大学定积分期末复习经典题库
- 格式:ppt
- 大小:4.08 MB
- 文档页数:137
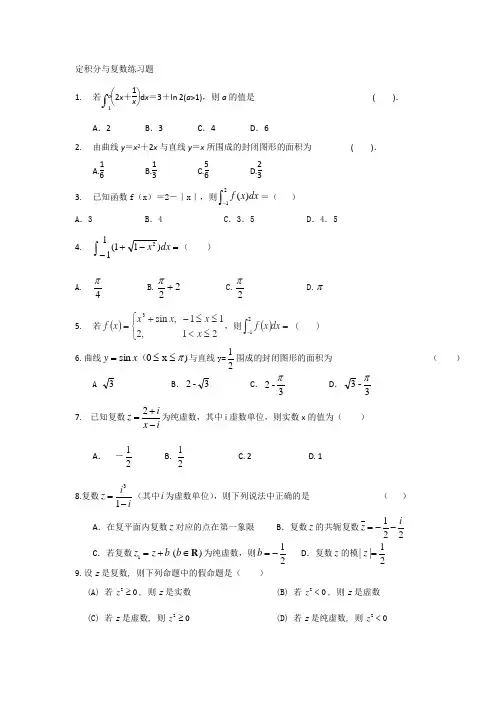
定积分与复数练习题1. 若⎠⎛1a ⎝⎛⎭⎫2x +1x d x =3+ln 2(a >1),则a 的值是 ( ).A .2B .3C .4D .62. 由曲线y =x 2+2x 与直线y =x 所围成的封闭图形的面积为 ( ).A.16B.13C.56D.233. 已知函数f (x )=2-|x |,则21()f x dx -⎰=( )A .3B .4C .3.5D .4.54. )D.π5. 若()⎩⎨⎧≤<≤≤-+=21 ,211 ,sin 3x x x x x f ,则()=⎰-dx x f 21 ( )6.曲线)x 0sin π≤≤=(x y 与直线y=21围成的封闭图形的面积为( ) A 3 B .3-2 C .3-2πD .3-3π7. 已知复数2iz x i +=-为纯虚数,其中i 虚数单位,则实数x 的值为( )A . -12 B. 12 C. 2 D. 18.复数31i z i =-(其中i 为虚数单位),则下列说法中正确的是 ( )A .在复平面内复数z 对应的点在第一象限B .复数z 的共轭复数122iz =--C .若复数1z z b =+()b ∈R 为纯虚数,则12b =-D .复数z 的模1||2z =9.设z 是复数, 则下列命题中的假命题是( )(A) 若20z ≥, 则z 是实数 (B) 若20z <, 则z 是虚数(C) 若z 是虚数, 则20z ≥ (D) 若z 是纯虚数, 则20z <10.设1z i =-(i 是虚数单位),则2z z+=( )A .2i -B .22i +C .2i +D .2 11.复数z =-3+i 2+i的共轭复数是( ) A .2+i B .2-i C .-1+i D .-1-i12.在复平面内,复数2121i (i )i+++对应的点位于 ( ) A .第一象限 B .第二象限 C .第三象限 D .第四象限13.设a >0,若曲线y =x 与直线x =a ,y =0所围成封闭图形的面积为a 2,则a =________.14.已知f (x )=⎩⎪⎨⎪⎧2x +1,x ∈[-2,2],1+x 2,x ∈[2,4]若⎠⎛k 3f (x )d x =403(k <2).则k =________. 15.10(2)x e x dx -=⎰____________________.16.设dx x a ⎰=π0sin ,则曲线()2x f x x aa x =+-在点))1(,1(f 处的切线的斜率为__________.17.已知复数),(R y x yi x z ∈+=,且5)21(=+z i ,则=+y x18.复数i 2(1-2i )的实部是19.在复平面内,复数2013i i 1i z =+-表示的点所在的象限是_ _ . 20.复数1i z i =+(i 是虚数单位)的模为 . 21.复数ii 215+的实部是 . 22.复数ii z 21-=的虚部是 . 23.求由曲线22y x =+与3y x =,0x =,2x =所围成的平面图形的面积。
定积分典范例题20例答案例1 求3321lim )n n n→∞+.剖析 将这类问题转化为定积分主如果肯定被积函数和积分高低限.若对标题中被积函数难以想到,可采纳如下办法:先对区间[0,1]n 等分写出积分和,再与所求极限比拟较来找出被积函数与积分高低限.解 将区间[0,1]n 等分,则每个小区间长为1i x n∆=,然后把2111n n n=⋅的一个因子1n乘入和式中各项.于是将所求极限转化为求定积分.即3321lim)n n n →∞+=31lim )n n n n →∞+=34=⎰.例2⎰=_________.解法 1 由定积分的几何意义知,⎰等于上半圆周22(1)1x y -+= (0y ≥)与x 轴所围成的图形的面积.故0⎰=2π.解法 2 本题也可直接用换元法求解.令1x -=sin t(22t ππ-≤≤),则0⎰=22tdt ππ-⎰=2tdt =2202cos tdt π⎰=2π 例3 (1)若22()x t xf x e dt-=⎰,则()f x '=___;(2)若0()()xf x xf t dt=⎰,求()f x '=___.剖析 这是求变限函数导数的问题,运用下面的公式即可()()()[()]()[()]()v x u x d f t dt f v x v x f u x u x dx''=-⎰. 解 (1)()f x '=422xxxe e ---;(2) 因为在被积函数中x 不是积分变量,故可提到积分号外即0()()xf x x f t dt =⎰,则可得()f x '=0()()xf t dt xf x +⎰.例4 设()f x 持续,且31()x f t dt x -=⎰,则(26)f =_________.解 对等式31()x f t dt x -=⎰双方关于x 求导得32(1)31f x x -⋅=,故321(1)3f x x -=,令3126x -=得3x =,所以1(26)27f =. 例5函数1()(3(0)xF x dt x =->⎰的单调递减开区间为_________.解()3F x '=-,令()0F x '<3>,解之得109x <<,即1(0,)9为所求.例6 求0()(1)arctan xf x t tdt =-⎰的极值点. 解 由题意先求驻点.于是()f x '=(1)arctan x x -.令()f x '=0,得x 故1x =为()f x 的极大值点,0x =为微小值点.例7 已知两曲线()y f x =与()y g x =在点(0,0)处的切线雷同,个中2arcsin 0()x t g x e dt -=⎰,[1,1]x ∈-,试求该切线的方程并求极限3lim ()n nf n→∞.剖析 两曲线()y f x =与()y g x =在点(0,0)处的切线雷同,隐含前提(0)(0)f g =,(0)(0)f g ''=.解 由已知前提得2(0)(0)0t f g e dt -===⎰,且由两曲线在(0,0)处切线斜率雷同知(0)(0)1f g =''===.故所求切线方程为y x =.而3()(0)3lim ()lim33(0)330n n f f n nf f n n→∞→∞-'=⋅==-. 例8 求 22000sin lim(sin )x x xtdtt t t dt→-⎰⎰;剖析 该极限属于00型不决式,可用洛必达轨则.解 22000sin lim (sin )x x xtdtt t t dt→-⎰⎰=2202(sin )lim (1)(sin )x x x x x x →-⋅⋅-=220()(2)limsin x x x x →-⋅-=304(2)lim 1cos x x x→-⋅-=2012(2)limsin x x x→-⋅=0.注 此处运用等价无限小调换和多次运用洛必达轨则. 例9 试求正数a 与b ,使等式201lim1sin x x x b x →=-⎰成立. 剖析 易见该极限属于00型的不决式,可用洛必达轨则.解2001lim sin x x x b x →-⎰=20x →=20lim 1cos x x x b x→→-2011cos x x b x →==-,由此可知必有0lim(1cos )0x b x →-=,得1b =.又由2011cos x x →==-, 得4a =.即4a =,1b =为所求. 例10 设sin 20()sin x f x t dt=⎰,34()g x x x =+,则当x →时,()f x 是()g x 的( ).A .等价无限小.B .同阶但非等价的无限小.C .高阶无限小. D .低阶无限小.解法1 因为 22300()sin(sin )cos lim lim()34x x f x x xg x x x →→⋅=+22011lim 33x x x →==. 故()f x 是()g x 同阶但非等价的无限小.选B .解法2 将2sin t 展成t 的幂级数,再逐项积分,得到sin 223370111()[()]sin sin 3!342x f x t t dt x x =-+=-+⎰,则344340001111sin (sin )sin ()1342342lim lim lim ()13x x x x x x f x g x x x x→→→-+-+===++.例11 盘算21||x dx -⎰.剖析 被积函数含有绝对值符号,应先去失落绝对值符号然后再积分.解 21||x dx -⎰=0210()x dx xdx --+⎰⎰=220210[][]22x x --+=52.注 在运用牛顿-莱布尼兹公式时,应包管被积函数在积分区间上知足可积前提.如33222111[]6dx x x --=-=⎰,则是错误的.错误的原因则是因为被积函数21x 在0x =处间断且在被积区间内无界.例12 设()f x 是持续函数,且10()3()f x x f t dt =+⎰,则()________f x =.剖析 本题只须要留意到定积分()baf x dx⎰是常数(,a b 为常数).解 因()f x 持续,()f x 必可积,从而10()f t dt ⎰是常数,记10()f t dt a =⎰,则()3f x x a =+,且110(3)()x a dx f t dt a +==⎰⎰.所以2101[3]2x ax a +=,即132a a +=,从而14a =-,所以 3()4f x x =-.例13 盘算21-⎰.剖析 因为积分区间关于原点对称,是以起首应斟酌被积函数的奇偶性.解 21-⎰=211--+⎰⎰.因为2是偶函数,,有10-=⎰, 于是21-⎰=2104⎰=04⎰=1044dx -⎰⎰ 由定积分的几何意义可知4π=⎰, 故2114444dx ππ-=-⋅=-⎰⎰.例14 盘算220()xd tf x t dt dx-⎰,个中()f x 持续. 剖析 请求积分上限函数的导数,但被积函数中含有x ,是以不克不及直接求导,必须先换元使被积函数中不含x ,然后再求导.解 因为220()xtf x t dt -⎰=22201()2xf x t dt -⎰.故令22x t u -=,当0t =时2u x =;当t x =时0u =,而2dt du =-,所以220()xtf x t dt -⎰=201()()2x f u du -⎰=201()2x f u du ⎰,故220()x d tf x t dt dx -⎰=201[()]2x d f u du dx ⎰=21()22f x x ⋅=2()xf x . 错误会答22()x d tf x t dtdx -⎰22()(0)xf x x xf =-=. 错解剖析 这里错误地运用了变限函数的求导公式,公式 中请求被积函数()f t 中不含有变限函数的自变量x ,而22()f x t -含有x ,是以不克不及直接求导,而应先换元. 例15 盘算30sin x xdx π⎰.剖析 被积函数中消失幂函数与三角函数乘积的情况,平日采取分部积分法.解 30sin x xdx π⎰30(cos )xd x π=-⎰330[(cos )](cos )x x x dx ππ=⋅---⎰30cos 6xdx ππ=-+⎰6π=-. 例16 盘算120ln(1)(3)x dx x +-⎰.剖析 被积函数中消失对数函数的情况,可斟酌采取分部积分法.解 120ln(1)(3)x dx x +-⎰=101ln(1)()3x d x+-⎰=1100111[ln(1)]3(3)(1)x dx x x x +-⋅--+⎰=101111ln 2()2413dx x x-++-⎰ 11ln 2ln324=-. 例17 盘算20sin x e xdx π⎰.剖析 被积函数中消失指数函数与三角函数乘积的情况平日要多次运用分部积分法.解 因为20sin xe xdx π⎰20sin xxde π=⎰2200[sin ]cos xx e x e xdx ππ=-⎰220cos x e e xdxππ=-⎰,(1) 而20sin 1x e xdx π=-⎰,(2)将(2)式代入(1)式可得20sin xe xdx π⎰220[sin 1]x e e xdx ππ=--⎰,故20sin xe xdx π⎰21(1)2e π=+.例18 盘算10arcsin x xdx ⎰.剖析 被积函数中消失反三角函数与幂函数乘积的情况,通经常运用分部积分法.解 10arcsin x xdx ⎰210arcsin ()2x xd =⎰221100[arcsin ](arcsin )22x x x d x =⋅-⎰21142π=-⎰. (1)令sin x t =,则201cos 22t dt π-==⎰20sin 2[]24t t π-4π=. (2) 将(2)式代入(1)式中得1arcsin x xdx =⎰8π.例19设()f x [0,]π上具有二阶持续导数,()3f π'=且[()()]cos 2f x f x xdx π''+=⎰,求(0)f '.剖析 被积函数中含有抽象函数的导数情势,可斟酌用分部积分法求解.解 因为0[()()]cos f x f x xdx π''+⎰0()sin cos ()f x d x xdf x ππ'=+⎰⎰()(0)2f f π''=--=.故 (0)f '=2()235f π'--=--=-. 例20 盘算243dxx x +∞++⎰. 剖析 该积分是无限限的的反常积分,用界说来盘算. 解 2043dx x x +∞++⎰=20lim43t t dx x x →+∞++⎰=0111lim ()213t t dx x x →+∞-++⎰ =011lim [ln ]23t t x x →+∞++=111lim (ln ln )233t t t →+∞+-+ =ln 32.。
一、选择题1. 设连续函数f (x )>0,则当a <b 时,定积分⎠⎛a bf (x )d x 的符号( ) A .一定是正的 B .一定是负的C .当0<a <b 时是正的,当a <b <0时是负的D .以上结论都不对解析: 由⎠⎛a bf (x )d x 的几何意义及f (x )>0,可知⎠⎛a b f (x )d x 表示x =a ,x =b ,y =0与y =f (x )围成的曲边梯形的面积.∴⎠⎛ab f (x )d x >0.答案:A 2. 若22223,,sin a x dx b x dx c xdx ===⎰⎰⎰,则a ,b ,c 的大小关系是( )A .a <c <bB .a <b <cC .c <b <aD .c <a <b解析:a =13x 3 |20=83,b =14x 4 |20=4,c =-cos x |20=1-cos2,∴c <a <b . 答案:D3. 求曲线y =x 2与y =x 所围成图形的面积,其中正确的是( )A .S =⎠⎛01(x 2-x )d xB .S =⎠⎛01(x -x 2)d xC .S =⎠⎛01(y 2-y )d yD .S =⎠⎛01(y -y )d y[答案] B[解析] 两函数图象的交点坐标是(0,0),(1,1),故积分上限是1,下限是0,由于在[0,1]上,x ≥x 2,故函数y =x 2与y =x 所围成图形的面积S =⎠⎛01(x -x 2)d x .4.11(sin 1)x dx -+⎰的值为( )A. 2B.0C.22cos1+D. 22cos1- 【答案】A 【解析】[][]1111(sin 1)cos (cos11)cos(1)12x dx x x --+=-+=-+----=⎰5. 由曲线22y x x =+与直线y x =所围成的封闭图形的面积为 ( )A .16B .13C .56D .23【答案】 A由22,x x x +=解得两个交点坐标为(-1,0)和(0,0), 利用微积分的几何含义可得封闭图形的面积为:23201111111((2)()|().32326S x x x dx x x --=-+=--=--=⎰ 二、填空题6. 已知f (x )=⎠⎛0x(2t -4)d t ,则当x ∈[-1,3]时,f (x )的最小值为________.解析: f (x )=⎠⎛0x(2t -4)d t =(t 2-4t )| x 0=x 2-4x =(x -2)2-4(-1≤x ≤3),∴当x =2时,f (x )min =-4.答案: -47. 一物体以v (t )=t 2-3t +8(m/s)的速度运动,在前30 s 内的平均速度为________. 解析:由定积分的物理意义有:s =3020(38)t t dt -+⎰=(13t 3-32t 2+8t )|300=7890(m).∴v =s t =789030=263(m/s).答案:263 m/s 三、解答题8.求下列定积分:(1)⎠⎛12⎝⎛⎭⎫x -x 2+1x d x ;(2)(cos e )d x x x π-⎰+;(3)⎠⎛49x (1+x )d x ;(4)⎠⎛0πcos 2x 2d x .解析: (1)⎠⎛12⎝⎛⎭⎫x -x 2+1x d x =⎠⎛12x d x -⎠⎛12x 2d x +⎠⎛121x d x =x 22| 21-x 33| 21+ln x |21=32-73+ln 2=ln 2-56. (2)(cos e )d x x x π-⎰+=00cosxd e d x x x ππ--+⎰⎰=sin x ||0-π+e x 0-π=1-1eπ. (3)⎠⎛49x (1+x )d x =⎠⎛49(x 12+x )d x =⎪⎪⎝⎛⎭⎫23x 32+12x 249=23×932-23×432+12×92-12×42=4516. (4)⎠⎛πcos 2x 2d x =⎠⎛0π1+cos x 2d x =12x |0π+12sin x |0π=π2.9. 已知函数f (x )=x 3+ax 2+bx +c 的图象如图:直线y =0在原点处与函数图象相切,且此切线与函数图象所围成的区域(阴影)面积为274,求f (x ).解:由f (0)=0得c =0, f ′(x )=3x 2+2ax +b . 由f ′(0)=0得b =0, ∴f (x )=x 3+ax 2=x 2(x +a ),由∫-a 0[-f (x )]d x =274得a =-3. ∴f (x )=x 3-3x 2.10.已知f (x )为二次函数,且f (-1)=2,f ′(0)=0,⎠⎛01f (x )d x =-2. (1)求f (x )的解析式;(2)求f (x )在[-1,1]上的最大值与最小值. 解析: (1)设f (x )=ax 2+bx +c (a ≠0), 则f ′(x )=2ax +b .由f (-1)=2,f ′(0)=0,得⎩⎪⎨⎪⎧ a -b +c =2b =0,即⎩⎪⎨⎪⎧c =2-ab =0.∴f (x )=ax 2+(2-a ).又⎠⎛01f (x )d x =⎠⎛01[ax 2+(2-a )]d x=⎣⎡⎦⎤13ax 3+(2-a )x | 10=2-23a =-2, ∴a =6,∴c =-4. 从而f (x )=6x 2-4.(2)∵f (x )=6x 2-4,x ∈[-1,1], 所以当x =0时,f (x )min =-4; 当x =±1时,f (x )max =2.B 卷:5+2+2一、选择题1. 已知f (x )为偶函数且61(),2f x dx =⎰则66()f x dx -⎰等于( )A .2B .4C .1D .-1解析:∵f (x )为偶函数,∴661()(),2f x dx f x dx -==⎰⎰∴6660()2() 1.f x dx f x dx -==⎰⎰答案:C2. (改编题)A . 3 B. 4 C. 3.5 D. 4.5 【答案】C【解析】2220202101102,0()2,()(2)(2)(2)|(2)|2,02232 3.5.2x x x x f x x f x dx x dx x dx x x x x ----≥⎧=-=∴=++-=++-⎨+<⎩=+=⎰⎰⎰3. 已知函数y =x 2与y =kx (k >0)的图象所围成的阴影部分的面积为92,则k 等于( )A .2B .1C .3D .4答案:C解析:由⎩⎪⎨⎪⎧y =x2y =kx 消去y 得x 2-kx =0,所以x =0或x =k ,则阴影部分的面积为 ∫k 0(kx -x 2)d x =(12kx 2-13x 3) |k 0=92. 即12k 3-13k 3=92,解得k =3. 4. 一物体在力F (x )=⎩⎪⎨⎪⎧10 (0≤x ≤2)3x +4 (x >2)(单位:N)的作用下沿与力F 相同的方向,从x=0处运动到x =4(单位:m)处,则力F (x )作的功为( )A .44B .46C .48D .50解析: W =⎠⎛04F (x )d x =⎠⎛0210d x +⎠⎛24(3x +4)d x =10x | 20+⎝⎛⎭⎫32x 2+4x | 42=46.答案:B5. 函数()x f 满足()00=f ,其导函数()x f '的图象如下图,则()x f 的图象与x 轴所围成的A .31 B .34 C .2 D .38 【答案】B【解析】由导函数()x f '的图像可知,函数()x f 为二次函数,且对称轴为1,x =-开口方向向上,设函数2()(0),(0)0,0.()2,f x ax bx c a f c f x ax b '=++>=∴==+因过点(-1,0)与(0,2),则有2(1)0,202,1, 2.a b a b a b ⨯-+=⨯+=∴==2()2f x x x ∴=+, 则()x f 的图象与x 轴所围成的封闭图形的面积为232032-22114(2)()|=2)(2).333S x x dx x x -=--=--⨯+-=⎰(- 二、填空题6.(改编题)设20lg ,0(),3,0ax x f x x t dt x >⎧⎪=⎨+≤⎪⎩⎰若((1))1,f f =则a 为 。
一、定积分的概念及其性质1、解:(1)22222222111lim()lim 1231()n n n k n n n n k n n n n n n n→∞→∞=+++⋅⋅⋅=+++++∑ 110201d arctan |14x x x π===+⎰; (2)11lim lim n n n k n n →∞→∞=++=1115lim 2ln 23n n k kx n →∞====-⎰;(3)limlim nnn n k k →∞→∞===注意到11111111111(1)(1)(1)(1)(1)nn n nk k k k k k k n n n n n n n n n n n ====+++≤≤+=+-+++∑∑∑又10113lim(1)(1)d 2nn k k x x n n →∞=+=+=∑⎰; 111111111111lim[(1)(1)(1)]lim (1)lim (1)lim (1)n n n n n n k k k n k n n n n n n n n n n n n n →∞→∞→∞→∞==+++-+++=+-+++∑∑13(1)d 002x x =+-+=⎰所以由夹逼准则,知13limlim 2nnn n k k →∞→∞====。
2、设函数 f (x ) 在[a , b ] 上连续, 且f (x )>0,证明:11ln(()d )ln ()d b ba af x x f x x b a b a ≥--⎰⎰。
证明:因为f (x ),ln f (x )在[a , b ]上连续,所以它们在[a , b ]可积,因此111()d lim ()nb i a n i f x x f b a n ξ→∞==-∑⎰ 111ln ()d lim ln ()nb i a n i f x x f b a n ξ→∞==-∑⎰其中i b aa i n ξ-=+,1,2,...,i n =。
定积分练习题一、基本概念题1. 计算定积分 $\int_{0}^{1} (3x^2 + 4) \, dx$。
2. 计算定积分 $\int_{1}^{2} (x^3 2x) \, dx$。
3. 设函数 $f(x) = x^2 3x + 2$,求 $\int_{1}^{3} f(x) \,dx$。
4. 已知函数 $g(x) = \sqrt{1 x^2}$,求 $\int_{1}^{1} g(x) \, dx$。
5. 计算 $\int_{0}^{\pi} \sin x \, dx$。
二、定积分的性质题6. 利用定积分的性质,计算 $\int_{0}^{2} (3x^2 + 4x) \,dx$。
7. 已知 $\int_{0}^{1} f(x) \, dx = 2$,求 $\int_{1}^{2}f(x) \, dx$。
8. 设 $f(x)$ 是奇函数,证明 $\int_{a}^{a} f(x) \, dx = 0$。
9. 已知 $\int_{0}^{1} (f(x) + g(x)) \, dx = 5$,$\int_{0}^{1} (f(x) g(x)) \, dx = 3$,求 $\int_{0}^{1} f(x) \, dx$ 和 $\int_{0}^{1} g(x) \, dx$。
三、定积分的计算题10. 计算 $\int_{0}^{\pi} x \cos x \, dx$。
11. 计算 $\int_{0}^{\frac{\pi}{2}} \ln(\sin x) \, dx$。
12. 计算 $\int_{1}^{e} \frac{1}{x} \, dx$。
13. 计算 $\int_{0}^{1} \frac{1}{\sqrt{1 x^2}} \, dx$。
14. 计算 $\int_{0}^{2} |x 1| \, dx$。
四、定积分的应用题15. 计算由曲线 $y = x^2$,直线 $x = 2$ 和 $y = 0$ 所围成的图形的面积。
定积分练习题(总14页)--本页仅作为文档封面,使用时请直接删除即可----内页可以根据需求调整合适字体及大小--题型1.定积分与极限的计算2.计算下列定积分3.计算下列广义积分内容一.定积分的概念与性质1.定积分的定义2.定积分的性质3.变上限函数及其导数4.牛顿—莱布尼茨公式5.换元积分公式与分部积分公式6.广义积分题型题型I 利用定积分定义求极限题型II比较定积分的大小题型III利用积分估值定理解题题型IV 关于积分上限函数以及牛顿—莱布尼茨公式问题 题型V 定积分的计算 题型VI 积分等式证明 题型VII 积分不等式证明 题型VIII 广义积分的计算自测题五1.根据极限计算定积分2.根据定积分求导3.求极限4.求下列定积分5.证明题4月21日定积分练习题基础题:一.选择题、填空题1.将和式的极限)0(.......321lim 1>+++++∞→p nn P pp p p n 表示成定积分 ( )A .dx x⎰101B .dx x p⎰1C .dx xp ⎰10)1(D .dx nxp ⎰10)(2.将和式)21.........2111(lim nn n n +++++∞→表示为定积分 . 3.下列等于1的积分是( )A .dx x ⎰1B .dx x ⎰+10)1(C .dx ⎰11D .dx ⎰10214.dx x |4|102⎰-= ( )A .321B .322C .323D .325 5.曲线]23,0[,cos π∈=x x y 与坐标周围成的面积( )A .4B .2C .25D .3 6.dx e e x x ⎰-+1)(=( )A .ee 1+B .2eC .e2D .ee 1-7.若10xm e dx =⎰,11e n dx x=⎰,则m 与n 的大小关系是( ) A .m n >B .m n <C .m n =D .无法确定8. 按万有引力定律,两质点间的吸引力221rm m kF =,k 为常数,21,m m 为两质点的质量,r 为两点间距离,若两质点起始距离为a ,质点1m 沿直线移动至离2m 的距离为b 处,试求所作之功(b >a ) .9.由曲线21y x =-和x 轴围成图形的面积等于S .给出下列结果: ①121(1)x dx --⎰;②121(1)x dx --⎰;③122(1)x dx -⎰;④0212(1)x dx --⎰.则S 等于( ) A .①③B .③④C .②③D .②④10.0(sin cos sin )x y t t t dt =+⎰,则y 的最大值是( ) A .1B .2C .72-D .011. 若()f x 是一次函数,且1()5f x dx =⎰,1017()6xf x dx =⎰,那么21()f x dx x⎰的值是 .12.⎪⎪⎩⎪⎪⎨⎧=≠⎰=0,0,)()(2x cx x dt t tf x F x,其中)(x f 在0=x 处连续,且0)0(=f 若)(x F 在 0=x 处连续,则=c ( )。
第五章定积分(A 层次)1.203cos sin xdx x ;2.a dx x ax222;3.31221xxdx ;4.1145x xdx ;5.411xdx ;6.14311xdx ;7.21ln 1e xx dx ;8.02222xxdx ;9.dx x 02cos 1;10.dx x x sin 4;11.dx x 224cos 4;12.55242312sin dx xxx x ;13.342sin dx xx ;14.41ln dx xx ;15.1xarctgxdx ;16.202cosxdx e x ;17.dx x x 02sin ;18.dx x e 1ln sin ;19.243cos cos dx x x ;20.40sin 1sin dx x x ;21.dx xxx 02cos 1sin ;22.2111lndx xx x ;23.dx xx 4211;24.20sin ln xdx ;25.211dx xxdx0。
(B 层次)1.求由0cos 0x y ttdtdte 所决定的隐函数y 对x 的导数dxdy 。
2.当x 为何值时,函数x tdt tex I 02有极值?3.x xdt t dxd cos sin 2cos 。
4.设1,211,12xx x x xf ,求20dx x f 。
5.1lim22xdtarctgt xx 。
6.设其它,00,sin 21xx xf ,求x dt t f x。
7.设时当时当0,110,11xex xxf x,求201dx xf 。
8.2221limnn nnn。
9.求nk nknknnen e 12lim 。
10.设x f 是连续函数,且12dt t f x x f ,求x f 。
11.若2ln 261xtedt ,求x 。
12.证明:212121222dxeex。
13.已知axxx dx ex axa x 224lim,求常数a 。
定积分期末考试题及答案一、选择题(每题4分,共20分)1. 若函数f(x)在区间[a, b]上连续,则定积分∫<sub>a</sub><sup>b</sup>f(x)dx的值:A. 总是存在B. 可能不存在C. 总是不存在D. 无法确定答案:A2. 计算定积分∫<sub>0</sub><sup>1</sup>x^2 dx的值是:A. 1/3B. 1/2C. 2/3D. 1答案:A3. 函数f(x)=x^3在区间[-1, 1]上的定积分值为:A. 0B. 2C. -2D. 1答案:A4. 若∫<sub>a</sub><sup>b</sup>f(x)dx =∫<sub>a</sub><sup>b</sup>g(x)dx,则f(x)和g(x)在区间[a, b]上的关系是:A. 相等B. 相等或相反C. 相等或相等的常数倍D. 无法确定答案:C5. 定积分∫<sub>0</sub><sup>π/2</s up>cos(x)dx的值是:A. 1B. 0C. π/2D. -1答案:B二、填空题(每题5分,共20分)1. 定积分∫<sub>0</sub><sup>1</sup>(2x+1)dx的值为______。
答案:3/22. 函数f(x)=x^2在区间[0, 2]上的定积分值是______。
答案:8/33. 计算定积分∫<sub>0</sub><sup>π</sup>sin(x)dx的值是______。
答案:24. 定积分∫<sub>-1</sub><sup>1</sup>|x|dx的值为______。
定积分测试题及答案班级: 姓名: 分数:一、选择题:(每小题5分)1.0=⎰( )A.0B.1C.π D 4π2(2010·山东日照模考)a =⎠⎛02x d x ,b =⎠⎛02e x d x ,c =⎠⎛02sin x d x ,则a 、b 、c的大小关系是( )A .a <c <bB .a <b <cC .c <b <aD .c <a <b3.(2010·山东理,7)由曲线y =x 2,y =x 3围成的封闭图形面积为( )A.112 B.14 C.13 D.7124.由三条直线x =0、x =2、y =0和曲线y =x 3所围成的图形的面积为( )A .4 B.43 C.185D .65.(2010·湖南师大附中)设点P 在曲线y =x 2上从原点到A (2,4)移动,如果把由直线OP ,直线y =x 2及直线x =2所围成的面积分别记作S 1,S 2.如图所示,当S 1=S 2时,点P 的坐标是( )A.⎝ ⎛⎭⎪⎫43,169B.⎝ ⎛⎭⎪⎫45,169C.⎝ ⎛⎭⎪⎫43,157D.⎝ ⎛⎭⎪⎫45,1376.(2010·湖南省考试院调研)1-1⎰ (sin x +1)d x 的值为( )A .0B .2C .2+2cos1D .2-2cos17.曲线y =cos x (0≤x ≤2π)与直线y =1所围成的图形面积是( )A .2πB .3π C.3π2D .π8.函数F (x )=⎠⎛0x t (t -4)d t 在[-1,5]上( )A .有最大值0,无最小值B .有最大值0和最小值-323 C .有最小值-323,无最大值 D .既无最大值也无最小值9.已知等差数列{a n }的前n 项和S n =2n 2+n ,函数f (x )=⎠⎛1x 1t d t ,若f (x )<a 3,则x 的取值范围是( )A.⎝ ⎛⎭⎪⎫36,+∞ B .(0,e 21) C .(e -11,e ) D .(0,e 11)10.(2010·福建厦门一中)如图所示,在一个长为π,宽为2的矩形OABC 内,曲线y =sin x (0≤x ≤π)与x 轴围成如图所示的阴影部分,向矩形OABC 内随机投一点(该点落在矩形OABC 内任何一点是等可能的),则所投的点落在阴影部分的概率是( )A.1πB.2πC.3πD.π411.(2010·吉林质检)函数f (x )=⎩⎨⎧x +2(-2≤x <0)2cos x (0≤x ≤π2)的图象与x 轴所围成的图形面积S 为( )A.32 B .1C .4D.1212.(2010·吉林省调研)已知正方形四个顶点分别为O (0,0),A (1,0),B (1,1),C (0,1),曲线y =x 2(x ≥0)与x 轴,直线x =1构成区域M ,现将一个质点随机地投入正方形中,则质点落在区域M 内的概率是( )A.12B.14C.13D.25二、填空题:(每小题5分) 13. 0π⎰sin x d x =______________14.物体在力F(x)=3x+4的作用下,沿着与F 相同的方向,从x=0处运动到x=4处,力F 所做的功为______________15.211()x x dx +=⎰______________16.10()x x e e dx -+=⎰______________17.(2010·芜湖十二中)已知函数f (x )=3x 2+2x +1,若1-1⎰f (x )d x =2f (a )成立,则a =________.18.(2010·安徽合肥质检)抛物线y 2=ax (a >0)与直线x =1围成的封闭图形的面积为43,若直线l 与抛物线相切且平行于直线2x -y +6=0,则l 的方程为______.19.(2010·福建福州市)已知函数f (x )=-x 3+ax 2+bx (a ,b ∈R )的图象如图所示,它与x 轴在原点处相切,且x 轴与函数图象所围成区域(图中阴影部分)的面积为112,则a 的值为________.20.如图所示,在区间[0,1]上给定曲线y =x 2,试在此区间内确定t 的值,使图中阴影部分的面积S 1+S 2最小为________.答案1.D 2D 3A 4A 5A 6B 7A 8B 9D 10 A 11C 12 C13.2 14.40 1532+ln 2 16.e-1e 17.-1或13 18.16x-8y+1=019.-1 20.14。
定积分期末考试题及答案一、选择题1. 以下哪个选项是定积分的基本性质?A. ∫[a,b] (f(x) + g(x)) dx = ∫[a,b] f(x) dx + ∫[a,b]g(x) dxB. ∫[a,b] f(x) dx = ∫[b,a] f(x) dxC. ∫[a,b] f(x) dx = ∫[a,c] f(x) dx + ∫[c,b] f(x) dxD. ∫[a,b] f(x) dx = ∫[a,b] f(-x) dx答案:A2. 如果函数f(x)在区间[a, b]上连续,那么下列哪个陈述是正确的?A. ∫[a,b] f(x) dx 总是存在B. ∫[a,b] f(x) dx 可能不存在C. ∫[a,b] f(x) dx 等于0D. ∫[a,b] f(x) dx 等于f(a) + f(b)答案:A二、填空题1. 定积分∫[0,1] x^2 dx 的值为 ______ 。
答案:1/32. 若∫[a,b] f(x) dx = 5,且 f(x) = 2x + 1,求 a 的值,当 b = 2。
答案:-1三、解答题1. 计算定积分∫[1,4] (3x^2 - 2x + 1) dx。
解:首先确定被积函数的原函数,即 F(x) = x^3 - x^2 + x。
然后根据定积分的定义,计算 F(4) - F(1)。
F(4) = 4^3 - 4^2 + 4 = 64 - 16 + 4F(1) = 1^3 - 1^2 + 1 = 1 - 1 + 1因此,∫[1,4] (3x^2 - 2x + 1) dx = F(4) - F(1) = 64 - 16 + 4 - (1 - 1 + 1) = 522. 已知函数 f(x) = x^2 + 3x + 2,求在区间 [0, 3] 上的定积分,并求出曲线 y = f(x) 与 x 轴围成的面积。
解:首先计算定积分∫[0,3] (x^2 + 3x + 2) dx。
原函数为 F(x) = (1/3)x^3 + (3/2)x^2 + 2x。
第四章 不定积分一、填空题1.若()d f x x ⎰是()f x 的原函数,则d[()d ]d f x x x ⎰= 2.若()F x 是'()F x 的原函数,则'()d F x x ⎰= 3.3d x ⎰= 4.2(2)d x x x +⎰= 5.21d x x ⎰= 6.6d x e x ⎰= 7.(3cos )d x e x x -⎰=8.42d 1x x x +⎰= 9.1d 32x x +⎰= 10.ln d xx x⎰= 11.2sin 2d x x ⎰= 12、7d x e x ⎰= 13.22d x xe x ⎰= 14.1d 12x x+⎰= 15.1d 12x x-⎰= 16.3sin d x x ⎰=17.设x e -是()f x 的一个原函数,则()d xf x x ⎰= 18.设()f x =xe -,则'(ln )d f x x x⎰= 二、单项选择题1.设3(57)d I x x =+⎰,则I =( ) A23(57)x c ++ B 26(57)x c ++ C41(57)20x c ++ D 41(57)10x c ++ 2.设3d x I a x =⎰,则I =( )A313ln xa c a+ B 31ln 3x a a c ⋅+ C 31ln x a c a + D 313x a c + 3.设2d 25xI x x =+⎰,则I =( ) A 21ln |25|2x c ++ B 25ln |25|2x c ++ C 21ln |25|5x c ++ D21ln |25|10x c ++ 4.设2cos d 3I x x =⎰,则I =( )A 22sin 33x c +B 32sin 23x c +C 32cos 23x c +D 22cos 33x c + 5.设sin cos d x I e x x =⎰,则I =( )A s in x e c +B sin x e c -+C cos x e c +D cos x e c -+ 6.设41d I x x =⎰,则I =( ) A 54x c --+ B 313c x -+ C 313x c -+ D 313x c -+7.设sin cos d I x x x =⎰,则I =( )A 21sin 2x c -+B 21cos 2x c +C 1cos 24x c +D 1cos 24x c -+8.若22()d x f x x x e c =+⎰,则()f x =( )A 22x xeB 222x x eC 2x xeD 22(1)x xe x + 9.设ln d I x x =⎰,则I =( )A1c x + B ln x x c + C ln x x x c -+ D 21(ln )2x c + 10.设=arctan d I x x I =⎰,则( )A 2arctan ln 1x x x c -++B 2arctan ln 1x x x c -++C ()21arctan 12x x x c +++ D 211c x ++ 11.设sin d I x x x =⎰,则I =( )A cos sin x x x c ++B cos sin x x x c -++C sin sin x x x c -++ Dcos sin x x x c -+12.设()d ()f x x F x c =+⎰,则()d x x e f e x --=⎰( )A ()xF e c + B ()xF e c --+ C ()xF e c -+ D()x F e c x-+ 三、计算题 1.52(2)d x x -⎰ 2.22d 1xx x+⎰ 3.12d xe x x ⎰4.3sin d x x ⎰ 5.1d x xx e e-+⎰6、1d x x x +⎰ 7.321d x x x+⎰8.322(1)d x x --⎰ 9.221d (1)x x +⎰10.22d x a x x-⎰ 11.21d 94x x -⎰12.21d 967x x x -+⎰13.2ln(1)d x x +⎰ 14.d x xe x ⎰ 15.csc cos d x x ⎰ 16.2ln d x x x ⎰17.2d x x e x -⎰ 18.32(ln )d x x x ⎰ 19.sin d x e x x ⎰ 20.3sec d x x ⎰ 21.d x e x ⎰ 22.ln ln d xx x⎰23.sin cos d x x x x ⎰ 24.2ln d x x x ⎰第五章 定积分及其应用一、填空题1.由[],a b 上连续曲线()y f x =,直线(),x a x b a b ==<和x 轴围成的图形的面积为2.()2d sin 1d d ba x x x +=⎰3.设()11d xF x t t =+⎰,则()F x '=4.利用定积分的几何意义求10d x x =⎰ 5.积分1213ln d x x x ⎰值的符号是6.定积分()4520sinsin d x x x π-⎰值的符号是7.积分211I ln d x x =⎰与2221I ln d x x =⎰的大小关系为8.积分413I ln d x x =⎰与4223I ln d x x =⎰的大小关系为9.区间[][],,c d a b ⊂,且()0f x >,则()1I d b af x x =⎰与()2I d dcf x x =⎰的大小关系为10.()f x 在[],a b 上连续,则()d baf x x =⎰ ()d abf x x ⎰11.若在区间[],a b 上,()0f x ≥,则()d baf x x ⎰ 012.定积分中值定理中设()f x 在[],a b 上连续,则至少存在一点(),a b ξ∈,使得()f ξ=13.设()20d ,0x t F x e t x =>⎰,则()F x '=14.220d sin d d 1cos x tt x t=+⎰ 15.设()()()33sin d ,x F x t t x ϕϕ=⎰可导,则()F x '=16.201d limx x t t x→+=⎰17.02sin d limx x t t x→=⎰18.设()()01d xf x t t t =-⎰,则()f x 的单调减少的区间是19.函数()23d 1x tf x t t t =-+⎰在区间[]0,1上的最大值是 ,最小值是 20.设()3131sin d x f x t t +=⎰,则()f x '=21.设()F x 是连续函数()f x 在区间[],a b 上的任意一个原函数,则()d b af x x =⎰ 22.1023d x x x ⋅=⎰23.sin 22cos d x xe x ππ-=⎰24.设()f x '在[]1,3上连续,则()()321d 1f x x f x '=+⎰25.221sin d x x ππ-=⎰26.20cos d x x π=⎰27.2101d 1x x e x e -=-⎰28.20sin d x x π=⎰29.21d 1lne xx x=+⎰30.23545sin d 1x xx x -=+⎰ 31.设()f x 在[],a a -上连续,则()()sin d aax f x f x x -+-=⎡⎤⎣⎦⎰ 32.设()21,0,0x x f x x x +<⎧=⎨≥⎩,则()11d f x x -=⎰33.设()[]cos ,,02,0,1x x x f x e x π⎧⎡⎫∈-⎪⎪⎢=⎣⎭⎨⎪∈⎩,计算()12d f x x π-=⎰ 34.若广义积分11d q x x +∞⎰发散,则必有q 35.若广义积分101d p x x⎰收敛,则必有p36.反常积分2d x xe x +∞-=⎰37.121d 1x x=-⎰38.曲线22,y x y x ==所围成的图形的面积为39.曲线1sin 2,1,0,22y x y x x π====所围成的图形的面积为二、单项选择题1.函数()[]0,,f x x a b ≥∈且连续,则()y f x =,x 轴,x a =与x b =围成图形的面积s =( ) A .()d baf x x⎰B .()d baf x x⎰C .()d baf x x ⎰D .()()()2f b f a b a +-⎡⎤⎣⎦ 2.413I ln d x x =⎰,4223I ln d x x =⎰,则1I 与2I 大小关系为( )A .≥B .≤C .>D .< 3.()f x 连续,()0I d s t t f tx x =⎰,则下列结论正确的是( )A .I 是s 和t 的函数B .I 是s 的函数C .I 是t 的函数D .I 是常数4.()f x 连续且满足()()2,0f x f a x a =-≠,c 为任意正数,则()d ccf a x x --=⎰( )A .()022d c f a x x -⎰ B .()22d c cf a x x --⎰ C .()02d cf a x x -⎰ D .05.()f x 连续,()()d xe xF x f t t -=⎰,则()F x '=( )A .()()x x e f e f x ----B .()()x x e f e f x ---+C .()()x x e f e f x ---D .()()x x e f e f x --+6.设()2I sin d x xx t t =⎰,则()I x '=( )A .2cos cos x x -B .22cos cos x x x - C .22sin sin x x x -D .22sin sin x x x +7.当0x →时,()sin 20sin d xf x t t =⎰与()34g x x x =+比较是( )A .高阶无穷小B .低阶无穷小C .同阶但非等价无穷小D .等价无穷小8.()(),f x x φ在点0x =的某邻域内连续,且当0x →时,()f x 是()x φ的高阶无穷小,则0x →时,()0sin d xf t t t ⎰是()0d xt t t φ⎰( )A .低阶无穷小B .高阶无穷小C .同阶但不等价无穷小D .等价无穷小9.()f x 为连续的奇函数,又()()0d xF x f t t =⎰,则()F x -=( )A .()F xB .()F x -C .0D .非零常数 10.设()()2d 2xx F x f t t x =-⎰,f 连续,则()2lim x F x →=( )A .0B .2C .()22fD .()2f 11.设()f x 连续,0x >,且()()221d 1x f t t x x =+⎰,则()2f =( )A .4B .2212-C .3212+ D .1222-12.设()f x ''在[],a b 上连续,且()(),f a b f b a ''==,则()()d baf x f x x '''=⎰( )A .a b -B .()12a b - C .22a b - D .()2212a b - 13.若()()2021d ,0,0x t e tx f x x a x ⎧-⎪≠=⎨⎪=⎩⎰,且已知()f x 在0x =点连续,则必有( ) A .1a = B .2a = C .0a = D .1a =- 14.设xe t =,则1d x xxe x e e -=+⎰( )A .1d et tt t -+⎰B .1d 1et t+⎰C .211d 1et t+⎰D .11d ett t t-+⎰15.()f x 在给定区间连续,则()320d ax f x x =⎰( )A .()01d 2axf x x⎰ B .()21d 2a xf x x ⎰C .()22d a xf x x ⎰D .()0d axf x x ⎰16.积分1ln d exx x⎰的值是( ) A .2122e - B .21122e - C .12 D .1-17.若()4d 2xx f t t =⎰,则()401d f x x x=⎰( )A .16B .8C .4D .2 18.积分121d x x -⎰的值是( )A . 0B .1C .12D.219.曲线1,,2y y x x x===所围平面图形的面积为( )A .211d x x x ⎛⎫- ⎪⎝⎭⎰B .211d x x x ⎛⎫- ⎪⎝⎭⎰C .()221112d 2d y y y y ⎛⎫-+- ⎪⎝⎭⎰⎰ D .()221112d 2d x x x x ⎛⎫-+- ⎪⎝⎭⎰⎰20.曲线x y e =与其过原点的切线及y 轴所围平面图形的面积为( )A .()10d x e ex x-⎰ B .()1ln ln d ey y y y-⎰C .()1d exx exe x -⎰D .()1ln ln d y y y y -⎰21.在区间[],a b 上()()()0,0,0f x f x f x '''><>,令()()()()()()1231d ,,2ba s f x x s fb b a s f b f a b a ==-=+-⎡⎤⎣⎦⎰,则有( ) A .123s s s << B .213s s s << C .312s s s << D .231s s s << 22.曲线cos ,22y x x ππ=-≤≤与x 轴围成的平面图形绕x 轴旋转一周而成的旋转体体积等于( )A .2πB .πC .212π D .2π23.曲边梯形()0,f x y a x b ≤≤≤≤,绕x 轴旋转而成的旋转体体积为( )A .()2d baxf x x π-⎰ B .()2d bafx x π⎰ C .()d ba xf x x -⎰D .()2d baf x x ⎰24.曲线()2ln 1y x =-上满足102x ≤≤的一段弧的弧长为( ) A .12221d 1x x x +-⎰B .2122011d 1x x ⎛⎫+ ⎪-⎝⎭⎰C .12221d 1xx x -+-⎰D .()122201ln 1d x x ⎡⎤+-⎣⎦⎰25. 一无限长直线放在正实轴上,其线密度x e ρ-=,则其质量M =( )A .eB .∞C .1 D.226.一变力212F x =把一物体从0.9x =推到 1.1x =,它所做的功W =( ) A . 1.120.912d x x ⎰ B .0.22012d x x ⎰ C . 1.220.912d x x x ⋅⎰ D .0.22012d x x x⋅⎰ 三、证明题1.设()f x 是连续函数,证明:()()()10d d b a f x x b a f a b a x x =-+-⎡⎤⎣⎦⎰⎰ . 2.设()f x 是连续函数,证明:()()2321d d ,02a a x f x x xf x x a =>⎰⎰.3.设()f x 是连续函数,证明:()()200sin d sin d f x x f x x ππππ=⎰⎰.4.证明不等式()52441sin d 2x x ππππ≤+≤⎰.四、计算题 1.()1001lim 1sin 2d xux u u x →+⎰2.2001limarctan d xx u u x →⎰3.2001lim cos d xx u u x →⎰4.求21sin d xt t ⎰的导数.5.()()ln 1d xxf x t t φ=⎰,()t φ为连续函数,求()f x '.6.求函数()()()212d xu f x u u e u -=--⎰的极值点.7.计算()2d xe x x -⎰8.计算()24111d xx x-⎰ 9.计算()12032d x x x +-⎰10.计算6251d 2x x x+⎰11.计算94d 1xx x -⎰ 12.计算2541d 1x x+⎰13.计算1d xe x ⎰14.计算ln 21d x e x -⎰15.计算21211sin d x x xππ⎰ 16.计算161d 9x x x +-⎰17.计算311d 1lne x x x+⎰18.计算()251d x x -⎰19.计算1d x xe x -⎰20.计算()113d x x x -⎰21.计算40sin d x x x π⎰22.计算()1ln 1d x x +⎰23.计算()2211ln d e x x x⎰24.计算2222d x xe x --⎰25.计算221d 1x x +∞-⎰26.计算1ln d x x x⎰27.计算()11d 21x x x--⎰28.求曲线22235,1y x x y x =+-=-围成的平面图形的面积. 29.求曲线231,53y x y x =-=-围成的平面图形的面积. 30.求曲线6,7xy x y =+=围成的平面图形的面积. 31.求曲线ln ,0,y x y x e ===围成的平面图形的面积.32.求曲线,,0x y e y e x ===围成的平面图形的面积. 33.求曲线22235,1x y y x y =+-=-围成的平面图形的面积. 34.求曲线()22,0,0,0y px y x a p a ===>>围成的平面图形绕x 轴旋转而形成的旋转体的体积.35.求曲线2xy a =,0y =,x a =,()20x a a =>围成的平面图形绕x 轴旋转而形成的旋转体的体积.36.求曲线2y x =,2x y =围成的平面图形绕y 轴旋转而形成的旋转体的体积. 37.分别求曲线3y x =,0y =,2x =围成的平面图形绕x 轴,y 轴旋转而成的旋转体的体积.38.求曲线3223y x =上相应于x 从a 到b 的一段弧的长度.39.求()()sin 1cos x a y a θθθ=-⎧⎪⎨=-⎪⎩的一拱()02θπ≤≤的长度. 40.求阿基米德螺线(0)r a a θ=>相应于θ从0到2π的一段弧的弧长. 41.圆柱形的水桶高为5m ,底圆半径为3m ,桶内盛满了水,试问要把桶内的水全部吸出需做多少功?第四章 不定积分 答案一、填空题1.()f x 2.()F x C + 3. 3x C +4.321ln 23x C x ++ 5. 1C x -+ 6. 6x e C + 7. 3sin x e x C -+8.3arctan 3x x x C -++9. 1ln 322x x C ++ 10.21ln 2x C + 11. cos 2x C -+ 12. 717x e C + 13. 2x e C +14. 1ln 122x C ++ 15. 12x C --+16. 31cos cos 3x x C -++17. ()1x e x C -++ 18. 1C x+二、单项选择题1.C 2.A 3.D 4.B 5.A 6.B 7.D 8.D 9.C 10.A 11.B 12.B 三、计算题1.()()()57222I 2d 227x x x C =---=--+⎰2.()()2221I d 1ln 11x x C x=+=+++⎰3.111I d x xe e C x ⎛⎫=-=-+ ⎪⎝⎭⎰()22334.I sin sin d 1cos d cos 11cos cos cos cos 33x x x x xx x C x x C=⋅=--⎛⎫=--+=-+ ⎪⎝⎭⎰⎰ 5. ()()22d I d arctan 11xxx x x e e x e C e e ===+++⎰⎰ 6. 令1t x =+()()()()242532322I 12d 2d 2222115353t t t t t t tt t C x x C =-⋅⋅=-=-+=+-++⎰⎰ 7. 令6t x =()5223421113666d d -1+1I d 66d 11161d 6d 1366ln 1366ln 1t t t t t t tt t t t t t t t t t t C x x x C===+++=-++=-+++=-+++⎰⎰⎰⎰⎰ 8. 令sin x t =()()322222I 1sin cos d cos d sec d tan 1t t t t tx t t t C Cx--=-===+=+-⎰⎰⎰9.令tan x t =()()2222422sec d sec I d cos d sec 1tan 1111cos 2d sin 2224111sin cos arctan 2221t ttt t t tt t t t t C x t t t C x C x ===+=+=++⎛⎫=++=++ ⎪+⎝⎭⎰⎰⎰⎰ 10. 令sec x a t =()()()22222222sec 1I sec tan d tan d sec sec 1d tan arccos arccos a t a t t t a t ta ta t t a t t Cx a a a a C x a a C a x x -=⋅==-=-+⎛⎫-=-+=--+ ⎪ ⎪⎝⎭⎰⎰⎰2sec 32222sect an d d 1311. I 2sec 132121sec tan 1d sec d 3tan 311394ln sec tan ln 3322x tt t t xt x t t t t t t x t t C x C ===-⎛⎫- ⎪⎝⎭==-=++=++⎰⎰⎰⎰令12. ()()22d 3111I ln 9673133316x x x x C x -==-++-+-+⎰()()()()2222213. I ln 1dln 12ln 1d 1ln 122arctan x x x x xx x xx xx x x x C =+-+=+-+=+-++⎰⎰ 14. I d d x x x x x x e xe e x xe e C ==-=-+⎰⎰()2222 I arccos d arccos arccos d 111arccos d 121arccos 1x x x x xx x xx x x x x x x x C15. =- =+- =--- =--+⎰⎰⎰ 16. 211111I ln d ln d ln x x x x C x xx x x ⎛⎫=-=-+=--+ ⎪⎝⎭⎰⎰()2222217.I d 2d 2d 22d 22x x x x xx x x x x e x e xe x x e x e x e xe e x x x e C--------- =-=-+ =-- =--+ =---+⎰⎰⎰⎰4442244232442444244118. I (ln )d (ln )(2ln )d 44411(ln )ln d (ln )ln d 4248111(ln )ln d 48811(ln )ln 4832x x x x x x xxx x x x x x x x x x x x x x xx x x x x x C==- =-=- =-+⋅ =-++⎰⎰⎰⎰⎰19.I sin d sin cos d sin cos d sin cos d cos (sin cos )sin d 1sin d (sin cos )2x x x x xx x x x x x xx e e x e x x e x x e e x e x e x e x x e x x e x x e x x C ==- =- =-+ =--∴=-+⎰⎰⎰⎰⎰⎰()2233320.I sec sec d sec d tan sec tan tan tan sec d sec tan (sec -1)sec d sec tan sec d sec d sec tan sec d ln sec tan 1sec d sec tan ln sec tan 2x x x x xx x x x x x x x x x x x x x x x x x x x x x x x x x x x x C =⋅= =-⋅⋅ =- =-+ =-++∴=+++⎰⎰⎰⎰⎰⎰⎰⎰21. t xI=2d 2d 22d 2222t t t t t t x x e t t t e te e tte e C xe e C==-=-+=-+⎰⎰⎰令=()()()()22.I ln ln dln ln ln ln ln d ln ln 11ln ln ln ln d ln ln ln ln ln x x x x x x x x xx x xx x x C ==- =- =-+⎰⎰⎰23. ()cos 2sin 2I d cos 2448x x x xx C =-=-++⎰ 24. 333ln I ln d 339x x x x x C ⎛⎫==-+ ⎪⎝⎭⎰第五章 定积分及其应用 答案一、填空题1.()d ba f x x ⎰ 2.0 3. 1x -+ 4.125.负6.正7. 12I >I8. 12I <I9. 12I >I10.- 11. ≥ 12. ()d ba f x xb a-⎰ 13.2xxe14. 222sin 21cos x x x + 15.()()3sin x x φφ'-⎡⎤⎣⎦16.1 17.1 18. ()0,1 19. ()()31,003f f π== 20. ()3233sin 1x x +21. ()()F b F a - 22.5ln 6 23. 1e e- 24. ()()arctan 3arctan 1f f - 25.1 26.2π27. 2e - 28.4 29. 232- 30.0 31.032. 56 33.e 34. 1≤ 35.<36. 12 37. 2π 38. 13 39. 122π-二、单项选择题1.A 2.D 3.B 4.C 5.A 6.C 7.C 8.B 9.A 10.C 11.C 12.D 13.C 14.C 15.B 16.C17.A 18.B 19.B 20.A 21.B 22.C 23.B 24.A 25.C 26.A 三、证明题1.证:令()u a b a x =+-,则()d d u b a x =-,所以()()()()111000d d d b a f a b a x x f u u f x x -+-==⎡⎤⎣⎦⎰⎰⎰2.证:令2u x =,则d 2d u x x =,所以()()()223200011d d d 22aa a x f x x uf u u xf x x ==⎰⎰⎰ 3.证:令u x π=-,则d d u x =-,则()()()()()22002sin d sin d sin d xf x x u f u u x f x xππππππ=-=-⎰⎰⎰()()()()()()()202222000sin d sin d sin d sin d sin d sin d xf x x xf x x xf x xxf x x x f x x f x xπππππππππ=+=+-=⎰⎰⎰⎰⎰⎰ 所以4.证:5,44x ππ⎛⎫∈ ⎪⎝⎭,有20sin 1x ≤≤,所以211sin 2x ≤+≤()55524444441d 1sin d 2d 2x x x x ππππππππ=≤+≤=⎰⎰⎰四、计算题1.解:()()0sin2sin211lim2sin200I lim 1sin 2lim 1sin 2x x x xxxxx x x x ee →→→⎡⎤=+=+==⎢⎥⎣⎦2.解:2001arctan 11I lim lim 222x x x x x →→+===3.解:20I limcos 1x x →==4.解:221d sin d sin d x t t x x=⎰ ()()()()()()()()ln ln 111ln 2d d 5.d d d d d d d d d d d 11ln ln 111ln x ax a x x xxa a t t t t t t x x t t t tx x x x x x x x x xφφφφφφφφφ⎡⎤=+⎢⎥⎣⎦=-+'⎛⎫⎛⎫'=-⋅+⋅ ⎪ ⎪⎝⎭⎝⎭⎛⎫=+ ⎪⎝⎭⎰⎰⎰⎰⎰解:6.解:由()()()2120x f x x x e -'=--=, 得驻点121,2x x ==,由()()()()223212xf x x x x x e -''=----⎡⎤⎣⎦,得()()4110,20f f e e-''''=-<=>,所以11x =为()f x 的极大值点,22x =为()f x 的极小值点.7.解:22201I 32x e x e ⎛⎫=-=- ⎪⎝⎭8.解:344211122I 2d 2233x x x x x x ⎛⎫⎛⎫=-+=-+= ⎪ ⎪⎝⎭⎝⎭⎰9.解:23101I 222x x x ⎛⎫=+-=- ⎪⎝⎭10.解:66551111121I d ln ln 2222220x x x x x ⎛⎫=-== ⎪++⎝⎭⎰ 11.解:令u x =,则2,d 2d x u x u u ==()233222321I 2d 21d 1122ln 172ln 2u u u u u u u u u ⎛⎫==++ ⎪--⎝⎭⎡⎤=++-=+⎣⎦⎰⎰ 12.解:令1u x =+,则()()21,d 21d x u x u u =-=-()()66331I 2d 2ln 23ln 2u u u u u-==-=-⎰13.解:令u x =,则2,d 2d x u x u u ==()110I 2d 21e 2u uue u u ==-=⎰14.解:令1x u e =-,则()222ln 1,d d 1ux u x u u=+=+ ()21110220021I d 21d 2arctan 2112u u u u u u u π⎛⎫==-=-=- ⎪++⎝⎭⎰⎰ 15.解:令1u x =,则21d d x u u=- 22I sin d cos 1u u uππππ==-=⎰16.解:()()3316162201122I 9d 9129933x x x x x ⎡⎤=++=++=⎢⎥⎣⎦⎰17.解:令1ln u x =+,则1d d u x x=44111I d 22u u u===⎰18.解:令1u x =-,则d d x u =-115556611110111I d d d 663u u u u u u u u ---==-+=-+=⎰⎰⎰()()()1111111019. I d d d 21xxxx x x e xee x e ex e e e------- =-=---=-+=-+-=-⎰⎰⎰解:()()()1110001021120. I 1d3133d ln3ln311ln3213ln3ln3ln3x x xx x x x ⎡⎤ =-=--⎢⎥⎣⎦-⎛⎫=-= ⎪⎝⎭⎰⎰解:4440221. I d cos cos cos d 124x x x x x x ππππ⎛⎫ =-=-+=- ⎪⎝⎭⎰⎰解: ()()1110022. I ln 1d ln 2ln 112ln 21x x x x x x x=+-=--+⎡⎤⎣⎦+ =-⎰解:()()()2222222221111111223. I 2ln d 2ln ln d 188ln d 88ln d 8161682e e e e e e e x x x x x x x e x x e x x x x e e xe ⎡⎤ ==-⎢⎥⎣⎦⎛⎫=-=-- ⎪⎝⎭=-+=-⎰⎰⎰⎰解:24.解:令2xu =-,则-2,d 2d x u x u ==-,所以()()1221111I 8d 82285u uu e u u u e e e ---==-+=-⎰25.解:因为22221111111111d d ln ln ln 1211212123bb b x b x x x x x x b --⎛⎫=-==- ⎪--+++⎝⎭⎰⎰,所以2211111lim d lim ln ln3ln312122bb b b x x b →+∞→+∞-⎡⎤=+=⎢⎥-+⎣⎦⎰, 所以1I ln 32=26.解:0x =为瑕点,由分部积分法有()()11001101ln d lim ln d 21lim 2ln 2d lim -2ln 44xx x x x x x x x xεεεεεεεεε+++→→→=⎛⎫=- ⎪⎝⎭=-=-⎰⎰⎰ 27.解:1x =为瑕点,令1t x =-, 则21,d 2d x t x t t =-=-,()()()11012210011d lim d 212122lim d lim d 112lim arctan1arctan 2x xx xx xt t t t t tεεεεεεεπε++++-→→→→=-----==++⎡⎤=-=⎣⎦⎰⎰⎰⎰ 28.解:两曲线交点为(-2,-3)和(1,0),由图可知,所求面积为()()()112222223121235d 633d 3613.52S x x x x x x x x x x ---⎡⎤=--+-=--⎣⎦⎛⎫=--= ⎪⎝⎭⎰⎰29.解:两曲线交点为(-2,11)和(1,2),由图可知,所求面积为 ()()()11222223125331d 633d 3613.52S x x x x x x x x x ---⎡⎤=---=--⎣⎦⎛⎫=--= ⎪⎝⎭⎰⎰30.解:两曲线交点为(1,6)和(6,1),由图可知,所求面积为 ()62611617d 76ln 217.56ln 6 6.749S x x x x x x ⎡⎤⎛⎫=--=-- ⎪⎢⎥⎣⎦⎝⎭=-≈⎰ 31.解:由图可知,所求面积为()11ln d ln 11eeS x x x x ==-=⎰32.解:由图可知,所求面积为()()1100d 1x x Se e x ex e =-=-=⎰33.解:两曲线交点为(-3,-2)和(0,1),由图可知,所求面积为()()1222312231235d 613.52S y y y y y y y --⎛⎫⎡⎤=--+-=--= ⎪⎣⎦⎝⎭⎰ 34.解:2202d aax V px x px pa πππ===⎰35.解:42423211d 2aa x aaa V x a a x xπππ==-⋅=⎰36.解:两曲线交点为(0,0),(1,1),114251000113d d 2510y V y y y y y y ππππ⎛⎫=-=-= ⎪⎝⎭⎰⎰ 37.解:22262d d 187x V y x x x πππ===⎰⎰25882833032d d 412.85y V y y y y y ππππ⎛⎫=-=-= ⎪⎝⎭⎰⎰38.解:12y x '=,则212d 1d 1d s x x x x ⎛⎫=+=+ ⎪⎝⎭,所以 ()()()333222221d 11133b ba aS x x x b a ⎡⎤⎡⎤=+=+=+-+⎢⎥⎢⎥⎣⎦⎣⎦⎰yx1-2132-=x y x y 35-=()()222239.d 1cos sin d 21cos d 2sind 2s a a a a θθθθθθθ=-+=-=解:所以22002sin d 22cos 822s a a a ππθθθ⎡⎤==-=⎢⎥⎣⎦⎰40.解:2222d d 1d s a a a θθθθ=+=+ 所以()222201d 214ln 2142as πθθππππ⎡⎤=+=++++⎢⎥⎣⎦⎰41.解:做x 轴如图所示,深度设为x ,[]0,5x ∈,相应于[]0,5上任一小区间[],d x x x +的一薄层水的高度为d x ,水的比重为39.8/kN m ,所以薄层水重力为29.83d x π⋅,这薄层水吸出桶外需做功 2d 9.83d W x x π=⋅⋅,所以所求功为()5525d 88.2d 88.234622W W x x kJ ππ===⋅≈⎰⎰28题图y x1-2 21x y -= 15322-+=x x y -531题图29题图30题图yx0 x y ln =1 e yx 66=xy 7=+y x 632题图33题图yxx e y =1 e1yx 2-321y x -=5322-+=y y x。
大一高数定积分经典题目定积分是高数学中的一个重要内容,也是很多学子在学习中感到困难的知识点。
本文将简要介绍定积分的概念,并探讨定积分的经典题目,以帮助学子们更好地理解和掌握定积分。
首先,让我们来看看定积分:它是求一定区间内函数f(x)在这一区间内积分的积分值。
在数学中,积分是求某一函数在一定区间内经过某种转换,推出另一函数的过程。
一般来说,定积分的求解是通过变量分离的方法来解决的,即将原来的积分拆解成两个子积分,然后分别求解。
接下来,我们来看看定积分的经典题目,这些题目很好地演示了定积分的概念以及求解过程:1.解下列定积分:$$int_{0}^{1} x^2,dx$$解:我们将$x^2$使用变量分离的方法分解,可得:$$int_{0}^{1} x^2,dx = int_{0}^{1}x cdot x,dx$$ 求出这两个子积分,即可得出本题答案:$$ int_{0}^{1}x ,dx = frac{1}{2}x^2 |_0^1 = frac{1}{2} cdot1 - frac{1}{2} cdot 0 = frac{1}{2} $$2.解下列定积分:$$int_{0}^{pi} sin x, dx$$解:我们使用变量分离的方法将$sin x$分解,可得:$$int_{0}^{pi} sin x ,dx = int_{0}^{pi} frac{cos x}{cos x}sin x ,dx$$将第二个子积分求解出来,即可得出本题答案:$$int_{0}^{pi} frac{cos x}{cos x}sin x,dx = cos x |_0^{pi} = cos pi - cos 0 = -1$$以上就是关于定积分的经典题目的简要介绍,这些题目反映了定积分的重要性,同时也可以帮助学生们更好地理解和掌握定积分。
为了更好地掌握定积分,学生们可以多做一些练习题来熟悉定积分的概念,并通过不断探索和排除可能分析错误的解题思路,从而达到掌握定积分的目的。
定积分试题及答案大学一、选择题1. 定积分的几何意义是表示曲线与x轴之间的有向面积。
()A. 正确B. 错误答案:A2. 设函数f(x)在区间[a,b]上连续,则定积分∫[a,b]f(x)dx的值是唯一的。
()A. 正确B. 错误答案:A3. 定积分∫[a,b]kf(x)dx=k∫[a,b]f(x)dx,其中k为常数。
()A. 正确B. 错误答案:A二、填空题1. 设f(x)=x^2,计算定积分∫[0,1]x^2dx的值为____。
答案:1/32. 若∫[0,1]f(x)dx=2,则∫[0,2]f(x)dx=____。
答案:43. 设f(x)=2x,求定积分∫[1,2]2xdx的值为____。
答案:4三、解答题1. 计算定积分∫[0,π]sin(x)dx。
解:根据定积分的计算公式,我们有∫[0,π]sin(x)dx = [-cos(x)] | [0,π] = -cos(π) - (-cos(0)) = 2。
2. 设f(x)=x^3+3x^2+2x-1,求定积分∫[-1,1]f(x)dx。
解:首先计算不定积分F(x)=∫f(x)dx,得到F(x)=x^4/4+x^3+x^2-x+C。
然后计算定积分∫[-1,1]f(x)dx = F(1)-F(-1) = [(1)^4/4+(1)^3+(1)^2-1] - [(-1)^4/4+(-1)^3+(-1)^2-(-1)]= (1/4+1+1-1) - (1/4-1+1+1) = 0。
3. 求曲线y=x^2与x轴及直线x=1,x=2所围成的面积。
解:根据定积分的几何意义,所求面积为S = ∫[1,2]x^2dx = [x^3/3] | [1,2] = (2^3/3) - (1^3/3) = 7/3。