中国林业草原统计年鉴:全世界2015年主要国家森林面积及变化统计
- 格式:xls
- 大小:13.50 KB
- 文档页数:2
方案与办法的区别方案与办法的区别【1】一、方案:指进行工作的具体计划或对某一问题制定的规划。
二、办法(一)什么是“办法”办法是汉语中常用的一个词语,意为“处理事情或解决问题的方法”,现今也指一种应用写作的法规性公文文件。
(二)“办法”的特点(1)办法的法规约束性侧重于行政约束力。
(2)办法的条款都具体、完整,不能抽象笼统。
(三)办法的分类办法的分类根据内容、性质的不同,办法可分为实施文件办法和工作管理办法两种。
(四)办法的写法办法由首部和正文两部分组成。
1.首部。
包括标题、制发时间和依据等项目内容。
标题:由发文机关、事由、文种构成。
制发时间、依据。
标题之下用括号注明规定制发的年、月、日和中国应对气候变化国家方案【2】近百年来,许多观测资料表明,地球气候正经历一次以全球变暖为主要特征的显著变化,中国的气候变化趋势与全球的总趋势基本一致。
为应对气候变化,促进可持续发展,中国政府通过实施调整经济结构、提高能源效率、开发利用水电和其他可再生能源、加强生态建设以及实行计划生育等方面的政策和措施,为减缓气候变化做出了显著的贡献。
一、中国气候变化的观测事实与趋势政府间气候变化专门委员会(IPCC)第三次评估报告指出,近50年的全球气候变暖主要是由人类活动大量排放的二氧化碳、甲烷、氧化亚氮等温室气体的增温效应造成的。
在全球变暖的大背景下,中国近百年的气候也发生了明显变化。
有关中国气候变化的主要观测事实包括:一是近百年来,中国年平均气温升高了0.5~0.8℃,略高于同期全球增温平均值,近50年变暖尤其明显。
从地域分布看,西北、华北和东北地区气候变暖明显,长江以南地区变暖趋势不显著;从季节分布看,冬季增温最明显。
从1986年到xx年,中国连续出现了20个全国性暖冬。
二是近百年来,中国年均降水量变化趋势不显著,但区域降水变化波动较大。
中国年平均降水量在20世纪50年代以后开始逐渐减少,平均每10年减少2.9毫米,但1991年到2000年略有增加。
地理学报ACTAGEOGRAPHICASINICA第62卷第1期2007年1月Vol.62,No.1Jan.,2007近300年来中国森林的变迁何凡能,葛全胜,戴君虎,林珊珊(中国科学院地理科学与资源研究所,北京100101)摘要:以清代以来史料为依据,在现代清查统计资料和前人研究成果的基础上,通过对森林变迁大体趋势及主要过程的客观把握,重新校订了1949年和1700年前人的估算数据,回溯估算了1750 ̄1900年中国各省区每50年森林面积与森林覆被率值,并与现代森林清查资料衔接,分析1700 ̄1998年近300年来中国森林变迁的时空特征。
结果表明:近300年来中国现境内共减少森林面积约0.95×108ha,森林覆被率减少9.2个百分点,变化曲线呈先抑后仰;以1960s为界,此前呈加速递减态势,260年间减少森林面积达1.66×108hm2,覆被率下降约17个百分点;1960s以后呈逐步增长态势,近40年间增加森林面积约0.7×108hm2,覆被率提高了约8个百分点。
结果还表明:近300年来中国森林消长,西部地区均小于东部地区;在1700 ̄1949年的锐减期中,东北、西南和东南三区是森林面积缩减最为严重的地方,大部分省区覆被率下降超过20个百分点,其中黑龙江达50个百分点,吉林达36个百分点,川渝地区达42个百分点,云南达35个百分点;在1949 ̄1998年的恢复期中,西部各省区森林覆被率增加均小于5个百分点,东部地区(除黑龙江、湖北和沪宁外)均超过5个百分点;其中粤琼、广西、安徽、京津冀、山东、河南、浙江、福建等省区高达10个百分点以上。
关键词:森林变迁;清代;民国时期;中国近年来,随着全球变化研究的不断深入,有关过去数百年全球或区域尺度森林植被变化的历史重建问题,受到国际学术界的广泛关注。
因为森林作为陆地生态系统的主体和陆地表层主要覆被类型之一,其增损对大气碳平衡有着极其重要的影响。
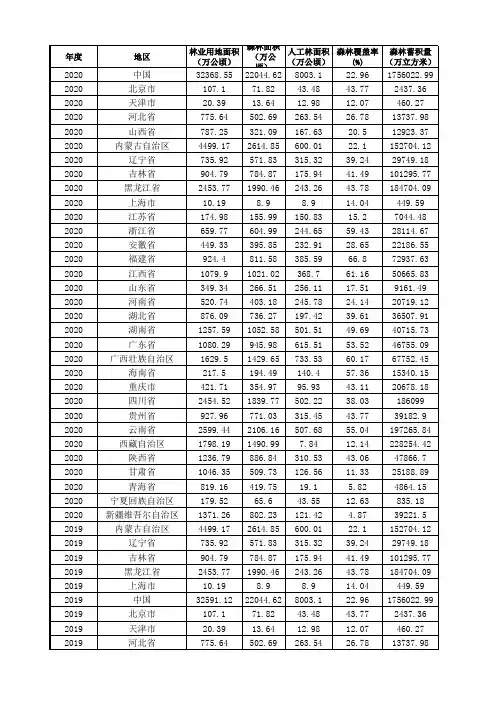
数据分享I中国林业和草原统计年鉴数据目录一1森林和湿地资源全国森林资源情况全国湿地资源情况2生态建设全国营造林生产主要指标2016年与2015年比较各地区营造林生产情况(一)各地区营造林生产情况(二)林业重点生态工程建设情况一各地区林业重点生态工程造林面积一天然林资源保护工程建设情况各地区天然林资源保护工程建设情况(一)各地区天然林资源保护工程建设情况(二)东北、内蒙古等重点国有林区天然林资源保护工程建设情况(一)东北、内蒙古等重点国有林区天然林资源保护工程建设情况(:)长江上游、黄河上中游地区天然林资源保护工程建设情况(一)长江上游、黄河上中游地区天然林资源保护工程建设情况(二)退耕还林工程建设情况各地区退耕还林工程建设情况(一)一各地区退耕还林工程建设情况(二)京津风沙源治理工程建设情况一三北及长江流域等重点防护林体系工程建设情况各地区三北及长江流域等重点防护林体系工程建设情况(一)各地区三北及长江流域等重点防护林体系工程建设情况(二)一各地区三北防护林工程建设情疝二F各地区三北防护林工程建设情况(二)各地区长江流域防护林体系工程建设情况(一)一各地区长江流域防护林体系工程建设情况(二)各地区沿海防护林体系工程建设情况(一)各地区沿海防护林体系工程建设情况(二)各地区珠江流域防护林体系工程建设情况(一)各地区珠江流域防护林体系工程建设情况(二)各地区太行山绿化工程建设情况(一)一各地区太行山绿化工程建设情况(二)各地区林业血防工程建设情况(一)各地区林业血防工程建设情况(二)一林业系统野生动植物保护及自然保护区工程建设情况各地M林业系统野生动植物保护及自然保护区工程建设情况(一)各地区林业系统野生动植物保护及自然保护区工程建设情况(三J 各地区林业系统自然保护区分类情况各地区林业系统自然保护区分级情况3产业发展林业产业总产值(一)(按现行价格计算)林业产业总产值(二)(按现行价格计算)各地区林业产业总产值(一)(按现行价格计算)各地区林业产业总产值(二)(按现行价格计算)各地区林业产业总产值(三)(按现行价格计算)各地区林业产业总产值(四)(按现行价格计算)全国主要林产工业产品产量2016年与2015年比较全国主要木材、竹材产品产量一各地区主要木材、竹材产品产量(一)各地区主要木材、竹材产品产量(二)全国主要经济林产品生产情况各地区主要经济林产品生产情况(一)各地区主要经济林产品生产情况(二)一各地区主要经济林产品生产情疝才全国油茶与花卉产业发展情况各地区油茶与花卉产业发展情况(一)各地区油茶与花卉产业发展情疝三厂全国主要林产工业产品产量各地区主要林产工业产品产量(一)一各地区主要林产工业产品产量(二)各地区主要林产工业产品产量(三)全国主要林产品销售实际平均价格各地区主要林产品销售实际平均价格(一)各地区主要林产品销售实际平均价格(二)各地区林业旅游与休闲产业发展情况一各地区森林公园建设与经营情况主要指标(一)各地区森林公园建设与经营情况主要指标(二)各地区森林公园建设与经营情况主要指标(三)一4从业人员和劳动报酬一林业系统从业人员和劳动报酬主要指标2016年与2015年比技"林业系统按行业分全部单位个数、从业人员和劳动报酬情况(一)林业系统按行业分全部单位个数、从业人员和劳动报酬情况(二)各地区林业系统单位个数(一)各地区林业系统单位个数(二:)各地区林业系统单位年末人数(一)各地区林业系统单位年末人数(二)各地区林业系统单位从业人员年末人数(一)各地区林业系统单位从业人员年末人数(二)各地区林业系统单位在岗职工年末人数(一)各地区林业系统单位在岗职工年末人数(二)各地区林业系统单位其他从业人员年末人数(一)各地区林业系统单位其他从业人员年末人数(二)各地区林业系统单位离开本单位仍保留劳动关系人员年末人数Gr各地区林业系统单位离开本单位仍保留劳动关系人员年末人数(二)各地区林业系统单位实有离退休人员年末人数(一)各地区林业系统单位实有离退休人员年末人数(二)各地区林业系统单位在岗职工年平均工资(一)各地区林业系统单位在岗职工年平均工资(二)林业系统按行业分职工伤亡事故情况各地区林业系统按行业分职工轻伤事故情况各地区林业系统按行业分职工重伤事故情况各地区林业系统按行业分职工死亡事故情况国家林业局机关及直属单位从业人员和劳动报酬情况5林业投资林业投资完成情况各地区林业投资完成情况(一)各地区林业投资完成情况(二)林业固定资产投资完成情况各地区林业固定资产投资完成情况(一)各地区林业固定资产投资完成情况(二)各地区林业固定资产投资完成情况(三)林业利用外资基本情况各地区林业利用外资项目个数各地区林'业实际利用外资情况一各地区林业协议利用外资情况国家林业局机关及直属单位林业投资完成情况(一)国家林业局机关及直属单位林业投资完成情况(二)6林业教育2016~2017学年初普通高、中等林业院校和其他高、中等院校林科基本t品厂2016~2017学年初普通高等林业院校和其他高等院校、科研院所林科研究生分学科情况(一)2016~2017学年初普通高等林业院校和其他高等院校、科研院所林科研究生分单位情况(二)2016~2017学年初普通高等林业院校和其他高等院校、科研院所林科研究生分单位情况(三)2016~2017学年初普通高等林业院校和其他高等院校林科本科学生分专业情况(一)20I6~20I7学年初普通高等林业院校和其他高等院校林科本科学生分专业情况(二)2016~2017学年初普通高等林业院校和其他高等院校林科本科学生分专业情况(三)2016~2017学年初普通高等林业院校和其他高等院校林科本科学生分专业情况(四)2016~2017学年高等林业(生态)职业技术学院和其他高等职业学院林科分专业情况(一)2016~2017学年高等林业(生态)职业技术学院和其他高等职业学院林科分专业情况(二)2016~2017学年高等林业(生态)职业技术学院和其他高等职业学院林科分专业情况(三)2016~2017学年高等林业(生态)职业技术学院和其他高等职业学院林科分专业情况(四)2016~2017学年高等林业(生态)职业技术学院和其他高等职业学院林科分专业情况(五)2016~2017学年初普通中等林业(园林)职业学校和其他中等职业学校林科分专业学生情况(一)2016~2017学年初普通中等林业(园林)职业学校和其他中等职业学校林科分专业学生情况(二)附录•东北、内蒙古重点国有林区森工企业主要统计指标.东北、内蒙占重点国有林区森工企业营林生产情况(一)东北、内蒙古重点国有林区森工企业营林生产情况(二)东北、内蒙古重点国有林区87个森工企业营林生产情况(一)东北、内蒙古重点国有林区87个森工企企营林生产情况(ΞΓ东北、内蒙古重点国有林区森工企业总产值和销售产值(一)(按现行价格计算)东北、内蒙古重点国有林区森工企业总产值和销售产值(二)(按现行价格计算)东北、内蒙古重点国有林区87个森工企业总产值和销售产值(一)(按现行价格计算)东北、内蒙古重点国有林区87个森工企业总产值和销售产值(二)(按现行价格计算)东北、内蒙古重点国有林区87个森工企业总产值和销售产值(三)(按现行价格计算)东北、内蒙占重点国有林区87个森工企业总产值和销售产值(四)(按现行价格计算)东北、内蒙古重点国有林区森工企业主要产品产量(一)东北、内蒙古重点国有林区森工企业主要产品产量(二)东北、内蒙古重点国有林区87个森工企业主要产品产量(一)东北、内蒙古重点国有林区87个森工企业主要产品产量(二)东北、内蒙古重点国有林区森工企业非木材产品产量东北、内蒙占重点国有林区87个森工企业非木材产品产量(一)东北、内蒙古重点国有林区87个森工企业非木材产品产量(二)东北、内蒙古重点国有林区87个森工企业非木材产品产量(三)东北、内蒙占重点国有林区森工企业从业人员和劳动报酬情况一东北、内蒙古重点国有林区87个森工企业从业人员和劳动报酬情况(一)东北、内蒙古重点国有林区87个森工企业从业人员和劳动报酬情况(二)东北、内蒙古重点国有林区森工企业林业投资完成情况(一)东北、内蒙古重点国有林区森工企业林业投资完成情况(二)-东北、内蒙古重点国有林区87个森工企业林业投资完成情况(二J东北、内蒙占重点国有林区87个森工企业林业投资完成情况(二S东北、内蒙古重点国有林区87个森工企业林业投资完成情况(三7东北、内蒙古重点国有林区87个森工企业林业投资完成情况(四)东北、内蒙占重点国有林区87个森工企业林业投资完成情况(五F东北、内蒙古重点国有林区87个森工企业林业投资完成情况(六,附录一:林业工作站和乡村林场基本情况各地区乡镇林业工作站基本情况一各地区地、县级林业工作站及管理人员情况各地区乡镇林业工作站人员素质和培训情况一各地区乡镇林业工作站建设完成投资情况一各地区乡镇林业工作站职能作用主要指标情况一各地区乡村护林员情况一各地区乡村林场基本情况一附录三森林主要灾害情况一全国森林主要灾害情况(一)全国森林主要灾害情况(二)各地区森林火灾情况(一)-各地区森林火灾情况(二)一各地区林业有害生物发生防治情况一各地区森林病害发生防治情况一各地区森林虫害发生防治情况一各地区森林鼠害发生防治情况一各地区林业有害植物发生防治情况一各地区林业有害生物防治检疫机构情况一各地区林业有害生物防治资金投人情况一附录四全国分县造林情况一分县造林完成情况一附录五全国历年主要统计指标完成情况一全国历年营造林面积一全国历年林业重点生态工程完成造林面积一全国历年林业重点生态工程实际完成投资及国家投资情况(一)-全国历年林业重点生态工程实际完成投资及国家投资情况(二)-全国历年木材、竹材及木材加工、林产化学主要产品产量一全国历年林业投资完成情况一附录六2007~2016年主要林产品进出口情况2007~2016年主要林产品进出口金额(一)2007~2016年主要林产品进出口金额(二)2007~2016年主要林产品进出口数量(一)________________ 2007~2016年主要林产品进出口数量(二)附录七野生动植物进出口情况全国野生动植物进出口情况(一)全国野生动植物进出口情况(h各办事处野生动植物进出口情况(一)各办事处野生动植物进出口情况(二)各办事处野生动植物进出口情况(三)各办事处野生动植物进出口情况(四)附录八世界主要国家林业情猊2015年世界主要国家森林面积及变化2014年世界主要国家林产品产量、贸易量和消费量(一)2014年世界主要国家林产品产量、贸易量和消费量(二)篇幅有限,仅做部分展示,可在订阅号“citybox城市沙盒”上搜索下载基本信息数据名称:中国林业和草原统计年鉴数据格式:其他数据时间:2001-2019年数据坐标系:WGS84数据来源:网络公开数据原名为《中国林业统计年鉴》2020年后更名为《中国林业和草原统计年鉴》;数据中可能包含EXCel表格、PDF文档之中的一个或多个,并非每一年数据格式都一致;由于统计年鉴在部分年份可能进行统计项目的调整,所以不同年份统计年鉴统计项可能不完全一致。
林业特色资源主要指以生产除木材以外的果品、食用油料、调料、工业原料和药材等林产品为主要目的的森林资源。
按照资源类型可分为木本油料、木本粮食、木本调料、木本药材和其他工业原料资源等。
林业特色资源集生态效益、经济效益和社会效益于一体,是工业、农业、医药、国防等诸多领域的重要原料来源,是促进农民增收就业的重要手段,能够有效利用国土资源、促进资源绿色增长、改善生态环境,对于优化饮食消费结构、提高居民健康水平具有重要意义。
林业特色资源产品生产具有持续性、可再生性和环境友好性,是人类生存和发展不可或缺的资源,在保护生态、消除贫困和产业发展领域具有巨大潜力[1]。
我国林业特色资源丰富,种类繁多,面积、产量均居全球首位。
本文分析木本油料、木本粮食、木本调料、木本药材和其他工业原料资源的发展现状和前景,为我国开发利用林业特色资源提供参考。
1现状及产量变化分析1.1木本油料资源油料植物是指植物体内(果实、种子或茎叶)含油脂8%以上的植物。
油脂既是食用油的重要组成部分,又是医药、皮革、纺织、化妆品和油漆等工业的重要原料[2]。
我国木本油料树种有400多种,可利用的有220多种。
含油量在15%~60%的有200多种,在50%~60%的有50多种,已广泛栽培提供油料的有30多种[3]。
油茶、核桃、油橄榄和油用牡丹等木本油料树种在我国的种植面积较大。
根据第九次清查结果,我国油茶种植面积为219.27万公顷,核桃为169.75万公顷,油橄榄为1.77万公顷。
根据《中国林业和草原统计年鉴2019》记载,2019年,我国的木本油料产量770.63万吨,其中核桃和油茶的产量合计736.85万吨,占全部木本油料产量的95.62%。
云南、湖南和新疆三省区的木本油料产量超过百万吨,分别是142.22万收稿日期:2021-07-17作者简介:郝月兰(1983—),女,河北衡水人,硕士,工程师,主要从事森林经营管理。
E-mail :****************。
世界森林面积排名前15的国家
张东方(译)
【期刊名称】《绿色中国》
【年(卷),期】2024()4
【摘要】对非林业人士而言,也许并不清楚世界森林面积排名前15位的国家有哪些?即使就林业工作者而言,是否又都知道那么清楚?如前文《什么样的森林才算“森林”》所述,不同国家对计入森林覆盖率的标准还不一样,故排位是以什么为标准很重要。
译者从“全球木材和木制品市场”网站上见到此文后,第一时间翻译出来并分享给读者,相信读者通过此文可对全球森林分布有一个大致的了解。
正如此文结束时所言——“让我们花点时间来欣赏这些遍布各国的绿色巨人,保护它们不仅是这些国家的责任,也是我们所有共享这个美丽星球的人的责任。
”
【总页数】4页(P42-45)
【作者】张东方(译)
【作者单位】不详
【正文语种】中文
【中图分类】F32
【相关文献】
1.2005年世界天然气产量排名前20位的国家
2.从2018年田径项目世界前20国家排名预测我国田径东京奥运会成绩
3.各国审计机关LOGO的审计文化比较研究-
-以世界GDP排名前五十的国家为例4.联合国粮农组织发表报告指出,中国等亚洲国家森林面积的恢复减缓世界森林退化5.2003年世界出口额排名前十位的国家
因版权原因,仅展示原文概要,查看原文内容请购买。
全球森林资源评估报告2015随着全球经济的不断发展和人口的不断增长,全球森林资源的保护和可持续利用成为全球关注的焦点。
为了解全球森林资源的现状和趋势,联合国粮食及农业组织(FAO)进行了一项全球森林资源评估,于2015年发布了《全球森林资源评估报告2015》。
报告指出,全球森林覆盖面积在过去25年里几乎没有变化,仍然约占全球陆地面积的30%。
然而,报告也揭示了一些令人担忧的趋势。
全球森林面积的减少主要集中在热带地区,尤其是南美洲和非洲。
这主要是由于森林砍伐、非法伐木、森林火灾以及农地、城市化的扩张等人类活动所引起的。
报告还指出,全球森林资源的可持续利用面临着严峻的挑战。
森林乃至整个生态系统的健康与人类社会的发展息息相关。
森林不仅是重要的生物多样性保护区,也是全球水循环的重要组成部分,能够维持气候稳定和土壤保持。
此外,森林还为人类提供了木材、食物、药物等丰富的资源。
然而,由于过度砍伐、滥伐、非法伐木等活动,全球森林资源正面临着严重的威胁。
为了解决这些问题,报告提出了一系列建议。
首先,应加强国际合作,制定更加严格的法律和政策,加强对非法伐木行为的打击。
其次,要推动可持续林业管理,通过合理规划、科学经营和监测,确保森林资源的可持续利用。
此外,还需要加强对森林生态系统的保护和恢复,特别是对受到破坏的森林进行修复和再造。
报告还强调了全球森林资源评估的重要性。
只有了解森林资源的现状和趋势,才能制定出科学合理的保护和管理措施。
全球森林资源评估报告的发布,为各国政府、环保组织和科研机构提供了重要的参考和指导。
同时,报告也提醒人们,保护森林资源是每个人的责任,只有共同努力,才能实现可持续发展的目标。
《全球森林资源评估报告2015》揭示了全球森林资源面临的挑战和问题,并提出了相应的解决方案。
这份报告的发布,为全球森林资源的保护和可持续利用提供了重要的科学依据。
只有通过国际合作和共同努力,才能实现全球森林资源的可持续发展,为人类和地球的未来创造更加美好的前景。