分析化学所有方向130 化学与分子工程学院学术型070303 有机化学所有方向130 化学与分子工程学院学术型070304 物理化学所有方向130 化学与分子工程学院学术型070305 高分子化学与物理所有方向130 化学与分子工程学院学术型081704 应用化学所有方向130 化学与分子工程学院学术型100701 药物化学所有方向130 化学与分子工程学院学术型100702 药剂学所有方向130 化学与分子工程学院学术型100706 药理学所有方向131 地理科学学院学术型040102 课程与教学论所有方向131 地理科学学院学术型070501 自然地理学所有方向131 地理科学学院学术型070502 人文地理学所有方向131 地理科学学院学术型070503 地图学与地理信息系统所有方向131 地理科学学院学术型070601 气象学所有方向131 地理科学学院学术型071300 生态学所有方向131 地理科学学院学术型077601 环境科学所有方向132 生态与环境科学学院学术型071300 生态学所有方向132 生态与环境科学学院学术型077601 环境科学所有方向132 生态与环境科学学院学术型083002 环境工程所有方向132 生态与环境科学学院专业学位085229 环境工程所有方向133 城市与区域科学学院学术型020202 区域经济学所有方向133 城市与区域科学学院学术型070502 人文地理学所有方向134 生命科学学院学术型071001 植物学所有方向134 生命科学学院学术型071002 动物学所有方向134 生命科学学院学术型071003 生理学所有方向134 生命科学学院学术型071006 神经生物学所有方向134 生命科学学院学术型071010 生物化学与分子生物学01-17方向134 生命科学学院学术型071010 生物化学与分子生物学18药物设计合成134 生命科学学院学术型071010 生物化学与分子生物学19药物代谢134 生命科学学院学术型071010 生物化学与分子生物学20生物材料学134 生命科学学院学术型071010 生物化学与分子生物学21生物信息学134 生命科学学院学术型071300 生态学所有方向135 计算机科学技术系学术型081200 计算机科学与技术所有方向135 计算机科学技术系专业学位085211 计算机技术所有方向136 信息科学技术学院电子工程系学术型080901 物理电子学所有方向136 信息科学技术学院电子工程系学术型080903 微电子学与固体电子学所有方向136 信息科学技术学院电子工程系学术型080904 电磁场与微波技术所有方向136 信息科学技术学院电子工程系专业学位085209 集成电路工程所有方向137 信息科学技术学院通信工程系学术型081001 通信与信息系统所有方向137 信息科学技术学院通信工程系学术型081002 信号与信息处理所有方向137 信息科学技术学院通信工程系专业学位085208 电子与通信工程所有方向138 计算中心专业学位085211 计算机技术所有方向141 国际关系与地区发展研究院学术型030207 国际关系01区域与国际关系141 国际关系与地区发展研究院学术型030207 国际关系02国际治理与商务142 河口海岸科学研究院学术型070501 自然地理学所有方向142 河口海岸科学研究院学术型070701 物理海洋学所有方向142 河口海岸科学研究院学术型070702 海洋化学所有方向142 河口海岸科学研究院学术型070703 海洋生物学所有方向142 河口海岸科学研究院学术型070704 海洋地质所有方向142 河口海岸科学研究院学术型071300 生态学所有方向142 河口海岸科学研究院学术型077601 环境科学所有方向142 河口海岸科学研究院学术型081505 港口、海岸及近海工程所有方向145 精密光谱科学与技术国家重点实验室学术型070207 光学所有方向147 教育学部教育专业学位管理中心专业学位045102 学科教学(思政)所有方向147 教育学部教育专业学位管理中心专业学位045103 学科教学(语文)所有方向147 教育学部教育专业学位管理中心专业学位045104 学科教学(数学)所有方向147 教育学部教育专业学位管理中心专业学位045105 学科教学(物理)所有方向147 教育学部教育专业学位管理中心专业学位045106 学科教学(化学)所有方向147 教育学部教育专业学位管理中心专业学位045107 学科教学(生物)所有方向147 教育学部教育专业学位管理中心专业学位045108 学科教学(英语)所有方向147 教育学部教育专业学位管理中心专业学位045109 学科教学(历史)所有方向147 教育学部教育专业学位管理中心专业学位045110 学科教学(地理)所有方向147 教育学部教育专业学位管理中心专业学位045114 现代教育技术所有方向152 教育学部教育管理系专业学位045101 教育管理所有方向152 教育学部教育管理系学术型120403 教育经济与管理所有方向152 教育学部教育管理系专业学位125200 公共管理所有方向153 教育学部国际与比较教育研究所学术型040104 比较教育学所有方向155 经济与管理学部专业学位教育中心专业学位025100 金融所有方向155 经济与管理学部专业学位教育中心专业学位025200 应用统计所有方向155 经济与管理学部专业学位教育中心专业学位025400 国际商务所有方向155 经济与管理学部专业学位教育中心专业学位025500 保险所有方向155 经济与管理学部专业学位教育中心专业学位125100 工商管理所有方向155 经济与管理学部专业学位教育中心专业学位125200 公共管理所有方向155 经济与管理学部专业学位教育中心专业学位125300 会计所有方向155 经济与管理学部专业学位教育中心专业学位125400 旅游管理所有方向155 经济与管理学部专业学位教育中心专业学位125500 图书情报所有方向156 经济与管理学部经济学院学术型020105 世界经济所有方向156 经济与管理学部经济学院学术型020204 金融学所有方向156 经济与管理学部经济学院学术型020206 国际贸易学所有方向157 经济与管理学部工商管理学院学术型020205 产业经济学所有方向157 经济与管理学部工商管理学院学术型120201 会计学所有方向157 经济与管理学部工商管理学院学术型120202 企业管理所有方向157 经济与管理学部工商管理学院学术型120203 旅游管理所有方向157 经济与管理学部工商管理学院学术型120502 情报学所有方向157 经济与管理学部工商管理学院学术型1205Z1 商业分析所有方向158 经济与管理学部公共管理学院学术型120401 行政管理所有方向158 经济与管理学部公共管理学院学术型120404 社会保障所有方向159 经济与管理学部统计学院学术型071400 统计学所有方向160 计算机科学与软件工程学院学术型083500 软件工程所有方向160 计算机科学与软件工程学院专业学位085212 软件工程所有方向161 教育学部教师教育学院学术型040102 课程与教学论01语文教学(招3人)161 教育学部教师教育学院学术型040102 课程与教学论02数学教学(招4人)161 教育学部教师教育学院学术型040102 课程与教学论03英语教学(招2人)161 教育学部教师教育学院学术型040102 课程与教学论04物理教学(招4人)161 教育学部教师教育学院学术型040102 课程与教学论05化学教学(招4人)161 教育学部教师教育学院学术型040102 课程与教学论06科学教学(招3人)161 教育学部教师教育学院学术型040102 课程与教学论07生物教学(招2人)161 教育学部教师教育学院学术型040102 课程与教学论08社会(含道德与法治)教育(招1人)161 教育学部教师教育学院学术型040102 课程与教学论09思政教学(招1人)161 教育学部教师教育学院学术型040102 课程与教学论10历史教学(招1人)161 教育学部教师教育学院学术型040102 课程与教学论11地理教学(招2人)161 教育学部教师教育学院专业学位045102 学科教学(思政)所有方向161 教育学部教师教育学院专业学位045103 学科教学(语文)所有方向161 教育学部教师教育学院专业学位045104 学科教学(数学)所有方向161 教育学部教师教育学院专业学位045105 学科教学(物理)所有方向161 教育学部教师教育学院专业学位045106 学科教学(化学)所有方向161 教育学部教师教育学院专业学位045107 学科教学(生物)所有方向161 教育学部教师教育学院专业学位045108 学科教学(英语)所有方向161 教育学部教师教育学院专业学位045109 学科教学(历史)所有方向161 教育学部教师教育学院专业学位045110 学科教学(地理)所有方向161 教育学部教师教育学院专业学位045117 科学与技术教育所有方向162 数据科学与工程学院学术型0835Z1 数据科学与工程所有方向162 数据科学与工程学院专业学位085211 计算机技术所有方向163 经济与管理学部亚欧商学院学术型1202Z1 市场营销学所有方向划线标准分数线是否接收调剂按二级学科(专业)划线377不接受调剂按二级学科(专业)划线371不接受调剂按二级学科(专业)划线355不接受调剂按二级学科(专业)划线372不接受调剂按二级学科(专业)划线382不接受调剂按二级学科(专业)划线364不接受调剂按二级学科(专业)划线341不接受调剂按方向划线335不接受调剂按方向划线342不接受调剂按方向划线325不接受调剂按方向划线329不接受调剂按方向划线337不接受调剂按二级学科(专业)划线336不接受调剂按二级学科(专业)划线353不接受调剂按二级学科(专业)划线336不接受调剂按二级学科(专业)划线344不接受调剂按二级学科(专业)划线347不接受调剂按二级学科(专业)划线309不接受调剂按二级学科(专业)划线355不接受调剂按二级学科(专业)划线307不接受调剂按二级学科(专业)划线355不接受调剂按二级学科(专业)划线322不接受调剂按二级学科(专业)划线337不接受调剂按二级学科(专业)划线321不接受调剂按二级学科(专业)划线353不接受调剂按二级学科(专业)划线360不接受调剂按二级学科(专业)划线326不接受调剂按二级学科(专业)划线321不接受调剂按二级学科(专业)划线357不接受调剂按二级学科(专业)划线320不接受调剂按二级学科(专业)划线340不接受调剂按二级学科(专业)划线338不接受调剂按二级学科(专业)划线349不接受调剂按二级学科(专业)划线363不接受调剂按二级学科(专业)划线355不接受调剂按二级学科(专业)划线378不接受调剂按二级学科(专业)划线349不接受调剂按二级学科(专业)划线383不接受调剂按二级学科(专业)划线362不接受调剂按二级学科(专业)划线320非全日制接受调剂按二级学科(专业)划线355不接受调剂按二级学科(专业)划线370不接受调剂按二级学科(专业)划线363不接受调剂按二级学科(专业)划线358不接受调剂按二级学科(专业)划线363不接受调剂按二级学科(专业)划线355不接受调剂按二级学科(专业)划线355不接受调剂按二级学科(专业)划线338不接受调剂按二级学科(专业)划线377不接受调剂按二级学科(专业)划线364不接受调剂按二级学科(专业)划线360不接受调剂按二级学科(专业)划线365不接受调剂按二级学科(专业)划线355不接受调剂按二级学科(专业)划线352不接受调剂按二级学科(专业)划线352不接受调剂按二级学科(专业)划线338不接受调剂按二级学科(专业)划线340不接受调剂按二级学科(专业)划线331不接受调剂按二级学科(专业)划线378不接受调剂按二级学科(专业)划线334不接受调剂按二级学科(专业)划线355不接受调剂按二级学科(专业)划线354不接受调剂按二级学科(专业)划线345不接受调剂按二级学科(专业)划线333不接受调剂按方向划线331不接受调剂按方向划线344不接受调剂按二级学科(专业)划线377不接受调剂按二级学科(专业)划线378不接受调剂按二级学科(专业)划线325接受调剂按二级学科(专业)划线330非全日制接受调剂按二级学科(专业)划线350不接受调剂按二级学科(专业)划线341不接受调剂按二级学科(专业)划线335不接受调剂按二级学科(专业)划线349不接受调剂按二级学科(专业)划线327不接受调剂按二级学科(专业)划线363不接受调剂按二级学科(专业)划线345不接受调剂按二级学科(专业)划线340不接受调剂按二级学科(专业)划线324不接受调剂按二级学科(专业)划线324不接受调剂按二级学科(专业)划线360不接受调剂按二级学科(专业)划线362不接受调剂按二级学科(专业)划线356不接受调剂按二级学科(专业)划线364不接受调剂按方向划线376不接受调剂按方向划线361不接受调剂按方向划线357不接受调剂按方向划线372不接受调剂按方向划线341不接受调剂按方向划线342不接受调剂按方向划线341不接受调剂按方向划线343不接受调剂按方向划线349不接受调剂按方向划线368不接受调剂按方向划线362不接受调剂按方向划线340不接受调剂按方向划线340不接受调剂按方向划线340不接受调剂按方向划线340不接受调剂按方向划线340不接受调剂按二级学科(专业)划线340不接受调剂按二级学科(专业)划线344不接受调剂按二级学科(专业)划线348不接受调剂按数学[0701]一级学科划297不接受调剂线按二级学科(专业)划线290不接受调剂按二级学科(专业)划线290接受调剂按二级学科(专业)划线290接受调剂按二级学科(专业)划线290接受调剂按二级学科(专业)划线290接受调剂按二级学科(专业)划线306不接受调剂按二级学科(专业)划线313不接受调剂按二级学科(专业)划线291不接受调剂按二级学科(专业)划线303不接受调剂按二级学科(专业)划线290接受调剂按二级学科(专业)划线288不接受调剂按二级学科(专业)划线305接受调剂按二级学科(专业)划线351不接受调剂按二级学科(专业)划线305接受调剂按二级学科(专业)划线342不接受调剂按二级学科(专业)划线305不接受调剂按二级学科(专业)划线321不接受调剂按二级学科(专业)划线342不接受调剂按二级学科(专业)划线385不接受调剂按二级学科(专业)划线293不接受调剂按二级学科(专业)划线290接受调剂按二级学科(专业)划线295不接受调剂按二级学科(专业)划线306不接受调剂按二级学科(专业)划线322不接受调剂按二级学科(专业)划线345不接受调剂按二级学科(专业)划线327不接受调剂按二级学科(专业)划线294不接受调剂按二级学科(专业)划线310不接受调剂按二级学科(专业)划线305接受调剂按二级学科(专业)划线302不接受调剂按方向划线290不接受调剂按方向划线290接受调剂按方向划线290接受调剂按方向划线290接受调剂按方向划线335不接受调剂按二级学科(专业)划线292不接受调剂按二级学科(专业)划线320不接受调剂按二级学科(专业)划线270非全日制接受调剂按二级学科(专业)划线270不接受调剂按二级学科(专业)划线284不接受调剂按二级学科(专业)划线270不接受调剂按二级学科(专业)划线296不接受调剂按二级学科(专业)划线284不接受调剂按二级学科(专业)划线277不接受调剂按二级学科(专业)划线270不接受调剂按二级学科(专业)划线344不接受调剂按方向划线320不接受调剂按方向划线320接受调剂按二级学科(专业)划线299不接受调剂按二级学科(专业)划线337不接受调剂按二级学科(专业)划线290接受调剂按二级学科(专业)划线334不接受调剂按二级学科(专业)划线290接受调剂按二级学科(专业)划线314不接受调剂按二级学科(专业)划线290接受调剂按二级学科(专业)划线289不接受调剂按二级学科(专业)划线290不接受调剂按二级学科(专业)划线325不接受调剂按二级学科(专业)划线325不接受调剂按二级学科(专业)划线325不接受调剂按二级学科(专业)划线325不接受调剂。
政法学院2011年研究生复试名单专业名称类型考生编号姓名外国哲学102001104000165 王加娜外国哲学102001104000162 郑虹外国哲学102001104000164 张洋逻辑学102001104304052 潘旋宪法学与行政法学少民102001404602573 徐滔宪法学与行政法学102001104600166 于硕宪法学与行政法学102001104600171 潘永达宪法学与行政法学102001104604056 钱焕章宪法学与行政法学102001104602574 侯剑宪法学与行政法学102001104604053 郭新宇宪法学与行政法学102001104602572 李月华宪法学与行政法学少民102001404600167 毕钰宪法学与行政法学少民102001404604059 覃广胜宪法学与行政法学少民102001404604054 郭爽刑法学102001104900187 林俊辰刑法学102001104900182 宋泽刑法学102001104902578 马宇欣刑法学102001104902584 赵思齐刑法学102001104902585 李倩刑法学102001104902580 李冰夏刑法学102001104902576 陈凯乐刑法学102001104900190 吴文骁刑法学102001104902582 徐东明刑法学102001104902577 王大禹刑法学102001105004068 许倩刑法学102001104904069 魏伦刑法学少民102001404904065 董琦刑法学少民102001404904067 敖亮刑法学少民102001404904063 张宇航刑法学少民102001404904064 张永强民商法学102001105400205 张莹民商法学102001105200200 阎振伟民商法学102001105200193 陈莹民商法学102001105200203 陈博杨民商法学102001105200194 杨桦民商法学102001105202594 李帅兵民商法学102001105202596 陈新宇民商法学102001105202593 范纪飞民商法学少民102001405204075 李航民商法学102001105202588 孙意如民商法学102001105200201 朱雪峰民商法学102001105200204 牛力民商法学少民102001405204073 吕旬民商法学少民102001405204074 陈春甫政治学理论102001105504093 于慧政治学理论102001105504085 赵霞政治学理论102001105504089 卢西宽政治学理论102001105504096 董平政治学理论102001105504094 孙钰晴政治学理论102001105502601 何奥博政治学理论102001105504084 麻雪政治学理论102001105500219 于瑾政治学理论102001105500207 张露政治学理论102001105504086 罗雪珍政治学理论102001105502602 杨雪政治学理论102001105500209 王蕴迪政治学理论102001105504083 齐霁政治学理论102001105500217 李松燕政治学理论102001105500211 解莹政治学理论102001105500224 李明珠政治学理论102001105500213 刘相怡政治学理论102001105500223 刘啸萱政治学理论少民102001405704092 马纯丽政治学理论少民102001405504099 艾尼瓦尔依沙木丁科学社会主义与国际共产主义运动102001105802604 李肖楠科学社会主义与国际共产主义运动102001105804100 梁爽科学社会主义与国际共产主义运动102001105800225 刘佳科学社会主义与国际共产主义运动102001105800228 张姣科学社会主义与国际共产主义运动102001105804101 姜心科学社会主义与国际共产主义运动少民102001405800227 贺雨馨科学社会主义与国际共产主义运动少民102001405800226 孙舒扬中共党史102001106104105 房越中共党史102001106104113 杨惠乾中共党史102001106104106 徐鹏中共党史102001106104110 毕虹琳中共党史102001106100230 孙淼中共党史102001106104107 李德龙中共党史102001106102607 邹雨桐中共党史102001106100231 郑淼中共党史已调走102001106200232 孙成玉中共党史少民102001406104109 吴科举国际政治102001106400241 李泊祎国际政治102001106400236 王晓芳国际政治102001106400239 吴为民国际政治102001106400238 李美萱国际政治102001106400242 张睿国际政治102001106404117 谢晓旭国际政治102001106402611 夏贵蕊国际政治102001106404118 蒙磊国际政治102001106400243 张泽平国际政治102001106402608 吴嵩霖国际关系102001106700244 袁野国际关系少民102001406700246 王家曦国际关系102001106700247 祝文静国际关系102001106702617 刘刃锋国际关系102001106702614 钟翔宇国际关系102001106704119 白冰社会学102001107104126 马景阳社会学102001107004120 胡琴社会学102001107004122 谷田田社会学102001107000254 赵冰瑶社会学102001107004124 穆希琳社会学102001107000250 董雪姣社会学102001107000253 李鹏飞社会学102001107004123 任旭社会学102001107000251 鹿泰麒社会学102001107002621 刘心社会学102001107004125 朱青马克思主义中国化研究102001107304128 刘双马克思主义中国化研究102001107304137 姜强强马克思主义中国化研究102001107304134 牛欢国外马克思主义研究102001107600257 张杰国外马克思主义研究102001107600256 张颖颖思想政治教育102001107904141 王梓君思想政治教育102001107904173 刘小华思想政治教育102001107904175 张之新思想政治教育102001107902635 权冠南思想政治教育102001107904167 栗艳飞思想政治教育102001107904140 王丽媛思想政治教育102001107900269 陈妍思想政治教育102001107904172 梁媛思想政治教育102001107902625 宋博思想政治教育102001107904178 赵飞思想政治教育102001107902637 宇雪思想政治教育102001107904170 唐莉思想政治教育102001108004165 刘君思想政治教育102001107904174 王静思想政治教育102001107904181 曹婉娇思想政治教育102001107902630 于海媛思想政治教育102001107902632 穆琳思想政治教育102001107904182 张翠云思想政治教育102001107904142 徐丽思想政治教育102001107904177 宋静思想政治教育102001107904144 王欢思想政治教育102001107904185 魏鸣思想政治教育102001107900270 董佳思想政治教育102001107904157 付玉思想政治教育102001108004169 李凤芝思想政治教育102001107904146 张健丽思想政治教育102001107904176 白静思想政治教育102001107900266 陈征思想政治教育102001107900272 李宛娣思想政治教育102001107904147 高峰思想政治教育102001107904180 王善文思想政治教育102001107902636 蔡雨思想政治教育102001107900268 张梓盟思想政治教育102001107904139 李婷思想政治教育102001107904155 许炫然思想政治教育102001107904143 吴圆圆思想政治教育102001107904179 方东慧思想政治教育102001107902634 张亮思想政治教育102001108104162 海娟娟思想政治教育少民102001407904149 刘玉洁思想政治教育少民102001407904186 伍洪忠思想政治教育少民102001407904160 杨子震法律硕士(法学)少民102001708504200 黎萍课程与教学论102001108802649 苏娟课程与教学论102001108804204 赵延秋课程与教学论102001108802648 张玉凤课程与教学论102001108804205 孟祥愫课程与教学论102001108804202 邹亮行政管理102001109404218 胡烨行政管理102001109400312 吴丽丽行政管理102001109404207 王姝怡行政管理102001109400333 龙玲行政管理102001109400321 吴楠行政管理102001109400306 王雪行政管理102001109400351 李豪杰行政管理102001109402661 陈明扬行政管理102001109404217 冯燕行政管理102001109404215 王国志行政管理102001109402675 胡海燕行政管理102001109400320 陈绎冰行政管理102001109402663 李佳行政管理102001109400328 周小龙行政管理102001109402678 罗瑞佳行政管理102001109400334 刘珑珑行政管理102001109400344 李宁行政管理少民102001409400329 李慧月行政管理102001109402650 王楠行政管理少民102001409404214 周云颖行政管理少民102001409504211 庞雨晴行政管理102001109400303 刘丹行政管理102001109404209 温婧行政管理102001109400349 李佳霖行政管理少民102001409404222 梁芳丽行政管理少民102001409604213 包泉公共管理硕士102001709902688 谭泽。
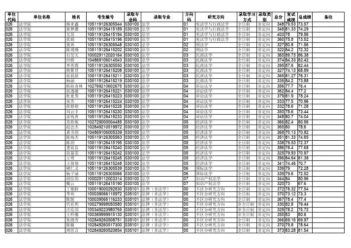
2019年法学院全日制硕士研究生复试名单
一、各专业招生人数及推免生人数
二、初试合格最低分数线
按照我校复试录取方案的规定,经各专业指导组讨论,确定我院相关专业第一志愿考生初试合格最低分数线为:
三、复试名单
(第一志愿)
按照差额比例,确定第一志愿考生复试名单如下(按初试成绩由高到低排列), 请第一志愿名单的考生看到通知后,立即发电子邮件到以下邮箱:fxyygb456@ ,确认能否参加复试,同时发送初试成绩单网络查询截图,并在主题栏中注明姓名、专业。
第一志愿上线考生已满足复试要求比例,无调剂考生需求。
法学院
2019年3月23日。