苏州大学研究生录取分数线
- 格式:docx
- 大小:41.05 KB
- 文档页数:10
苏州大学最低投档录取分数线2022多少分
苏州高校最低投档录用分数线2022多少分
由于的高考还未公布分数线,如今就先以2022的录用分数线以作借鉴。
苏州高校最低投档录用分数线2022多少分
本省招生规定、院校状况及录用规章等,是考生填报志愿的主要参考根据。
因此,作为考生,熟识了解这些规定以及省高招办组织编发的一些相关资料,是高考生们在填报志愿前的必备预备工作。
熟识完规定后,就要对自己所倾向选择的专业、院校,做个具体的了解。
一是了解院校各学科的详细状况,是否为本校重点学科,师资力气及将来进展前景如何;
二是清晰去年在本省的招生院校各专业的打算数,近几年各专业在本省招生的最高分、最低分、平均分;
三是了解目前各专业的就业状况,同时对将来各专业就业形势有所了解,并充分考虑个人特长、禀赋,如组织管理力量、讨论力量、艺术修养、口头与书面表达力量等;
四是相关专业对身体健康状况的特别要求,考生要合理规避限报专业,依据自己的身体状况选择适合自己的专业;
五是明确自己的强项科目和稍弱的科目,考虑相关科目成果;
六是专业收费状况。
苏州大学录取分数线2023苏州大学2023年招生简章已经发布,招生目录、招生人数等都已知晓,那2023年苏州大学各专业录取分数是多少?预估今年最低多少分能考上?以下是小编整理的“苏州大学录取分数线2023”,希望能够帮助到大家。
苏州大学录取分数线20232023年苏州大学各专业录取分数线(参考2022年)1、苏州大学(本科)2022年在江苏省历史类最低录取分为554分,录取位次9867。
其中法学584分,知识产权583分,经济学582分,2、苏州大学(本科)2022年在江苏省物理类最低录取分为564分,录取位次41239。
其中临床医学613分,软件工程608分,计算机科学与技术608分,录取分数线最高的是临床医学专业,最低为614分,也是本校报考最热门的物理类专业。
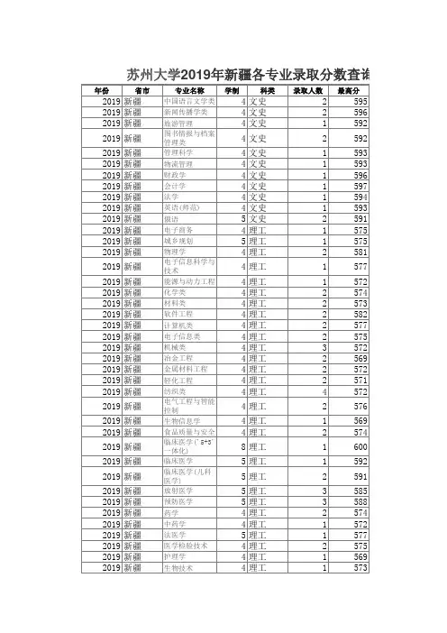
附:2022年苏州大学各专业在江苏省录取最低分数线一览表苏州大学录取分数线2022(在其他省市)(2023参考)附:苏州大学简介苏州大学坐落于素有“人间天堂”之称的历史文化名城苏州,是国家“211工程”“2011计划”首批入列高校,是教育部与江苏省人民政府共建“双一流”建设高校、国家国防科技工业局和江苏省人民政府共建高校,是江苏省属重点综合性大学。
苏州大学前身是Soochow University(东吴大学,1900年创办),开现代高等教育之先河,融中西文化之菁华,是中国最早以现代大学学科体系举办的大学。
在中国高等教育史上,东吴大学是最早开展研究生教育并授予硕士学位、最先开展法学(英美法)专业教育,也是第一家创办学报的大学。
1952年中国大陆院系调整,由东吴大学之文理学院、苏南文化教育学院、江南大学之数理系合并组建苏南师范学院,同年更名为江苏师范学院。
1982年,学校更复名苏州大学(Soochow University)。
其后,苏州蚕桑专科学校(1995年)、苏州丝绸工学院(1997年)和苏州医学院(2000年)等相继并入苏州大学。
从民国时期的群星璀璨,到共和国时代的开拓创新;从师范教育的文脉坚守,到综合性大学的战略转型与回归;从多校合并的跨越发展,到争创一流的重塑辉煌,苏州大学在中国高等教育史上留下了浓墨重彩的一笔。
苏州大学心理学录取分数线和报录比一、苏州大学心理学院简介苏州大学教育学院现坐落在美丽的人间天堂苏州的独墅湖畔,前身为江苏师范学院教育学系,1982年改称苏州大学教育科学教研部,1999年改现名。
历经几十年的发展,为国家和社会培养了大批优秀教育和心理学人才,为地方建设作出了重要贡献。
学院现有教育学一级学科博士后流动站、高等教育学博士点、教育经济学博士点(自设)、教育学一级学科硕士点、一级学科硕士点、应用心理学专业硕士点和教育硕士专业硕士点;开设四个本科专业与招生方向,教育学专业为学校特色专业。
学院设有教育学系、心理学系和教育技术学系。
苏州大学教育科学研究院挂靠本院,包括苏州大学高等教育研究所、苏州大学教育科学研究中心、教育学研究所、应用心理学研究所、课程教学研究所、规划与政策研究室6个研究所(中心、室);苏州大学教师培训学院和苏州大学苏南地区大学生心理健康教育研究中心挂靠本学院;苏州心理学会挂牌本院。
学院承担全校师范生教育学、心理学、教育技术学、教师口语、教师书法课程及其它校级公共课程的教学。
现任院长许庆豫,院党委书记蒋晓虹。
学院现有教职工76人。
教师队伍年轻、学历较高、专业结构合理。
苏州大学是国家211工程重点建设高校和江苏省省属重点综合性大学,该校心理学隶属教育学院,应用心理学为江苏省级重点学科。
2014年心理学招生方向有5个:01基础心理学02发展与教育心理学03应用心理学04工业与组织管理心理学05咨询与临床心理学初试科目有①101思想政治理论②201英语一或203日语③634心理学专业基础综合苏州大学心理学学硕在2013年是统考的,2014年改为自命题。
关于初试的真题,可以在苏州大学官网下载2011、2012两年真题,并有说明不再提供其他年份(/html/27/11256.html)。
同学们可以关注是否会有14年真题发布,下面由博仁教育来具体分析苏州大学历年分数线和报录比,供考生择校时参考。
苏州大学录取分数线'一览'整理2023苏州高校录用分数线'一览'苏州高校多少分能考上?高考苏州高校要多少分才可以录用?最低多少分能进苏州高校读书学习?下面是我整理的2023苏州高校录用分数线一览,盼望能够关心到大家。
2023苏州高校录用分数线一览对于江苏省首选物理的高考生来说,苏州高校最低564分能考上。
对于江苏省首选历史的高考生来说,苏州高校最低554分能考上。
1、首选物理苏州高校29组:江苏本科批录用分数线为613分,7958名苏州高校17组:江苏本科批录用分数线为608分,9960名苏州高校16组:江苏本科批录用分数线为607分,10403名苏州高校18组:江苏本科批录用分数线为603分,12175名苏州高校23组:江苏本科批录用分数线为601分,13255名苏州高校30组:江苏本科批录用分数线为599分,14349名苏州高校27组:江苏本科批录用分数线为593分,18019名苏州高校20组:江苏本科批录用分数线为591分,19364名苏州高校25组:江苏本科批录用分数线为585分,23517名苏州高校21组:江苏本科批录用分数线为584分,24286名苏州高校19组:江苏本科批录用分数线为581分,26506名苏州高校31组:江苏本科批录用分数线为576分,30557名苏州高校22组:江苏本科批录用分数线为573分,33158名苏州高校26组:江苏本科批录用分数线为567分,38366名苏州高校24组:江苏本科批录用分数线为564分,41239名专业组名省份批次最低分苏州高校29组江苏本科批613苏州高校17组江苏本科批608苏州高校16组江苏本科批607苏州高校18组江苏本科批603苏州高校23组江苏本科批601苏州高校30组江苏本科批599苏州高校27组江苏本科批593苏州高校20组江苏本科批591苏州高校28组江苏本科批587苏州高校25组江苏本科批585苏州高校21组江苏本科批584苏州高校19组江苏本科批581苏州高校31组江苏本科批576苏州高校22组江苏本科批573苏州高校26组江苏本科批567苏州高校24组江苏本科批564 2、首选历史苏州高校03组:江苏本科批录用分数线为580分,3392名苏州高校08组:江苏本科批录用分数线为580分,3392名苏州高校04组:江苏本科批录用分数线为574分,4499名苏州高校06组:江苏本科批录用分数线为561分,7703名苏州高校07组:江苏本科批录用分数线为554分,9867名专业组名省份批次最低分苏州高校03组江苏本科批580苏州高校08组江苏本科批580苏州高校04组江苏本科批574苏州高校05组江苏本科批570苏州高校06组江苏本科批561苏州高校07组江苏本科批554 二、苏州高校多少分能考上?广东省高考对于广东省首选物理的高考生来说,苏州高校最低592分能考上。
苏州大学考研专业目录及分数线苏州大学(下文简称苏大)为本科生提供多种学科的硕士研究生招生,学科专业繁多,以下列举几种典型研究生考研专业,分数线如下。
1、文学:中国语言文学;中国古典文献研究;新闻传播学;应用心理学;外国语言文学等,文科分线:430 分。
2、理学:数学;应用物理学;统计学;信息与计算科学;物理学等,理科分线:470 分。
3、工学:自动化;电气工程及其自动化;电子信息科学与技术;计算机科学与技术;通信工程;石油与天然气工程;地质资源与地质工程;化学工程与技术;环境科学与工程等,工科分线:530 分。
4、经济学:财政学;经济统计学;信息管理与信息系统;工商管理;金融学等,经科分线:470 分。
5、法学:法学;社会学;政治学等,法学分线:460 分。
6、医学:临床医学;药学;预防医学;口腔医学;中西医结合;基础医学等,医学分线:640 分。
7、农学:农业机械化工程;农学;茶学;园艺植保;科学园艺;作物学;蔬菜学;植物保护学;草业科学;水产养殖学等,农学分线:430 分。
除以上学科专业之外,苏大还拥有其他诸如新闻学,艺术设计等其他新兴研究生专业;各专业的分数线要求可以在苏大官方网站查询,具体请参考学院招生规定。
苏大研究生考研专业目录及考生须知一、苏州大学研究生考研专业:1、文学:中国语言文学;中国古典文献研究;新闻传播学;应用心理学;外国语言文学等;2、理学:数学;应用物理学;统计学;信息与计算科学;物理学等;3、工学:自动化;电气工程及其自动化;电子信息科学与技术;计算机科学与技术;通信工程;石油与天然气工程;地质资源与地质工程;化学工程与技术;环境科学与工程等;4、经济学:财政学;经济统计学;信息管理与信息系统;工商管理;金融学等;5、法学:法学;社会学;政治学等;6、医学:临床医学;药学;预防医学;口腔医学;中西医结合;基础医学等;7、农学:农业机械化工程;农学;茶学;园艺植保;科学园艺;作物学;蔬菜学;植物保护学;草业科学;水产养殖学等。
历年苏州大学各专业考研分数线-苏州大学考研需要多少分才能上?-苏大考研近年的分数线变化大吗?(苏州大学考研在线咨询入口)2019考研在即,许多考生在决定报考苏州大学时,总在烦恼需要考多少分才能够进入该专业的复试环节?每年又有多少人进入复试?近几年的分数是升了还是有所下降?东吴苏大考研网将为即将参加2019苏大考研的各位同学,整理苏州大学考研各学院各专业往年进入复试的人数及最低分数线,希望考生能够根据往年数据,提前做好准备。
具体请点击进入【历年苏州大学考研真题答案下载】2018苏州大学药学院考研复试分数线学院名称专业代码专业名称进入复试人数进入复试最低分数药学院100701 药物化学24 328药学院100702 药剂学8 353药学院100703 生药学 3 331药学院100704 药物分析学 6 328药学院100705 微生物与生化药学9 325药学院100706 药理学45 345药学院105500 药学24 300药学院085235 制药工程 3 2662018苏州大学马克思主义学院考研复试分数线学院名称专业代码专业名称进入复试人数进入复试最低分数马克思主义学院030501 马克思主义基本原理11 355马克思主义学院030505 思想政治教育9 384马克思主义学院045102 学科教学(思政)20 325马克思主义学院045102 学科教学(思政)(非全) 3 3202018苏州大学音乐学院考研复试分数线学院名称专业代码专业名称进入复试人数进入复试最低分数音乐学院130200 音乐与舞蹈学 4 366音乐学院135101 音乐7 3372018苏州大学护理学院考研复试分数线学院名称专业代码专业名称进入复试人数进入复试最低分数护理学院101100 护理学 6 326 护理学院105400 护理56 313护理学院105400 护理(非全日制)7(单考1、调剂1)3142018苏州大学放射医学与防护学院考研复试分数线学院名称专业代码专业名称进入复试人数进入复试最低分数放射医学与防护学院077806 放射医学12 315放射医学与防护学院100106 放射医学12 315放射医学与防护学院100900 特种医学 3 302放射医学与防护学院083100 生物医学工程26 268 东吴苏大考研网链接地址:/苏州大学考研在线咨询入口链接地址:/news/details.aspx?id=4886历年苏州大学考研真题答案下载链接地址:/kaoyan/2018苏州大学医学部临床医学院考研复试分数线学院名称专业代码专业名称进入复试人数进入复试最低分数医学部临床医学院100201 内科学37 322医学部临床医学院100205 精神病与精神卫生学2(1调剂)309医学部临床医学院100207 影像医学与核医学8 311医学部临床医学院100208 临床检验诊断学11 304医学部临床医学院100210 外科学17(单考1)300(260)医学部临床医学院100211 妇产科学12 308医学部临床医学院100212 眼科学 3 320医学部临床医学院100213 耳鼻咽喉科学 1 302医学部临床医学院100214 肿瘤学10 311医学部临床医学院100217 麻醉学 2 314医学部临床医学院100602 中西医结合临床 2 320医学部临床医学院105101 内科学(心血管病学)11 337医学部临床医学院105101 内科学(血液病学)17 316医学部临床医学院105101 内科学(呼吸系病学)16 333医学部临床医学院105101 内科学(消化系病学)11 348医学部临床医学院105101 内科学(内分泌与代谢系病学)7 350医学部临床医学院105101 内科学(肾脏病学)7 301医学部临床医学院105101 内科学(传染病学)7(1调剂)335(307)医学部临床医学院105101 内科学(风湿病学) 4 305医学部临床医学院105103 老年医学 5 317医学部临床医学院105104 神经病学23 316医学部临床医学院105106 皮肤病与性病学 3 309医学部临床医学院105107 影像医学与核医学(影像)25 337医学部临床医学院105107 影像医学与核医学(介入) 5 327医学部临床医学院105107 影像医学与核医学(核医学) 5 305医学部临床医学院105107 影像医学与核医学(超声诊断学) 5 334医学部临床医学院105109 外科学(神经外科学)18(2调剂)300医学部临床医学院105109 外科学(普通外科学)31 317医学部临床医学院105109 外科学(骨外科学)38 309医学部临床医学院105109 外科学(胸外科学)11 303医学部临床医学院105109 外科学(心脏大血管外科学) 2 317医学部临床医学院105109 外科学(泌尿外科学)18 302医学部临床医学院105109 外科学(整形外科学) 6 303医学部临床医学院105109 外科学(血管外科学) 3 333医学部临床医学院105110 妇产科学7 338医学部临床医学院105110 妇产科学(女性盆底疾病) 1 343医学部临床医学院105111 眼科学 6 300医学部临床医学院105112 耳鼻咽喉科学 5 305医学部临床医学院105113 肿瘤学18 330医学部临床医学院105113 肿瘤学(肿瘤放射治疗学)14 319医学部临床医学院105114 康复医学与理疗学 4 333医学部临床医学院105116 麻醉学7 318医学部临床医学院105117 急诊医学9(1调剂)300医学部临床医学院105127 全科医学(内科学) 1 331医学部临床医学院100210 外科学(神经外科学)6(调剂)316医学部临床医学院100210 外科学(骨外科学)15(调剂)307医学部临床医学院100210 外科学(心脏大血管外科)3(调剂)313医学部临床医学院100210 外科学(泌尿外科学) 1 320 东吴苏大考研网链接地址:/苏州大学考研在线咨询入口链接地址:/news/details.aspx?id=4886历年苏州大学考研真题答案下载链接地址:/kaoyan/2018苏州大学计算机科学与技术学院考研复试分数线学院名称专业代码专业名称进入复试人数进入复试最低分数计算机科学与技术学院081200 计算机科学与技术17 322计算机科学与技术学院083500 软件工程 4 321计算机科学与技术学院085211 计算机技术102 310计算机科学与技术学院085212 软件工程66(单考1)306计算机科学与技术学院085211 计算机技术(非全日制) 3 3212018苏州大学机电工程学院考研复试分数线学院名称专业代码专业名称进入复试人数进入复试最低分数机电工程学院080200 机械工程15 333机电工程学院0802Z1 工业工程 3 295机电工程学院080400 仪器科学与技术 3 299机电工程学院081101 控制理论与控制工程 4 324机电工程学院085201 机械工程144 312机电工程学院085210 控制工程47 272 东吴苏大考研网链接地址:/苏州大学考研在线咨询入口链接地址:/news/details.aspx?id=4886历年苏州大学考研真题答案下载链接地址:/kaoyan/2018苏州大学医学部考研考研复试分数线学院名称专业代码专业名称进入复试人数进入复试最低分数医学部040102 课程与教学论 1 373医学部045107 学科教学(生物) 2 366医学部071001 植物学 1 344医学部071002 动物学 2 324医学部071005 微生物学 1 345医学部071006 神经生物学18 300医学部071007 遗传学 4 300医学部071008 发育生物学 3 312医学部071009 细胞生物学84 297医学部071010 生物化学与分子生物学77 297医学部071011 生物物理学 3 314医学部077802 免疫学87 297医学部090801 水产养殖 3 346医学部095133 畜牧9(7调剂)326医学部100101 人体解剖与组织胚胎学3(2调剂)318医学部100102 免疫学 2 307医学部100104 病理学与病理生理学1(27调剂)301医学部100105 法医学10 310医学部1001J3 医学心理学 1 311医学部1001Z1 医学神经生物学 1 303医学部077806 放射医学16(4调剂)315医学部100106 放射医学24(12调剂)306医学部100900 特种医学4(1调剂)302医学部083100 生物医学工程26 268医学部100701 药物化学24 328医学部100702 ★药剂学8 353医学部100703 生药学 3 331医学部100704 药物分析学 6 328医学部100705 微生物与生化药学9 325医学部100706 药理学45 345医学部105500 药学41(17调剂)300医学部085235 制药工程 3 266医学部100401 流行病与卫生统计学17 326医学部100402 劳动卫生与环境卫生学 4 339医学部100403 营养与食品卫生学 4 316医学部100404 儿少卫生与妇幼保健学 1 353医学部100405 卫生毒理学8 314医学部120402 社会医学与卫生事业管理 3 335医学部105300 公共卫生硕士27 304医学部105300 公共卫生硕士8 304医学部105300 公共卫生(调剂)12 300医学部090504 特种经济动物饲养5(调剂)273医学部100103 病原生物学7(调剂)3032018苏州大学城市轨道交通学院考研复试分数线学院名称专业代码专业名称进入复试人数进入复试最低分数城市轨道交通学院080204 车辆工程8 270城市轨道交通学院080402 测试计量技术及仪器12 268城市轨道交通学院082301 道路与铁道工程7(4个调剂)269城市轨道交通学院082302 交通信息工程及控制 6 289城市轨道交通学院082303 交通运输规划与管理8(3个调剂)265城市轨道交通学院082304 载运工具运用工程 2 306 东吴苏大考研网链接地址:/苏州大学考研在线咨询入口链接地址:/news/details.aspx?id=4886历年苏州大学考研真题答案下载链接地址:/kaoyan/2018苏州大学纺织与服装工程学院考研复试分数线学院名称专业代码专业名称进入复试人数进入复试最低分数纺织与服装工程学院082100 纺织科学与工程(纺织工程方向)16 297纺织与服装工程学院082100 纺织科学与工程(纺织材料与纺织品设计方向)11 300纺织与服装工程学院082100 纺织科学与工程(纺织化学与染整工程方向)21 281 纺织与服装工程学院082100 纺织科学与工程(非织造材料与工程方向) 3 330 纺织与服装工程学院085220 纺织工程(纺织工程方向)19 267纺织与服装工程学院085220 纺织工程(纺织工程方向)8(学转专)266纺织与服装工程学院085220 纺织工程(纺织材料与纺织品设计方向)4(学转专)274纺织与服装工程学院085220 纺织工程(纺织化学与染整工程方向)10 275纺织与服装工程学院085220 纺织工程(纺织化学与染整工程方向)1(学转专)264纺织与服装工程学院085220 纺织工程(服装设计与工程方向) 6 294纺织与服装工程学院085220 纺织工程(服装设计与工程方向)10(学转专)280纺织与服装工程学院085220 纺织工程(非织造材料与工程方向) 3 325纺织与服装工程学院085220 纺织工程(非织造材料与工程方向)6(学转专)276纺织与服装工程学院085220 纺织工程17(调剂)302纺织与服装工程学院085220 纺织工程(纺织化学与染整工程方向)4(调剂)2932018苏州大学医学部儿科临床医学院考研复试分数线学院名称专业代码专业名称进入复试人数进入复试最低分数医学部儿科临床医学院100202 儿科学10(8调剂)312医学部儿科临床医学院105102 儿科学(专业学位)68 301 东吴苏大考研网链接地址:/苏州大学考研在线咨询入口链接地址:/news/details.aspx?id=4886历年苏州大学考研真题答案下载链接地址:/kaoyan/2018苏州大学电子信息学院考研复试分数线学院名称专业代码专业名称进入复试人数进入复试最低分数电子信息学院080900 电子科学与技术学9 300电子信息学院081000 信息与通信工程30 315电子信息学院085208 电子与通信工程(全日制)153 275电子信息学院085208 电子与通信工程(非全日制)48 279电子信息学院085209 集成电路工程(全日制)12 287电子信息学院085209 集成电路工程(非全日制) 4 2922018苏州大学东吴商学院考研复试分数线学院名称专业代码专业名称进入复试人数进入复试最低分数东吴商学院025100 金融29 335东吴商学院025300 税务11 368东吴商学院025400 国际商务 1 370东吴商学院020200 应用经济学16 333东吴商学院120200 工商管理19 331东吴商学院125300 会计硕士262 2272018苏州大学数学科学学院考研复试分数线学院名称专业代码专业名称进入复试人数进入复试最低分数数学科学学院070100 数学48 291 数学科学学院071400 统计学 6 313 数学科学学院025200 应统统计23 355 数学科学学院045104 学科教学(数学)19 3462018苏州大学材料与化学化工学部考研复试分数线学院名称专业代码专业名称进入复试人数进入复试最低分数材料与化学化工学部040102 课程与教学论 2 325材料与化学化工学部045106 学科教学(化学) 4 346材料与化学化工学部070300 化学272 315材料与化学化工学部080500 材料科学与工程115 295材料与化学化工学部081700 化学与工程与技术46 280材料与化学化工学部085204 材料工程 4 294材料与化学化工学部085216 化学工程 1 314 东吴苏大考研网链接地址:/苏州大学考研在线咨询入口链接地址:/news/details.aspx?id=4886历年苏州大学考研真题答案下载链接地址:/kaoyan/2018苏州大学金融工程研究中心考研复试分数线与复试人数学院名称专业代码专业名称进入复试人数进入复试最低分数金融工程研究中心0202J5 金融工程 5 332金融工程研究中心025100 金融(全日制)46 330金融工程研究中心025100 金融(非全日制) 1 3522018苏州大学沙钢钢铁学院考研复试分数线学院名称专业代码专业名称进入复试人数进入复试最低分数沙钢钢铁学院0805Z1 材料冶金12 260 沙钢钢铁学院080600 冶金工程 3 2742018苏州大学文学院考研复试分数线学院名称专业代码专业名称进入复试人数进入复试最低分数文学院040102 课程与教学论 3 349文学院045103 学科教学(语文)52 360文学院045300 汉语国际教育49 339文学院050100 中国古代文学14 373文学院050100 中国现当代文学7 372文学院050100 文艺学 5 370文学院050100 比较文学与世界文学 4 378文学院050100 汉语言文字学 5 355 文学院050100 通俗文学与大众文化 1 3592018苏州大学体育学院考研复试分数线学院名称专业代码专业名称进入复试人数进入复试最低分数体育学院040300 体育学12 369 体育学院045200 体育88 268 体育学院045200 体育(调剂)11 269 东吴苏大考研网链接地址:/苏州大学考研在线咨询入口链接地址:/news/details.aspx?id=4886历年苏州大学考研真题答案下载链接地址:/kaoyan/2018苏州大学教育学院考研复试分数线学院名称专业代码专业名称进入复试人数进入复试最低分数教育学院040100 教育学原理 5377 294(单考)教育学院040100 课程与教学论 2 379教育学院040100 比较教育学 3 383教育学院040100 高等教育学 5 374教育学院040100 高等技术学 4 372教育学院040100 职业技术教育学 3 372教育学院120403 教育经济与管理 2 380教育学院040200 基础心理学8 360教育学院040200 发展与教育心理学8 345教育学院040200 应用心理学 5 370教育学院040200 工业与组织管理心理学 4 351教育学院040200 咨询与临床心理学 2 355教育学院045400 应用心理硕士54 320教育学院045101 教育硕士(教育管理)17 321教育学院045120 教育硕士(职业技术教育)10 3212018苏州大学王健法学院考研复试分数线学院名称专业代码专业名称进入复试人数进入复试最低分数王健法学院030101 法学理论 6 331王健法学院030102 法律史 5 318王健法学院030103 宪法学与行政法学8 324王健法学院030104 刑法学7 343王健法学院030105 民商法学11 337王健法学院030106 诉讼法学8 339王健法学院030107 经济法学 5 323 王健法学院030108 环境与资源保护法学 2 315 王健法学院030109 国际法学 6 345 王健法学院030105 知识产权法学 2 327 王健法学院035102 法律(法学)(全日制)117 315(不含调剂生)王健法学院035101 法律(非法学)(全日制)100 320 王健法学院035102 法律(法学)(非全日制)7 315(不含调剂生)王健法学院035101 法律(非法学)(非全日制) 3 315(不含调剂生)2018苏州大学功能纳米与软物质研究院考研复试分数线学院名称专业代码专业名称进入复试人数进入复试最低分数功能纳米与软物质研究院070200 物理学17 281功能纳米与软物质研究院070300 化学47 289功能纳米与软物质研究院071000 生物学16 281功能纳米与软物质研究院080500 材料科学与工程47 280 东吴苏大考研网链接地址:/苏州大学考研在线咨询入口链接地址:/news/details.aspx?id=4886历年苏州大学考研真题答案下载链接地址:/kaoyan/2018苏州大学政治与公共管理学院考研复试分数线序号专业代码专业进入复试人数进入复试最低成绩学位类型学习方式1 010101 马克思主义哲学 5 356 学术型全日制2 010102 中国哲学 5 332 学术型全日制3 010103 外国哲学 3 342 学术型全日制4 010104 逻辑学 2 315 学术型全日制5 010105 伦理学 5 355 学术型全日制6 010108 科学技术哲学 1 347 学术型全日制7 0101Z2 管理哲学 2 321 学术型全日制8 030200 政治学11 365 学术型全日制9 0302Z1 地方政府与社会管理 5 336 学术型全日制10 120100 管理科学与工程 1 330 学术型全日制11 120401 行政管理30 362 学术型全日制12 120402 社会医学与卫生事业管理3 360 学术型全日制13 120405 土地资源管理 2 362 学术型全日制2018苏州大学传媒学院考研复试分数线学院名称专业代码专业名称进入复试人数进入复试最低分数苏大传媒学院050300 新闻传播学8 360苏大传媒学院130300 戏剧与影视学 3 361苏大传媒学院055300 出版19 389苏大传媒学院055200 新闻与传播75 3772018苏州大学艺术学院考研复试分数线学院名称专业代码专业名称进入复试人数进入复试最低分数艺术学院085237 工业设计工程 2 302 艺术学院130100 艺术学理论 2 345 艺术学院130400 美术学 1 338 艺术学院130500 设计学 1 356 艺术学院135107 美术15 349 艺术学院135108 艺术设计106 343东吴苏大考研网链接地址:/苏州大学考研在线咨询入口链接地址:/news/details.aspx?id=4886历年苏州大学考研真题答案下载链接地址:/kaoyan/2018苏州大学社会学院考研复试分数线学院名称专业代码专业名称进入复试人数进入复试最低分数社会学院060200 中国史(中国古代史)11 359社会学院060200 中国史(专门史) 2 337社会学院060300 世界史 4 362社会学院030301 社会学8 357社会学院120203 旅游管理 2 353社会学院120500 图书情报与档案管理(情报学) 3 330社会学院120500 图书情报与档案管理(档案学)7 345社会学院035200 社会工作37 351社会学院045109 学科教学(历史)36 3432018苏州大学外国语学院考研复试分数线学院名称专业代码专业名称进入复试人数进入复试最低分数外国语学院050201 英语语言文学7 351外国语学院050202 俄语语言文学 2 397外国语学院050205 日语语言文学 3 350外国语学院050205 日语语言文学(调剂) 2 369外国语学院050211 外国语言学及应用语言学14 349外国语学院0502Z1 翻译学 5 355外国语学院055101 英语笔译27 359东吴苏大考研网 苏州大学考研必备外国语学院055102 英语口译17 359外国语学院045108 学科教学(英语)26 3502018苏州大学物理与光电•能源学部考研复试分数线学院名称专业代码专业名称进入复试人数进入复试最低分数物理与光电•能源学部040102 课程与教学论 1 340物理与光电•能源学部070200 物理学77 326物理与光电•能源学部080501 材料物理与化学 4 306物理与光电•能源学部081102 检测技术与自动化装置 5 319物理与光电•能源学部0702J4 新能源科学与工程43 300物理与光电•能源学部0702Z2 能源与环境系统工程7 359物理与光电•能源学部080300 光学工程20 335物理与光电•能源学部085202 光学工程(专业学位)59 285物理与光电•能源学部045105 学科教学(物理)20 350 东吴苏大考研网链接地址:/苏州大学考研在线咨询入口链接地址:/news/details.aspx?id=4886历年苏州大学考研真题答案下载链接地址:/kaoyan/东吴苏大考研网历年苏州大学考研真题答案+苏大学姐学长在线答疑与专业课辅导。
关于2023年苏州大学各专业考研复试分数线2023苏州大学考研复试分数线要求以下是2023苏州大学考研自划线分数线,大家可以参考:硕士类型专业代码专业名称总分政治英语专业课一专业课二备注专业型硕士135108艺术设计371↑94050↑106060--专业型硕士135107美术366↑44050↑106060--专业型硕士135101音乐368↑640406060--专业型硕士125500图书情报224↑26--52104----专业型硕士125400旅游管理167--4182----专业型硕士125300会计233↑36--51102----专业型硕士125200公共管理175--4488----专业型硕士125100工商管理167--4182----专业型硕士105500药学2963939117----专业型硕士105400护理320↑243939117----专业型硕士105300公共卫生2963939117----专业型硕士105200口腔医学298↑23939117----专业型硕士105125核医学309↑133939117----专业型硕士105124超声医学2963939117----专业型硕士105123放射影像学300↑43939117----专业型硕士105122放射肿瘤学360↑643939117----专业型硕士105121肿瘤学324↑283939117----专业型硕士105120临床检验诊断学2963939117----专业型硕士105119临床病理322↑263939117----专业型硕士105118麻醉学345↑493939117----专业型硕士105117耳鼻咽喉科学2963939117----专业型硕士105116眼科学2963939117----专业型硕士105115妇产科学307↑113939117----专业型硕士105113骨科学303↑73939117----专业型硕士105112儿外科学314↑183939117----专业型硕士105111外科学297↑13939117----专业型硕士105110康复医学与理疗学2963939117----专业型硕士105109全科医学2963939117----专业型硕士105108重症医学301↑53939117----专业型硕士105107急诊医学298↑23939117----专业型硕士105106皮肤病与性病学2963939117----专业型硕士105105精神病与精神卫生学2963939117----专业型硕士105104神经病学2963939117----专业型硕士105103老年医学2963939117----专业型硕士105102儿科学332↑363939117----专业型硕士105101内科学297↑13939117----专业型硕士95300风景园林335↑8433335050--专业型硕士95134渔业发展25133335050--专业型硕士95133畜牧25133335050--专业型硕士86102道路交通运输27338385757--专业型硕士86101轨道交通运输27338385757--专业型硕士86002制药工程307↑3438385757--专业型硕士86001生物技术与工程27338385757--专业型硕士85807清洁能源技术27338385757--专业型硕士85705矿业工程27338385757--专业型硕士85701环境工程27338385757--专业型硕士85604纺织工程319↑4638385757--专业型硕士85603冶金工程27338385757--专业型硕士85602化学工程2733848↑105757--专业型硕士85601材料工程27338385757--专业型硕士85501机械工程324↑5138385757--专业型硕士85412网络与信息安全324↑5138385757--专业型硕士85411大数据技术与工程332↑5938385757--专业型硕士85410人工智能334↑6138385757--专业型硕士85408光电信息工程324↑5138385757--专业型硕士85406控制工程298↑2538385757--专业型硕士85405软件工程330↑5738385757--专业型硕士85404计算机技术335↑6238385757--专业型硕士85403集成电路工程345↑7238385757--专业型硕士85402通信工程(含宽带网络、移动通信等)300↑2738385757--2022苏州大学考研复试分数线要求以下是2022苏州大学考研自划线分数线,一起来看看吧。
2020-2021苏州大学新闻与传播(专硕)考研参考书、招生目录、考研经验、复试分数线汇总本文将由新祥旭考研吴老师对苏州大学新闻与传播专业考研进行解析,主要有以下几个板块:苏州大学的介绍,学院专业的介绍,考研科目介绍,考研参考书目,近三年录取情况分析,及苏州大学新闻与传播专业备考经验等几大方面。
苏州大学传媒学院传媒学院是苏州大学直属的二级公办学院。
学院建有江苏省省级实验教学示范中心——传媒与文学实验教学中心,拥有摄影棚、大型演播厅、录音棚、电视节目制作室、报刊编辑实验室、播音主持语言实验室、电视摄像实验室、计算机图文设计实验室、电视鉴赏实验室、非线性编辑实验室、动漫游戏制作实验室和数码艺术工作室、影视艺术工作室、网络与新媒体工作室、新媒体实验室等。
学院在新华日报报业集团、苏州广播电视总台等各类新闻媒体和广告公司建立了20余个大学生创新创业教育实践基地,在政府部门和传媒单位建立了14个研究生工作站。
每年度举办苏州大学大学生电影节暨北京大学生电影节分会场活动和国际大学生新媒体节,定期聘请学界知名学者和业界资深人士来校举办专场讲座。
一、苏州大学新闻与传播考研招生目录招生院系:传媒学院招生专业:055200新闻与传播硕士(专业学位)研究方向:01(全日制)新闻学02(全日制)传播学考试科目:① 101思想政治理论② 204 英语二③ 334 新闻与传播专业综合能力④ 440 新闻与传播专业基础复试专业课:1、新闻学理论(01方向)或大众传播学理论(02 方向)(笔试)2、综合(面试)备注:不招同等学力考生二、苏州大学考研参考书目《新闻传播学概论》,苏州大学出版社2013年版;《大众传播学导论》,苏州大学出版社2013年版;《媒介文化通论》,江苏教育出版社2011年版。
三、苏州大学新闻与传播录取情况2018年新闻与传播录取最低分378,最高分422四、2018年苏州大学考研真题334 新闻与传播专业综合能力一、简答(2 x 30=60分)1.自媒体的概念和特征2.人工智能时代人与技术的关系二、论述(30分)以微博热搜排行榜为例,说明新媒体时代下议程设置的变化三、评论(60分)根据财新网成为国内第一家付费媒体的材料,拟一篇1000字左右的新闻评论。
2021江苏硕⼠研究⽣考试国家分数线已公布
在查询了研究⽣考试的初试成绩之后,⼤家最关⼼的⾃然就是考研的国家分数线。
来跟着店铺⼀起看看2021江苏硕⼠研究⽣考试国家分数线已公布。
2021江苏硕⼠研究⽣考试国家分数线
拓展阅读:
国家线和学校分数线的区别
国家线即全国硕⼠研究⽣考⽣进⼊复试基本分数要求,是基础分数线,要有资格参加复试必须过了这条线。
国家线⼀般在每年的3⽉中旬公布。
学校分数线(简称学校线)是各招⽣单位在国家线的基础上,根据本校有关专业⽣源余缺确定的复试资格线,⼀般学校直接
采⽤了国家线。
另教育部批准34所院校可以⾃主确定分数线(⾃划线),⾃划线学校⼀般在每年的3⽉中旬前后公布。
考研国家线是什么意思
考研国家线是教育部依据硕⼠⽣培养⽬标,结合年度招⽣计划、⽣源情况及总体初试成绩情况,确定报考统考、MBA及法律硕⼠专业学位考⽣进⼊复试的基本要求标准,其中包括应试科⽬总分要求和单科分数要求。
应届本科毕业⽣和⾮应届毕业⽣实⾏统⼀的进⼊复试基本分数要求。
分区概念:国家按照⼀区、⼆区确定考⽣参加复试基本分数要求。
⼀区包括北京、天津、上海、江苏、浙江、福建、⼭东、河南、湖北、湖南、⼴东、河北、⼭西、辽宁、吉林、⿊龙江、安徽、江西、重庆、四川、陕西等21省(市);
⼆区包括内蒙古、⼴西、海南、贵州、云南、西藏、⽢肃、青海、宁夏、新疆等10省(区)。
苏州大学2011年硕士研究生各专业分数线单位代码单位名称专业代码专业名称分数线001 政治与公共管理学院010101 马克思主义哲学337 001 政治与公共管理学院010102 中国哲学330 001 政治与公共管理学院010103 外国哲学327 001 政治与公共管理学院010105 伦理学303 001 政治与公共管理学院030201 政治学理论339 001 政治与公共管理学院030207 国际关系333 001 政治与公共管理学院030501 马克思主义基本原理351 001 政治与公共管理学院030505 思想政治教育375 001 政治与公共管理学院040102 课程与教学论363 001 政治与公共管理学院045102 学科教学(思政)331 001 政治与公共管理学院120100 管理科学与工程423 001 政治与公共管理学院120401 行政管理367 001 政治与公共管理学院120402 社会医学与卫生事业管理371 001 政治与公共管理学院120405 土地资源管理361 001 政治与公共管理学院125200 公共管理硕士165 002 东吴商学院020101 政治经济学371 002 东吴商学院020105 世界经济352 002 东吴商学院020202 区域经济学366 002 东吴商学院020203 财政学374 002 东吴商学院020204 金融学381 002 东吴商学院020205 产业经济学355 002 东吴商学院020206 国际贸易学351 002 东吴商学院025100 金融硕士350 002 东吴商学院025300 税务硕士381 002 东吴商学院025400 国际商务硕士405 002 东吴商学院120201 会计学376 002 东吴商学院120202 企业管理377 002 东吴商学院125100 工商管理硕士165 002 东吴商学院125300 会计硕士350 002 金融工程研究中心025100 金融硕士353 003 王健法学院030101 法学理论334 003 王健法学院030102 法律史334 003 王健法学院030103 宪法学与行政法学325 003 王健法学院030104 刑法学345 003 王健法学院030105 民商法学339 003 王健法学院030106 诉讼法学339 003 王健法学院030107 经济法学355 003 王健法学院030108 环境与资源保护法学342 003 王健法学院030109 国际法学346003 王健法学院035101 法律硕士(非法学)326 003 王健法学院035102 法律硕士(法学)325 004 教育学院040101 教育学原理325 004 教育学院040102 课程与教学论328 004 教育学院040106 高等教育学321 004 教育学院040201 基础心理学320 004 教育学院040202 发展与教育心理学314 004 教育学院040203 应用心理学327 004 教育学院045400 应用心理硕士308 004 教育学院120403 教育经济与管理351 005 体育学院040301 体育人文社会学308 005 体育学院040302 运动人体科学324 005 体育学院040303 体育教育训练学356 005 体育学院040304 民族传统体育学302 005 体育学院045201 体育教学288 006 文学院010106 美学372 006 文学院040102 课程与教学论348 006 文学院045103 学科教学(语文)313 006 文学院045300 汉语国际教育硕士321 006 文学院050101 文艺学368 006 文学院050103 汉语言文字学356 006 文学院050105 中国古代文学384 006 文学院050106 中国现当代文学374 006 文学院050108 比较文学与世界文学371 006 文学院050405 戏剧戏曲学346 007 凤凰传媒学院050301 新闻学363 007 凤凰传媒学院050302 传播学361 007 凤凰传媒学院055300 新闻与传播硕士358 008 艺术学院040102 课程与教学论324 008 艺术学院050403 美术学349 008 艺术学院050404 设计艺术学363 008 艺术学院055107 美术321 008 艺术学院055108 艺术设计322 008 艺术学院085237 工业设计工程372 009 社会学院030301 社会学355 009 社会学院035200 社会工作硕士325 009 社会学院045109 学科教学(历史)304 009 社会学院060105 专门史299 009 社会学院060106 中国古代史296 009 社会学院060107 中国近现代史303 009 社会学院060108 世界史298 009 社会学院120203 旅游管理357009 社会学院120404 社会保障376 009 社会学院120502 情报学363 009 社会学院120503 档案学364 010 外国语学院050201 英语语言文学361 010 外国语学院050202 俄语语言文学365 010 外国语学院050205 日语语言文学361 010 外国语学院050211 外国语言学及应用语言学364 010 外国语学院055201 英语笔译361 010 外国语学院055202 英语口译356 011 金融工程研究中心070120 ★金融数学304 011 数学科学学院025200 应用统计硕士357 011 数学科学学院040102 课程与教学论309 011 数学科学学院070101 基础数学300 011 数学科学学院070102 计算数学327 011 数学科学学院070103 概率论与数理统计356 011 数学科学学院070104 应用数学310 011 数学科学学院070105 运筹学与控制论335 012 系统生物学中心070121 ★系统生物学322 013 物理科学与技术学院070201 理论物理317 013 物理科学与技术学院070205 凝聚态物理301 013 物理科学与技术学院070207 光学304 013 物理科学与技术学院080501 材料物理与化学307 013 物理科学与技术学院081102 检测技术与自动化装置304 014 信息光学工程研究所080300 光学工程300 014 信息光学工程研究所085202 光学工程301 015 材料与化学化工学部040102 课程与教学论315 015 材料与化学化工学部070301 无机化学309 015 材料与化学化工学部070302 分析化学330 015 材料与化学化工学部070303 有机化学310 015 材料与化学化工学部070304 物理化学300 015 材料与化学化工学部070305 高分子化学与物理305 015 材料与化学化工学部080502 材料学315 015 材料与化学化工学部080503 材料加工工程323 015 材料与化学化工学部081704 应用化学304 016 功能纳米与软物质研究院070205 凝聚态物理314 016 功能纳米与软物质研究院070301 无机化学317 016 功能纳米与软物质研究院071010 生物化学与分子生物学325 016 功能纳米与软物质研究院080502 材料学306 017 电子信息学院080903 微电子学与固体电子学301 017 电子信息学院081001 通信与信息系统323 017 电子信息学院081002 信号与信息处理321 017 电子信息学院085208 电子与通信工程306017 电子信息学院085209 集成电路工程300 018 计算机科学与技术学院081202 计算机软件与理论333 018 计算机科学与技术学院081203 计算机应用技术300 018 计算机科学与技术学院085211 计算机技术301 018 计算机科学与技术学院120100 管理科学与工程386 019 机电工程学院080201 机械制造及其自动化333 019 机电工程学院080202 机械设计及理论303 019 机电工程学院080203 机械电子工程302 019 机电工程学院080401 精密仪器及机械349 019 机电工程学院081101 控制理论与控制工程319 019 机电工程学院085201 机械工程327 019 机电工程学院085210 控制工程310 020 城市轨道交通学院080204 车辆工程318 021 纺织与服装工程学院082101 纺织工程320 021 纺织与服装工程学院082102 纺织材料与纺织品设计317 021 纺织与服装工程学院082103 纺织化学与染整工程315 021 纺织与服装工程学院082104 服装设计与工程320 021 纺织与服装工程学院085220 纺织工程304 022 金螳螂建筑与城市环境学院090706 园林植物与观赏园艺328 023 医学部040102 课程与教学论318 023 医学部045107 学科教学(生物)341 023 医学部071001 植物学345 023 医学部071002 动物学302 023 医学部071003 生理学322 023 医学部071004 水生生物学295 023 医学部071005 微生物学298 023 医学部071006 神经生物学298 023 医学部071007 遗传学300 023 医学部071008 发育生物学326 023 医学部071009 细胞生物学295 023 医学部071010 生物化学与分子生物学300 023 医学部071011 生物物理学301 023 医学部077702 免疫学298 023 医学部083100 生物医学工程296 023 医学部090504 特种经济动物饲养266 023 医学部090801 水产养殖318 023 医学部100101 人体解剖与组织胚胎学311 023 医学部100102 免疫学314 023 医学部100103 病原生物学301 023 医学部100104 病理学与病理生理学348 023 医学部100105 法医学306 023 医学部100106 放射医学300023 医学部100120 ★胚胎生理与围产基础医学323 023 医学部100121 ★医学神经生物学301 023 医学部100126 ★医学心理学314 023 医学部100401 流行病与卫生统计学318 023 医学部100402 劳动卫生与环境卫生学406 023 医学部100403 营养与食品卫生学338 023 医学部100404 儿少卫生与妇幼保健学304 023 医学部100405 卫生毒理学305 023 医学部100701 药物化学304 023 医学部100702 药剂学339 023 医学部100703 生药学319 023 医学部100704 药物分析学316 023 医学部100705 微生物与生化药学409 023 医学部100706 药理学305 023 医学部105300 公共卫生硕士301 023 医学部105500 药学硕士300 024 附儿院100202 儿科学301 024 附儿院105102 儿科学300 025 医学部临床医学院100102 免疫学318 025 医学部临床医学院100201 内科学302 025 医学部临床医学院100203 老年医学312 025 医学部临床医学院100204 神经病学304 025 医学部临床医学院100205 精神病与精神卫生学313 025 医学部临床医学院100206 皮肤病与性病学306 025 医学部临床医学院100207 影像医学与核医学300 025 医学部临床医学院100208 临床检验诊断学307 025 医学部临床医学院100210 外科学301 025 医学部临床医学院100211 妇产科学332 025 医学部临床医学院100212 眼科学314 025 医学部临床医学院100213 耳鼻咽喉科学309 025 医学部临床医学院100214 肿瘤学315 025 医学部临床医学院100215 康复医学与理疗学336 025 医学部临床医学院100217 麻醉学304 025 医学部临床医学院100218 急诊医学302 025 医学部临床医学院105101 内科学302 025 医学部临床医学院105102 儿科学305 025 医学部临床医学院105103 老年医学321 025 医学部临床医学院105104 神经病学310 025 医学部临床医学院105107 影像医学与核医学304 025 医学部临床医学院105108 临床检验诊断学308 025 医学部临床医学院105109 外科学300 025 医学部临床医学院105110 妇产科学314025 医学部临床医学院105112 耳鼻咽喉科学309 025 医学部临床医学院105113 肿瘤学310 025 医学部临床医学院105116 麻醉学313 025 医学部临床医学院105117 急诊医学320 025 医学部临床医学院105126 中西医结合临床281 026 护理学院100209 护理学304苏州大学2010年硕士研究生各专业分数线单位代码单位名称专业代码专业名称分数线001 政治与公共管理学院010101 马克思主义哲学324 001 政治与公共管理学院010102 中国哲学355 001 政治与公共管理学院010103 外国哲学321 001 政治与公共管理学院010105 伦理学361 001 政治与公共管理学院030201 政治学理论336 001 政治与公共管理学院030207 国际关系365 001 政治与公共管理学院030501 马克思主义基本原理336 001 政治与公共管理学院030505 思想政治教育372 001 政治与公共管理学院120100 管理科学与工程352 001 政治与公共管理学院120401 行政管理338 001 政治与公共管理学院120402 社会医学与卫生事业管理330 001 政治与公共管理学院120405 土地资源管理330 001 政治与公共管理学院420102 学科教学(思政)318 001 政治与公共管理学院490100 公共管理硕士166 002 商学院020101 政治经济学387 002 商学院020105 世界经济337 002 商学院020202 区域经济学365 002 商学院020203 财政学337 002 商学院020204 金融学340 002 商学院020205 产业经济学368 002 商学院020206 国际贸易学330 002 商学院120201 会计学339 002 商学院120202 企业管理339 002 商学院460100 工商管理硕士165 003 法学院030101 法学理论333 003 法学院030102 法律史323 003 法学院030103 宪法学与行政法学318 003 法学院030104 刑法学353 003 法学院030105 民商法学330 003 法学院030106 诉讼法学338 003 法学院030107 经济法学340003 法学院030108 环境与资源保护法学314 003 法学院030109 国际法学338 003 法学院410100 法律硕士(非法学)316 003 法学院410200 法律硕士(法学)310 004 教育学院040101 教育学原理333 004 教育学院040102 课程与教学论313 004 教育学院040106 高等教育学315 004 教育学院077101 基础心理学288 004 教育学院077102 发展与教育心理学329 004 教育学院077103 应用心理学333 004 教育学院120403 教育经济与管理344 004 教育学院420101 教育管理283 005 体育学院040301 体育人文社会学285 005 体育学院040302 运动人体科学327 005 体育学院040303 体育教育训练学310 005 体育学院040304 民族传统体育学321 005 体育学院540101 体育教学270 006 文学院010106 美学347 006 文学院040102 课程与教学论321 006 文学院050101 文艺学394 006 文学院050103 汉语言文字学352 006 文学院050105 中国古代文学376 006 文学院050106 中国现当代文学386 006 文学院050108 比较文学与世界文学365 006 文学院050405 戏剧戏曲学345 006 文学院420103 学科教学(语文)317 006 文学院570100 汉语国际教育硕士310 007 凤凰传媒学院050301 新闻学345 007 凤凰传媒学院050302 传播学348 008 艺术学院050403 美术学339 008 艺术学院050404 设计艺术学335 008 艺术学院550107 美术307 008 艺术学院550108 艺术设计307 009 社会学院030301 社会学361 009 社会学院060105 专门史289 009 社会学院060106 中国古代史278 009 社会学院060107 中国近现代史275 009 社会学院060108 世界史279 009 社会学院120404 社会保障363 009 社会学院120502 情报学366 009 社会学院120503 档案学374 009 社会学院420109 学科教学(历史)328009 社会学院590100 社会工作硕士311 010 外国语学院040102 课程与教学论314 010 外国语学院050201 英语语言文学373 010 外国语学院050202 俄语语言文学349 010 外国语学院050205 日语语言文学349 010 外国语学院050211 外国语言学及应用语言学372 010 外国语学院580101 英语笔译348 010 外国语学院580102 英语口译357 011 数学科学学院070101 基础数学329 011 数学科学学院070102 计算数学326 011 数学科学学院070103 概率论与数理统计334 011 数学科学学院070104 应用数学317 011 数学科学学院070105 运筹学与控制论323 012 金融工程研究中心070120 ★金融数学311 012 系统生物学研究中心070121 ★系统生物学314 013 物理科学与技术学院040102 课程与教学论310 013 物理科学与技术学院070201 理论物理290 013 物理科学与技术学院070204 等离子体物理293 013 物理科学与技术学院070205 凝聚态物理284 013 物理科学与技术学院070207 光学287 013 物理科学与技术学院080501 材料物理与化学295 013 物理科学与技术学院081102 检测技术与自动化装置289 014 信息光学工程研究所080300 光学工程280 015 材料与化学化工部040102 课程与教学论313 015 材料与化学化工部070301 无机化学284 015 材料与化学化工部070302 分析化学317 015 材料与化学化工部070303 有机化学307 015 材料与化学化工部070304 物理化学285 015 材料与化学化工部070305 高分子化学与物理291 015 材料与化学化工部080502 材料学301 015 材料与化学化工部080503 材料加工工程313 015 材料与化学化工部081704 应用化学290 015 材料与化学化工部430105 材料工程288 016 功能纳米与软物质实验室070205 凝聚态物理301 016 功能纳米与软物质实验室070301 无机化学312 016 功能纳米与软物质实验室071010 生物化学与分子生物学300 016 功能纳米与软物质实验室080502 材料学291 017 电子信息学院080903 微电子学与固体电子学297 017 电子信息学院081001 通信与信息系统303 017 电子信息学院081002 信号与信息处理278 017 电子信息学院430109 电子与通信工程277 017 电子信息学院430110 集成电路工程291018 计算机科学与技术学院081202 计算机软件与理论276 018 计算机科学与技术学院081203 计算机应用技术278 018 计算机科学与技术学院120100 管理科学与工程340 018 计算机科学与技术学院430112 计算机技术276 018 计算机科学与技术学院430113 软件工程279 019 城市轨道交通学院080204 车辆工程289 019 机电工程学院080201 机械制造及其自动化294 019 机电工程学院080202 机械电子工程284 019 机电工程学院080203 机械设计及理论289 019 机电工程学院080401 精密仪器及机械337 019 机电工程学院081101 控制理论与控制工程304 020 纺织与服装工程学院082101 纺织工程299 020 纺织与服装工程学院082102 纺织材料与纺织品设计304 020 纺织与服装工程学院082103 纺织化学与染整工程283 020 纺织与服装工程学院082104 服装设计与工程290 020 纺织与服装工程学院430121 纺织工程283 021 金螳螂建筑与城市环境学院090402 农业昆虫与害虫防治281 021 金螳螂建筑与城市环境学院090706 园林植物与观赏园艺282 022 医学部071001 植物学301 022 医学部071002 动物学299 022 医学部071003 生理学307 022 医学部071004 水生生物学327 022 医学部071005 微生物学300 022 医学部071006 神经生物学303 022 医学部071007 遗传学303 022 医学部071008 发育生物学300 022 医学部071009 细胞生物学282 022 医学部071010 生物化学与分子生物学304 022 医学部071011 生物物理学287 022 医学部077600 生物医学工程288 022 医学部077702 免疫学284 022 医学部090504 特种经济动物饲养268 022 医学部090801 水产养殖312 022 医学部100102 免疫学290 022 医学部100103 病原生物学287 022 医学部100104 病理学与病理生理学280 022 医学部100105 法医学289 022 医学部100106 放射医学285 022 医学部100126 ★医学心理学282 022 医学部100401 流行病与卫生统计学285 022 医学部100402 劳动卫生与环境卫生学284 022 医学部100403 营养与食品卫生学337022 医学部100404 儿少卫生与妇幼保健学306 022 医学部100405 卫生毒理学305 022 医学部100701 药物化学312 022 医学部100702 药剂学300 022 医学部100703 生药学319 022 医学部100704 药物分析学330 022 医学部100705 微生物与生化药学287 022 医学部100706 药理学280 022 医学部120402 社会医学与卫生事业管理342 022 医学部510100 公共卫生硕士285 023 附儿院100202 儿科学283 023 附儿院450202 儿科学281 024 医学部临床医学院100201 内科学280 024 医学部临床医学院100203 老年医学292 024 医学部临床医学院100204 神经病学280 024 医学部临床医学院100205 精神病与精神卫生学285 024 医学部临床医学院100206 皮肤病与性病学283 024 医学部临床医学院100207 影像医学与核医学280 024 医学部临床医学院100208 临床检验诊断学285 024 医学部临床医学院100210 外科学280 024 医学部临床医学院100211 妇产科学282 024 医学部临床医学院100212 眼科学282 024 医学部临床医学院100213 耳鼻咽喉科学291 024 医学部临床医学院100214 肿瘤学281 024 医学部临床医学院100215 康复医学与理疗学285 024 医学部临床医学院100217 麻醉学282 024 医学部临床医学院100218 急诊医学288 024 医学部临床医学院450201 内科学281 024 医学部临床医学院450203 老年医学280 024 医学部临床医学院450204 神经病学281 024 医学部临床医学院450206 皮肤病与性病学282 024 医学部临床医学院450207 影像医学与核医学280 024 医学部临床医学院450208 临床检验诊断学281 024 医学部临床医学院450210 外科学280 024 医学部临床医学院450211 妇产科学288 024 医学部临床医学院450214 肿瘤学281 024 医学部临床医学院450217 麻醉学285 024 医学部临床医学院450218 急诊医学285 025 医学部护理学院100209 护理学284。
2020-2021苏州大学新闻传播学考研参考书、招生目录、考研经验、复试分数线汇总本文将由新祥旭考研吴老师对苏州大学新闻传播学专业考研进行解析,主要有以下几个板块:苏州大学的介绍,学院专业的介绍,考研科目介绍,考研参考书目,近三年录取情况分析,及苏州大学新闻传播学专业备考经验等几大方面。
苏州大学传媒学院传媒学院是苏州大学直属的二级公办学院。
学院建有江苏省省级实验教学示范中心——传媒与文学实验教学中心,拥有摄影棚、大型演播厅、录音棚、电视节目制作室、报刊编辑实验室、播音主持语言实验室、电视摄像实验室、计算机图文设计实验室、电视鉴赏实验室、非线性编辑实验室、动漫游戏制作实验室和数码艺术工作室、影视艺术工作室、网络与新媒体工作室、新媒体实验室等。
学院在新华日报报业集团、苏州广播电视总台等各类新闻媒体和广告公司建立了20余个大学生创新创业教育实践基地,在政府部门和传媒单位建立了14个研究生工作站。
每年度举办苏州大学大学生电影节暨北京大学生电影节分会场活动和国际大学生新媒体节,定期聘请学界知名学者和业界资深人士来校举办专场讲座。
一、苏州大学新闻传播学考研招生目录招生院系:传媒学院招生专业:050300新闻传播学研究方向:01(全日制)新闻学02(全日制)传播学考试科目:① 101思想政治理论② 201 英语一③ 610 新闻与传播专业综合能力④ 822 新闻与传播专业基础复试专业课:1、新闻学理论(01方向)或大众传播学理论(02 方向)(笔试)2、综合(面试)备注:不招同等学力考生二、苏州大学考研参考书目《新闻传播学概论》,苏州大学出版社2013年版;《大众传播学导论》,苏州大学出版社2013年版;《媒介文化通论》,江苏教育出版社2011年版。
三、苏州大学新闻传播学录取情况2018年新闻传播学录取最低分367,最高分390四、2018年苏州大学考研真题610 新闻与传播专业综合能力一、简答题(2*30=60分)1、自媒体的概念的和特征2、人工智能时代人与技术的关系二、论述题(30分)以微博热搜排行榜为例,说明议程设置的变化三、实践题(60分)根据以下材料,拟写一篇1000字左右的新闻评论。
苏州大学各专业考研分数线2023是多少苏州大学2023各专业考研分数线是多少注:箭头后方分数为院线复试线与国家线的差值硕士类型专业代码专业名称总分政治英语专业课一专业课二专业型硕士135108艺术设计371↑94050↑106060专业型硕士135107美术366↑44050↑106060专业型硕士135101音乐368↑640406060专业型硕士125500图书情报224↑26--52104--专业型硕士125400旅游管理167--4182--专业型硕士125300会计233↑36--51102--专业型硕士125200公共管理175--4488--专业型硕士125100工商管理167--4182--专业型硕士105500药学2963939117--专业型硕士105400护理320↑243939117--专业型硕士86101轨道交通运输27338385757专业型硕士86002制药工程307↑3438385757专业型硕士86001生物技术与工程27338385757专业型硕士85807清洁能源技术27338385757专业型硕士85705矿业工程27338385757专业型硕士85701环境工程27338385757专业型硕士85604纺织工程319↑4638385757专业型硕士85603冶金工程27338385757专业型硕士85602化学工程2733848↑105757专业型硕士85601材料工程27338385757学术型硕士140100集成电路科学与工程271↑636365454学术型硕士130500设计学365↑34050↑106060学术型硕士130400美术学364↑24050↑106060学术型硕士130200音乐与舞蹈学371↑940406060学术型硕士120500图书情报与档案管理370↑3047477171学术型硕士120404社会保障346↑647477171学术型硕士120400公共管理387↑4747477171学术型硕士13旅游管理34047477171学术型硕士10工商管理367↑2747477171学术型硕士120100管理科学与工程34047477171苏州大学2022各专业考研分数线是多少注:箭头后方分数为院线复试线与国家线的差值硕士类型专业代码专业名称总分政治英语专业课一专业课二专业型硕士135108艺术设计371↑1040406060专业型硕士135107美术363↑240406060专业型硕士135101音乐370↑940406060专业型硕士125300会计227↑34--50100--专业型硕士125200公共管理178--4590--专业型硕士125100工商管理170--4284--专业型硕士105500药学3094343129--专业型硕士105400护理324↑154343129--专业型硕士105300公共卫生322↑134343129--专业型硕士105200口腔医学389↑804343129--专业型硕士105102儿科学3094343129--专业型硕士105101内科学3094343129--专业型硕士95300风景园林321↑6933335050专业型硕士95134渔业发展334↑8233335050专业型硕士95133畜牧297↑4533335050专业型硕士86102道路交通运输309↑3638385757专业型硕士86101轨道交通运输274↑138385757专业型硕士86002制药工程314↑4138385757专业型硕士86001生物技术与工程278↑538385757专业型硕士85807清洁能源技术305↑3238385757苏州大学排名第几多少位全国2023苏州大学在全国大学排名中,位居36位,强于全国排名37位的西南交通大学,第38位的中国农业大学。
2022苏州大学在各省的录取分数线是多少2022苏州大学在各省的录取分数线苏州大学在吉林省(本科一批A段)理科最低录取分数线为530分,文科最低录取分数线为530分。
苏州大学在辽宁省(本科批)物理最低录取分数线为577分,历史最低录取分数线为591分。
苏州大学在内蒙古(本科一批)理科最低录取分数线为519分,文科最低录取分数线为545分。
苏州大学在河北省(本科批)物理最低录取分数线为578分,历史最低录取分数线为606分。
苏州大学在山东省(普通类一段,中外合作办学)综合最低录取分数线为578分。
苏州大学是什么档次1、苏州大学档次级别:211、省重点、保研资格、双万计划、一流学科建设高校、卓越法律、卓越工程师、卓越医生。
2、苏州大学硕士点:一级学科授权点:49个;专业硕士学位授权点:33个。
3、苏州大学博士点:一级学科授权点:31个;专业博士学位授权点:1个;博士后科研流动站:30个。
苏州大学一流专业有多少个学校目前开设132个本科专业,其中28个入选国家级一流本科专业,5个入选省级一流本科专业。
整理了部分名单,供大家选择:国家级:法学、教育学、法医学、建筑学、英语、美术学、软件工程、计算机科学与技术、临床医学、药学等。
省级:行政管理、电气工程及其自动化等。
根据“分线差”来选大学用“分线差”填报大学志愿是常用的一种方法,“分线差”指两种分数差,一种是院校招生最低分与省控线之差,另一种是考生分数与省控线之差,这两种“分线差”比较好理解,比较简单计算,我们通过数据对比很容易得出两种“分线差”高低,然后根据“分线差”选择出大学。
比如某个大学近三年招生最低分超省控线60分、65分、66分,而考生高考成绩高省控线75分,那考生就可以报考这所大学,若是高考成绩高于省控线60分,可60分却低于院校招生分数与省控线的“分线差”,那考生报考这所大学就比较危险,可能就不会被大学录取。
根据“分线差”数据可以一目了然地选出大学,但是“分线差”会因为高考试题难度、省控线高低、考生成绩高低而变化,当然也会根据大学招生人数、报考大学的人数而变化。