保险精算第二版习题及答案
- 格式:docx
- 大小:393.71 KB
- 文档页数:17
4 •已知某笔投资在3年后的积累值为1000元, 第1年的利率为认10%,第2年的利率为12 8%,第3年的利率为i3 6%,求该笔投资的原始金额。
A (3) 1000 A(0) (1 ii) (1 i 2) (1 is)A(0)794. 15 .确定10000元在第3年年末的积累值:(1) 名义利率为每季度计息一次的年名义利率6%保险精算(第二版)第一章:利息的基本概念已知a t at 2 b,如果在0时投资100元,能在时刻 5积累到180元,试确定在时刻5投资300元,在时刻8的积累值。
a(0 )25a b 1.8竺b 125300*100 乍、 ------------ a (5)180 型叫绝) 180300300*迴(64a b) 5081802. ⑴假设 A(t)=100+10t,试确定ii, 13, iso■ 110. 0833,口5)-理)0. 0714A(4)(2)假设 An 1001. 1■ 111•已知投资500元,3年后得到年后的积累值。
500a (3) 500(1 3〃 80嚴) 800(1 5iJ120元的利息, h 0. 081120500a (3) 500(1) 2)彳 8006如)h 0.0743363 800(1 is)51144.970. 1, is A(5j 0. 1A (4)试分别确定以相同的单利利率、复利利率投资800元在5(2)名义贴现率为每4年计息一次的年名义贴现率6%7 •如果t 0. Olt,求10 000元在第12年年末的积累值。
、1210000a (12) innnno : tdt lOOOOe 0 7220544.33&已知第1年的实际利率为10%,第2年的实际贴现率为8%第3年的每季度计息的年名义利率为 第4年的每半年计息的年名义贴现率为5%求一常数实际利率,使它等价于这4年的投资利率。
1(4)i(2)(1 i)4 (1 11)(1 d2) 71 -)4(1 云尸1.1*1.086956522*1.061363551*1.050625 1.333265858i 0. 745563369.基金A 以每月计息一次的年名义利率12%积累,基金B 以利息强度t基金存入的款项相同,试确定两基金金额相等的下一时刻。
保险精算(第二版)第一章:利息的基本概念练 习 题1.已知()2a t at b =+,如果在0时投资100元,能在时刻5积累到180元,试确定在时刻5投资300元,在时刻8的积累值。
(0)1(5)25 1.80.8,125300*100(5)300180300*100300*100(8)(64)508180180a b a a b a b a a a b ===+=⇒===⇒=+= 2.(1)假设A(t)=100+10t, 试确定135,,i i i 。
135(1)(0)(3)(2)(5)(4)0.1,0.0833,0.0714(0)(2)(4)A A A A A A i i i A A A ---======(2)假设()()100 1.1nA n =⨯,试确定 135,,i i i 。
135(1)(0)(3)(2)(5)(4)0.1,0.1,0.1(0)(2)(4)A A A A A A i i i A A A ---======3.已知投资500元,3年后得到120元的利息,试分别确定以相同的单利利率、复利利率投资800元在5年后的积累值。
11132153500(3)500(13)6200.08800(5)800(15)1120500(3)500(1)6200.0743363800(5)800(1)1144.97a i i a i a i i a i =+=⇒=∴=+==+=⇒=∴=+=4.已知某笔投资在3年后的积累值为1000元,第1年的利率为 110%i =,第2年的利率为28%i =,第3年的利率为 36%i =,求该笔投资的原始金额。
123(3)1000(0)(1)(1)(1)(0)794.1A A i i i A ==+++⇒=5.确定10000元在第3年年末的积累值:(1)名义利率为每季度计息一次的年名义利率6%。
(2)名义贴现率为每4年计息一次的年名义贴现率6%。
(4)12341()410000(3)10000(1)11956.18410000(3)10000111750.0814i a i a =+=⎛⎫ ⎪=+= ⎪ ⎪⎝⎭6.设m >1,按从大到小的次序排列()()m m d di i δ<<<<。
保险精算试题与答案[注意:本文按照试题格式进行回答]试题一:保险精算的定义和作用是什么?保险精算是指运用数学、统计学和金融学等方法,对保险业务进行量化分析和评估的过程。
其作用主要体现在以下几个方面:1. 风险评估:通过对历史数据和概率模型的分析,保险精算师可以评估保险产品的风险水平,确定保费率和赔付准备金水平,为保险公司提供决策依据。
2. 产品开发与定价:保险精算师可以根据市场需求和风险情况,设计和开发新的保险产品,并确定合理的保费定价策略,以提高保险公司的竞争力和盈利能力。
3. 保险风险管理:保险精算师可以利用精算模型和方法,对保险风险进行全面的管理和控制,降低保险公司的不确定性和风险敞口。
4. 偿付能力评估:通过运用精算方法,保险精算师可以对保险公司的偿付能力进行评估和监测,保证公司能够按时履行合同中对被保险人的赔偿责任。
5. 盈余分配决策:精算师根据保险公司的盈利能力和风险状况,制定合理的盈余分配策略,确保公司的可持续经营和股东利益最大化。
试题二:简述保险精算的核心内容和方法保险精算的核心内容主要包括风险评估、损失模型、资本管理和盈余分配等方面。
1. 风险评估:通过风险测度和量化方法,评估保险产品的风险水平,并制定相应的风险管理策略,保证公司的偿付能力。
2. 损失模型:利用数理统计的方法,分析历史数据和风险模型,构建损失模型,预测未来潜在的赔偿风险,并根据模型结果进行资本分配和准备金计提。
3. 资本管理:通过资本分配和配置,保险精算师可以根据公司的风险状况和盈利能力,确定合理的资本水平和使用策略,提高公司的偿付能力和综合运营效益。
4. 盈余分配:保险精算师基于公司的盈利水平、资本状况和风险状况,制定合理的盈余分配政策,确保公司能够平衡盈利和风险、实现可持续发展。
保险精算的核心方法包括:1. 预测模型:利用历史数据和概率理论,建立预测模型,对未来保险损失进行预测和量化评估。
2. 风险度量方法:通过运用不同的风险测度方法,比如价值-at-Risk、条件VaR等,对保险风险进行度量和分析。
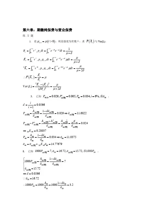
第六章:期缴纯保费与营业保费练 习 题1. 设()0x t t μμ+=>,利息强度为常数δ,求 ()x P A 与Var(L)。
()00002220022212()()()2t t t x t x t t t x t x x t t t t x t x x t x x x x x x a v p dt e e dt A v p dt e e dt A v p dt e e dt A P A a A A Var L a δμδμδμμδμμμμδμμμμδμμδμδ+∞+∞--+∞+∞--++∞+∞--+===+===+===+∴==-==+⎰⎰⎰⎰⎰⎰ 3. 已知 140:20604040:200.029,0.005,0.034,6%,P P P i a ====求 。
40:2040:2040:2040:2040:2040:201 1140:2040:2040:20204040:2040:2040:2040:2040:20204060606060600.0566110.02911.68220.0240.2803710.i d i A da P a a a A A A E P P a a a E A da P a a ==+-===⇒=--====⇒=-===604020406040:2003411.037514.77679a a a E a ⇒==+=8. 已知 202020:4020:4010007,16.72,15.72,P a a P ===求1000 。
20:4020:4020:4020:4020:4020:4020202020202011000715.720.056616.721100010001000 3.2A da P a a a d a A da P a a -⎧===⎪⎨⎪=⎩⇒==-∴===11. 已知x 岁的人购买保额1000元的完全离散型终身寿险的年保费为50元,20.06,0.4,0.2x x d A A ===,L 是在保单签发时保险人的亏损随机变量。
保险精算考试题及答案1. 保险精算中,用于计算未来现金流的现值的公式是:A. 未来值 = 现值× (1 + 利率)^期数B. 现值 = 未来值÷ (1 + 利率)^期数C. 未来值 = 现值× (1 - 利率)^期数D. 现值 = 未来值× (1 - 利率)^期数答案:B2. 在非寿险精算中,用于计算纯保费的公式是:A. 纯保费 = 预期损失 + 预期费用B. 纯保费 = 预期损失 - 预期费用C. 纯保费 = 预期损失× 预期费用D. 纯保费 = 预期损失÷ 预期费用答案:A3. 以下哪项是寿险精算中的生命表的主要组成部分?A. 死亡率表B. 疾病率表C. 残疾率表D. 以上都是答案:A4. 寿险精算中,计算年金现值的公式是:A. 年金现值 = 年金支付额× 利率× (1 - 1/(1 + 利率)^期数)B. 年金现值 = 年金支付额÷ 利率× (1 - 1/(1 + 利率)^期数)C. 年金现值 = 年金支付额× 利率÷ (1 - 1/(1 + 利率)^期数)D. 年金现值 = 年金支付额÷ 利率÷ (1 - 1/(1 + 利率)^期数) 答案:A5. 保险精算中,用于评估保险公司财务稳定性的指标是:A. 偿付能力比率B. 资产负债比率C. 投资回报率D. 以上都是答案:A6. 在精算评估中,用于计算保单持有人未来利益的现值的贴现率是:A. 预定利率B. 市场利率C. 法定利率D. 以上都不是答案:A7. 以下哪项是精算师在评估寿险保单的死亡率风险时常用的方法?A. 蒙特卡洛模拟B. 敏感性分析C. 精算表分析D. 以上都是答案:C8. 保险精算中,用于计算保单持有人未来利益的现值的公式是:A. 未来利益现值 = 未来利益× 利率× (1 - 1/(1 + 利率)^期数)B. 未来利益现值 = 未来利益÷ 利率× (1 - 1/(1 + 利率)^期数)C. 未来利益现值 = 未来利益× 利率÷ (1 - 1/(1 + 利率)^期数)D. 未来利益现值 = 未来利益÷ 利率÷ (1 - 1/(1 + 利率)^期数) 答案:B9. 在保险精算中,用于计算保单的准备金的公式是:A. 准备金 = 未来利益现值 - 已收保费B. 准备金 = 未来利益现值 + 已收保费C. 准备金 = 未来利益现值× 已收保费D. 准备金 = 未来利益现值÷ 已收保费答案:A10. 以下哪项是保险精算中用于评估保单持有人未来利益的不确定性的方法?A. 精算评估B. 风险评估C. 敏感性分析D. 以上都是答案:C。
第一章:利息的基本概念练 习 题1.已知()2a t at b =+,如果在0时投资100元,能在时刻5积累到180元,试确定在时刻5投资300元,在时刻8的积累值。
(0)1(5)25 1.80.8,125300*100(5)300180300*100300*100(8)(64)508180180a b a a b a b a a a b ===+=⇒===⇒=+= 2.(1)假设A(t)=100+10t, 试确定135,,i i i 。
135(1)(0)(3)(2)(5)(4)0.1,0.0833,0.0714(0)(2)(4)A A A A A A i i i A A A ---======(2)假设()()100 1.1nA n =⨯,试确定 135,,i i i 。
135(1)(0)(3)(2)(5)(4)0.1,0.1,0.1(0)(2)(4)A A A A A A i i i A A A ---======3.已知投资500元,3年后得到120元的利息,试分别确定以相同的单利利率、复利利率投资800元在5年后的积累值。
11132153500(3)500(13)6200.08800(5)800(15)1120500(3)500(1)6200.0743363800(5)800(1)1144.97a i i a i a i i a i =+=⇒=∴=+==+=⇒=∴=+=4.已知某笔投资在3年后的积累值为1000元,第1年的利率为 110%i =,第2年的利率为28%i =,第3年的利率为 36%i =,求该笔投资的原始金额。
123(3)1000(0)(1)(1)(1)(0)794.1A A i i i A ==+++⇒=5.确定10000元在第3年年末的积累值:(1)名义利率为每季度计息一次的年名义利率6%。
(2)名义贴现率为每4年计息一次的年名义贴现率6%。
(4)12341()410000(3)10000(1)11956.18410000(3)10000111750.0814i a i a =+=⎛⎫ ⎪=+= ⎪ ⎪⎝⎭6.设m >1,按从大到小的次序排列()()m m d di i δ<<<<。
保险精算 李秀芳 傅安平 王静龙(第二版)中国人民大学出版社 课后答案第一章1. 386.4元2. (1)0.1 0.083 3 0.071 4(2)0.1 0.1 0.1 3. 1 097.35元 1 144.97元 4. 794.1元5. (1)11 956 (2)12 2856. ()()m m d di i δ<<<<7. 20 544.332元 8. 0.074 6 9. 0.358 2 10. 1.822 11. B 12. A第二章1. 略2. 80 037.04元 3.0.082 99 4. 12 968.71元 5. 1 800 元 6. 略7. 6.71% 8. 28911i i =∑9. A 10. B第三章1. (1) 0.130 95 (2) 0.355 96 (3) 0.140 86 (4) 0.382 892. 0.020 583. 41 5714. (1) 0.92 (2) 0.915 (3) 0.9095. B6. C第四章1. (1) 0.092 (2) 0.0552. (1) 5.2546元 (2)5.9572元 (3)略3. (1) 0.05 (2) 0.54. 略5. 0.546. 0.817. 283 285.07元8. 略9. 2 174.29元 10. 71 959.02元 11. 690.97元 12. 3 406.34元 13. 749.96元 14. 397.02元 15. D 16. C 17. B第五章1. 15.382. (1) 0.035 (2) 0.653. 793元4. 25 692.23元5. 36 227.89元6. 略7. (1) 18 163.47元 (2) 18 458.69元(3)18 607.5 元(4)18 707.28 元8. 略9. 167.71元10. 106 11. 83 629.47元12. 46.43元13.A14. D 15. B第六章1.()xPμ=Ā,()()222āx xxVar Lδ=Ā-Ā2. 28.30元3. 14.784. 0.039 75. 0.1036. 20.07<P≤21.747. 21份8. 3.20 9. 0.01610. 0.041 311. (1)-100 (2) 134 444.44 (3) 0.272 712.()10.194471.7R bb=+13. B 14. C 15. D 第七章1.()()22::2:,x t n t x t n t t tx t n tE L a Var Lδ+-+-+--==ĀĀ2. 15 3. 0.5154. (2) (3)5. 0.001 66. 0.156 947. 556.88元8. 0.609. 0.40 10. 0.239 11. 0.90 12. 0.06 13. 0.40 14. 3.889 元15. 0.05816.xx q p17. C 18. B第八章1. 略2. 略3. 根据表8.1.3中的各种情况算出的1E分别为:(1)0.650.02ää0.65xxxp⎛⎫+⎪-⎝⎭(2)0.046 (3)0.650.02ää0.65xp⎛⎫+⎪-⎝⎭(4)0.40.250.02ää0.4xp pα⎛⎫++⎪-⎝⎭(5)0.250.36xpα+(6)0.650.02ää0.65xp⎛⎫+⎪-⎝⎭(7)0.046根据表8.1.4中的各种情况算出1E分别为:(1) 1.25P+0.01 (2) 0.064.(1)()()221k x x W⎡⎤-⎣⎦ĀĀ(2)()()()22 211::221x x k s x k sx k x k++++⎡⎤--⎢⎥⎣⎦-ĀĀĀĀĀ5. 0.073 86. (1)()11040:101CV L L⎡⎤---⎣⎦Ā1040E(2)154545:5(1)L E E -+Ā7.1:122x t n tn t x t b bE+--+⎛⎫+-⎪⎝⎭Ā8. 略9. 略10.(1)略(2)1ˆ1ˆ1h x hx hi Pi P+++⎛⎫⎛⎫+⋅ ⎪⎪+⎝⎭⎝⎭11. 略12. B 13. B.第九章1. 第0年到第十年的现金价值分别为:9300元10 137元11 168元12 303元13 551元14 925元14 722元16 475元17 307元18 000元18 720元第四年的准备金为13 819 元2.重新计算表9.2.8后的值。
保险精算第二版第一章:利息的基本概念 练 习 题1.已知()2a t at b =+,如果在0时投资100元,能在时刻5积累到180元,试确定在时刻5投资300元,在时刻8的积累值;2.1假设At=100+10t, 试确定135,,i i i ;2假设()()100 1.1nA n =⨯,试确定 135,,i i i ;3.已知投资500元,3年后得到120元的利息,试分别确定以相同的单利利率、复利利率投资800元在5年后的积累值;4.已知某笔投资在3年后的积累值为1000元,第1年的利率为 110%i =,第2年的利率为28%i =,第3年的利率为 36%i =,求该笔投资的原始金额;5.确定10000元在第3年年末的积累值:1名义利率为每季度计息一次的年名义利率6%; 2名义贴现率为每4年计息一次的年名义贴现率6%; 6.设m >1,按从大到小的次序排列()()m m d d i i δ<<<<; 7.如果0.01t t δ=,求10 000元在第12年年末的积累值;、8.已知第1年的实际利率为10%,第2年的实际贴现率为8%,第3年的每季度计息的年名义利率为6%,第4年的每半年计息的年名义贴现率为5%,求一常数实际利率,使它等价于这4年的投资利率;9.基金A 以每月计息一次的年名义利率12%积累,基金B 以利息强度6t tδ=积累,在时刻t t=0,两笔基金存入的款项相同,试确定两基金金额相等的下一时刻;10. 基金X 中的投资以利息强度0.010.1t t δ=+0≤t ≤20, 基金Y 中的投资以年实际利率i 积累;现分别投资1元,则基金X 和基金Y 在第20年年末的积累值相等,求第3年年末基金Y 的积累值;11. 某人1999年初借款3万元,按每年计息3次的年名义利率6%投资,到2004年末的积累值为 万元;A. 7.19B. 4.04C.D.12.甲向银行借款1万元,每年计息两次的名义利率为6%,甲第2年末还款4000元,则此次还款后所余本金部分为 元;225 213 C.7 136 987 第二章:年金 练习题1.证明()n m m n v v i a a -=-;2.某人购买一处住宅,价值16万元,首期付款额为A,余下的部分自下月起每月月初付1000元,共付10年;年计息12次的年名义利率为% ;计算购房首期付款额A;3. 已知7 5.153a = , 117.036a =, 189.180a =, 计算 i ;4.某人从50岁时起,每年年初在银行存入5000元,共存10年,自60岁起,每年年初从银行提出一笔款作为生活费用,拟提取10年;年利率为10%,计算其每年生活费用;5.年金A 的给付情况是:1~10年,每年年末给付1000元;11~20年,每年年末给付2000元;21~30年,每年年末给付1000元;年金B 在1~10年,每年给付额为K 元;11~20年给付额为0;21~30年,每年年末给付K 元,若A 与B 的现值相等,已知1012v =,计算K;6. 化简()1020101a v v ++ ,并解释该式意义;7. 某人计划在第5年年末从银行取出17 000元,这5年中他每半年末在银行存入一笔款项,前5次存款每次为1000元,后5次存款每次为2000元,计算每年计息2次的年名义利率;8. 某期初付年金每次付款额为1元,共付20次,第k 年的实际利率为18k+,计算V2;9. 某人寿保险的死亡给付受益人为三个子女,给付形式为永续年金,前两个孩子第1到n 年每年末平分所领取的年金,n 年后所有的年金只支付给第三个孩子,若三个孩子所领取的年金现值相等,那么v=A.113n⎛⎫⎪⎝⎭B.13n C.13n⎛⎫⎪⎝⎭D.3n11. 延期5年连续变化的年金共付款6年,在时刻t时的年付款率为()21t+,t 时刻的利息强度为1/1+t,该年金的现值为.54 C第三章:生命表基础练习题1.给出生存函数()2 2500 xs x e-=,求:1人在50岁~60岁之间死亡的概率;250岁的人在60岁以前死亡的概率;3人能活到70岁的概率;450岁的人能活到70岁的概率;2. 已知Pr5<T60≤6=,PrT60>5=,求60q;3. 已知800.07q=,803129d=,求81l;4. 设某群体的初始人数为3 000人,20年内的预期死亡人数为240人,第21年和第22年的死亡人数分别为15人和18人;求生存函数sx在20岁、21岁和22岁的值;5. 如果221100x x xμ=++-,0≤x ≤100, 求0l =10 000时,在该生命表中1岁到4岁之间的死亡人数为 ;6. 已知20岁的生存人数为1 000人,21岁的生存人数为998人,22岁的生存人数为992人,则|201q 为 ; A. 0.008 B. C. D. 第四章:人寿保险的精算现值 练 习 题1. 设生存函数为()1100xs x =- 0≤x ≤100,年利率i =,计算保险金额为1元: 1趸缴纯保费130:10Ā的值; 2这一保险给付额在签单时的现值随机变量Z 的方差VarZ;2. 设年龄为35岁的人,购买一张保险金额为1 000元的5年定期寿险保单,保险金于被保险人死亡的保单年度末给付,年利率i=,试计算: 1该保单的趸缴纯保费;2该保单自35岁~39岁各年龄的自然保费之总额; 31与2的结果为何不同为什么1法一:4113536373839234535:53511000()1.06 1.06 1.06 1.06 1.06k k x x k k d d d d d Av p q l ++===++++∑ 查生命表353536373839979738,1170,1248,1336,1437,1549l d d d d d ======代入计算:法二:1354035:53510001000M M A D -=查换算表1354035:53513590.2212857.61100010001000 5.747127469.03M M A D --===21353535:1351363636:1361373737:1371383838:138143.581000100010001000 1.126127469.03144.471000100010001000 1.203120110.22145.941000100010001000 1.29113167.06100010001000100C p A D C p A D C p A D C p A D ===============1393939:1393536373839148.050 1.389106615.43150.551000100010001000 1.499100432.541000() 6.457C p AD p p p p p =====++++= 31112131413523533543535:535:136:137:138:139:1135********35:5A A vp A v p A v p A v p A A p p p p p =++++∴<++++3. 设0.25x =A , 200.40x +=A , :200.55x =A , 试计算: 1 1:20x A ; 2 1:10x A ;改为求1:20x A 4. 试证在UDD 假设条件下:1 11::x n x n iδ=A A ;2 11:::x x n n x niδ=+ĀA A ; 5. x 购买了一份2年定期寿险保险单,据保单规定,若x 在保险期限内发生保险责任范围内的死亡,则在死亡年末可得保险金1元,()0.5,0,0.1771x q i Var z === ,试求1x q +; 6.已知,767677770.8,400,360,0.03,D D i ====求A A ;7. 现年30岁的人,付趸缴纯保费5 000元,购买一张20年定期寿险保单,保险金于被保险人死亡时所处保单年度末支付,试求该保单的保险金额;解:1130:2030:2050005000RA R A =⇒=其中查2000-2003男性或者女性非养老金业务生命表中数据3030313249,,,l d d d d 带入计算即可,或者i=以及2000-2003男性或者女性非养老金业务生命表换算表305030,,M M D 带入计算即可;例查2000-2003男性非养老金业务生命表中数据8. 考虑在被保险人死亡时的那个1m年时段末给付1个单位的终身寿险,设k 是自保单生效起存活的完整年数,j 是死亡那年存活的完整1m年的时段数;1 求该保险的趸缴纯保费 ()m x A ;2 设每一年龄内的死亡服从均匀分布,证明()()m x x m i i=A A ;9. 现年35岁的人购买了一份终身寿险保单,保单规定:被保险人在10年内死亡,给付金额为15 000元;10年后死亡,给付金额为20 000元;试求趸缴纯保费;趸交纯保费为1110|3535:101500020000A A + 其中所以趸交纯保费为1110|3535:101500020000178.0518952073.05A A +=+= 10.年龄为40岁的人,以现金10 000元购买一份寿险保单;保单规定:被保险人在5年内死亡,则在其死亡的年末给付金额30 00元;如在5年后死亡,则在其死亡的年末给付数额R 元;试求R 值;11. 设年龄为50岁的人购买一份寿险保单,保单规定:被保险人在70岁以前死亡,给付数额为3 000元;如至70岁时仍生存,给付金额为1 500元;试求该寿险保单的趸缴纯保费;该趸交纯保费为:1 150:2050:2030001500A A + 其中查生命表或者相应的换算表带入计算即可;12. 设某30岁的人购买一份寿险保单,该保单规定:若30在第一个保单年计划内死亡,则在其死亡的保单年度末给付5000元,此后保额每年增加1000元;求此递增终身寿险的趸缴纯保费;该趸交纯保费为:30303030303040001000()40001000M RA IA D D +=+ 其中查生命表或者相应的换算表带入计算即可;13. 某一年龄支付下列保费将获得一个n 年期储蓄寿险保单:11 000元储蓄寿险且死亡时返还趸缴纯保费,这个保险的趸缴纯保费为750元; 21 000元储蓄寿险,被保险人生存n 年时给付保险金额的2倍,死亡时返还趸缴纯保费,这个保险的趸缴纯保费为800元;若现有1 700元储蓄寿险,无保费返还且死亡时无双倍保障,死亡给付均发生在死亡年末,求这个保险的趸缴纯保费;解:保单1精算式为11 1::::100075017501000750x n x n x n x nA A A A +=+= 保单2精算式为求解得1 1::7/17,1/34x n x nA A ==,即 14. 设年龄为30岁者购买一死亡年末给付的终身寿险保单,依保单规定:被保险人在第一个保单年度内死亡,则给付10 000元;在第二个保单年度内死亡,则给付9700元;在第三个保单年度内死亡,则给付9400元;每年递减300元,直至减到4000元为止,以后即维持此定额;试求其趸缴纯保费;15. 某人在40岁投保的终身死亡险,在死亡后立即给付1元保险金;其中,给定110x l x =-,0≤x ≤110;利息力δ=;Z 表示保险人给付额的现值,则密度()0.8x f 等于 A. 0.24 B. 0.27 C. D.16. 已知在每一年龄年UDD 假设成立,表示式()()xxI A I A A-=A.2i δδ- B.()21i δ+C.11d δ- D. 1i i δδ⎛⎫- ⎪⎝⎭解:17. 在x 岁投保的一年期两全保险,在个体x 死亡的保单年度末给付b 元,生存保险金为e 元;保险人给付额现值记为Z, 则VarZ= A. ()22x x p q v b e + B. ()22x x p q v b e - C. ()222x x p q v b e - D. ()222x x v b q e p + 解:第五章:年金的精算现值 练 习 题1. 设随机变量T =Tx 的概率密度函数为0.015()0.015t f t e -=⋅t ≥0,利息强度为δ= ;试计算精算现值 x a ;2.设 10x a =, 27.375x a =, ()50T Var a =;试求:1δ;2x Ā ;3. 某人现年50岁,以10000元购买于51岁开始给付的终身生存年金,试求其每年所得年金额;4. 某人现年23岁,约定于36年内每年年初缴付2 000元给某人寿保险公司,如中途死亡,即行停止,所缴付款额也不退还;而当此人活到60岁时,人寿保险公司便开始给付第一次年金,直至死亡为止;试求此人每次所获得的年金额;解:23:3637|2323:3637|2320002000a a R a R a =⇒=其中查生命表或者相应的换算表带入计算即可;习题5将参考课本P87例5.4.1现年35岁的人购买如下生存年金,且均于每月初给付,每次给付1000元,设年利率i=6%,求下列年金的精算现值;(1) 终身生存年金; 其中若查90-93年生命表换算表则5. 某人现年55岁,在人寿保险公司购有终身生存年金,每月末给付年金额250元,试在UDD 假设和利率6%下,计算其精算现值;解:(12)(12)55555511250*12250*12()250*12[(12)(12)]1212a a a αβ=-=--其中6. 在UDD 假设下,试证: 1 ()()||()m x x n x n n a m a m E αβ=- ;2 ()()::()(1)m n x x nx n a m a m E αβ=-- ; 3()()::1(1)m m n x x n x na a E m=-- ; 7. 试求现年30岁每年领取年金额1200元的期末付终身生存年金的精算现值,且给付方法为:1按年;2按半年;3按季;4按月;1解:3130301200N a D =2(2)(2)3030351110001000()1000[(2)(2)]22a a a αβ=-=-- 其中3(4)(4)3030301110001000()1000[(4)(4)]44a a a αβ=-=-- 其中4(12)(12)3030301110001000()1000[(12)(12)]1212a a a αβ=-=-- 其中8. 试证:1()()m x x m a a iδ=2():():m x n m x na a iδ= ;3 ()lim m x xm a a →∞= ; 4 12x x a a ≈- ;9. 很多年龄为23岁的人共同筹集基金,并约定在每年的年初生存者缴纳R 元于此项基金,缴付到64岁为止; 到65岁时,生存者将基金均分,使所得金额可购买期初付终身生存年金,每年领取的金额为3 600元;试求数额R;10. Y 是x 岁签单的每期期末支付1的生存年金的给付现值随机变量,已知10x a =,26x a =,124i =,求Y 的方差; 11. 某人将期末延期终身生存年金1万元遗留给其子,约定延期10年,其子现年30岁,求此年金的精算现值;12. 某人现年35岁,购买一份即付定期年金,连续给付的年金分别为10元、8元、6元、4元、2元、4元、6元、8元、10元,试求其精算现值; 13. 给定(4)17.287a ∞=,0.1025x A =;已知在每一年龄年UDD 假设成立, 则(4)xa 是A. 15.48B. 15.51C.D.14. 给定()100()9T Var a x t k μ=+=及, 0t >, 利息强度4k δ=,则k = A. 0.005 B. 0.010 C. D.15. 对于个体x 的延期5年的期初生存年金,年金每年给付一次,每次1元,给定: ()50.01,0.04, 4.524x x t i a μ=+===, 年金给付总额为S 元不计利息,则 P 51x S a >值为A. B. 0.81 C. D. 第六章:期缴纯保费与营业保费 练 习 题1. 设()0x t t μμ+=>,利息强度为常数δ,求 ()x P A 与VarL;2. 有两份寿险保单,一份为40购买的保额2 000元、趸缴保费的终身寿险保单,并且其死亡保险金于死亡年末给付;另一份为40购买的保额1 500元、年缴保费P 的完全离散型终身寿险保单;已知第一份保单的给付现值随机变量的方差与第二份保单在保单签发时的保险人亏损的方差相等,且利率为6%,求P 的值;3. 已知 140:20604040:200.029,0.005,0.034,6%,P P P i a ====求 ;4. 已知 6262630.0374,0.0164,6%,P q i P ===求;5. 已知L 为x 购买的保额为1元、年保费为:x n P 的完全离散型两全保险,在保单签发时的保险人亏损随机变量,2::0.1774,0.5850x n x n P A d==,计算VarL;6. 已知x 岁的人服从如下生存分布:()105105xs x -=0≤x ≤105,年利率为6%;对50购买的保额1 000元的完全离散型终身寿险,设L 为此保单签发时的保险人亏损随机变量,且PL ≥0= ;求此保单的年缴均衡纯保费的取值范围;7. 已知 20.19,0.064,0.057,0.019,X X x A A d π====,其中x π为保险人对1单位终身寿险按年收取的营业保费;求保险人至少应发行多少份这种保单才能使这些保单的总亏损为正的概率小于等于;这里假设各保单相互独立,且总亏损近似服从正态分布,Pr Z≤=,Z 为标准正态随机变量;8. 2020:4020:4010007.00,16.72,15.72,1000x P a a P ===计算 ; 9.()10|201020201.5,0.04,P a P ==计算P ;10.已知1(12)(12):201:20:20:201.03,0.04,x x x x P P P ==计算P ; 11. 已知x 岁的人购买保额1000元的完全离散型终身寿险的年保费为50元,20.06,0.4,0.2x x d A A ===,L 是在保单签发时保险人的亏损随机变量; 1计算EL; 2计算VarL;3现考察有100份同类保单的业务,其面额情况如下:面额元 保单数份1 804 20假设各保单的亏损独立,用正态近似计算这个业务的盈利现值超过18 000元的概率;12. x 购买的n 年限期缴费完全离散型终身寿险保单,其各种费用分别为:销售佣金为营业保费的6%;税金为营业保费的4%;每份保单的第1年费用为30元,第2年至第n 年的费用各为5元;理赔费用为15元; 且1:0.3,0.1,0.4,0.6x x n x nA A A i +====,保额b 以万元为单位,求保险费率函数Rb; 13. 设 ()50500.014,0.17,P A A δ==则利息强度=(); A. B. 0.071 C. D.14. 已知10.05,0.022,0.99,x x x i p p p +====则();A. B. 0.0203 C. D.15. 设115456045:1545150.0380.056,0.625,P P A ===:,P 则= A. 0.005 B. 0.006 C. D. 第七章:准备金 练 习 题1. 对于x 购买的趸缴保费、每年给付1元的连续定期年金,t 时保险人的未来亏损随机变量为:计算()t E L 和()t Var L ;2. 当::2:2::1,,2,26k k x n x n x k n k x k n k x k n k n k V a a a V +-+-+-<=+=时计算;3. 已知()()0.474,0.510,0.500,x t x t x P A V A V δ===计算t x V(A );4. 假设在每一年龄内的死亡服从均匀分布,判断下面等式哪些正确: 11000x q ()::k k x n x niV A V δ=2 ()k x k x iV A Vδ=3 ()11::k k x n x niV A V δ=5. 假设在每一年龄内的死亡服从均匀分布, 且()()41101035:35:2035:2035:202035:2040.40,0.039,12.00,0.30,0.20,11.70P a V V a β======,求 ()4101035:2035:20V V - ;6. 已知()()()120:1010.01212,20.01508,30.06942x x x P P P ===()1040.11430x V = 计算2010x V ;7. 一种完全离散型2年期两全保险保单的生存给付为1000元,每年的死亡给付为1000元加上该年年末的纯保费责任准备金,且利率i=6%,0.1 1.1k x k q +=⨯ k=0,1;计算年缴均衡纯保费P;8. 已知1154545:2045:150.03,0.06,0.054,0.15P A d k ====,求1545:20V ;9. 25岁投保的完全连续终身寿险,L 为该保单签发时的保险人亏损随机变量,已知()245250.20,0.70,0.30,Var L A A ===计算()2025V A ;10. 已知 0.30,0.45,0.52t x t x x t k E A +===, 计算()t x V A ; 11. 已知:0.20,0.08,x n A d ==计算1:n x n V -;12. 已知1110.0,0.100,0.127,0.043x t t x t x x t a V V P ++++====,求d 的值;13. 对30岁投保、保额1元的完全连续终身寿险,L 为保单签发时的保险人亏损随机变量,且()250300.7,0.3,0.2A A Var L ===,计算()2030V A ;14. 一 种完全连续型20年期的1单位生存年金,已知死亡服从分布:75x l x =-0≤x ≤75,利率0i =,且保费连续支付20年;设投保年龄为35岁,计算此年金在第10年年末的纯保费准备金;15. 已知3132:130.002,9,5%q a i ===,求 230:15FPT V ; 16. 对于完全离散型保额,1单位的2年期定期寿险应用某种修正准备金方法,已知21x x v p q α+=⋅⋅,求β;17. 个体x 的缴费期为10年的完全离散终身寿险保单,保额为1 000元,已知90.06,0.01262x i q +==,年均衡净保费为元,第9年底的净准备金为元,则101000x P +=A. B. 31.92 C. D.18. 已知()1000100,1000()10.50,0.03t x x V A P A δ===,则 x t a += A. 21 B. 22 C. 23 D. 24 第八章:保单现金价值与红利 练 习 题1. 证明式8.1.7和式;2. 证明表8.1.3和表中的调整保费表达式;3. 根据表8.1.3和表中的各种情况,计算第1年的费用补贴1E ;4. x 的单位保额完全连续终身寿险在k 年末转为不丧失现金价值;设 ()k k x CV V A =,分别按缴清保险与展期保险给出刚改变后的保险的未来损失方差与原保险在时间k 的未来损失方差之比;5. 已知::0.3208,12,0.5472,8,x x x n x n A a A a ====用1941年规则计算:a x nP ; 6. 向30发行的1单位完全连续20年期两全保险,在第10年年末中止,并且那时还有一笔以10CV 为抵押的贷款额L 尚未清偿,用趸缴纯保费表达:1在保额为1-L 的展期保险可展延到原期满时的情况下,期满时的生存给付金额E;2转为第1小题中展期保险与生存保险后5年时的责任准备金;7. 考虑x 投保的缴费期为n 的n 年期两全保险,保险金为1单位,支付基础为完全离散的;在拖欠保费的情况下,被保险人可选择: 1减额缴清终身寿险;2期限不超过原两全保险的展期定期保险以及x+n 岁时支付的减额生存保险;在时间t 的解约金为 :t x n V ,它可用来购买金额为b 的缴清终身寿险,或用于购买金额为1的展期保险以及x+n 岁时的生存支付f ;设:2x t x t n t A A ++-=,用b ,1:x t n t A +-及n t x t E -+表示f ;8. 设()k t k tx CV V A ++=;证明:决定自动垫缴保费贷款期长短的方程可写成Ht =0,其中()11x x k x i H t a GS a a ++=+-;9. 在人寿保险的早期,一家保险公司的解约金定为()()k x h x CV h G G a k +=-, 1,2,k =式中,G 为相应年龄的毛保费;()a k 为始于x+k 岁并到缴费期结束为止的期初生存年金值,h 在实际中取23;如果终身寿险保单的毛保费按1980年规则取为调整保费,并且x P 与x t P +都小于,h=,验证以上给出的解约金为10. 生存年金递推关系为()()11x h x h x h a i p a +++++= , 0,1,2,h =1 如果实际的经验利率是h+1,经验生存概率是x+h,则年金的递推关系为式中,1h +∆为生存者份额的变化;证明并解释2如果年末的年金收入调整为年初的1h r +倍,其中用 ˆ,,x h i ip +及 ˆx h p +表示1h r +; 11. 证明式8.4.12、式和式;12. 在1941年法则中,若220.04,0.04x P P >> ,则 1E = A. 0.036 B. 0.046 C. D.13. 30投保20年期生死两全保险,若30:200.08,0.01P d == ,利用1941年法则求得 2300.01P =时的调整保费为 A. B. 0.0626 C. D. 第九章:现代寿险的负债评估 练 习 题 1.在例9.2.1中将第1年到第5年的保证利率改为9%,求0到第10年的现金价值及第4年的准备金;2. 在例9.2.3中将保证利率改为:前3年为8% ,3年以后为4% ,重新计算表、表和表;3.在例9.2.5中,若保证利率:第1年到第5年为%,以后为4%,求0到第5保单年度的准备金;4. 考虑固定保费变额寿险,其设计是公平设计且具有下列性质:男性:35岁;AIR=4%;最大允许评估利率:6%;面值即保额:10 000元;在第5保单年度的实际现金价值为6 238元;在第5保单年度的表格现金价值为5 316元;且已知391000 2.79q ,相关资料如下表;单位:元求:1第5保单年度的基础准备金;2用一年定期准备金和到达年龄准备金求第5保单年度的GMDB 准备金;5. 已知某年金的年保费为1 000元;预先附加费用为3%;保证利率为第1年到第3年8%,以后4%;退保费为5/4/3/2/1/0%;评估利率为7%;假设为年缴保费年金,第1年末的准备金为A. 1005B. 1015C. 1025D. 10356. 在上题中,如果本金为可变动保费年金,保单签发时缴费1 000元,第2年保费于第1年末尚未支付,则第1年年末的准备金为A. 1005B. 1015C. 1025D. 1035第十章:风险投资和风险理论练习题1. 现有一种2年期面值为1 000的债券,每年计息两次的名义息票率为8%,每年计息两次的名义收益率为6%,则其市场价格为元;1028.765 C. D.2. 假设X是扔五次硬币后“国徽”面朝上的次数,然后再同时扔X个骰子,设Y 是显示数目的总合,则Y的均值为A.109648B.108548C.109636D .1085363. 现有一种六年期面值为500的政府债券,其息票率为6%,每年支付,如果现行收益率为5%,那么次债券的市场价值为多少如果两年后的市场利率上升为8%,那么该债券的市场价值又是多少4. 考虑第3题中的政府债券,在其他条件不变的情况下,如果六年中的市场利率预测如下:1r :5% 2r :6% 3r :8% 4r :7% 5r :6% 6r :10% 那么该债券的市场价值是多少 5. 计算下述两种债券的久期:1五年期面值为2 000元的公司债券,息票率为6%,年收益率为10%; 2三年期面值为1 000元的政府债券,息票率为5%,年收益率为6%; 6. 某保险公司有如下的现金流支付模型,试计算包含报酬率;7. 某保险人一般在收到保费八个月后支付索赔,其系统风险是30%,无风险利率为%,费用率为35%,市场组合的期望回报是20%,那么该保险人的期望利润率是多少8. 某保险人的息税前收入是亿元,净利息费用为300万元,公司的权益值为50亿元,税率为30%,试求股本收益率;9. 某建筑物价值为a,在一定时期内发生火灾的概率为;如果发生火灾,建筑物发生的损失额服从0到a 的均匀分布;计算在该时期内损失发生的均值和方差;10. 如果短期局和风险模型中的理赔次数N 服从二项分布Bn , p,而P 服从0到1的均匀分布,利用全概率公式计算:1N 的均值,2N 的方差;11. 如果S 服从参数0.60λ=,个别赔款额1,2,3概率分别为,,的复合泊松分布,计算S 不小于3的概率;12. 若破产概率为()2470.30.20.1u u u e e e ψμ---=++,0u ≥,试确定θ和R; 13. 设盈余过程中的理赔过程St 为复合泊松分布,其中泊松参数为λ,个别理赔额C 服从参数为1β=的指数分布,C = 4 ,又设L 为最大聚合损失,μ为初始资金并且满足{}P L μ>= ,试确定μ; 第一章 1. 元2. 1 3 42 3. 1 元 1 元 4. 元5. 111 956 212 285 6. ()()m m d d i i δ<<<<7. 20 元8. 69. 210.11. B12. A第二章1. 略2. 80 元3. 99 4. 12 元5. 1 800 元6. 略7. % 8.28911ii =∑9. A 10. B 第三章1. 1 95 2 96 3 86 4 892. 583. 41 5714. 1 2 35. B6. C第四章1. 1 22. 1 元 2元 3略3. 1 24. 略5. 0.546.7. 283 元 8. 略9. 2 元 10. 71 元11. 元 12. 3 元13. 元 14. 元15. D 16. C 17. B第五章1. 15.382. 1 23. 793元4. 25 元5. 36 元6. 略7. 1 18 元 2 18 元 318 元 4 18 元8. 略 9. 元10. 106 11. 83 元 12. 46.43元 13. A 14. D 15. B 第六章1. ()x P μ=Ā , ()()222āx xx Var L δ=Ā-Ā2. 28.30元3.4. 75.6. 20.07<P ≤7. 21份 8. 9. 0.016 10. 311. 1 -100 2 134 3 7 12. ()10.194471.7R b b=+13. B 14. C 15. D 第七章1. ()()22::2:,x t n t x t n tt t x t n t E L a Var L δ+-+-+--==ĀĀ2. 153.4. 2 35. 66. 947. 元8.9. 0.40 10. 11.12. 0.06 13. 0.40 14. 元 15. 0.05816.xxq p 17. C 18. B 第八章1. 略2. 略3. 根据表8.1.3中的各种情况算出的1E 分别为:10.650.02ää0.65x x x p ⎛⎫+⎪-⎝⎭ 2 30.650.02ää0.65x p ⎛⎫+ ⎪-⎝⎭40.40.250.02ää0.4x p p α⎛⎫++ ⎪-⎝⎭ 50.250.36x p α+6 0.650.02ää0.65x p ⎛⎫+⎪-⎝⎭7根据表8.1.4中的各种情况算出1E 分别为: 1 + 24.1()()221k x xW ⎡⎤-⎣⎦ĀĀ2()()()22211::221x x k s x k s x k x k++++⎡⎤--⎢⎥⎣⎦-ĀĀĀĀĀ5. 86. 1 ()11040:101CV L L ⎡⎤---⎣⎦Ā1040E2 154545:5(1)L E E -+Ā 7. 1:122x t n tn t x tb b E +--+⎛⎫+- ⎪⎝⎭Ā8. 略 9. 略10.1略 2 1ˆ1ˆ1h x h x h i P i P +++⎛⎫⎛⎫+⋅ ⎪ ⎪+⎝⎭⎝⎭11. 略12. B 13. B.第九章1. 第0年到第十年的现金价值分别为: 9300元 10 137元 11 168元 12 303元 13 551元 14 925元 14 722元 16 475元 17 307元 18 000元 18720元第四年的准备金为 13 819 元2. 重新计算表9.2.8后的值;单位:元重新计算表9.2.9后的值;单位:元重新计算表的值;单位:元3.第0到第5保单年度的准备金分别为:962元 1 964元 3 142元 4 423元 5816元4. 1 5 元 2 元元5. A6. D第十章1. A2. B3. 元 元4. 元5. 1 26. %7. 0.0058. %9. E x = E x | y = ()()m m d d i i δ<<<<3434343434。
我是发老师给我们的答案上来的,老师姓周,供大家下载使用。
第一章:利息的基本概念练 习 题1.已知()2a t at b =+,如果在0时投资100元,能在时刻5积累到180元,试确定在时刻5投资300元,在时刻8的积累值。
(0)1(5)25 1.80.8,125300*100(5)300180300*100300*100(8)(64)508180180a b a a b a b a a a b ===+=⇒===⇒=+= 2.(1)假设A(t)=100+10t, 试确定135,,i i i 。
135(1)(0)(3)(2)(5)(4)0.1,0.0833,0.0714(0)(2)(4)A A A A A A i i i A A A ---======(2)假设()()100 1.1nA n =⨯,试确定 135,,i i i 。
135(1)(0)(3)(2)(5)(4)0.1,0.1,0.1(0)(2)(4)A A A A A A i i i A A A ---======3.已知投资500元,3年后得到120元的利息,试分别确定以相同的单利利率、复利利率投资800元在5年后的积累值。
11132153500(3)500(13)6200.08800(5)800(15)1120500(3)500(1)6200.0743363800(5)800(1)1144.97a i i a i a i i a i =+=⇒=∴=+==+=⇒=∴=+=4.已知某笔投资在3年后的积累值为1000元,第1年的利率为 110%i =,第2年的利率为28%i =,第3年的利率为 36%i =,求该笔投资的原始金额。
123(3)1000(0)(1)(1)(1)(0)794.1A A i i i A ==+++⇒=5.确定10000元在第3年年末的积累值:(1)名义利率为每季度计息一次的年名义利率6%。
(2)名义贴现率为每4年计息一次的年名义贴现率6%。
第一章:利息的基本概念练 习 题1.已知()2a t at b =+,如果在0时投资100元,能在时刻5积累到180元,试确定在时刻5投资300元,在时刻8的积累值。
(0)1(5)25 1.80.8,125300*100(5)300180300*100300*100(8)(64)508180180a b a a b a b a a a b ===+=⇒===⇒=+= 2.(1)假设A(t)=100+10t, 试确定135,,i i i 。
135(1)(0)(3)(2)(5)(4)0.1,0.0833,0.0714(0)(2)(4)A A A A A A i i i A A A ---======(2)假设()()100 1.1nA n =⨯,试确定 135,,i i i 。
135(1)(0)(3)(2)(5)(4)0.1,0.1,0.1(0)(2)(4)A A A A A A i i i A A A ---======3.已知投资500元,3年后得到120元的利息,试分别确定以相同的单利利率、复利利率投资800元在5年后的积累值。
11132153500(3)500(13)6200.08800(5)800(15)1120500(3)500(1)6200.0743363800(5)800(1)1144.97a i i a i a i i a i =+=⇒=∴=+==+=⇒=∴=+=4.已知某笔投资在3年后的积累值为1000元,第1年的利率为 110%i =,第2年的利率为28%i =,第3年的利率为 36%i =,求该笔投资的原始金额。
123(3)1000(0)(1)(1)(1)(0)794.1A A i i i A ==+++⇒=5.确定10000元在第3年年末的积累值:(1)名义利率为每季度计息一次的年名义利率6%。
(2)名义贴现率为每4年计息一次的年名义贴现率6%。
(4)12341()410000(3)10000(1)11956.18410000(3)10000111750.0814i a i a =+=⎛⎫ ⎪=+= ⎪ ⎪⎝⎭6.设m >1,按从大到小的次序排列()()m m d di i δ<<<<。
本文部分内容来自网络整理,本司不为其真实性负责,如有异议或侵权请及时联系,本司将立即删除!== 本文为word格式,下载后可方便编辑和修改! ==精算纯保费试题篇一:保险精算第二版习题及答案保险精算(第二版)第一章:利息的基本概念练习题1.已知a?t??at?b,如果在0时投资100元,能在时刻5积累到180元,试确定在时刻5投资300元,2在时刻8的积累值。
a(0)?b?1a(5)?25a?b?1.80.8 ,b?125300*100?a(5)?300180300*100300*100?a(8)?(64a?b)?508180180?a?2.(1)假设A(t)=100+10t, 试确定i1,i3,i5。
i1?A(1)?A(0)A(3)?A(2)A(5)?A(4)?0.1,i3??0.0833,i5??0.0714 A(0)A(2)A(4)n(2)假设A?n??100??1.1?,试确定 i1,i3,i5 。
i1?A(1)?A(0)A(3)?A(2)A(5)?A(4)?0.1,i3??0.1,i5??0.1 A(0)A(2)A(4)3.已知投资500元,3年后得到120元的利息,试分别确定以相同的单利利率、复利利率投资800元在5年后的积累值。
500a(3)?500(1?3i1)?620?i1?0.08?800a(5)?800(1?5i1)?1120500a(3)?500(1?i2)?620?i1?0.0743363?800a(5)?800(1?i3)5?1144.974.已知某笔投资在3年后的积累值为1000元,第1年的利率为 i1?10%,第2年的利率为i2?8%,第3年的利率为 i3?6%,求该笔投资的原始金额。
3A(3)?1000?A(0)(1?i1)(1?i2)(1?i3)?A(0)?794.15.确定10000元在第3年年末的积累值:(1)名义利率为每季度计息一次的年名义利率6%。
(2)名义贴现率为每4年计息一次的年名义贴现率6%。
保险精算(第二版)第一章:利息的基本概念练 习 题1.已知()2a t at b =+,如果在0时投资100元,能在时刻5积累到180元,试确定在时刻5投资300元,在时刻8的积累值。
2.(1)假设A(t)=100+10t, 试确定135,,i i i 。
800元在28%i =,第3为t (t=0),i 积累;11. 某人1999年初借款3万元,按每年计息3次的年名义利率6%投资,到2004年末的积累值为( )万元。
A. 7.19B. 4.04C. 3.31D. 5.2112.甲向银行借款1万元,每年计息两次的名义利率为6%,甲第2年末还款4000元,则此次还款后所余本金部分为( )元。
A.7 225B.7 213C.7 136D.6 987第二章:年金练习题1.证明()nmm n v v i a a -=-。
2.某人购买一处住宅,价值16万元,首期付款额为A ,余下的部分自下月起每月月初付1000元,共付10年。
年计息12次的年名义利率为8.7% 。
计算购房首期付款额A 。
3. 已知7 5.153a = , 117.036a =, 189.180a =, 计算 i 。
4.某人从50岁时起,每年年初在银行存入5000元,共存10年,自60岁起,每年年初从银行提出一笔款作为生活费用,拟提取10年。
年利率为10%,计算其每年生活费用。
5.年金A 的给付情况是:1~10年,每年年末给付1000元;11~20年,每年年末给付2000元;21~30年,每年年末给付1000元。
年金B 在1~10年,每年给付额为K 元;11~20年给付额为0;21~30年,每年年末给付K 元,若A 与B 的现值相等,已知1012v =,计算K 。
6. 化简()1020101a v v ++ ,并解释该式意义。
5 。
n 年每年,那么v=( 2. 已知Pr [5<T(60)≤6]=0.1895,Pr [T(60)>5]=0.92094,求60q 。
3. 已知800.07q =,803129d =,求81l 。
4. 设某群体的初始人数为3 000人,20年内的预期死亡人数为240人,第21年和第22年的死亡人数分别为15人和18人。
求生存函数s(x)在20岁、21岁和22岁的值。
5. 如果221100x x xμ=++-,0≤x ≤100, 求0l =10 000时,在该生命表中1岁到4岁之间的死亡人数为( )。
A.2073.92B.2081.61C.2356.74D.2107.566. 已知20岁的生存人数为1 000人,21岁的生存人数为998人,22岁的生存人数为992人,则|201q 为( )。
A. 0.008B. 0.007C. 0.006D. 0.005第四章:人寿保险的精算现值练 习 题1. 设生存函数为()1100xs x =- (0≤x ≤100),年利率i =0.10,计算(保险金额为1元): (1)趸缴纯保费130:10Ā的值。
(113590.221000127469.03-(2)373737:1371383838:138143.581000127469.0310********.22145.941000113167.06100010001000100D C p A D ===1393939:1393536373839148.050 1.389106615.43150.551000100010001000 1.499100432.541000() 6.457C p AD p p p p p =====++++= (3)1112131413523533543535:535:136:137:138:139:1135********35:5A A vp A v p A v p A v p A A p p p p p =++++∴<++++3. 设0.25x =A , 200.40x +=A , :200.55x =A , 试计算: (1) 1:20x A 。
(2) 1:10x A 。
改为求1:20x A 4. 试证在UDD 假设条件下: (1) 11::x n x n iδ=A A 。
(2) 11:::x x n n x niδ=+ĀA A 。
5. (x)购买了一份2年定期寿险保险单,据保单规定,若(x)在保险期限内发生保险责任范围内的死亡,则在死亡年末可得保险金1元,()0.5,0,0.1771x q i Var z === ,试求1x q +。
6.已知,767677770.8,400,360,0.03,D D i ====求A A 。
7. 现年30岁的人,付趸缴纯保费5 000元,购买一张20年定期寿险保单,保险金于被保险人死亡时所处保单年度末支付,试求该保单的保险金额。
解:1130:2030:2050005000RA R A =⇒= 其中查(2000-2003)男性或者女性非养老金业务生命表中数据3030313249,,,l d d d d 带入计算即可,或者i=0.06以及(2000-2003)男性或者女性非养老金业务生命表换算表305030,,M M D 带入计算即可。
例查(2000-2003)男性非养老金业务生命表中数据8. 考虑在被保险人死亡时的那个1m 年时段末给付1个单位的终身寿险,设k 是自保单生效起存活的完整年数,j 是死亡那年存活的完整1m年的时段数。
(1) 求该保险的趸缴纯保费 ()m x A 。
(2) 设每一年龄内的死亡服从均匀分布,证明()()m xx m i i=A A 。
9. 现年35岁的人购买了一份终身寿险保单,保单规定:被保险人在10年内死亡,给付金额为15 000元;10年后死亡,给付金额为20 000元。
试求趸缴纯保费。
趸交纯保费为1110|3535:101500020000A A + 其中所以趸交纯保费为1110|3535:101500020000178.0518952073.05A A +=+=10.年龄为40岁的人,以现金10 000元购买一份寿险保单。
保单规定:被保险人在5年内死亡,则在其死亡的年末给付金额30 00元;如在5年后死亡,则在其死亡的年末给付数额R 元。
试求R 值。
11. 设年龄为50岁的人购买一份寿险保单,保单规定:被保险人在70岁以前死亡,给付数额为3 000元;如至70岁时仍生存,给付金额为1 500元。
试求该寿险保单的趸缴纯保费。
该趸交纯保费为:1 150:2050:2030001500A A + 其中查生命表或者相应的换算表带入计算即可。
12. 设某30岁的人购买一份寿险保单,该保单规定:若(30)在第一个保单年计划内死亡,则在其死亡的保单年度末给付5000元,此后保额每年增加1000元。
求此递增终身寿险的趸缴纯保费。
该趸交纯保费为:30303030303040001000()40001000M RA IA D D +=+ 其中x -,0≤x A. 0.24 B. 0.27 C. 0.33 D. 0.3616. 已知在每一年龄年UDD 假设成立,表示式()()xxI A I A A-=( )A.2i δδ- B.()21i δ+C. 11d δ- D. 1i i δδ⎛⎫- ⎪⎝⎭解:17. 在x 岁投保的一年期两全保险,在个体(x )死亡的保单年度末给付b 元,生存保险金为e 元。
保险人给付额现值记为Z, 则Var(Z)=( )A. ()22x x p q v b e + B. ()22x x p q v b e - C. ()222x x p q v b e - D. ()222x x v b q e p + 解:第五章:年金的精算现值练 习 题0.015t-0.05 。
解:23:3637|2323:3637|2320002000a a R a R a =⇒=其中习题1000其中若查 5.假设和利率6%下,计算其精算现值。
解:(12)(12)55555511250*12250*12()250*12[(12)(12)]1212a a a αβ=-=-- 其中6. 在UDD 假设下,试证: (1)()()||()m x x n x n n a m a m E αβ=- 。
(2) ()()::()(1)m n x x n x n a m a m E αβ=-- 。
(3)()()::1(1)m m n x x n x n a a E m=-- 。
7. 试求现年30岁每年领取年金额1200元的期末付终身生存年金的精算现值,且给付方法为:(1)按年;(2)按半年;(3)按季;(4)按月。
(1)解:3130301200N a D =(2)(2)(2)3030351110001000()1000[(2)(2)]22a a a αβ=-=--其中(3)(4)(4)3030301110001000()1000[(4)(4)]44a a a αβ=-=--其中(4)(12)(12)3030301110001000()1000[(12)(12)]1212a a a αβ=-=-- 其中8. 试证: (1)()()m x x m a a i δ= (2)():():m x n m x na a iδ= 。
(3) ()lim m x xm a a →∞= 。
(4) 12x x a a ≈-。
9. 很多年龄为23岁的人共同筹集基金,并约定在每年的年初生存者缴纳R 元于此项基金,缴付到64岁为止。
到65岁时,生存者将基金均分,使所得金额可购买期初付终身生存年金,每年领取的金额为3 600元。
试求数额R 。
10. Y 是x 岁签单的每期期末支付1的生存年金的给付现值随机变量,已知 10x a =,26x a =,124i =,求Y 的方差。
11. 某人将期末延期终身生存年金1万元遗留给其子,约定延期10年,其子现年30岁,求此年金的精算现值。
12. 某人现年35岁,购买一份即付定期年金,连续给付的年金分别为10元、8元、6元、4元、2元、4元、6元、8元、10元,试求其精算现值。
13. 给定(4)17.287a ∞=,0.1025x A =。
已知在每一年龄年UDD 假设成立, 则(4)xa 是( ) A. 15.48 B. 15.51 C. 15.75 D. 15.82 14. 给定()100()9T Var a x t k μ=+=及, 0t >, 利息强度4k δ=,则k =( ) A. 0.005 B. 0.010 C. 0.015 D. 0.02015. 对于个体(x )的延期5年的期初生存年金,年金每年给付一次,每次1元,给定:()50.01,0.04, 4.524x x t i a μ=+===, 年金给付总额为S 元(不计利息),则 P (51x S a >)值为( )A. 0.82B. 0.81C. 0.80D. 0.83第六章:期缴纯保费与营业保费练 习 题1. 设()0x t t μμ+=>,利息强度为常数δ,求 ()x P A 与Var(L)。