四川省2020-2021学年高三天府名校大联考(12月诊断性考试)理科综合化学Word版
- 格式:pdf
- 大小:968.25 KB
- 文档页数:17
绝密★启用前四川省成都市第七中学2021届高三毕业班上学期第一次高考诊断性模拟检测理科综合-化学试题2020年12月15日考试时间: 150 分钟满分: 300分注意事项:1.答卷前,考生务必将自己的姓名、准考证号填写在答题卡上。
2.回答选择题时,选出每小题答案后,用铅笔把答题卡上对应题目的答案标号涂黑,如需改动,用橡皮擦干净后,再选涂其他答案标号。
回答非选择题题时,将答案写在答题卡上,写在本试卷上无效。
可能用到的相对原子质量: H-1 B- 11 C- 12 O- 16 Na- 23 S- 32 As -75第I卷(选择题共126分)一、选择题:本题共13个小题,每小题6分。
共78分,在每小题给出的四个选项中,只有一项是符合题目要求的。
7.化学与生产和生活密切相关。
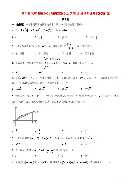
下列有关说法正确的是A.古代记载文字的器物“甲骨”与“丝帛”成分相同B.苏打可用于制作发酵粉,在医疗上也可以用作治疗胃酸过多C.酿酒过程中葡萄糖在酒化酶的作用下发生水解反应生成乙醇D.用于制作N95型口罩的“熔喷布”主要原料是聚丙烯,聚丙烯是有机高分子化合物8.NA表示阿伏加德罗常数的值,下列说法正确的是A.56gC3H6和C4H8的混合气体中含有的氢原子数为8NAB.100g质量分数17%的H2O2溶液中极性键数目为NAC.将lmol Cl2通入到水中,则N(HClO)+N(Cl)+N(ClO-)=2NNA(N表示粒子数)D.24.5L(25°C, 101 kPa条件下)15NH3含有的质子数约为11NA9.金合欢醇广泛应用于多种香型的香精中,其结构简式如图所示。
下列说法不正确的是A.金合欢醇分子的分子式为C15H26OB.1mol 金合欢醇与足量Na反应生成1molH2C.金合欢醇可发生加成反应、取代反应、氧化反应D.金合欢醇不可能有芳香族类的同分异构体10.下列有关NaClO和NaCl混合溶液的叙述正确的是A.该溶液中,Ag+、K+、NO3-、CH2OH(CHOH)4CHO 可以大量共存B.向该溶液中滴入少量FeSO4溶液,反应的离子方程式: 2Fe2++ClO--+2H+=Cl-+2Fe3++H2OC.用玻璃棒蘸取该溶液滴在pH试纸上,pH试纸变蓝但不褪色D.向该溶液中加入浓盐酸,会产生Cl211.下图是电化学膜法脱硫过程示意图,电化学膜的主要材料是碳和熔融的碳酸盐。
成实外教育集团高2021级高三联考试题(12月)理科综合(答案在最后)总分:300分时间:150分钟注意事项:1.答题前,务必将自己的姓名、考籍号填写在答题卡规定的位置上。
2.答选择题时,必须使用2B铅笔将答题卡上对应的题目的答案标号涂照,如需改动,用橡皮擦擦干净后,再选涂其他答案标号。
3.答非选择题时,必须使用0.5毫米黑色签字笔,将答案书写在答题卡规定的位置上。
4.所有题目必须在答题卡上作答,在试题卷上答题无效。
5.考试结束后,只将答题卡交回。
可能用到的相对原子质量:H-1B-11O-16Na-23P-31Cl-35.5K-39Cu-64Mn-55第Ⅰ卷(选择题,共126分)一、选择题:本题共13个小题,每小题6分,共78分。
在每小题给出的四个选项中,只有一项是符合题目要求的。
1.下列关于细胞的结构和功能的叙述正确的是()A.单细胞生物一定是原核生物B.具有细胞壁的细胞一定是植物细胞C.真核生物光合作用的场所一定是叶绿体D.核糖体的形成一定和核仁有关【答案】C【解析】【分析】植物细胞、原核细胞和真菌细胞都含有细胞壁;中心体分布在动物细胞和低等植物细胞;线粒体为生命活动提供能量,代谢旺盛的细胞含有线粒体数量较多;叶绿体只分布在绿色植物细胞中;自养型生物包括光能型自养生物和化能型自养生物。
【详解】A、单细胞生物不一定是原核生物,如草履虫、变形虫等,A错误;B、具有细胞壁的细胞不一定是植物细胞,原核细胞和真菌细胞都含有细胞壁,B错误;C、能进行光合作用的真核生物含有叶绿体,其光合作用的场所一定是叶绿体,C正确;D、没有核仁的原核细胞也能形成核糖体,因此核糖体的形成不一定和核仁有关,D错误。
故选C。
2.下列关于科学史及生物实验的叙述错说的是()A.施莱登和施旺对细胞学说进行了修正B.毕希纳将酵母细胞中引起发酵的物质称为酿酶,但是没有直接对酶进行鉴定C.预实验可以为进一步实验摸索条件,也可检验实验设计的科学性和可行性D.拜尔的实验证明胚芽鞘的弯曲生长是尖端产生的“影响”在其下部分布不均匀造成的【答案】A【解析】【分析】做预实验的目的是探索实验条件,也可以检验实验设计的科学性和可行性,因此在正式实验前先做一个预实验,可避免实验的盲目性和资源的浪费。
四川省天府名校2021届高三数学上学期12月诊断性考试试题 理第Ⅰ卷一、选择题:在每小题给出的四个选项中,只有一项是符合题目要求的. 1.已知{}220A x x x =-=,{}0,1B =,则A B ⋂=( ).A .0B .{}0C .{}0,2D .{}0,1,22.已知i 为虚数单位,复数23i z =-,则在复平面中()2i 1iz -+所对应的点在( ).A .第一象限B .第二象限C .第三象限D .第四象限3.设实数x ,y 满足不等式组2390301x y x y y -+≥⎧⎪+-≤⎨⎪≥⎩,则2x y -的最小值为( ).A .5-B .6-C .0D .24.在ABC △中,a ,b ,c 分别为角A ,B ,C 的对边,若60B =︒,1a +,b ,c 依次成递增的等差数列,当ABC △的周长为20时,其面积等于( ). A .103B .203C .303D .4035.平面区域C 是由y x =,4x =以及x 轴围成的封闭图形,图中阴影部分是由y x =和直线2x y =围成的,现向区域C 内随机投掷一点P ,则点P 落在阴影区域内的概率为( ).A .14B .13C .23D .346.已知平面向量()1,2a =,(),5b m =,当a b +和a 垂直时,()23a a b ⋅-=( ). A .22-B .22C .25-D .257.设正数a ,b 满足21a b +=,21a b+的最小值为( ). A .6B .8C .9D .10.8.函数()()1sin 2f x x x x =+∈R ,则不等式()()223 10f m f m m -++->的解集是( ).A .()(),41,-∞-⋃+∞B .()(),14,-∞-⋃+∞C .()4,1-D .()1,4-9.上世纪50年代小学冬天普遍采用三足铸铁火炉,炉子上是铁皮卷成的烟囱,拐弯处的烟囱叫拐脖,如图1所示.其中一部分是底面半径为1的铁皮圆柱筒被一个与底面成45°的平面截成,截成的最短和最长母线长分别为1AB =,3CD =,如图2所示,现沿AB 将其展开,放置坐标系中,则展开图上缘对应的解析式为( ).图1图2A .)212π02πy x xx =-≤≤B .()224102πππy x x =-++≤≤ C .()()22ππ102πy x x =--++≤≤D .()2cos 02πy x x =-≤≤10.设F 为双曲线()2222:10,0x y C a b a b-=>>的右焦点,过点F 且垂直于x 轴的直线交双曲线的两条渐近线于A ,B 两点(A ,B 分别在一、四象限),和双曲线在第一象限的交点为E ,若3BE EA =,则双曲线C 的离心率为( ). A .33B 3C .3D .411.已知()()()()22sin π104401log 1x x f x x x x x x -≤<⎧⎪=-≤<⎨⎪-≥⎩,若()()h x f x a =-有5个零点,则这五个零点之和的取值范围是( ). A .()0,2B .()0,1C .()1,2D .()1,2-12.直四棱柱1111ABCD A B C D -中,底面四边形ABCD 为菱形,14AA =,2AB =,2π3ABC ∠=,E 为BC 中点,过E 且和平面1BDD 垂直的平面为平面α,1//CC 平面α,则直线1C E 和平面α所成角的正弦值为( ).A .5717B .5734C .1717D .1734第Ⅱ卷本卷包括必考题和选考题两部分.第13~21题为必考题,每个试题考生都必须作答.第22~23题为选考题,考生根据要求作答. 二、填空题:13.某圆锥的轴截面是斜边长为20的等腰直角三角形,则该圆锥的表面积等于______. 14.定义在R 上的偶函数()f x ,满足()()30f x f x --=,且()12f =,则()()20212020f f +=______.15.直线l 的倾斜角为锐角,且和圆22:1O x y +=及圆()22:49A x y +-=均相切,则直线l 的斜率等于______.16.已知F 为抛物线()220y px p =>的焦点,弦AB 经过F ,且3OA OB ⋅=-,O 为坐标原点,当AB 的倾斜角等于60°时,tan AOB ∠=______.三、解答题:解答应写出文字说明、证明过程或演算步骤. 17.数列{}n a 满足11a =,()132n n a a n *+=+∈N .(1)求证:数列{}1n a +为等比数列,并求数列{}n a 的通项公式;(2)设{}n a 的前n 项之和为n S ,()()211n n b S n n =+++,求数列{}n b 的前n 项之和n T . 18.在三棱锥P ABC -中,5PA PB PC ===,6AB =,32BC AC ==.(1)求证:平面PAB ⊥平面ABC ;(2)若点M 满足2PM MB =,求二面角M AC B --的余弦值.19.某班主任对本班40名同学每天参加课外活动的时间(分钟)进行了详细统计,并绘制成频率分布直方图,如图所示:(1)求实数a 的值以及参加课外活动时间在[)10,20中的人数;(2)从每天参加活动不少于40分钟的人中任选3人,用X 表示参加课外活动不少于50分钟的人数,求X 的分布列和数学期望.20.已知椭圆()2222:10x y C a b a b+=>>的离心率为32,F 为右焦点,C 上一点P 满足PF 垂直于x 轴,12PF =. (1)求椭圆C 的方程;(2)斜率为2的直线l 交椭圆C 于A ,B 两点,O 为坐标原点,求AOB △面积的最大值. 21.已知函数()()26ln f x ax ax x a =+-∈R . (1)讨论函数()f x 的单调性;(2)若()0f x >恒成立,求实数a 的最小正整数值.3ln 0.405,ln 20.6932⎛⎫≈≈ ⎪⎝⎭22.选修4-4:坐标系与参数方程.在平面直角坐标系xOy 中,圆C 的方程为()2211x y -+=,直线l 经过点31,2P ⎛⎫-⎪⎝⎭,且倾斜角为π3,以坐标原点O 为极点,x 轴的非负半轴为极轴建立极坐标系. (1)写出圆C 的极坐标方程和直线l 的参数方程; (2)设直线l 交圆C 于A ,B 两点,求AB . 23.选修4-5:不等式选讲 已知()212f x x x =-++. (1)解不等式()3f x ≤;(2)设函数()f x 的最小值为m ,()23g x x m x =--+,若存在实数x ,使不等式()21g x a >-成立,求实数a 的取值范围.参考答案1.B【解析】依题意知,{}0,2A =,因此{}0A B ⋂=.故选B . 2.C 【解析】()()()()()()2i 23i 18i 1i 46i 2i 318i 1i 1i 1i 1i 1i --------===++++-19i 879i 222--==-- 根据复数的几何意义,它在复平面中所对应的点为79,22⎛⎫-- ⎪⎝⎭,在第三象限.故选C . 3.B【解析】由2x x y =-,得1122y x z =-,作一簇斜率为12的直线, 根据z 的几何意义知,2x y -在点()0,3C 处取得最小值6-.故选B .4.A【解析】由60B =︒,得222b ac ac =+-,而由1a +,b ,c 依次成递增的等差数列,得21b a c =++, 因为20a c b ++=,所以7b =,将它代入到222b ac ac =+-中并配方得,()2349a c ac +-=;再将13a c +=代入可得40ac =, 因此1sin 1032S ac B ==.故选A . 5.A【解析】区域C 的面积3322402216d 40333S x x x ===⨯-=⎰, 而由直角三角形的面积等于4可知,阴影面积为164433-=,因此点P 落在阴影区域内的概率为4161334÷=.故选A . 6.D【解析】当a b +和a 垂直时,有1140m ++=成立,解得15m =-, 此时根据平面向量的坐标运算得()15,5b =-,()2347,11a b -=-, 所以()()()231,247,11472225a a b ⋅-=⋅-=-=.故选D . 7.C【解析】依题意21a b +=,因此()21212224159b a a b a b a b a b ⎛⎫+=++=+++≥+= ⎪⎝⎭ 当且仅当13a b ==时等号成立.故选C . 8.A【解析】()11cos 02f x x '=+>,所以()f x 在R 上为一个增函数, 由()() 0f x f x +-=知函数()f x 为一个奇函数,所以()()223 10f m f m m -++->等价于()()21 32f m m f m +->-, 所以2132m m m +->-,解得1m >或4m <-.故选A . 9.D【解析】(),M x y 是图象上任意一点对应烟囱上的点M ,0M 是底面圆周上一点,0MM 是母线,设底面圆心为O ,0AOM θ∠=,则01x AM θθ==⋅=, 设00M E OA ⊥于0E ,平面00M E M 交CB 于E , 易得00MM EE =,作0BQ EE ⊥于Q ,则00001111cos 2cos y MM EE EQ QE QB E A x θ===+=+=+=+-=-. 故选D .10.A【解析】设(),0F c ,依题意,,bc A c a ⎛⎫ ⎪⎝⎭,,bc B c a ⎛⎫- ⎪⎝⎭, 由于E 是直线x c =和双曲线的交点,因此可以求出2,b E c a ⎛⎫⎪⎝⎭,故20,b bc BE a ⎛⎫+= ⎪⎝⎭,20,bc b EA a ⎛⎫-= ⎪⎝⎭,由于3BE EA =,因此可以得到223b ac bc b a a+-=⨯, 化简得2c b =,即224c b =,再结合222b c a =-,得2243c a =,于是离心率23e =.故选A .11.C【解析】作出函数() y f x =的图象,则()h x 的零点相当于直线y a =与函数() y f x =的交点的橫坐标,欲使()h x 有五个零点,则10a -<<, 设此五个零点依次为1x ,2x ,3x ,4x ,5x ,由sin πy x =和244y x x =-的对称性可知121x x +=-,341x x +=,而512x <<,因此这五个零点之和取值范围是()1,2.故选C . 12.D【解析】分别取AB ,11A B ,11B C 的中点F ,M ,N ,又E 为BC 的中点,所以1// //FM EN CC ,所以E ,F ,M ,N 四点共面. 由四边形ABCD 为菱形知,BD AC ⊥,再根据三角形的中位线定理知//EF AC ,所以BD EF ⊥, 又1EF DD ⊥,1BD DD D ⋂=,故EF ⊥平面1BDD . 又因为EF ⊂平面EFMN ,所以平面EFMN ⊥平面1BDD . 由1//CC EN 及线面平行的判定定理知,1//CC 平面EFMN , 所以平面EFMN 即为平面α, 由11//A C MN ,设1111AC B D O ⋂=,则1C 到平面EFMN 的距离等于O 到平面EFMN 的距离, 而O 到平面EFMN 的距离等于线段OT 的长度, 由于四边形ABCD 为边长等于2的菱形,2π3ABC ∠=, 因此ABD △为正三角形,故111142OT B D ==; 也即点1C 到平面EFMN 的距离等于12,而2211417C E =+=因此直线1C E 和平面α所成角的正弦值为117217=.故选D .13.()10021π+【解析】依题意,圆锥的底面半径等于10,高等于10,母线长为102, 于是其侧面积等于1002π,底面积为100π, 因此圆锥的表面积为()10021π+.14.2【解析】依题意,()() f x f x =-,()() 3f x f x =-, 因此函数()f x 的周期为3,所以()()202121f f ==,()()2020 11f f ==, 因此()()202120202f f +=. 15.3【解析】如图所示,设直线l 和圆O 切于N 点,和圆A 切于M 点,作OP AM ⊥于P 点,依题意,圆O 和圆A 外切,在直角三角形OAP 中,由于2PA =,4AO =, 因此π6AOP ∠=,从而OP 的斜率等于πtan 33= 而由OP 和MN 平行知,直线l 316.839-【解析】设()11,A x y ,()22,B x y , 此时AB的直线方程为2p y x ⎫=-⎪⎭,即2p x =+,将它代入到抛物线方程22y px =中,得220y p --=, 则212y y p =-,()221212244y y p x x p ==, 由3OA OB ⋅=-,得2334p -=-,解得2p =, 此时AB的直线方程为)1y x =-,抛物线方程为24y x =. 不妨设点A在第一象限,因此可以解得(3,A,1,33B ⎛-⎝⎭.∴tan 3AOF ∠=,tan BOF ∠=, ∴()tan tan AOB AOF BOF ∠=∠+∠==. 17.【解析】解:(1)因为()132n n a a n *+=+∈N,所以两边同时加上1可得,()()1131n n a a n +*+=+∈N,因为112a +=,所以数列{}1n a +是以2为首项,3为公比的等比数列,因此1123n n a -+=⨯,故1231n n a -=⨯-.(2)依题意,()11213233113n ni n n i S n n n -=⨯-=⨯-=-=---∑,因此()()()()2311113nnn b n n n n =--+++=+⨯,故()12323334313n n T n =⨯+⨯+⨯+++⨯,两边同时乘以3得:()2341323334313n n T n +=⨯+⨯+⨯+++⨯,两式相减得:()2312633313n n n T n +-=++++-+⨯,()23123333313n n n T n +-=+++++-+⨯,()()1313231313n n n T n +--=+-+⨯-,12132322n n n T ++-=-⨯+, 因此,1213344n n n T ++=⨯-.18.【解析】(1)取AB 的中点O ,连接OP 和OC , 由于 PA PB =,因此PO AB ⊥, 而由5PA PB ==,6AB =,得4PO =,又因为6AB =,32AC BC ==,O 为AB 的中点,因此3CO =, 在POC △中,由于222CO PO PC +=, 故根据勾股定理的逆定理知PO OC ⊥,由于直线PO 和平面ABC 内的两条相交直线AB ,OC 都垂直, 因此根据直线和平面垂直的判定定理知,直线PO ⊥平面ABC , 又因为PO ⊂平面PAB ,因此平面PAB ⊥平面ABC . (2)由(1)知OP 、OC 、OB 两两垂直,以O 为原点,OC 、OB 、OP 分别为x 轴,y 轴,z 轴建立空间直角坐标系O xyz -,则()3,0,0C ,()0,3,0B ,()0,3,0A -,()0,0,4P ,设()000,,M x y z ,由于()000,,4PM x y z =-,()000,3,MB x y z =---, 而2PM MB =,因此,00x =,02y =,043z =, 因此40,2,3M ⎛⎫ ⎪⎝⎭,设平面MAC 的一个法向量为()1,,n x y z =,由于40,5,3AM ⎛⎫= ⎪⎝⎭,()3,3,0AC =,故可得方程组4503330y z x y ⎧+=⎪⎨⎪+=⎩, 因此可得其中一个法向量为()14,4,15n =--, 而平面ABC 的一个法向量为()20,0,1n =,则121212cos ,257n n n n n n ⋅===⋅ 因为二面角M AC B --为锐角, 所以二面角M AC B --. 19.【解析】解:(1)因为所有小矩形面积之和等于1,所以可得方程100.02100.0375100.017510101a a +⨯+⨯+⨯+=, 解得0.0125a =,由于参加课外活动时间在[)10,20内的频率等于0.0125100.125⨯=, 因此参加课外活动时间在[)10,20中的人数为400.1255⨯=.(2)依题意,参加课外活动时间在[)40,50,[)50,60的人数分别为7人和5人, 随机变量X 的取值可能为0,1,2,3.因为()373127044C P X C ===,()217531221144C C P X C ===, ()12753127222C C P X C ===,()353121322C P X C ===, 所以X 的分布列为:()0123444422224E X =⨯+⨯+⨯+⨯=.20.【解析】设椭圆的焦距为2c ,依题意得2c a =, 由12PF =,知P 点坐标为1,2P c ⎛⎫± ⎪⎝⎭,代入到椭圆方程中得2221114c a b+⨯=,结合222a b c =+,可以解得24a =,21b =,故椭圆C 的方程为2214x y +=. (2)设直线AB 的方程为2y x m =+,()11,A x y ,()2,2B x y ,则根据弦长公式得12AB x =-=.将2y x m =+代入到椭圆方程中得221716440x mx m ++-=,由0∆>得m <<且121617mx x +=-,2124417m x x -=,故AB == 设O 到直线AB 的距离为d ,则根据点到直线的距离公式得d =因此,AOB △的面积为112217AB d ⨯⨯=⨯217=2217117172=≤⨯=,当且仅当m =时等号成立.因此,当m =时,AOB △面积的最大值为1. 21.【解析】函数()f x 的导函数为()()262620ax ax f x ax a x x x+-'=+-=>,当0a ≤时,()f x '在()0,+∞上恒为负数,()f x 在()0,+∞上单调递减;当0a >时,令()0f x '>得x >令()0f x '<得0x <<.此时,()f x在⎛ ⎝⎭上单调递减,在⎫+∞⎪⎪⎝⎭上单调递增. (2)法一:依题意,()0f x >在()0,+∞上恒成立,即26ln xa x x>+在()0,+∞上恒成立, 令()()26ln 0xg x x x x=>+,只需()max a g x >,则()()()()2226621ln x x x x x g x x x +-+'=+ ()()()22612ln ln 0x x x x x xx =+-->+,令()()12ln ln 0h x x x x x x =+-->,则()112ln h x x x'=---, 令()112ln x x x ϕ=---,由于()221212x x x x x ϕ-'=-=, 因此()x ϕ在10,2⎛⎫ ⎪⎝⎭上单调递增,在1,2⎛⎫+∞ ⎪⎝⎭上单调递减, 所以当12x =时,()x ϕ取得最大值()max 2ln 230x ϕ=-<. 于是根据()x ϕ恒为负数知,()0h x '<恒成立, 因此()h x 在()0,+∞上单调递减. 而3534ln 0222h ⎛⎫=->⎪⎝⎭,()235ln 20h =-<知, 在区间3,22⎛⎫ ⎪⎝⎭上必存在0x x =,使得函数()h x 满足()00h x =,因为()2260xx >+,所以()00,x x ∈时,()0g x '>,()g x 单调递增; 在()0x x ∈+∞时,()0g x '<,()g x 单调递减. 故()()002max 006ln x g x g x x x ==+. 由()00h x =得0001ln 21x x x +=+,故()000262g x x x =+, 由于03,22x ⎛⎫∈⎪⎝⎭,因此()()02026,10x x +∈,()03,15g x ⎛⎫∈ ⎪⎝⎭, 因此实数a 的最小正整数值为1. 法二:若()0f x >,则()min 0f x >.当0a ≤时,由第(1)问可知,()f x 在()0,+∞单调递减, 当1x >时,即26ln 0ax ax x +-<与要求矛盾,不合题意,舍去.当0a >时,由(1)可知,()f x在0,4a a ⎛-+ ⎪⎝⎭上单调递减,在4a a ⎛⎫-+∞⎪ ⎪⎝⎭上单调递增, 所以()f x在4a x a-+=处取得极小值,不妨记为0x ,则有()00f x '=,()()0min f x f x =, 所以代入()()20000min 6ln f x f x ax ax x ==+-,又因为200260ax ax +-=,即20062a x x =+, 代入可得()()()()000000006121ln 616ln 02121x x x x f x x x x +-++=-=>++, 构造函数()()121ln h x x x x =+-+,()112ln h x x x '=---,令()112ln x x x ϕ=---,()221212xx x x xϕ-'=-=, 因此()x ϕ在10,2⎛⎫ ⎪⎝⎭上单调递增,在1,2⎛⎫+∞ ⎪⎝⎭上单调递减; 所以当12x =时,()x ϕ取得最大值()max 2ln 230x ϕ=-<. 于是根据()x ϕ恒为负数知,()0h x '<恒成立, 所以()h x 在()0,+∞上单调递减. 而3534ln 0222h ⎛⎫=->⎪⎝⎭,()235ln 20h =-<知, 在区间3,22⎛⎫ ⎪⎝⎭上必存在1x ,使得()10h x =, 从而当()00f x >等价于()00h x >,即010x x <<,而220011022x x x x <+<+,所以2200116622a x x x x =>++, 又13,22x ⎛⎫∈⎪⎝⎭,所以21163,125x x ⎛⎫∈ ⎪+⎝⎭, 所以a 的最小正整数值为1.22.【解析】(1)将cos x ρθ=,sin y ρθ=,代入到圆C 的方程中, 得圆C 的极坐标方程为2cos ρθ=,而直线l的参数方程为11232x t y ⎧=+⎪⎪⎨⎪=-+⎪⎩(t 为参数).(参数方程不唯一) (2)将直线l 的参数方程代入到圆的直角坐标方程中得2213111222t ⎛⎫⎛⎫+-+-+= ⎪ ⎪ ⎪⎝⎭⎝⎭,化简得2450t -+=.280∆=>,所以方程有两个根,分别记为1t ,2t ,12t t +=,1254t t =, 则12AB t t t =-=所以2AB ==. 23.【解析】()31213221312x x x x x x ⎧⎪--≤-⎪⎪⎛⎫-+-<<⎨ ⎪⎝⎭⎪⎪⎛⎫+≥⎪ ⎪⎝⎭⎩,(1)当2x ≤-时,所解不等式可化为313x --≤,解得43x ≥-, 再结合条件知,此时不等式无解; 当122x -<<时,所解不等式可化为33x -≤,解得0x ≥, 再结合条件知,此时不等式的解集为102x x ⎧⎫≤<⎨⎬⎩⎭; 当12x ≥时,所解不等式可化为313x +≤,解得23x ≤, 再结合条件知,此时不等式的解集为1223xx ⎧⎫≤≤⎨⎬⎩⎭.综上所述,原不等式的解集为23x x ⎧⎫≤≤⎨⎬⎩⎭. (2)因为2x ≤-时,()31f x x =--,单调递减;122x -<<时,()3f x x =-+,单调递减; 12x ≥时,()31f x x =+,单调递增,且()f x 是一条连续不间断的曲线. 因此函数()f x 的最小值为1522f ⎛⎫=⎪⎝⎭.于是实数52m =,从而()53g x x x =--+, 因为存在实数x ,使不等式()21g x a >-成立, 所以()max 21g x a >-,由于()()53538x x x x --+≤--+=, 当且仅当3x ≤-时等号成立, 由821a >-,得92a <. 于是实数a 的取值范围是9,2⎛⎫-∞ ⎪⎝⎭.。
成都高2024届一诊(热身)理综考试题(答案在最后)H-1、C-12、O-16、N-14、P-31、Cl-35.5、Na-23、Sn-119、Cu-64第I卷(选择题共126分)一、选择题:共13个小题,每小题6分,共78分,在每小题给出的四个选项中,只有一项是符合题目要求的。
1.某些蛋白质在蛋白激酶和蛋白磷酸酶的作用下,可在特定氨基酸位点发生磷酸化和去磷酸化,参与细胞信号传递,如图所示。
下列叙述错误的是()A.这些蛋白质磷酸化和去磷酸化过程体现了蛋白质结构与功能相适应的观点B.这些蛋白质特定磷酸化位点的氨基酸缺失,不影响细胞信号传递C.作为能量“通货”的ATP能参与细胞信号传递D.蛋白质磷酸化和去磷酸化反应受温度的影响【答案】B【解析】【分析】分析图形,在信号的刺激下,蛋白激酶催化ATP将蛋白质磷酸化,形成ADP和磷酸化的蛋白质,使蛋白质的空间结构发生改变;而蛋白磷酸酶又能催化磷酸化的蛋白质上的磷酸基团脱落,形成去磷酸化的蛋白质,从而使蛋白质空间结构的恢复。
【详解】A、通过蛋白质磷酸化和去磷酸化改变蛋白质的空间结构,进而来实现细胞信号的传递,体现出蛋白质结构与功能相适应的观点,A正确;B、如果这些蛋白质特定磷酸化位点的氨基酸缺失,将会使该位点无法磷酸化,进而影响细胞信号的传递,B错误;C、根据题干信息:进行细胞信息传递的蛋白质需要磷酸化才能起作用,而ATP为其提供了磷酸基团和能量,从而参与细胞信号传递,C正确;D、温度会影响蛋白激酶和蛋白磷酸酶的活性,进而影响蛋白质磷酸化和去磷酸化反应,D正确。
故选B。
2.液泡是植物细胞中储存Ca2+的主要细胞器,液泡膜上的H+焦磷酸酶可利用水解无机焦磷酸释放的能量跨膜运输H+,建立液泡膜两侧的H+浓度梯度。
该浓度梯度驱动H+通过液泡膜上的载体蛋白CAX完成跨膜运输,从而使Ca2+以与H+相反的方向同时通过CAX进行进入液泡并储存。
下列说法错误的是()A.Ca2+通过CAX的跨膜运输方式属于协助扩散B.Ca2+通过CAX的运输有利于植物细胞保持坚挺C.加入H+焦磷酸酶抑制剂,Ca2+通过CAX的运输速率变慢D.H+从细胞质基质转运到液泡的跨膜运输方式属于主动运输【答案】A【解析】【分析】由题干信息可知,H+通过液泡膜上的载体蛋白CAX完成跨膜运输,且该过程需要借助无机焦磷酸释放的能量,故H+跨膜运输的方式为主动运输;Ca2+通过CAX进行进入液泡并储存的方式为主动运输(反向协调运输)。
2020届四川省天府教育大联考高三模拟训练(一)理综物理试题题号一二三四五总分得分注意事项:1.答题前填写好自己的姓名、班级、考号等信息;2.请将答案正确填写在答题卡上。
第I卷(选择题)评卷人得分一、单选题1.在物理学发展过程中做出了重要贡献。
下列表述正确的是()A.开普勒测出了万有引力常数B.爱因斯坦发现了天然放射现象C.安培提出了磁场对运动电荷的作用力公式D.卢瑟福提出了原子的核式结构模型2.一端装有定滑轮的粗糙斜面体放在地面上,A、B两物体通过细绳连接,并处于静止状态,不计绳的质量和绳与滑轮间的摩擦,如图所示.现用水平力F作用于物体B上,缓慢拉开一小角度,此过程中斜面体与物体A仍然静止。
则下列说法正确的是()A.在缓慢拉开B的过程中,水平力F不变B.物体A所受细绳的拉力一定变大C.物体A所受斜面体的摩擦力一定变大D.物体A所受斜面体的作用力的合力一定变大3.“月亮正加速远离地球!后代没月亮看了。
”一项新的研究表明,月球的引力在地球上产生了周期性的潮汐现象,潮汐力耗散地球的自转能量,降低地球的旋转速度,同时也导致月球正在以每年38cm的速度远离地球。
不考虑其他变化,则很多年后与现在相比,下列说法正确的是()A.月球绕地球做圆周运动的周期将减小B.月球绕地球做圆周运动的线速度增大C.地球同步定点卫星的高度增大D.地球同步定点卫星的角速度增大4.如图所示,理想变压器原、副线圈匝数比为2:3,两端共接有六只相同的小灯泡L1、L 2、 L 3、L 4、L 5和L 6(电阻恒定不变),变压器的原线圈接有输出电压U 恒定的交流电源,六只小灯泡均发光.下列说法正确的是( )A .L 1、L 2、 L 3三只灯泡亮度一定相同B .小灯泡L 2一定比L 4亮C .交流电源输出电压U 是小灯泡L 4两端电压的4.5倍D .L 1消耗的功率是L 2消耗灯泡的2.25倍5.如图所示,空间有一正三棱锥P -ABC ,D 点是BC 边上的中点,O 点是底面ABC 的中心,现在顶点P 点固定一正的点电荷,则下列说法正确的是( )A .ABC 三点的电场强度相同B .底面ABC 为等势面C .将一正的试探电荷从B 点沿直线BC 经过D 点移到C 点,静电力对该试探电荷先做负功后做正功D .若B 、C 、D 三点的电势为B C D ϕϕϕ、、,则有B D D C =ϕϕϕϕ-- 评卷人 得分 二、多选题6.有一种调压变压器的构造如图所示。
四川省高中2021届毕业班高考热身卷(三)理科综合·化学部份考试范围:化学高考内容考试时刻:50分钟命题人:四川省高中优秀教师团队时刻共150分钟。
化学试卷分为第I卷(选择题)和第II卷两部份,共4页,总分值100分。
注意事项:1. 答题前,考生务必将自己的姓名、班级、考号用0.5毫米的黑色墨水笔填写在答题卡上。
并检查条形码粘贴是不是正确。
2. 选择题利用2B铅笔填涂在答题卡对应题目标号的位置上;非选择题用0.5毫米黑色墨水签字笔书写在答题卡的对应框内,超出答题区域书写的答案无效;在草稿纸、试题卷上答题无效。
考试终止后,将答题卡收回。
第I卷(选择题共42分)选择题(共7小题,每题6分。
在每题给出的四个选项中,只有一项为哪一项符合题目要求的)1.以下说法正确的选项是A. 酸性高锰酸钾溶液与草酸溶液的反映速度是先慢后快再变慢B. 碳酸钠是发酵粉的要紧成份,而碳酸氢钠是医治胃穿孔的一种药剂C. 一样用稀的(NH4)2SO4溶液分离提纯鸡蛋清溶液D. 工业上为了加速分离胶体中的电解质杂质,常在渗析袋外施加电场,使电解质离子透过半透明向两级移动,该操作是应用胶体的电泳原理2.以下离子方程式或化学方程式正确的选项是A. 电解氯化铁溶液:2Cl-+2H2O电解 Cl2↑+H2↑+2OH-B. 碳酸氢钠在重水中发生的电离进程有::HCO3-+D2O=CO32-+D3O+C. 用酸性重铬酸钾检查酒驾,其原理为:D. 0.2mol/LNH4Al(SO4)2与0.1mol/LBa(OH)2溶液等体积混合:2Al3++3SO42-+3Ba2++6OH-=2Al(OH)3↓+3BaSO4↓3. 以下分类正确的选项是4. 短周期元素W、X、Y、Z原子序数依次增大,ArrayW、X原子最外层电子数之比为4:3,Z原子比X原子的核外电子数多 4.以下说法正确的选项是A. W、Y、Z的电负性大小顺序必然是Z>Y>WB. X、Y、Z的原子半径大小顺序是X>Y>ZC. Y、Z形成的分子中原子均知足8电子稳固结构D. WY2分子中的 键与π键的数量之比是2:15. 三个密闭容器中进行一样的可逆反映:aX(g)+Y(g)=2Z(g);△H<0,均维持T℃和容器体积不变,2min时,甲容器达到平稳。
四川省高中2021届毕业班高考应试能力测试(二) 理科综合 化学部份 2021.4考试范围:化学高考内容 考试时刻:50分钟 命题人:四川省高中优秀教师团队注意事项:1.本试卷分第Ⅰ卷(选择题)和第Ⅱ卷(非选择题)两部份。
总分值100分,考试时刻50分钟。
2.超出答题区域书写的答案无效,在试题卷、草稿纸上作答无效。
时刻宝贵,请考生合理安排! 相对原子质量:H-1 O-16 C-12 N-14 第I 卷(选择题,共42分)本卷共7小题,每题6分。
在每题给出的四个选项中,只有一项为哪一项符合题目要求的。
化学与生活紧密相关,以下说法正确的选项是 A.将()424SO NH 、4CuSO 溶液别离加入蛋白质溶液,都显现沉淀可知二者都可令人中毒B.塑料的老化是由于与空气中的氧气发生了加成反映C.粮食酿酒的进程:乙醇葡萄糖淀粉酒曲酶稀硫酸水解→→D.能够用足量氢氧化钠溶液加热的方式去吧地沟油(分离过的餐饮废弃油)与矿物油(汽油、煤油、柴油等) 常温下,以下各组离子在指定溶液中必然能大量共存的是mol ·L-14CuSO 溶液:--++322,,,NO S Mg Na ·L-12NaAlO 溶液:--+-24,,,SO Cl Na OHC.利用甲基橙变红色的溶液:---+2423234,,,SO O S NO NH D.均为0.1mol ·L-1以下四种离子的溶液:--++3244,,,NO SO NH Na对反映:O H CuSO O SO H S Cu 24242224522+=++,以下判定不正确的选项是 A.该反映的还原剂是S Cu 2B.当1mol 2O 发生反映时,还原剂所失去电子的物质的量为4molC.2O 发生了氧化反映D.4CuSO 即是氧化产物,又是还原产物4. 25℃时,用浓度为0.100mol/L 的氢氧化钠溶液别离滴定20.00mL 浓度均为0.100mol/L 的二种酸HX 、HY (忽略体积转变),实验数据如下表,以下判定正确的选项是 A.在相同温度下,同浓度的两种酸溶液的导电能力顺序HY HX <B.由表中数据可估算出()510-≈HY K aC.HY 和HX 混合,达到平稳时知足质子守恒D.上述②反映后的HY 溶液中:()()()()+--+H c OH c Y c Na c >>>以下表达正确的选项是 A.高温下用焦炭还原2SiO 生产硅和一氧化碳属于置换反映B.4BaSO 的水溶液不导电,故4BaSO 是弱电解质C.元素的第一电离能越小,其金属性必然越强D.化合物可分为醇类、芳香烃类和羧酸类6. 按以下实验方案可从海洋动物柄海鞘中提取具有机抗肿瘤的天然产物 以下各步实验操作原理与方式错误的选项是7. S H 2受热分解的反映为:()()()g S g H g S H 22222+→←。
2021届天府名校12月高三诊断性考试理综本试卷共16页,38题(含选考题)。
全卷满分300分。
考试用时150 分钟。
注意事项:1.答题前,先将自己的姓名、考号等填写在试题卷和答题卡.上,并将准考证号条形码粘贴在答题卡上的指定位置。
2.选择题的作答:选出每小题答案后,用2B铅笔把答题卡,上对应题目的答案标号涂黑。
写在试题卷、草稿纸和答题卡上的非答题区域均无效。
3.填空题和解答题的作答:用签字笔直接写在答题卡上对应的答题区域内。
写在试题卷、草稿纸和答题卡上的非答题区域均无效。
4.选考题的作答:先把所选题目的题号在答题卡,上指定的位置用2B铅笔涂黑。
答案写在答题卡上对应的答题区域内,写在试题卷、草稿纸和答题卡上的非答题区域均无效。
5.考试结束后,请将本试题卷和答题卡- -并上交。
可能用到的相对原子质量:H-1 He-4 C-12 N-14 O-16 Ti-48 Cu-64Y-89 Ba-137第I卷一、选择题:本题共13小题,每小题6分。
在每小题给出的四个选项中,只有一项符合题目要求。
1.粗粮蔬菜、水果等食物中含有的纤维素又叫膳食纤维,对人体健康具有重要作用,因此又被一些科学家称为“第七类营养素”。
下列有关纤维素的叙述.错误的是.A.纤维素的单体是葡萄糖,其组成元素是C、H、OB.膳食纤维能为人和腐生细菌的生长提供能量C.膳食纤维可促进胃肠蠕动,有利于肠道中有害物质排出D.所有植物细胞壁都含纤维素,纤维素不溶于水2.人的神经细胞和口腔上皮细胞的基本结构相同,但是在形态和功能上具有显著差异。
下列有关分析错误的是A.细胞骨架对维持两种细胞的不同形态具有重要作用B.两种细胞膜上蛋白质的种类和数量存在差异C.两种细胞生命活动所需能量都来自线粒体.D.两种细胞属于高度分化的细胞,一般不会再进行分裂3.下列有关摩尔根果蝇杂交实验的叙述,错误的是A.该杂交实验的实验结果可证明基因分离定律的正确性B.该杂交实验表明了白眼为隐性,且与性别相关联C.该杂交实验可证明基因在染色体上呈线性排列D.摩尔根等通过测交等方法验证了白眼基因位于X染色体上4.果蝇的棒眼是由染色体中增加某一片段而引起的变异,皱粒豌豆是由于染色体DNA中插入一段外来DNA序列而引起的变异。
2020-2021学年度2021届12月月考理科综合能力测试(化学部分)本试卷分选择题和非选择题两部分,共40题,满分300分,考试时间150分钟。
可能用到的相对原子质量:H 1 C 12 O 16 Na 23 Cl 35.5第Ⅰ卷(选择题共126分)一、选择题(每小题6分,本大题共13小题。
每小题给出的四个选项中,只有一项是符合题目要求的。
)7.化学与人类生产、生活密切相关,下列有关说法不正确的是A.“海水淡化”可以解决“淡水供应危机”,向海水中加入净水剂明矾可以使海水淡化B. 将“地沟油”变废为宝,可制成生物柴油和肥皂C. 水泥冶金厂常用高压电除去工厂烟尘,利用了胶体的性质D. 用活性炭为糖浆脱色和用SO2漂白纸浆的原理不同【答案】 A【解析】A.向海水中加入净水剂明矾只能除去悬浮物杂质,可溶性离子不能除去,不能使海水淡化,故A错误;B.“地沟油”中主要含有油脂,油脂碱性条件下水解成为皂化反应,可以生产肥皂;油脂燃烧值较高,可做生物柴油,故B正确;C.烟尘是胶体,在电场中发生电泳,用高压电除去工厂烟尘,利用了胶体的性质,故C正确; D.活性炭有吸附作用而能漂白,二氧化硫与有色物质反应生成无色物质,发生化学反应导致有漂白作用,原理不同,故D正确。
故选A。
8.下列说法错误的是 ( )A.《己亥杂诗》中“落红不是无情物,化作春泥更护花”蕴藏着自然界碳、氮的循环B.《周礼》中“煤饼烧蛎房成灰”(蛎房即牡蛎壳),“灰”的主要成分为CaCO3C.《本草纲目》中“用浓酒和糟入甑,蒸令气上,用器承滴露……”。
这种方法是蒸馏D.《天工开物》中“凡研硝(KNO3)不以铁碾入石臼,相激火生”,相激火生是指爆炸【答案】 B【解析】自然界中的动植物遗体之所以没有堆积如山,是因为细菌使动植物遗体不断地腐烂、分解,转化成二氧化碳、水和无机盐,这些物质又是植物制造有机物原料的缘故。
“落红不是无情物,化作春泥更护花”蕴含了生态系统中的物质循环,故A正确;“煤饼烧蛎房成灰”是煤燃烧产生高温使碳酸钙分解生成二氧化碳和氧化钙,留下生石灰(CaO),所以灰的主要成分为氧化钙,故B错误;蒸令气上,利用互溶混合物的沸点差异分离,则该法为蒸馏,故C正确;KNO3研碎易发生爆炸,则“相激火生”是指爆炸,故D正确。
12021届天府名校12月高三诊断性考试
理综化学部分
可能用到的相对原子质量:H-1He-4C-12N-14O-16Ti-48Cu-64Y -89Ba-137
7.《本草纲目》对民间的酿酒工艺载有:“凡酸坏之酒,皆可蒸烧”,“以烧酒复烧二次……价值数倍也”。
下列说法错误的是
A.粮食酿酒过程中涉及氧化还原反应
B.可用NaOH 检验乙酸中含有的酒精
C..上述文中描述的内容涉及蒸馏操作
D.75%的酒精可用于灭活新型冠状病毒
8.化合物
M()有抗菌作用,下列关于M 的说法正确的是
A.分子式为C 18H 12O 4能发生水解反应
B.与草酸互为同系物.
C.苯环上的一氯代物有2种(不考虑立体异构)
D.1molM 最多能与8molH 2发生加成反应
9.设N A 为阿伏加德罗常数的值,下列说法正确的是.
A.22.4L(标准状况)SO 3中含有的分子数目为N A
B.8g 氦气中含有的共用电子对数目为N A
C.0.1mol●L -1KOH 溶液中含有的OH -数目为0.1N A
D.44g N 2O 与CO 2的混合气体中含有的原子数目为3N A
10.用如图所示装置进行实验,能达到相应实验目的的是(尾气处理装置略
)
11.研究表明,钌(Ru)的一种化合物可催化CO 2与H 2合成甲酸,反应过程如图所示。
下列说.
法错误的是。