精细有机合成习题三
- 格式:doc
- 大小:1.43 MB
- 文档页数:23
精细有机合成习题答案【篇一:08应化精细有机合成复习题答案】txt>一.单项选择题(8)在下列每小题的四个备选答案中选出一个正确的答案,并将其字母标号填入题干的括号内。
1.如果分子本身包含一个反应活性低的官能团在适当的阶段,通过某种专一性的反应,可转化为反应活性较高的官能团。
这种官能团称为:(b)a.亲电官能团;b.潜官能团;c.亲核官能团;d.极性官能团;2.想象选择一个合适的位置将分子的一个键切断,使分子转变为两个不同的部分。
用双线箭头符号和画一条曲线穿过被切断的键来表示。
这种方法称为:(c)a.极性反转;b.反向分析;c.分子切断;d. 反应选择性;在一系列的转变的某一阶段,引入一个原子或原子团,使后续的反应过程能按设计的要求,有控制地进行,从而保证系列反应能够高效率地完成。
这种引入的原子或原子团称为:(a)a.控制因素;b.潜官能团;;c.极性官能团;d.极性反转;4.在合成设计中使某个原子或原子团的反应特性发生了暂时性的转换称为:(b)a. 关键反应;b.极性转换;c.反应选择性;d.控制因素;5.在复杂化合物的合成中,有些反应转化率很低或正副产物很难分离纯化,反应时间长,这些反应称为:(c)a.反应选择性;b.反应的专一性;c.关键反应;d. .控制因素;6.目标分子—中间体—化工原料的分析过程称为:(b)a.正向合成分析法;b .逆向合成分析法; c.不对称合成分析法;d.关键反应分析法;7.一个反应在底物的不同部位和方向进行,从而形成几种产物时的选择程度称为:(d)a.反应的专一性;b.反应的控制性;c.反应的对称性;d,反应选择性;8.将分子的一个键切断,使分子转变为两个不同的部分,这不同的部分叫:(a)a.合成子;b.合成等价物;c.目标分子;d. 有机中间体;9.绿色化学是指在制造和应用化学品时( a )a.应有效利用(最好可再生)原料,消除废物和避免使用有毒的或危险的试剂和溶剂。
精细有机合成单元反应复习第一章精细有机合成基础知识要点一、取代基效应1、诱导效应1)因为成键原子的电负性差异而引起的电荷传递作用2)所有取代基都存在诱导效应,即诱导效应无处不在3)了解诱导效应强弱、方向是认识该效应的核心2、共辄效应1)了解共觇效应的类型、能够判断分子或屮间体是否存在共觇效应2)共辘效应影响的结果是因为电子离域或共享而使分子、活性中间体稳定。
如正离子、负离子或自由基都能够被共辘所稳定。
3)共轨效应方向受诱导影响如分析下面分子或活性中间体的共轨方向H2C^=C—C^=CH2H2C^=C—H3C—C CH—c—OC2H5H H H3、空间效应1)空间效应产生原因一般有两种:A因为取代基体积而产生的空间位阻;B因为分子的刚性结构或键角张力2)与诱导效应一样,所有分子都可能存在空间效应3)空间效应对分子或活性中间体的影响可能是起促进或阻碍作用二、有机反应历程1、脂肪族取代反应重点了解亲核取代反应的影响因素2、芳香族亲电取代了解一般反应历程、取代反应的定位是重点(包括多取代基存在下的取代反应、稠环的单取多取代)3、芳香族亲核取代了解影响亲核収代的影响因素特别是环上已有収代基存在下对亲核取代的活性影响三、溶剂1、了解溶剂的分类2、溶剂对反应活性的影响Huges-Ingold规则3、了解非质子传递性溶剂对亲核反应的影响例题:作为亲核试剂,卤素阴离子在一般极性溶剂屮亲核活性顺序如何?在非质子传递性溶剂中亲核性顺序又如何?试对此作出合理解释。
考占.P 八、、•1、収代基效应的判断:下面反应物或活性中间体存在共轨效应的是()2、极性溶剂对下面反应有活化作用的是()3、下面芳香族亲核取代反应活性最高的是()4、下面亲核试剂亲核性最强的是()5、下面自由基稳定性最好的是()6、在水中卤素阴离子亲核性顺序是:在DMF溶剂中亲核性顺序是:解释其原因?7本章习题28、芳香族亲电取代定位效应第二章卤代反应知识要点一、芳香族环上卤代反应1、亲电反应历程、酸催化反应或无需催化2、连串反应(即有多卤代反应),控制反应产物的关键是卤化反应深度3、反应有较弱的可逆性4、反应的一般条件:反应溶剂:反应物本体、有机溶剂、酸、水反应试剂:单质、次卤酸、NCS、NBS、HX+氧化剂反应活性:与反应物有关、与试剂有关、与溶剂有关主要反应:苯卤代、甲苯卤代、苯酚卤代、苯胺卤代5、碘代反应的特殊性二、不饱和桂的加成卤代1、加成反应活性都很高,在温和的条件下都能够实现加成2、加成方向马氏规则(本质上是取代基效应)3、加成试剂HX、X2、HOX4、共觇烯坯的加成1, 2■加成比1, 4■加成活性更高,所以反应可能首先生成1, 2■加成产物,但1, 4■加成产物稳定性更好,较高的反应温度或较反的反应时间,1, 4■加成产物可能会成为主要产物三、烯丙位或侧链的自由基卤代1、反应是自由基历程,反应条件光照或加热,引发剂能够促进反应2、当有多个位置可能被取代时,节位或烯丙位优先3、反应有多取代异构体,由卤化深度的控制4、侧链卤代吋,不能有过渡金属离子存在(即Lewis酸),否则可能有环上卤代发生5、烯丙位卤代反应的竞争是双键的加成,高温不会发生加成,但低温下反应,主要产物是加成产物四、疑基置换反应1、醇的置换卤代反应活性:短链〉长链、叔醇〉仲醇〉伯醇醇〉酚卤代试剂:浓HX酸-浓盐酸、浓蛍澳酸(HI不宜)含磷卤代试剂・PX3、PX5含硫卤代试剂-SOCb2、酚的置换卤代只能用强卤代试剂如PX3、PX.53、酸的卤代制备酰卤卤代试剂一般用SOCB、PX3五、拨基a—位卤代1、反应是指醛、酮、酸衍生物的。
精细有机合成复习题09一、名词解释(每题3分)1卤化:2磺化:3硝化:4烷基化:5酰化:6氧化:7。
磺化π值:;8.D.v.s:9硫酸还原:10。
氯化深度:11。
F.n.a:12废酸比较:13硝酸比:14氨解:II。
填空(每空1分)1.从天然气和石油中可获得_______、、、等脂肪烃。
2.萘在低温磺化时主要产物为,在较高温度下为_____________。
3.SO3在室温下有四种聚合形式。
这是液体。
4.使用SO3磺化时,注意防止________;和其他副作用。
5.共沸脱水磺化法适用于。
6.注意氯磺酸的磺化。
7.硝化方法常见有______种,工业上常采用______________________,主要适用于。
8.硝化加料方法有_______、、三种。
9.硝化反应的主要活泼质点是___________________________。
10.自由基的产生包括三种方法。
11.从天然气和石油中可获得_______、、等芳香烃。
12.硝化反应器常用制成,因此要控制废酸浓度不低于防腐烂的13.酸和废物的处理方法。
14.烘焙磺化主要用于。
15.氟化物制备可通过_______________、、。
16.链反应有_____________、___________、____________三步。
17卤化技术可分为三种类型。
18芳环上的卤化反应属于____________________19工业发烟硫酸有两种规格,一种含游离so3约,另一种含游离so3,约20在连续分离器中,可加入以加速硝化产物与废酸分离。
21硝酸比指22与23氯相比,碱水解可引入__________________。
24还原反应是指有机分子中氢原子_____或氧原子_____的反应。
25羧酸酐比羧酸更________发生酰化反应(填“容易”或“难”)。
26c-烷基化反应中应用最广泛的催化剂是__________________。
27醋酸与醇按等量反应制备酯,伯醇的反应活性最高,仲醇的反应活性最高,叔醇的反应活性最高。
技术资料精细有机单元反应习题集精细有机单元反应教材编写组2007,6第一章绪论一、填空题1、所谓“精细化率”是指。
2、精细化学品是经加工的,具有或最终使用性的,品种、产量小、附加高的一大类化工产品。
3、我国原化学工业部上个世纪八十年代颁布的《关于精细化工产品的分类的暂行规定和有关事项的通知》中明确规定,中国精细化工产品包括个产品类别。
4、有机精细化学品的合成是由若干个基本反应组成。
这些基本反应我们称之单元反应。
重要的单元反应有。
5、在新的合成路线设计和选择时,要优先考虑、污染环境不大且容易治理的工艺路线。
6、天然气的主要成分是。
根据甲烷含量的不同,天然气可分为两种。
7、煤通过方法提供化工原料。
8、催化重整是得到三种重要芳烃原料的方法。
二、判断题1、氧化锌类感光材料、铁酸盐类磁性材料、精细陶瓷产品、包括导电陶瓷、透光陶瓷等一般均属有机精细化学品。
2、在合成路线设计中,反应的排列方式也直接影响总收率。
一般来说,在反应步数相同的情况下,线性法的总收率高于收敛法,因此,尽可能采用线性法。
3、碳水化合物是由碳、氢、氧三种元素组成,它们的分子组成一般可表示为Cx(H2O)y, 如葡萄糖C6H12O6=C6(H2O)6,蔗糖C12H22O11=C12(H2O)11,所以说碳水化合物是由碳和水组成的化合物。
4、在进行合成路线设计和选择时,应尽量少用或不用易燃、易爆和有剧毒原料和试剂。
5、合成路线中反应步数和反应总收率是评价合成路线的最直接、最主要的标准。
三、简答题1、为什么说合成路线中反应步数和反应总收率是评价合成路线的最直接、最主要的标准。
2、简述精细化学品合成的原料来源。
3、在设计精细有机合成路线时,需要考虑哪些主要问题?4、写出以下基本化工原料主要来自哪种资源:(1)甲烷;(2)一氧化碳;(3)乙炔;(4)乙烯;(5)C18~C30直链烷烃;(6)C12~C18直链脂肪烃;(7)苯;(8)萘。
5、对精细化学品的定义进行释义。
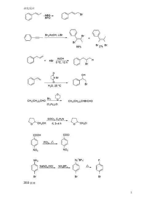
1卤化反应卤化反应NBSBPOBrBr BrBr BrBr 2/AcOH,LiBr98%2%++HBrAcOH 0o C,12hBrH N Br O OH 2O,25o COHBrCH 3(CH 2)5CHOBr 2(C 2H 5)2OCH 3(CH 2)4CHBrCHOOOOCH 2OHSOCl 2,C 5H 5Nrt,3~4hOCH 2ClCOOHNO 2COClNO 2PCl 3,NH 2Br N 2+BF 4-Br FBr NaNO 2/HClNH 4BF 42010新增新增COOH Cl 2/PCl 2170o CCOOHCl(CH 3)3CCH 3O (1) Cl 2, NaOH, H 2O (2) H +(CH 3)3C OOHC H C HO C OCH 3H 2C C5H 11NBS, BPO CCl 4, refluxC H C HO C OCH 3H C C 5H 11BrCH 3(CH 2)14COOHHgO, Br 2, CCl 2, 0 o CCH 3(CH 2)14Br磺化反应磺化反应ClNO 2NO 2SO 3NaNO 2NO2NaHSO 3,MgO60~65o CNO 2NH 2SO 3NaNaHSO 3NO 2NH 2NH 2SO 3Na +NaHSO 32010新增新增以甲苯为原料合成邻氯甲苯以甲苯为原料合成邻氯甲苯烷基化反应烷基化反应OHOH(H 3C)3CC(CH 3)3H 2SO 465o C+抗氧化剂BHTOHOCH 3+(CH 3)3COH H 3PO 4or H 2SO 480o C OHOCH 3C(CH 3)3抗氧化剂BHAOHHOOH+CH 3COCH 3H +塑料抗氧化剂双酚AO OO O+CH 3IK 2CO 3/acetone refluxC 4H 9C CH C 4H 9C CLiC 4H 9C CC 5H 11n-C 4H 9LiHMPT,C 6H 14n-C 5H 11ClHC CH +HCHOC CH2Cu 110~1200C,4.413*105PaHOH 2CC CCH 2OHNH 2+2C 2H 5ClNaOH120~220o CN(C 2H 5)2+HClNH 2NHC 4H9NH 2+C 4H 9OHZnCl 2210o C,0.8MPaNHC 4H 9ZnCl 2250~300o C,2.2MPaC 4H 9(CH3)3N C10H21CHCOOHBrC10H21CHN+(CH3)3COO-30oC+HNNH2HNNHCH(CH3)2+O HCH2CH 2OH CH2CH2OCH3(CH3)2SO4,NaOH(n_C4H9)4N+I-C8H17OH C8H17O(CH2CH2O)n H+OO OCH2OCl+HClZnCl 2+Br CNCuCN+N215~225o C,15hOH3CSO 2O H3CSO2OCNOH+KCNAcOH,CHCl3EtOH酰化反应酰化反应NaO3SOH NH 2+ClCH 2COClNaOH,0~5oCNaO 3S OHCOCH 2ClCH 3NH 2NH 2CH 3NCONCO+COCl 2+HClOCOOHH 2SO 4,130~140o COOOCH 3C(CH 3)3ClO OOCH 3C(CH 3)3ZnCl 2/C 2H 2Cl 4+ClO OAlCl 3,CS 2RefluxHCl,H 2O+HCN +HClZnCl 2NHHHClH 2OHO C H 2OO O +OClNa,Et 2OH CO O OOH 2O,RefluxNH 4Cl,NH 4OH,H 2OH 2CO OH 2CO OO氧化反应氧化反应OHOH O 2,PtO 2/Heptane60o CNNNN COOH COOHKMnO 4,H 2O 68~70oCNNCH 3COOHKMn 4OH -ONa 2Cr 2O 7HAcOH CH 3O CH 3Na 2Cr 2O 7,H 2SO 4H 2O,C 6H 6,HOAc,10o CO nOOnOO O HOCF 3CO 3H Na 2CO 3,CH 2Cl 2OH OHCHO CHOPb(OAc)4还原反应还原反应OHOCH 2PhPhCH 2ClPyridine1.KMnO 4,H +2.H 2,PtCOOHCOOH OH +PhCH 3NNNO 2Cl NH 2ClFe/CH3COOH 60~90o CNO 2NO 2NH 2NO2NaS x+H 2O+Na 2S 2O 3+S+ONNH 2t -C 4H 9OK(CH 3)2SO,25o CCOORNO 2CH 2OHNO 2NaBH 4/AlCl 3O(CH 2CH 2OCH 3)2OOHCH 3CHOHCH 3/Al(OCH(CH 3)2)3缩合反应缩合反应HO HO OH HO HO +OOHNClH ++CH 2OC 2H 5OH refluxNClHO +(CH 3CO)2OCH 3COONaOHO H O OH OO+(CH 3CO)2OCH 3COONaO+ClCH 2COOC 2H 5NaNH 2OOC 2H 5O OOC 2H 5OOC 2H 5+CH 3COOC 2H 5NaOC 2H 5OOC 2H 5OOOC 2H 5OO OC 2H 5OC 2H 5Na,HOC 2H 5OC 2H 5OOCHOOHONaCN,EtOH,H 2OPH =7~8,Reflux, 1.5hO+SMgBrSHOOOC 2H 5O 2CCO 2C 2H 5+CH 2(CO 2C 2H 5)2NaOC 2H 5相转移催化原理相转移催化原理 醇醛缩合反应机理醇醛缩合反应机理 安息香缩合反应机理安息香缩合反应机理一、一、 相转移催化是20世纪60年代末发展起来的新的化学合成方法。
《精细有机合成基础》练习题第一章 有机合成反应理论1. 比较下列化合物进行S N 1反应时快慢,并解释。
A .CH 3CH 2 CH 2 CH 2 CH 2Br答:(考察烷基结构的影响)叔>仲>伯,原因:在S N 1反应中,正碳离子的生成是反应速度的控制步骤,因此卤代烷的反应活性主要取决于生成的正碳离子的稳定程度。
叔正碳离子上有较多的C-H 键与正碳离子的空轨道发生超共轭效应,结果使正碳离子上的正电荷分散而稳定,因而叔正碳离子最稳定,仲正碳离子次之,伯正碳离子的超共轭效应最少,所以稳定性最差。
B .CH 3CH 2CH 2Cl CH 3CH 2CH 2I CH 3CH 2CH 2Br答:(考察离去基团的影响),I>Br>Cl ,原因:离去基团的碱性越弱,形成的负离子越稳定,越容易被进入基团取代,而碱性排序有I<Br<Cl 。
2. 比较下列化合物进行S N 2反应时快慢,并解释。
A .CH 3CH 2 CH 2 CH 2 CH 2Br答:(考察烷基结构的影响)伯>仲>叔,原因:对于双分子反应,必须由两个分子碰撞才能发生反应,所以反应速度的差别直接和取代基大小有关,而与它的吸电子或给电子的能力无关。
随着连有卤素的碳原子上所接的取代基数目的增加,S N 2反应的活性就降低。
B .答:同第1题B 。
3.下列各组亲核取代反应中,反应速度较快的是①、( B )②、(B)①、A.CH3CH2CH2Br + NaOH →CH3CH2CH2OH + NaBrB.CH3CH2CH2Br + NaSH →CH3CH2CH2SH + NaBr理由:亲核性-SH>-OH,同族元素的半径越大、其变形性越大,亲核性越强。
②、A.B.理由:(考察取代基的电子效应),-CH3是给电子基团,会增大-CH2Cl中碳原子的电子云密度,不利于亲核反应的进行;-NO2是强吸电子基团,使-CH2Cl中碳原子的电子云密度降低,有利于亲核反应的进行。
2006~2007学年期末考试试卷2010~2011学年期末考试精细有机合成化学与工艺复习题及答案一、完成下列反应方程式二、判断改错题三、简答题四、计算题1、2、五、讨论题六、用苯、甲苯和萘为原料合成下列化合物,并注明主要反应条件七、用苯、甲苯和萘为原料合成下列化合物,并注明反应名称和主要反应条件1、精细化学品与精细化工的概念与特点。
精细化学品:“凡能增进或赋予一种(类)产品以特定功能,或本身具有特定功能的小批量或高纯度化学品”。
精细化学品的特点:① 产品功能性强(专用性)② 批量小③ 品种多④ 利润率高⑤ 更新换代快精细化工 :“生产精细化学品的工业”。
“它属于一类化工产品的生产行业” 。
精细化工的特点:① 多品种、小批量 ② 综合生产流程和多功能生产装置③ 高技术密集度 ④ 大量应用复配技术 ⑤ 新产品开发周期长,费用高 ⑥ 商品性强、市场竞争激烈2、新领域精细化学品的类别。
食品添加剂、饲料添加剂、电子化学品、造纸化学品、塑料助剂、皮革化学品、表面活性剂、水处理剂等。
3、精细化率的定义、我国目前的精细化率。
精细化率是一个国家或地区化学工业发达程度和化工科技水平高低的重要标志。
我国目前的精细化率为45%。
4、世界精细化工的发展趋势。
发达国家新领域精细化工发展迅速、重视化境友好绿色精细化学品和超高功能及超高附加值产品,发展绿色化生产与生物工程技术。
传统精细化工向发展中国家转移。
5、我国精细化工的现状与存在的主要问题。
●我国精细化工产品的自我供应能力已有了大幅度的提升,传统精细化工产品不仅自给有余,而且大量出口;新领域精细化工产品的整体市场自给率达到70%左右。
一些产品在国际市场上具有较大的影响力。
●目前国内精细化工产品尚难以满足细分市场需求。
以中低档产品为主,难以满足高端市场要求,以电子化学品为代表的高端精细化学品严重依靠进口。
● 在快速变化的市场面前,我国的研发力量还很不足的,特别是薄弱的精细化工的基础性研究已成为我国开发新技术和新产品的重要制约因素。
精细化工课后习题及答案化工0951、以下化工原料主要来自哪些资源:(1)甲烷(2)一氧化碳(3)乙炔(4)乙烯(5)苯(6)萘答:(1)天然气(2)煤的气化(3)煤制电石(4)石油烃类热裂解(5)石油馏分催化重整(6)煤的高温干馏2、相似相溶原则:溶质易溶于化学结构相似的溶剂,而不易溶于化学结构完全不同的溶剂。
极性溶质易溶于性溶剂,非极性溶质易溶于非极性溶剂。
1什么是精细化工,精细化工的特点是什么?2什么是精细化学品,请列举五类主要的精细化学品。
3精细化学品的原料来源主要有哪些?4精细有机合成的主要单元反应有哪些?绝大多数是按照经过σ络合物中间体的两步历程进行的。
第一步是亲电试剂E+进攻芳环,先生成π络合物,接着E+与芳环上某一个碳原子形成σ键,生成σ络合物中间体。
第二步是σ络合物中间体脱落一个H+,生成取代产物。
2.取代基的电子效应包括哪些内容?诱导效应、共轭效应、超共轭效应统称取代基的电子效应。
3、萘环的α位比β位的亲电取代反应活性高的原因是什么?α-取代和β-取代中间体正离子含有一个苯环的较稳定的共振结构式:α-取代时,含有一个苯环的较稳定的共振结构式有两个,而β-取代时只有一个;同时α-取代的中间体正离子的的一个共振结构式中非苯环部分有一个烯丙基型正碳离子直接和苯环相连,使电子离宇范围较大,因而取代需要的能量更低。
上述两个原因使萘的一元亲电取代在α位比β位更容易发生。
4、苯发生亲电取代反应时,亲电试剂的活泼性越高,亲电取代反应速度越快,反应的选择性越低。
亲电试剂的活泼性越低,亲电取代反应速度越低,反应的选择性越高。
第三章1 芳环上亲电取代卤化时,有哪些重要影响因素?2 卤化反应用到的催化剂主要有哪些?3 丙酮用氯气进行氯化制一氯丙酮时,如何减少二氯化副产物?4 对叔丁基甲苯在四氯化碳中,光照下进行一氯化,生成什么产物?5 简述由甲苯制备以下化合物的合成路线和工艺过程(1)邻氯三氟甲苯(2)间氯三氟甲苯6 写出本章所遇到的各种亲电卤化反应、亲核卤化反应和自由基卤化反应的名称。
精细有机合成技术习题 第一项单选题第一部分:基础理论1 •下列物质中,不属于有机合成材料的是(A •聚氯乙烯B •电木塑料2. 下列物质中,不属于合成材料的是(A •的确良B •尼龙C •真丝3. 下列材料,属于无机非金属材料的是(A •钢筋混凝土B •塑料C •陶瓷 4. 在酒精的水溶液中,分子间的作用力有(A 、取向力、色散力 C 、A 、B 都有5. 大部分有机物均不溶于水,但乙醇能溶于水,原因是 AA.能与水形成氢键 B.含有两个碳原子 C.能形成稳定的二聚体D.乙醇分之间可以形成氢键6.在室温下能与硝酸银反应,并立刻生成沉淀的化合物是DA. CH 2=CHCIB. CH 3CH 2CH 2CIC. CH 3CHCICH 3D. CH 2CICH —CH 27.下列化合物中碱性最强的是 A乙酰苯胺D.氨D )。
C •有机玻璃 D •钢化玻璃C )D •腈纶C )。
D .钢铁 C )。
B 、诱导力、氢键 D 、A 、B 都没有A.二乙胺B. 苯胺C8. 下列化合物具有芳香性的是 DA 1NB□H C L DO9. 下列化合物哪个水解反应的速度最快 CA.酰胺B. 酯C. 酰氯D. 酸酐10 . 能区别伯、仲、叔胺的试剂是 DA.无水ZnCl2 +浓HCIB. NaHCO312.SP 3杂化的碳原子的空间几何形状是 AA.四面体型B.平面三角形 (SP 2杂化)C.直线型 (SP 杂化)D.金字塔型13. 下列化合物中含仲碳原子时是BA. CH 3CH(CH 3)2B. CH 3CH 2CH 3C. (CH 3)4C14.在苯环的亲电取代反应中,属于邻、对位定位基的是AA CH 3CONH —B ・—SO 3Hc. — NO 2 D ・ COCH 3115沸点最高的是(A )。
A :丁酸B :丁醛C : 丁醇D : 2-丁酮E : 1-丁烯 16. 下列化合物中碱性最强的是 AA. 二甲胺B. 苯胺C. 甲胺D. 氨 17. 甲基环己烷的最稳定构象是 ACH 3A, H 3「 B.「HH18. 能发生重氮化反应的胺是 DA>1CH 2NH 2 B. '一 NHCH 3 C.: 一 N (CH 3)2 D 」 一NH 219. 乙酰乙酸乙酯与FeCb 溶液呈紫色是由于它具有 DA.顺反异构B.构象异构C. 旋光异构D.互变异构20. 能与托伦试剂反应的化合物是BA.苯甲酸B.呋喃甲醛C.苯甲醇D. 苯乙酮21.下列环烷烃中加氢开环最容易的是 AA .环丙烷 B. 环丁烷 C. 环戊烷D. 环己烷22.下列化合物中,酸性最强的是 AA. CH 3CCI 2COOHB. CH 3CHCICOOHA. 丁醛B. 3-戊酮C. 2-丁醇D.叔丁醇D. CH 3CH 3CH 3C. CICH2CH2COOHD. CH3CH2COOH23. F列试剂哪一个不是亲电试剂?( C )A.NO2+B.CI2C.Fe2+D.Fe3+24.按极性分类,下列溶剂中哪一个是非极性溶剂? B A.丙酮B. 环己烷25.最常用的胺基化剂是:A A.氨水 B. 气氨 C.26.下面哪一个置换卤化最容易发生? B(a) CH 3 CH 2 CH 2 CH 2-0H + HCl (b)(CH3)3 C-OH + HCl(c) CH 3 CH2CH2CH 2-OH + HI(d) (CH ) C-OH + HI3327.苯与卤素的取代卤化反应 Ar + X2 == ArX + HX ,下面哪一个不能用作催化剂? CFeCb B.I 2 C.FeCl 2 D.HOCl 28.下面哪一个化合物最容易发生硝化反应?BA.氯苯B. 苯酚C. 一硝基苯D.苯磺酸29.生产乙苯时,用三氯化铝作催化剂,采用的助催化剂为: AA. HClB.HFC.H2SO4D.HNO30. 重氮化反应中,下面哪一个是亲电进攻试剂? B A.H+ B. NOCl C.NO2D.N2O431. 下列关于磺化n 值的说法正确的有(B ) A 、容易磺化的物质n 值越大;B、容易磺化的物质n 值越小;C 、n 值越大,所用磺化剂的量越少;D 、n 值越大,所用磺化剂的量越多。
精细有机合成习题三学号 班级一、卤代反应1、芳环上亲电取代卤化时,有哪些重要影响因素?答:1)反应物的结构 环上已有取代基影响反应活性和取代位置2)催化剂 反应试剂一般单质,催化剂用路易斯酸3)原料杂质。
由于使用路易斯酸催化,原料中的水份、某些杂环化合物会影响催化剂的活性,故工业生产中限制芳烃中水含量。
4)反应温度,温度升高,反应速度快,活性提高,但副产物增多。
5)由于该反应表现连串反应特点,随着反应进程增大,副产物增多,在工艺上必须控制卤化深度。
6)工业生产中,反应器类型对反应有影响。
如釜式反应器返混严重,副反应增加,而塔式反应器能够在一定程度上减少返混现象,副反应少。
2、简述由甲苯制备以下卤化合物的合成路线、各步反应的名称和主要反应条件。
解;1)CH 3Cl 2 ,FeCl 3CH 3ClCl , hvKF, DMFCF 3Cl环上亲电取代侧链自由基取代2)CH 3Cl 2, hvCCl 3KF, DMFCF 323CF 3Cl侧链自由基取代亲核氟置换环上亲电取代3)与反应1)类似4)CH 3Cl , FeCl 3CF 3Cl Cl5)CH3CCl 3Cl6)CH 33、写出以邻二氯苯、对二氯苯或苯胺为原料制备2,4-二氯氟苯的合成路线、每步反应的名称、各卤化反应的主要反应条件。
ClClFCl环上亲电取代氟亲核置换反应ClClCl 2 , FeCl 3ClClClFClClKF , DMSO 环上亲电取代氟亲核置换其它卤代烃制备NH 2ClCl224N 2+HSO 4-ClClNH 2ClCl224N 2+HSO 4-ClClCl ClNO 2N 2+HSO 4-Cl( X= Cl,Br,I,F )4、写出由副产2,3-二氯硝基苯制2,3,4-三氟硝基苯的合成路线中各步反应的名称,各卤化反应的主要反应条件。
ClClNO 2ClFNO 2ClFClCl , 200°C H 2SO 4 , HNO 3NO 2ClFClNO 2FFFKF , DMF /氟亲核置换氯自由基取代亲电硝化反应氟亲核置换二、磺化反应1、现需配制1000 kg H 2SO 4质量分数为100%的无水硫酸,试计算需用多少千克98.0%硫酸和多少千克20%发烟硫酸?解:20%发烟硫酸按硫酸百分率计=100% +0.225*20%=104.5% 设需98%硫酸xkg ,则 1000=0.98*x+(1000-x )*1.045 从而求得x 的量。
精细有机合成课后习题答案以下是为大家整理的精细有机合成课后习题答案的相关范文,本文关键词为精细,有机合成,课后,习题,答案,卤化,反应,nbsbrbp,您可以从右上方搜索框检索更多相关文章,如果您觉得有用,请继续关注我们并推荐给您的好友,您可以在综合文库中查看更多范文。
卤化反应nbsbrbpobr2/Acoh,Librbr+brbrbr98%2%+hbrAcoh0oc,12hhbroohnbroh2 o,25ocbroch3(ch2)5chobr2och(c3(ch2)4chbrcho2h5)2osocl2,c5h5noch2ohrt,3~4hoch2clcoohcoclpcl3,no2no2nh2n2+bF4-Fnano2/hclnh4bF4brbr br20XX新增1coohclcl2/pcl2cooh170oco(1)cl2,naoh,h2oo(ch3)3cch3(2)h+(ch3)3cohhonbs,bpocho5h11c2chchocch3ccl5h11cc4,refluxcbrhchocch3hgo,brch3(ch2)14cooh2,ccl2,0occh3(ch2)14br磺化反应clso3nano2nahsono3,mgo260~65ocno2no2no2nh2nahso3so3nano2nh2 nh2nahso3+so3na20XX新增以甲苯为原料合成邻氯甲苯2烷基化反应oh(hc)cohc(ch)3333+h2so465oc抗氧化剂bhTohohc(ch3)3+(ch3)3cohh3po4orhso80o24coch3och3抗氧化剂bhAoh++ch3cochh3hooh塑料抗氧化剂双酚Aoo+cho3IK2co3/acetoneorefluxc4h9cchn-c5h11clhmpT,4h9Lic6h14c4h 9ccLin-cc4h9ccc5h11hcch+hchocucch2110~1200c,4.413*105pahoh2cccc h2ohnh2+2c2hnaoh5cl120~220ocn(c2h5)2+hclnh2+cZncl4h9oho2210c,0 .8mpanhc4h9nhcZncl4h9o2250~300c,2.2mpac4h9nh23(ch3)3n+c10h21chcoohbr30occ10h21chn+(ch3)3coo-hn+nh2ohhnnhch(c h3)2ch2ch2oh(ch3)2so4,naoh(n_c4h9)4n+I-ch2ch2och3c8h17oh+oc8h1 7o(ch2ch2o)nho+ch2o+hclZncl2oclbrncn+cucn215~225oc,15hoohcnAco h,chcl3etohh3cso2o+h3cso2oKcn4酰化反应nao3snh2s+clch0~5onaoc32coclnaoh,ohohch3ch3nh2nco+cocl2+hclnh2 ncoooh2so4,130~140occoohooch3ooch3o+clZncl2/c2h2cl4c(ch3)3c(ch3) 3ooAlcl3,cshcl,h2oclReflux2ho+hcn+hclZncl2nhhclh2ohooooohna,et2oco cho+cl2oh2o,Refluxh2cooonhh4cl,nh4oh,h2o2coo2cl5coch最后,小编希望文章对您有所帮助,如果有不周到的地方请多谅解,更多相关的文章正在创作中,希望您定期关注。
精细有机合成习题三姓名学号班级一、卤代反应1、芳环上亲电取代卤化时,有哪些重要影响因素答:1)反应物的结构环上已有取代基影响反应活性和取代位置2)催化剂反应试剂一般单质,催化剂用路易斯酸3)原料杂质。
由于使用路易斯酸催化,原料中的水份、某些杂环化合物会影响催化剂的活性,故工业生产中限制芳烃中水含量。
4)反应温度,温度升高,反应速度快,活性提高,但副产物增多。
5)由于该反应表现连串反应特点,随着反应进程增大,副产物增多,在工艺上必须控制卤化深度。
6)工业生产中,反应器类型对反应有影响。
如釜式反应器返混严重,副反应增加,而塔式反应器能够在一定程度上减少返混现象,副反应少。
2、简述由甲苯制备以下卤化合物的合成路线、各步反应的名称和主要反应条件。
解;1)CH3Cl2 ,FeCl3CH3ClCl, hvCCl3ClKF, DMFCF3Cl环上亲电取代侧链自由基取代氟的亲核置换2)CH3Cl2, hv CCl3KF, DMFCF323CF3Cl侧链自由基取代亲核氟置换环上亲电取代3)与反应1)类似4)CH 3Cl , FeCl 3CF 3Cl5)CH3CCl 36)CH 33、写出以邻二氯苯、对二氯苯或苯胺为原料制备2,4-二氯氟苯的合成路线、每步反应的名称、各卤化反应的主要反应条件。
ClClFCl环上亲电取代氟亲核置换反应ClClCl 2 , FeCl 3ClClClFClClKF , DMSO 环上亲电取代氟亲核置换其它卤代烃制备NH 2ClCl224N 2+HSO 4-ClClNH2Cl Cl224N2+HSO4-ClClCH3OHCl ClCl ClNO2NO2ClClNH2ClClN2+HSO4-ClClXClCl( X= Cl,Br,I,F )4、写出由副产2,3-二氯硝基苯制2,3,4-三氟硝基苯的合成路线中各步反应的名称,各卤化反应的主要反应条件。
ClClNO2ClF2ClFCl, 200°CH2SO4 , HNO3NO2ClFClNO2FFFKF , DMF /氟亲核置换氯自由基取代亲电硝化反应氟亲核置换二、磺化反应1、现需配制1000 kg H2SO4质量分数为100%的无水硫酸,试计算需用多少千克%硫酸和多少千克20%发烟硫酸解:20%发烟硫酸按硫酸百分率计=100% +*20%=%设需98%硫酸xkg,则1000=*x+(1000-x)*从而求得x的量。
2、简述由对硝基甲苯制备以下芳磺酸的合成路线、各步反应的名称、磺化的主要反应条件。
解CH 3NO 2发烟H SOCH 3NO 2SO 3HCH 3SO 3HNH 2磺化反应还原反应Fe ,H 2O 1)CH 3NO 2浓H 2SO 4CH 3NO 2CH 3NH 2磺化反应还原反应Fe ,H 2O 2)SO 3HCH 3NO 2浓H 2SO 4CH 3NO 2CH 3NH 2磺化反应还原反应Fe ,H 2O 3)SO 3HCl 2, FeCl 3CH 32Cl亲电取代Cl Cl3、写出以下磺化反应的方法和主要反应条件。
1)NH 2OCH 2CH 3NH 2OCH 2CH 3SO 3H烘焙磺化法170-180°2)NH 22CH 3NH 2OCH 2CH 3SO 3H过量硫酸磺化法4、写出由苯制备4-氯-3-硝基苯磺酰氯的合成路线、各步反应的名称、主要反应条件和产物的分离方法。
SO 3HNO2Cl Cl 2, FeCl 3ClNO 2ClSO 2ClNO 2Cl1234步骤1 环上亲电取代反应,用三氯化铁催化步骤2 硝化反应,用混酸硝化,产物是邻对位异构体,用蒸馏方法分离产物得邻硝基氯苯。
步骤3过量发烟硫酸磺化法。
沉淀分离产物,干燥备用 步骤4氯代反应,用过量的二氯亚砜在惰性溶剂中对磺酸基团氯代,倒入冰水中沉淀析出产物。
三、硝化反应1、1)设1 kmol萘在一硝化时用质量分数为98%硝酸和98%硫酸,要求混酸的脱水值为,硝酸比Φ为,试计算要用98%硝酸和98%硫酸各多少千克、所配混酸的组成、废酸计算含量和废酸组成(在硝化锅中预先加有适量上一批的废酸,计算中可不考虑,即假设本批生成的废酸的组成与上批循环废酸的组成相同)。
2)根据所算得的混酸组成,当萘完全反应,硝酸的转化率分别为92%、94%、96%、98%和100%时,假设无副反应,试分别计算相应的硝酸比、混酸的和废酸的和废酸组成,并进行讨论。
2、简述由甲苯制备以下化合物的合成路线和工艺过程解1)CH3混酸硝化CH3NO2NO22CH3NO2NH22)CH3混酸硝化CH3NO2Fe ,H2OCH3NH2CH3NH2O2N3)CH3混酸硝化CH3NO2Fe, H2OCH32硝化CH3NH2NO2NaNO2,H2SO4CH3NO2N2+HSO4-H POCH3NO2 Fe, H OCH3NH2(CH CO)2OCH3NHCOCH3HNO, H SO NHCOCH3CH3O2N H3O+CH3O2NNH24)CH3HNO3,H2SO4CH3NO2NO2SnCl2CH3NO2NH25)略6)CH 3浓H 2SO 4CH 3SO 3H HNO,H SO 4CH 3SO 3HNO 2Cl , FeCl CH 3NO 2ClSO 3H50%H SO CH 3NO 2Cl7)CH 3CH 3NO 2CH 3NH 2CH 3NH 2NO 2CH 3NO 2N 2+Cl -CH 3NO 2Cl条件略8)CH 3O 2,Co(AcO)2COOHHNO , H SO 4COOHNO 2Fe, H 2OCOOHNH 2(CH 3CO)2O+COOHNHCOCH 3IClCOOHNHCOCH 3III3、简述由甲苯制备以下硝基三氟甲苯衍生物的合成路线和工艺过程。
(1)第一步 甲苯侧链氯代制备三氯甲基苯,第二步 三氯甲基苯氟置换制备三氟甲基苯,第三步 硝化CH 3CCl 3Cl 2, hvKF, DMFCF 332SO4CF 3NO 2(2)第一步,环上亲电氯代;第二步 侧链氯代;第三步 氟置换;第四步 硝化CH 3CCl 3Cl 2, hvKF, DMFCF 332SO4CF 3NO 2CH 3ClCl 2,FeCl 3ClCl(3)第一步,环上亲电氯代;第二步 侧链氯代;第三步 氟置换;第四步 硝化CH 3CCl 3Cl 2, hvKF, DMFCF 332CF 3NO 2CH 3Cl 2,FeCl 3Cl ClClCl四、还原反应1、写出制备以下产品的合成路线和主要工艺过程。
(1)第一步硝化;第二步磺化;第三步锌粉强碱性还原;第四步酸性重排HNO NO2H SONO2SO3HZn ,NaOHNHNHHO3SSO3HH2SO4 NH2HO3SSO3HH2N(2)第一步二步硝化;第二步,碱性水解;第三步甲基化;第四步硫化碱还原(或第二步甲氧基化;第三步硫化碱还原)Cl324ClNO22CH3ONaDMFOCH3NO2NO2NaHS OCH3NH2 NO22、以下还原过程,除了用催化氢化发以外,还可以使用哪些化学还原剂最好使用哪些化学还原剂不宜使用哪些化学还原剂(1)铁屑还原、锌粉还原、硫化碱还原、氢化铝锂还原,铁屑还原较经济(2)同上(3)硫化碱还原(4)铁屑还原、锌粉还原、氢化铝锂还原,铁屑还原较经济(5)锌粉还原(6)铁屑还原(7)同(1)(8)NaBH43、写出由氯苯制备4-乙酰氨基-2-苄基氨基苯甲醚的合成路线和各步反应的名称。
OCH 3NHCOCH 3NHCH 2PhClClNO 2NO 2OCH 3NO 2NO 2NaHS OCH 3NH 2NO 2CH 2ClOCH 3NHCH 2PhNO 2Fe, H O OCH 3NHCH 2PhNH 2HNO 3,H 2SO 4CH 3ONa CH 3COCl 硝化甲氧基化硫化碱还原N-烷基化铁屑还原N-酰基化五、氧化反应1、列出以下化合物在空气液相氧化时由难到易的次序。
由难到易次序是CH(CH 3)2CH 2CH 3CH 3C(CH 3)32、用高锰酸钾将甲基氧化成羧基时,为了控制介质的pH 值呈弱碱性,除了加入硫酸镁以外,还可以选用哪些廉价的化学试剂 由于高锰酸钾氧化有碱生成 MnO 4- +H 2O + 2e=MnO 2 +4OH -为避免碱的副反应,加入酸性物质中和碱,通入酸性氧化物如二氧化碳、二氧化硫;酸性盐如NaH 2PO 4 ;弱酸如乙酸3、简述对苯二酚的几种工业生产方法。
简述略1)OOHOOHOHOH2)NH 2OO OHOHMnO [H]3)CH 3CH 3COOHCOOHCONH 2CONH 2NH 2NH 2OHOH[O]NH 3NaClONaNO H 2SO 4H O +4)NO 2NH 2NH 2NO 2OHOHHNO 3[H]HNO 3NaNO 2H 2SO 4H 3O +H 2SO 4[H]NH 2NH 24、简述制备以下产品的路线和主要工艺过程。
1)CH 3HNO 3CH 32O 2COOHNO 2COOHNH 2CH 3COClCOOH NHCOCH 3HNO 3COOH3O 2NNH 3CONH 22O 2NCOOHNH 2O 2NP O CNNH 2O 2NH 2+O2)CH 3CH 3Cl 2,hvCH 2ClCH 2ClNaCNCH 2CNCH 2CNH +OCH 2CONH 2CH 2CONH 2NaClOCH 2NH 2CH 2NH 23)CH 3CH 322COOHCOOH5、对于由甲苯制备间硝基苯甲酸的两条合成路线进行评论。
1)CH 3KMnO 4COOHHNO ,H SO COOHNO 2化学氧化工艺简单,设备投资小;原料成本较高,环保性差 2)CH 3COOHCOOHNO 2O 2, Co(AcO)2设备投资大,可连续化工艺,生产效率高,适用大吨位产品生产。
原料成本低,环保性好六、重氮化反应1、简述制备以下化合物的合成路线。
NH 2CH 3NHNH 2CH 3H 3C SO 3H CH 3Br F CH 3NH 2F Cl CH 3COOH I ;;(1)(3)(2)(4)Cl FOH CH 3NO 2CHO NO 2NH 2NO 2NH 2ClCl NH 2OC 2H 5CNOC 2H 5SO 3H;;(5)(7)(6)(8)1)NH 2CH 3NH 2CH 3SO 3HH 2SO 4CH COClCH 3NHCOCH 3SO 3HNHCOCH 3CH 33H H 3CH 3+ONH 2CH 3H 3C 3H2H 2SO 4N 2+HSO 4-3H 3CSO 3HNa 2SO 3NHNH 2CH 3H 3C SO 3H2)CH 3HNO CH 3NO 2Fe, H 2OCH 3NH 2CH 32BrNaNO , HClHBF CH 3FBr3)、4)略Cl5)HNO , H SO ClNO 2KF DMFFNO 2Fe, H 2OFN 2+HSO 4-3+FOH6)略7)NH 2NO 2224H PO Cl Cl2Fe, H 2OCl Cl28)NH 2OCH 3H SO OCH 3NH 3+HSO -33H+-3H3CuCN NaCNCNSO 3HOCH 32、写出由对硝基氯苯制备2-氯-4-硝基苯胺的两条合成路线,并进行评论。