2018年浙江省温州市摇篮杯高一数学竞赛试卷(PDF,无答案)
- 格式:pdf
- 大小:890.60 KB
- 文档页数:6
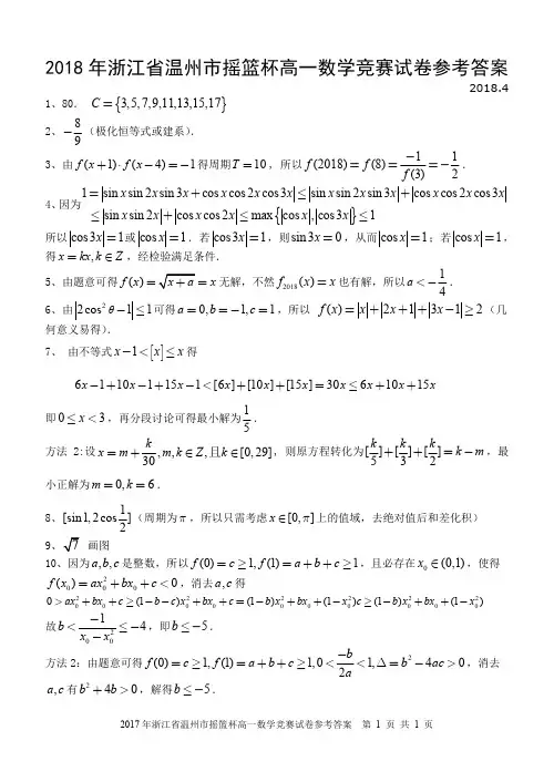
2018年浙江省温州市高一下学期期末模拟数学试题第Ⅰ卷选择题部分(共60分)一、选择题(本大题共12小题,每小题5分,共60分,在每小题给出的四个选项中,只有一项是符合题目要求的.)1.下列函数中,最小正周期为π的是( ) A.sin y x =B.cos y x =C.sin 2y x =D.1cos 2y x =2.不等式|21|1x -<的解集为( ) A.{|10}x x -<<B.{|01}x x <<C.{|1x x >或0}x <D.R3.已知向量(2,1)a =--,(,1)b m =.若a b ⊥,则m =( )A.12-B.12C.2D.-24.设01b a <<<,则下列不等式成立的是( ) A.21ab b << B.1122log log 0b a <<C.222b a <<D.21a ab <<5.为了得到函sin(2)6y x π=+的图象,只需把函数sin(2)6y x π=-的图象( )A.向左平移6π个单位长度 B.向右平移6π个单位长度 C.向左平移3π个单位长度D.向右平移3π个单位长度6.ABC ∆的内角,,A B C 的对边分别为,,a b c ,若2,1,B A a b ===,则边c =( )A.B.2D.17.已知点M 是直线:240l x y --=与x 轴的交点,将直线 l 绕点M 按逆时针方向旋转45︒,得到的直线方程是( ) A.30x y +-=B.320x y --=C.360x y -+=D.360x y +-=8.已知函数1()cos sin()23f x x x π=⋅+,则下列结论中正确的是( )A.()f x 既是奇函数又是周期函数B.()f x 的图象关于直线12x π=对称C.()f x 的最大值为1D.()f x 在区间[0,]4π上单调递减9.数列{}n a 的前n 项和n S 满足*3,2n n S a n n N =-∈,则下列为等比数列的是( )A.{1}n a +B.{1}n a -C.{1}n S +D.{1}n S -10.已知24sin 225α=,02πα<<,cos()4πα-的值为( ) A.15B.15-C.75D.15±11.若对任意的[1,)x ∈+∞,不等式222|2|1x x ax --+>恒成立,则实数a 的取值范围是( )A.(-B.(0,2)C.D.(2,4)12.设O 为ABC ∆内一点,已知23OA OB OC ++=32AB BC CA ++,则::AOB BOC COA S S S ∆∆∆= ( ) A.1:2:3B.2:3:1C.3:1:2D.3:2:1第Ⅱ卷非选择题部分(共90分)二、填空题(本大题共7小题,多空题每题6分,单空题每题4分,共34分.)13.已知直线:20l x y --=,过点(2,1)P -且与l 平行的直线方程是 ,点(3,2)Q 到直线:20l x y --=的距离为 .14.已知数列{}n a 满足112,3n n a a a +==+,则数列{}n a 的通项公式n a = ,数列{}n a 的n 项和n S = .15.若向量a 与b 满足||2,||2,()a b a b a==-⊥,则向量a 与b 的夹角为 ,||a b += .16.已知(,)2a ππ∈,且23cos sin(2)10απα++=,则tan α= .17.已知等比数列{}n a 满足2588a a a =,则153759149a a a a a a ++的最小值是 . 18.己知函数()cos(2)6f x x π=+在[,]129t π-和17[,]312t π上均为单减,记1sin 22sin cos tM t t+=++,则M 的取值范围是 .19.若平面向量,a b 满足||1a =,|2|2a b +=,则||||a b b ++的取值范围为 .三、解答题(本大题共4小题,共56分.解答应写出文字说明,证明过程录演算步骤.)20.已知函数2()sin cos f x x x x =, (1)求()6f π的值;(2)求()f x 的单调递增区间.21.已知单调递增的等比数列{}n a 满足2312a a +=,且32a +是24,a a 的等差中项. (1)求数列{}n a 的通项公式;(2)设2121log ()n n b a a a n =,求满足不等式12|3||3|b b -+-+|3|143k b +-≤的最大正整数k 的值.22.已知△ABC 中,,33BAC AB π∠==,BD DC λ=,且ACD ∆. (1)若3λ=,求AC 的长;(2)当线段BC 的长度最小时,求λ的值.23.已知数列{}n a 满111,(2)1n n na a a n n -==≥-. (1)求数列{}n a 的通项公式;(2)设(1)(2n 1)2n a n n b =--⋅,求数列{}n b 的前n 项和n S ; (3)设1n nc a =,记12n n T c c c =+++,求证:2018193T >.2018年浙江省温州市高一下学期期末模拟数学试题参考答案一、选择题(本题有12小题,每小题5分,共60分,每题所给的四个选项中,有且只有一个选项符合题目要求)1—5 CBACA 6—10BDBAC 11—12 DB二、填空题(本题有7个小题,多空题每小题6分,单空题每小题4分,共34分)13.;14.; 15.;16.; 17.; 18.; 19.三、解答题:(本题有4个小题,共56分) 20.(本题满分14分)解(Ⅰ)===(Ⅱ)由题可得,函数的单调递增区间是21.(本题满分14分)解(Ⅰ)依题意解得数列的通项公式是(Ⅱ)=的最大正整数22. (本题满分14分)(1)(2) 在中,由正弦定理得当时,线段的长度最小,此时的面积为得当点D在线段上时,当点D在线段的延长线上时,综上得23.(本题满分1 4分)解(Ⅰ)数列满足(Ⅱ)由(Ⅰ)知,,n∈N*,∴,n∈N*.又,∴,两式相减得:∴.(3) ,。
【数学竞赛】2018高一数学竞赛试题及答案一、选择题(每题5分,共60分)1.已知集合A ={x||x|≤2,x ∈R },B ={x|x ≤4,x ∈Z },则A ∩B =( ) A .(0,2) B .[0,2] C .{0,2} D .{0,1,2} 2.若,,,,b a R c b a >∈则下列不等式成立的是( ) A .ba 11< B .22b a > C .1122+>+c bc a D .c b c a >3.下列函数为偶函数,且在)0,(-∞上单调递减的函数是( ) A .32)(x x f = B .3)(-=x x fC .xx f )21()(=D .x x f ln )(=4. 已知m ,n 是两条不同的直线,α,β,γ是三个不同的平面,则下列命题中正确的是( )A .若α⊥γ,α⊥β,则γ∥βB .若m ∥n ,m ⊥α,n ⊥β,则α∥βC .若m ∥n ,m ∥α,则n ∥αD .若m ∥n ,m ⊂α,n ⊂β,则α∥β5. 等比数列{}n a 的前项和为n S ,且321,2,4a a a 依次成 等差数列,且11=a , 则10S =( )A .512 B. 511 C .1024 D .1023 6.已知f(x)=2tanx -2sin 2x 2-1sin x 2cos x 2,则f(π12)的值为( )A.833B. 8 C .4 D. 4 3 7.设变量x ,y 满足约束条件⎩⎨⎧y ≥x ,x +3y ≤4,x ≥-2,则z =x -3y 的最大值为()A .10B .8-C .6D .4 8.已知0,0>>y x ,且112=+yx ,若m m y x 222+>+恒成立,则实数m 的取值范围是( )A .24-≤≥m m 或 B. 42-≤≥m m 或 C . 24<<-m D. 42<<-m9. 如图所示,在四边形ABCD 中,AB =AD =CD =1,BD =2,BD ⊥CD.将四边形ABCD 沿对角线BD 折成四面体A ′-BCD ,使平面A ′BD ⊥平面BCD ,则下列结论正确的是( )A .A ′C ⊥BDB .∠BA ′C =90°C .CA ′与平面A ′BD 所成的角为30°D .四面体A ′-BCD 的体积为1310. 已知定义在R 上的奇函数)(x f 满足当0≥x 时,,)2(log )(2b x x x f +++= 则3)(>x f 的解集为( )A .)2,(--∞ ∪ ),2(+∞B . )4,(--∞∪ ),4(+∞C .)2,2(- D. )4,4(-11. 若直线45π=x 和49π=x 是函数 )0)(sin(>+=w wx y ϕ 图象的两条相邻对称轴,则ϕ的一个可能取值为( ) A .43π B. 4π C .3π D. 2π 12. 已知定义在R 上的奇函数)(x f 满足当0≥x 时,[)[)⎪⎩⎪⎨⎧+∞∈--∈+=,,1,31,1,0),1(log )(21x x x x x f则关于x 的函数)10()()(<<-=a a x f x F 的所有零点之和为( ) A .12-a B .12--a C .a --21 D .a 21-二、填空题(每题5分,共20分)13. 已知),1,2(),4,1(),3,(===c b k a 且,)32(c b a⊥-则实数=k _________。
温州市“摇篮杯——生活中的数学知识”大赛训练题(4)一、选择题1.岩岩家住在人民广场附近,她经常看到有好多人把自行车存到广场旁边.有一次她问看自行车的老大爷,得知当天的存车量为6 882辆次,其中普通自行车的存车费是每辆次0.2元,电动自行车的存车费是每辆次0.5元,且到19∶00以后,两种存车费都要翻倍.已知该天普通自行车19∶00之前的存车量为5 180辆次,19∶00之后的存车量为335辆次,其总收入为电动自行车的1.5倍.那么电动自行车在晚19∶00前和19∶00后的存车量各有()A.1 072辆次、294辆次B.1 174辆次、193辆次C.973辆次、394辆次D.1 173辆次、254辆次2.小王8∶30从家出门去参观房展,家里的闹钟也指向8∶30,房展结束,他12∶00准时回到家,发现家里的闹钟才11∶46,那么,再过几分钟此闹钟才能指到12点整()A.13分钟B.14分钟C.15分钟D.16分钟3.6月份以来,猪肉价格一路上涨.为平抑猪肉价格,某省积极组织货源,计划由A、B、C三市分别组织10辆、10辆和8辆运输车向D、E两市运送猪肉,现决定派往D、E两地的运输车分别是18辆、10辆,已知一辆运输车从A市到D、E两市的运费分别是200元和800元,从B市到D、E两市的运费分别是300元和700元,从C市到D、E两市的运费分别是400元和500元.若设从A、B两市都派x辆车到D市,则当这28辆运输车全部派出时,总运费W(元)的最小值和最大值分别是()A.8 000,13 200 B.9 000,10 000C.10 000,13 200 D.13 200,15 400二、填空题4.小龙乘坐商场的自动扶梯下楼,他以每步一级的速度往下走,结果走了30步就到楼下,猛然发现,由于匆忙包丢在购物处了,接着他又以下楼时速度的3倍冲上楼梯,结果走了90步才到楼上,当电梯停下时,露在外面的电梯一共有级.5.“爱心”教育基金会资助某山村学校13 440元,其中七、八年级的学生平均每人60元,七、八年级的每位学生都接受了资助;九年级每个学生100元,但九年级学生有40%因家庭条件好而未接受资助.则该学校一共有名学生.6.如图3所示的徽标,是我国古代弦图的变形,该图是由其中的一个Rt△ABC绕中心点O顺时针连续旋转3次,每次旋转90°得到的,如果中间小正方形的面积为1cm2,这个图形的总面积为113cm2,且AD=2cm,请问徽标的外围周长为cm.7.你看过机器人大赛吗?在美国旧金山举办的世界机器人大赛中,机器人踢足球可谓是独占鳌头.如图4,AOB∠= ,45cm90OB=,一机器人在点B处看见一个小球从点A出发沿着AO方OA=,15cm向匀速前进向点O滚动,机器人立即从点B出发,沿直线匀速前进截小球,在点C处截住了小球,如果小球滚动的速度与机器人行走的速度相等,那么机器人行走的路程BC=cm.三、解答题8.(本题15分)2008年北京奥运会的主会场——鸟巢年底就要竣工了,也许你也知道它全都是利用优质钢筋焊接而成的.也许你会为它骄傲,为它自豪.可是你是否知道为了节约钢筋,还有许多科学道理呢?如图5就是从长为40cm,宽为30cm的矩形钢板的左上角剪下一块长为20cm、宽为10cm的矩形后剩下的一块脚料,工人师傅为了节约,要将它做适当的切割,重新拼接后焊成一个面积与原下脚料的面积相等,接缝尽可能短的正方形工件再重新使用.(1)请根据上述要求,设计出将这块下脚料适当分割成三块或三块以上的两种不同的拼接方案(在图5(2)和图5(3)中分别画出切割时所沿的虚线,以及拼接后所得的正方形,保留拼接的痕迹);(2)比较(1)中的两种方案,哪种更好些?说说你的看法和理由.也为建设节约型社会做出一点贡献!9.(本题15分)台风是一种自然灾害,它以台风中心为圆心,在周围数十千米范围内形成气旋风暴,有极强的破坏力.今年首个超强台风“圣帕”第0709号超强台风(圣帕)于8月13日在北纬21.3度,东经123.3度的太平洋上生成,其中心气压925百帕,近中心最大风速55米/秒,生成时还是热带风暴的“圣帕”,在连跳两级后,15日晚8时已“变身”为超强台风.向台湾东部沿海逼近并登陆台湾岛,之后于19日上午将在福建中南部沿海福州一带再次登陆.在这之前,台风中心在我国台湾海峡的B处,在沿海城市福州A的正南方向240千米,其中心风力为12级,每远离台风中心25千米,台风就会减弱一级,如图6所示,该台风中心正以20千米/时的速度沿北偏东30°方向向C移动,且台风中心的风力不变,若城市所受风力达到或超过4级,则称受台风影响.试问:(1)该城市是否会受到台风影响?请说明理由.(2)若会受到台风影响,那么台风影响该城市的持续时间有多长?(3)该城市受到台风影响的最大风力为几级?卷参考答案一、选择题(每小题6分,共30分)1.B2.C (提示:从8∶30到12∶00共三个半小时,在这三个半小时内闹钟共慢了14分钟,平均每小时慢4分钟,所以慢钟与正常钟走时之比为604146015-=,慢的闹钟从11点46分走到12点整,按慢钟来计要走14分钟,因此若按准时的钟来计就要15分钟了.)3.C (提示:由题设可知A 、B 、C 三市派往D 市的运输车的辆数分别是x 、x 、(182x -)辆,派往E 市的运输车的辆数为10x -,10x -,210x -,则总运费200300400(182)800(10)700(10)500(210)W x x x x x x =++-+-+-+-80017 200x =-+.依题意有01001828x x ⎧⎨-⎩≤≤,≤≤,解之,得59x ≤≤,当5x =时,13 200W =最大元,当9x =时,10 000W =最小元.故选C .)二、填空题(每小题6分,共30分)4.60(提示:设往下走时,人走一步电梯往下走x 级,则有903030903x x +=-,解得1x =,所以电梯的级数为303060+=(级).)5.224(提示:资助九年级学生每人100元,但有40%的学生没有接受资助,这样九年级所有学生的平均钱数也是每人60元,而七、八年级每人60元,即整个学校每个学生平均能得到60元,所以该校学生总人数为13 44060224÷=(人).)6.52(提示:设Rt ABC △的较长直角边为a ,短直角边为b ,斜边为c ,依题意有3a b -=,1113124ab -=.又由勾股定理得22222()23112121c a b a b ab =+=-+=+=,所以11cm c =,故徽标的外围周长4(112)52(cm)=⨯+=.)7.25(提示:因为BC AC =,所以可设BC x =,则45OC OA AC x =-=-,在Rt BOC △中,根据勾股定理可得:222(45)15x x -+=,解得25x =.即机器人行走的路程为25cm ).三、解答题(每小题15分,共60分)8.(1)图1和图2即为所作图.(2)图1中第一种分割方案较好,因为分割的块数较少.但焊接处和图2中第二种方案一样长.9.解:(1)该城市会受到台风影响.理由:如图3,过点A 作AD BC ⊥于D 点,则AD 即为该城市距离台风中心的最短距离.在Rt ABD △中,因为30240B AB ∠== ,. 11由题可知,距台风中心在(124)25200-⨯=(千米)以内时,则会受到台风影响. 因为120<200,因此该城市将会受到“圣帕”影响.(2)依题(1)可知,当点A 距台风中心不超过200千米时,会受台风影响,故在BC 上作200AE AF ==;台风中心从点E 移动到点F 处时,该城市会处在台风影响范围之内.(如图4) 由勾股定理得,2222200120160DE AE AD =-=-=(千米).所以2160320EF =⨯=(千米).又知“圣帕”中心以20千米/时的速度移动.所以台风影响该城市3202016÷=(小时).(3)该城市受台风影响最大风力7.2级.。
温州市“摇篮杯——生活中的数学知识”大赛训练题(3)一、判断决策(本题20分)在我国,规定使用在水果或蔬菜上的农药必须低毒易挥发,在生活中我们在吃水果或蔬菜前一般都会先清洗上面的残留农药,假设我们把清洗前水果或蔬菜上的残留农药量记为1个单位,那么用x单位量的a≥)单水清洗一次以后,水果或蔬菜上残留的农药量与本次清洗前残留的农药量比是多少?现有a(2位量的水供清洗,可以一次,也可以平分水量两次清洗,你认为选择哪种方法更好呢?请说明理由.如果水能平均三次清洗,效果会如何?二、实践应用(本题20分)某市的公共汽车实行的是一票制(一次上车不管乘几站,票价都是一样的).张先生所在的公司每月发80元的公交费,起初他是每次乘车用现金买票,则所发公交费的余额与乘车次数的函数图象如图中的一条线段;后来,他将每月的80元公交费买成公交公司的“IC”卡.按规定,打卡乘车比用现金买票乘车可优惠20%.这样,卡上的余额与乘车次数的函数图象就如下图中的另一条线段.(1)填空(填“Ⅰ”或“Ⅱ”):每次乘车用现金买票时,余额与乘车次数的函数图象是________;买成IC卡后,余额与乘车次数的函数图象是________.(2)求出线段Ⅰ和线段Ⅱ所表示的函数关系式;(3)如果张先生每月平均乘坐公交车70次,则他用IC卡消费比用现金消费可以省下多少钱?三、动手操作(本题20分)手工课上有位小朋友想剪一个正三角形,可手上只有一张正方形的手工纸,若你是小朋友的手工课老师,你能帮助这位小朋友得到正三角形吗?请画出图形,写出操作过程,并说明理由.四、方案设计(本题20分)某汽车配件厂有工人300人,生产甲种配件,平均每人每年可创造利润m万元(m为大于零的常数),为减员增效,决定从中调配x人去生产新开发的乙种配件,根据预算,调配后继续生产甲种配件的工人平均每人每年创造利润可增加20%,生产乙种配件的工人平均每人每年可创造利润1.54m万元.(1)调配后,此汽车配件厂生产甲、乙两种配件的年利润分别为多少?(用含m,x的代数式表示)(2)如果调配后,生产甲种配件的年利润不小于调配前年利润的45,生产乙种配件的年利润大于调配前年利润的一半,应如何设计调配方案?哪种方案全年总利润最大?参考答案 一、解:(1)11x+. ·············································································· 2分 (2)①若选择一次清洗,则清洗后残留农药为:11a+. ································· 3分 ②若分两次清洗,则第一次清洗后残留农药为:12212a a =++. ······················· 6分 第二次清洗后残留农药为:224222422a a a a a +=++++. ···································· 9分 222221424442124(24)(1)(24)(1)a a a a a a a a a a a a a a ++----==+++++++++. ··················· 12分 ∵2a ≥,∴2140124a a a -+++≥. ····································································· 14分 ∴选择分两次的方法进行清洗,这样水果或蔬菜上的残留农药更少一些. ··········· 16分如果水能平分三次清洗,水果或蔬菜上的残留农药会更少. ··························· 20分二、(1)Ⅰ,Ⅱ;(2)设Ⅱ的函数关系式为y kx b =+,因(0,80)和(100,0)满足关系式,即800100.b k b =⎧⎨=+⎩,解得804.5b k =⎧⎪⎨=-⎪⎩, ∴4805y x =-+(x 取整数). ················ 10分 由图象Ⅱ知,用IC 卡,每次乘车实用金额为800.8100=(元). 设每次用现金购买为z 元,则依题意知(120%)0.8z -=,1z =(元).∴Ⅰ所代表的函数关系式为80y x =-+(x 取整数). ································· 16分(3)(10.8)7014-⨯=(元). ································································· 20分三、如下图,先对折正方形ABCD ,得到折线MN ;将重叠的两边AD 、BC 过C (D )点向MN 方向折叠,使顶点B (和A )落在MN 上的点E 处;然后再沿EC (ED )折叠一次,展开后得到正三角形CDE . ································································································ 8分。
2018竞赛高一初试试题答案 1.D 2. C 3.A 4.B 5. D 6. B 7. D 8. C13. 314. x=2或3x —4y —10=015.-217. 解:(1)由正弦定理得:1 n cosC ,C2 3222兀(2)c a b -2abcos —32 2a b = 25 ab _ 2abab _251 25、. 3 S absinC " (当a=b 时取得最大值) .................... ..10分2 4 18. (1)当直线I 经过坐标原点时,有a • 2 = 0. a = -2. 此时直线l 的方程为x - y = 0. ...................................... 2•分-a 1此时I 的方程为x ■ y —2 = 0....................................... 5•分… 所以直线I 的方程为x - y =0.或x • y - 2 =0....................................... 6•分_b2R =(a —'b) a2Rc 2R 2 c=a 2-ab a 2 b 2 _c 2 = ab..4分9.B 10. A 11.B 12.D16.(3) (4)2 225 = a b -ab .................................................. ..6分当直线l 不经过坐标原点时,即a = -2且a = -1时由直线在两坐标轴上的截距相等可得 -―=2 - a,解得a =0(2)由直线I的方程可得M (,0), N(0,2 - a),1 2 + a因为aT 所以S,OMN =2 a 1 (2 a)=1 〔a 1 122 a 1=210分1当且仅当a • 1二--- ,即a =0时等号成立。
11.分此时直线I的方程为x ■ y - 2 =0. 12'分19. 解:(1)因为向量 m=(sin 2wx,cos2wx), n =(cos :,sin :),所以 f (x) = m • n 二 sin 2wxcos 「亠 cos2wxsin 二 sin(2wx 亠'■) 由题意T =5,T=二,w=1 ,................................................. .•/2 •分4126将点 P(—,1)代入 y =sin(2xJ ,得 sin(2) =16 6所以2k 二,(k ・Z),又因为',,二 .......................... 4-分… 6 2 6即函数的表达式为 f(x)=sin(2x • §), (x := R) . .............................................. 5•分•…(2) 由 f (C) = -1,,即 sin(2C) = -1,62兀又••• O v C v n, ••• C … (3)—— 33由 CA CB ,,知 abcosC =2 2所以ab=3 .......................... 由余弦定理知c=3.............................2 ..20. 解:(1) a n =4s n _2a n 一1(门 N )n 启2时,a n4 =4S n 」—2a n4 —1(NJ2 ..两式相减,得a n 一 a 2 =2.又令n7得a1=4$ -2a 1 -1(N )得a1 T ,所以a n =2n 「….................... 5•分 4(-1)* 彳 a n 1(a n 1)(a n 1 1)1 11 11 1 1=(1 — -) (- 一)-•…•…(- -)2 23 34 2n-1 2n 1=1 1 … ....................................................................2n…9分12•分.(2)由 bn =b n#1)n1(2nD 2n(2n 2)=皿心n1(1 .丄)n(n 1)n n 17…分T2n 4b 2 b 3b2n4T 2^b 1b 2 b 36n4b 2n1 1 1 1 1 =(11)-(13) (14)-1111(不齐)盂和)所以 T 2nj1 T 2n (n N ).21. 解: (1 )由题意知f(0)=0所以a=2.2x _1(2)由(1 )知,f (X )二飞—,2x +1因为 x €(0, 1],所以 2x - 1 >0, 2x +1>0, 故s f (x) -2x -1恒成立等价于s >21恒成立,因为2x +1€(2, 3],所以只需s >3卩可使原不等式恒成立. 故s 的取值范围是[3, +^). ................................ 6•分方程 g (2x )- mg (x ) =0,即 22x -m 2x • 1 — m =0 有唯一实数解 令 t=2x ,则 t >0, 即等价为t 2- mt+1 - m=0, (t >0)有一个正根一个负根或两个相等正根或者- 零根一正根 ............................ 8•分 =0由 h (0) <0,得 1 - m<0,即卩 m>111.分当h(0) =0即m=1时,h (t ) =t 2- t ,此时有一正根,一零根,满足题意 综上所述,m 的取值范围为n >l 或m =2、. 2-211.分 12.分此时 f (x) =1 -2 2x12x -1 2x 1 而 f (-x )=2:-1 1 1 -2x 1 2x-f (x),所以f (x )为奇函数,故a=2为所求. 2 •分(3) 由题意g(x)卫,化简得g (x ) =2x +l ,设 h (t ) =t 2- mt+1 - m ,则满足 h(。
2018年浙江省高中数学竞赛试卷一、填空题1.已知a 为正实数,且11()1xf x a a =-+是奇函数,则()f x 的值域为 . 2.设数列{}n a 满足11a =,151(1,2,)n n a a n +=+=⋅⋅⋅,则20181nn a==∑ .3.已知3,,4παβπ⎛⎫∈⎪⎝⎭,4cos()5αβ+=,12sin 413πα⎛⎫-= ⎪⎝⎭,则c o s 4πβ⎛⎫+= ⎪⎝⎭ . 4.在八个数字2,4,6,7,8,11,12,13中任取两个组成分数.这些分数中有 个既约分数.5.已知虚数z 满足310z +=,则20182018111z z z ⎛⎫⎛⎫+= ⎪⎪--⎝⎭⎝⎭.6.设10AB =,若平面上点P 满足,对于任意t R ∈,有3AP tAB -≥,则PA PB ⋅的最小值为 ,此时PA PB += .7.在ABC ∆中,7AB AC +=,且三角形的面积为4,则sin A ∠的最小值为 . 8.设()12f x x x x =++--,则(())10f f x +=有 个不同的解.9.设,x y R ∈满足120x -=,则x 的取值范围为 .10.四面体P ABC -,PA BC ==PB AC ==PC AB ==,则该四面体外接球的半径为 . 二、解答题11.已知动直线l 与圆O :221x y +=相切,与椭圆2219x y +=相交于不同的两点A ,B .求原点到AB 的中垂线的最大距离.12.设a R ∈,且对任意实数b 均有2[0,1]max 1x x ax b ∈++≥,求a 的取值范围.13.设实数1x ,2x ,…,2018x 满足212(1,2,,2016)n n n xx x n ++≤=⋅⋅⋅和201811n n x ==∏,证明:100910101x x ≤.14.将2(2)n n ≥个不同整数分成两组1a ,2a ,…,n a ;1b ,2b ,…,n b .证明111()i j j i j i i n i j nj na b a a b b n ≤≤≤<≤≤≤---+-≥∑∑.15.如图所示将同心圆环均匀分成(3)n n ≥格.在内环中固定数字1n .问能否将数字1n 填入外环格内,使得外环旋转任意格后有且仅有一个格中内外环的数字相同?2018年浙江省高中数学竞赛试卷参考答案一、填空题1. 11(,)22-2. 2019580771616-3. 5665- 4. 36 5. 1- 6. 16-;6 7.728. 39. 1414x -≤≤+10. 二、解答题11.解:依题意可设l :(0)y kx m k =+≠.因为直线l 与圆O 相切,所以,O 到直线l 的距离为11=.原点到AB 的中垂线的最大距离为43. 12.解1:设2()f x x ax b =++,对于1(0)1b f ≥⇒≥, 所以只要考虑1b <. (1)当02a-≤时,即0a ≥.此时函数()f x 的最值在抛物线的左右端点取得,对任意1b <有(1)1(0)f a b f b =++>=,所以(1)11f a b =++≥, 解得1a ≥. (2)当1022a <-≤时,即10a -≤<,此时函数()f x 的最值在抛物线的顶点和右端点取得,而对0b =有(1)11f a =+<,2()124a a f --=<. (3)当1122a<-≤时,即21a -≤<-,此时函数()f x 的最值在抛物线的顶点和左端点取得,而对0b =有(0)1f b =<,2()124a a f --=<. (4)当12a-≥时,即2a ≤-,此时函数()f x 的最值在抛物线的左右端点取得,对任意1b <有(0)1f b =<,所以(1)11f a b =++≤-,解得3a ≤-. 综上1a ≥或3a ≤-.解2:设2[0,1]max x m x ax b ∈=++,则有m b ≥,1211m a b m b a b a ≥++⇒≥+++≥+依题意,1112aa +≥⇒≥,或3a ≤-. 13.证明:由条件n x ,2n x +同号.反证法,假设100910101x x >.(1)若1009x ,1010x 同为正数,由n x ,2n x +同号可知1x ,2x ,…,2018x 同号. 由212121n n n n n n n x x x x x x x +++++≤⇒≤100910101011100810091010x x xx x x ⇒≤≤ 1009101010111008101110081x x x x x x ⇒≤⇒>,同理100910091008101110121012100710081007101010111010x x x x x x x x x x x x =⋅≤⋅=100710121x x ⇒>. 类似可证明:100610131x x >,100510041x x >,…,120181x x >. 因此201811nn x=>∏,矛盾.(2)若1009x ,1010x 同为负数,由n x ,2n x +同号可知1x ,2x ,…,2018x 均为负数,仍然有212121n n n n n n n x x x x x x x +++++≤⇒≤,类似(1)可证得. 14.证明:令111()n i j j i j i i n i j nj nT a b a a b b ≤≤≤<≤≤≤=---+-∑∑,下面用归纳法证明n T n ≥.当2n =时,不妨设12a a <,12b b <,22a b <.2212211T b a b a b a =-+-+-122121b a a a b b +-----,当1121112122a b T b a b b b a <⇒=-+++->; 当11222112a b T b a a b >⇒=-++>. 假设对正整数n 成立,对正整数1n +,不妨设121n a a a +<<⋅⋅⋅<,121n b b b +<<⋅⋅⋅<,11n n a b ++<.再设11k n k b a b ++<<,则有11111n n n n i n i i i T b a a b +++===-+-∑∑111111n nn i n i n n n i i a a b b b a T ++++==----+-+∑∑,下证1111nn n i n i i i ba ab ++==-+-∑∑11110n nn i n i i i a a b b ++==----≥∑∑.由(1)11(1,2,,)k n k b a b k n ++<<=⋅⋅⋅,得到1111nn n i n i i i ba ab ++==-+-∑∑1111n nn i n i i i a a b b ++==----∑∑112()0ni n i k b a +=+=->∑;(2)若11n a b +<,则1111nn n i n i i i ba ab ++==-+-∑∑1111n nn i n i i i a a b b ++==----∑∑11()0ni n i b a +==->∑.15.解:设对应于内环1,2,…,n 的外环数字为1i ,2i ,…,n i ,它是数字1,2,…,n 的一个排列.对1,2,,k n =⋅⋅⋅,记外环数字k i 在按顺时针方向转动k j 格时,和内环数字相同,即mod k k i k j n -=,1,2,,k n =⋅⋅⋅.根据题意,1j ,2j ,…,n j 应是0,1,2,…,1n -的排列.求和11()mod n nk k k k i k j n ==-=∑∑(012(1))mod n n =+++⋅⋅⋅+-1(1)mod 2n n n =-.于是n 必须是奇数.对于奇数n ,我们取n i n =,m i n m =-,(1,2,,1)m n =⋅⋅⋅-,可以验证mod k k i k j n -=,0n j =,12n j -=,24n j -=,…,121n n jn --=-,12j n =-,14n j n -=-,36j n =-,…,121n j -=,符合题目要求!。
温州市“摇篮杯——生活中的数学知识”大赛训练题(2)1.时至父亲节,某大学校园“文苑”专栏登出了一位同学回忆父亲的小诗:“同辞家门赴车站,别时叮咛语千万,学子满载信心去,老父怀抱希望还.”如果用纵轴y表示父亲和学子在行进中离家的距离,横轴t表示父子同时离家后的时间,那么下面与上述诗意大致相吻合的图象是()2.如图2,小明和小亮玩一种“机器人迈步游戏”,某一个机器人在图中的1号位置上,按顺时针方向,第一次跳一步到2号位置上,第二次跳两步跳到4号位置上,第三次跳三步又跳到了1号位置上,第四次跳四步……一直进行下去,那么如果第2006次跳2006步,所跳到的位置号是()A.2 B.4 C.5 D.63.某市进行青年歌手大奖赛预赛,评委给每位选手打分时,最高分不超过10分,所有评委的评分中去掉一个最高分,去掉一个最低分后的平均分即为选手的最后得分.李华的最后得分为9.68分,若只去掉一个最低分,李华的得分为9.72分,若只去掉一个最高分,李华的得分为9.66分,那么可以算出这次比赛的评委有()A.9名B.10名C.11名D.12名4.卡车司机小张开车在高速公路上以100km/h的速度行驶,听到车后有另一汽车的喇叭声,他即刻从反射镜中看到他车后约40米处有一辆轿车疾驰而来,他让开快车道,轿车很快赶上并超越了小张的卡车.若从小张的反射镜中看到轿车到轿车和卡车并行时经过了7秒钟,设轿车的速度为x km/h,那么,它应当满足方程.5.学校广播室要从八年级(2)班选一名广播员,小明、小华和小英普通话都不相上下,并且都争着要去.老师决定用抽签的办法确定,结果三个人都争着先抽,以为第一个抽签的人抽中的可能性大一些;这时,小华从兜里拿出两枚一元的硬币,并说将两枚硬币同时向上抛出,如果两个都是正面朝上,小明去;如果两个都是反面朝上,小英去;如果两个一正一反,小华自己去.那么,你认为(填“老师”或“小华”)的办法公平合理,理由是.6.在一张长26cm,宽19cm的绘图纸上按1∶100的比例尺绘制出某一池塘的图形(不规则).现将这张图纸复印数张,称得总质量为20g,再将称过质量的这些图纸沿池塘边缘剪掉多余部分后,称得质量为13g.那么根据这些数据,我们可以算出池塘的实际面积为(假设复印纸与图纸材料相同,结果精确到0.1).7.某水库正常情况下,每天流入一定量的河水,可供城市用水80天,今年因天气干旱流入量减少20%,每天按原供水量只能用60天,如果仍计划用80天,每天供水量需要减少___(填百分比);当库存水量剩一半时,由于雨季到来流入量比正常时增加了20%,若仍按天旱时的供水量供水还可供水______天.8.实践探究:八年级(7)班为了从张帆、杨君两位同学中选出班长,进行了一次演讲答辩与民主测评,请数学、语文、政治、历史、英语科目的五位老师作为评委,对“演讲答辩”情况进行评价,全班50位同学参与了民主测评.结果如下表所示: 表1 演讲答辩得分表(单位:分)表2规定:演讲答辩得分按“去掉一个最高分和一个最低分再算平均分”的方法确定: 民主测评得分=“好”票数×2分+“较好”票数×1分+“一般”票数×0分 综合得分=演讲答辩得分×(1a -)+民主测评得分 (0.50.8)a a ⨯≤≤(1)当0.6a =时,张帆的综合得分是多少?(2)a 在什么范围内,张帆的综合得分高?a 在什么范围内,杨君的综合得分高?。
2019年浙江省温州市摇篮杯高一数学竞赛试卷一.填空题:本大题共10小题,每小题8分,共80分.1.已知集合{}9,7,5,3,1=A ,{}8,6,4,2=B ,若}{B b A a b a C ∈∈+=,,则集合C 的所有元素之和为________.2.在ABC ∆中,2,31sin ==AB A ,则⋅的最小值为________. 3.设)(x f 是定义在R 上的函数,对任意实数x 有1)4()1(-=-⋅+x f x f ,又当50<≤x 时,)7(log )(2x x f -=,则)2018(f 的值为________.4.若13cos 2cos cos 3sin 2sin sin =+x x x x x x ,则=x ________.5.已知函数),2))((()(),()(),()(*11N n n x f f x f x f x f R a a x x f n n ∈≥==∈+=-,若x x f -)(2018没有零点,则a 的取值范围是________.6.若对任意[]1,1-∈x ,恒有),,(22R c b a c b ax x ∈≤++成立,则当c 取得最小值时,函数)(32)(R x c x b x a x x f ∈-+-+-=的最小值为________.7.用[]x 表示不大于x 的最大整数,方程[][][]x x x x 3015106=++的最小正解为________.8.函数)1sin(sin )(++=x x x f 的值域为________.9.已知平面向量2==,且2=⋅,若[]1,0∈t ,则t AB t 1(--+-的最小值为________. 10.已知函数)0()(2>++=a c bx ax x f ,其中c b a ,,是整数,若)(x f 在)1,0(上有两个不相等的零点,则b 的最大值为________.二.解答题:本大题共5小题,共120分.11.已知函数bxx x f a--=11log )(是奇函数)1,0(≠>a a(1)求b 的值及函数)(x f 的定义域;(2)是否存在实数a 使得)(x f 的定义域为[]n m ,,值域为[]m n a a log 1,log 1++?若存在,求出实数a 的取值范围;若不存在,说明理由.12.设函数)0(cos cos sin 3)(2>+=ωωωωx x x x f 且)(x f y =的图象的一个对称中心到最近的对称轴的距离为4π. (1)求ω的值及函数)(x f 的单调增区间;(2)若65)(=αf ,求)467sin(απ-的值.13.已知定义在R 上的函数)(x f y =满足:对任意的R y x ∈,,均有x y f y x f y x f c o s )(2)()(+-=+,且当)⎢⎣⎡∈ππ,2x 时,0)(>x f (1)求)0(f 的值;(2)解方程)2()3(x f x f =14.已知向量,满足32,21≤≤≤≤(1-++的取值范围;(2)若43≤+≤,求b a ⋅的最大值15.已知函数b a x x f +-=)(,R b a ∈,(1)当a b 2=时,若)(x f 在区间[]2,1上的最大值为2,求实数a 的取值范围;(2)当1-=b 时,若存在实数m ,使得关于x 的方程41)(=-m x xf 在[]2,2-上有6个互不相同的解,求实数a 的取值范围.。
2018年浙江省高中数学竞赛试卷一、填空题1.已知a 为正实数,且11()1x f x a a =-+是奇函数,则()f x 的值域为 . 2.设数列{}n a 满足11a =,151(1,2,)n n a a n +=+=⋅⋅⋅,则20181nn a==∑ .3.已知3,,4παβπ⎛⎫∈⎪⎝⎭,4cos()5αβ+=,12sin 413πα⎛⎫-= ⎪⎝⎭,则c o s 4πβ⎛⎫+= ⎪⎝⎭ .4.在八个数字2,4,6,7,8,11,12,13中任取两个组成分数.这些分数中有 个既约分数.5.已知虚数z 满足310z +=,则20182018111z z z ⎛⎫⎛⎫+= ⎪ ⎪--⎝⎭⎝⎭.6.设10AB = ,若平面上点P 满足,对于任意t R ∈,有3AP t AB -≥ ,则PA PB ⋅的最小值为 ,此时PA PB +=.7.在ABC ∆中,7AB AC +=,且三角形的面积为4,则sin A ∠的最小值为 . 8.设()12f x x x x =++--,则(())10f f x +=有 个不同的解.9.设,x y R ∈满足120x -=,则x 的取值范围为 .10.四面体P ABC -,PA BC =,PB AC ==PC AB ==接球的半径为 . 二、解答题11.已知动直线l 与圆O :221x y +=相切,与椭圆2219x y +=相交于不同的两点A ,B .求原点到AB 的中垂线的最大距离.12.设a R ∈,且对任意实数b 均有2[0,1]max 1x x ax b ∈++≥,求a 的取值范围.13.设实数1x ,2x ,…,2018x 满足212(1,2,,2016)n n n x x x n ++≤=⋅⋅⋅和201811n n x ==∏,证明:100910101x x ≤.14.将2(2)n n ≥个不同整数分成两组1a ,2a ,…,n a ;1b ,2b ,…,n b .证明111()i j j i j i i n i j nj na b a a b b n ≤≤≤<≤≤≤---+-≥∑∑.15.如图所示将同心圆环均匀分成(3)n n ≥格.在内环中固定数字1n .问能否将数字1n 填入外环格内,使得外环旋转任意格后有且仅有一个格中内外环的数字相同?2018年浙江省高中数学竞赛试卷参考答案一、填空题1. 11(,)22-2. 2019580771616- 3. 5665- 4. 36 5. 1-6. 16-;67.728. 39. 1414x -≤+二、解答题11.解:依题意可设l :(0)y kx m k =+≠.因为直线l 与圆O 相切,所以,O 到直线l 的距离为11=.原点到AB 的中垂线的最大距离为43. 12.解1:设2()f x x ax b =++,对于1(0)1b f ≥⇒≥, 所以只要考虑1b <. (1)当02a-≤时,即0a ≥.此时函数()f x 的最值在抛物线的左右端点取得,对任意1b <有(1)1(0)f a b f b =++>=,所以(1)11f a b =++≥, 解得1a ≥. (2)当1022a <-≤时,即10a -≤<,此时函数()f x 的最值在抛物线的顶点和右端点取得,而对0b =有(1)11f a =+<,2()124a a f --=<.(3)当1122a<-≤时,即21a -≤<-,此时函数()f x 的最值在抛物线的顶点和左端点取得,而对0b =有(0)1f b =<,2()124a a f --=<.(4)当12a-≥时,即2a ≤-,此时函数()f x 的最值在抛物线的左右端点取得,对任意1b <有(0)1f b =<,所以(1)11f a b =++≤-,解得3a ≤-. 综上1a ≥或3a ≤-.解2:设2[0,1]max x m x ax b ∈=++,则有m b ≥,1211m a b m b a b a ≥++⇒≥+++≥+依题意,1112aa +≥⇒≥,或3a ≤-. 13.证明:由条件n x ,2n x +同号.反证法,假设100910101x x >.(1)若1009x ,1010x 同为正数,由n x ,2n x +同号可知1x ,2x ,…,2018x 同号. 由212121n n n n n n n x x x x x x x +++++≤⇒≤100910101011100810091010x x xx x x ⇒≤≤ 1009101010111008101110081x x x x x x ⇒≤⇒>,同理100910091008101110121012100710081007101010111010x x x x x x x x x x x x =⋅≤⋅=100710121x x ⇒>. 类似可证明:100610131x x >,100510041x x >,…,120181x x >. 因此201811nn x=>∏,矛盾.(2)若1009x ,1010x 同为负数,由n x ,2n x +同号可知1x ,2x ,…,2018x 均为负数,仍然有212121n n n n n n n x x x x x x x +++++≤⇒≤,类似(1)可证得. 14.证明:令111()n i j j i j i i n i j nj nT a b a a b b ≤≤≤<≤≤≤=---+-∑∑,下面用归纳法证明n T n ≥.当2n =时,不妨设12a a <,12b b <,22a b <.2212211T b a b a b a =-+-+-122121b a a a b b +-----,当1121112122a b T b a b b b a <⇒=-+++->; 当11222112a b T b a a b >⇒=-++>. 假设对正整数n 成立,对正整数1n +,不妨设121n a a a +<<⋅⋅⋅<,121n b b b +<<⋅⋅⋅<,11n n a b ++<.再设11k n k b a b ++<<,则有11111nnn n i n i i i T b a a b +++===-+-∑∑111111nnn i n i n n n i i a a b b b a T ++++==----+-+∑∑,下证1111nn n i n i i i ba ab ++==-+-∑∑11110n nn i n i i i a a b b ++==----≥∑∑.由(1)11(1,2,,)k n k b a b k n ++<<=⋅⋅⋅,得到1111nn n i n i i i ba ab ++==-+-∑∑1111n nn i n i i i a a b b ++==----∑∑112()0ni n i k b a +=+=->∑;(2)若11n a b +<,则1111nn n i n i i i ba ab ++==-+-∑∑1111n nn i n i i i a a b b ++==----∑∑11()0ni n i b a +==->∑.15.解:设对应于内环1,2,…,n 的外环数字为1i ,2i ,…,n i ,它是数字1,2,…,n 的一个排列.对1,2,,k n =⋅⋅⋅,记外环数字k i 在按顺时针方向转动k j 格时,和内环数字相同,即mod k k i k j n -=,1,2,,k n =⋅⋅⋅.根据题意,1j ,2j ,…,n j 应是0,1,2,…,1n -的排列.求和11()mod n nk k k k i k j n ==-=∑∑(012(1))mod n n =+++⋅⋅⋅+-1(1)mod 2n n n =-. 于是n 必须是奇数.对于奇数n ,我们取n i n =,m i n m =-,(1,2,,1)m n =⋅⋅⋅-,可以验证mod k k i k j n -=,0n j =,12n j -=,24n j -=,…,121n n jn --=-,12j n =-,14n j n -=-,36j n =-,…,121n j -=,符合题目要求!2018年高考考前猜题卷理科数学 第Ⅰ卷(共60分)一、选择题:本大题共12个小题,每小题5分,共60分.在每小题给出的四个选项中,只有一项是符合题目要求的. 1.设复数z 满足iii z 2|2|++=,则=||z ( ) A .3 B .10 C .9 D .102.已知全集R U =,集合}012|{2≥--=x x x M ,}1|{x y x N -==,则=N M C U )(( )A .}1|{≤x xB .}121|{≤<-x xC .}121|{<<-x x D .}211|{<<-x x3.已知蚂蚁在边长为4的正三角形区域内随机爬行,则它在离三个顶点的距离都大于2的区域内的概率P 为( ) A .631π-B .43C .63π D .414.已知双曲线)0,0(12222>>=-b a by a x ,过双曲线左焦点1F 且斜率为1的直线与其右支交于点M ,且以1MF 为直径的圆过右焦点2F ,则双曲线的离心率是( ) A .12+ B .2 C .3 D .13+5.一个算法的程序框图如图所示,如果输出y 的值是1,那么输入x 的值是( )A .2-或2B .2-或2C .2-或2D .2-或2 6.已知函数)2||,0)(3sin()(πϕωπω<>+=x x f 的图象中相邻两条对称轴之间的距离为2π,将函数)(x f y =的图象向左平移3π个单位后,得到的图象关于y 轴对称,那么)(x f y =的图象( ) A .关于点)0,12(π对称 B .关于点)0,12(π-对称C .关于直线12π=x 对称 D .关于直线12π-=x 对称7.如下图,网格纸上小正方形的边长为1,图中实线画的是某几何体的三视图,则该几何体最长的棱的长度为( )A.32 B.43C. 2D. 411 8.已知等差数列}{n a 的第6项是6)2(xx -展开式中的常数项,则=+102a a ( )A .160B .160-C .350D .320- 9.已知函数)0(212)(<-=x x f x与)(log )(2a x x g +=的图象上存在关于y 轴对称的点,则a 的取值范围是( )A .)2,(--∞B .)2,(-∞C .)22,(--∞D .)22,22(- 10.已知正四棱台1111D C B A ABCD -的上、下底面边长分别为22,2,高为2,则其外接球的表面积为( )A .π16B .π20C .π65D .π465 11.平行四边形ABCD 中,2,3==AD AB ,0120=∠BAD ,P 是平行四边形ABCD 内一点,且1=AP ,若y x +=,则y x 23+的最大值为( ) A .1 B .2 C .3 D .412.设n n n C B A ∆的三边长分别为n n n c b a ,,,n n n C B A ∆的面积为,3,2,1,=n S n …,若n n a a a c b ==++1111,2,2,211nn n n n n a b c a c b +=+=++,则( ) A .}{n S 为递减数列 B .}{n S 为递增数列C .}{12-n S 为递增数列,}{2n S 为递减数列D .}{12-n S 为递减数列,}{2n S 为递增数列二、填空题(每题4分,满分20分,将答案填在答题纸上)13.函数x a x a x x f )3()1()(24-+--=的导函数)('x f 是奇函数,则实数=a .14.已知y x ,满足约束条件⎪⎩⎪⎨⎧≥+≤-≥+-002043y x x y x (R y x ∈,),则22y x +的最大值为 .15.已知F 为抛物线x y C 4:2=的焦点,过点F 作两条互相垂直的直线21,l l ,直线1l 与C 交于B A ,两点,直线2l 与C 交于E D ,两点,则||||DE AB +的最小值为 . 16.在锐角三角形ABC 中,角C B A ,,的对边分别为c b a ,,,且满足ac a b =-22,则BA tan 1tan 1-的取值范围为 . 三、解答题 (本大题共6题,共70分.解答应写出文字说明、证明过程或演算步骤.) 17.已知等比数列}{n a 的前n 项和为n S ,且满足)(221R m m S n n ∈+=+. (1)求数列}{n a 的通项公式; (2)若数列}{n b 满足)(log )12(112+⋅+=n n n a a n b ,求数列}{n b 的前n 项和n T .18.小张举办了一次抽奖活动.顾客花费3元钱可获得一次抽奖机会.每次抽奖时,顾客从装有1个黑球,3个红球和6个白球(除颜色外其他都相同)的不透明的袋子中依次不放回地摸出3个球,根据摸出的球的颜色情况进行兑奖.顾客中一等奖,二等奖,三等奖,四等奖时分别可领取的奖金为a 元,10元,5元,1元.若经营者小张将顾客摸出的3个球的颜色分成以下五种情况:1:A 个黑球2个红球;3:B 个红球;:c 恰有1个白球;:D 恰有2个白球;3:E 个白球,且小张计划将五种情况按发生的机会从小到大的顺序分别对应中一等奖,中二等奖,中三等奖,中四等奖,不中奖.(1)通过计算写出中一至四等奖分别对应的情况(写出字母即可); (2)已知顾客摸出的第一个球是红球,求他获得二等奖的概率;(3)设顾客抽一次奖小张获利X 元,求变量X 的分布列;若小张不打算在活动中亏本,求a 的最大值.19.如图,三棱柱111C B A ABC -中,侧面C C BB 11为菱形,0160=∠CBB ,1AC AB =.(1)证明:平面⊥C AB 1平面C C BB 11;(2)若C B AB 1⊥,直线AB 与平面C C BB 11所成的角为030,求直线1AB 与平面C B A 11所成角的正弦值.20.如图,圆),(),0,2(),0,2(,4:0022y x D B A y x O -=+为圆O 上任意一点,过D 作圆O 的切线,分别交直线2=x 和2-=x 于F E ,两点,连接BE AF ,,相交于点G ,若点G 的轨迹为曲线C .(1)记直线)0(:≠+=m m x y l 与曲线C 有两个不同的交点Q P ,,与直线2=x 交于点S ,与直线1-=y 交于点T ,求OPQ ∆的面积与OST ∆的面积的比值λ的最大值及取得最大值时m 的值.(注:222r y x =+在点),(00y x D 处的切线方程为200r yy xx =+)21.已知函数x a x g x x f ln )(,21)(2==. (1)若曲线)()(x g x f y -=在2=x 处的切线与直线073=-+y x 垂直,求实数a 的值;(2)设)()()(x g x f x h +=,若对任意两个不等的正数21,x x ,2)()(2121>--x x x h x h 恒成立,求实数a 的取值范围;(3)若在],1[e 上存在一点0x ,使得)(')()('1)('0000x g x g x f x f -<+成立,求实数a 的取值范围.请考生在22、23二题中任选一题作答,如果都做,则按所做的第一题记分. 22.选修4-4:坐标系与参数方程在直角坐标系xOy 中,曲线1C 的参数方程为⎪⎩⎪⎨⎧==21t a y t x (其中t 为参数,0>a ),以坐标原点O 为极点,x 轴的正半轴为极轴建立的极坐标系中,直线l :0sin cos =+-b θρθρ与2C :θρcos 4-=相交于B A ,两点,且090=∠AOB . (1)求b 的值;(2)直线l 与曲线1C 相交于N M ,两点,证明:||||22N C M C ⋅(2C 为圆心)为定值. 23.选修4-5:不等式选讲已知函数|1||42|)(++-=x x x f . (1)解不等式9)(≤x f ;(2)若不等式a x x f +<2)(的解集为A ,}03|{2<-=x x x B ,且满足A B ⊆,求实数a的取值范围.参考答案一、选择题:本大题共12小题,每小题5分,共60分.在每个小题给出的四个选项中,只有一项是符合题目要求的.二、填空题:本大题共4小题,每小题5分,共20分. 13.3 14.8 15.16 16.)332,1( 三、解答题:本大题共6小题,满分70分.解答须写出文字说明、证明过程和演算步骤.17.解:(1)由)(221R m m S n n ∈+=+得⎪⎪⎪⎩⎪⎪⎪⎨⎧+=+=+=282422321m S m S m S ,)(R m ∈,从而有4,2233122=-==-=S S a S S a , 所以等比数列}{n a 的公比223==a a q ,首项11=a ,因此数列}{n a 的通项公式为)(2*1N n a n n ∈=-.(2)由(1)可得12)22(log )(log 1212-=⋅=⋅-+n a a n n n n , ∴)121121(21)12)(12(1+--⨯=-+=n n n n b n ∴)1211215131311(2121+--++-+-⨯=+++=n n b b b T n n 12+=n n. 18.解:(1)4011203)(31023===C C A P ;12011)(310==C B P ,10312036)(3102416===C C C C P ,2112060)(3101426===C C C D P ,6112020)(31036===C C E P∵)()()()()(D P C P E P A P B P <<<<, ∴中一至四等奖分别对应的情况是C E A B ,,,.(2)记事件F 为顾客摸出的第一个球是红球,事件G 为顾客获得二等奖,则181)|(2912==C C F G P .(3)X 的取值为3,2,2,7,3---a ,则分布列为由题意得,若要不亏本,则03212103)2(61)7(401)3(1201≥⨯+⨯+-⨯+-⨯+-⨯a , 解得194≤a ,即a 的最大值为194.19.解:(1)证明:连接1BC ,交C B 1于O ,连接AO , ∵侧面C C BB 11为菱形,∴11BC C B ⊥ ∵为1BC 的中点,∴1BC AO ⊥ 又O AO C B = 1,∴⊥1BC 平面C AB 1又⊂1BC 平面C C BB 11,∴平面⊥C AB 1平面C C BB 11.(2)由B BO AB C B BO C B AB =⊥⊥ ,,11,得⊥C B 1平面ABO 又⊂AO 平面ABO ,∴C B AO 1⊥,从而1,,OB OB OA 两两互相垂直,以O 为坐标原点,的方向为x 轴正方向,建立如图所示的空间直角坐标系xyz O -∵直线AB 与平面C C BB 11所成角为030,∴030=∠ABO设1=AO ,则3=BO ,∵0160=∠CBB ,∴1CBB ∆是边长为2的等边三角形∴)0,1,0(),0,1,0(),0,0,3(),1,0,0(1-C B B A ,则)1,0,3(),0,2,0(),1,1,0(1111-==-=-=AB B A C B AB 设),,(z y x =是平面C B A 11的法向量,则⎪⎩⎪⎨⎧=⋅=⋅00111C B n B A n 即⎩⎨⎧=-=-0203y z x ,令1=x ,则)3,0,1(=n设直线1AB 与平面C B A 11所成的角为θ, 则46||||||,cos |sin ==><=n AB θ. 20.解:(1)易知过点),(00y x D 的切线方程为400=+y y x x ,其中42020=+y x ,则)24,2(),2,2(000y x F y x E +--, ∴4116416416424424220020000021-=-=--=-⋅-+=y y y x y x y x k k 设),(y x G ,则144122412221=+⇒-=+⋅-⇒-=y x x y x y k k (0≠y ) 故曲线C 的方程为1422=+y x (0≠y ) (2)联立⎩⎨⎧=++=4422y x mx y 消去y ,得0448522=-++m mx x ,设),(),,(2211y x Q y x P ,则544,5822121-=-=+m x x m x x ,由0)44(206422>--=∆m m 得55<<-m 且2,0±≠≠m m∴22221221255245444)58(24)(11||m m m x x x x PQ -=-⨯--⨯=-++=,易得)1,1(),2,2(---+m T m S , ∴)3(2)3()3(||22m m m ST +=+++=,∴22)3(554||||m m ST PQ S S OSTOPQ +-===∆∆λ,令)53,53(,3+-∈=+t t m 且5,3,1≠t ,则45)431(4544654222+--⨯=-+-=t t t t λ, 当431=t ,即43=t 时,λ取得最大值552,此时35-=m . 21.解:(1)xax y x a x x g x f y -=-=-=',ln 21)()(2 由题意得322=-a,解得2-=a (2))()()(x g x f x h +=x a x ln 212+=对任意两个不等的正数21,x x ,2)()(2121>--x x x h x h 恒成立,令21x x >,则)(2)()(2121x x x h x h ->-,即2211)(2)(x x h x x h ->-恒成立 则问题等价于x x a x x F 2ln 21)(2-+=在),0(+∞上为增函数 2)('-+=xax x F ,则问题转化为0)('≥x F 在),0(+∞上恒成立,即22x x a -≥在),0(+∞上恒成立,所以1)2(max 2=-≥x x a ,即实数a 的取值范围是),1[+∞. (3)不等式)(')()('1)('0000x g x g x f x f -<+等价于0000ln 1x ax a x x -<+,整理得01ln 000<++-x ax a x ,构造函数x a x a x x m ++-=1ln )(, 由题意知,在],1[e 上存在一点0x ,使得0)(0<x m2222)1)(1()1(11)('x x a x x a ax x x a x a x m +--=+--=+--=因为0>x ,所以01>+x ,令0)('=x m ,得a x +=1①当11≤+a ,即0≤a 时,)(x m 在],1[e 上单调递增,只需02)1(<+=a m ,解得2-<a ; ②当e a ≤+<11,即10-≤<e a 时,)(x m 在a x +=1处取得最小值.令01)1ln(1)1(<++-+=+a a a a m ,即)1l n (11+<++a a a ,可得)1ln(11+<++a aa (*) 令1+=a t ,则e t ≤<1,不等式(*)可化为t t t ln 11<-+ 因为e t ≤<1,所以不等式左端大于1,右端小于或等于1,所以不等式不能成立. ③当e a >+1,即1->e a 时,)(x m 在],1[e 上单调递减,只需01)(<++-=eaa e e m 解得112-+>e e a .综上所述,实数a 的取值范围是),11()2,(2+∞-+--∞e e . 22.解:(1)由题意可得直线l 和圆2C 的直角坐标方程分别为0=+-b y x ,4)2(22=++y x∵090=∠AOB ,∴直线l 过圆2C 的圆心)0,2(2-C ,∴2=b . (2)证明:曲线1C 的普通方程为)0(2>=a ay x ,直线l 的参数方程为⎪⎪⎩⎪⎪⎨⎧=+-=ty t x 22222(t 为参数),代入曲线1C 的方程得04)2222(212=++-t a t , 04212>+=∆a a 恒成立,设N M ,两点对应的参数分别为21,t t ,则821=t t , ∴8||||22=N C M C , ∴||||22N C M C 为定值8.23.解:(1)由9)(≤x f 可得9|1||42|≤++-x x ,即⎩⎨⎧≤->9332x x 或⎩⎨⎧≤-≤≤-9521x x 或⎩⎨⎧≤+--<9331x x解得42≤<x 或21≤≤-x 或12-<≤-x , 故不等式9)(≤x f 的解集为]4,2[-.(2)易知)3,0(=B ,由题意可得a x x x +<++-2|1||42|在)3,0(上恒成立⇒1|42|-+<-a x x 在)3,0(上恒成立1421-+<-<+-⇒a x x a x 在)3,0(上恒成立 3->⇒x a 且53+->x a 在)3,0(上恒成立⎩⎨⎧≥≥⇒50a a 5≥⇒a .。