成都七中高2017届高三下期第9周测试数学试卷定稿 (理科)
- 格式:doc
- 大小:973.50 KB
- 文档页数:8
成都七中高2017届第三次高考模拟理科数学第Ⅰ卷一、选择题:本大题共12个小题,每小题5分,共60分.在每小题给出的四个选项中,只有一项是符合题目要求的.1.在一次抛硬币实验中,甲、乙两人各抛一次硬币一次,设命题p 是“甲抛的硬币正面向上”,q 是“乙抛的硬币正面向上”,则命题“至少有一人抛的硬币是正面向下”可表示为( )A .()()p q ⌝∨⌝B .()p q ∨⌝C .()()p q ⌝∧⌝D .()p q ⌝∨2.已知集合{}{}2|11,|10A x x B x x =-<=-<,则A B = ( )A . ()1,1-B .()1,2-C .()1,2D .()0,1 3.若1122aii i+=++,则a =( ) A .5i -- B .5i -+ C .5i - D . 5i +4.设()f x 是定义在R 上周期为2的奇函数,当01x ≤≤时,()2f x x x =-,则52f ⎛⎫-= ⎪⎝⎭( ) A .14-B . 12- C. 14 D .125.某几何体的三视图如图所示,则该几何体的表面积为( )A .3612π+B .3616π+ C. 4012π+ D .4016π+ 6.设D 为ABC ∆中BC 边上的中点,且O 为AD 边上靠近点A 的三等分点,则( )A .5166BO AB AC =-+B . 1162BO AB AC =-C. 5166BO AB AC =- D .1162BO AB AC =-+7.执行如图的程序框图,则输出x 的值是( )A . 2016B .1024 C.12D .-1 8. 已知()00,P x y 是椭圆22:14x C y +=上的一点,12,F F 是C 的两个焦点,若120PF PF <,则0x 的取值范围是( )A .⎛ ⎝⎭ B .⎛ ⎝⎭ C. ⎛ ⎝⎭D .⎛ ⎝⎭9. 等差数列{}n a 中的24032a a 、是函数()3214613f x x x x =-+-的两个极值点,则()2220174032log a a a = ( )A .624log +B .4 C. 323log + D .324log +10. 函数()()2sin 4cos 1f x x x =- 的最小正周期是( )A .3π B . 23π C. π D .2π11.某医务人员说:“包括我在内,我们社区诊所医生和护士共有17名。
四川省成都市第七中学2017届高三下学期入学考试试题理科综合注意事项:1.本试卷分第Ⅰ卷(选择题)和第Ⅱ卷(非选择题)两部分。
2.答题前,考生务必将自己的姓名、准考证号填写在本试题相应的位置。
3.全部答案在答题卡上完成,答在本试题上无效。
4.考试结束后,将本试题和答题卡一并交回。
第Ⅰ卷(选择题共126分)本卷共21小题,每小题6分,共126分。
一、选择题:本大题共13小题,每小题6分。
在每小题给出的四个选项中,只有一项是符合题目要求的。
1.人体肝细胞合成的糖原储存在细胞内,合成的脂肪是以VLDL(脂肪与蛋白质复合物)形式分泌出细胞外。
下列相关叙述,正确的是()A.糖原和VLDL都含有C、H、O、N元素B.VLDL是以自由扩散方式分泌到细胞外的C.VLDL的合成过程必须要有内质网的参与D.糖原和脂肪是细胞生活的主要能源物质2.嗜盐菌是一种能在高浓度盐溶液中生长的细菌,该菌中有一种结合蛋白质称为菌紫质,菌紫质能将光能转换成化学能.下列叙述不正确的是()A.加入呼吸抑制剂影响菌紫质的合成B.嗜盐菌属于生态系统的生产者C.嗜盐菌的能量转化发生在类囊体膜上D.菌紫质的功能与叶绿素等色素分子类似3.PM2.5是粒径小于2.5um(相当于细菌大小)的颗粒物,被认为是造成雾霾天气的“元凶”.PM2.5进入人体后,会被吞噬细胞吞噬,同时导致生物膜通透性改变,引起细胞死亡.下列叙述错误的是()A.PM2.5引起细胞死亡的原因可能与溶酶体水解酶的释放有关B.吞噬细胞因不含分解PM2.5的酶,最终导致细胞死亡C.PM2.5可携带病菌进入人体,导致机体出现炎症反应D.吞噬细胞吞噬PM2.5,属于人体免疫的第三道防线4.下列关于生物学实验中常用技术、方法等的相关描述,正确的是()A.观察植物细胞质壁分离与复原时,可用洋葱根尖分生区细胞作实验材料B.噬菌体DNA被35S标记后,用于侵染大肠杆菌能证明DNA是遗传物质C.在“探究酵母菌细胞呼吸的方式”实验中,可用重铬酸钾溶液检测CO2D.建构数学模型的方法,可以用于研究种群数量变化和酶活性变化的规律A.比较①③⑤组的实验结果可知昆虫乙更适应高湿度环境B.在温度比较低的环境中,昆虫甲的竞争能力大于昆虫乙C.昆虫乙与昆虫甲相比,昆虫乙防止水分散失的能力更强D.在高温环境中,昆虫甲通过突变会使基因频率定向改变6.有生物学家在某海岛上发现多年前单一毛色的老鼠种群演变成了具有黄色、白色和黑色三种毛色的种群.基因A1(黄色)、A2(白色)、A3(黑色)的显隐关系为A1对A2、A3显性,A2对A3显性,且黄色基因纯合会致死.据此下列有关说法不正确的是()A.老鼠中出现多种毛色说明基因突变是不定向的B.多年前老鼠的单一毛色只可能是白色或黑色C.两只黄色老鼠交配,子代中黄色老鼠概率为D.不存在两只老鼠杂交的子代有三种毛色的可能8、设N A表示阿伏伽德罗常数的值,下列叙述正确的是A. 1molOH-和1mol羟基(—OH)中含有的质子数均为9N AB. 1L 2mol/L Na2S溶液中S2-和HS-的总数为2N AC. 某密闭容器中盛有1mol N2和3molH2,在一定条件下充分反应,转移电子的数目为6N AD. 含0.2mol H2SO4的浓硫酸与足量铜反应,生成SO2的分子数为0.1N A9、下列关于有机化合物的说法正确的是A. 2,2,7,7—四甲基辛烷的一氯取代物有4种B. 甲醇与分子式为C3H8O的某种有机物相差2个CH2原子团,所以它们一定互为同系物C. 苯与浓硝酸、浓硫酸共热并保持50~60℃反应生成硝基苯D. 已知C4H9OH的同分异构体有4种,则分子式为C5H10O2的属于羧酸的同分异构体有8种10、下列说法正确的是A. 水的离子积常数K W只与温度有关,但外加酸、碱、盐一定会影响水的电离程度B. K sp不仅与难溶电解质的性质和温度有关,还与溶液中相关离子的浓度有关C. 常温下,在0.1mol/L的NH3·H2O溶液中加入少量NH4Cl晶体,能使溶液的pH减小,c(NH4+)/c(NH3·H2O)的值增大D. 室温下,CH3COOH的K a=1.7×10-5,NH3·H2O的K b=1.7×10-5,CH3COOH溶液中的c(H+)与NH3·H2O中c(OH-)相等11、已知X、Y、Z、W为短周期主族元素,在周期表中的相对位置如下表所示。
成都七中高2017 届高三理综测试题(5.13)注意事项:1.本试卷分第Ⅰ卷(选择题)和第Ⅱ卷(非选择题)两部分。
2.答题前,考生务必将自己的姓名、准考证号填写在本试题相应的位置。
3.全部答案在答题卡上完成,答在本试题上无效。
4. 考试结束后,将本试题和答题卡一并交回。
第Ⅰ卷选择题(共126 分)可能用到的原子量:H-1 C-12 O-12 S-32 Cu-64 Zn-65a一、选择题:本大题共13 小题,每小题6 分。
在每小题给出的四个选项中,只有一项是符合题目要求的。
1、生物膜系统在细胞生命活动中起着极其重要的作用,下列有关真核生物膜化学成分、结构与功能的叙述正确的是( )A.不同生物膜上的糖类均与蛋白质结合形成糖蛋白B.细胞膜上的受体是细胞间信息交流所必需的结构C.细胞核膜对物质具选择透过性,核孔也具有选择透过性D.吞噬细胞的吞噬作用体现了细胞膜的功能特点2、酶是活细胞产生的具有催化作用的有机物,下列关于酶的说法中正确的是()A.酶在催化反应完成后立即被灭活B.探究淀粉酶对淀粉和蔗糖的专一性作用时,用碘液进行鉴定C.过酸、过碱都可能导致酶水解成多肽D.所有细胞都具有与细胞呼吸有关的酶,但不一定都分布在线粒体中3、细胞通讯是细胞间交流信息,对环境作出综合反应的生理活动。
如图甲为两种细胞通讯方式,乙为甲图中括号部位放大图,下列有关叙述中错误的是()A.若图中靶细胞1 为胰岛B 细胞,则靶细胞2 一定是肝细胞B.若图中结构1 及靶细胞(且去掉图中结构2 及以下部分)表示神经—肌肉突触,受刺激后,神经—肌肉突触前膜完成了化学信号→电信号的转变C.图中⑤的形成与②有关,⑤所在的位置是内环境D.若图中结构1 及靶细胞(且去掉图中结构2 及以下部分)表示神经—肌肉突触,受刺激后,肌无力患者的神经—肌肉突触后膜难以产生动作电位4、假设在某牧场生态系统能量流动过程中,牛摄入体内的能量为x,牛粪便中的能量为28%x,呼吸作用散失的能量为46%x,则( )A.贮存在牛体内的能量为48%x B.牛同化的能量为72%xC.由牛流向分解者的能量为28%x D.由牛流向下一营养级的能量为54%x5、下列有关盐酸在实验中的作用,描述错误的是()A.检测DNA 和RNA 在细胞中的分布实验中,盐酸处理染色质能促进DNA 与吡罗红结合B.观察细胞有丝分裂中,盐酸与酒精混合使用为了植物组织细胞分离C.探究pH 对酶活性的影响实验中,加入盐酸为了设定酶促反应溶液的pH 不同梯度D.斯他林和贝利斯发现促胰液素过程中,加入盐酸后,小肠黏膜可能产生一种化学物质6、下列有关变异与育种的叙述中,正确的是( )A .三倍体无子西瓜的细胞中无同源染色体,不能进行正常的减数分裂B .在单倍体育种中,常先筛选 F1 花粉类型再分别进行花药离体培养C .杂交育种所依据的原理是基因自由组合D .发生在水稻根尖内的基因重组比发生在花药中的更容易遗传给后代 7、化学与生活密切相关,下列有关说法错误的是()A .“地沟油”经过加工处理后,可以用来制肥皂和生物柴油B .加热能杀死 H7N9 禽流感病毒是因为病毒的蛋白质受热变性C .食品包装袋、食物保鲜膜等材料的主要成分是聚乙烯D .纤维素作为营养物质,在人体内不断分解,最终生成水和二氧化碳排出体外 8、N A 代表阿伏伽德罗常数,下列说法正确的是( )A. 1molCu 和 1molS 反应,电子转移数是 2N AB. 常温常压下,2.45LNH 3 所含的电子数为 N AC. 氧原子总数为 0.2N A 的 SO 2 和 O 2 的混合气体的体积是 2.24LD. 4.6g 组成为 C 2H 6O 的有机物,C-H 键数目一定是 0.5N A 9、下列说法正确的是()A. 有机反应中常说的卤化、硝化、水化都属于取代反应B. 按系统命名法,有机物的名称为:2,2,4-三甲基-4-戊烯 C. 分子式为 C 8H 11N 的有机物,分子内含有苯环和氨基(-NH 2)的同分异构体共 14 种D. 石油催化裂化的主要目的是得到更多的乙烯、丙烯等气态短链烃;石油裂解的主要目的是提高汽油等轻质油 的产量和质量10、用下列实验方案及所选玻璃仪器(非玻璃仪器任选)就能实现相应实验目的的是()11、A 、B 、C 、D 四种原子序数依次增大的分别位于三个不同短周期的主族元素,m 、n 、p 分别是元素 A 、C 、B 、 的单质, x 、y 、z 是由 A 、B 、C 组成的二元化合物,其中 y 、z 是气体且 z 是用于配制饮料,它们之间有如下转化 关系,D 的单质可与热水发生置换反应,下列说法正确的是( )A. D 的单质起火燃烧时可用 x 作灭火剂B. 元素的非金属性:C>A>BC. 原子半径:D> C > B > AD. B 与同族元素的氧化物可发生置换反应,并且做还原剂实验目的除去 KNO 3 中少量 NaCl 实验方案 将混合物制成热的饱和溶液,冷却 结晶,过滤将海带剪碎,加蒸馏水浸泡,取滤 液加稀硫酸和 H 2O 2,分别蘸取两种溶液滴在 pH 试纸上, 颜色稳定后与标准比色卡对照 将称量好的 62.5 g CuSO 4·5H 2O 溶解、冷却、转移、洗涤、定容、摇 匀 所选玻璃仪器 酒精灯、烧杯、玻璃棒试管、胶头滴管、 烧杯、漏斗玻璃棒、玻璃片 A B 海带提碘C 测定饱和 NaClO 溶液、CH 3COONa 溶液的 pH 值 D 配制480ml0.5mol/LCuSO 4 溶液烧杯、玻璃棒、量筒、一定规格的容量瓶、胶头滴管4 2- 4 12、下列所述有关离子浓度之间的关系错误的是()A .将 CO 2 通入 0.1mol ·L -1Na 2CO 3 溶液至中性,溶液中:2c (CO 32—) + c (HCO 3—)=0.1 mol ·L -1B .浓度均为 0.1mol/L 的 CH 3COOH 与 CH 3COONa 溶液等体积混合后,pH =5,则混合溶液中:c (CH 3COO -)-c (CH 3COOH)=2×(10-5-10-9) mol/LC. 将 0.2mol ·L -1NaHCO 3 溶液与 0.1mol ·L -1KOH 溶液等体积混合:3c (K +)+c (H +)=c (OH -)+c (HCO 3-)+2c (CO 32-)D.已知常温下,K a (CH 3COOH )=K b (NH 3·H 2O )=1.8×10-5,则常温下 0.1 mol ·L -1CH 3COONH 4 中: c (CH 3COO -) :c (NH 3·H 2O) =18013、高铁酸盐是一种高效绿色氧化剂,可用于废水和生活用水的处理。
成都市2017届高三数学九月联考试题(理带答案)成都市“五校联考”高2014级第五学期九月考试题数学(理)时间120分钟总分150分命题人:陈维军审题人:张尧何军一、选择题:(本大题共12小题,每小题5分,共60分).1.已知集合,为虚数单位,则下列选项正确的是A.B.C.D.2.已知集合,,则为A.(1,2)B.(1,+∞)C.2,+∞)D.1,+∞)3.如图所示的函数图象与x轴均有交点,其中不能用二分法求图中交点横坐标的是A.①③B.②④C.①②D.③④4.已知是定义在上的偶函数,且在区间上单调递增,若实数满足,则的取值范围是A.B.C.D.5.某流程图如右图所示,现输入如下四个函数,则可以输出的函数A.B.C.D.6.公比为2的等比数列的各项都是正数,且a3a11=16,则log2a10=A.4B.5C.6D.77.下列命题中是假命题的是A.,使函数是偶函数;B.,使得;C.,使是幂函数,且在上递减;D..8.若函数的图象如图所示,则A.B.C.D.9.已知函数的一条对称轴为直线,则要得到函数的图象,只需把函数的图象A.沿轴向左平移个单位,纵坐标伸长为原来的倍B.沿轴向右平移个单位,纵坐标伸长为原来的倍C.沿轴向左平移个单位,纵坐标伸长为原来的倍D.沿轴向右平移个单位,纵坐标伸长为原来的倍10.若直线ax﹣by+2=0(a>0,b>0)被圆x2+y2+2x﹣4y+1=0截得的弦长为4,则的最小值为()A.B.C.D.11.若点P是曲线上任意一点,则点P到直线的最小距离为A.1B.C.D.12.已知函数,其中,若对,,使得成立,则实数的最小值为A.B.C.6D.8二、填空题(本大题共4小题,每小题5分,共20分.把答案填在答题卡的相应位置).13.计算__▲▲▲.14.已知,设函数,则__▲▲▲.15.若函数的定义域为,其值域为,则这样的函数有__▲▲▲.个.(用数字作答)16.如图,三个边长为2的等边三角形有一条边在同一条直线上,边上有10个不同的点……,则=__▲▲▲.三、解答题(本大题共6小题,共70分.解答应写出文字说明、演算步骤或证明过程)17.(本小题满分12分)已知向量,函数.(1)若,,求的值;(2)在中,角的对边分别是,且满足,求角B的取值范围.18.(本小题满分12分)在一个盒子里装有6张卡片,上面分别写着如下定义域为的函数:,(1)现在从盒子中任意取两张卡片,记事件A为“这两张卡片上函数相加,所得新函数是奇函数”,求事件A 的概率;(2)从盒中不放回逐一抽取卡片,若取到一张卡片上的函数是偶函数则停止抽取,否则继续进行,记停止时抽取次数为,写出的分布列,并求其数学期望.19.(本小题满分12分)如图,在四棱锥P﹣ABCD中,底面ABCD是菱形,∠BAD=60°,AB=2,PA=1,PA⊥平面ABCD,E是PC的中点,F是AB的中点.(1)求证:BE∥平面PDF;(2)求证:平面PDF⊥平面PAB;(3)求平面PAB与平面PCD所成的锐二面角的大小.20.(本小题满分12分)在平面直角坐标系中,椭圆的离心率,且点在椭圆上.(1)求椭圆的方程;(2)若点、都在椭圆上,且中点在线段(不包括端点)上.求面积的最大值.21.(本小题满分12分)已知函数.(1)若曲线过点,求曲线在点处的切线方程;(2)求函数在区间上的最大值;(3)若函数有两个不同的零点,求证:请考生在第22~24三题中任选一题做答。
成都七中2017届高三数学测试理科命题人:杨敬民 审题人:祁祖海一、选择题:本大题共12个小题,每小题5分,共60分.在每小题给出的四个选项中,只有一项是符合题目要求的.1.设全集{0,1,2,3,4}U =,集合{0,1,3}A =,集合{2,3}B =,则()UA B =( )A .{}4B .{}0,1,2,3C .{}3D .{}0,1,2,4 2.在区间上任取一实数,则的概率是( )A .B .C.D .3.已知复数21iz i +=-(i 为虚数单位),那么z 的共轭复数为( ) A .3322i + B .1322i - C .1322i + D .3322i -4.设m ,n 是两条不同的直线,α,β是两个不同的平面.下列命题正确的是( )A .若,,m n m n αβ⊂⊂⊥,则αβ⊥B .若//,,//m n αβαβ⊥,则m n ⊥C .若,,//m n αβαβ⊥⊥,则//m nD .若,,m n m αβαβ⊥=⊥,则n β⊥5.将4个不同的小球装入4个不同的盒子,则在至少一个盒子为空的条件下,恰好有两个盒子为空的概率是( )A .2164B .2158C .1229 D .7276.设13482,log 3,log 5a b c ===,则( )A .a b c >>B .a c b >>C .c a b >>D .b c a >> 7. 函数()sin(2)3f x x π=+的图象是由函数()cos 2f x x =的图象( )A .向右平移12π个单位B .向左平移12π个单位 C .向右平移512π个单位D .向左平移512π个单位8.中国古代数学著作《孙子算经》中有这样一道算术题:“今有物不知其数,三三数之余二,五五数之余三,问物几何?”人们把此类题目称为“中国剩余定理”,若正整数除以正整数后的余数为,则记为,例如.现将该问题以程序框图的算法给出,执行该程序框图,则输出的等于 ( )A .21 B .22 C .23 D .249.如图,网格纸上小正方形的边长为1,粗线画出的为某几何体的三视图,则此几何体的体积为( )A .23 B .1 C .43D .210. 函数24sin 2)21(424+++=+x x x x x f ,则++)20172()20171(f f …=+)20172016(f ( )ABCD1D 1A 1B 1C E FA .2017B .2016C .4034D .403211.如图,已知正方体1111ABCD A B C D -的棱长为1,,E F 分别是棱11,AD B C 上的动点,设1,AE x B F y ==.若棱1DD 与平面BEF 有公共点,则x y +的取值范围是( )A .(]0,2B .13[,]22C .[1,2]D .3[,2]2 12.过x 轴下方的一动点P 作抛物线2:2C x y =的两切线,切点分别为,A B ,若直线AB与圆221x y +=相切,则点P 的轨迹方程为( )A .221(0)y x y -=< B .22(2)1y x ++= C .221(0)4y x y +=< D .21x y =--第Ⅱ卷(共90分)二、填空题(每题5分,满分20分,将答案填在答题纸上)13. 二项式的展开式中的常数项为____________________.14. 若实数满足不等式组,则目标函数的最大值为___________________.15.已知在ABC ∆中,2B A =,ACB ∠的平分线CD 把三角形分成面积比为4:3的两部分, 则cos A =___________________.16.已知直线y b =与函数()23f x x =+和()ln g x ax x =+分别交于,A B 两点,若AB 的最小值为2,则a b +=________________________.三、解答题 (本大题共6小题,共70分.解答应写出文字说明、证明过程或演算步骤.)17. (12分)已知(12)nx +的展开式中各项的二项式系数和为n a ,第二项的系数为n b . (Ⅰ)求n a ,n b ; (Ⅱ)求数列{}n n a b 的前n 项和n S .18.(12分)如图,在三棱柱中,侧面底面,,且点为中点.(Ⅰ)证明:平面;(Ⅱ)求二面角的大小.19.(12分)为降低汽车尾气的排放量,某厂生产甲乙两种不同型号的节排器,分别从甲乙两种节排器中各自抽取100件进行性能质量评估检测,综合得分情况的频率分布直方图如图所示.节排器等级及利润如表格表示,其中11107a <<,(Ⅰ)若从这100件甲型号节排器按节排器等级分层抽样的方法抽取10件,再从这10件节排器中随机抽取3件,求至少有2件一级品的概率;(Ⅱ)视频率分布直方图中的频率为概率,用样本估计总体,则(1)从乙型号节排器中随机抽取3件,求二级品数ξ的分布列及数学期望()E ξ; (2)从长期来看,投资哪种型号的节排器平均利润较大?20. (12分)已知椭圆22122:1(0)x y C a b a b+=>>的左右焦点分别为12,F F ,且2F 为抛物线22:2C y px=的焦点,2C 的准线l 被1C 和圆222x y a +=截得的弦长分别为224.(Ⅰ)求1C 和2C 的方程;(Ⅱ)直线1l 过1F 且与2C 不相交,直线2l 过2F 且与1l 平行,若1l 交1C 于,A B ,2l 交1C 交于,C D ,A,C 且在x 轴上方,求四边形12AF F C 的面积的取值范围.21. (12分)已知函数.(Ⅰ)当时,求证:;(Ⅱ)当时,若不等式恒成立,求实数的取值范围;(Ⅲ)若,证明.请考生在22、23两题中任选一题作答,如果多做,则按所做的第一题记分.22. (10分)选修4-4:坐标系与参数方程在直角坐标系xOy 中,直线cos :(sin x t l t y t αα=⎧⎨=⎩为参数,(0,))2πα∈与圆:C 22(1)(2)4x y -+-=相交于点,A B ,以O 为极点,x 轴正半轴为极轴建立极坐标系. (Ⅰ)求直线l 与圆C 的极坐标方程; (Ⅱ)求11OA OB+的最大值. 23. (10分)选修4-5:不等式选讲 设函数()2(0)f x x a x a a =-++>. (Ⅰ)当1a =时,求()f x 的最小值; (Ⅱ)若关于x 的不等式()5f x a x<+在[1,2]x ∈上有解,求实数a 的取值范围. 成都七中2017届高三数学测试 理科参考解答 三、解答题17.(1)2,2n n n a b n ==;(2)12312,12222n n n n n a b n S n -+=⋅=⋅+⋅++⋅,错位相减法2(1)24n n S n +=-+.18.(Ⅰ)证明:因为C A AA 11=,且O 为AC 的中点,所以AC O A ⊥1,又∵面面,交线为AC ,且⊂O A 1平面C C AA 11,∴⊥O A 1平面ABC (Ⅱ)如图,以O 为原点,1,,OA OC OB 所在直线分别为x 轴,y 轴,z 轴建立空间直角坐标系.由已知可得(0,0,0)O ,(0,1,0)A -,13)A ,1(0,3)C ,3,0,0)B ∴(3,1,0)AB =,1(3,0,3)A B =-,11(0,2,0)AC =.............6分 设平面的一个法向量为),,(111z y x m =,则有111110300330m AB x y m A B ⎧⎧⋅=+=⎪⎪⇒⎨⋅==⎪⎩令11=x ,得13y =,11z =)1,3,1(-=m . 8分 设平面11BC A 的法向量为),,(222z y x n =,则有2112212003300y m AC m A B ⎧=⎧⋅=⎪⎪⇒⎨-=⋅=⎪⎩令12=x ,则20y =,21z =,∴)1,0,1(=n ..10分 ∴510102,cos =>=<n m ∴所求二面角的大小为)510arccos(-. .12分19.(1)21364631023C C C P C +==; (2)①由已知及频率分布直方图中的信息知,乙型号节排器中的一级品的概率为710, 二级品的概率14,三级品的概率为120,若从乙型号节排器随机抽取3件, 则二级品数ξ所有可能的取值为0,1,2,3,且1(3,)4B ξ,所以0301213331273127(0)()(),(1)()()44644464P C P C ξξ======, 21230333319311(2)()(),(3)()()44644464P C P C ξξ======, 所以ξ的分布列为所以数学期望()2727272730123646464644E ξ=⨯+⨯+⨯+⨯=(或()13344E ξ=⨯=).②由题意知,甲型号节排器的利润的平均值22132352555E a a a a =+⨯=+,乙型号节排器的利润的平均值22227111375104201010E a a a a a =+⨯+=+,2127171()1010107E E a a a a -=-=-,又11107a <<,所以投资乙型号节排器的平均利润率较大.20.(1)由2224b a b ⎧=⎪⎨⎪=⎩得2,4a b c p ====,所以1C 和2C 的方程分别为2221,884x y y x +==.(2)由题意,AB 的斜率不为0,设:2AB x ty =-,由228x ty y x =-⎧⎨=⎩,得228160,64640y ty t -+=∆=-≤,得21t ≤, 由222280x ty x y =-⎧⎨+-=⎩,得22(1)440t y ty +--=,12122()()AB a e x x y y =++=++=, AB 与CD ABDC 为平行四边形,121122F F CABDC S S ∆===,m m ⎡=∈⎣,1216[,3AF F C S =. 21. 解:(Ⅰ)0a =时,'()1,()1xxf x e x f x e =--=-. ...........1分 当(,0)x ∈-∞时,'()0f x <;当(0,)x ∈+∞时,'()0f x >. .................2分 故()f x 在(,0)-∞单调递减,在(0,)+∞单调递增,00)(min ==)(f x f .........4分(Ⅱ)方法一:'()12x f x e ax =--.由(Ⅰ)知1x e x ≥+,当且仅当0x =时等号成立. 故'()2(12)f x x ax a x ≥-=- 从而当120a -≥,即12a ≤时,在区间[0,)+∞上,()0f x '≥,()f x 单调递增,()(0)f x f ≥,即()0f x ≥,符合题意. ................5分 又由1(0)xe x x >+≠,可得1(0)xe x x ->-≠.从而当12a >时,'()12(1)(1)(2)x x x x xf x e a e e e e a --<-+-=-- 在区间(0,ln 2)a 上,'()0f x <,()f x 单调递减,()(0)f x f <, 即()0f x <,不合题意. ....7分 综上得实数a 的取值范围为1,2⎛⎤-∞ ⎥⎝⎦. .................8分方法二:()12x f x e ax '=--,令ax e x h x 21)(--=,则a e x h x2)(-='.1)当21a ≤时,在[)+∞,0上,()0h x '≥,)(x h 递增,)0()(h x h ≥,即0)0()(='≥'f x f)(x f ∴在[)+∞,0为增函数,0)0()(=≥∴f x f ,21≤∴a 时满足条件;......5分 2)当12>a 时,令0)(='x h ,解得a x 2ln =, 在当(0,ln 2)a 上,,0)(<'x h )(x h 单调递减,()a x 2ln ,0∈∴时,有0)0()(=<h x h ,即0)0()(='<'f x f ,∴)(x f 在区间)2ln ,0(a 为减函数,∴0)0()(=<f x f ,不合题意...........7分综上得实数a 的取值范围为⎥⎦⎤ ⎝⎛∞-21,............8分(Ⅲ)由(Ⅱ)得,当21=a 时,0>x ,212x x e x ++>,即212x x e x+>-欲证不等式2)1ln()1(x x e x>+-,只需证22)1ln(+>+x xx ..................10分设22)1ln()(+-+=x x x x F ,则222)2)(1()2(411)(++=+-+=x x x x x x F ’0>x 时,0)('>x F 恒成立,且0)0(=F ,0)(>∴x F 恒成立.得证. .....12分22.(1)直线l 的极坐标方程为()R θαρ=∈,圆C 的极坐标方程为22cos 4sin 10ρρθρθ--+=; (2)θα=,代入22cos 4sin 10ρρθρθ--+=,得22cos 4sin 10ρραρα--+=,显然121212110,0,2cos 4sin )OA OB ρρρραααϕρρ+>>+==+=-≤, 所以11OA OB+的最大值为23.(1)当1a =时,()1111321110()()22222f x x x x x x x x =-++=-+-++≥+-+-=, 当且仅当12x =时,取等号. (2)[1,2]x ∈时,()55522f x a x a x a a a x x x x<+⇒-++<+⇒-< 553x a x x x⇔-<<+,所以06a <<.。
成都七中高2017 届高三下期理科综合测试(4.8)注意事项:1.本试卷分第Ⅰ卷(选择题)和第Ⅱ卷(非选择题)两部分。
2.答题前,考生务必将自己的姓名、准考证号填写在本试题相应的位置。
3.全部答案在答题卡上完成,答在本试题上无效。
4. 考试结束后,将本试题和答题卡一并交回。
可能用到的相对原子质量:H 1 C 12 N 14 O 16 Fe 56第I 卷(共126 分)二、选择题(本题共8 小题,每小题6 分。
在每小题给出的四个选项中,第14~18 题只有一项符合题目要求,第19~21 题有多项符合题目要求。
全部选对的得6 分,选对但不全的得3 分,有选错的得0 分)14.下列说法中正确的是()A. 用不可见光照射金属一定比用可见光照射同种金属产生的光电子的初动能大B. 按照玻尔理论,氢原子核外电子从半径较小的轨道跃迁到半径较大的轨道时,电子的动能减小,原子的能量也减小C. 光电子的最大初动能随入射光频率增大而增大D. 在光照条件不变的情况下,对发射出来的光电子加上正向电压对光电子加速,所加电压不断增大,光电流也不断增大15.如图所示,一理想变压器的原、副线圈匝数比为3∶1,图中四只灯泡完全相同,在 L1、L2、L3、L4 正常发光的条件下,若断开 L4,则( )A. L1 变暗,L2、L3 变亮B. L1 变亮,L2、L3 变暗C. L1、L2、L3 变亮D. L1、L2、L3 变暗16.水平面上有一个重20 N 的物体,受到F1 = 10 N 和F2 = 6 N 的水平力作用而保持静止。
已知物体与水平面间的动摩擦因数ì= 0.4,下列说法正确的是()A. 物体受到的合力为4 N,方向水平向右B. 将F1 撤去后,物体受的摩擦力为8 NC. 将F2 撤去后,物体受的摩擦力为6 ND. 在将F1 逐渐减小到0 的过程中,物体受到的摩擦力先减小后增大17.近几年来我国在深海与太空探测方面有了重大的发展。
成都七中2016-2017学年度下期半期考试高2018届数学试卷(理科)考试时间:120分钟 总分:150分一、 选择题(本大题共12小题,每小题5分,共60分.在每小题给出的四个选项中,只有一项是符合要求.请将正确选项用2B 铅笔填图在答题卡上)1.欧拉公式cos sin ix e x i x =+(i 为虚数单位)是由瑞士著名数学家欧拉发明的,它将指数函数的定义域扩大到复数,建立了三角函数和指数函数的关系.根据欧拉公式可知,表示23i eπ的复数在复平面中位于( )A .第一象限B .第二象限C .第三象限D .第四象限 2. O 为空间任意一点,若OP →=34OA →+18OB →+18OC →,则A ,B ,C ,P 四点( )A .一定不共面B .一定共面C .不一定共面D .无法判断3.用反证法证明命题“设,a b 为实数,则方程30x ax b ++=至少有一个实根”时, 要做的假设是( )A.方程30x ax b ++=没有实根B.方程30x ax b ++=至多有一个实根C.方程30x ax b ++=至多有两个实根D.方程30x ax b ++=恰好有两个实根 4. 定积分⎠⎛01(2x +e x )d x 的值为( )A .e +2B .e +1C .eD .e -1 5.若函数31()f x x ax x=++在⎝⎛⎭⎫12,+∞是增函数,则a 的取值范围是( ) A .1(,)2-+∞ B .1[,)2-+∞ C .13(,)4+∞ D .13[,)4+∞ 6.已知函数()ln f x x x =-,则()f x 的图象大致为 ( )7. 设不重合的两条直线,、、和三个平面、γβαn m 给出下面四个命题: (1) //////m n m n n αβαβ=⇒,, (2) ααββα//m m m ⇒⊄⊥⊥,,(3) βαβα////m m ⇒⊂, (4) γβγαβα//⇒⊥⊥, 其中正确的命题个数是( )A .1B .2C .3D .4 8. 设则( ) A .都不大于 B .都不小于 C .至少有一个不大于 D .至少有一个不小于 9. 已知函数f (x )=(2x -x 2)e x ,则( )A .f (2)是f (x )的极大值也是最大值B .f (2)是f (x )的极大值但不是最大值C .f (-2)是f (x )的极小值也是最小值D .f (x )没有最大值也没有最小值10. 如图,二面角l αβ--的大小是45°,线段AB α⊂.B l ∈,AB 与l 所成的角为30°.则AB 与平面β所成的角的正弦值是( )A .12 B.4 C .2 D .411. 已知函数x x x f 3)(3-=,若过点),2(t M 可作曲线)(x f y =的三条切线,则实数t 的取值范围是( )A .(6,2)--B .(4,2)--C . (6,2)-D .(0,2)12.函数)(x f 的导函数为)(x f ',对x ∀∈R ,都有2()()f x f x '>成立,若2)4ln (=f ,则不等式2()x f x e >的解是( )A .(ln 4,)+∞B .(0,ln 4)C . (,ln 4)-∞D .(1,ln 4)二、填空题(本大题共5小题,每题4分,共20分.请将答案填在答题卡对应位置.)13. 设a R ∈,若复数(1)()i a i ++在复平面内对应的点位于实轴上,则a =____▲____ 14. 已知空间四边形ABCD 的每条边和对角线的长都等于a ,点E ,F 分别是BC ,AD 的中点,则AE →·AF →的值为____▲_____,,(,0),a b c ∈-∞111,,a b c b c a+++2-2-2-2-α∙AB∙β15.分形几何学是美籍法国数学家伯努瓦B ·曼德尔布罗特(Benoit B. Mandelbrot )在20世纪70年代创立的一门新学科,它的创立为解决传统众多领域的难题提供了全新的思路.如图是按照分形的规律生长成的一个树形图,则第10行的空心圆的个数是 ▲ .三.解答题(17题10分,18-22每小题12分,共70分.解答应写出文字说明,证明过程或演算步骤.)17. 已知复数满足11z i z i +-=-+,试判断复数在复平面内对应的点的轨迹是什么图形,并求出轨迹方程.18. 如图所示,在三棱柱'''ABC A B C -中,'AA ⊥底面ABC ,AB =BC ='AA ,∠ABC =90°,O 是侧面''ABB A 的中心,点D 、E 、F 分别是棱'''AC AB BB 、、的中点, (Ⅰ)证明OD ∥平面'ABC ;(Ⅱ)求直线EF 和平面'ABC 所成的角. .z z19.观察下列等式第一个式子第二个式子第三个式子第四个式子照此规律下去(Ⅰ)写出第5个等式;(Ⅱ)试写出第n 个等式,并用数学归纳法验证是否成立. 20.如图,在四棱锥中,底面为直角梯形,∥,,平面⊥底面,为的中点,是棱上的点,,,.(I )求证:平面⊥平面;(Ⅱ)若二面角大小的为 ,求的长.21.设函数()()()()221ln ,1 , 0,2f x x a xg x x a x x a R =-=-+>∈. (I )求函数()f x 的单调区间;(Ⅱ)当0a ≥时,讨论函数()f x 与()g x 的图象的交点个数.22.已知()()()21,.xf x x mx m Rg x e =++∈=(I )当[]0,2x ∈时,()()()F x f x g x =-为增函数,求实数m 的取值范围; (Ⅱ)设函数()()()()15,,44f x G x H x xg x ==-+若不等式()()G x H x ≤对[]0,5x ∈ 恒成立,求参数m 的取值范围;(Ⅲ)若()1,0m ∈-,设函数()()()()15,,44f x G x H x xg x ==-+求证:对任意[]12,1,1x x m∈-,()()12Gx H x <恒成立.60成都七中2016-2017学年度下期半期考试高2018届数学试卷(理科)考试时间:120分钟 总分:150分一、 选择题(本大题共12小题,每小题5分,共60分.在每小题给出的四个选项中,只有一项是符合要求.请将正确选项用2B 铅笔填图在答题卡上)1.欧拉公式cos sin ix e x i x =+(i 为虚数单位)是由瑞士著名数学家欧拉发明的,它将指数函数的定义域扩大到复数,建立了三角函数和指数函数的关系.根据欧拉公式可知,表示23i eπ的复数在复平面中位于( )A .第一象限B .第二象限C .第三象限D .第四象限 【答案】B2. O 为空间任意一点,若OP →=34OA →+18OB →+18OC →,则A ,B ,C ,P 四点( )A .一定不共面B .一定共面C .不一定共面D .无法判断【答案】B3用反证法证明命题“设b a ,为实数,则方程30x ax b ++=至少有一个实根”时,要做的假设是( )A.方程30x ax b ++=没有实根B.方程30x ax b ++=至多有一个实根C.方程30x ax b ++=至多有两个实根D.方程30x ax b ++=恰好有两个实根 【答案】A4. 定积分⎠⎛01(2x +e x)d x 的值为( )A .e +2B .e +1C .eD .e -1【答案】C5.若函数31()f x x ax x =++在⎝⎛⎭⎫12,+∞是增函数,则a 的取值范围是( )A .1(,)2-+∞ B .1[,)2-+∞ C .13(,)4+∞ D .13[,)4+∞ 【答案】:D【解析】'221()3f x x a x =+-,所以22130x a x +-≥对任意的x ∈⎝⎛⎭⎫12,+∞恒成立,分离参数得2213a x x ≥-,令221()3h x xx =-又h (x )在⎝⎛⎭⎫12,+∞上单调递减,所以113()()24h x h <=,故134a ≥.6.已知函数()ln f x x x =-,则()f x 的图象大致为 ( )【答案】A【解析】由ln ,0()ln(),0x x x f x x x x ->⎧=⎨--<⎩可得'1()1 (0)f x x x =-≠(,0)(1,)()0;(0,1)()0x f x x f x ∈-∞+∞>∈<时时,可排除B 、C 、D 选项,故选A7. 设不重合的两条直线,、、和三个平面、γβαn m 给出下面四个命题: (1) //////m n m n n αβαβ=⇒,, (2) ααββα//m m m ⇒⊄⊥⊥,,(3) βαβα////m m ⇒⊂, (4) γβγαβα//⇒⊥⊥, 其中正确的命题个数是( ) 1234A B C D【答案】B【解析】(2)(3)正确 8. 设则( ) A .都不大于 B .都不小于 C .至少有一个不大于 D .至少有一个不小于 【答案】C【解析】因为,所以≥,所以,,(,0),a b c ∈-∞111,,a b c b c a+++2-2-2-2-,,(,0)a b c ∈-∞111111()()()()a b c a b c b c a a b c-+++++=--+--+--2226++=,所以的值中至少有一个不大于.9. 已知函数f (x )=(2x -x 2)e x ,则( )A .f (2)是f (x )的极大值也是最大值B .f (2)是f (x )的极大值但不是最大值C .f (-2)是f (x )的极小值也是最小值D .f (x )没有最大值也没有最小值 【答案】A【解析】由'2()(2)x f x e x =-易知()f x在(,-∞,)+∞上单减,(单增;f 是()f x 的极大值;(f 是()f x 的极小值.又因为()0f x =的解只有0和2可知0()0x f x <<时作出函数示意图 可知f 是()f x 的极大值也是最大值. (或者可研究函数极限知,()0;+,()x f x x f x →-∞→→∞→-∞)10. 如图,二面角l αβ--的大小是45°,线段AB α⊂.B l ∈,AB 与l 所成的角为30°.则AB 与平面β所成的角的正弦值是( )A .12B .4. 2 D . 4【答案】D【解析】过点A 作AO β⊥于点O, AC l ⊥于点C,连结CO 、BO 则ABO ∠即为所求线面角.又因为45,30ACO ABC ∠=︒∠=︒设AO 长为a ,则,AC AB ∠==在 sin 4AO Rt ABO ABO AB ∆∠===中有. 11. 已知函数x x x f 3)(3-=,若过点),2(t M 可作曲线)(x f y =的三条切线,则实数t 的取值范围是( )A .(6,2)--B .(4,2)--C . (6,2)-D .(0,2) 【答案】C【解析】设切点为00(,())x f x ,则切线方程为'000()()()y f x f x x x -=-将M 点代入整理得关于0x 的方程32002660x x t -++=有三根.令3200266t x x =-+-作出图象可知当t 介1116a b c b c a +++++≤-111,,a b c b c a+++2-α∙AB∙β于两极值之间时方程有三根.计算可得62t -<<.12.函数)(x f 的导函数为)(x f ',对x ∀∈R ,都有2()()f x f x '>成立,若2)4ln (=f ,则不等式2()x f x e >的解是( )A .(ln 4,)+∞B .(0,ln 4)C . (,ln 4)-∞D .(1,ln 4) 【答案】A【解析】令2()(=x f x g x e )则'2''2221(()())2()()2(=0()2xx xe f x f x f x f x g x e e -⋅-=>)则2()(=xf xg x e)是R 上的增函数.又ln 42(ln 4)(ln 4=1f g e=)可知2()ln 4(=1xf x xg x e>>时)即2()x f x e >的解集是(ln 4,)+∞.二、填空题(本大题共5小题,每题4分,共20分.请将答案填在答题卡对应位置.)13. 设a R ∈,若复数(1)()i a i ++在复平面内对应的点位于实轴上,则a =____▲____ 【答案】1-14. 已知空间四边形ABCD 的每条边和对角线的长都等于a ,点E ,F 分别是BC ,AD 的中点,则AE →·AF →的值为____▲_____ 【答案】214a15.分形几何学是美籍法国数学家伯努瓦B ·曼德尔布罗特(Benoit B. Mandelbrot)在20世纪70年代创立的一门新学科,它的创立为解决传统众多领域的难题提供了全新的思路.如图是按照分形的规律生长成的一个树形图,则第10行的空心圆的个数是 ▲ .【答案】21【解析】设第n 行空心圆个数为{}n a 则121,0,3a a n ==≥时有12n n n a a a --=+,依次递推可得1021a =三.解答题(17题10分,18-22每小题12分,共70分.解答应写出文字说明,证明过程或演算步骤.)17. 已知复数满足11z i z i +-=-+,试判断复数在复平面内对应的点的轨迹是什么图形,并求出轨迹方程.解:由1=-1z i z i +-+可知复数z 是复平面内到两定点距离相等的点,其轨迹是这两点连线的垂直平分线(答轨迹是直线不扣分)------------5分这两点坐标分别是(-1,1)和(1,-1),在直线y x =-上且关于原点对称,所以它的垂直平分线方程是y x =,即复数z 的轨迹方程是y x =------10分法二:设(,)x yi x y R =+∈=分化简整理得y x =,这是一条直线-------------10分18. 如图所示,在三棱柱'''ABC A B C -中,'AA ⊥底面ABC ,AB =BC ='AA ,∠ABC =90°,O 是侧面''ABB A 的中心,点D 、E 、F 分别是棱'''AC AB BB 、、的中点, (Ⅰ)证明OD ∥平面'ABC ;(Ⅱ)求直线EF 和平面'ABC 所成的角.z z z.(Ⅰ)证明:依题意可知侧面''ABB A 为正方形,连结'A B 则O 为'A B 中点,在''A BC ∆中, O 、D 分别是边''A B AC’、的中点,所以'//OD BC '''''////BC ABC OD ABC OD ABC OD BC ⎫⊂⎪⊄⇒⎬⎪⎭面面面 ------------6分(Ⅱ)连结'B C 易得''BC B C ⊥先证明''B C ABC ⊥面''''''''''''''90// ABC AB BC AB BCC B AB B C AA ABC AA AB B C ABC B C BCC B B C BC AA BB ∠=︒⇒⊥⎫⎫⎫⊥⊥⎪⎪⎪⊥⇒⊥⇒⇒⇒⊥⎬⎬⎬⊂⊥⎪⎪⎭⎭⎪⎭由面底面面面 过F 作''//FH B C BC H EH FEH ∠交于,连结,则即为直线EF 和平面'ABC 所成的角 在Rt FEH ∆中,12FH EF =,所以直线EF 和平面'ABC 所成的角为30︒ ------------12分19.观察下列等式第一个式子第二个式子第三个式子第四个式子照此规律下去(Ⅰ)写出第5个等式;(Ⅱ)试写出第n 个等式,并用数学归纳法验证是否成立. 【解析】(Ⅰ)第5个等式567139++++=;加以证明.试题解析:(Ⅰ)第5个等式5671381++++=分分 证明:(1(2分分--------------11分根据(1)(2--------------12分20.如图,在四棱锥中,底面为直角梯形,∥,,平面⊥底面,为的中点,是棱上的点,,,. (Ⅰ)求证:平面⊥平面;(Ⅱ)若二面角大小的为 ,求的长.解:(1)∵AD // BC,BC=AD ,Q 为AD 的中点,∴四边形BCDQ 为平行四边形, ∴CD // BQ ∵∠ADC=90° ∴∠AQB=90° 即QB⊥AD. 又∵平面PAD⊥平面ABCD 且平面PAD∩平面ABCD=AD ,60∴BQ⊥平面PAD .∵BQ 平面MQB ,∴平面MQ B⊥平面PAD----------5分(Ⅱ)∵PA=PD,Q 为AD 的中点, ∴P Q⊥AD.∵平面PAD⊥平面ABCD ,且平面PAD∩平面ABCD=AD , ∴PQ⊥平面ABCD . 如图,以Q 为原点建立空间直角坐标系. 则,,,,由 ,且,得所以又, ∴ 平面MBQ 法向量为由题意知平面BQ C 的法向量为 -------------9分∵二面角M-BQ-C 为60° ∴,∴∴----------------12分21. 设函数()()()()221ln ,1 0,2f x x a xg x x a x x a R =-=-+>∈ (Ⅰ)求函数()f x 的单调区间;(Ⅱ)当0a ≥时,讨论函数()f x 与()g x 的图象的交点个数.解:(Ⅰ) 函数()f x 的定义域为()()20,,'x af x x-+∞=.当0a ≤时,()'0f x >,所以()f x 的增区间是()0,+∞,无减区间;当0a >时,()('x x f x x+=.当0x <<()'0f x <,函数()f x单调递减;当x >()'0f x >,函数()f x 单调递增. 综上,当0a ≤时,函数()f x 的增区间是()0,+∞,无减区间;当0a >时,()f x 的增区间是)+∞,减区间是(.----------4分(Ⅱ)令()()()()211ln ,02F x f x g x x a x a x x =-=-++->,问题等价于求函数()F x 的零点个数.① 当0a =时,()()21,0,2F x x x x F x =-+>有唯一零点; ----------5分当0a ≠时,()()()1'x x a F x x--=-.② 当1a =时,()'0F x ≤,当且仅当1x =时取等号,所以()F x 为减函数.注意到()()310,4ln 402F F =>=-<,所以()F x 在()1,4内有唯一零点;----------7分③ 当1a >时,当01x <<,或x a >时,()'0;1F x x a <<<时,()'0F x >.所以()F x 在()0,1和(),a +∞上单调递减,在()1,a 上单调递增.注意到()()()110,22ln 2202F a F a a a =+>+=-+<,所以()F x 在()1,22a +内有唯一零点; ----------9分④ 当01a <<时,0x a <<,或1x >时,()'0;1F x a x <<<时,()'0F x >.所以()F x 在()0,a 和()1,+∞上单调递减,在(),1a 上单调递增.注意到()()()()()110,22ln 0,22ln 22022aF a F a a a F a a a =+>=+->+=-+<,所以()F x 在()1,22a +内有唯一零点. ----------11分综上,()F x 有唯一零点,即函数()f x 与()g x 的图象有且仅有一个交点. ----12分22.已知()()()21,.xf x x mx m Rg x e =++∈=(I )当[]0,2x ∈时,()()()F x f x g x =-为增函数,求实数m 的取值范围; (Ⅱ)设函数()()()()15,,44f x G x H x x g x ==-+若不等式()()G x H x ≤对[]0,5x ∈恒成立,求实数m 的取值范围.(Ⅲ)若()1,0m ∈-,设函数()()()()15,,44f x G x H x xg x ==-+,求证:对任意[]12,1,1x x m ∈-,()()12G x H x <恒成立.解:(I )2'()1()2x x F x x mx e F x x m e =++-∴=+-[0,2]()x F x ∈时为增函数'()20[0,2]x F x x m e x ∴=+-≥∈对恒成立即2x m e x≥-令()2 [0,2]x h x e x x =-∈ 则'() 2 x h x e =-令'()0ln 2h x x ==解得()[0,ln 2)ln 22]h x ∴在单减;(,单增2(0)1,(2)41h h e ==->2max ()(2)4h x h e ∴==-24m e ∴≥- ----------3分(Ⅱ)()()G x H x ≤即2151,44x x mx e x ++≤-+()令15(),44x x e x ϕ=-+() '1()1,4xx e x ϕ=-+()令()04x x ϕ==得(),4)4+)x ϕ∴∞∞在(-单增;(,单减()=0=5x x ϕ又有唯一零点,所以可作出函数()x ϕ的示意图,要满足2()1()[0,5]m x x mx x x ϕ=++≤∈对恒成立只需02(5)0m m -⎧>⎪⎨⎪≤⎩对称轴解得265m ≤-----------7分法二:1x =得2m e ≤-令215()(1),44xx ex x mx ϕ=-+-++()则'1()(1)24x x e x x m ϕ=--- 令'()()n x x ϕ=则'3()24x x n x e -=⋅- 令'()()r x n x =则'2()4x x r x e -=⋅则2()225](2)204e r x r =-<在[0,)单增,(,单减;故()0[0,5]r x x <∈对恒成立()[0,5]n x x ∴∈在单减(0)10n m =->,无论()[0,5]n x x ∈在有无零点()[0,5]x x ϕ∈在上的最小值只可能为(0)5ϕϕ或()xO45要215()(1)044xx e x x mx ϕ=-+-++≥()恒成立(0)0(5)0ϕϕ∴≥≥且 265m ∴≤-(Ⅲ)对任意[]12,1,1x x m ∈-,()()12G x H x <恒成立,只需()()max min G x H x <()'(1)(1)xx x m G x e --+=-[]1,1x m ∈-,()1,0m ∈-()[1,1]G x m ∴-在上单调递增,()()max 121mmG x G m e --=-=()[1,1]H x m -在上单调递减,()()min 151(1)1444mH x G m m =-=--+=+即证1214m m me --<+对()1,0m ∈-恒成立令()11,2m t -=∈即证(5-)-4(1)0(1,2)t e t t t +>∈对恒成立 令()(5-)-4(1)t r x e t t =+则'()(4-)-4240t t r x e t e =>-> 即()(5-)-4(1)12t r x e t t =+在(,)上单调递增()(1)(5-1)-4(11)480r x r e e ∴>=+=->即(5-)-4(1)0(1,2)t e t t t +>∈对 恒成立所以对任意[]12,1,1x x m ∈-,()()12G x H x <恒成立. ---------12分。
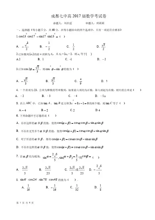
成都七中高2017届数学考试卷届数学考试卷命题人:刘在廷命题人:刘在廷 审题人:周莉莉审题人:周莉莉一、选择题(每小题5分,共60分,在每小题给出的四个选项中,只有一项是符合要求)分,在每小题给出的四个选项中,只有一项是符合要求)1.0cos13cos17sin17sin13-=( )A. 23-B. 21-C. 21 D. 232.已知数列{a n }的前n 项和为S n ,且S n =2a n -2,则a 1等于( ) A.2 B .1 C .-1 D .-2 3.已知2cos 23q =,则44cos sin q q -的值为(的值为( )A .23-B .23C .49D .1 4.一个首项为23,公差为整数的等差数列,如果前六项均为正数,第七项起为负数,则它的公差是( ) A . ﹣2 B . ﹣3 C . ﹣4 D . ﹣55. 在△ABC 中,已知A tan ,B tan 是方程01832=-+x x 的两个根,则C tan 等于(等于( ) A.4- B.2- C.2 D.46. 下列命题中不正确...的是(的是( ) A .存在这样的a 和b 的值,使得b a b a b a sin sin cos cos )cos(+=+ B .不存在无穷多个a 和b 的值,使得b a b a b a sin sin cos cos )cos(+=+ C .对于任意的a 和b ,都有b a b a b a sin sin cos cos )cos(-=+ D .不存在这样的a 和b 值,使得b a b a b a sin sin cos cos )cos(-¹+ 7. 若b a ,均为锐角,==+=b b a a cos ,53)(sin ,552sin 则( ) A. 552 B. 2552 C. 2552552或D. 552-8. 48cos 78sin 24cos 6sin ×××的值为(的值为( ). A .161B .161-C .321 D .819. 已知不等式()2632sin cos 6cos 04442x x x f x m =+--£对于任意的566x p p -££恒成立,则实数m的取值范围是(的取值范围是( ). A.3m ³B.3m £C.3m £-D.33m -££10.已知数列2(31)4(3)2(3)n a n a n a n an n -+£ì=í+>î为单调递增的数列,则实数a 的取值范围为(的取值范围为( ) A 1(,)3+¥ B 119(,)35 C 16(,)37 D 16(,]3711.已知ABC D 的内角,A B 及其对边,a b 满足tan tana ba b A B -=-,则ABC D 为(为( ) A.等腰三角形等腰三角形 B.直角三角形直角三角形 C.等腰或直角三角形等腰或直角三角形 D.不能确定不能确定 12.已知函数()sin cos 2017g x x a x =++满足7()()40343g x g x p +-=,又()s i n c o s f x a x x =+对任意x 恒有0()|()|f x f x £,则满足条件的0x 可以是(可以是( )A.3p B. 4pC. 56p D. D. 以上选项均不对以上选项均不对以上选项均不对 二、填空题:(每小题4分,共16分)分) 13.数列{}n a 满足111(1)n n a n a -=->且114a =-,则5a =_____________._____________. 14. 一艘船以32海里/小时的速度向正北航行,在A 处看灯塔S 在船的北偏东300,半小时后航行到B 处,在B 处看到灯塔S 在船的北偏东750,则灯塔S 与B 点的距离为______海里。
成都七中高三理科综合能力测试(12月17日)注意事项:1.本试卷分第Ⅰ卷(选择题)和第Ⅱ卷(非选择题)两部分。
2.答题前,考生务必将自己的姓名、准考证号填写在本试题相应的位置。
3.全部答案在答题卡上完成,答在本试题上无效。
4.考试结束后,将本试题和答题卡一并交回。
可能用到的相对原子质量:H—1 C—12 N—14 O—16 Cu—64 Ni—59第Ⅰ卷(选择题共126分)一、选择题:本大题共13小题,每小题6分。
在每小题给出的四个选项中,只有一项是符合题目要求的。
1.下列有关组成生物体的化学元素和化合物的叙述,正确的是A.胆固醇是构成细胞膜的重要成分,在人体内参与血液中脂质的运输B.蛋白质肽链的盘曲和折叠被解开时,其特定功能并未发生改变C.自由水可以参加某些生命活动,例如参与有氧呼吸的第三阶段D.Mg虽然是微量元素但在光合作用中起很重要的作用,不可缺少2.下图为某种生物的细胞核及相关结构示意图,有关叙述正确的是A.细胞核储存着细胞内全部的遗传物质B.在衰老的细胞中,细胞核体积减小,染色质收缩C.图示中有中心体,说明该生物为低等植物或动物D.rRNA(核糖体RNA)和蛋白质在核仁中合成并组装成核糖体3.下列实验中,选材恰当的是A.常用鸡成熟红细胞研究细胞膜的结构B.利用韭黄提取并分离四种叶绿体色素C.用蛙红细胞观察细胞的无丝分裂D.用洋葱鳞片叶表皮细胞观察有丝分裂4.某小岛上生活着两种棕榈科植物,研究认为:200万年前,它们的共同祖先迁移到该岛时,一部分生活在pH较高的石灰岩上,开花较早(植物甲);另一部分生活在pH较底的火山灰上,开花较晚(植物乙),由于花期不同,经过长期演变,最终形成两个不同的物种甲、乙。
根据现代生物进化理论分析,正确的是A.为适应不停的土壤酸碱度条件,两种植物分别向不同的方向进化B.新物种的形成意味着不同生物能以不同的方式利用环境条件C.将物种甲引种至pH较低的地区后,可再次发生进化形成物种乙D.只要环境条件保持稳定,种群的基因频率一定不会发生变化5.下列关于艾滋病的说法,正确的是A.艾滋病能通过母婴传播,因此艾滋病是一种遗传病B.艾滋病只能通过唾液、血液和母婴途径传播C.ADIS患者出现病症的直接原因是其他病原体的感染D.HIV遗传物质水解能产生4中脱氧核苷酸6.某男子表现型正常,但其一条14号和一条21号染色体相互连接形成一条异常染色体,如图甲。
成都七中高2017 届高三(下)理综测试题(4.15)注意事项:1.本试卷分第Ⅰ卷(选择题)和第Ⅱ卷(非选择题)两部分。
2.答题前,考生务必将自己的姓名、准考证号填写在本试题相应的位置。
3.全部答案在答题卡上完成,答在本试题上无效。
4. 考试结束后,将本试题和答题卡一并交回。
第Ⅰ卷选择题(共126 分)可能用到的原子量:H-1 C-12 O-16 Na-23一、选择题:本大题共13 小题,每小题6 分。
在每小题给出的四个选项中,只有一项是符合题目要求的。
1、细胞的部分结构、物质有“骨架或支架”之说,下列有关叙述正确的是()A.真核细胞中有维持细胞形态的细胞骨架,细胞骨架与物质运输无关B.磷脂双分子层构成了细胞膜的基本支架,其他生物膜无此基本支架C.生物大分子中D NA 分子中的脱氧核糖和磷酸交替连接,排列在外侧构成基本骨架D.每一个单体都以若干个相连的碳原子或氮原子构成的链为基本骨架2.下列说法正确的是()A.拍摄洋葱鳞片叶表皮细胞的显微照片就是建构了细胞的物理模型B.控制细胞器进行物质合成、能量转换等的指令,主要是通过核孔从细胞核到达细胞质的C.细胞中包括蛋白质、核酸在内的有机物都能为细胞的生命活动提供能量D.染色体和染色质是不同物质在同一时期细胞中的两种形态3.一种关于生长素极性运输的假说认为:细胞膜上存在H+的跨膜运输,维持细胞壁的p H 为5,细胞质基质的p H 为7;生长素在细胞质中以A形式存在,A 在细胞内浓度较高,且需要借助于膜蛋白M 才能跨膜。
生长素在细胞壁中以B 形式(脂溶性)存在。
下列说法符合该假说的是()A.H+运出细胞的方式为被动运输B.B 进入细胞的方式为主动运输C.A 运出细胞的方式为主动运输D.M 只位于图中细胞的1、4 侧4. 当人体注射了用禽流感病毒蛋白制备的疫苗后,体内不会发生的反应是()A. 吞噬(巨噬)细胞处理和呈递抗原B. 产生针对该禽流感病毒蛋白的抗体C. 效应T 细胞消灭被疫苗感染的细胞 D. 形成能识别禽流感病毒的记忆细胞5.下列有关生物变异和进化的叙述,正确的是()A.突变一定不利于生物适应环境,但可为进化提供原材料B.用二倍体西瓜给四倍体西瓜授粉,则四倍体植株上会结出三倍体无子西瓜C.生物多样性主要包括三个层次:直接价值、间接价值和潜在价值D.21 三体综合征患儿的病因是亲代减数分裂时,染色体分离异常6.对下列生物学实验的分析,正确的是()A.恩格尔曼用水绵作材料研究叶绿体的功能的实验运用了对照试验的科学思想B.赫尔希和蔡斯进行噬菌体侵染细菌的实验没有涉及到细菌细胞的裂解C.斯他林和贝利斯研究胰液分泌的调节机制的实验中狗的胰腺分泌胰液仅受神经的调节D.高斯培养大草履虫和双小核草履虫的实验双小核草履虫分泌了杀死大草履虫的物质7、化学与社会、生活密切相关。
四川省成都七中2017届高三上下学期入学(理科)数学试卷一、选择题1.设全集U =R ,若集合{}23A x x =∈-<N ,(){}2lg 9B x y x==-,则AB R( )A .{}13x x -<<B .{}35x x ≤<C .{}0,1,2D .{}3,42.已知复数()i ,z x y x y =+∈R ,且有1i 1i x y =+-,z 是z 的共轭复数,则zz的虚部为( ) A .15B .1i 5CD3.已知x ,y 取值如表:画散点图分析可知,y 与x 线性相关,且回归直线方程1y x =+,则实数m 的值为( ) A .1.426B .1.514C .1.675D .1.7324.已知函数()f x 的部分图象如图所示.向图中的矩形区域随机投出100粒豆子,记下落入阴影区域的豆子数.通过10次这样的试验,算得落入阴影区域的豆子的平均数约为33,由此可估计()10f x dx ⎰的值约为( ) A .99100B .310C .910D .10115.已知点()3,3P ,()3,3Q -,O 为坐标原点,动点(),Mx y 满足1212OP OM OQ OM ⎧∙≤⎪⎨∙≤⎪⎩,则点M 所构成的平面区域的内切圆和外接圆半径之比为( ) A B .12C D .146.如图,在平行六面体1111ABCD A B C D -中,1AA AB AD ==1145A AD A AB ∠=∠=,60BAD ∠=,则点1A 到平面ABCD 的距离为( )A .1B .2CD .37.在ABC △中,若()2224sin sin sin 3sin sin A B C A B +-=,则2sin 2A B+的值为( ) A .78 B .38C .1516D .11168.若直线cos sin 10x y θθ+-=与圆()()221cos 116x y θ-+-=相切,且θ为锐角,则这条直线的斜率是( )A .B .CD 9.定义在R 上的函数()f x 满足()()f x f x =-,且在区间[]0,1上是增函数,又函数()1f x -的图象关于点()1,0对称,若方程()f x m =在区间[]4,4-上有4个不同的根,则这些根之和为( ) A .3-B .3±C .4D .4±10.设双曲线()222210,0x y a b a b-=>>的右焦点为F ,过点F 作与x 轴垂直的直线l 交两渐近线于A 、B 两点,且与双曲线在第一象限的交点为P ,设O 为坐标原点,若(),OP OA OB λμλμ=+∈R ,964λμ=,则该双曲线的离心率为( )A .43B C .23D .311.已知函数()222,043,0x x x f x x x x ⎧--≤⎪=⎨-+>⎪⎩,()e ,0ln ,0x x g x x x ⎧≤⎪=⎨>⎪⎩,则函数()()()1h x g f x =-的零点个数为( )个. A .7B .8C .9D .1012.若对任意的11,e e x ∈⎡⎤⎣⎦﹣,总存在唯一的[]21,1x ∈-,使得22112ln 1e x x x a x ++=-成立,则实数a 的取值范围是( )A .2,e 1e ⎡⎤+⎢⎥⎣⎦B .1e 2,e e ⎛⎤+- ⎥⎝⎦C .2e 2,e ⎡⎫-⎪⎢⎣⎭D .2,2e 2e ⎛⎤- ⎥⎝⎦二、填空题13.已知()112,P x x ,()222,P x y 是以原点O 为圆心的单位圆上的两点,12POP θ∠=(θ为钝角).若π3sin 45θ⎛⎫+= ⎪⎝⎭,则的1212x x y y +值为_______.14.某城市缺水问题比较突出,为了制定节水管理办法,对全市居民某年的月均用水量进行了抽样调查,其中4位居民的月均用水量分别为()1,2,3,4i x i =(单位:立方米).根据如图所示的程序框图,若知1x ,2x ,3x ,4x 分别为1,1.5,1.5,3,则输出的结果S 为_______.15.已知a b <,二次不等式20ax bx c ++≥对任意实数x 恒成立,则24a b cM b a++=-的最小值为_______.16.设x ∈R ,定义[]x 表示不超过x 的最大整数,如0=⎣⎦,[]3.14159264-=-等,则称[]y x =为高斯函数,又称取整函数.现令{}[]x x x =-,设函数()[]{}()22sin sin 10100f x x x x =+-≤≤的零点个数为m ,函数()[]{}()101003xx x g x x =-≤≤-的零点个数为n ,则m n +的和为_______. 三、解答题 17.设函数()21344f x x mx =+-,已知不论α,β为何实数时,恒有()sin 0f α≤且()2cos 0f β+≥,对于正项数列{}n a ,其前n 项和()()*n n S f a n =∈N .(Ⅰ)求数列{}n a 的通项公式;11na+,n+∈N,且数列{}n b的前n项和为n T,试比较n T与16的大小并证明之.18.2016年7月23日至24日,本年度第三次二十国集团()20G财长和央行行长会议在四川省省会成都举行,业内调查机构i Research(艾瑞咨询)在成都市对[]25,55岁的人群中随机抽取n人进行了一次“消费”生活习惯是否符合理财观念的调查,若消费习惯符合理财观念的称为“经纪人”,否则则称为“非经纪人”.则如表统计表和各年龄段人数频率分布直方图(Ⅰ)补全频率分布直方图并求,,的值;(Ⅱ)根据频率分布直方图估计众数、中位数和平均数(结果保留三位有效数字);(Ⅲ)从年龄在[]40,55的三组“经纪人”中采用分层抽样法抽取7人站成一排照相,相同年龄段的人必须站在一起,则有多少种不同的站法?请用数字作答.19.如图为一简单组合体,其底面ABCD为正方形,PD⊥平面ABCD,EC PD∥,且22PD AD EC===.(1)请在方框内画出该几何体的正(主)视图和侧(左)视图;(2)求证:BE∥平面PDA.(3)求二面角A PB E--的余弦值.20.平面直角坐标系xOy 中,已知椭圆1C :()222210x y a b a b +=>>,左、右焦点分别是P和Q ,以P 为圆心,以3为半径的圆与以Q 为圆心,以1为半径的圆相交,交点在椭圆1C 上. (Ⅰ)求椭圆1C 的方程;(Ⅱ)设椭圆2C :222212x y a b +=+的左、右焦点分别为1F 和2F ,若动直线l :(),y kx m k m =+∈R 与椭圆2C 有且仅有一个公共点,且1F M l ⊥于M ,2F N l ⊥于N ,设S 为四边形12F MNF 的面积,请求出S 的最大值,并说明此时直线l 的位置;若S 无最大值,请说明理由.21.设函数()()e xf x ax a a -=+∈R ,设函数零点分别为1x ,2x ,且12x x <,设()f x '是()f x 的导函数.(Ⅰ)求实数a 的取值范围;(Ⅱ)求证:0f '<.[选修4-4:坐标系与参数方程]22.已知曲线C 的参数方程为222x pt y pt ⎧=⎨=⎩(t 为参数)()0p >,直线l 经过曲线C 外一点()2,4A --且倾斜角为π4. (1)求曲线C 的普通方程和直线l 的参数方程;(2)设直线l 与曲线C 分别交于1M ,2M ,若1AM ,12M M ,2AM 成等比数列,求p 的值. [选修4-5:不等式选讲]23.若函数()2f x x x c =-+,满足1x a -<.(Ⅰ)若()1,1x ∈-,不等式1x a -<恒成立,求实数a 的取值范围构成的集合;(Ⅱ)求证:()()22f x f a a -<+.。
四川成都七中2017届高三10月阶段性测试理数试题第Ⅰ卷(共60分)一、选择题:本大题共12个小题,每小题5分,共60分.在每小题给出的四个选项中,只有一项 是符合题目要求的.1.设集合2{|10}A x x =->,2{|log 0}B x x =>,则AB =( )A .{|1}x x >B .{|0}x x >C .{|1}x x <-D .{|11}x x x <->或 【答案】A 【解析】试题分析:1{>=x x A 或}1-<x ,{}1>=x x B ,{}1>=x x B A ,故选A. 考点:集合的运算 2.已知21zi i=++,则复数z =( ) A .13i -+ B .13i - C .13i -- D .13i + 【答案】B考点:复数的运算3.设曲线21y x =+及直线2y =所围成的封闭图形为区域D ,不等式组1102x y -≤≤⎧⎨≤≤⎩所确定的区域为E ,在区域E 内随机取一点,该点恰好在区域D 的概率为( ) A .15 B .14 C .13 D .12【答案】C 【解析】试题分析:⎩⎨⎧=+=212y x y ,解得1±=x ,所以区域D 的面积()⎰-=+-⨯=11234122dx x ,而不等式组1102x y -≤≤⎧⎨≤≤⎩所确定的区域为E ,面积为422=⨯,该点恰好在区域D 的概率为31434==P ,故选C. 考点:几何概型4.若随机变量X 服从正态分布(5,1)N ,则(67)P X <<=( ) A .0.1359 B .0.3413 C .0.4472 D .1 【答案】A 【解析】试题分析:15==σμ,,而σμ+=+=156,σ251257+=⨯+=,所以()()()1359.026826.09544.022276=-=+<<--+<<-=<<σμσμσμσμX P X P X P ,故选A.考点:正态分布5.已知函数43232()(2037)(23)()f x x x x x k x x kx x k =+++++++,在0处的导数为27,则k =( ) A .-27 B .27 C .-3 D .3 【答案】D考点:导数6.下表是降耗技术改造后生产甲产品过程中记录的产量x (吨)与相应的生产能耗y (吨标准煤)的几组对应数据,根据表中提供的数据,求出y 关于x 的线性回归方程^0.70.35y x =+,那么表中m 的值为?( )A .4B .3.5C .3D .4.5【解析】试题分析:样本中心点()y x ,必在回归直线上,2946543=+++=x ,41145.445.2+=+++=m m y ,代入回归直线方程,35.0297.0411+⨯=+m ,解得:3=m ,故选C. 考点:回归直线方程7.化简112211222(1)2n n n n n n n n C C C -----⨯+⨯++-⨯=( )A .1B .(1)n -C .1(1)n +-D .1(1)n -- 【答案】D考点:二项式定理8.已知在ABC ∆中,90ACB ∠=,3BC =,4AC =,P 是AB 上的点,则P 到,AC BC 的距离的乘积的最大值为( )A .3B .2CD .9 【答案】A 【解析】试题分析:设点P 到直线BC 的距离为x ,点P 到直线AC 的距离为y ,那么AB PB x =4,ABPAy =3,两式相加可得134=+y x ,那么122341xy y x ≥+=,那么整理为3≤xy ,等号成立的条件为2134==y x ,即23,2==y x ,故选A. 考点:基本不等式9.已知ABC ∆的内角,,A B C 所对的边分别为,,a b c ,若3cos 2cos a C c A =,1tan 3A =,则角B 的度数为( )A .120B .135C .60D .45【解析】试题分析:根据正弦定理可得C A A C C A tan 2tan 3cos sin 2cos sin 3=⇔=,已知31tan =A ,那么21tan =C ,根据0180=++C B A ,可得()1213112131tan tan 1tan tan tan tan -=⨯-+-=-+-=+-=C A C A C A B ,所以0135=B ,故选B.考点:1.正弦定理;2.两角和的正切公式.10.如果某射手每次射击击中目标的概率为0.74,每次射击的结果相互独立,那么他在10次射击中,最有可能击中目标儿几次( ) A .6 B .7 C .8 D .9 【答案】C考点:1.独立重复事件的概率;2.阶乘公式计算.【计算点睛】本题考查了二项式定理中系数最值的问题,如果设最可能击中目标n 次,那么发生击中目标n 次的概率大于等于击中目标1+n 次的概率,也大于等于击中目标1-n 次的概率,列出不等式组,解这样的不等式涉及组合数公式,一定要使用阶乘公式,例如()!10!!1010n n C n-=,()!9!1(!10110n n C n -+=+),()!11!1-(!101-10n n C n -=),这样在消去相同量,比较好解不等式.11.函数()f x 的定义域为R ,以下命题正确的是( )①同一坐标系中,函数(1)y f x =-与函数(1)y f x =-的图象关于直线1x =对称; ②函数()f x 的图象既关于点3(,0)4-成中心对称,对于任意x ,又有3()()2f x f x +=-,则()f x 的图象关于直线32x =对称; ③函数()f x 对于任意x ,满足关系式(2)(4)f x f x +=--+,则函数(3)y f x =+是奇函数. A .①② B .①③ C .②③ D .①②③ 【答案】D考点:抽象函数的性质【方法点睛】本题考查了复合函数的函数性质问题,属于中档题型,若对于函数在定义域内的任一自变量的值x ,都有①()()x a f b x f --=22则函数关于点(b a ,)成中心对称,②()()x a f x f -=2,则函数的图像关于直线a x =对称,③函数()x f y =的图像与函数()x a f b y --=22的图像关于点),(b a 对称,④函数()x f y =的图像与函数()x a f y -=2的图像关于a x =对称;函数的对称性与函数周期性的关系:①若函数由两条对称轴b x a x ==,,则函数是周期函数且周期b a T -=2,②若函数由两个对称中心()()0,,0,b B a A ,则函数是周期函数,且周期b a T -=2,③若函数由一个对称中心()0,a A ,和一条对称轴b x =,则函数是周期函数,且周期b a T -=4.12.定义域为(0,)+∞的连续可导函数()f x ,若满足以下两个条件:①()f x 的导函数'()y f x =没有零点,②对(0,)x ∀∈+∞,都有12(()log )3f f x x +=.则关于x 方程()2f x =+有( )个解.A .2B .1C .0D .以上答案均不正确 【答案】A 【解析】试题分析:设()t x x f =+21log ,那么()x t x f 21log -=,而()3=t f ,所以3log 21=-t t ,解得2=t ,所以()x x x f 221log 2log 2+=-=,那么方程()x x x x x f 22log log 22=⇔+⇔+=,解得:4=x 或16=x ,根据两个函数的增长类型,以后不会有交点了,左右有2个解,故选A. 考点:函数的零点【思路点睛】本题考查了函数的零点问题,属于中档题型,方程实根的问题可以转化为函数图像的交点问题,所以本题的难点是如何求函数解析式,条件为12(()log )3f f x x +=,对于这种形式,都要换元,学会以上过程使方程简单化,同时求解函数的解析式.第Ⅱ卷(共90分)二、填空题(每题5分,满分20分,将答案填在答题纸上)13.已知(1)nx +的二项式展开式中第4项和第8项的二项式系数相等,则n = . 【答案】10考点:1.二项式系数;2.组合数性质.14.已知函数()()xxf x x e e -=-,若(3)(2)f a f a +>,则a 的范围是 . 【答案】31<<-a 【解析】试题分析:函数的定义域为R,()()()()()x f e e x e ex x f x x x x=-=--=---,所以函数是偶函数,并且当0>x 时,()()()0>++-='--x x x x e e x e e x f ,函数在区间()∞+,0是单调递增函数,那么不等式()()()()a f a f a f a f 2323>+⇔>+,即()224323a a a a >+⇔>+,解得:31<<-a ,故填:31<<-a .考点:函数性质15.设l 为平面上过点(0,1)的直线,l的斜率等可能的取-,用ξ表示坐标原点到l 的距离,则随机变量ξ的数学期望E ξ= . 【答案】47考点:离散型随机变量的分布列和数学期望【方法点睛】离散型随机变量分布列的性质:(1)),......3,2,1(0n i P i =≥;(2)11=∑=ni iP;(3)()j i i j i p p p x X x P +++=≤≤+......1.期望n n p x p x p x EX +++=......2211,反映了离散型随机变量的平均水平,方差()∑=-=ni i ip EX xDX 12,刻画了离散型随机变量与均值的平均偏离程度.16.已知三次函数3()(0)f x ax bx a =+>,下列命题正确的是 . ①函数()f x 关于原点(0,0)中心对称;②以(,())A A A x f x ,(,())B B B x f x 两不同的点为切点作两条互相平行的切线,分别与()f x 交于,C D 两点,则这四个点的横坐标满足关系():():()1:2:1C B A A D x xB x x x x ---=;③以00(,())A x f x 为切点,作切线与()f x 图像交于点B ,再以点B 为切点作直线与()f x 图像交于点C ,再以点C 作切点作直线与()f x 图像交于点D ,则D 点横坐标为06x -;④若b =-()f x 图像上存在四点,,,A B C D ,使得以它们为顶点的四边形有且仅有一个正方形. 【答案】①②④【解析】试题分析:①函数满足()()x f x f -=-是奇函数,所以关于原点(0,0)成中心对称,正确;②因为()b ax x f +='23,根据切线平行,得到()()B A x f x f '=',所以B A x x -=,根据①可知,()()B A x f x f -=,以点A 为切点的切线方程为()()()A A A Ax x b ax bx axy -+=+-233,整理得:()A A ax x b ax y 3223-+=,该切线方程与函数()bx ax x f +=3联立可得,()()022=-+A A x x x x ,所以A C x x 2-=,同理:B D x x 2-=,又因为B A x x -=,代入关系式可得():():()1:2:1C B A A D x xB x x x x ---=,正确;③由②可知,以00(,())A x f x 为切点,作切线与()f x 图像交于点B ,再以点B 为切点作直线与()f x 图像交于点C ,再以点C 作切点作直线与()f x 图像交于点D ,此时满足02x x B -=,B C x x 2-=,C D x x 2-=, 所以08x x D -=,所以③错误;④当函数为()x ax x f 223-=,设正方形ABCD 的对角线AC 所在的直线方程为()0≠=k kx y ,设正方形ABCD 的对角线BD 所在的直线方程为()01≠-=k x k y ,⎩⎨⎧-==xax y kx y 223,解得:a k x 222+=,所以()()ak k x k y x AO 2211222222++=+=+=,同理:a k k k a k k BO 2211221112222-⋅+-=+-⎥⎥⎦⎤⎢⎢⎣⎡⎪⎭⎫ ⎝⎛-+=,因为22BO AO = 所以222122k k k --=+012210221222223=⎪⎭⎫ ⎝⎛-+⎪⎭⎫ ⎝⎛+⇔=-++⇔k k k k k k k0212212=+⎪⎭⎫ ⎝⎛-+⎪⎭⎫ ⎝⎛-⇔k k k k ,设k k t 1-=,即02222=++t t ,()08222=-=∆,当2-=t 时,21-=-kk ,等价于0122=-+k k ,解得262+-=k ,2621+-=-k 或262+-=k ,262-1+=-k ,所以正方形唯一确定,故正确选项为①②④. 【难点点睛】本题的难点是②和④,计算量都比较大,②的难点是过点A 的切线方程与函数方程联立,得到交点C 的坐标,这个求交点的过程需要计算能力比较好才可以求解出结果;④的难点是需根据正方形的几何关系,转化为代数运算,这种化归与转化会让很多同学感觉无从下手,同时运算量也比较大,稍有疏忽,就会出错,所以平时训练时,带参数的化简需所练习. 考点:1.函数的性质;2.导数的几何意义;3.函数中的几何问题.三、解答题 (本大题共6小题,共70分.解答应写出文字说明、证明过程或演算步骤.)17.(本小题满分12分)等差数列{}n a 的前n 项和为n S ,已知110a =,2a 为整数,且3[3,5]a ∈. (1)求{}n a 的通项公式; (2)设11n n n b a a +=,求数列{}n b 的前n 项和n T 的最大值. 【答案】(1)133n a n =-;(2)310.试题解析:(1)由110a =,2a 为整数知,34a =,{}n a 的通项公式为133n a n =-. (2)1111()(133)(103)3103133n b n n n n==-----,于是121111111[()()()]371047103133n n T b b b n n=+++=-+-++--- 111()31031010(103)nn n =-=--. 结合1103y x =-的图象,以及定义域只能取正整数,所以3n =的时候取最大值310.考点:1.等差数列;2.裂项相消法求和.【方法点睛】重点说说数列求和的一些方法:(1)分组转化法,n n n b a c +=,而数列n n b a ,可以直接求和,那就用分钟转化法求和,举例n n n c 2+=;(2)裂项相消法,能够将数列列为()()n f n f -+1的形式,再用累加法求和,举例()11111+-=+=n n n n a n ,n n nn a n -+=++=111,或是()!!1!n n n n a n -+=⋅=;(3)错位相加法,n n n b a c ⋅=,而{}n a 是等差数列,{}n b 是等比数列,适用于错位相减法求和,举例nn n a 212-=;(4)倒序相加法,n n a a a a S ++++=......321,而11......a a a S n n n +++=-,两个式子相加得到一个常数列,即可求得数列的和,举例()244+=xxx f ,满足()()11=-+x f x f ;(6)其他方法. 18.(本小题满分12分)四棱锥A BCDE -中,底面BCDE 为矩形,侧面ABC ⊥底面BCDE ,2BC =,CD =AB AC =.(1)证明:AD CE ⊥;(2)设CE 与平面ABE 所成的角为45,求二面角C AD E --的余弦值的大小.【答案】(1)详见解析;(2)1010-. 【解析】试题分析:(1)一般几何法证明线线垂直,可转化为证明线面垂直,则线线垂直的思路,根据侧面ABC 是等腰三角形,并且平面⊥ABC 平面BCDE ,所以取BC 中点F ,连接DF AF ,,易证AF CE ⊥,在矩形BCDE 内,根据平面几何的知识证明DF CE ⊥,这样⊥CE 平面AFD ,就有AD CE ⊥;(2)根据(1)的结果AD CE ⊥,所以只需过C 点作AD 的垂线,垂直为G ,这样AD CG ⊥,连接GE ,可得CGE ∠为二面角的平面角,根据余弦定理求角的余弦值.(2)在面ACD 内过C 点作AD 的垂线,垂直为G .∵CG AD ⊥,CE AD ⊥,∴AD ⊥面CEG ,∴EG AD ⊥,则CGE ∠即为所求二面角的平面角.AC CD CG AD ∙==DG =,EG ==CE =222cos 2CG GE CE CGE CG GE +-∠==∙考点:1.垂直关系;2.二面角.【方法点睛】本题重点说说求二面角的一些方法:(1)利用线面关系做角,由平面内一点向另一个平面引垂线,再由这点或垂足向交线引垂线,最后连接交线的垂足与这点或两个垂足,这样构造二面角,这样做图的关键是做面的垂线,一般可借助面面垂直;(2)向量法:求两个平面的法向量1n 和2n,根据><21,cos n n θcos =或><21,cos n n )(θπ-cos =求解;或是若有AB 和CD 是两个平面内与棱垂直的异面直线,则二面角的大小就是与的夹角或其补角.19.(本小题满分12分)调查表明,高三学生的幸福感与成绩,作业量,人际关系的满意度的指标有极强的相关性,现将这三项的满意度指标分别记为,,x y z ,并对它们进行量化:0表示不满意,1表示基本满意,2表示满意.再用综合指标w x y z =++的值评定高三学生的幸福感等级:若4w ≥,则幸福感为一级;若23w ≤≤,则幸福感为二级;若01w ≤≤,则幸福感为三级. 为了了解目前某高三学生群体的幸福感情况,研究人员随机采访了该群体的10名高三学生,得到如下结果:(1)在这10名被采访者中任取两人,求这两人的成绩满意度指标x 相同的概率;(2)从幸福感等级是一级的被采访者中任取一人,其综合指标为a ,从幸福感等级不是一级的被采访者中任取一人,其综合指标为b ,记随机变量X a b =-,求X 的分布列及其数学期望.【答案】(1)4522=P ;(2)详见解析.试题解析:(1)设事件:A 这10名被采访者中任取两人,这两人的成绩满意度指标x 相同成绩满意度指标为0的有:1人成绩满意度指标为1的有:7人成绩满意度指标为2的有:2人 则227221022()45C C P A C +==. 考点:1.古典概型;2.离散型随机变量的分布列和数形期望.20.(本小题满分12分) 已知椭圆2222:1(0)x y C a b a b +=>>(1,0)M 为圆心,椭圆的短半轴长为半径的圆与直线10x y -+-=相切.(1)求椭圆C 的标准方程;(2)已知点(3,2)N ,和面内一点(,)(3)P m n m ≠,过点M 任作直线l 与椭圆C 相交于,A B 两点,设直线,,AN NP BN 的斜率分别为123,,k k k ,若1322k k k +=,试求,m n 满足的关系式.【答案】(1) 2213x y +=;(2)10m n --=. 【解析】试题分析:(1)36=a c ,并且()2221b y x =+-与直线10x y -+-=相切,那么圆心到直线的距离b r d ==,再根据222c b a +=,计算22,b a 得到椭圆的标准方程;(2)当斜率不存在时,求出A,B 两点的坐标,分别计算321,,k k k ,代入公式1322k k k +=,得到n m ,的关系式,当斜率存在时,设出直线方程,与椭圆方程联立,得到根与系数的关系,并且表示31k k +,当满足1322k k k +=,得到n m ,的关系式.试题解析:(1)2213x y +=考点:1.椭圆的标准方程;2.直线与椭圆的位置关系.21.(本小题满分12分)已知函数2()2ln f x x x mx =--.(1)当0m =时,求函数()f x 的最大值;(2)函数()f x 与x 轴交于两点12(,0),(,0)A x B x 且120x x <<,证明:'1212()033f x x +<. 【答案】(1) 函数的最大值为-1;(2)详见解析.试题解析:(1)当0m =时,2()2ln f x x x =-,求导得'2(1)(1)()x x f x x+-=,很据定义域,容易得到在1x =处取得最大值,得到函数的最大值为-1. (2)根据条件得到21112ln 0x x mx --=,22222ln 0x x mx --=,两式相减得221212122(ln ln )()()x x x x m x x ---=-, 得221212121212122(ln ln )()2(ln ln )()x x x x x x m x x x x x x ----==-+-- 因为'2()2f x x m x=-- 得'1212121212122(ln ln )12212()2()()12333333x x f x x x x x x x x x x -+=-+-++-+ 121212122(ln ln )21()12333x x x x x x x x -=-+--+ 因为120x x <<,所以121()03x x -<,要证'1212()033f x x +< 即证1212122(ln ln )201233x x x x x x --<-+即证1212122()2(ln ln )01233x x x x x x --->+,即证2112212(1)2ln 01233x x x x x x -->+ 设12x t x =(01)t <<,原式即证2(1)2ln 01233t t t -->+,即证6(1)2ln 012t t t -->+ 构造9()32ln 12g t t t =-+-+求导很容易发现为负,()g t 单调减,所以()(1)0g t g >=得证 考点:1.导数与函数的单调性,最值;2.导数与不等式的证明.请考生在22、23两题中任选一题作答,如果多做,则按所做的第一题记分.22.(本小题满分10分)选修4-4:坐标系与参数方程在直角坐标系xOy 中,曲线1C 的参数方程为cos 1sin x a t y a t =⎧⎨=+⎩(t 为参数,0a >),在以坐标原点为极点,x 轴正半轴为极轴的极坐标系中,曲线2:4cos C ρθ=.(1)求曲线1C 的普通方程,并将1C 的方程化为极坐标方程;(2)直线3C 的极坐标方程为0θα=,其中0α满足0tan 2α=,若曲线1C 与2C 的公共点都在3C 上,求a .【答案】(1) 1C 的普通方程222(1)x y a +-=,1C 的极坐标方程222sin 10a ρρθ-+-=;(2)1=a .(2)曲线12,C C 的公共点的极坐标满足方程组222sin 104cos a ρρθρθ⎧-+-=⎨=⎩,若0ρ≠,由方程组得2216cos 8sin cos 10a θθθ-+-=,由已知tan 2θ=,可解得210a -=,根据0a >,得到1a =,当1a =时,极点也为12,C C 的公共点,在3C 上,所以1a =.考点:1.参数方程与普通方程以及极坐标方程的互化;(2)极坐标方程的综合应用.23.(本小题满分10分)选修4-5:不等式选讲已知函数()|1|2||,0f x x x a a =+-->.(1)当1a =时,求不等式()1f x >的解集;(2)若()f x 的图象与x 轴围成的三角形面积大于6,求a 的取值范围.【答案】(1)2{|2}3x x <<;(2)(2,)+∞. 【解析】试题分析:(1)利用零点分段法去绝对值,并解不等式;(2)同样根据零点分段法去绝对值,得到与x 轴的两个交点,以及构成三角形的另外一个点的坐标,根据三角形的面积大于6,得到a 的取值范围. 试题解析:(1)当1a =时,不等式化为|1|2|1|10x x +--->当1x ≤-,不等式化为40x ->,无解;当11x -<<,不等式化为320x ->,解得213x <<; 当1x ≥,不等式化为20x -+>,解得12x ≤<;综上,不等式()1f x >的解集为2{|2}3x x <<.考点:零点分段法:。
成都七中高2023届第9周数学考试(理科)一、选择题:本题共12小题,每小题5分,共60分。
在每小题只有一项是符合题目要求的。
1.已知全集R =U ,集合=−−>A x x x 2302}{,Z ==∈B x x k k 2,}{,则⋂=A B U )(( ) A .{2} B .{0,2} C .{0,2,4} D .−{1,0,1,2,3}2.已知复数=+⋅z cos6i sin6,现有如下命题: ①=z 1;②复数z 的虚部为负数;③⋅i z>sin 6.则正确命题的个数为( )A .3B .2C .1D .03.已知直线l ⊥平面α,直线m//平面β,则“α//β”是“l ⊥m ”的( )A. 必要不充分条件 充分不必要条件 C. 充要条件 D. 既非充分也非必要条件4.如右图所示是函数f x )(的图象,则函数f x )(的解析式可以为( )A .+x x e lnB .+−x x e e 2C .+x x 12D .+x x 12 5.设D 为ABC 所在平面内一点,=BC CD 3,若=+λμAD AB AC ,则−=μλ( )A .−35B .−21C .21D .356.若⎝⎭⎪∈−⎛⎫α44,ππ,⎝⎭ ⎪=+⎛⎫αα84cos 2sin π3,则⎝⎭ ⎪+=⎛⎫α4cos π( ) AB.8 C .163 D .85 7.八角星纹是一种有八个向外突出的锐角的几何纹样(如图1),它由八个均等的向外伸展的锐角组成的对称多边形纹样,具有组合性强、结构稳定等特点.有的八角星纹中间镂空出一个正方形,有的由八个菱形组成,内部呈现米字形线条.八角星纹目前仍流行在中国南方的挑花和织锦中.在图2所示的八角星纹中,各个最小的三角形均为全等的等腰直角三角形,中间的四边形是边长为2的正方形,在图2的基础上连接线段,得到角α,β,如图3所示,则+=αβ( )A .30°B .45°C .60°D .75°三、解答题:共70分.解答应写出文字说明、证明过程或演算步骤.17. 如图,△ABC 中,角A ,B ,C 的对边分别为a ,b ,c ,且−=a c b C 22cos .(1)求角B 的大小;(2)已知=b 3,若D 为△ABC 外接圆劣弧AC 上一点,求AD +DC 的最大值.18. 脂肪含量(单位:%)指的是脂肪重量占人体总重量的比例.某运动生理学家在对某项健身活动参与人群的脂肪含量调查中,采用样本量比例分配的分层随机抽样,如果不知道样本数据,只知道抽取了男性120位,其平均数和方差分别为14和6,抽取了女性90位,其平均数和方差分别为21和17.(1)计算出总样本的均值,并对该项健身活动的全体参与者的脂肪含量的均值μ作出估计.(2)设m 个数据x 1, x 2, …, x m 的平均数为x ,方差s x 2 =∑−=m x x i i m 112)(;n 个数据y 1, y 2, …, y n 的平均数为y ,s y 2 =∑−=n y y i i n112)(;将两组数据合并得到m + n 个数据x 1, x 2, …, x m , y 1, y 2, …, y n . 易知,这m + n 个数据的平均数为+=+m nz mx ny . (i)求证:这m + n 个数据的方差为++=++−m n m n s ms nsmn x y x y 22222)()(. 并由此公式估算问题中总样本的方差(结果保留到整数),并对该项健身活动的全体参与者的脂肪含量的方差σ2作出估计..(ii)假设全体参与者的脂肪含量为随机变量X ,且X ~ N (μ, σ2),其中μ、σ2分别为(1)中以及(2)问(i )中的估位,求3位参与者的脂肪含量均小于12.2%的概率.附:若随机变量X 服从正态分布N (μ, σ2),则P (μ – σ ≤ X ≤ μ + σ) ≈ 0.6827,P (μ – 2σ ≤ X ≤ μ + 2σ) ≈ 0.9545,可能用的数据:≈ 3.3,0.31733 ≈ 0.032,0.158653 ≈ 0.004,0.04553 ≈ 9.4×10–5.0.022753 ≈ 1.2×10–5.19.如图,在四棱锥P-ABCD 中,底面ABCD 是边长为2的菱形,∠ADC=60°,△PAD 为等边三角形,O 为AD 的中点,且平面PAD ⊥平面ABCD , M 是PC 上的点.(1)求证:OM ⊥BC ;(2)若直线AM 与平面PAB 所成角的正弦值为√1010,求四棱锥M-ABCD 的体积.20. 已知椭圆+=>>a bC a b x y :1(0)2222的左焦点为F 1,点P 在C 上,|PF 1|1,且当PF 1垂直于长轴时,=PF 1 (1)求C 的方程;(2)已知点⎝⎭⎛D O 2,为坐标原点,与OD 平行的直线l 交C 于A 、B 两点,且直线DA 、DB 分别与x 轴的正半轴交于E 、F 两点,试探究 |OE | + |OF | 是否为定值.若是,求出该定值;若不是,说明理由.21.在高等数学中,我们将=y f x )(在=x x 0处可以用一个多项式函数近似表示,具体形式为:=+'−+−+⋅⋅⋅+−+⋅⋅⋅''n f x f x f x x x x x x x f x f x n n 2!!00000002)()()()()()()()()(,其中f x n )()(表示f x )(的n 次导数,以上公式我们称为函数f x )(在=x x 0处的泰勒展开式.例如,如果我们要找到f (x ) = sin x 在x = 0处的泰勒展开式,可以列出下表:根据公式表达式,可以得到:−=−+++−+−−n x x x x x n n 3!5!(21)!sin 11(1)35211.(1)分别求e x ,cos x 在x = 0处的泰勒展开式; (2)若∀x > 0,>−x x kx sin 3,试推测k 的最小值,并证明;(3)若⎝⎭⎪∀∈⎛⎫x 20,3,>+x a x e 1sin 恒成立,求a 的范围.(参考数据≈2ln 0.95)选考题:共10分.请考生在第22、23题中任选一题作答.如果多做,则按所做的第一题计分.22.[选修4-4:坐标系与参数方程](10分)在平面直角坐标系xOy 中,已知直线l 的方程为−+x y 20,曲线C 的参数方程为⎩=⎨=−⎧ααααy x sin cos ,cos sin ,22(α为参数且⎣⎦⎢⎥∈⎡⎤α20,π),以坐标原点O 为极点,x 轴的正半轴为极轴建立极坐标系. (1)求曲线C 的极坐标方程;(2)若已知射线=≥θβρ0)(,其中∈βπ0,)(且=−β2tan 1与曲线C 交于点M ,与直线l 交于点N ,求MN 的长. 23.[选修4-5:不等式选讲](10分)在平面直角坐标系xOy 中,将从点M 出发沿平行于坐标轴方向到达点N 的任意路径称为M 到N 的一条L 路径.如图所示的路径MM M M N 123与路径MN N 1都是M 到N 的“L 路径”.某地有三个新建的居民区,分别位于平面xOy 内的三点A 3,20)(,−B 10,0)(,C 14,0)(处.现计划在x 轴上方区域(包含x 轴)内的某一点P x y ,)(处修建一个文化中心.(1)写出点P 到居民区A 的L 路径长度最小值的表达式(不用证明);(2)请确定点P 的位置,使其到三个居民区的L 路径长度之和最小.。
成都七中高2017届高三下期第9周测试数学试卷(理科)命题人:周建波审题人:张世永满分150分 120分钟完卷一、选择题(5×12=60′)1. 集合{}2|230M x x x =--≥,{}|21N x x =-≤,则R M N ⋂=ð( )A. {}|10x x -<≤B. {}|03x x <<C. {}|13x x ≤<D. {}|03x x <≤2. 复数22(1)1i i +++的模长为( )A.B.C.D. 3. 圆22:(2)(1)4C x y -+-=关于直线:10l x y -+=对称的圆C '的方程为( ) A. 22(1)(2)4x y -+-=B. 22(1)(2)4x y +++=C. 22(3)4x y +-=D. 22(3)4x y ++=4. 函数()sin()3f x x πω=+的图象与x 轴的交点横坐标构成了一个公差为4π的等差数列,若要得到()cos()3g x x πω=+的图象,可将()f x 的图象( )A. 向左平移8π个单位 B. 向右平移8π个单位 C.向左平移2π个单位 D. 向右平移2π个单位 5. 下列选项中,说法正确的是( )A.命题“20000,0x x x ∃<-<”的否定为“20,0x x x ∀≥-≥”B.在等腰ABC ∆中,23A π∠=,BC =,则ABC ∆的外接圆半径等于2C.若A O B '''∆是水平放置面积为4的AOB ∆的直观图,则A O B '''∆D.向量(1,1)a =- 在向量(1,0)i =上的投影等于16. 执行如图所示的程序框图,若输出的结果是6,则判断框内m 的取值范围是( ) A. (30,42] B. (20,30) C. (20,30] D. (20,42)7. 已知函数()cos(2)3f x x π=+,()f x '是()f x 的导函数,则函数()2()()g x f x f x '=+的一个单调递减区间是( ) A. 75,1212ππ⎡⎤-⎢⎥⎣⎦B. 517,1212ππ⎡⎤⎢⎥⎣⎦C. 75,2424ππ⎡⎤-⎢⎥⎣⎦D. 517,2424ππ⎡⎤⎢⎥⎣⎦8. 从方程{}22:1(,1,2,3)x y C m n m n-=∈-所表示的圆锥曲线(椭圆、双曲线、抛物线)方程中任取两个,记“两个方程都是双曲线”为事件A ,“两个方程都是焦点在x 轴上的双曲线”为事件B ,则(|)P B A =( ) A.45 B. 35C.47 D.379. 在平面直角坐标系中,不等式组22200x y x y x y r ⎧+≤⎪-≤⎨⎪+≤⎩表示的平面区域Ω的面积为π,若(,)P x y 是Ω内任意一点,那么3x yx ++的最小值为( )A.17--B. 87--C.95--D. 45-- 10. 已知直线l 的方向向量(4,4)ν=-,与y 轴的交点为(0,4)-,若M ,N 是直线l 上两个动点,且4MN =,则OM ON ⋅的最小值为( )A. 4B. C.52D.3211. 已知双曲线2222:1(,0)y x a b a b Γ-=>的焦点为1F ,2F ,过下焦点1F 且垂直于实轴的直线交Γ的下支于M ,N 两点,2MF ,2NF 分别交虚轴所在直线于S ,T 两点,若2SF T ∆的周长为20,则ab 取得最大值时该双曲线的离心率为( ) A.32B.C.3D.312. 设函数310,0(),0x x f x x x ⎧≥⎪=⎨-<⎪⎩,若()(())(0)g x f f x a a =->有两个不同的零点1x ,2x ,则121010x x⋅的最大值为( )A. 3310lg eeB. 3327lg e eC. 2210ln 2eD. 2227ln 2e二、填空题(5×4=20′)13. 已知离散型随机变量2105B ξ⎛⎫ ⎪⎝⎭~,,且=49ηξ-,则()=E η___________;14. 某几何体的三视图如图所示,则该几何体的体积是_________;15. 若()33a x x dx -=+⎰,则在a的展开式中,有理项为___________;16.《九章算术》作为中国古代第一部数学专著,是《算经十书》中最重要的一种,成书于东汉年间,作者已不可考,当世流行的版本多为《海岛算经》的作者、三国时期魏国刘徽为其所作的注本.在此书第五章“商功”篇里,提及了一种称之为“鳖臑(biē nào )”的空间几何体,用现代白话文翻译过来即“四个面都为直角三角形的三棱锥” .在鳖臑P ABC -中,已知PA ⊥平面ABC ,AB BC ⊥,3PA =,4AC =,过点A 分别作AE PB ⊥于E ,AF PC ⊥于F ,连接EF ,当AEF ∆的面积最大时,BPC ∠的正切值为___________.三、解答题(12×5+10×1=70′)17. 已知数列{}n a 满足()113,31.2n n a a a n N *+==-∈ (1)若数列{}n b 满足12n n b a =-,求证:{}n b 是等比数列;(2)若数列{}n c 满足312log ,n n n n c a T c c c ==+++ ,求证:()1.2n n n T ->18. 某公司为了解广告投入对销售收益的影响,在若干地区各投入万元广告费用,并将各地的销售收益绘制成频率分布直方图(如图所示).由于工作人员操作失误,横轴的数据丢失,但可以确定横轴是从开始计数的.(1)根据频率分布直方图计算图中各小长方形的宽度; (2)估计该公司投入万元广告费用之后,对应销售收益的平均值(以各组的区间中点值代表该组的取值);(3)该公司按照类似的研究方法,测得另外一些数据,并整理得到下表:y 关于x 的回归方程.回归直线的斜率和截距的最小二乘估计公式分别为x b y a xn xy x n yx b ni ini ii ∧∧==∧-=--=∑∑,1221.19. 如图,三棱柱ABC DEF -中,侧面ABED 是边长为2的菱形,且,32ABE BC π∠==.四棱锥F ABED -的体积为2,点F 在平面ABED 内的正投影为G ,且G 在AE 上,点M 是在线段CF 上,且14CM CF =. (1)证明:直线//GM 平面DEF ; (2)求二面角M AB F --的余弦值.20. 设椭圆2211612x y +=上三个点M N 、和T ,且M N 、在直线8x =上的射影分别为11,M N . (1)若直线MN 过原点O ,直线MT NT 、斜率分别为12,k k ,求证:12k k ⋅为定值;(2)若M N 、不是椭圆长轴的端点,点L 坐标为()3,0,11M N L ∆与MNL ∆面积之比为5,求MN 中点K 的轨迹方程.21. 已知函数()()()()ln 1,11xf x m xg x x x =+=>-+. (1)讨论函数()()()F x f x g x =-在()1,-+∞上的单调性;(2)若()y f x =与()y g x =的图象有且仅有一条公切线,试求实数m 的值.请考生在22、23两题中任选一题作答,如果多做,则按所做的第一题记分. 22. 选修4-4:坐标系与参数方程在平面直角坐标系xOy 中,曲线C 的参数方程为cos sin x a a y a αα=+⎧⎨=⎩(0,a α>为参数).以O 为极点,x 轴的正半轴为极轴,建立极坐标系,直线l 的极坐标方程3cos 32πρθ⎛⎫-= ⎪⎝⎭.(1)若曲线C 与l 只有一个公共点,求a 的值; (2),A B 为曲线C 上的两点,且3AOB π∠=,求OAB ∆的面积最大值.23. 选修4-5:不等式选讲设函数()121f x x x =--+的最大值为m . (1)作出函数()f x 的图象;(2)若22223a c b m ++=,求2ab bc +的最大值.成都七中高2017届高三下期第9周测试数学试卷(理科)参考答案及评分意见17. 解:(1) 由题可知*1113()()22N +-=-∈n n a a n ,从而有13+=n n b b ,11112=-=b a , 所以{}n b 是以1为首项,3为公比的等比数列. ……………………………………………………………5分(2) 由(1)知13-=n n b ,从而1132-=+n n a ,11331log (3)log 312--=+>=-n n n c n , 有12(1)01212-=+++>+++-= n n n n T c c c n ,所以(1)2->n n n T . ………………………………………………………………………………………12分18. 解:(1) 设各小长方形的宽度为m ,由频率分布直方图各小长方形面积总和为1,可知(0.080.10.140.120.040.02)0.51m m +++++⋅==,故2m =;……………………………………4分 (2) 由(1)知各小组依次是[0,2),[2,4),[4,6),[6,8),[8,10),[10,12],其中点分别为1,3,5,7,9,11,对应的频率分别为0.16,0.20,0.28,0.24,0.08,0.04,故可估计平均值为10.1630.250.2870.2490.08110.045⨯+⨯+⨯+⨯+⨯+⨯=;…………………8分 (3) 空白栏中填5. 由题意可知,1234535x ++++==,232573.85y ++++==,51122332455769i ii x y==⨯+⨯+⨯+⨯+⨯=∑,522222211234555i i x ==++++=∑,根据公式,可求得26953 3.812 1.2555310b-⨯⨯===-⨯ , 3.8 1.230.2a =-⨯=, 即回归直线的方程为 1.20.2y x =+. ………………………………………………………………………12分 19. 解:(1)解:因为四棱锥F ABED -的体积为2,即14223F ABED V FG -=⨯⨯=,所以FG =又2BC EF ==,所以32EG =即点G 是靠近点A 的四等分点,过点G 作//GK AD 交DE 于点K ,所以3344GK AD CF ==,又34MF CF =,所以MF GK =且//MF GK ,所以四边形MFKG 为平行四边形,所以//GM FK ,所以直线//GM 平面DEF .…………………………………………………………6分(2)设,A E B D 的交点为O ,OB 所在直线为x 轴,OE 所在直线为y 轴,过点O 作平面ABED 的垂线为z 轴,建立空间直角坐标系,如图所示:())150,1,0,,0,,244A BF M ⎛⎛--- ⎝⎝()511,0,,442BA BM BF ⎛⎛=-=--=- ⎝⎝ 设平面,ABM ABF 的法向量为,m n, 00m BA m BM ⎧⋅=⎪⎨⋅=⎪⎩,则()1,1m =- , 00n B A n B F ⎧⋅=⎪⎨⋅=⎪⎩,则11,2n ⎛⎫= ⎪⎝⎭∴cos ,m n m n m n ⋅<>==⋅,∴二面角M AB F --.…………………………12分20. 解:(1)设()()()00,,,,,M p q N p q T x y --,则22012220y q k k x p-⋅=-, 又2222001161211612p q x y ⎧+=⎪⎪⎨⎪+=⎪⎩两式相减得22220001612x p y q --+=,即22022034y q x p -=--,1234k k =-.………………4分 (2)设直线MN 与x 轴相交于点()1,0,32MNL M N R r S r y y ∆=-⋅-,1111152M N L M N S y y ∆=⋅⋅-,由于115M N L MNL S S ∆∆=且11M N M N y y y y -=-,得1111553,22M N M N y y r y y ⋅⋅-=⋅-⋅-则2r =或4r =(舍去). 即直线MN 经过点()2,0F .设()()()112200,,,,,M x y N x y K x y ,① 直线MN 垂直于x 轴时,弦MN 中点为()2,0F ;② 直线MN 与x 轴不垂直时,设MN 的方程为()2y k x =-,则()()222222134161648016122x y k x k x k y k x ⎧+=⎪⇒+-+-=⎨⎪=-⎩. 则有22121222161648,3434k k x x x x k k -+==++,∴2002286,3434k kx y k k-==++. 消去k ,整理得()()2200041103y x y -+=≠. 综上所述,点K 的轨迹方程为()()2241103y x x -+=>.……………………………………………12分 21. 解:(1)()()()()()()()22111,1111m x m F x f x g x x x x x +-'''=-=-=>-+++ 当0m ≤时, ()0F x '<,函数()F x 在()1,-+∞上单调递减;当0m >时,令()101F x x m '<⇒<-+,函数()F x 在11,1m ⎛⎫--+ ⎪⎝⎭上单调递减; ()101F x x m '>⇒>-+,函数()F x 在11,m ⎛⎫-++∞ ⎪⎝⎭上单调递增,综上所述,当0m ≤时,()F x 的单减区间是()1,-+∞;当0m >时,()F x 的单减区间是11,1m ⎛⎫--+⎪⎝⎭,单增区间是11,m ⎛⎫-++∞⎪⎝⎭………………………4分 (2)函数()()ln 1f x m x =+在点()(),ln 1a m a +处的切线方程为()()ln 11my m a x a a -+=-+,即()ln 111m may x m a a a =++-++, 函数()1x g x x =+在点1,11b b ⎛⎫- ⎪+⎝⎭处的切线方程为()()211111y x b b b ⎛⎫--=- ⎪+⎝⎭+, 即()()222111b y x b b =+++.()y f x =与()y g x =的图象有且仅有一条公切线.所以()()()222111ln 111m a b ma b m a a b ⎧=⎪++⎪⎨⎪+-=⎪++⎩①② 有唯一一对(),a b 满足这个方程组,且0m >.由(1)得: ()211a m b +=+代入(2)消去a ,整理得:()22ln 1ln 101m b m m m b +++--=+,关于()1b b >-的方程有唯一解. 令()()22ln 1ln 11g b m b m m m b =+++--+,()()()()2221122111m b m g b b b b +-⎡⎤⎣⎦'=-=+++方程组有解时,0m >,所以()g b 在11,1m ⎛⎫--+ ⎪⎝⎭单调递减,在11,m ⎛⎫-++∞ ⎪⎝⎭单调递增,所以()min 191ln 1g b m m m m ⎛⎫=-+=-- ⎪⎝⎭, 因为()(),,1,b g b b g b →+∞→+∞→-→+∞,只需ln 10m m m --=,令()ln 1m m m σ=--、()ln m m σ'=-在0m >为单减函数,且1m =时,()0m σ'=,即()()max 10m σσ==,所以1m =时,关于b 的方程()22ln 1ln 101m b m m m b +++--=+有唯一解 此时0a b ==,公切线方程为y x =.……………………………………………………………………12分22. 解:(1)由cos sin x a a y a αα=+⎧⎨=⎩可得cos sin x aay aαα-⎧=⎪⎪⎨⎪=⎪⎩,两式平方后相加即得222()(0)x a y a a -+=>, ∴曲线C 是以(),0a 为圆心,以a 为半径的圆;直线l的直角坐标方程为30x -=.由直线l 与圆C 只有一个公共点,即直线l 与圆C 相切,则可得32a a -=, 解得: 3a =-(舍),1a =.所以:1a =………………………………………………………………………………………………5分 (2)因为曲线C 是以(),0a 为圆心,以a 为半径的圆,且3AOB π∠=由正弦定理得:2sin3AB a π=,所以AB =.由余弦定理得22223AB a OA OB OA OB OA OB ==+-⋅≥⋅,所以2211sin 323224OAB S OA OB a π∆=⋅≤⨯⨯=, 所以OAB ∆的面积最大值24.…………………………………………………………………10分23. 解:(1)()12,213,122,1x x f x x x x x ⎧+≤-⎪⎪⎪=--<<⎨⎪--≥⎪⎪⎩(如果没有此步骤,需要图中标示出1,12x x =-= 对应的关键点,否则扣分)画出图象如图所示, ………………………………………………………………………………………5分 (2)由(1)知32m =. ∵()()22222223232242m a c b a b c b ab bc ==++=+++≥+, ∴324ab bc +≤,∴2ab bc +的最大值为34,当且仅当12a b c ===时,等号成立. ……………………………………………………………10分。