单项式乘多项式练习题(含答案)
- 格式:docx
- 大小:25.81 KB
- 文档页数:7
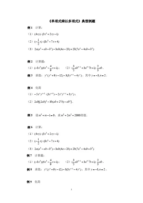
《单项式乘以多项式》典型例题例1 计算: (1))123()4(2-+⋅xy x xy(2))478()21(3+-⋅-x x x(3))47(2)24(3)(22222b ab a b b a ab b ab a a +-+----例2 计算题:(1))1944)(3(22+--x x x ; (2)ab b a ab m m 32)1353(11⋅++--.例3 求值:)43(3)129(1n n n n y y y y y ---++,其中2,3=-=n y .例4 化简(1))323(5132n n n n n n y y x y x y x +-⋅--++; (2)])2(3)2[(2222ab b ab b ab ab -+-.例5 设012=-+m m ,求2000223++m m 的值.例6 计算: (1))123()4(2-+⋅xy x xy(2))478()21(3+-⋅-x x x(3))47(2)24(3)(22222b ab a b b a ab b ab a a +-+---- 例7 计算题:(1))1944)(3(22+--x x x ; (2)ab b a ab m m 32)1353(11⋅++--。
例8 求值:)43(3)129(1n n n n y y y y y ---++,其中2,3=-=n y 。
例9 化简(1))323(5132n n n n n n y y x y x y x +-⋅--++; (2)])2(3)2[(2222ab b ab b ab ab -+-。
例10 设012=-+m m ,求2000223++m m 的值。
参考答案例1 解:(1)原式)1(424342-⋅+⋅+⋅=xy xy xy x xy xy y x y x 4812223-+=(2)原式4)21()7()21(8)21(3⋅-+-⋅-+⋅-=x x x x xx x x 227424-+-=(3)原式322222232814612222b ab b a ab b a ab b a a +-++---= 323242b ab a +-=说明:单项式乘以多项式,积仍是一个多项式,其项数与所乘多项式的项数相等,要注意积的各项符号的确定.若是混合运算,运算顺序仍然是先乘方,再乘除,运算结果要检查,如有同类项要合并,结果要最简.例2 分析:(1)中单项式为23x -,多项式里含有24x ,x 94-,1,乘积结果为三项,特别是1这项不要漏乘.(2)中指数为字母,计算时要注意底数幂相乘底数不变指数相加.解:(1)原式1)3()94()3(432222⋅-+⋅-+⋅-=x x x x x24433412x x x -+-=(2)ab ab b a ab m m 3232)1353(11+⋅++--.322523232332532211ab b a b a ab ab b a ab ab m m m m ++=+⨯+⨯=--说明:单项式与多项式的第一项相乘时,要注意积的各项符号的确定;同号相乘得正,异号相乘得负.例3 解:原式n n n n n y y y y y 129129112+--+=++ n y 2=当2,3=-=n y 时,81)3()3(4222=-=-=⨯n y说明:求值问题,应先化简,再代入求值.例4 分析:在计算单项式乘以多项式时,仍应按有理数的运算法则,先去小括号2)2(ab 和)(32b a ab b +,再去中括号.解:(1)原式)35()2)(5(3521232n n n n n n n n n n y y x y x y x y x y x --+--+⋅-=+-+++ 22122332151015++++-+-=n n n n n n y x y x y x (2)原式])3()3(4[22222ab b a b ab b b a ab --+-+=323322222222222282)4(22]4[2]334[2b a b a ab ab b a ab ab b a ab ab b a ab b a ab -=-+⋅=-=---=例5 分析:由已知条件,显然12=+m m ,再将所求代数式化为m m +2的形式,整体代入求解.解: 2000223++m m2000223+++=m m m20012000120002000)(200022222=+=++=+++=++⋅+⨯=m m m m m m m m m m m说明:整体换元的数学方法,关键是识别转化整体换元的形式. 例6 解:(1)原式)1(424342-⋅+⋅+⋅=xy xy xy x xy xy y x y x 4812223-+=(2)原式4)21()7()21(8)21(3⋅-+-⋅-+⋅-=x x x x xx x x 227424-+-=(3)原式322222232814612222b ab b a ab b a ab b a a +-++---= 323242b ab a +-=说明:单项式乘以多项式,积仍是一个多项式,其项数与所乘多项式的项数相等,要注意积的各项符号的确定。
2020-2021学年七年级数学下册尖子生同步培优题典【北师大版】专题1.5整式的乘法(2)单项式乘多项式姓名:__________________ 班级:______________ 得分:_________________注意事项:本试卷满分100分,试题共24题,选择10道、填空8道、解答6道.答卷前,考生务必用0.5毫米黑色签字笔将自己的姓名、班级等信息填写在试卷规定的位置.一、选择题(本大题共10小题,每小题3分,共30分)在每小题所给出的四个选项中,只有一项是符合题目要求的.1.下列运算正确的是()A.﹣(﹣3a n b)4=81a4n b4B.(a n+1b n)4=4a4n+4b4nC.(﹣2a n)2•(3a2)3=﹣54a2n+6D.(3x n+1﹣2x n)•5x=15x n+2﹣10x n+1【分析】根据单项式的乘法计算判断即可.【解析】A、﹣(﹣3a n b)4=﹣81a4n b4,错误;B、(a n+1b n)4=a4n+4b4n,错误;C、(﹣2a n)2•(3a2)3=54a2n+6,错误;D、(3x n+1﹣2x n)•5x=15x n+2﹣10x n+1,正确;故选:D.2.m(a2﹣b2+c)等于()A.ma2﹣mb2+m B.ma2+mb2+mc C.ma2﹣mb2+mc D.ma2﹣b2+c【分析】利用单项式乘多项式的计算方法:利用乘法分配律可以将单项式乘多项式转化成单项式乘单项式;直接计算得出结果即可.【解析】m(a2﹣b2+c)=ma2﹣mb2+mc.故选:C.3.(2020秋•南岗区期末)计算3a(5a﹣2b)的结果是()A.15a﹣6ab B.8a2﹣6ab C.15a2﹣5ab D.15a2﹣6ab【分析】根据单项式乘以多项式,先用单项式乘以多项式的每一项,再把所得的积相加计算.【解析】3a(5a﹣2b)=15a2﹣6ab.故选:D.4.(2020秋•万州区校级期中)当a﹣2b=2时,则代数式4a﹣8b﹣6的值为()A.14 B.﹣2 C.﹣4 D.2【分析】根据添括号法则把原式变形,把a﹣2b=2代入计算,得到答案.【解析】4a﹣8b﹣6=4(a﹣2b)﹣6,当a﹣2b=2时,原式=4×2﹣6=2,故选:D.5.(2020春•海伦市校级期末)计算x(1+x)﹣x(1﹣x)等于()A.2x B.2x2C.0 D.﹣2x+2x2【分析】根据单项式乘多项式的法则化简,再合并同类项即可求解.【解析】原式=x+x2﹣x+x2=2x2.故选:B.6.(2020春•新邵县期末)在一次数学课上,学习了单项式乘多项式,小明回家后,拿出课堂笔记本复习,发现这样一道题:﹣3x(﹣2x2+3x﹣1)=6x3﹣9x2+□,“□”的地方被墨水弄污了,你认为“□”内应填写()A.1 B.﹣1 C.3x D.﹣3x【分析】单项式与多项式相乘的运算法则:单项式与多项式相乘,就是用单项式去乘多项式的每一项,再把所得的积相加.【解析】﹣3x(﹣2x2+3x﹣1)=6x3﹣9x2+3x.故选:C.7.(2020秋•岳麓区校级月考)若一个长方体的长、宽、高分别为2x,x,3x﹣4,则长方体的体积为()A.3x3﹣4x2B.6x2﹣8x C.6x3﹣8x2D.6x3﹣8x【分析】根据长方体的体积=长×宽×高,列出算式,再根据单项式乘多项式的运算法则计算即可.【解析】由题意知,V长方体=(3x﹣4)•2x•x=6x3﹣8x2.故选:C.8.(2020春•嘉兴期末)已知,a+b=2,b﹣c=﹣3,则代数式ac+b(c﹣a﹣b)的值是()A.5 B.﹣5 C.6 D.﹣6【分析】先利用整式的混合计算化简,再代入数值解答即可.【解析】ac+b(c﹣a﹣b)=ac+bc﹣ab﹣b2=c(a+b)﹣b(a+b)=(a+b)(c﹣b),把a+b=2,b﹣c=﹣3代入(a+b)(c﹣b)=2×3=6,故选:C.9.(2020春•张家港市校级月考)要使﹣x3(x2+ax+1)+2x4中不含有x的四次项,则a等于()A.1 B.2 C.3 D.4【分析】先利用多项式乘以单项式法则及合并同类项法则进行运算,再根据不含x的四次项,确定x的值.【解析】原式=﹣x5﹣ax4﹣x3+2x4=﹣x5+(2﹣a)x4﹣x3∵﹣x3(x2+ax+1)+2x4中不含有x的四次项,∴2﹣a=0,解得,a=2.故选:B.10.(2019秋•武汉期末)将大小不同的两个正方形按图1,图2的方式摆放.若图1中阴影部分的面积是20,图2中阴影部分的面积是14,则大正方形的边长是()A.6 B.7 C.8 D.9【分析】设大正方形的边长为a,小正方形的边长为b,根据题意列方程组,即可得到结论.【解析】设大正方形的边长为a,小正方形的边长为b,根据题意可得:ab b(a﹣b)=20,ab=14,解得:a=7.故选:B.二、填空题(本大题共8小题,每小题3分,共24分)请把答案直接填写在横线上11.(2020秋•江北区校级期中)计算:﹣2a(3a﹣1)=﹣6a2+2a.【分析】根据单项式与多项式相乘,先用单项式乘多项式的每一项,再把所得的积相加计算即可.【解析】﹣2a(3a﹣1)=﹣6a2+2a.故答案为:﹣6a2+2a.12.(2020秋•南岗区期中)计算:(x﹣2y)(﹣5x)=﹣5x2+10xy.【分析】直接利用单项式乘多项式运算法则计算得出答案.【解析】(x﹣2y)(﹣5x)=﹣5x2+10xy.故答案为:﹣5x2+10xy.13.(2020春•舞钢市期末)计算()•()=x3y3+3x2y3.【分析】直接利用单项式乘多项式计算得出答案.【解析】()•()x2y•()﹣6xy•(xy2)x3y3+3x2y3.故答案为:x3y3+3x2y3.14.(2020秋•沙坪坝区校级月考)已知等式(2A﹣7B)x+(3A﹣8B)=8x+10,对一切实数x都成立,则A+B=.【分析】根据题意可得方程组,再解出A、B的值,然后可得A+B的值即可.【解析】由题意得:,解得:,则A+B,故答案为:.15.(2020春•白云区期末)已知a﹣b=3,b﹣c=﹣4,则代数式a2﹣ac﹣b(a﹣c)的值是﹣3.【分析】直接利用分组分解法分解因式,进而把已知代入得出答案.【解析】∵a﹣b=3,b﹣c=﹣4,∴a﹣b+b﹣c=a﹣c=﹣1,∴a2﹣ac﹣b(a﹣c)=a(a﹣c)﹣b(a﹣c)=(a﹣c)(a﹣b)=﹣1×3=﹣3.故答案为:﹣3.16.(2020•海陵区一模)已知a﹣2b=﹣2,则代数式a(b﹣2)﹣b(a﹣4)的值为4.【分析】直接利用单项式乘多项式计算,再把已知代入得出答案.【解析】a(b﹣2)﹣b(a﹣4)=ab﹣2a﹣ab+4b=﹣2a+4b=﹣2(a﹣2b),∵a﹣2b=﹣2,∴原式=﹣2×(﹣2)=4.故答案为:4.17.(2020•岳阳)已知x2+2x=﹣1,则代数式5+x(x+2)的值为4.【分析】直接将原式变形,再利用已知代入原式得出答案.【解析】∵x2+2x=﹣1,∴5+x(x+2)=5+x2+2x=5﹣1=4.故答案为:4.18.(2020春•北镇市期中)某同学计算一个多项式乘﹣3x2时,因抄错符号,算成了加上﹣3x2,得到的答案是x2x+1,那么正确的计算结果是﹣12x4.【分析】用错误结果减去已知多项式,得出原式,再乘以﹣3x2得出正确结果.【解析】这个多项式是(x2x+1)﹣(﹣3x2)=4x2x+1,正确的计算结果是:(4x2x+1)•(﹣3x2)=﹣12x4x3﹣3x2.故答案为:﹣12x4x3﹣3x2.三、解答题(本大题共6小题,共46分.解答时应写出文字说明、证明过程或演算步骤)19.(2020秋•袁州区校级期中)计算:(1)2b(4a﹣b2);(2)(﹣2a3)2+(﹣a2)3.【分析】(1)直接利用单项式乘多项式运算法则计算得出答案;(2)直接利用积的乘方运算法则化简,再合并同类项即可.【解析】(1)2b(4a﹣b2)=8ab﹣2b3;(2)(﹣2a3)2+(﹣a2)3=4a6﹣a6=3a6.20.计算:(1)2x(x2﹣1)﹣3x(x2);(2)(﹣2a2)•(ab+b2)﹣5a(a2b﹣ab2).【分析】(1)直接去括号,进而合并同类项得出答案.(2)直接去括号,进而合并同类项得出答案.【解析】(1)原式=x3﹣2x﹣x3﹣2x,=﹣4x.(2)原式=﹣2a3b﹣2a2b2﹣5a3b+5a2b2,=﹣7a3b+3a2b2.21.已知A=﹣2x2,B=x2﹣3x﹣1,C=﹣x+1,求:(1)A•B+A•C;(2)A•(B﹣C);(3)A•C﹣B.【分析】(1)直接利用已知结合单项式乘多项式运算法则化简,再合并同类项得出答案;(2)直接利用已知结合单项式乘多项式运算法则化简得出答案;(3)直接利用已知结合单项式乘多项式运算法则化简,再合并同类项得出答案.【解析】(1)∵A=﹣2x2,B=x2﹣3x﹣1,C=﹣x+1,∴A•B+A•C=﹣2x2•(x2﹣3x﹣1)﹣2x2•(﹣x+1)=﹣4x4+6x3+2x2+2x3﹣2x2=﹣4x4+8x3;(2)∵A=﹣2x2,B=x2﹣3x﹣1,C=﹣x+1,∴A•(B﹣C)=﹣2x2(x2﹣3x﹣1+x﹣1)=﹣2x2(x2﹣2x﹣2)=﹣2x4+4x3+4x2;(3)∵A=﹣2x2,B=x2﹣3x﹣1,C=﹣x+1,∴A•C﹣B=﹣2x2(﹣x+1)﹣(x2﹣3x﹣1)=2x3﹣2x2﹣x2+3x+1=2x3﹣3x2+3x+1.22.(2020秋•安居区期中)老师在黑板上书写了一个正确的演算过程,随后用手掌捂住了一个多项式,形式如下:×(xy)=3x2y﹣xy2xy(1)求所捂的多项式;(2)若x,y,求所捂多项式的值.【分析】(1)设多项式为A,则A=(3x2y﹣xy2xy)÷(xy)计算即可.(2)把x,y代入多项式求值即可.【解析】(1)设多项式为A,则A=(3x2y﹣xy2xy)÷(xy)=﹣6x+2y﹣1.(2)∵x,y,∴原式=﹣621=﹣4+1﹣1=﹣4.23.(2019秋•闵行区校级月考)已知x(x﹣m)+n(x+m)=x2+5x﹣6对任意数都成立,求m(n﹣1)+n (m+1)的值.【分析】把x(x﹣m)+n(x+m)去括号、合并同类项,然后根据与x2+5x﹣6对应项的系数相同,即可求得n﹣m和mn的值,然后代入求值即可.【解析】x(x﹣m)+n(x+m)=x2﹣mx+nx+mn=x2+(n﹣m)x+mn,∴则m(n﹣1)+n(m+1)=n﹣m+2mn=5﹣12=﹣7.24.(2019春•金安区校级期中)已知:A x,B是多项式,王虎同学在计算A+B时,误把A+B看成了A ×B,结果得3x3﹣2x2﹣x.(1)求多项式B.(2)求A+B.【分析】(1)根据整式的除法运算即可求出答案;(2)根据整式的加法运算即可求出答案.【解析】(1)由题意可知:x•B=3x3﹣2x2﹣x,∴B=(3x3﹣2x2﹣x)x=6x2﹣4x﹣2;(2)A+B x+(6x2﹣4x﹣2)=6x2x﹣2;。
14.1.4 第2课时 单项式与多项式相乘命题点1 单项式乘多项式1.计算3a(5a-2b)的结果是( )A.15a-6abB.8a2-6abC.15a2-5abD.15a2-6ab2.计算(-3x)·(2x2-5x-1)的结果是( )A.-6x3-15x2-3xB.-6x3+15x2+3xC.-6x3+15x2D.-6x3+15x2-13.如图果长方体的长为3a-4,宽为2a,高为a,那么它的体积是( )A.3a2-4aB.a2C.6a3-8a2D.6a2-8a4.式子a2(-a+b-c)与-a(a2-ab+ac)的关系是( )A.相等B.互为相反数C.前式是后式的-a倍D.前式是后式的a倍5.通过计算几何图形的面积可表示一些代数恒等式,如图可表示的代数恒等式是( )A.(a-b)2=a2-2ab+b2B.(a+b)2=a2+2ab+b2C.2a(a+b)=2a2+2abD.(a+b)(a-b)=a2-b26.若x(x+a+3)=x(x+5)+2(b+2)(x≠0)成立,则a,b的值分别为 .7.计算:(1)(-2a 2)(3ab 2-5ab 3);(2)(4a-b )·(-2b )2;(3)-a 2bc+2ab 2-35ac ·-23ac 2;(4)3x (2x 2-x+1)-x (2x-3)-4(1-x 2).8.某同学在计算一个多项式乘-3x 2时,因抄错运算符号,算成了加上-3x 2,得到的结果是x 2-4x+1,那么正确的计算结果是什么?9.一块长方形硬纸片,长为5a 2+4b 2,宽为6a 4 ,在它的四个角上各剪去一个边长为32a 3 的小正方形,然后折成一个无盖的长方体盒子,求这个无盖长方体盒子的表面积.命题点 2 相乘结果不含某项问题10.若(y 2-ky+2y )(-y )的展开式中不含y 的二次项,则k 的值为( )A.-2B.0C.2D.311.如图果(-3x)2x2-2nx+2的展开式中不含x的三次项,求n的值.3命题点3 化简求值问题12.先化简,再求值:3a(2a2-4a+3)-2a2(3a+4),其中a=-2.13.根据中的计算程序计算出“输出”结果:14.阅读下列文字,并解决问题.已知x2y=3,求2xy(x5y2-3x3y-4x)的值.分析:考虑到满足x2y=3的x,y的值不能确定,不可以代入求解,故考虑整体思想,将x2y=3整体代入.解:2xy(x5y2-3x3y-4x)=2x6y3-6x4y2-8x2y=2(x2y)3-6(x2y)2-8x2y=2×33-6×32-8×3=-24.请你用上述方法解决问题:已知ab=3,求(2a3b2-3a2b+4a)·(-2b)的值.15.已知x2-2=y,求x(x-3y)+y(3x-1)-2的值..16.解方程:x(3x-4)+2x(x+7)=5x(x-7)+90.17.解不等式:-2x(x+1)+(3x-2)x≥-x(-x+1).答案1.D2.B (-3x )·(2x 2-5x-1)=-6x 3+15x 2+3x.3.C 由题意得a ·2a ·(3a-4)=6a 3-8a 2.4.A a 2(-a+b-c )=-a 3+a 2b-a 2c ,-a (a 2-ab+ac )=-a 3+a 2b-a 2c ,所以二者相等.5.C6.2,-2 已知等式变形得x 2+(a+3)x=x 2+5x+2(b+2),可得a+3=5,2(b+2)=0,解得a=2,b=-2.7.解:(1)(-2a 2)(3ab 2-5ab 3)=(-2a 2)·3ab 2-(-2a 2)·5ab 3=-6a 3b 2+10a 3b 3.(2)(4a-b )·(-2b )2=(4a-b )·4b 2=16ab 2-4b 3.(3)-a 2bc+2ab 2-35ac ·-23ac 2=-a 2bc+2ab 2-35ac ·49a 2c 2=-49a 4bc 3+89a 3b 2c 2-415a 3c 3.(4)原式=6x 3-3x 2+3x-2x 2+3x-4+4x 2=6x 3-x 2+6x-4.8.解:这个多项式是(x 2-4x+1)-(-3x 2)=4x 2-4x+1.(4x 2-4x+1)(-3x 2)=-12x 4+12x 3-3x 2,∴正确的计算结果是-12x 4+12x 3-3x 2.9.解:长方形硬纸片的面积是(5a 2+4b 2)·6a 4=30a 6+24a 4b 2,小正方形的面积是32a 32=94a 6,则这个无盖长方体盒子的表面积是30a 6+24a 4b 2-4·94a 6=21a 6+24a 4b 2.10.C ∵(y 2-ky+2y )(-y )的展开式中不含y 的二次项,∴-y 3+ky 2-2y 2中不含y 的二次项.∴k-2=0,解得k=2.11.解:(-3x )2x 2-2nx+23=9x 2x 2-2nx+23=9x 4-18nx 3+6x 2.∵展开式中不含x 的三次项,∴-18n=0.∴n=0.12.解:3a (2a 2-4a+3)-2a 2(3a+4)=6a 3-12a 2+9a-6a 3-8a 2=-20a 2+9a.当a=-2时,原式=-20×4-9×2=-98.13. 解:y [y-3(x-z )]+y [3z-(y-3x )]=y (y-3x+3z )+y (3z-y+3x )=y 2-3xy+3yz+3yz-y 2+3xy=6yz.,y=-2,z=-5时,当x=-231317原式=6×(-2)×(-5)=60.即“输出”结果为60.14.解:(2a3b2-3a2b+4a)·(-2b)=-4a3b3+6a2b2-8ab=-4(ab)3+6(ab)2-8ab=-4×33+6×32-8×3=-108+54-2 4=-78.15.解:x(x-3y)+y(3x-1)-2=x2-3xy+3xy-y-2=x2-y-2.因为x2-2=y,所以x2-y-2=0,即原式=0.16.解:x(3x-4)+2x(x+7)=5x(x-7)+90,3x2-4x+2x2+14x=5x2-35x+90,45x=90,x=2.17.解:-2x2-2x+3x2-2x≥x2-x,-2x2-2x+3x2-2x-x2+x≥0,-3x≥0,x≤0.。
《单项式乘以多项式》典型例题例1 计算:(1))123()4(2-+⋅xy x xy(2))478()21(3+-⋅-x x x (3))47(2)24(3)(22222b ab a b b a ab b ab a a +-+----例2 计算题:(1))1944)(3(22+--x x x ; (2)ab b a ab m m 32)1353(11⋅++--. 例3 求值:)43(3)129(1n n n n y y y y y ---++,其中2,3=-=n y .例4 化简(1))323(5132n n n n n n y y x y x y x +-⋅--++;(2)])2(3)2[(2222ab b ab b ab ab -+-.例5 设012=-+m m ,求2000223++m m 的值.例6 计算:(1))123()4(2-+⋅xy x xy(2))478()21(3+-⋅-x x x (3))47(2)24(3)(22222b ab a b b a ab b ab a a +-+----例7 计算题:(1))1944)(3(22+--x x x ; (2)ab b a ab m m 32)1353(11⋅++--。
例8 求值:)43(3)129(1n n n n y y y y y ---++,其中2,3=-=n y 。
例9 化简(1))323(5132n n n n n n y y x y x y x +-⋅--++;(2)])2(3)2[(2222ab b ab b ab ab -+-。
例10 设012=-+m m ,求2000223++m m 的值。
参考答案例1 解:(1)原式)1(424342-⋅+⋅+⋅=xy xy xy x xyxy y x y x 4812223-+=(2)原式4)21()7()21(8)21(3⋅-+-⋅-+⋅-=x x x x x x x x 227424-+-= (3)原式322222232814612222b ab b a ab b a ab b a a +-++---=323242b ab a +-=说明:单项式乘以多项式,积仍是一个多项式,其项数与所乘多项式的项数相等,要注意积的各项符号的确定.若是混合运算,运算顺序仍然是先乘方,再乘除,运算结果要检查,如有同类项要合并,结果要最简.例2 分析:(1)中单项式为23x -,多项式里含有24x ,x 94-,1,乘积结果为三项,特别是1这项不要漏乘.(2)中指数为字母,计算时要注意底数幂相乘底数不变指数相加.解:(1)原式1)3()94()3(432222⋅-+⋅-+⋅-=x x x x x 24433412x x x -+-= (2)ab ab b a ab m m 3232)1353(11+⋅++-- .322523232332532211ab b a b a ab ab b a ab ab m m m m ++=+⨯+⨯=-- 说明:单项式与多项式的第一项相乘时,要注意积的各项符号的确定;同号相乘得正,异号相乘得负.例3 解:原式n n n n n y y y y y 129129112+--+=++n y 2=当2,3=-=n y 时,81)3()3(4222=-=-=⨯n y说明:求值问题,应先化简,再代入求值.例4 分析:在计算单项式乘以多项式时,仍应按有理数的运算法则,先去小括号2)2(ab 和)(32b a ab b +,再去中括号.解:(1)原式)35()2)(5(3521232n n n n n n n n n n y y x y x y x y x y x --+--+⋅-=+-+++ 22122332151015++++-+-=n n n n n n y x y x y x(2)原式])3()3(4[22222ab b a b ab b b a ab --+-+=323322222222222282)4(22]4[2]334[2b a b a ab ab b a ab ab b a ab ab b a ab b a ab -=-+⋅=-=---=例5 分析:由已知条件,显然12=+m m ,再将所求代数式化为m m +2的形式,整体代入求解.解: 2000223++m m2000223+++=m m m20012000120002000)(200022222=+=++=+++=++⋅+⨯=m m m m m m m m m m m说明:整体换元的数学方法,关键是识别转化整体换元的形式.例6 解:(1)原式)1(424342-⋅+⋅+⋅=xy xy xy x xyxy y x y x 4812223-+=(2)原式4)21()7()21(8)21(3⋅-+-⋅-+⋅-=x x x x x x x x 227424-+-= (3)原式322222232814612222b ab b a ab b a ab b a a +-++---=323242b ab a +-=说明:单项式乘以多项式,积仍是一个多项式,其项数与所乘多项式的项数相等,要注意积的各项符号的确定。
单项式乘多项式(北京习题集)(教师版)一.选择题(共2小题)1.(2017秋•北京期中)若22(2)x x ax bx -=+,则a 、b 的值为( )A .1a =,2b =B .2a =,2b =-C .2a =,4b =D .2a =,4b =-2.(2008•房山区二模)下列运算中,正确的是( )A .2510x x x +=B .2336()ab a b =C .22(1)21m m m +=+D .42=± 二.填空题(共5小题)3.(2016春•昌平区校级月考)长方体的长为1a +,宽为a ,高为3,这个长方体的体积为 .4.(2016秋•顺义区校级期中)如图中的四边形均为矩形,根据图形,仅用图中出现的字母写出一个正确的等式: .5.(2014秋•东城区校级期中)22(3)(21)x x x --+-= .6.(2019秋•海淀区校级期中)计算:0(3)π-= ;233(2)x y xy -= ;222(35)a a b -= .7.(2019春•昌平区校级月考)计算:22(35)(4)x y xy xy --= .三.解答题(共4小题)8.(2018秋•海淀区期末)已知0k ≠,将关于x 的方程0kx b +=记作方程◇.(1)当2k =,4b =-时,方程◇的解为 ;(2)若方程◇的解为3x =-,写出一组满足条件的k ,b 值:k = ,b = ;(3)若方程◇的解为4x =,求关于y 的方程(32)0k y b +-=的解.9.(2019春•东城区校级期末)计算:22212()2a b a b ab -. 10.(2019秋•北京期中)某同学在计算一个多项式乘23x -时,算成了加上23x -,得到的答案是2112x x -+,正确计算结果是多少?11.(2019春•石景山区期末)计算:24322(3)(5)x y x y x y --单项式乘多项式(北京习题集)(教师版)参考答案与试题解析一.选择题(共2小题)1.(2017秋•北京期中)若22(2)x x ax bx -=+,则a 、b 的值为( )A .1a =,2b =B .2a =,2b =-C .2a =,4b =D .2a =,4b =-【分析】先根据单项式乘以多项式法则求出22(2)24x x x x -=-,即可得出选项.【解答】解:22(2)24x x x x -=-,22(2)x x ax bx -=+,2a ∴=,4b =-,故选:D .【点评】本题考查了单项式乘以多项式法则,能正确根据单项式乘以多项式法则展开是解此题的关键.2.(2008•房山区二模)下列运算中,正确的是( )A .2510x x x +=B .2336()ab a b =C .22(1)21m m m +=+D 2=± 【分析】根据合并同类项、幂的乘方与积的乘方、单项式乘多项式的法则,算术平方根的定义作答.【解答】解:A 、257x x x +=,故本选项错误;B 、2336()ab a b =,故本选项正确;C 、22(1)22m m m m +=+,故本选项错误;D 2,故本选项错误.故选:B .【点评】本题综合考查了合并同类项、幂的乘方与积的乘方、单项式乘多项式和算术平方根,是基础题型,比较简单.二.填空题(共5小题)3.(2016春•昌平区校级月考)长方体的长为1a +,宽为a ,高为3,这个长方体的体积为 233a a + .【分析】根据长方体的体积公式=长⨯宽⨯高求解.【解答】解:长方体的体积2(1)333a a a a =+⨯⨯=+.故答案为:233a a +.【点评】本题考查了单项式乘多项式,解答本题的关键是熟练掌握长方体的体积公式和单项式乘多项式的法则.4.(2016秋•顺义区校级期中)如图中的四边形均为矩形,根据图形,仅用图中出现的字母写出一个正确的等式:()m a b c ma mb mc ++=++ .【分析】从两方面计算该图形的面积即可求出该等式.【解答】解:从整体来计算矩形的面积:()m a b c ++,从部分来计算矩形的面积:ma mb mc ++,所以()m a b c ma mb mc ++=++故答案为:()m a b c ma mb mc ++=++【点评】本题考查单项式乘多项式,解题的关键是利用等面积方法来求出该等式.5.(2014秋•东城区校级期中)22(3)(21)x x x --+-= 432363x x x -+ .【分析】直接利用单项式与多项式相乘的运算法则:单项式与多项式相乘,就是用单项式去乘多项式的每一项,再把所得的积相加.【解答】解:22432(3)(21)363x x x x x x --+-=-+.故答案为:432363x x x -+.【点评】此题主要考查了单项式乘以多项式,正确掌握运算法则是解题关键.6.(2019秋•海淀区校级期中)计算:0(3)π-= 1 ;233(2)x y xy -= ;222(35)a a b -= .【分析】原式利用零指数幂法则计算即可求出值;原式利用单项式乘以单项式法则计算即可求出值;原式利用单项式乘以多项式法则计算即可求出值.【解答】解:原式1=;原式346x y =-;原式42610a a b =-,故答案为:1;346x y -;42610a a b -【点评】此题考查了单项式乘多项式,单项式乘单项式,以及零指数幂,熟练掌握运算法则是解本题的关键.7.(2019春•昌平区校级月考)计算:22(35)(4)x y xy xy --= 33231220x y x y -+ .【分析】根据单项式与多项式相乘,先用单项式乘以多项式的每一项,再把所得的积相加计算.【解答】解:223323(35)(4)1220x y xy xy x y x y --=-+.故答案为:33231220x y x y -+.【点评】此题主要考查了单项式乘多项式的运算法则,熟练掌握运算法则是解题的关键.三.解答题(共4小题)8.(2018秋•海淀区期末)已知0k ≠,将关于x 的方程0kx b +=记作方程◇.(1)当2k =,4b =-时,方程◇的解为 2x = ;(2)若方程◇的解为3x =-,写出一组满足条件的k ,b 值:k = ,b = ;(3)若方程◇的解为4x =,求关于y 的方程(32)0k y b +-=的解.【分析】(1)代入后解方程即可;(2)只需满足3b k =即可;(3)介绍两种解法:方法一:将4x =代入方程◇:得4b k=-,整体代入即可; 方法二:将将4x =代入方程◇:得4b k =-,整体代入即可;【解答】解:(1)当2k =,4b =-时,方程◇为:240x -=,2x =.故答案为:2x =;(2)答案不唯一,如:1k =,3b =.(只需满足3b k =即可)故答案为:1,3;(3)方法一:依题意:40k b +=,0k ≠, ∴4b k=-. 解关于y 的方程:32b y k +=, 324y ∴+=-.解得:2y =-.方法二:依题意:40k b +=,4b k ∴=-.解关于y 的方程:(32)(4)0k y k +--=,360ky k +=,0k ≠,360y ∴+=.解得:2y =-.【点评】本题考查了一元一次方程的解,熟练掌握解一元一次方程是关键.9.(2019春•东城区校级期末)计算:22212()2a b a b ab -. 【分析】根据单项式乘多项式的法则计算即可.【解答】解:原式42332a b a b =-.【点评】本题考查了单项式与多项式相乘的运算法则:单项式与多项式相乘,就是用单项式去乘多项式的每一项,再把所得的积相加.单项式与多项式相乘时,应注意以下几个问题:①单项式与多项式相乘实质上是转化为单项式乘以单项式;②用单项式去乘多项式中的每一项时,不能漏乘;③注意确定积的符号.10.(2019秋•北京期中)某同学在计算一个多项式乘23x -时,算成了加上23x -,得到的答案是2112x x -+,正确计算结果是多少?【分析】根据题意得出多项式,进而利用单项式乘以多项式计算得出答案.【解答】解:由题意可得,原多项式为:22211134122x x x x x -++=-+, 故正确计算结果应为:2213(41)2x x x --+ 43231232x x x =-+-. 【点评】此题主要考查了单项式乘以多项式,正确掌握相关运算法则是解题关键.11.(2019春•石景山区期末)计算:24322(3)(5)x y x y x y --【分析】根据整式的运算法则即可求出答案.【解答】解:原式262626225x y x y x y =--262627x y x y =-【点评】本题考查整式的运算,解题的关键是熟练运用整式的运算法则,本题属于基础题型.。
《单项式乘以多项式》典型例题例1 计算:(1))123()4(2-+⋅xy x xy(2))478()21(3+-⋅-x x x (3))47(2)24(3)(22222b ab a b b a ab b ab a a +-+----例2 计算题:(1))1944)(3(22+--x x x ; (2)ab b a ab m m 32)1353(11⋅++--. 例3 求值:)43(3)129(1n n n n y y y y y ---++,其中2,3=-=n y .例4 化简(1))323(5132n n n n n n y y x y x y x +-⋅--++;(2)])2(3)2[(2222ab b ab b ab ab -+-.例5 设012=-+m m ,求2000223++m m 的值.例6 计算:(1))123()4(2-+⋅xy x xy(2))478()21(3+-⋅-x x x (3))47(2)24(3)(22222b ab a b b a ab b ab a a +-+----例7 计算题:(1))1944)(3(22+--x x x ; (2)ab b a ab m m 32)1353(11⋅++--。
例8 求值:)43(3)129(1n n n n y y y y y ---++,其中2,3=-=n y 。
例9 化简(1))323(5132n n n n n n y y x y x y x +-⋅--++;(2)])2(3)2[(2222ab b ab b ab ab -+-。
例10 设012=-+m m ,求2000223++m m 的值。
参考答案例1 解:(1)原式)1(424342-⋅+⋅+⋅=xy xy xy x xyxy y x y x 4812223-+=(2)原式4)21()7()21(8)21(3⋅-+-⋅-+⋅-=x x x x x x x x 227424-+-= (3)原式322222232814612222b ab b a ab b a ab b a a +-++---=323242b ab a +-=说明:单项式乘以多项式,积仍是一个多项式,其项数与所乘多项式的项数相等,要注意积的各项符号的确定.若是混合运算,运算顺序仍然是先乘方,再乘除,运算结果要检查,如有同类项要合并,结果要最简.例2 分析:(1)中单项式为23x -,多项式里含有24x ,x 94-,1,乘积结果为三项,特别是1这项不要漏乘.(2)中指数为字母,计算时要注意底数幂相乘底数不变指数相加.解:(1)原式1)3()94()3(432222⋅-+⋅-+⋅-=x x x x x 24433412x x x -+-= (2)ab ab b a ab m m 3232)1353(11+⋅++-- .322523232332532211ab b a b a ab ab b a ab ab m m m m ++=+⨯+⨯=-- 说明:单项式与多项式的第一项相乘时,要注意积的各项符号的确定;同号相乘得正,异号相乘得负.例3 解:原式n n n n n y y y y y 129129112+--+=++n y 2=当2,3=-=n y 时,81)3()3(4222=-=-=⨯n y说明:求值问题,应先化简,再代入求值.例4 分析:在计算单项式乘以多项式时,仍应按有理数的运算法则,先去小括号2)2(ab 和)(32b a ab b +,再去中括号.解:(1)原式)35()2)(5(3521232n n n n n n n n n n y y x y x y x y x y x --+--+⋅-=+-+++ 22122332151015++++-+-=n n n n n n y x y x y x(2)原式])3()3(4[22222ab b a b ab b b a ab --+-+=323322222222222282)4(22]4[2]334[2b a b a ab ab b a ab ab b a ab ab b a ab b a ab -=-+⋅=-=---=例5 分析:由已知条件,显然12=+m m ,再将所求代数式化为m m +2的形式,整体代入求解.解: 2000223++m m2000223+++=m m m20012000120002000)(200022222=+=++=+++=++⋅+⨯=m m m m m m m m m m m 说明:整体换元的数学方法,关键是识别转化整体换元的形式.例6 解:(1)原式)1(424342-⋅+⋅+⋅=xy xy xy x xyxy y x y x 4812223-+=(2)原式4)21()7()21(8)21(3⋅-+-⋅-+⋅-=x x x x x x x x 227424-+-= (3)原式322222232814612222b ab b a ab b a ab b a a +-++---=323242b ab a +-=说明:单项式乘以多项式,积仍是一个多项式,其项数与所乘多项式的项数相等,要注意积的各项符号的确定。
一、解答题(共19小题)1.计算:﹣6a•(﹣﹣a+2)考点:单项式乘多项式。
分析:根据单项式乘以多项式,用单项式去乘多项式的每一项,再把所得的积相加,计算即可.解答:解:﹣6a•(﹣﹣a+2)=3a3+2a2﹣12a.点评:本题主要考查单项式与多项式相乘,熟练掌握运算法则是解题的关键,计算时要注意运算符号.2.计算:(1)(﹣12a2b2c)•(﹣abc2)2=﹣a4b4c5;(2)(3a2b﹣4ab2﹣5ab﹣1)•(﹣2ab2)=﹣6a3b3+8a2b4+10a2b3+2ab2.考点:单项式乘多项式;单项式乘单项式。
分析:(1)先根据积的乘方,等于把积中的每一个因式分别乘方,再把所得的幂相乘;单项式乘单项式,把他们的系数,相同字母的幂分别相乘,其余字母连同他的指数不变,作为积的因式的法则计算;(2)根据单项式乘多项式,先用单项式去乘多项式的每一项,再把所得的积相加的法则计算即可.解答:解:(1)(﹣12a2b2c)•(﹣abc2)2,=(﹣12a2b2c)•,=﹣;故答案为:﹣a4b4c5;(2)(3a2b﹣4ab2﹣5ab﹣1)•(﹣2ab2),=3a2b•(﹣2ab2)﹣4ab2•(﹣2ab2)﹣5ab•(﹣2ab2)﹣1•(﹣2ab2),=﹣6a3b3+8a2b4+10a2b3+2ab2.故答案为:﹣6a3b3+8a2b4+10a2b3+2ab2.点评:本题考查了单项式与单项式相乘,单项式与多项式相乘,熟练掌握运算法则是解题的关键,计算时要注意运算符号的处理.3.﹣3x•(2x2﹣x+4)考点:单项式乘多项式。
分析:根据单项式与多项式相乘,用单项式去乘多项式的每一项,再把所得的积相加,计算即可.解答:解:﹣3x•(2x2﹣x+4),=﹣3x•2x2﹣3x•(﹣x)﹣3x•4,=﹣6x3+3x2﹣12x.点评:本题主要考查单项式与多项式相乘的运算法则,熟练掌握运算法则是解题的关键,计算时要注意运算符号.4.(3x2y﹣2x+1)(﹣2xy)考点:单项式乘多项式。
八年级上《单项式乘以多项式》同步练习含答案基础题知识点 1 直接运用法则计算1. ( 湖州中考 ) 计算 2x(3x 2+ 1) ,正确的结果是 ( )A . 5x 3+ 2xB . 6x 3+1C . 6x 3+ 2xD . 6x 2+ 2x2.计算 x(y - z) - y(z - x) +z(x - y) ,结果正确的是 ( )A . 2xy - 2yzB .- 2yzC . xy - 2yzD . 2xy - xz3.计算: a(a - 1) -a 2= ________. 4.计算: (1)(2xy2-3xy) ·2xy ;(2) - x(2x + 3x 2- 2) ;(3) - 2ab(ab - 3ab 2-1) ;(4)( 3a n + 1- b) ·ab.4 2知识点 2运用法则解决问题5.若一个长方体的长、宽、高分别为2x, x,3x- 4,则长方体的体积为( ) A. 3x 3- 4x2B. 6x2- 8xC. 6x 3- 8x2D. 6x3- 8x6.化简求值:3a(a 2-2a+ 1) -2a2(a - 3) ,其中 a=2.中档题7.一个矩形的周长为4a+ 4b,若矩形的一边长为a,则此矩形的面积为( ) A. a2+ a2b2B. 4a2+4abC. a2+ 2b2D. a2+ 2ab8.方程 3x(7 - x) =18- x(3x - 15) 的解为 ________.9.计算:1224(1)( -2ab)( 3ab - 2ab+3b+ 1);(2)3ab(a 2b-ab2- ab) -ab2(2a 2- 3ab+ 2a) .综合题122210.某同学在计算一个多项式乘以-3x时,算成了加上-3x,得到的答案是x-2x+ 1,那么正确的计算结果是多少?21 世纪教育网版权所有参考答案1. C 2.A 3. - a 4.(1)4x2y3-6x2y2.(2) -2x2- 3x3+ 2x.(3) - 2a2b2+ 6a2b3+ 2ab.原式= a3+ 3a= 14.7.D3n+ 212. 5.C 6. 原式= 3a32323当 a= 2时,(4) a b- ab-6a+ 3a- 2a+ 6a = a + 3a.421232222132228.x = 39.(1)-3a b+ a b -3ab -2ab.(2)a b - 5a b .10. 设这个多项式221212212433为 A,则 A+ ( - 3x ) = x -2x+ 1,∴ A= 4x-2x+1. ∴A·( - 3x ) = (4x-2x+ 1)(-3x) =- 12x+2x -3x2. 21教育网。
单项式乘以多项式·一.选择题;;1.(2015•黔东南州)下列运算正确的是();A.(a﹣b)2=a2﹣b2B.3ab﹣ab=2ab C.a(a2﹣a)=a2 D.2.(2015春•岱岳区期末)如果长方体的长为3a﹣4,宽为2a,高为a,则它的体积是()A.3a2﹣4a B.a2C.6a3﹣8a2D.6a2﹣8a3.(2015秋•重庆校级月考)化简x(2x﹣1)﹣x2(2﹣x)的结果是()A.﹣x3﹣x B.x3﹣x C.﹣x2﹣1 D.x3﹣14.(2015秋•遂宁校级月考)若三角形的底边为2m+1,高为2m,则此三角形的面积为()A.4m2+2m B.4m2+1 C.2m2+m D.2m2+m5.(2014春•南海区校级期中)下列计算正确的是();;A.(﹣2a)•(3ab﹣2a2b)=﹣6a2b﹣4a3bB.(2ab2)•(﹣a2+2b2﹣1)=﹣4a3b4C.(abc)•(3a2b﹣2ab2)=3a3b2﹣2a2b3D.(ab)2•(3ab2﹣c)=3a3b4﹣a2b2c6.(2013秋•鲤城区校级期末)三个连续的奇数,若中间一个为a,则它们的积为()A.a3﹣4a B.a3﹣6a C.4a3﹣a D.4a3﹣6a7.(2013秋•合浦县期末)今天数学课上,老师讲了单项式乘以多项式,放学回到家,小明拿出课堂笔记复习,发现一道题:﹣3xy(4y﹣2x﹣1)=﹣12xy2+6x2y+□,□的地方被钢笔水弄污了,你认为□内上应填写()A.3xy B.﹣3xy C.﹣1 D.1二.填空题;;8.(2015春•南长区期中)计算(﹣a4)(6a3﹣12a2+9a)= ,十边形的内角和是.9.(2014春•胶南市校级月考)= .10.(2013秋•万载县校级月考)若(x2+ax+1)•(﹣ax3)的展开式中,不含有x4项,则3a ﹣1的值为.11.(2013春•富阳市校级期中)一个多项式与的积为x5y2﹣3x4y3﹣x3y4z,那么这个多项式为.12.(2013秋•江油市校级月考)通过计算图中所示的几何图形的面积,可表示的代数恒等式是.13.(2011秋•淅川县期中)已知ab2=﹣3,则﹣ab(a2b5﹣ab3﹣b)= .三.解答题14.(2014秋•陇西县期末)(1)计算:()2÷(﹣)2(2)计算:(x2y﹣xy2﹣y3)(﹣4xy2).15.若(a m+b)•2a3b4=2a7b4+2a3b n(a≠0,a≠1,b≠0,b≠1).求m+n的值.16.若(1+x4y a)•(﹣x b y)2=x16y4+x2b•y2,求ab的值.17.(2015春•芦溪县期中)某同学在计算一个多项式乘以﹣2a时,因抄错运算符号,算成了加上﹣2a,得到的结果是a2+2a﹣1,那么正确的计算结果是多少?人教版八年级数学上册《14.1.4.2单项式乘以多项式》同步训练习题(教师版)一.选择题1.(2015•黔东南州)下列运算正确的是()A.(a﹣b)2=a2﹣b2B.3ab﹣ab=2ab C.a(a2﹣a)=a2 D.考点:单项式乘多项式;立方根;合并同类项;完全平方公式.分析:根据完全平方公式,合并同类项,单项式乘多项式,立方根的法则进行解答.解答:解:A、应为(a﹣b)2=a2﹣2ab+b2,故本选项错误;B、3ab﹣ab=2ab,正确;C、应为a(a2﹣a)=a3﹣a2,故本选项错误;D、应为=2,故本选项错误.故选:B.点评:本题考查了完全平方公式,合并同类项,单项式乘多项式,立方根,熟练掌握运算法则是解题的关键,计算时要注意符号的处理.2.(2015春•岱岳区期末)如果长方体的长为3a﹣4,宽为2a,高为a,则它的体积是()A.3a2﹣4a B.a2C.6a3﹣8a2D.6a2﹣8a考点:单项式乘多项式;单项式乘单项式.分析:直接利用单项式乘以多项式运算法则以及长方体体积公式得出即可.解答:解:由题意可得:它的体积是:(3a﹣4)×2a×a=6a3﹣8a2.故选:C.点评:此题主要考查了单项式乘以多项式,正确把握运算法则是解题关键.3.(2015秋•重庆校级月考)化简x(2x﹣1)﹣x2(2﹣x)的结果是()A.﹣x3﹣x B.x3﹣x C.﹣x2﹣1 D.x3﹣1考点:单项式乘多项式.专题:计算题.分析:原式利用单项式乘多项式法则计算,去括号合并即可得到结果.解答:解:原式=2x2﹣x﹣2x2+x3=x3﹣x,故选B.点评:此题考查了单项式乘多项式,熟练掌握运算法则是解本题的关键.4.(2015秋•遂宁校级月考)若三角形的底边为2m+1,高为2m,则此三角形的面积为()A.4m2+2m B.4m2+1 C.2m2+m D.2m2+m考点:单项式乘多项式.分析:直接利用三角形面积公式结合单项式乘以多项式运算法则求出即可.解答:解:∵三角形的底边为2m+1,高为2m,∴此三角形的面积为:×2m×(2m+1)=2m2+m.故选:C.点评:此题主要考查了单项式乘以多项式以及三角形面积求法,正确掌握三角形面积求法是解题关键.5.(2014春•南海区校级期中)下列计算正确的是()A.(﹣2a)•(3ab﹣2a2b)=﹣6a2b﹣4a3bB.(2ab2)•(﹣a2+2b2﹣1)=﹣4a3b4C.(abc)•(3a2b﹣2ab2)=3a3b2﹣2a2b3D.(ab)2•(3ab2﹣c)=3a3b4﹣a2b2c考点:单项式乘多项式.分析:根据单项式乘以多项式法则,对各选项计算后利用排除法求解.解答:解:A、应为(﹣2a)•(3ab﹣2a2b)=﹣6a2b+4a3b,故本选项错误;B、应为(2ab2)•(﹣a2+2b2﹣1)=﹣2a3b2+4ab4﹣2ab2,故本选项错误;C、应为(abc)•(3a2b﹣2ab2)=3a3b2c﹣2a2b3c,故本选项错误;D、(ab)2•(3ab2﹣c)=3a3b4﹣a2b2c,正确.故选D.点评:本题考查了单项式乘以多项式法则.单项式与多项式相乘,就是用单项式去乘多项式的每一项,再把所得的积相加.要熟记单项式与多项式的每一项都相乘,不能漏乘.6.(2013秋•鲤城区校级期末)三个连续的奇数,若中间一个为a,则它们的积为()A.a3﹣4a B.a3﹣6a C.4a3﹣a D.4a3﹣6a考点:单项式乘多项式.分析:三个连续的奇数,若中间一个为a,则另外两个是a﹣2,a+2,求积即可.解答:解:三个连续的奇数,若中间一个为a,则另外两个是a﹣2,a+2.则a(a﹣2)(a+2)=a3﹣4a.故选A.点评:本题考查了整式的乘法,理解三个连续奇数的关系是关键.7.(2013秋•合浦县期末)今天数学课上,老师讲了单项式乘以多项式,放学回到家,小明拿出课堂笔记复习,发现一道题:﹣3xy(4y﹣2x﹣1)=﹣12xy2+6x2y+□,□的地方被钢笔水弄污了,你认为□内上应填写()A.3xy B.﹣3xy C.﹣1 D.1考点:单项式乘多项式.分析:先把等式左边的式子根据单项式与多项式相乘,先用单项式乘多项式的每一项,再把所得的积相加,所得结果与等式右边的式子相对照即可得出结论.解答:解:∵左边=﹣3xy(4y﹣2x﹣1)=﹣12xy2+6x2y+3xy.右边=﹣12xy2+6x2y+□,∴□内上应填写3xy.故选A.点评:本题考查的是单项式乘多项式,熟知单项式与多项式相乘,就是用单项式去乘多项式的每一项,再把所得的积相加是解答此题的关键.二.填空题8.(2015春•南长区期中)计算(﹣a4)(6a3﹣12a2+9a)= ﹣4a7+8a6﹣6a5,十边形的内角和是1440°.考点:单项式乘多项式;多边形内角与外角.分析:前项根据单项式乘多项式计算,后一项根据多边形的内角和公式计算即可.解答:解:(﹣a4)(6a3﹣12a2+9a)=﹣4a7+8a6﹣6a5;十边形的内角和=(10﹣2)×180°=1440°;故答案为:﹣4a7+8a6﹣6a5;1440°点评:此题考查单项式和多项式的乘法以及多边形的内角和,关键是根据法则和公式计算.9.(2014春•胶南市校级月考)= ﹣a2b3+a2b2﹣ab2.考点:单项式乘多项式.分析:根据单项式与多项式相乘,先用单项式乘多项式的每一项,再把所得的积相加计算即可.解答:解:=﹣a2b3+a2b2﹣ab2.故答案为:﹣a2b3+a2b2﹣ab2.点评:本题考查了单项式与多项式相乘,熟练掌握运算法则是解题的关键,计算时要注意符号的处理.10.(2013秋•万载县校级月考)若(x2+ax+1)•(﹣ax3)的展开式中,不含有x4项,则3a ﹣1的值为0 .考点:单项式乘多项式.分析:单项式与多项式相乘,就是根据分配律用单项式去乘多项式的每一项,再把所得的积相加.先依据法则运算,展开式后,因为不含x4项,所以x4项的系数为0,再求a的值.解答:解:(x2+ax+1)(﹣ax3)=﹣ax5﹣a2x4﹣ax3,展开式中不含x4项,则a2=0,∴a=0.∴3a﹣1=1﹣1=0,故答案是:0.点评:本题考查了单项式与多项式相乘,注意当要求多项式中不含有哪一项时,应让这一项的系数为0.11.(2013春•富阳市校级期中)一个多项式与的积为x5y2﹣3x4y3﹣x3y4z,那么这个多项式为﹣2x2+6xy+2y2z .考点:单项式乘多项式.专题:计算题.分析:根据题意列出关系式,利用多项式除单项式法则计算即可得到结果.解答:解:根据题意得:(x5y2﹣3x4y3﹣x3y4z)÷(﹣x3y2)=﹣2x2+6xy+2y2z.故答案为:﹣2x2+6xy+2y2z点评:此题考查了单项式乘多项式,根据题意列出正确的算式是解本题的关键.12.(2013秋•江油市校级月考)通过计算图中所示的几何图形的面积,可表示的代数恒等式是2a(a+b)=2a2+2ab .考点:单项式乘多项式.分析:本题所给的图中,四个小图形的面积与大图形的面积相等,据此列出代数式即可解答.解答:解:由题意可知2a(a+b)=2a2+2ab.故答案为:2a(a+b)=2a2+2ab.点评:本题考查了单项式与多项式相乘,用不同方法表示面积是解题的关键.13.(2011秋•淅川县期中)已知ab2=﹣3,则﹣ab(a2b5﹣ab3﹣b)= 33 .考点:单项式乘多项式;代数式求值.专题:整体思想.分析:对所给的式子变形提取公因式b,使其中出现ab2的因式,然后利用整体代入法计算.解答:解:﹣ab(a2b5﹣ab3﹣b),=﹣ab2(a2b4﹣ab2﹣1),当ab2=﹣3时,原式=﹣(﹣3)[(﹣3)2﹣(﹣3)﹣1]=33;故填:33.点评:本题考查了提公因式法分解因式,提取公因式b出现已知条件的形式比较关键,灵活运用此法则,可简便运算.三.解答题14.(2014秋•陇西县期末)(1)计算:()2÷(﹣)2(2)计算:(x2y﹣xy2﹣y3)(﹣4xy2).考点:单项式乘多项式;分式的乘除法.分析:(1)先算乘方,再把除法转化成乘法,最后约分即可;(2)根据单项式与多项式相乘,先用单项式乘多项式的每一项,再把所得的积相加计算即可.解答:解:(1)()2÷(﹣)2=×=;(2)(x2y﹣xy2﹣y3)(﹣4xy2)=﹣3x3y3+2x2y4+xy5;点评:此题考查了单项式乘多项式和分式的乘除法,熟练掌握运算法则是解题的关键,计算时要注意符号的处理.15.若(a m+b)•2a3b4=2a7b4+2a3b n(a≠0,a≠1,b≠0,b≠1).求m+n的值.考点:单项式乘多项式.分析:利用单项式与多项式相乘的运算法则求解即可.解答:解:∵(a m+b)•2a3b4=2a7b4+2a3b n,∴2a3+m b4+2a3b5=2a7b4+2a3b n,∴3+m=7,n=5,解得m=4,n=5,∴m+n=4+5=9.点评:本题主要考查了单项式与多项式相乘的运算法则,解题的关键是熟记单项式与多项式相乘,就是用单项式去乘多项式的每一项,再把所得的积相加.16.若(1+x4y a)•(﹣x b y)2=x16y4+x2b•y2,求ab的值.考点:单项式乘多项式.分析:先利用单项式与多项式相乘的运算法则计算,再利用对应的项求解即可.解答:解:∵(1+x4y a)•(﹣x b y)2=x16y4+x2b•y2,∴x2b y2+x4+2b y a+2=x16y4+x2b•y2,∴x4+2b y a+2=x16y4,可得4+2b=16,a+2=4,解得b=6,a=2,∴ab=2×6=12.点评:本题主要考查了单项式乘多项式,解题的关键是找准对应项.17.(2015春•芦溪县期中)某同学在计算一个多项式乘以﹣2a时,因抄错运算符号,算成了加上﹣2a,得到的结果是a2+2a﹣1,那么正确的计算结果是多少?考点:单项式乘多项式.分析:根据题意首先求出多项式,进而利用单项式乘以多项式运算法则求出即可.解答:解:∵计算一个多项式乘以﹣2a时,因抄错运算符号,算成了加上﹣2a,得到的结果是a2+2a﹣1,∴这个多项式为:a2+2a﹣1+2a=a2+4a﹣1,∴正确的计算结果是:﹣2a(a2+4a﹣1)=﹣2a3﹣8a2+2a.点评:此题主要考查了单项式乘以多项式,正确掌握运算法则是解题关键.。
兴兴文化八年级数学上册单项式乘多项式练习题一•解答题(共18小题)1. 先化简,再求值:2(a2b+ab2)- 2 (a2b- 1)- ab2-2,其中a=- 2, b=2.2•计算:(1)6x2?3xy (2) (4a- b2) (- 2b) (3) (3x2y- 2x+1) (- 2xy) (4) (- a2b) ( :b2- a+ )2 3 3 44. 计算:(1)_________________________________________ (- 12a b2c) ? (-^abc?) 2= ;2 2 2(2)(3a2b-4at T- 5ab- 1) ? (- 2at)) = _______________ .5. 计算:-6a?(-订J- a+2)6.- 3x? (2x2- x+4)乙07. 先化简,再求值3a (2a2-4a+3)- 2a2(3a+4),其中a=- 28. —条防洪堤坝,其横断面是梯形,上底宽a米,下底宽(a+2b)米,坝高米.(1)求防洪堤坝的横断面积;(2)如果防洪堤坝长100米,那么这段防洪堤坝的体积是多少立方米?9. 2ab (5ab+3a2b) 11.计算:■|xy2) 2 (3ay- 4xy2+l)o Q o 910.计算:2x (x —x+3) 13. (- 4a+12ab—7a b ) (- 4a) = _______________2 2 2 2 211.计算:xy (3x y- xy +y) 15. (- 2ab) (3a - 2ab-4b )12 .计算:(-2a2 b) 3(3b2- 4a+6)13. 某同学在计算一个多项式乘以-3x2时,因抄错运算符号,算成了加上-3x2,得到的结果是x2 -4x+1,那么正确的计算结果是多少?14. 对任意有理数x、y定义运算如下:x△ y=ax+by+cxy,这里a、b、c是给定的数,等式右边是通常数的加法及乘法运算,如当a=1, b=2, c=3时,I△ 3=1 X+2>3+3X1X3=16,现已知所定义的新运算满足条件,2=3,2^3=4,并且有一个不为零的数d使得对任意有理数*△ d=x,求a、b、c、d的值.参考答案与试题解析一•解答题(共18小题)1.先化简,再求值:2 (a2b+ab2)- 2 (a2b- 1)- ab2-2,其中a=- 2, b=2.考点:整式的加减一化简求值;整式的加减;单项式乘多项式. 710158分析:先根据整式相乘的法则进行计算,然后合并同类项,最后将字母的值代入求出原代数式的值.解答:解:原式=2a2b+2ab2- 2a2b+2- ab2- 2=(2a2b - 2a b) + (2ab2- ab2) + (2 - 2)=0+ab2=ab2当a=- 2, b=2 时,2原式=(-2) >2 =-2>4 =—8.点评:本题是一道整式的加减化简求值的题,考查了单项式乘以多项式的法则,合并同类项的法则和方法.2. 计算:(1)6x2?3xy(2)(4a- b2) (- 2b)考点:单项式乘单项式;单项式乘多项式.710158分析:(1)根据单项式乘单项式的法则计算;(2)根据单项式乘多项式的法则计算.解答:解:(1) 6x2?3xy=18x3y ;(2) (4a- b2) (- 2b) =-8ab+2t i.点评:本题考查了单项式与单项式相乘、单项式与多项式相乘,熟练掌握运算法则是解题的关键.23. (3x y- 2x+1) (- 2xy)4. 计算:(1) (- 12a b2c) ?(—石abc?) 2=_ 一a4b4c5;(2) (3a2b - 4ab2- 5ab- 1) ? (- 2ab2) = - 6a3b3+8a2b4+10a2b3+2ab2考点:单项式乘多项式;单项式乘单项式.710158分析:(1)先根据积的乘方,等于把积中的每一个因式分别乘方,再把所得的幕相乘;单项式乘单项式,把他们的系数,相同字母的幕分别相乘,其余字母连同他的指数不变,作为积的因式的法则计算;(2)根据单项式乘多项式,先用单项式去乘多项式的每一项,再把所得的积相加的法则计算即可.解答:解:(1) (- 12a2b2c) ? (- abc2)),4=(-i2aVc)?寺怡?,=—3 4, 5;=孑b c ;故答案为:-空a4b4c5;4(2) (3a2b-4ab2- 5ab— 1) ? (- 2ab2),2 2 2 2 2 2=3a b? (- 2ab )- 4ab? (- 2ab )- 5ab? (- 2ab )- 1? (- 2ab ),3 3 24 2, 3 ,=-6a b +8a b +10a b +2ab .故答案为:-6a3b3+8a2b4+10ab3+2ab.点评:本题考查了单项式与单项式相乘,单项式与多项式相乘,熟练掌握运算法则是解题的关键,计算时要注意运算符号的处理.5 .计算:-6 a? (- - —a+2)2 3考点:单项式乘多项式.710158分析::根据单项式乘以多项式,用单项式去乘多项式的每一项,再把所得的积相加,计算即可.解答:解:- 6a? (- - a+2) =3a3+2a2- 12a.23点评:本题主要考查单项式与多项式相乘,熟练掌握运算法则是解题的关键,计算时要注意运算符号.6.- 3x? (2X2-X+4)考点:单项式乘多项式.710158 分析:根据单项式与多项式相乘,用单项式去乘多项式的每一项,再把所得的积相加,计算即可. 解答:解:-3X? ( 2X2-X+4 ),=-3X?2X2 - 3X? (- X)- 3X?4,=-6X3+3X2 - 12X.点评:本题主要考查单项式与多项式相乘的运算法则,熟练掌握运算法则是解题的关键,计算时要注意运算符号. 7.先化简,再求值3a (2a2-4a+3)- 2a2(3a+4),其中a=- 2考点:单项式乘多项式.710158分析:首先根据单项式与多项式相乘的法则去掉括号,然后合并同类项,最后代入已知的数值计算即可.解答:解:3a (2a2- 4a+3)- 2a2(3a+4)=6a3- 12『+9a— 6a3- 8a2= - 20a2+9a,当a=- 2 时,原式=-20X1- 9>2= - 98.点评:本题考查了整式的化简.整式的加减运算实际上就是去括号、合并同类项,这是各地中考的常考点.& 计算:(-[a2b) ( b2-,a+)考点: 单项式乘多项式.710158专题: 分析:. 计算题.此题直接利用单项式乘以多项式, 先把单项式乘以多项式的每一项, 再把所得的积相加,利用 法则计算即可.解答: 解:「£a 2b )(彳尹+寸),=(-a 2b ) ? b 2+ (- a 2b) (- a ) + (- a 2b ) ?, 2 3 2 3 2 4=-—a 2b 3+ a 3b —_『b . 3 6 8点评: 本题考查单项式乘以多项式的运算,熟练掌握运算法则是解题的关键.9. 一条防洪堤坝,其横断面是梯形,上底宽 a 米,下底宽(a+2b )米,坝高.米.2(1) 求防洪堤坝的横断面积;(2) 如果防洪堤坝长100米,那么这段防洪堤坝的体积是多少立方米?解答:解:(1)防洪堤坝的横断面积S=[a+ (a+2b ) ] x a2 2—a (2a+2b ) 4=£2+丄 ab. 2 2故防洪堤坝的横断面积为(丄a 2+丄ab )平方米; 2 2(2)堤坝的体积 V=Sh=(丄彳+丄ab ) X 00=50a 2+50ab. 2 2故这段防洪堤坝的体积是(50a 2+50ab )立方米.点评:本题主要考查了梯形的面积公式及堤坝的体积 =梯形面积X 长度,熟练掌握单项式乘多项式的 运算法则是解题的关键.210. 2ab (5ab+3a 2b ) 考点:单项式乘多项式.710158分析:根据单项式与多项式相乘,先用单项式乘多项式的每一项,再把所得的积相加计算即可. 解答:解:2ab(5ab+3a b ) =10a 2b 2+6a 3b 2;故答案为:10a 2b 2+6a 3b 2.点评:本题考查了单项式与多项式相乘,熟练掌握运算法则是解题的关键,计算时要注意符号的处理.考点:单项式乘多项式.710158分析:先根据积的乘方的性质计算乘方,再根据单项式与多项式相乘的法则计算即可.11.计算:2 (3xy- 4x y 2+l)解答:解:(-xy2) 2(3xy - 4xy2+1)2二丄x2y4(3xy - 4xy2+1)4—x3y5- x3y6+2x2y4.4 4点评:本题考查了积的乘方的性质,单项式与多项式相乘的法则,熟练掌握运算法则是解题的关键,计算时要注意运算顺序及符号的处理.12 .计算:2x (x2- x+3)考点:单项式乘多项式.710158专题:计算题.分析:根据单项式与多项式相乘,先用单项式乘多项式的每一项,再把所得的积相加计算即可.解答:解:2x (x2-x+3)2=2x?x - 2x?x+2x ?3 =2x3- 2x2+6x.点评:本题考查了单项式与多项式相乘,熟练掌握运算法则是解题的关键,计算时要注意符号的处理.13. (- 4a3+12a2b- 7a3b3) (- 4a2) = 16a5- 48a4b+28『b3.考点:单项式乘多项式.710158专题:计算题.分析:根据单项式与多项式相乘,先用单项式乘多项式的每一项,再把所得的积相加计算即可.解答:解:(-4a3+12^b- 7a3b3) (- 4a2) =16a5- 48a4b+28a5b3.故答案为:16a5-48a4b+28a5b3.点评:本题考查了单项式与多项式相乘,熟练掌握运算法则是解题的关键,计算时要注意符号的处理.14 .计算:xy2(3x2y- xy2+y)考点:单项式乘多项式.710158分析:根据单项式与多项式相乘,先用单项式乘多项式的每一项,再把所得的积相加计算即可.解答:解:原式=xy2(3x2y)- xy2?xy2+xy2?y=3x3y3- x2y4+xy 3.点评:本题考查了单项式与多项式相乘,熟练掌握运算法则是解题的关键,计算时要注意符号的处理.2 215. (- 2ab) (3a - 2ab- 4b )考点:单项式乘多项式.710158分析::根据单项式与多项式相乘,先用单项式乘多项式的每一项,再把所得的积相加计算即可.解答:解: (- 2ab) (3a2- 2ab- 4b2)=(-2ab) ? (3a2)- ( - 2ab) ? (2ab)- (- 2ab) ? (4b2) =-6a3b+4a2b2+8ab3.点评:本题考查了单项式与多项式相乘,熟练掌握运算法则是解题的关键,计算时要注意符号的处理.o Q o16 .计算:(-2a b) (3b - 4a+6)考点:单项式乘多项式.710158分析:首先利用积的乘方求得(-2a2b) 3的值,然后根据单项式与多项式相乘的运算法则:先用单项式乘多项式的每一项,再把所得的积相加计算即可.解答:解:(-2a2b) 3(3b2-4a+6) =-8a6b3? (3b2-4a+6) =-24a6b5+32a7 b3- 48a6b3.点评:本题考查了单项式与多项式相乘.此题比较简单,熟练掌握运算法则是解题的关键,计算时要注意符号的处理.17.某同学在计算一个多项式乘以-3x2时,因抄错运算符号,算成了加上-3x2,得到的结果是x2 -4x+1,那么正确的计算结果是多少?考点:单项式乘多项式.710158专题:应用题.分析:用错误结果减去已知多项式,得出原式,再乘以- 3x2得出正确结果.解答:解:这个多项式是(x2- 4x+1)- ( - 3x2) =4x2- 4x+1, (3 分) 正确的计算结果是:(4x2- 4x+1) ? (- 3x2) = - 12x4+12x3- 3x2. (3 分)点评:本题利用新颖的题目考查了单项式与多项式相乘,熟练掌握运算法则是解题的关键,计算时要注意符号的处理.18.对任意有理数x、y定义运算如下:x△ y=ax+by+cxy,这里a、b、c是给定的数,等式右边是通常数的加法及乘法运算,如当a=1, b=2, c=3时,I△ 3=1 X+2>3+3X1X3=16,现已知所定义的新运算满足条件,2=3,2^3=4,并且有一个不为零的数d使得对任意有理数*△ d=x,求a、b、c、d的值.考点:单项式乘多项式.710158专题:新定义.^分析:「自+匕<1・1=0刀析:由x△ d=x,得ax+bd+cdx=x,即(a+cd- 1) x+bd=0,得* ①,由2=3,得(bd=0a+2b+2c=3②,2^3=4,得2a+3b+6c=4③,解以上方程组成的方程组即可求得a、b、c、d 的值.解答:解:T x△ d=x,「. ax+bd+cdx=x,•••( a+cd - 1) x+bd=0,•••有一个不为零的数d使得对任意有理数x△ d=x,贝诗(十「1二0①,Ud=oT1^2=3,二a+2b+2c=3②,T 2^3=4,二2a+3b+6c=4③,又T d旳,• b=0,a+cd - 1=0•••有方程组' a+2c=3解得y 1./二4故a的值为5、b的值为0、c的值为-1、d的值为4.点评:本题是新定义题,考查了定义新运算,解方程组.解题关键是由一个不为零的数d使得对任意有理数*△ d=x,得出方程(a+cd- 1) x+bd=0,得到方程组,卅"1°,求出b的值.。