中山市中学中级教师资格评审通过名单附件377人(公示)
- 格式:doc
- 大小:554.69 KB
- 文档页数:10
广东省人力资源和社会保障厅、广东省教育厅关于公布获得2016年度广东省中小学正高级教师评审通过人员名单的通知
【法规类别】教育综合规定
【发文字号】粤人社发[2017]86号
【发布部门】广东省人力资源和社会保障厅广东省教育厅
【发布日期】2017.03.31
【实施日期】2017.03.31
【时效性】现行有效
【效力级别】XP10
广东省人力资源和社会保障厅、广东省教育厅关于公布获得2016年度广东省中小学正高
级教师评审通过人员名单的通知
(粤人社发﹝2017﹞86号)
各地级以上市人力资源和社会保障(人力资源)局、教育局:
根据省人力资源社会保障厅、教育厅《关于印发<广东省深化中小学教师职称制度改革实施方案>的通知》(粤人社规〔2016〕5号)的相关规定,经广东省中小学正高级教师职称评审委员会评审,评审结果经人力资源和社会保障部、教育部备案同意,我省谭建文等165名同志获得中小学正高级教师职称,现予以公布。
请各有关部门(单位)做好聘任等后续工作。
广东省人力资源和社会保障厅
广东省教育厅
2017年3月31日 2016年度获得广东省中小学正高级教师职称人员名单。
广东省中学高级教师资格评审通过人员公示名单韶关市广东省中学高级教师资格评审经过人员公示名单(韶关市)序号档案号工作单位姓名学科1 051002 乐昌市第一中学张婉清政治2 051004 乐昌市第一中学李红花政治3 051008 乐昌市新时代学校朱芹政治4 051013 南雄市珠玑中学谢俊煌政治5 051015 南雄市水口中学刘艳琼政治6 051017 南雄市黎口中学龚模文政治7 051018 南雄市中等职业学校郑小燕政治8 051021 南雄市新城王锦辉中学邱翠光政治9 051023 南雄市新城王锦辉中学谢国忠政治10 051024 广东省翁源县南浦中学黄国坚政治11 051026 翁源县岩庄中学周忠东政治12 051029 仁化县第二中学肖秀蓉政治13 051031 始兴县墨江中学杨应红政治14 051032 始兴县城郊中学魏玉梅政治15 051033 始兴县始兴中学谢卫平政治16 051034 始兴县墨江中学刘华凤政治17 051036 乳源瑶族自治县乳源中学温肇文政治18 051037 乳源瑶族自治县中等职业技术学校齐巧花政治19 051039 乳源瑶族自治县乳源中学杨美兰政治20 051042 新丰县第一中学李成典政治21 051043 新丰县第二中学黄志明政治22 051044 韶关市浈江区田螺冲中学陈淑芳政治23 051047 浈江区曲仁中学岑家强政治24 051048 韶关市第七中学叶晖政治25 051049 韶关市第四中学赵卫玲政治26 051050 韶关市第九中学蔡惠萍政治27 051054 广东北江中学周招萍政治28 051055 广东北江中学杨建梅政治29 051057 韶关市第一中学廖栩政治30 051060 韶关市行之实验学校刘雪兰政治31 051062 乐昌市第一中学杨慧玲语文32 051063 乐昌市第一中学江山红语文33 051066 乐昌市新时代学校杨献华语文34 051067 乐昌市新时代学校谭小妹语文35 051069 乐昌市新时代学校付泽剑语文36 051070 乐昌市新时代学校李婉英语文37 051071 乐昌市中等职业技术学校薛玲瑛语文38 051073 乐昌市坪梅中学王琴语文39 051074 乐昌市第五中学龚井发语文40 051077 南雄中学谭家禄语文41 051083 南雄市新城王锦辉中学谢崇富语文42 051084 南雄市新城王锦辉中学钟小群语文43 051085 南雄市新城王锦辉中学邓萍萍语文44 051086 南雄市新城王锦辉中学黄秀菊语文45 051090 南雄市黎口中学沈南生语文46 051096 广东省翁源县龙仙中学陈素英语文47 051097 翁源县仙鹤学校刘卫添语文48 051100 仁化县实验学校刘向红语文49 051101 仁化县黄坑中学彭水英语文50 051104 仁化县第二中学罗祖堂语文51 051105 仁化县扶溪学校李汉球语文52 051108 仁化县第二中学郭永毅语文53 051111 始兴县墨江中学陈优兰语文54 051112 始兴县墨江中学李丽萍语文55 051113 始兴县墨江中学邓祝兰语文56 051114 始兴县中等职业学校李卫华语文57 051117 始兴县中等职业学校傅永寅语文58 051118 始兴县始兴中学邓晓红语文59 051119 始兴县沈所中学张佳坤语文60 051121 乳源瑶族自治县乳源中学陈才达语文61 051122 乳源瑶族自治县乳源中学蔡贱华语文62 051125 乳源瑶族自治县乳源高级中学蔡春松语文63 051127 乳源瑶族自治县乳源高级中学刘敏华语文64 051129 新丰县第一中学梁从文语文65 051133 新丰县第三中学梁向阳语文66 051135 新丰县第二中学周清望语文67 051142 韶关市第十中学官学燕语文68 051143 韶关市第十中学刘燕霞语文69 051144 韶关市第十中学朱晓珊语文70 051146 韶关市第十三中学黄文英语文71 051148 韶关市第二中学陈莹语文72 051152 韶关市第九中学刘永芬语文73 051155 韶关市第九中学刘丽云语文74 051156 韶关市曲江职业技术学校曾秀琴语文75 051157 韶关市曲江区第一中学黄军娣语文76 051161 韶关市曲江初级中学张健洪语文77 051164 韶关市曲江区马坝中学伍桂连语文78 051169 韶关市中等职业技术学校苏才念语文79 051170 韶关市第一中学李红梅语文80 051171 广东北江中学彭望远语文81 051175 乐昌市第五中学高志鸿英语82 051176 乐昌市第五中学邓丽贞英语83 051178 乐昌市城关中学王秀玉英语84 051179 乐昌市新时代学校黄嫦珍英语85 051180 乐昌市新时代学校李碧华英语86 051183 乐昌市第一中学李文勤英语87 051184 乐昌市第二中学邱小芹英语88 051193 南雄市雄州中学陈慧明英语89 051194 南雄市新城王锦辉中学刘开贞英语90 051195 南雄市湖口中学李子盛英语91 051196 南雄市江头中学陈万钟英语92 051204 南雄市新城王锦辉中学赖红梅英语93 051206 南雄市新城王锦辉中学黄端莲英语94 051211 广东省翁源县翁源中学吴远峰英语。
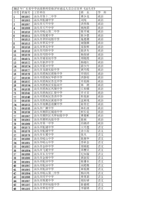
2012年广东省中学高级教师资格评审通过人员公示名单(汕头市)序号档案号工作单位姓名学科1061002汕头市第十二中学曹少龙政治2061003汕头市鮀浦中学刘纯政治3061007汕头市天竺中学洪伟珠政治4061008汕头市天竺中学姚绚莉政治5061010汕头市岐山第二中学陈开城政治6061011汕头市珠厦中学陈少鬯政治7061013汕头市聿怀初级中学施楚珊政治8061015汕头市翠英中学谢懿娜政治9061016汕头市翠英中学郑春辉政治10061018汕头市丹阳中学陈洪冬政治11061020汕头市丹阳中学杨俊娇政治12061021汕头市谢易初中学周晓霞政治13061022汕头市新津中学杨晓红政治14061024汕头市蓝田中学游少丹政治15061027汕头市龙湖实验中学黄丹霞政治16061028汕头市澄海区澄海中学许绍庆政治17061030汕头市澄海区华侨中学洪静琼政治18061032汕头市澄海区苏北中学许旭绵政治19061034汕头市澄海区实验高中林煊政治20061038汕头市澄海区凤翔中学江仰娜政治21061041汕头市澄海区汇璟中学许卓菲政治22061048汕头市澄海区苏湾中学杜悦新政治23061050汕头市澄海区溪南中学沈树成政治24061053汕头市南澳县南澳中学陈伟宏政治25061058汕头市广澳中学林松波政治26061059汕头市潮阳区城南中学柯长觉政治27061062汕头市潮阳区关埠初级中学曹楚粧政治28061063汕头市潮师高级中学陈频政治29061069汕头市第一中学冯镇祥政治30061075汕头市鮀浦中学王丹莲语文31061076汕头市鮀浦中学余小琼语文32061079汕头市东厦中学张凡语文33061080汕头市岐山中学陈燕华语文34061081汕头市岐山中学苏核金语文35061082汕头市金砂中学郑旖旎语文36061084汕头市飞厦中学章樱贝语文37061086汕头市东方中学纪如璇语文38061090汕头市金禧中学黄淑琼语文39061091汕头市鮀济中学陈藩水语文40061092汕头市鮀济中学高暖微语文41061093汕头市鮀济中学林锐潮语文42061094汕头市岐山第二中学杨应鸿语文43061096汕头市同平中学詹茉莉语文44061097汕头市珠厦中学胡好娇语文45061102汕头市聿怀初级中学陈德顺语文46061105汕头市翠英中学李丽瑛语文47061106汕头市翠英中学赖燕玲语文48061109汕头市丹阳中学傅雅语文49061111汕头市丹阳中学许易杨语文50061112汕头市渔洲中学方壮娜语文51061115汕头市谢易初中学温倩如语文52061116汕头市谢易初中学陈建伟语文53061118汕头市谢易初中学詹品霞语文54061121汕头市蓬鸥中学李婵芬语文55061128汕头市外砂中学谢舜清语文56061129汕头市外砂华侨中学林沛楠语文57061131汕头市外砂华侨中学徐凤銮语文58061134汕头市世贸实验学校刘少美语文59061136汕头市澄海区澄海中学林诗铨语文60061138汕头市澄海区苏北中学蓝宗钿语文61061139汕头市澄海区苏北中学黄钿语文62061142汕头市澄海区实验学校赖谅民语文63061144汕头市澄海区实验学校张奕丹语文64061146汕头市澄海区凤翔中学彭逸新语文65061147汕头市澄海区凤翔中学陈冬春语文66061148汕头市澄海区凤翔中学金怀英语文67061150汕头市澄海区南翔中学蔡丹媛语文68061152汕头市澄海区北秀中学蔡旭珊语文69061154汕头市澄海区汇璟中学蔡辛文语文70061157汕头市澄海区汇璟中学陈燕娜语文71061158汕头市澄海区莲阳中学陈汉林语文72061161汕头市澄海区湾头中学林镜炎语文73061163汕头市澄海区苏湾中学吴健河语文74061164汕头市澄海区苏湾中学陈彦瑜语文75061168汕头市澄海区苏湾中学潘玉端语文76061171汕头市澄海区东里三中蓝海生语文77061172汕头市澄海区盐鸿中学林仲琪语文78061175汕头市澄海区坝头中学王睦维语文79061176汕头市南澳县南澳中学杨树昂语文80061178汕头市南澳县第三中学林少洲语文81061182汕头市广澳中学李绪光语文82061183汕头市广澳中学林洁萍语文83061187汕头市潮阳区文光华侨初级中学庄少丽语文84061188汕头市潮阳区城南新宫学校魏勤英语文85061192汕头市潮师高级中学郭勤忠语文86061193汕头市潮阳区金灶东安初级中学刘柳隆语文87061194汕头市潮阳区海门和睦初级中学林海琼语文88061200汕头市潮阳黄图盛中学陈育芳语文89061201汕头市潮阳区谷饶中学张健鹏语文90061202汕头市潮阳林百欣中学刘俏殷语文91061206汕头市潮阳区贵屿东洋初级中学郭选燕语文92061209汕头市潮阳区铜盂中学许遵畅语文93061211汕头市潮阳区河溪中学吴烈桂语文94061214汕头市潮阳区河溪桑田初级中学蔡向葵语文95061216汕头市潮阳区棉北中学陈佳秋语文96061220汕头市潮阳区棉城中学妥文斌语文97061222汕头市潮阳区棉城中学郑若群语文98061223汕头市潮阳区棉城中学黄笑珠语文99061227汕头市六都中学郭细虹语文100061228汕头市潮南区胪溪中学郑瑞娟语文101061229汕头市潮南区胪溪中学李小丹语文102061231汕头市潮南区东山中学卓凯鹏语文103061232汕头市潮南区峡山初级中学周素文语文104061233汕头市潮南区峡山上东浦初级中学洪伟明语文105061238汕头市潮南区仙门城中学崔小勇语文106061240汕头市第一中学周毛语文107061242广东汕头华侨中学陈淑君语文108061246汕头金山中学南区学校刘爱玲语文109061249汕头市教育科学研究所林楚江语文110061255汕头市第十二中学陈淑音英语111061256汕头市第十二中学林健怀英语112061257汕头市鮀浦中学林怡娇英语113061258汕头市鮀浦中学郑慕丹英语114061259汕头市第六中学蔡锦丽英语115061264汕头市东厦中学彭晓琳英语116061266汕头市岐山中学陈平岸英语117061267汕头市金砂中学李泽华英语118061270汕头市金平职业技术学校黄瑞虹英语119061275汕头市东方中学谢伟英语120061276汕头市玉兰中学林燕如英语121061277汕头市玉兰中学王瑞华英语122061278汕头市海棠中学黄旸英语123061279汕头市天竺中学王晓霞英语124061280汕头市天竺中学吴映英语125061281汕头市金禧中学胡丽萍英语126061284汕头市正始中学蔡炯英语127061286汕头市爱华中学孟惠芬英语128061287汕头市爱华中学肖熙玲英语129061289汕头市金园实验中学余幼鸿英语130061297汕头市翠英中学蔡秀霞英语131061300汕头市丹阳中学肖媛玉英语132061302汕头市丹阳中学郑爱琴英语133061303汕头市丹阳中学蔡丽纯英语134061304汕头市谢易初中学谢廉兰英语135061306汕头市新溪一中林淑贞英语136061308汕头市蓬鸥中学黄金梅英语137061309汕头市新津中学肖瑞吟英语138061312汕头市外砂中学陈少丹英语139061316汕头市丰华学校唐春丽英语140061319汕头市澄海区澄海中学李小惠英语141061321汕头市澄海区华侨中学郑丽莲英语142061322汕头市澄海区苏北中学章丽妙英语143061325汕头市澄海区实验高中王沛歆英语144061326汕头市澄海区实验学校余泳雪英语145061328汕头市澄海区凤翔中学陈少玲英语146061333汕头市澄海区北秀中学林玲宁英语147061336汕头市澄海区莲阳中学郑泓英语148061338汕头市澄海区湾头中学卢腾楼英语149061342汕头市澄海区苏湾中学林璇君英语150061347汕头市南澳县南澳中学林好英语151061348汕头市南澳县南澳中学章晓玫英语152061357汕头市潮阳城南林木河学校刘丽虹英语153061358汕头市潮阳区和平南侨中学吴奇君英语154061359汕头市潮阳区金浦中学郑海燕英语155061361汕头市潮师高级中学陈培荣英语156061365汕头市潮阳区后溪中学许先容英语157061366汕头市潮阳区城郊中学魏秀华英语158061367汕头市潮阳区西胪中学李军军英语159061372汕头市潮阳区棉北中学刘义璇英语160061373汕头市潮阳区棉城中学姚詹雄英语161061375汕头市潮南区胪溪中学祝付春英语162061377汕头市潮南区峡山南里棉岭学校周映如英语163061378汕头市潮南区陈店中学陈泽璇英语164061379汕头市金山中学周三元英语165061382汕头市第一中学黄映清英语166061383汕头市鮀滨职业技术学校鄞少燕英语167061388汕头市第二中学凌喜发历史168061389汕头市第二中学唐红英历史169061390汕头市第四中学陈海玲历史170061392汕头市东厦中学蔡晓虹历史171061394汕头市天竺中学林云儿历史172061395汕头市金荷中学赖妙贞历史173061397汕头市聿怀初级中学陈泽群历史174061400汕头市外砂中学许少贞历史175061401汕头市外砂华侨中学谢建伟历史176061403汕头市世贸实验学校郭晓燕历史177061404汕头市澄海区华侨中学谢维江历史178061406汕头市澄海区实验高中李叙建历史179061408汕头市澄海区凤翔中学陈映芬历史180061411汕头市澄海区澄华中学蔡冬娜历史181061414汕头市澄海区莲东中学林俊辉历史182061415汕头市澄海区莲东中学黄静历史183061418汕头市南澳县南澳中学吴兰君历史184061420汕头市潮阳区和平南侨中学林庆雄历史185061423汕头市潮阳林百欣中学张万科历史186061426汕头市第二中学郑素霞地理187061427汕头市第十一中学朱丽婵地理188061432汕头市正始中学郭庆红地理189061433汕头市鮀济中学汤燕卿地理190061435汕头市翠英中学陈丽娟地理191061436汕头市新津中学苏佩珠地理192061437汕头市澄海区苏北中学林锦秀地理193061439汕头市澄海区汇璟中学蚁莉苗地理194061440汕头市澄海区澄华中学蔡少莹地理195061443汕头市澄海区东里三中魏俊贤地理196061445汕头市达濠中学袁悦红地理197061446汕头市达濠第三中学蔡晓丹地理198061447汕头市滨海中学陈英地理199061448汕头市潮阳区文光华侨初级中学林楚云地理200061456汕头市金平职业技术学校黄雯婷音乐201061458汕头市岐山第二中学田洁莹音乐202061459汕头市同平中学徐荣音乐203061461汕头市蓝田中学黄友佳音乐204061462汕头市澄海区汇璟中学王玉玲音乐205061463汕头市澄海区上都中学王亦超音乐206061464汕头市南澳县南澳中学陈璇音乐207061465汕头市南澳县第三中学郭桂华音乐208061466汕头市达濠华侨中学刘惠萍音乐209061467汕头市潮阳第一中学蒋妙纯音乐210061472汕头市珠厦中学吴文英美术211061474汕头市聿怀初级中学曾广琪美术212061475汕头市锦泰中学詹惠妹美术213061476汕头市新津中学陈伟美术214061478汕头市澄海区实验高中陈俊贤美术215061480汕头市澄海区汇璟中学林伯煦美术216061483汕头市澄海区茂南中学蚁克嘉美术217061485汕头市潮阳区文光华侨初级中学肖娟丽美术218061486汕头市潮阳区棉北中学陈静宜美术219062001汕头市聿怀中学李才松数学220062003汕头市第四中学王映珊数学221062005汕头市第十一中学胡伟珠数学222062007汕头市鮀浦中学邱宏才数学223062009汕头市第六中学林丽纯数学224062012汕头市东厦中学陈丽纯数学225062015汕头市金砂中学陈培端数学226062018汕头市飞厦中学杜冕雯数学227062021汕头市天竺中学蔡娴数学228062027汕头市友联中学郑若颂数学229062030汕头市第九中学洪晋芝数学230062032汕头市珠厦中学潘新菊数学231062036汕头市下蓬中学陈文丽数学232062037汕头市下蓬中学王淑华数学233062038汕头市下蓬中学徐素吟数学234062040汕头市翠英中学黄清招数学235062043汕头市翠英中学林娉数学236062044汕头市丹阳中学林燕蓬数学237062045汕头市丹阳中学陈静君数学238062052汕头市蓝田中学李再珍数学239062055汕头市新溪中学谢锐泉数学240062058汕头市丰华学校张玉珠数学241062059汕头市世贸实验学校汤锦涛数学242062060汕头市澄海区澄海中学朱燕钿数学243062063汕头市澄海区实验学校陈紫芳数学244062068汕头市澄海区凤翔中学方少芸数学245062070汕头市澄海区南翔中学曾映芬数学246062071汕头市澄海区南翔中学蔡春英数学247062073汕头市澄海区汇璟中学许锦宇数学248062077汕头市澄海区莲东中学陈卫群数学249062078汕头市澄海区莲东中学王良深数学250062081汕头市澄海区东里三中林亿进数学251062083汕头市南澳县南澳中学吴泽明数学252062084汕头市南澳县南澳中学章辉壮数学253062085汕头市南澳县第二中学陈玉然数学254062089汕头市礐石中学胡海龙数学255062090汕头市达濠第二中学孙瑞娜数学256062094汕头市潮阳区文光初级中学肖文贤数学257062095汕头市潮阳区城南中学汤育卿数学258062096汕头市潮阳区城南东内学校卢松泽数学259062097汕头市潮阳区城南东内学校刘伯宗数学260062099汕头市潮阳区和平南侨中学张启帆数学261062101汕头市潮阳区金灶金玉中学蔡美存数学262062106汕头市潮阳区谷饶深洋初级中学翁开洲数学263062109汕头市潮阳区金堡中学李瑞宏数学264062111汕头市潮阳区铜盂中学翁晓辉数学265062113汕头市潮师高级中学许国华数学266062115汕头市六都中学赵楚龙数学267062117汕头市潮南区晓升中学洪扬章数学268062118汕头市潮南区峡山初级中学郭广仪数学269062119汕头市潮南区峡山泗联初级中学曾炎辉数学270062120汕头市潮南区峡山大宅学校陈奕来数学271062121汕头市第一中学陈嘉德数学272062122汕头市第一中学李晓栓数学273062127汕头市实验学校张丽芳数学274062128汕头市第二中学林龙武物理275062131汕头市第十二中学黄瑛物理276062134汕头市东厦中学赖晓青物理277062138汕头市鮀济中学陈培冲物理278062140汕头市翠英中学高良源物理279062141汕头市翠英中学陈少豪物理280062143汕头市渔洲中学林育波物理281062146汕头市新溪中学蔡雄波物理282062147汕头市世贸实验学校黄新希物理283062149汕头市澄海区澄海中学陈淑勉物理284062150汕头市澄海区华侨中学徐铭生物理285062151汕头市澄海区苏北中学邹韩仕物理286062154汕头市澄海区实验学校王利波物理287062155汕头市澄海区东里中学张永茂物理288062157汕头市澄海区凤翔中学黄志伟物理289062158汕头市澄海区凤翔中学余秀霞物理290062164汕头市澄海区溪南中学甘广生物理291062166汕头市澄海区茂南中学朱彬物理292062171汕头市南澳县南澳中学李美珠物理293062172汕头市南澳县第二中学蔡锦国物理294062173汕头市南澳县第三中学罗庆忠物理295062175汕头市达濠中学陈伟钰物理296062176汕头市礐石中学许耀发物理297062179汕头市潮阳区和平南侨中学王文林物理298062180汕头市潮师高级中学朱武兴物理299062183汕头市潮阳黄图盛中学陈海楝物理300062184汕头市潮阳林百欣中学黄楚平物理301062185汕头市潮阳林百欣中学林莉物理302062186汕头市潮阳区城北初级中学郭文努物理303062187汕头市潮阳区关埠初级中学陈泽澄物理304062192汕头市六都中学陈焕植物理305062195汕头市金山中学陈大生物理306062196汕头市第一中学吴仲夏物理307062199汕头市第十二中学潘泽航化学308062200汕头市岐山中学李晓华化学309062202汕头市渔洲中学李廷源化学310062203汕头市锦泰中学林华化学311062205汕头市澄海区华侨中学黄秋英化学312062208汕头市澄海区实验学校沈绍群化学313062210汕头市澄海区实验学校蚁泽渠化学314062213汕头市澄海区莲阳中学陈建永化学315062215汕头市澄海区莲上中学曾雄明化学316062218汕头市澄海区东里三中陈才喜化学317062222汕头市广澳中学陈浩强化学318062227汕头市潮阳区和平中寨中学马庆升化学319062229汕头市潮阳区金玉中学林迎春化学320062230汕头市潮阳林百欣中学卢雪玲化学321062232汕头市潮阳区金堡中学邱汉文化学322062233汕头市潮阳区后溪中学陈耿彬化学323062234汕头市潮阳区棉北中学马红娟化学324062235汕头市潮阳区棉城中学陈燕苗化学325062237汕头市六都中学蔡创海化学326062238汕头市潮南区两英中学安启化学327062241汕头市潮南区峡山南里棉岭学校陈舜斌化学328062244汕头市金山中学刘智刚化学329062245汕头市第一中学许雪惠化学330062246汕头市实验学校况安华化学331062249汕头市金砂中学郑文珊生物332062250汕头市汕樟中学张玉英生物333062253汕头市金荷中学林少吟生物334062255汕头市金园实验中学周晓毅生物335062256汕头市丹阳中学吴岳珊生物336062257汕头市谢易初中学陈志英生物337062260汕头市新溪一中杨永成生物338062261汕头市锦泰中学肖萍生物339062263汕头市新溪中学刘宗武生物340062264汕头市澄海区澄海中学杜碧莹生物341062265汕头市澄海区华侨中学周梦云生物342062269汕头市澄海区实验学校洪耀忠生物343062272汕头市澄海区北秀中学谢玲生物344062276汕头市澄海区莲阳中学王淑端生物345062279汕头市澄海区东里四中沈桐鑫生物346062283汕头市澄海区上都中学陈桂州生物347062287汕头市礐石中学张玉容生物348062289汕头市潮师高级中学胡晓霞生物349062293汕头市潮阳第四中学黄君素生物350062294汕头市潮阳第四中学林锡潮生物351062295汕头市潮阳区棉城中学郑巧梅生物352062296汕头市第一中学熊明生物353062302汕头市聿怀初级中学柯锡林体育354062304汕头市下蓬中学黄少寄体育355062306汕头市锦泰中学林亿阳体育356062308汕头市新津中学郑永旭体育357062311汕头市澄海区实验高中陈纯毅体育358062312汕头市澄海区实验高中魏宏芝体育359062316汕头市澄海区东里中学金树忠体育360062317汕头市澄海区凤翔中学林秋生体育361062318汕头市澄海区莱芜中学吴汉喜体育362062320汕头市澄海区澄华中学黄树波体育363062325汕头市潮阳区城南中学陈益生体育364062327汕头市第一中学陈锐群体育365062330汕头市实验学校邱啟栋体育366062331汕头市教育局教研室廖伟德体育367062332汕头市第六中学黄盛华信息技术368062333汕头市金砂中学李惜娥信息技术369062335汕头市金平职业技术学校肖婉华信息技术370062337汕头市友联中学肖云霓信息技术371062341汕头市澄海区东里中学林援山信息技术372062342汕头市澄海区澄华中学林泽民信息技术373062344汕头市河浦中学陈光辉信息技术374062346汕头市潮阳区棉光中学邱平丽计算机375062347汕头市金山中学姚肖华信息技术376062349汕头市教育局电教仪器站洪智电教。
广东省中、初(员)级专业技术资格评审委员会一览表专业系列受理范围日常工作部门联系电话工程技术人员(冶金)工程技术人员宝钢集团广东韶关钢铁有限公司职称改革0751-*******办公室工程技术人员(冶金)工程技术人员宝钢集团广东韶关钢铁有限公司职称改革0751-*******办公室工程技术人员(化工工程工程技术人员广东广业云硫矿业有限公司人力资源部0766-*******工程技术人员(爆破、民全省爆破工程;民爆器广东宏大爆破股份有限公司人力资源部38092868材;民爆安全专业38092888艺术专业艺术专业广东画院三级美术师资格评审委员会办公81362795 、 813631室全省(除广州、深圳两市)土木建筑工程的研工程技术人员(建筑 )究、设计、施工、安装、广东省住房和城乡建设厅人事处86387392测试、生产和技术管理等工程专业工程技术人员(安全工程安全工程技术广东省安全生产监督管理局83135437档案专业人员档案专业广东省档案专业职称改革工作领导小组办38749112公室档案专业人员档案专业广东省档案专业职称改革工作领导小组办38749112公室工程技术人员(电力)工程技术人员广东省电力工程企业协会秘书处020-********,工程技术人员(电力)工程技术人员广东省电力工程企业协会秘书处020-********,工程技术人员(水利工程工程技术人员广东省飞来峡水利枢纽管理处人事科0763-*******在我省从事传统工艺美术工艺美术专业雕刻、陶瓷、理论研究等广东省工艺美术协会020-********从业人员在我省从事传统工艺美术工艺美术专业雕刻、陶瓷、理论研究等广东省工艺美术协会020-********从业人员全省工艺美术、环境艺术设计、平面艺术设计、服工艺美术专业装设计、家具设计、鞋广东省广轻控股集团有限公司87762680类、皮具设计、乐器设计等专业工程技术人员(电子技术全省电子技术人员广东省广晟资产经营有限公司党群人38969200工程技术人员(建筑)工程技术人员(有色金属工程技术人员(化工工程工程技术人员(化工工程工程技术人员(机电工程级技工学校教师技工学校教师技工学校教师工程技术人员广东省广晟资产经营有限公司党群人工程技术人员广东省广晟资产经营有限公司党群人全省石油炼制、高分子化工、有机化工、无机化工、化学工程、化工分析、精细化工等及石油与化工专业的机械、电气、热工、自控与仪表、供排广东省化工工程职称评审日常工作办水、空调、环境保护等专业的应用、研究、技术推广、工程设计、施工、监理、生产与技术管理、科技信息及标准化等工程专业全省石油炼制、高分子化工、有机化工、无机化工、化学工程、化工分析、精细化工等及石油与化工专业的机械、电气、热工、自控与仪表、供排广东省化工工程职称评审日常工作办水、空调、环境保护等专业的应用、研究、技术推广、工程设计、施工、监理、生产与技术管理、科技信息及标准化等工程专业全省(除广州、深圳两广东省机械工程学会市)机电专业全省(除广州、深圳两市)技工院校、职业培训广东省技工学校教师专业资格评审办公室机构和技工教育教研室理论和实习指导教学、教研全省(除广州、深圳两市)技工院校、职业培训广东省技工学校教师专业资格评审办公室机构和技工教育教研室理论和实习指导教学、教研全省(除广州、深圳两市)技工院校、职业培训广东省技工学校教师专业资格评审办公室机构和技工教育教研室理论和实习指导教学、教研389692003896920083347778,83347778,38732721833529658335296583352965工程技术人员(建筑)工程技术人员(建筑)工程技术人员广东省建筑工程集团有限公司职称改020-********工程技术人员广东省建筑工程集团有限公司职称改020-********高等学校教师、实验技术人员、自然科学研究 ( 高等学高等学校教师教学、科研广东省教育厅校) 、社会科学研究(高等学(科技开发)、实验师资管理处校)高等学校教师、实验技术人员、自然科学研究 ( 高等学高等职业院校教师教学、广东省教育厅校) 、社会科学研究(高等学科研(科技开发)、实验师资管理处校)图书资料专业全省学校图书资料专业广东省教育厅师资管理处中等专业学校中等师范学校、教师进修广东省教育厅学校教师 ( 含实验人员)师资管理处工程技术人员(水利工程工程技术人员广东省乐昌峡水利枢纽管理处人事科群众文化专业人员全省群众文化专业省文化厅人事处图书资料专业全省(不含学校)图书资省文化厅人事处料专业文物博物专业全省文物博物研究专业省文化厅人事处受理全省(除广州副高资格外 ) 编剧、导演(编艺术专业导)、指挥、作曲、演奏省文化厅人事处员、演员、美术师、舞美设计、舞台技术的申报。
关于中小学教师中级技术职务评审结果公示的通知关于中小学教师中级技术职务评审结果公示的通知各中小学、直属单位、幼教中心:2009年中小学教师中级技术职务评审工作已结束。
根据上级通知,中级评审结果须公示。
请单位接到通知后,按规定时间做好公示工作(未通过评审的人员的情况,将在职称正式文件下发后,由人事科按照工作惯例主动告之单位)。
太仓市教育局二OO九年八月五日附件一:中学教师中级技术职务评审结果公示附件二:小学(幼儿园)高级教师技术职务评审结果公示附件一:中学教师中级技术职务评审结果公示经本人申报、学校教师职务评审领导小组和推荐小组推荐,并经太仓市中学教师中级资格评审委员会评审,下列七十名同志被推荐评为中学一级教师。
现将评审结果公示,广泛听取意见,接受群众监督。
公示对象:一、中学一级教师(70名)装备管理中心:石志强省职业教育中心校:何花、胡方艳、孙宇峰、黄宗学、龚秋萍、李莹德省太仓高级中学:周荷秀、宋颖、顾宏、黄燕秋、邱剑锋、朱芹芳、卢玉才省沙溪高级中学:李帮志、杨健亨、聂传虎、吕有功、陆金华、杨秋萍、王明军、陆艳萍、陆辉、孙岚明德高级中学:刘道宇、韩发潮、高海燕、程艳德实验高级中学:张俐吉、闫龙市第一中学:朱晓静、吴丹、邵映辉、李婧、陆哲、武绍华太仓实验中学:吴赟、张卫敏、张海燕沙溪实验中学:谭玉琴、张春霞、朱国新新区中学:虞锦梅、范林华、陆燕萍陆渡中学:朱媚明市二中:朱丽华、张奕智、沈文斌、熊惠菊、项向华双凤中学:朱永元沙溪二中:徐焕静、龚菊萍、孙玉芳、陈益锋、黄晓明归庄中学:冯艳芳荣文学校:王雪梅、杨静亚、朱红梅浮桥中学:李爱霞、顾怡金浪中学:韩晓玲浏家港中学:肖玉林新塘小学:金维雄、柏彩亚明德初中:钱海燕、郁玉芳、韩永强公示时间:2009年8月5日——9月5日公示期间,如对公示对象有需要说明的情况,可通过来访、来电、来函等形式与太仓市教育局人事师资科联系。
联系电话:53531169通信地址:太仓市城厢镇人民南路39-1号邮政编码:215400太仓市教育局二OO九年八月五日附件二:小学(幼儿园)高级教师技术职务评审结果公示经本人申报、学校教师职务评审领导小组和推荐小组推荐,并经太仓市小学高级教师资格评审委员会评审,下列六十四名同志被推荐评为小学(幼儿园)高级教师。
附件2:
公示文稿(样式)
经广东省中小学正高级教师职称评审委员会评审,下列人员通过中小学正高级教师职称评审,现予公示。
公示时间从2019年月日至月日止(共7个工作日)。
若对通过人员有异议,请电话或书面向省教育厅师资管理处或其所在单位或上级教育主管部门的人事职改部门或纪检、监察部门反映。
以个人名义反映的应签署或自报本人真实姓名,并留下联系电话;以单位名义反映的应加盖本单位印章。
反映公示对象的情况和问题,应坚持实事求是的原则,不得借机诽谤和诬告。
受理部门:
1.广东省教育厅师资管理处(广州市东风东路723号)
邮政编码:510080 联系人:邱旭英、江远彬
联系电话(传真):(020)37629059/37627294
2、(所在单位或上级教育主管部门人事职改部门或纪检、监察部门)
地址:联系人:
联系电话:
附:2019年XX市(单位)中小学正高级教师职称评审通过人员名单。
中山市人民政府关于公布第三届中山市名教师名校长
的通知
文章属性
•【制定机关】中山市人民政府
•【公布日期】2014.12.09
•【字号】中府〔2014〕125号
•【施行日期】2014.12.09
•【效力等级】地方规范性文件
•【时效性】现行有效
•【主题分类】教师队伍建设
正文
中山市人民政府关于公布第三届中山市名教师名校长的通知
中府〔2014〕125号火炬开发区管委会,翠亨新区管委会,各镇政府、区办事处,市各有关单位:
根据我市推进名教师名校长工程的总体部署和要求,以及《关于贯彻落实“强师工程”提高教育核心竞争力的实施意见》(中府办〔2014〕49号)等文件精神,经市名教师名校长工程领导小组依照有关程序审核,认定中山市沙栏初级中学史汉军等11位教师为第三届中山市“名教师”,中山市第一中学王锡文等3位校长为第三届中山市“名校长”。
附件:第三届中山市名教师名校长名单
中山市人民政府
2014年12月9日附件
第三届中山市名教师名校长名单
一、市名教师(11人,按姓氏笔划排序)
史汉军中山市沙栏初级中学
史良中山市北区中学
华琳(女)中山市第一中学
肖学华中山市东凤镇理工学校
吴海飞(女)中山市实验小学
宋春燕(女)中山市纪中三鑫双语学校
陈树德中山市石岐杨仙逸小学
胡冬梅(女)中山火炬高技术产业开发区第一小学黄伟祥中山市实验小学
梁雪菊(女)中山市教育局教学研究室
楼卫琴(女)中山市教育局教学研究室
二、市名校长(3人,按姓氏笔划排序)
王锡文中山市第一中学
周锦连(女)中山火炬高技术产业开发区第一小学郭敏雄中山市技师学院。