最新长沙理工大学电磁场(冯慈璋版)作业答案资料
- 格式:docx
- 大小:2.36 MB
- 文档页数:15
第1~2章矢量分析宏观电磁现象的基本规律1. 设:直角坐标系中,标量场zx yz xy u ++=的梯度为A ρ,则M (1,1,1)处 A ρ=,=⨯∇A ρ0 。
2. 已知矢量场xz e xy e z y e A z y x ˆ4ˆ)(ˆ2+++=ρ,则在M (1,1,1)处=⋅∇A ρ 9。
3. 亥姆霍兹定理指出,若唯一地确定一个矢量场(场量为A ρ),则必须同时给定该场矢量的旋度及散度。
4. 任一矢量场在无限大空间不可能既是 无源场 又是 无旋场 ,但在局部空间 可以有 以及 。
5. 写出线性和各项同性介质中场量D ρ、E ρ、B ρ、H ρ、J ρ所满足的方程(结构方程):。
6. 电流连续性方程的微分和积分形式分别为和。
7. 设理想导体的表面A 的电场强度为E ρ、磁场强度为B ρ,则(a )E ρ、B ρ皆与A 垂直。
(b )E ρ与A 垂直,B ρ与A 平行。
(c )E ρ与A 平行,B ρ与A 垂直。
(d )E ρ 、B ρ皆与A 平行。
答案:B8. 两种不同的理想介质的交界面上,(A )1212 , E E H H ==r r r r(B )1212 , n n n n E E H H == (C)1212 , t t t t E E H H == (D)1212 , t t n n E E H H ==答案:C9. 设自由真空区域电场强度(V/m) )sin(ˆ0βz ωt E eE y -=ρ,其中0E 、ω、β为常数。
则空间位移电流密度d J ρ(A/m 2)为:ˆˆˆ222x y z e e e ++A ρ⋅∇A ρ⨯∇EJ H B E D ρρρρρρσ=μ=ε= , ,tq S d J S∂∂-=⋅⎰ρρt J ∂ρ∂-=⋅∇ρ0A ∇⋅=rr 0A ∇⨯=r(a ) )cos(ˆ0βz ωt E ey -(b ) )cos(ˆ0βz ωt ωE e y - (c ) )cos(ˆ00βz ωt E ωey -ε (d ) )cos(ˆ0βz ωt βE e y -- 答案:C 10. 已知无限大空间的相对介电常数为4=εr ,电场强度(V/m) 2cos ˆ0dxeE x πρ=ρ,其中0ρ、d 为常数。
工程电磁场(冯慈璋)书后思考题————————————————————————————————作者:————————————————————————————————日期:1—1 试回答下列各问题:(1)等位面上的电位处处一样,因此面上各处的电场强度的数值也句话对吗,试举例说明。
L』J米处吧议g=u,囚此那里Bg电场C=一vg=一V 0=0。
对吗?(3)甲处电位是10000v,乙处电位是10v故甲处的电场强度大于乙处的电场强度。
对吗?答此三问的内容基本一致,均是不正确的。
静电场中电场强度是电位函数的梯度,即电场强度E是电位函数甲沿最大减小率方向的空间变化率。
P的数值大小与辽的大小无关,因此甲处电位虽是10000v,大于乙处的电位,但并不等于甲处的电场强度大于乙处的电场强度。
在等位面上的电位均相等,只能说明沿等位面切线方向,电位的变化率等于零,因此等位面上任一点的电场强度沿该面切线方向的分量等于军,即fl=0。
而电位函数沿等位面法线方向的变化宰并不一定等于零,即Zn不一定为零,且数值也不一定相等。
即使等位面上g;0,该面上任一点沿等位面法线方向电位函数的变化串也不一定等于零。
例如:静电场中导体表面为等位面,但导体表面上电场强度召垂直于导体表面,大小与导体表面各点的曲率半径有关,曲率半径越小的地方电荷面密度越大.电场强度的数值也越大o1—2 电力线是不是点电荷在电场中的运动轨迹(设此点电荷陈电场力外不受其它力的作用)?答电力线仅表示该线上任—点的切线方向与该点电场强度方向一致,即表示出点电荷在此处的受力方向,但并不能表示出点电荷在该点的运动方向,故电力线不是点电荷在电场中的运动轨迹。
1—3 证明:等位区的充要条件是该区域内场强处处为零。
证明若等位区内某点的电场强度不为零,由厦;一v9可知v9乒0.即此点的电位函数沿空间某方向的空间变化率不为零,则在此方向上电位必有变化.这与等位区的条件矛盾。
若等位区内处处电位相等,则等位区内任—数的空间变化率为零,即仟·点的电场强度为零。
工程电磁场(冯慈璋)书后思考题————————————————————————————————作者:————————————————————————————————日期:1—1 试回答下列各问题:(1)等位面上的电位处处一样,因此面上各处的电场强度的数值也句话对吗,试举例说明。
L』J米处吧议g=u,囚此那里Bg电场C=一vg=一V 0=0。
对吗?(3)甲处电位是10000v,乙处电位是10v故甲处的电场强度大于乙处的电场强度。
对吗?答此三问的内容基本一致,均是不正确的。
静电场中电场强度是电位函数的梯度,即电场强度E是电位函数甲沿最大减小率方向的空间变化率。
P的数值大小与辽的大小无关,因此甲处电位虽是10000v,大于乙处的电位,但并不等于甲处的电场强度大于乙处的电场强度。
在等位面上的电位均相等,只能说明沿等位面切线方向,电位的变化率等于零,因此等位面上任一点的电场强度沿该面切线方向的分量等于军,即fl=0。
而电位函数沿等位面法线方向的变化宰并不一定等于零,即Zn不一定为零,且数值也不一定相等。
即使等位面上g;0,该面上任一点沿等位面法线方向电位函数的变化串也不一定等于零。
例如:静电场中导体表面为等位面,但导体表面上电场强度召垂直于导体表面,大小与导体表面各点的曲率半径有关,曲率半径越小的地方电荷面密度越大.电场强度的数值也越大o1—2 电力线是不是点电荷在电场中的运动轨迹(设此点电荷陈电场力外不受其它力的作用)?答电力线仅表示该线上任—点的切线方向与该点电场强度方向一致,即表示出点电荷在此处的受力方向,但并不能表示出点电荷在该点的运动方向,故电力线不是点电荷在电场中的运动轨迹。
1—3 证明:等位区的充要条件是该区域内场强处处为零。
证明若等位区内某点的电场强度不为零,由厦;一v9可知v9乒0.即此点的电位函数沿空间某方向的空间变化率不为零,则在此方向上电位必有变化.这与等位区的条件矛盾。
若等位区内处处电位相等,则等位区内任—数的空间变化率为零,即仟·点的电场强度为零。
《电磁场与电磁波》第4版(谢处⽅编)课后习题答案五章习题解答五章习题解答5.1 真空中直线长电流I 的磁场中有⼀等边三⾓形回路,如题5.1图所⽰,求三⾓形回路内的磁通。
解根据安培环路定理,得到长直导线的电流I 产⽣的磁场02I rφµπ=B e 穿过三⾓形回路⾯积的磁通为d S ψ==?B Sg 0002[d ]d d 2d d z ddII zz x x x xµµππ=? 由题5.1图可知,()tan6z x d π=-=,故得到d d dx d x x ψ-==0[2I b µπ5.2 通过电流密度为J 的均匀电流的长圆柱导体中有⼀平⾏的圆柱形空腔,如题5.2图所⽰。
计算各部分的磁感应强度B ,并证明腔内的磁场是均匀的。
解将空腔中视为同时存在J 和J -的两种电流密度,这样可将原来的电流分布分解为两个均匀的电流分布:⼀个电流密度为J 、均匀分布在半径为b 的圆柱内,另⼀个电流密度为J -、均匀分布在半径为a 的圆柱内。
由安培环路定律,分别求出两个均匀分布电流的磁场,然后进⾏叠加即可得到圆柱内外的磁场。
由安培环路定律d CI µ?=?B l ?,可得到电流密度为J 、均匀分布在半径为b 的圆柱内的电流产⽣的磁场为 020222b b b b b b r b b r b r J r B J r µµ 电流密度为J -、均匀分布在半径为a 的圆柱内的电流产⽣的磁场为 020222a a a a a a r a a r a r J r B J r µµ?- 这⾥a r 和b r 分别是点a o 和b o 到场点P 的位置⽮量。
将a B 和b B 叠加,可得到空间各区域的磁场为圆柱外:220222b a ba b a r r B J r r µ??=?- ()b r b >圆柱内的空腔外:2022b a a ar B J r r µ??=?- ??(,)b a r b r a <> 空腔内: ()0022b a B J r r J d µµ=?-=? ()a r a <I题 5.1 图题5.2图式中d 是点和b o 到点a o 的位置⽮量。
1-8,1-9,1-101-19,1-20 1-211-28,1-31,1-32,真空中一点电荷C q 610-=,放在距离金属球壳(半径为5cm )的球心15cm 处,求:(1)球面上各点的ϕ、E 表达式。
何处场强最大,数值如何?(2)若将球壳接地,情况如何?(3)若将该点电荷置于球壳内距球心3cm 处,求球内的ϕ、E 表达式。
P解:(1)利用点电荷对导体系统的镜像方法原理,可知在球壳内有-q’的镜像电荷,位于距中心b 处,q da q =',d ab 2=。
由于金属球壳呈电中性,则在位于点电荷一侧导体球表面上的感应电荷为负值,而另一侧表面上的感应电荷为正值,且导体球表面上的正、负感应电荷的总量应等于零。
为了满足电荷守恒定律,必须在原导体球内再引入一个镜像电荷q '',且q q '=''。
由于点电荷q 和镜像电荷-q '、q ''共同作用的合成电场必须保证球面边界是一个等位面的条件,因此镜像电荷q ''必定位于球心。
本题目就可简化为均匀介质内三个点电荷的电场问题,利用叠加原理可以计算。
由于C q 610-=,故C q q d a q q 3101556-==='='' 由于点电荷q 和镜像电荷q '-在球壳上形成的电位为零,球壳的电位仅有镜像电荷q ''产生,即为:4212601061051085814343104⨯=⨯⨯⨯⨯⨯⨯=''=---..a q πεϕ=60kV 球壳上任意点P 的电场强度为:32120220210444r r r P aq r q r qe e e E πεπεπε''+'-= 在球表面点A 处场强最大,其值为:()[]()⎪⎪⎭⎪⎪⎬⎫⎪⎪⎩⎪⎪⎨⎧⨯⨯-⎥⎦⎤⎢⎣⎡⨯⎪⎪⎭⎫ ⎝⎛-⨯+⨯-=------22622262260max 10510311015551031105151041πεE =61042⨯.V/m (2)球壳接地,则镜像电荷只有q '-,于是球面上:0=ϕ2122021044r r P r q r qe e E πεπε'-=在球表面点A 处场强最大,其值为:()[]⎪⎪⎭⎪⎪⎬⎫⎪⎪⎩⎪⎪⎨⎧⎥⎦⎤⎢⎣⎡⨯⎪⎪⎭⎫ ⎝⎛-⨯+⨯-=----22262260max 1015551031105151041πεE =61063⨯.V/m (3)按照题意,给定的点电荷位于球壳内是点电荷与导体球问题的逆问题,进行逆向处理后,得到金属球壳在接地条件下球外的镜像电荷q '-,然后按照球壳为电中性条件,引入均匀分布于球壳表面S ,总量为q 的镜像电荷q '',以保证S 面上的边界条件不变。
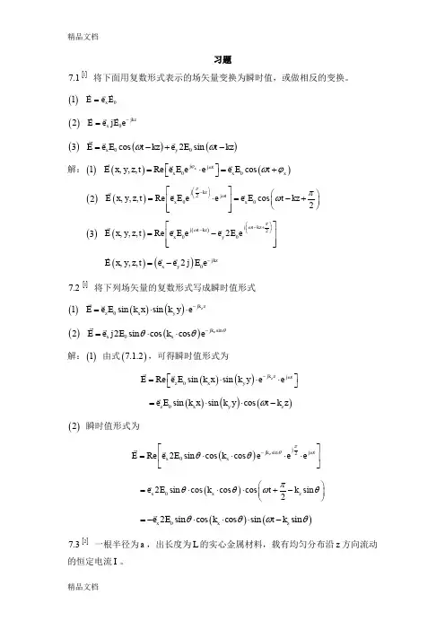
习题7.1[]1将下面用复数形式表示的场矢量变换为瞬时值,或做相反的变换。
()1 0x E e E = ()2 0jkz x E e jE e -=()3()()00cos 2sin x y E e E t kz e E t kz ωω=-+-解:()1 ()()00,,,Re cos x j j tx x x E x y z t e E e e e E t ϕωωϕ⎡⎤=⋅=+⎣⎦()2 ()200,,,Re cos 2j kz j t x x E x y z t e E ee e E t kz πωπω⎛⎫- ⎪⎝⎭⎡⎤⎛⎫=⋅=-+⎢⎥ ⎪⎝⎭⎢⎥⎣⎦()3 ()()200,,,Re 2j t kz j t kz x y E x y z t e E ee E e πωω⎛⎫-+ ⎪-⎝⎭⎡⎤=-⎢⎥⎢⎥⎣⎦()()0,,,2jkz x y E x y z t e e j E e -=-7.2[]1 将下列场矢量的复数形式写成瞬时值形式()1 ()()0sin sin z jk z z x y E e E k x k y e -=⋅⋅()2()sin 02sin cos cos z jk x x E e j E k e θθθ-=⋅⋅解:()1 由式()7.1.2,可得瞬时值形式为()()0Re sin sin z jk z j tz x y E e E k x k y e e ω-⎡⎤=⋅⋅⋅⎣⎦()()()0sin sin cos z x y z e E k x k y t k z ω=⋅⋅-()2 瞬时值形式为()sin 20Re 2sin cos cos z j jk j t x x E e E k e e e πθωθθ-⎡⎤=⋅⋅⋅⋅⎢⎥⎣⎦()02sin cos cos cos sin 2x x z e E k t k πθθωθ⎛⎫=⋅⋅⋅+- ⎪⎝⎭()()02sin cos cos sin sin x x z e E k t k θθωθ=-⋅⋅⋅-7.3[]2一根半径为a ,出长度为L 的实心金属材料,载有均匀分布沿z 方向流动的恒定电流I 。
长沙理⼯⼤学电磁学题库《电磁学》练习题(附答案)1. 如图所⽰,两个点电荷+q 和-3q ,相距为d . 试求:(1) 在它们的连线上电场强度0=E ?的点与电荷为+q 的点电荷相距多远?(2) 若选⽆穷远处电势为零,两点电荷之间电势U =0的点与电荷为+q 的点电荷相距多远?2. ⼀带有电荷q =3×10-9 C 的粒⼦,位于均匀电场中,电场⽅向如图所⽰.当该粒⼦沿⽔平⽅向向右⽅运动5 cm 时,外⼒作功6×10-5 J ,粒⼦动能的增量为4.5×10-5 J .求:(1) 粒⼦运动过程中电场⼒作功多少?(2) 该电场的场强多⼤?3. 如图所⽰,真空中⼀长为L 的均匀带电细直杆,总电荷为q ,试求在直杆延长线上距杆的⼀端距离为d 的P 点的电场强度.4. ⼀半径为R 的带电球体,其电荷体密度分布为ρ =Ar (r ≤R ) ,ρ =0 (r >R )A 为⼀常量.试求球体内外的场强分布.5. 若电荷以相同的⾯密度σ均匀分布在半径分别为r 1=10 cm 和r 2=20 cm 的两个同⼼球⾯上,设⽆穷远处电势为零,已知球⼼电势为300 V ,试求两球⾯的电荷⾯密度σ的值. (ε0=8.85×10-12C 2/ N ·m 2 )6. 真空中⼀⽴⽅体形的⾼斯⾯,边长a =0.1 m ,位于图中所⽰位置.已知空间的场强分布为: E x =bx , E y =0 , E z =0.常量b =1000 N/(C ·m).试求通过该⾼斯⾯的电通量.7. ⼀电偶极⼦由电荷q =1.0×10-6 C 的两个异号点电荷组成,两电荷相距l =2.0 cm .把这电偶极⼦放在场强⼤⼩为E =1.0×105 N/C 的均匀电场中.试求: (1) 电场作⽤于电偶极⼦的最⼤⼒矩.(2) 电偶极⼦从受最⼤⼒矩的位置转到平衡位置过程中,电场⼒作的功.8. 电荷为q 1=8.0×10-6 C 和q 2=-16.0×10-6 C 的两个点电荷相距20 cm ,求离它们都是20 cm 处的电场强度. (真空介电常量ε0=8.85×10-12 C 2N -1m -2 )9. 边长为b 的⽴⽅盒⼦的六个⾯,分别平⾏于xOy 、yOz 和xOz 平⾯.盒⼦的⼀⾓在坐标原点处.在此区域有⼀静电场,场强为j i E ?300200+= .试求穿过各⾯的电通量.E ?qLq10. 图中虚线所⽰为⼀⽴⽅形的⾼斯⾯,已知空间的场强分布为: E x =bx , E y =0, E z =0.⾼斯⾯边长a =0.1 m ,常量b =1000 N/(C ·m).试求该闭合⾯中包含的净电荷.(真空介电常数ε0=8.85×10-12 C 2·N -1·m -2 )11.有⼀电荷⾯密度为σ的 “⽆限⼤”均匀带电平⾯.若以该平⾯处为电势零点,试求带电平⾯周围空间的电势分布.12. 如图所⽰,在电矩为p ?的电偶极⼦的电场中,将⼀电荷为q 的点电荷从A 点沿半径为R 的圆弧(圆⼼与电偶极⼦中⼼重合,R >>电偶极⼦正负电荷之间距离)移到B 点,求此过程中电场⼒所作的功.13. ⼀均匀电场,场强⼤⼩为E =5×104 N/C ,⽅向竖直朝上,把⼀电荷为q = 2.5×10-8 C 的点电荷,置于此电场中的a 点,如图所⽰.求此点电荷在下列过程中电场⼒作的功.(1) 沿半圆路径Ⅰ移到右⽅同⾼度的b 点,ab =45 cm ; (2) 沿直线路径Ⅱ向下移到c 点,ac =80 cm ;(3) 沿曲线路径Ⅲ朝右斜上⽅向移到d 点,ad =260 cm(与⽔平⽅向成45°⾓).14. 两个点电荷分别为q 1=+2×10-7 C 和q 2=-2×10-7 C ,相距0.3 m .求距q 1为0.4 m 、距q 2为0.5 m 处P 点的电场强度. (41επ=9.00×109 Nm 2 /C 2) 15. 图中所⽰, A 、B 为真空中两个平⾏的“⽆限⼤”均匀带电平⾯,A ⾯上电荷⾯密度σA =-17.7×10-8 C ·m -2,B ⾯的电荷⾯密度σB =35.4 ×10-8 C ·m -2.试计算两平⾯之间和两平⾯外的电场强度.(真空介电常量ε0=8.85×10-12 C 2·N -1·m -2 )16. ⼀段半径为a 的细圆弧,对圆⼼的张⾓为θ0,其上均匀分布有正电荷q ,如图所⽰.试以a ,q ,θ0表⽰出圆⼼O 处的电场强度.17. 电荷线密度为λ的“⽆限长”均匀带电细线,弯成图⽰形状.若半圆弧AB 的半径为R ,试求圆⼼O 点的场强.ABRⅠⅡⅢ dba 45?cEσAσBA BOa θ0 q AR ∞∞ O18. 真空中两条平⾏的“⽆限长”均匀带电直线相距为a ,其电荷线密度分别为-λ和+λ.试求:(1) 在两直线构成的平⾯上,两线间任⼀点的电场强度(选Ox 轴如图所⽰,两线的中点为原点).(2) 两带电直线上单位长度之间的相互吸引⼒.19. ⼀平⾏板电容器,极板间距离为10 cm ,其间有⼀半充以相对介电常量εr =10的各向同性均匀电介质,其余部分为空⽓,如图所⽰.当两极间电势差为100 V 时,试分别求空⽓中和介质中的电位移⽮量和电场强度⽮量. (真空介电常量ε0=8.85×10-12 C 2·N -1·m -2)20. 若将27个具有相同半径并带相同电荷的球状⼩⽔滴聚集成⼀个球状的⼤⽔滴,此⼤⽔滴的电势将为⼩⽔滴电势的多少倍?(设电荷分布在⽔滴表⾯上,⽔滴聚集时总电荷⽆损失.) 21. 假想从⽆限远处陆续移来微量电荷使⼀半径为R 的导体球带电.(1) 当球上已带有电荷q 时,再将⼀个电荷元d q 从⽆限远处移到球上的过程中,外⼒作多少功? (2) 使球上电荷从零开始增加到Q 的过程中,外⼒共作多少功?22. ⼀绝缘⾦属物体,在真空中充电达某⼀电势值,其电场总能量为W 0.若断开电源,使其上所带电荷保持不变,并把它浸没在相对介电常量为εr 的⽆限⼤的各向同性均匀液态电介质中,问这时电场总能量有多⼤?23. ⼀空⽓平板电容器,极板A 、B 的⾯积都是S ,极板间距离为d .接上电源后,A 板电势U A =V ,B 板电势U B =0.现将⼀带有电荷q 、⾯积也是S ⽽厚度可忽略的导体⽚C 平⾏插在两极板的中间位置,如图所⽰,试求导体⽚C 的电势.24. ⼀导体球带电荷Q .球外同⼼地有两层各向同性均匀电介质球壳,相对介电常量分别为εr 1和εr 2,分界⾯处半径为R ,如图所⽰.求两层介质分界⾯上的极化电荷⾯密度.25. 半径分别为 1.0 cm 与 2.0 cm 的两个球形导体,各带电荷 1.0×10-8 C ,两球相距很远.若⽤细导线将两球相连接.求(1) 每个球所带电荷;(2) 每球的电势.(22/C m N 1094190=πε)-λ +λ26. 如图所⽰,有两根平⾏放置的长直载流导线.它们的直径为a ,反向流过相同⼤⼩的电流I ,电流在导线内均匀分布.试在图⽰的坐标系中求出x 轴上两导线之间区域]25,21[a a 内磁感强度的分布.27. 如图所⽰,在xOy 平⾯(即纸⾯)内有⼀载流线圈abcd a ,其中bc 弧和da 弧皆为以O 为圆⼼半径R =20 cm 的1/4圆弧,ab 和cd 皆为直线,电流I =20 A ,其流向为沿abcd a 的绕向.设线圈处于B = 8.0×10-2T ,⽅向与a →b 的⽅向相⼀致的均匀磁场中,试求:(1) 图中电流元I ?l 1和I ?l 2所受安培⼒1F ??和2F ?的⽅向和⼤⼩,设?l 1 =l 2 =0.10 mm ;(2) 线圈上直线段ab 和cd 所受的安培⼒ab F ?和cd F ?的⼤⼩和⽅向;(3) 线圈上圆弧段bc 弧和da 弧所受的安培⼒bc F ?和da F ?的⼤⼩和⽅向.28. 如图所⽰,在xOy 平⾯(即纸⾯)内有⼀载流线圈abcda ,其中b c 弧和da 弧皆为以O 为圆⼼半径R =20 cm 的1/4圆弧,ab 和cd 皆为直线,电流I =20 A ,其流向沿abcda 的绕向.设该线圈处于磁感强度B = 8.0×10-2 T 的均匀磁场中,B ?⽅向沿x 轴正⽅向.试求:(1) 图中电流元I ?l 1和I ?l 2所受安培⼒1F ??和2F ?的⼤⼩和⽅向,设?l 1 = ?l 2=0.10 mm ;(2) 线圈上直线段ab 和cd 所受到的安培⼒ab F ?和cd F ?的⼤⼩和⽅向;(3) 线圈上圆弧段bc 弧和da 弧所受到的安培⼒bc F ?和da F ?的⼤⼩和⽅向.29. AA '和CC '为两个正交地放置的圆形线圈,其圆⼼相重合.AA '线圈半径为20.0 cm ,共10匝,通有电流10.0 A ;⽽CC '线圈的半径为10.0 cm ,共20匝,通有电流 5.0 A .求两线圈公共中⼼O 点的磁感强度的⼤⼩和⽅向.(µ0 =4π×10-7 N ·A -2)30. 真空中有⼀边长为l 的正三⾓形导体框架.另有相互平⾏并与三⾓形的bc 边平⾏的长直导线1和2分别在a 点和b 点与三⾓形导体框架相连(如图).已知直导线中的电流为I ,三⾓形框的每⼀边长为l ,求正三⾓形中⼼点O 处的磁感强度B ?.31. 半径为R 的⽆限长圆筒上有⼀层均匀分布的⾯电流,这些电流环绕着轴线沿螺旋线流动并与轴线⽅向成α⾓.设⾯电流密度(沿筒⾯垂直电流⽅向单位长度的电流)为i ,求轴线上的磁感强度.a b c dO RR x yI I 30° 45° I ?l 1 I ?l 2a bc d O RR xyI I 30° 45° I ?l 1 I ?l 232. 如图所⽰,半径为R ,线电荷密度为λ (>0)的均匀带电的圆线圈,绕过圆⼼与圆平⾯垂直的轴以⾓速度ω转动,求轴线上任⼀点的B ?的⼤⼩及其⽅向.33. 横截⾯为矩形的环形螺线管,圆环内外半径分别为R 1和R 2,芯⼦材料的磁导率为µ,导线总匝数为N ,绕得很密,若线圈通电流I ,求. (1) 芯⼦中的B 值和芯⼦截⾯的磁通量. (2) 在r < R 1和r > R 2处的B 值.34. ⼀⽆限长圆柱形铜导体(磁导率µ0),半径为R ,通有均匀分布的电流I .今取⼀矩形平⾯S (长为1 m ,宽为2 R ),位置如右图中画斜线部分所⽰,求通过该矩形平⾯的磁通量.35. 质⼦和电⼦以相同的速度垂直飞⼊磁感强度为B ?的匀强磁场中,试求质⼦轨道半径R 1与电⼦轨道半径R 2的⽐值.36. 在真空中,电流由长直导线1沿底边ac ⽅向经a 点流⼊⼀由电阻均匀的导线构成的正三⾓形线框,再由b 点沿平⾏底边ac ⽅向从三⾓形框流出,经长直导线2返回电源(如图).已知直导线的电流强度为I ,三⾓形框的每⼀边长为l ,求正三⾓形中⼼O 处的磁感强度B ?.37. 在真空中将⼀根细长导线弯成如图所⽰的形状(在同⼀平⾯内,由实线表⽰),R EF AB ==,⼤圆弧BCR ,⼩圆弧DE 的半径为R 21,求圆⼼O 处的磁感强度B ?的⼤⼩和⽅向. 38. 有⼀条载有电流I 的导线弯成如图⽰abcda 形状.其中ab 、cd 是直线段,其余为圆弧.两段圆弧的长度和半径分别为l 1、R 1和l 2、R 2,且两段圆弧共⾯共⼼.求圆⼼O 处的磁感强度B ?的⼤⼩.39.地球半径为R =6.37×106 m .µ0 =4π×10-7 H/m .试⽤毕奥-萨伐尔定律求该电流环的磁矩⼤⼩. 40. 在氢原⼦中,电⼦沿着某⼀圆轨道绕核运动.求等效圆电流的磁矩m p ?与电⼦轨道运动的动量矩L ?⼤⼩之⽐,并指出m p ?和L ?⽅向间的关系.(电⼦电荷为e ,电⼦质量为m )。
电磁场与电磁波-课后答案(冯恩信-著)------------------------------------------作者xxxx------------------------------------------日期xxxx第一章 矢量场1。
1 z y x C z y x B z y xA ˆˆˆ3;ˆ2ˆˆ;ˆˆ3ˆ2+-=-+=-+=求:(a ) A ; (b ) b; (c ) A B ⋅ ; (d)B C ⨯ ; (e) () A B C ⨯⨯(f)() A B C ⨯⋅ 解:(a) 14132222222=++=++=z y x A A A A ; (b))ˆ2ˆˆ(61ˆz y x BB b-+== ( c) 7=⋅B A ; (d ) z y xC B ˆ4ˆ7ˆ---=⨯(e)z y x C B A ˆ4ˆ2ˆ2)(-+=⨯⨯(f) 19)(-=⋅⨯C B A1.2 A z =++2 ρπϕ;B z =-+- ρϕ32 求:(a) A ; (b) b ; (c) A B ⋅ ; (d)B A ⨯ ;(e ) B A+解:(a ) 25π+=A ;(b) )ˆ2ˆ3ˆ(141ˆz b-+-=ϕρ;(c) 43-=⋅πB A(d) z A B ˆ)6(ˆ3ˆ)23(+--+=⨯πϕρπ(e) z B A ˆˆ)3(ˆ-++=+ϕπρ1.3A r=+-22 πθπϕ; B r =- πθ 求:(a ) A ; (b) b; (c) A B ⋅ ; (d)B A ⨯ ; (e)A B +解:(a) 254π+=A ; (b) )ˆˆ(11ˆ2θππ-+=r b; (c) 22π-=⋅B A;(d) ϕπθππˆ3ˆ2ˆ22++=⨯rA B ; (e) ϕπˆ2ˆ3-=+r B A 1。
4 A xy z =+- 2;B x y z =+-α 3 当A B ⊥时,求α。
解:当 A B ⊥时,A B ⋅=0, 由此得 5-=α1.5 将直角坐标系中的矢量场F x y z xF x y z y 12(,,) ,(,,) ==分别用圆柱和圆球坐标系中的坐标分量表示.解:(1)圆柱坐标系由(1。
1-8,1-9,
1-10
1-19,
1-20 1-21
1-28,
1-31,
1-32,真空中一点电荷C q 6
10-=,放在距离金属球壳(半径为5cm )的球心15cm 处,求: (1)球面上各点的ϕ、E 表达式。
何处场强最大,数值如何?
(2)若将球壳接地,情况如何?
(3)若将该点电荷置于球壳内距球心3cm 处,求球内的ϕ、E 表达式。
P
解:(1)利用点电荷对导体系统的镜像方法原理,可知在球壳内有-q’的镜像电荷,位于距中
心b 处,q d
a q =',d a
b 2=。
由于金属球壳呈电中性,则在位于点电荷一侧导体球表面上
的感应电荷为负值,而另一侧表面上的感应电荷为正值,且导体球表面上的正、负感应电荷的总量应等于零。
为了满足电荷守恒定律,必须在原导体球内再引入一个镜像电荷q '',且
q q '=''。
由于点电荷q 和镜像电荷-q '、q ''共同作用的合成电场必须保证球面边界是一个
等位面的条件,因此镜像电荷q ''必定位于球心。
本题目就可简化为均匀介质内三个点电荷的电场问题,利用叠加原理可以计算。
由于C q 6
10-=,故C q q d a q q 3
101556
-==
='='' 由于点电荷q 和镜像电荷q '-在球壳上形成的电位为零,球壳的电位仅有镜像电荷q ''产生,即为:
4
2
126010610
51085814343104⨯=⨯⨯⨯⨯⨯⨯='
'=---..a q πεϕ=60kV 球壳上任意点P 的电场强度为:
3
2
1
2022
021
0444r r r P a
q r q r q
e e e E πεπεπε'
'+'
-
=
在球表面点A 处场强最大,其值为:
()[]()
⎪⎪⎭
⎪⎪⎬⎫
⎪⎪⎩⎪⎪⎨⎧⨯⨯-⎥⎦⎤⎢⎣⎡⨯⎪⎪⎭⎫ ⎝⎛-⨯+⨯-=------22622
26226
0max 10510311015551031105151041πεE =61042⨯.V/m (2)球壳接地,则镜像电荷只有q '-,于是球面上:
0=ϕ
212
202
1044r r P r q r q e e E πεπε'-
=
在球表面点A 处场强最大,其值为:
()[]
⎪
⎪⎭⎪⎪⎬⎫
⎪⎪⎩⎪⎪⎨⎧⎥⎦⎤⎢⎣⎡⨯⎪⎪⎭⎫ ⎝⎛-⨯+⨯-=----2
2
26226
0max 1015551031105151041πεE =61063⨯.V/m
(3)按照题意,给定的点电荷位于球壳内是点电荷与导体球问题的逆问题,进行逆向处理后,得到金属球壳在接地条件下球外的镜像电荷q '-,然后按照球壳为电中性条件,引入均匀分布于球壳表面S ,总量为q 的镜像电荷q '',以保证S 面上的边界条件不变。
镜像电荷q '-(q a
d q =')位于球外,其位置距球心d (b a d 2
=),同时,为满足边界条件
不变,q d s =⋅⎰S D ,在球壳处应为叠加呈均匀分布的总量为q 的电荷效应,因此球内的电
位和电场强度分别为:
a
q r q
a d r q 01020444πεπεπεϕ+-=
1
2
2
1
022
044r r r
q r q
e e E πεπε'-=
式中1r 、2r 分别为所设定的球内电荷q 与镜像电荷q '-至球壳内任意场点p 处的距离。
1-33,
1-38,
2-2,2-3,2-4,
2-9,
3-7,
3-32,
5.1-5.3
5-5,
5-6,。