07高数(下)期末试题AB1
- 格式:ppt
- 大小:1.58 MB
- 文档页数:101
南昌大学 2007~2008学年第二学期期末考试试卷一、 填空题(每空 3 分,共 15 分)1. 设32,2,a i j k b i j k =--=+- 则(2)(3)a b -⋅=_____.2. 函数 2222ln[(25)(4)]z x y x y =--+- 的定义域是____________________________________. 3. 设函数(cos sin )x z e y x y =+, 则10x y dz ===_______.4.交换累次积分的次序(,)1dyf x y dx =⎰⎰________.5. 微分方程2'y y x=的通解为__________.二、 单项选择题 (每小题3分,共15分)1. 过点(3,0,1)-且与平面375120x y z -+-=平行的平面方程是( B ).(A) 3540x z --=. (B) 37540x y z -+-=. (C) 350x y z ++= (D) 75120x y z -+-=. 2.设 2uz v=, 而 2,2u x y v y x =-=+, 则z x∂=∂( A ).(A)()()()22232x y x yy x -++. (B) ()222x y y x-+.(C) ()()2232x y x y y x-+-+. (D)()()22222x y y x -+.3. 设可微函数(,)f x y 在点00(,)x y 取得极小值,则下列结论正确的是 ( B ). (A) 0(,)f x y 在0y y =处的导数大于零.(B) 0(,)f x y 在0y y =处的导数等于零. (C) 0(,)f x y 在0y y =处的导数小于零. . (D) 0(,)f x y 在0y y =处的导数不存在. 4.设L 为取正向的圆周224x y +=, 则曲线积分22()()Lx y dx x y dy ++-⎰ 之值为 ( A ).(A) 0. (B) 4π. (C) 4. (D) π. 5.函数()cos f x x =关于x 的幂级数展开式为 ( D ). (A) 2421(1)(11) n n x x x x -+-+-+-<<(B) 2421(11) n x x x x +++++-<<. (C) 21(11) n x x x x +++++-<<.(D) 2421(1)()2!4!(2)!nnxxxx n -+-+-+-∞<<+∞.三、求解下列各题 (共2小题, 每小题8分, 共16分) 1.求与两平面 43x z -= 和 251x y z --=的交线平行且过点(3,2,5)-的直线方程.2.设(,),z f u v =而,y u xy v e ==,且f 具有二阶连续偏导数,求z x y∂∂∂2.四、求下列积分 (共2小题, 每小题8分, 共16分): 1、计算曲线积分222(2)()y y L xe y dx x e y dy -+-⎰, 其中L 是由点(,0)A a 沿上半圆周22(0)x y ax a +=> 到点(0,0)O 的弧段.2、利用高斯公式计算曲面积分xdydz ydzdx zdxdy ∑++⎰⎰,其中∑为上半球面z =的上侧。
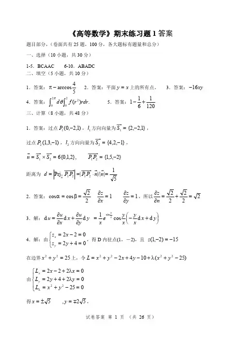
《高等数学》期末练习题1答案题目部分,(卷面共有25题,100分,各大题标有题量和总分)一、选择(10小题,共30分)1-5.BCAAC 6-10.ABADC 二、填空(5小题,共10分)1.答案:π-arccos 452.答案:平面y x =上的所有点。
3.答案:-16xy4.答案:2220().d f r rdr πθ⎰⎰5.答案:1201611+-三、计算(8小题,共48分)1.答案:过点P 1021(,,)-,l 1方向向量为S 1221=-{,,},过点P 2131(,,)-,l 2方向向量为S 2421=-{,,},n S S P P =⨯==-12126012152{,,},{,,}距离为d P P n n ==⋅=Prj ||/||12152.答案:cos cos αβ==22∂∂∂∂z xzy==11,所以∂∂z n =+=222223.解:d d d u u x x u y y =+∂∂∂∂=-+⎛⎝ ⎫⎭⎪1x e y x y xx y yx sin cos d d 4.解:由z x z y x y =-==+=⎧⎨⎩220240,得D 内驻点(1,-2),且z (,)1215-=-在边界x y 2225+=上,令L x y x y x y =+-+-++-2222241025λ()由L x x L y y L x y x y =-+==++==+-=⎧⎨⎪⎩⎪2220242025022λλλ得x y =±=525, ,(()zz 5251510552515105-=--=+比较后可知,函数z 在点(,)12-处取最小值z (,)1215-=-在点(-525,处取最大值()5101552,5+=-z 。
5.解:原式1212001==⋅=⎰⎰⎰⎰dx xydy xdx ydy 6.解:212321xxI dx dy x y zdz=⎰⎰⎰2221027112168516xdx xy dy x dx ===⎰⎰⎰7.解:消z 后,可得L 的参数方程:⎪⎪⎪⎩⎪⎪⎪⎨⎧===t z t y t x sin 21sin 21cos 0t2πt t t t t s d d cos 21cos 21sin d 222=++=,故⎰Lsxyz d 61sin 21sin 21cos 2=⋅⋅=⎰πtdt t t 8.答案:()41122lim lim1=++=∞→+∞→n n a a n nn n ∴级数的收敛半径41=R 四、判断(2小题,共12分)1.解:设f x x x()=+⎛⎝ ⎫⎭⎪1221,于是()ln ()ln f x x x=-+22取极限lim ln ()lim ln()lim x x x f x x x xx →∞→∞→=-+=-+202222=0故lim ()x f x →∞=1,从而有lim n nn →∞+⎛⎝⎫⎭=12121,故而12211n nn +⎛⎝ ⎫⎭⎪=∞∑发散。
高等数学(下)试卷一一、 填空题(每空3分,共15分)(1)函数11z x y x y =++-的定义域为(2)已知函数arctany z x =,则zx ∂=∂(3)交换积分次序,2220(,)y y dy f x y dx⎰⎰=(4)已知L 是连接(0,1),(1,0)两点的直线段,则()Lx y ds +=⎰(5)已知微分方程230y y y '''+-=,则其通解为二、选择题(每空3分,共15分)(1)设直线L 为321021030x y z x y z +++=⎧⎨--+=⎩,平面π为4220x y z -+-=,则( ) A. L 平行于π B. L 在π上 C. L 垂直于π D. L 与π斜交(2)设是由方程2222xyz x y z +++=确定,则在点(1,0,1)-处的dz =( )A.dx dy +B.2dx dy +C.22dx dy +D.2dx dy - (3)已知Ω是由曲面222425()z x y =+及平面5z =所围成的闭区域,将22()x y dv Ω+⎰⎰⎰在柱面坐标系下化成三次积分为( ) A.22530d r dr dzπθ⎰⎰⎰ B.24530d r dr dzπθ⎰⎰⎰ C.2253502rd r dr dzπθ⎰⎰⎰ D.2252d r dr dzπθ⎰⎰⎰(4)已知幂级数,则其收敛半径( )A. 2B. 1C. 12 D. 2(5)微分方程3232x y y y x e '''-+=-的特解y *的形式为y *=( ) A.B.()x ax b xe +C.()xax b ce ++D.()xax b cxe ++三、计算题(每题8分,共48分)1、 求过直线1L :123101x y z ---==-且平行于直线2L :21211x y z+-==的平面方程 2、 已知22(,)z f xy x y =,求zx ∂∂, z y ∂∂ 得分阅卷人3、 设22{(,)4}D x y x y =+≤,利用极坐标求2Dx dxdy ⎰⎰4、 求函数22(,)(2)x f x y e x y y =++的极值 5、计算曲线积分2(23sin )()y L xy x dx x e dy ++-⎰, 其中L 为摆线sin 1cos x t ty t =-⎧⎨=-⎩从点(0,0)O 到(,2)A π的一段弧6、求微分方程 xxy y xe '+=满足11x y ==的特解四.解答题(共22分)1、利用高斯公式计算22xzdydz yzdzdx z dxdy∑+-⎰⎰Ò,其中∑由圆锥面22z x y =+与上半球面222z x y =--所围成的立体表面的外侧 (10)' 2、(1)判别级数111(1)3n n n n∞--=-∑的敛散性,若收敛,判别是绝对收敛还是条件收敛;(6') (2)在(1,1)x ∈-求幂级数1nn nx∞=∑的和函数(6')高等数学(下)试卷二一.填空题(每空3分,共15分)(1)函数24x y z -=的定义域为 ; (2)已知函数xyz e =,则在(2,1)处的全微分dz = ;(3)交换积分次序,ln 1(,)e x dx f x y dy⎰⎰= ;(4)已知L 是抛物线2y x =上点(0,0)O 与点(1,1)B 之间的一段弧,则L yds =⎰ ;(5)已知微分方程20y y y '''-+=,则其通解为 .二.选择题(每空3分,共15分)(1)设直线L 为300x y z x y z ++=⎧⎨--=⎩,平面π为10x y z --+=,则L 与π的夹角为( );A. 0B. 2πC. 3πD. 4π(2)设是由方程333z xyz a -=确定,则z x ∂=∂( );A. 2yz xy z -B. 2yz z xy -C. 2xz xy z -D. 2xy z xy -(3)微分方程256x y y y xe '''-+=的特解y *的形式为y *=( ); A.2()x ax b e + B.2()xax b xe + C.2()x ax b ce ++ D.2()x ax b cxe ++(4)已知Ω是由球面2222x y z a ++=所围成的闭区域, 将dvΩ⎰⎰⎰在球面坐标系下化成三次积分为( );A2220sin ad d r drππθϕϕ⎰⎰⎰ B.220ad d rdrππθϕ⎰⎰⎰C.200ad d rdrππθϕ⎰⎰⎰ D.220sin a d d r drππθϕϕ⎰⎰⎰(5)已知幂级数1212nnn n x ∞=-∑,则其收敛半径( ).A. 2B. 1C. 12 D. 2 三.计算题(每题8分,共48分)5、 求过(0,2,4)A 且与两平面1:21x z π+=和2:32y z π-=平行的直线方程 .6、 已知(sin cos ,)x yz f x y e +=,求zx ∂∂, z y ∂∂ . 7、 设22{(,)1,0}D x y x y y x =+≤≤≤,利用极坐标计算arctanDydxdy x ⎰⎰ .8、 求函数22(,)56106f x y x y x y =+-++的极值. 9、 利用格林公式计算(sin 2)(cos 2)x x Le y y dx e y dy-+-⎰,其中L 为沿上半圆周222(),0x a y a y -+=≥、从(2,0)A a 到(0,0)O 的弧段. 6、求微分方程 32(1)1y y x x '-=++的通解.四.解答题(共22分)1、(1)(6')判别级数11(1)2sin 3n nnn π∞-=-∑的敛散性,若收敛,判别是绝对收敛还是条件收敛;(2)(4')在区间(1,1)-内求幂级数1n n x n ∞=∑的和函数 .2、(12)'利用高斯公式计算2xdydz ydzdx zdxdy∑++⎰⎰,∑为抛物面22z x y =+(01)z ≤≤的下侧高等数学(下)模拟试卷三一. 填空题(每空3分,共15分)1、 函数arcsin(3)y x =-的定义域为 .2、22(2)lim 332n n n n →∞++-= .3、已知2ln(1)y x =+,在1x =处的微分dy = . 4、定积分1200621(sin )x x x dx -+=⎰ .5、求由方程57230y y x x +--=所确定的隐函数的导数dydx = .得分阅卷人得分二.选择题(每空3分,共15分)1、2x =是函数22132x y x x -=-+的 间断点 (A )可去 (B )跳跃(C )无穷 (D )振荡2、积分10⎰= .(A) ∞ (B)(C) 0 (D) 13、函数1xy e x =-+在(,0]-∞内的单调性是 。
2006-2007学年第二学期高等数学期末试卷北京工业大学2006-2007学年第二学期《高等数学》期末试卷一、单项选择题:本大题共5小题,每小题4分,共20 分。
在每小题给出的四个选项中,只有一项是符合题目要求的. 请将正确结果的字母写在括号内。
1.假定函数f (x,,y )在点),(0y x 处取得极大值,此时下列结论正确的是 【 】(A )0(,)f x y 在0x x =处导数等于零. (B )0(,)f x y 在0x x =处导数大于零.(C )0(,)f x y 在0x x =处导数小于零. (D )0(,)f x y 在x x =处导数未必存在.2. 222222ln()1z x y z dxdydz x y z Ω+++++⎰⎰⎰(其中Ω为2222xy z ++≤)的值等于 【 】 (A ) 2 (B ) 1 (C ) 0 (D ) -1 3.级数21(1)ln nn n∞=-∑ 的敛散情况是【 】(A )条件收敛 (B )绝对收敛 (C )发散 (D )敛散性不能确定4.将三重积分dvz y xI ⎰⎰⎰Ω++=)(222,其中1:222≤++Ωz y x,化为球面坐标下的三次积分为 【 】 (A )⎰⎰⎰120drd d ππϕθ (B ) ⎰⎰⎰1220rdrd d ππϕθ(C )⎰⎰⎰1420sin drr d d ϕϕθππ(D ) ⎰⎰⎰12020sin drr d d ϕϕθππθϕϕd drd r dv sin 2=注意到体积元素5.定义在[,]ππ-上的函数()||f x x =展开为以2π为周期的傅立叶级数,其和函数记为)(x S ,则=)(πS【 】(A )0 (B) π(C )π- (D )2π二、填空题:本大题共5小题,每小题4分,共20分,把答案填在题中的横线上.6.曲线32,,t z ty t x ===在点),1,1,1(--P 处的切线方程为___________________ , 法平面方程为12.计算二次积分2()a x y aI a dx e dy-=⎰⎰,其中实数0a >,并求极限lim ()a I a →+∞13.利用高斯公式计算曲面积分⎰⎰∑+-=,2dxdy z xdzdx ydydz I 其中∑是锥面22y x z +=介于平面0z =与平面3z =之间部分的外侧.14.已知曲线积分()[]⎰'+-=),()0,0()()(,y x x dyxydxxeyxIϕϕ与积分路径无关,其中()xϕ是二阶可导函数,且(0)0ϕ=,0)0(='ϕ.1.求()xϕ;2.求)1,1(I.15. 求(1)幂级数112n n n n x ∞-=∑的收敛域;(2)幂级数112n nn n x ∞-=∑的和函数;(3)级数1(1)2nnn n ∞=-∑的和.16.函数)(x f 具有连续的导数,满足0()()d 1x ax xf x e f at t ae +=+⎰,且(0)2f a =, 求a 的值及函数)(x f .12()(2)x x e xe xf x e e ee--+-+=-+四、 证明题: 本题共1题,6分.17. 已知无穷级数2n n u ∞=∑满足 22222ln 1xy nx y a nun dxdyπ--+≤=-⎰⎰,其中实数0a >, 证明: 级数2n n u ∞=∑ 当1a >时收敛; 当1a ≤时发散, 但2(1)nnn u ∞=-∑ 总收敛.北京工业大学2006-2007学年第二学期 《高等数学》期末试卷 参考答案一、单项选择题1. D 2. C 3.A 4. C (θϕϕd drd r dv sin 2=注意到体积元素)5. B二、填空题 6.312111+=--=+z y x 0632=++-z y x7. 44a π8.544x - )4,4(-9.3,2==b a 310.dy dx dz 2121+=三、计算题11. 解:设 ,x u y x v ye =-=, 则''x u v zf ye f x∂=-+∂ ()()2'''''''''''''''2'''()1x x u v uu uvx x x vu vv v x x x uu uv vv v z f ye f f e f x y yye f e f e f f e y f ye f e f ∂∂=-+=--∂∂∂+++=-+-++12. 解:()2222211.2a xa aa yy y y a xa y a dx edy dx edy dy edxyedy e -----=-=-=-=-⎰⎰⎰⎰⎰⎰⎰从而1lim ()2a I a →+∞=-。
高等数学(下册)考试试卷(一)一、填空题(每小题3分,共计24分)1、 z =)0()(log 22>+a y x a 的定义域为D= 。
2、二重积分⎰⎰≤++1||||22)ln(y x dxdy y x 的符号为 。
3、由曲线x y ln =及直线1+=+e y x ,1=y 所围图形的面积用二重积分表示为 ,其值为 。
4、设曲线L 的参数方程表示为),()()(βαψϕ≤≤⎩⎨⎧==x t y t x 则弧长元素=ds 。
5、设曲面∑为922=+y x 介于0=z 及3=z 间的部分的外侧,则=++⎰⎰∑ds y x )122( 。
6、微分方程xyx y dx dy tan +=的通解为 。
7、方程04)4(=-y y 的通解为 。
8、级数∑∞=+1)1(1n n n 的和为 。
二、选择题(每小题2分,共计16分)1、二元函数),(y x f z =在),(00y x 处可微的充分条件是( ) (A )),(y x f 在),(00y x 处连续;(B )),(y x f x ',),(y x f y '在),(00y x 的某邻域内存在;(C ) y y x f x y x f z y x ∆'-∆'-∆),(),(0000当0)()(22→∆+∆y x 时,是无穷小;(D )0)()(),(),(lim 2200000=∆+∆∆'-∆'-∆→∆→∆y x yy x f x y x f z y x y x 。
2、设),()(x y xf y x yf u +=其中f 具有二阶连续导数,则2222yuy x u x ∂∂+∂∂等于( )(A )y x +; (B )x ; (C)y ; (D)0 。
3、设Ω:,0,1222≥≤++z z y x 则三重积分⎰⎰⎰Ω=zdV I 等于( )(A )4⎰⎰⎰202013cos sin ππϕϕϕθdr r d d ;(B )⎰⎰⎰2012sin ππϕϕθdr r d d ;(C )⎰⎰⎰ππϕϕϕθ20213cos sin dr r d d ;(D )⎰⎰⎰ππϕϕϕθ2013cos sin dr r d d 。
高等数学(同济)下册期末考试题及答案(5套)高等数学(下册)考试试卷(一)一、填空题(每小题3分,共计24分)1、z=log(a,(x+y))的定义域为D={(x,y)|x+y>0}。
2、二重积分22ln(x+y)dxdy的符号为负号。
3、由曲线y=lnx及直线x+y=e+1,y=1所围图形的面积用二重积分表示为∬(x+y-e-1)dxdy,其值为1/2.4、设曲线L的参数方程表示为{x=φ(t),y=ψ(t)}(α≤t≤β),则弧长元素ds=sqrt(φ'(t)^2+ψ'(t)^2)dt。
5、设曲面∑为x+y=9介于z=0及z=3间的部分的外侧,则∬(x+y+1)ds=27√2.6、微分方程y'=ky(1-y)的通解为y=Ce^(kx)/(1+Ce^(kx)),其中C为任意常数。
7、方程y(4)d^4y/dx^4+tan(x)y'''=0的通解为y=Acos(x)+Bsin(x)+Ccos(x)e^x+Dsin(x)e^x,其中A、B、C、D为任意常数。
8、级数∑n(n+1)/2的和为S=1/2+2/3+3/4+。
+n(n+1)/(n+1)(n+2)=n/(n+2),n≥1.二、选择题(每小题2分,共计16分)1、二元函数z=f(x,y)在(x,y)处可微的充分条件是(B)f_x'(x,y),f_y'(x,y)在(x,y)的某邻域内存在。
2、设u=yf(x)+xf(y),其中f具有二阶连续导数,则x^2+y^2等于(B)x。
3、设Ω:x+y+z≤1,z≥0,则三重积分I=∭Ω2z dV等于(C)∫0^π/2∫0^1-rsinθ∫0^1-r sinθ-zrdrdφdθ。
4、球面x^2+y^2+z^2=4a^2与柱面x^2+y^2=2ax所围成的立体体积V=(A)4∫0^π/4∫0^2acosθ∫0^4a-rsinθ rdrdφdθ。
《高等数学》(下)试题(A)闭卷(7)适合专业年级:07环科、电商、计算机、食工、电气、贪质、建环;水利、农机;木科、土管(农)、环规;地理、土管(测);生态、城管等姓名_学号专业______________ 班级____________木试题•一共五道大题,共4页,满分100分,考试时间120分钟。
总分题号—‘二三四五阅卷人题分1012125610核分人得分注:1.答题前,请准确、清楚地填各项,涂改及模糊不清者、试卷作废。
2.试卷若有雷同以零分计。
一.是非题(每小题2分,共10分.正确打人错误打X.) 1、limw n=0是级数$人收敛的充要条件.zt=l7. ¥级数含一^x"的收敛半径n=\ (- 3)'1A. ¥8. 3 C. 2 D. 1A.充分条件B.必要条件C.充要条件D.既不充分也不必要条件9、若曲而27:x2 + y2 +^2= a2,则孙? +/ +ZZ 2)dS =(级数a (-i) Zl-\fn是绝对收敛.3、若V为W的体积一半,则dxdydz = 2V .4、常微分方程;v it 4),= 0的特征根是土2 .5、若向量场,则旋度^+―^+―& 拽V二、选择填空(每小题3分,共12分.)6、f(x,y)dy =C. ^dy^f(x,y)dx B. ' f(x,y)dxD. ' f(x,y)dxA. pa4B. 2pa4C. 4pa4D. 6pa4三、填空(每小题4分,共12分)0办= __________________ 10、若户^,”,^(人:^在^巧平而内积分与路径无关,则$/^+11、c os«是有向曲面S在处的法向量的方向余弦,由两类曲面积分关系,有虫科P cos adS = ____________12、对于微分方程y it f (y, y),若令尸= ________ ,y & _____________ ,则化为降阶可解.四、解答题(每小题7分,共56分)A xds ,其中,L是上半岡周x2+y2=2x, 0.13、i in6 [e、cosx_ y]dx-^- [e y sinx+ y- x]dy ,其中,L 力4x2 + 9),2 = 36 在14、计算 / =第一象限中的部分,从点(3,0)到(0,2).2 215、I = x2dydz + y2dzdx+ z2dxdy ,其中,S :—7+ -p- 1,外侧.c16、计算/= cos yjx2 + y2 dxdy,其中,D:x2 y2P2.1)17、计算/=龄斗(x2+ >,2 + z2- z)dxdydz,其屮,W: x2 + + z2a2.~ x n+118、求¥级数x? ( 1,1)的和阑数S(x). H=I n20、求微分方程x2/ + xy = y2,刈)=-1的特解.五、综合题(本题10分)21、已知/(0)=0, /<x)= /(0^+2,(1)求/(x),(2)把/(x)展开成又的¥级数.07级《高等数学》(下)试题A参考答案和评分标准(2007-2008学年第2期)一、是非题(毎小题2分,共10分.正确打V,错误打X.) XXV XX二、选择填空(每小题3分,共12分.)DBAC三、填空(毎小题4分,共12分)2 2 215、计算/ — 觀 x 2dydz + y 2dzdx + z,2clxdy , s:*+fr+fr=i ,外侧‘解根据高斯公式及三重积分的对称性质,得 /=齦 x 2dydz + y 2dzdx+ z 2dxcly =虫科(2x+ 2y+ 2z )dv= 016、计算/=虫科 cos^/x 2+),2 dxdy ,其中 £>:x 2+y解极坐标计算< dJ () cosr ?rJr 2p ?[r sin r cosrj = -4p (7 分)四、解答题(毎小题7分,共56分)13、计算义也,£是上半圆周X2+),2=2X ,0.z , ,x = 1 + cosf,z 解令. (0 < z < ^), y = sin t(3分)则虫,(1 + cos t)yj(- sinz)2 + (cos ,)2t/z = p(7分)14、计算/= 6IX C0SA '- y]dx+ [e y sinx+ y- x]dy , K 中 L 为 4x 2+9y 236在第一象限中的部分,从点(3,0)到(0,2).解由于#=fcosx- 1=所以曲线积分与路径无关.选择折线路径(3,0)(0,0) (0,2)(3分)d K cosx- y]dx+ [e ysinx+ y- x}dyos xdx + ydy= 2 - sin 3(7分)(7分)a'2P 217、计算/=虫科(x2+ )’2+ z2- ^)dxdydz ,其•中,V : %2 + V2 + z2a2解山球平.标和对称性I =虫柳科^2+/+ z2)dxdydz-嫩zd 又dydz (3分)dJ siny dj(7分)°° w+i18、求幂级数, jv? ( 1,1)的和函数只x)./?=!x n解令久⑴二刃二,X?( 1,1),逐项求导得, trr noo'1=1n=l 1-X(3分)因此,5,(x)= Q ------- d t= - ln(l- x),x? ( 1,1)z o1所以,S(x) = xS} (%) = -x ln(l -x), xe (-1J) (7分)19、/(x)周期是2p,—个周期闪/(%)= •x2,(-/? < x /?),把/(x)展开成企弦级数.解:6Z0 = —x2dx= -^―2 P 7a、、=— A cos nxdx =4l)n—,(H= 1,2,3,L)显然,b n= 0,(n= 1,2,L )(5分)*7 2f(x) = —+ cosnx= —+ (- l)n— cosnx , x? ( ?,) (7 分)2 n=i3 M=i n20、求微分方程x2/ + ;vy = y2, }<1)= - 1的特解.解(1)变形得 Bernoulli 方程y0+ x J y= Z 2y2两端同除以y2,令还-/2z,i ; - ] - 2 o - I - 2-Z x z= X ! z X z= - Xx [(ix11+ 2Cx 2clx+ c =——+ Cx= ------------2x 2x由 y (l )=- 1,得 C=3, (6分)所求特解为v= (7分)1- 3x 2五、综合题(本题10分)21、已知/(0)=0, /<x )= Q 綾八 f (f )dt+ 2, (1)求/0),(2)把/0)展开成x 的¥级数.解⑴ /如)=2,- /(x ),记尸/(x ),得yiib ),= 2e\y (0)= 0,y (0)= 2 ①(2 分)特征方程r 2+ 1= 0,特征根r, 2 = i对应齐次方程通解y= C, cos%+ C 2sin%(4分)2x3 y=I7^’ 由)’(卜1 得(6分)所求特解>,=2x1- 3x 2(7分)解(2)将原方程变形,得// \22、义/XUdxu+ x —^代入上式,得clu X ——=U dxdx2- 2u(3分)分离变W:积分得u — 2 2 "" y ~2 C?,即Cx(3分)因为/ = 1不是特征根,可设特解代入方程①得A = 1),(0) = 0, ><0) = 2 得 = - 1,C 2 = 1 所以 /(x)= sinx • cosx+ e x (7分)(2) /(%)= sinx- cosx+ e x s_丄人丄人丄•V + —X' 3! 5!7! X 7 + LT丄义2 + 2! 4! 6! x 6 + L+ %+ — 4- —x 3 + —x 4 + —x 5 + —x 6 + —%7L $2! 3! 4! 5! 6! 7!A '9+io!x ,° +L 4zi+l (4n+ 2)! 4n+2Z(10 分)。
大学高等数学(下册)考试试卷(一)一、填空题(每小题3分,共计24分)分)1、 z =)0()(log 22>+a y x a 的定义域为D= 。
2、二重积分òò£++1||||22)ln(y x dxdy y x的符号为的符号为。
3、由曲线x y ln =及直线1+=+e y x ,1=y 所围图形的面积用二重积分表示为 ,其值为 。
4、设曲线L 的参数方程表示为),()()(b a y j ££îíì==x t y t x 则弧长元素=ds 。
5、设曲面∑为922=+y x 介于0=z 及3=z 间的部分的外侧,则=++òòåds y x )122( 。
6、微分方程xyx ydx dytan+=的通解为的通解为 。
7、方程04)4(=-y y的通解为的通解为。
8、级数å¥=+1)1(1n n n 的和为的和为 。
二、选择题(每小题2分,共计16分)分)1、二元函数),(y x f z =在),(00y x 处可微的充分条件是(处可微的充分条件是( ) (A )),(y x f 在),(00y x 处连续;处连续;(B )),(y x f x¢,),(y x f y¢在),(00y x 的某邻域内存在;的某邻域内存在;(C ) yy x f x y x f z yxD ¢-D ¢-D ),(),(0当0)()(22®D +D y x 时,是无穷小;时,是无穷小;(D )0)()(),(),(lim22000000=D +D D¢-D ¢-D ®D ®D y x yy x f x y x f z y x y x 。
2、设),()(x y xf y xyf u +=其中f 具有二阶连续导数,则2222yu y x u x ¶¶+¶¶等于(等于( ) (A )y x +; (B )x ; (C)y ; (D)0 。
高等数学(工本)真题2007年下半年(总分:100.00,做题时间:90分钟)一、单项选择题(总题数:5,分数:15.00)1.在空间直角坐标系中,点P(-1,2,-3)关于oyz坐标面的对称点是( ) A.(1,-2,3) B.(1,2,-3)C.(-1,2,3) D.(-1,-2,-3)(分数:3.00)A.B. √C.D.解析:2.设函数f(x,y)满足f x(x0,y0)=(x0,y0)=0,则函数f(x,y)在点(x0,y0)处( ) A.一定连续 B.一定有极值C.一定可微 D.偏导数一定存在(分数:3.00)A.B.C.D. √解析:3.设区域D是由直线y=2x,y=3x及x=1所围成,则二重积[*]=( )[*](分数:3.00)A.B. √C.D.解析:4.已知二阶常系数线性齐次微分方程y"+y'+qy=0的通解为y=e x(C1sin2x+C2cos2x),则常数p和q分别为( )A.-2和5 B.2和-5C.2和3 D.-2和-3(分数:3.00)A. √B.C.D.解析:5.若无穷级数[*]收敛于S,则无穷级数[*]收敛于( )A.S B.2SC.2S-u1 D.2S+u1(分数:3.00)A.B.C. √D.解析:二、填空题(总题数:5,分数:10.00)6.设函数z=arctan(x+y),则[*]= 1.(分数:2.00)填空项1:__________________ (正确答案:[*])解析:7.设区域D:0≤x≤1,|y|≤2,则二重积[*]的值等于 1.(分数:2.00)填空项1:__________________ (正确答案:2)解析:8.已知sinxdx+cosydy是某个函数u(x,y)的全微分,则u(x,y)= 1.(分数:2.00)填空项1:__________________ (正确答案:siny-cosx+C)解析:9.微分方程[*]的阶数是 1.(分数:2.00)填空项1:__________________ (正确答案:二)解析:10.设f(x)是周期为2π的周期函数,它在[-π,π]上表达式为[*],s(x)是f(x)的傅里叶级数的和函数,则s(π)= 1.(分数:2.00)填空项1:__________________ (正确答案:[*])解析:三、计算题(总题数:12,分数:60.00)11.求过点P1(1,2,-4)和P2(3,1,1)的直线方程.(分数:5.00)__________________________________________________________________________________________ 正确答案:(直线的方向向量为[*]所以所求直线方程为[*])解析:12.设函数[*].(分数:5.00)__________________________________________________________________________________________ 正确答案:([*][*])解析:13.已知方程x2+y2+z2-8z=0确定函数z=z(x,y),求[*].(分数:5.00)__________________________________________________________________________________________ 正确答案:(设F(x,y,z)=x2+y2+z2-8z则F x=2x,F y=2y,F z=2z-8[*])解析:14.求函数f(x,y)=2xy-x2-y2在点(1,2)处,沿与x轴正向成60°角的方向z的方向导数.(分数:5.00)__________________________________________________________________________________________ 正确答案:([*][*][*][*])解析:15.求曲面z=2x2+3y2在点(1,1,5)处的切平面方程.(分数:5.00)__________________________________________________________________________________________ 正确答案:(设F(x,y,z)=2x2+3y2-z,则F x=4x F y=6y F z=-1从而F x(1,1,5)=4 F y(1,1,5)=6 F z(1,1,5)=-1于是,所求切平面方程为4(x-1)+6(y-1)-(z-5)=0即4x+6y-z-5=0)解析:16.计算二次积分[*].(分数:5.00)__________________________________________________________________________________________ 正确答案:(交换积分次序得[*] [*])解析:17.计算三重积分[*],其中Ω是由平面x=1,y=1,z=1及坐标面所围成的区域.(分数:5.00)__________________________________________________________________________________________ 正确答案:([*])解析:18.计算对弧长的曲线积分[*],其中L是抛物线[*]上由点(1,[*])到点(2,2)的一段弧.(分数:5.00)__________________________________________________________________________________________ 正确答案:([*][*])解析:19.计算对坐标的曲线积分[*],其中L为图中的有向折线ABO.[*](分数:5.00)__________________________________________________________________________________________ 正确答案:([*])解析:20.已知可导函数f(x)满足[*],求函数f(x).(分数:5.00)__________________________________________________________________________________________ 正确答案:(两边对x求导得f'(x)=xf(x)即[*]积分得[*][*])解析:21.求幂级数[*]的收敛半径和收敛域.(分数:5.00)__________________________________________________________________________________________ 正确答案:([*]∴收敛半径R=2[*]∴收敛域为(-2,2])解析:22.判断无穷级数[*]的敛散性.(分数:5.00)__________________________________________________________________________________________ 正确答案:([*][*] [*])解析:四、综合题(总题数:3,分数:15.00)23.求函数f(x,y)=x3-4x2+2xy-y2+1的极值.(分数:5.00)__________________________________________________________________________________________ 正确答案:(∵f x(x,y)=3x2-8x+2y=0f y(x,y)=2x-2y=0∴得驻点为(0,0),(2,2)而f xx(x,y)=6x-8 f xy(x,y)=2 f yz(x,y)=-2对于(0,0),有B2-AC=-12<0,A=-8<0所以(0,0)是f(x,y)的极大值点,极大值为f(0,0)=1对于(2,2),有B2-AC=12>0,所以(2,2)不是f(x,y)的极值点.综上所述,f(x,y)在(0,0)处取得极大值为1.)解析:24.求由平面x=0,y=0,z=0,x+y=1及抛物面z=x2+y2所围成的曲顶柱体的体积.(分数:5.00)__________________________________________________________________________________________ 正确答案:(设D:x≥0,y≥0,x+y≤1[*])解析:25.将函数[*]展开成x的幂级数.(分数:5.00)__________________________________________________________________________________________ 正确答案:([*])解析:。
一。
偏导数的几何应用1、[07]曲线cos :sin x a ty a t z ct=⎧⎪Γ=⎨⎪=⎩在点(),0,0a 的切线方程为0x a y z a c -==. 2.[07](化工类做)在曲面22122z x y =+上求出切平面,使所得的切平面与平面42210x y z ---=平行。
解:曲面的法向量{}4,,1n x y =-应与平面平面42210x y z ---=的法向量平行,从而有411,1,4222x y y x -==⇒=-=--,由于切点在曲面上()221121122z ⎛⎫=+-= ⎪⎝⎭ 因此切平面为()()1421210,2102x y z x y z ⎛⎫--+--=---= ⎪⎝⎭3.[2006]已知直线34:273x y zL ++==--和平面:4223x y z ∏--=则( B ) A 、L 在∏内 B 、L 与∏平行,但L 不在∏内 C 、L 与∏垂直 D 、L 不与∏垂直,L 不与∏平行4.[2006]曲面23z z e xy -+=在点()1,2,0处的法线方程是12420x y z--== 5. [2006](化工类做) 已知直线1210:320x y L x z +-=⎧⎨+-=⎩和2112:123x y z L -+-==,证明:12//L L ,并求由12,L L 所确定的平面方程。
证明:直线1L 上任取两点()()0,1,2,1,1,1--,则{}11,2,3S =--是1L 的方向向量;2L 的一个方向向量为{}21,2,3S =-,因为12//S S ,所以12//L L设12,L L 所确定的平面方程为0Ax By Cz D +++=,它经过点()1,1,2-和点()()0,1,2,1,1,1--,所以2022000A B C D A DB C D B D A B C D C -++==-⎧⎧⎪⎪++=⇒=-⎨⎨⎪⎪--+==⎩⎩所求方程为210x y --+=二。
⾼数下期末考试试卷及答案(精选.)2017学年春季学期《⾼等数学Ⅰ(⼆)》期末考试试卷(A )注意:1、本试卷共 3 页;2、考试时间110分钟;3、姓名、学号必须写在指定地⽅⼀、单项选择题(8个⼩题,每⼩题2分,共16分)将每题的正确答案的代号A 、B 、C 或D 填⼊下表中.1.已知a 与b都是⾮零向量,且满⾜-=+a b a b ,则必有(). (A)-=0a b (B)+=0a b (C)0?=a b (D)?=0a b 2.极限2222001lim()sinx y x y x y →→+=+( ).(A) 0(B) 1 (C) 2 (D)不存在 3.下列函数中,df f =?的是( ).(A )(,)f x y xy = (B )00(,),f x y x y c c =++为实数(C )(,)f x y =(D )(,)e x y f x y +=4.函数(,)(3)f x y xy x y =--,原点(0,0)是(,)f x y 的( ).(A )驻点与极值点(B )驻点,⾮极值点(C )极值点,⾮驻点(D )⾮驻点,⾮极值点 5.设平⾯区域2 2:(1)(1)2D x y -+-≤,若1d 4D x y I σ+=,2DI σ=,则有(). (A )123I I I << (B )123I I I >> (C )213I I I << (D )312I I I <<6.设椭圆L :13422=+y x 的周长为l ,则22(34)d L x y s +=??(). (A) l (B) l 3 (C) l 4 (D) l 127.设级数∑∞=1n na为交错级数,0()n a n →→+∞,则().(A)该级数收敛 (B)该级数发散(C)该级数可能收敛也可能发散 (D)该级数绝对收敛 8.下列四个命题中,正确的命题是(). (A )若级数1 nn a∞=∑发散,则级数21nn a∞=∑也发散(B )若级数21nn a∞=∑发散,则级数1nn a∞=∑也发散(C )若级数21nn a∞=∑收敛,则级数1nn a∞=∑也收敛1||nn a∞=∑收敛,则级数21n n a ∞=∑也收敛⼆、填空题(7个⼩题,每⼩题2分,共14分).1.直线3426030x y z x y z a -+-=??+-+=?与z 轴相交,则常数a 为 .2.设(,)ln(),y f x y x x=+则(1,0)y f '=______ _____.3.函数(,)f x y x y =+在(3,4)处沿增加最快的⽅向的⽅向导数为 .4.设22:2D x y x +≤,⼆重积分()d Dx y σ-??= .5.设()f x 是连续函数,22{(,,)|09}x y z z x y Ω=≤≤--,22()d f x y v Ω+在柱⾯坐标系下的三次积分为 .6.幂级数11(1)!nn n x n ∞-=-∑的收敛域是 . 7.将函数21,0()1,0x f x x x ππ--<≤??=?+<≤??以2π为周期延拓后,其傅⾥叶级数在点x π=处收敛于 .三峡⼤学试卷纸教学班号序号学号姓名…………………….……答题不要超过密封线………….………………………………三、综合解答题⼀(5个⼩题,每⼩题7分,共35分,解答题应写出⽂字说明、证明过程或演算步骤) 1.设(,)x u xf x y =,其,u y ??.解: 2.求曲⾯e 3z z xy ++=在点(2,1,0)处的切平⾯⽅程及法线⽅程.解:3.交换积分次序,并计算⼆次积分0sin d d xyx y yππ.解:4.设Ω是由曲⾯1,,===x x y xy z 及0=z 所围成的空间闭区域,求23d d d I xy z x y z Ω=.解:5.求幂级数11n n nx∞-=∑的和函数()S x ,并求级数12nn n ∞=∑的和.解:三峡⼤学试卷纸教学班号序号学号姓名…………………….……答题不要超过密封线………….………………………………四、综合解答题⼆(5个⼩题,每⼩题7分,共35分,解答题应写出⽂字说明、证明过程或演算步骤)1.从斜边长为1的⼀切直⾓三⾓形中,求有最⼤周长的直⾓三⾓形.解2.计算积分22()d Lx y s +?,其中L 为圆周22x y ax += (0a >).解:3.利⽤格林公式,计算曲线积分2I xy x x xy y =+++??,其中L 是由抛物线2y x =和2x y =所围成的区域D 的正向边界曲线.4.计算d x S ∑,∑为平⾯1=++z y x 在第⼀卦限部分.解:5.利⽤⾼斯公式计算对坐标的曲⾯积分d d d d d d x y y z z x S++蝌,其中∑为圆锥⾯222z x y =+介于平⾯0z =及1z =之间的部分的下侧. 解:三峡⼤学试卷纸教学班号序号学号姓名…………………….……答题不要超过密封线………….………………………………xO 2y x =2x y =y D2017学年春季学期《⾼等数学Ⅰ(⼆)》期末考试试卷(A)答案及评分标准⼀、单项选择题(8个⼩题,每⼩题2分,共16分)1.已知a 与b 都是⾮零向量,且满⾜-=+a b a b ,则必有(D ) (A)-=0a b ; (B)+=0a b ; (C)0?=a b ; (D)?=0a b .2.极限2222001lim()sin x y x y x y →→+=+ ( A ) (A) 0; (B) 1; (C) 2; (D)不存在. 3.下列函数中,d f f =?的是( B );(A ) (,)f x y xy =;(B )00(,),f x y x y c c =++为实数;(,)f x y =(D )(,)e x yf x y +=.4.函数(,)(3)f x y xy x y =--,原点(0,0)是(,)f x y 的( B ).(A )驻点与极值点;(B )驻点,⾮极值点;(C )极值点,⾮驻点;(D )⾮驻点,⾮极值点. 5.设平⾯区域D :2 2(1)(1)2x y -+-≤,若1d 4D x y I σ+=,2DI σ=,3DI σ=,则有( A )(A )123I I I <<;(B )123I I I >>;(C )213I I I <<;(D )312I I I <<.6.设椭圆L :13422=+y x 的周长为l ,则22(34)d L x y s +=??(D ) (A) l ; (B) l 3; (C) l 4; (D) l 12.7.设级数∑∞=1n na为交错级数,0()n a n →→+∞,则( C )(A)该级数收敛; (B)该级数发散;(C)该级数可能收敛也可能发散; (D) 该级数绝对收敛. 8.下列四个命题中,正确的命题是( D )(A )若级数1nn a∞=∑发散,则级数21n∞=∑也发散;(B )若级数21nn a∞=∑发散,则级数1nn a∞=∑也发散;(C )若级数21nn a∞=∑收敛,则级数1nn a∞=∑也收敛;(D )若级数1||nn a∞=∑收敛,则级数21n n a ∞=∑也收敛.⼆、填空题(7个⼩题,每⼩题2分,共14分).1.直线3426030x y z x y z a -+-=??+-+=?与z 轴相交,则常数a 为 3 。
2007年湖北荆门市高一下学期期末考试数学试卷参考答案一、二、填空题: 11.11 12.0<ω≤3213.),2()2,21(+∞⋃-14.②③ 15.(1)7.5米(2分) (2) 23π(3分)三、解答题:16.课本P 48中的例3改编。
解:原式=ooo cos 40cos 40cos101(1cos 40)2++=o o o o oo12(cos10)222[cos40+cos40]cos101cos40⋅+ =oooo o o osin 402(cos40+2cos 40)2(cos401)cos10=21cos401cos40⋅+++= ……………12分17.解:由于(,),(1,)a x m b x x ==-,所以()2(1)f x a b x m x =⋅=-++。
(1)当m=3时,()24f x x x =-+,不等式f (x )<x 即24x x x -+<,解得x <0或x >3。
所以m=3时,不等式f (x )<x 的解集为(,0)(3,)-∞+∞. ……………6分(2)如果2()(1)f x x m x =-++在()2,-+∞上单调递减,则有122m +≤-,解得5m ≤-, 所以实数m 的范围是(,5]-∞-。
……………12分18.解:(1)∴a =(3,-4),a +b =(4,-3) ,∴b = (1,1)∴31cos 5θ⋅⨯+===a b |a ||b | ……………4分 ∵0≤θ≤π,∴102arccos-=πθ ……………6分 (2)若向量a 与b 是线相关的,则存在不全为零的常数βα、,使αβ+=0a b , 即)0,0()4,3(=+-+βαβα ……………8分∴⎩⎨⎧==⇒⎩⎨⎧=+-=+000403βαβαβα ……………10分 与βα、不全为零矛盾因此向量a 与b 是线性无关的. ……………12分19.解:(I )∵{a n }为等差数列,∴()1666662a a S +==∴1622a a += 又a 1·a 6=21,∴a 1、a 6是二次方程x 2-22x +21=0的两根……3分 又公差d>0,∴a 6>a 1,∴a 1=1,a 6=21。
高等数学(下册)考试试卷(一)一、填空题(每小题3分,共计24分)1、 z =)0()(log 22>+a y x a 的定义域为D= 。
2、二重积分⎰⎰≤++1||||22)ln(y x dxdy y x 的符号为 。
3、由曲线x y ln =及直线1+=+e y x ,1=y 所围图形的面积用二重积分表示为 ,其值为 。
4、设曲线L 的参数方程表示为),()()(βαψϕ≤≤⎩⎨⎧==x t y t x 则弧长元素=ds 。
5、设曲面∑为922=+y x 介于0=z 及3=z 间的部分的外侧,则=++⎰⎰∑ds y x )122( 。
6、微分方程xyx y dx dy tan +=的通解为 。
7、方程04)4(=-y y的通解为 。
8、级数∑∞=+1)1(1n n n 的和为 。
二、选择题(每小题2分,共计16分)1、二元函数),(y x f z =在),(00y x 处可微的充分条件是( ) (A )),(y x f 在),(00y x 处连续;(B )),(y x f x ',),(y x f y '在),(00y x 的某邻域内存在;(C ) y y x f x y x f z y x ∆'-∆'-∆),(),(0000当0)()(22→∆+∆y x 时,是无穷小;(D )0)()(),(),(lim2200000=∆+∆∆'-∆'-∆→∆→∆y x yy x f x y x f z y x y x 。
2、设),()(x y xf y x yf u +=其中f 具有二阶连续导数,则2222yuy x u x ∂∂+∂∂等于( )(A )y x +; (B )x ; (C)y ; (D)0 。
3、设Ω:,0,1222≥≤++z z y x 则三重积分⎰⎰⎰Ω=zdV I 等于( )(A )4⎰⎰⎰22013cos sin ππϕϕϕθdr r d d ;(B )⎰⎰⎰2012sin ππϕϕθdr r d d ;(C )⎰⎰⎰ππϕϕϕθ2020103cos sin dr r d d ;(D )⎰⎰⎰ππϕϕϕθ2013cos sin dr r d d 。