力学第二章质点运动学思考题答案
- 格式:doc
- 大小:1.99 MB
- 文档页数:7
第二章质点运动学(习题)2.1.1 质点的运动学方程为求质点轨迹并用图表示。
解:① . 轨迹方程为 y=5② 消去时间参量 t 得:2.1.2 质点运动学方程为,( 1 ) . 求质点的轨迹;( 2 ) . 求自 t=-1 至 t=1 质点的位移。
解;① 消去 t 得轨迹: xy=1,z=2② , ,2.1.3 质点运动学方程为,( 1 ) . 求质点的轨迹;( 2 ) . 求自 t=0 至 t=1 质点的位移。
解:① . 消去 t 得轨迹方程②2.2.1 雷达站于某瞬时测得飞机位置为,后测得均在铅直平面内。
求飞机瞬时速率的近似值和飞行方向(α角)。
解 :代入数值得:利用正弦定理可解出2.2.2 一小圆柱体沿抛物线轨道运动,抛物线轨道为(长度 mm )。
第一次观察到圆柱体在x=249mm 处,经过时间 2ms 后圆柱体移到 x=234mm 处。
求圆柱体瞬时速度的近似值。
解:2.2.3 一人在北京音乐厅内听音乐,离演奏者 17m 。
另一人在广州听同一演奏的转播,广州离北京 2320km ,收听者离收音机 2m ,问谁先听到声音声速为340m/s, 电磁波传播的速度为。
解 :在广州的人先听到声音。
2.2.4 如果不允许你去航空公司问讯处,问你乘波音747 飞机自北京不着陆飞行到巴黎,你能否估计大约用多少时间如果能,试估计一下(自己找所需数据)。
解 :2.2.5 火车进入弯道时减速,最初列车向正北以 90km/h 速率行驶, 3min 后以 70km/h 速率向北偏西方向行驶。
求列车的平均加速度。
解,2.2.6 ( 1 ) R 为正常数。
求t=0, π /2 时的速度和加速度。
( 2 )求 t=0,1 时的速度和加速度(写出正交分解式)。
解:( 1 )当 t=0 时,当t= π /2 时,( 2 )当 t=0 时,当 t=1 时,2.3.1 图中 a 、 b 和 c 表示质点沿直线运动三种不同情况下的 x-t 图,试说明三种运动的特点(即速度,计时起点时质点的坐标,位于坐标原点的时刻)。
第2章 质点和质点系动力学一斜面的倾角为α, 质量为m 的物体正好沿斜面匀速下滑. 当斜面的倾角增大为β时, 求物体从高为h 处由静止下滑到底部所需的时间.解:设斜面摩擦系数为μ。
当倾角为α时,1sin 0f mg α-=1cos 0N mg α-= 11f N μ= 求得:tg μα=当斜面倾角为β角时,设物块的下滑加速度为a2cos 0N mg β-= 2sin mg f ma β-= 222f N N tg μα==求得:sin cos a g g tg ββα=- 物体从斜面下滑所需要的时间为:21sin 2h at β=t ==用力f 推地面上的一个质量为m 的木箱,力的方向沿前下方, 且与水平面成α角. 木箱与地面之间的静摩擦系数为0μ, 动摩擦系数为k μ. 求:⑴要推动木箱, f 最小为多少使木箱作匀速运动, f 为多少⑵证明当α大于某值时, 无论f 为何值都不能推动木箱, 并求α值.解:⑴当f 的水平分力克服最大静摩擦力时,木箱可以运动,即 ()0cos sin f mg f αμα≥+ 00cos sin mgf μαμα≥-0min 0cos sin mgf μαμα=-使木箱做匀速运动,则()cos sin k f mg f αμα=+ cos sin k k mgf μαμα=-⑵由能推动木箱的条件: ()0cos sin f mg f αμα≥+ 00cos sin f f mg αμαμ-≥若0cos sin 0f f αμα-<时,上式不可能成立,即不可能推动木箱的条件为: 01tg αμ>, 01arctgαμ>质量为5000kg 的直升飞机吊起1500kg 的物体, 以0.6m/s 2的加速度上升, 求:(1)空气作用在螺旋桨上的升力为多少. (2)吊绳中的张力为多少.解:(1)对飞机物体整体进行受力分析,得()()f M m g M m a -+=+()()4650010.2 6.8910f M m g a N =++=⨯=⨯(2)对物体m 进行受力分析,得 T mg ma -=()4150010.6 1.5910T m g a N =+=⨯=⨯质量为m 汽车以速率0v 高速行驶, 受到2kv f -=的阻力作用, k 为常数. 当汽车关闭发动机后, 求:(1)速率v 随时间的变化关系. (2)路程x 随时间的变化关系. (3)证明速率v 与路程x 之间的函数关系为x mke v v -=0.(4)若020/v m s =, 经过15s 后, 速率降为10/t v m s =, 则k 为多少解:由题意, 2dvmkv dt =- 两边积分 020v tv dv k dt v m =-⎰⎰011kt v v m ⎛⎫-=- ⎪⎝⎭即 00001v mv v k m kv t v t m ==+⎛⎫+ ⎪⎝⎭(2)由上式两边积分 0000xtmv dx dt m kv t =+⎰⎰即 0ln m kv t m x k m +⎛⎫=⎪⎝⎭(3)由(1)中得 00mv kv t m v =-,代入(2)中的结果,得 00ln ln mv m m v m m v x k m k v ⎛⎫+- ⎪⎛⎫== ⎪ ⎪⎝⎭⎪⎝⎭ 即 0k x mv v e-=(4)020/v m s =,15t s =,10/t v m s =代入00mv v m kv t=+,求得300m k =质量为m 的质点以初速度0v 竖直上抛, 设质点在运动中受到的空气阻力与质点的速率成正比, 比例系数为0>k .试求:(1)质点运动的速度随时间的变化规律. (2)质点上升的最大高度.解:(1) dvm mg kv dt=--mdvdt mg kv=-+1()kd kv mg dt mg kv m+=-+两边积分 001()vtv k d kv mg dt mg kv m +=-+⎰⎰0lnkv mg kt kv mg m+=-+即 k mg e k mg v v t m k-⎪⎭⎫ ⎝⎛+=-0 (2)由(1)中方程得 dv dv dy dv mg kv mm mv dt dy dt dy--=== ()mg kv mg mvdv m dy dv mg kv k mg kv+--==-++两边积分 00(1)yv v m mgdy dv k mg kv=--+⎰⎰()2020ln m m g mg kvy v v k k mg kv +=-++当0v =时,有 20max02ln mg kv m m g y v k k mg ⎛⎫+=- ⎪⎝⎭自动枪以每分钟发射120发子弹的速率连续发射. 每发子弹的质量为7.9g , 出口速率为735/m s . 求射击时枪托对肩部的平均压力.解:设肩部所受的平均作用力为F ,由动量定理得 Ft mv =∑即 31207.91073511.660mv F N t-⨯⨯⨯==≈∑质点在x 轴上受x 方向的变力F 的作用.F 随时间的变化关系为:在刚开始的0.1s 内均匀由0增至20N ,又在随后的0.2s 内保持不变,再经过0.1s 从20N 均匀地减少到0. 求:(1)力随时间变化的t F -图. (2)这段时间内力的冲量和力的平均值. (3)如果质点的质量为3kg , 初始速度为1/m s , 运动方向与力的方向相同. 当力变为零时, 质点速度为多少解:(1)由题意得(2)由上图得11200.1200.2200.1622I N s =⨯⨯+⨯+⨯⨯=⋅0.5200.1200.20.5200.1150.4I F N t ⨯⨯+⨯+⨯⨯=== (3)由动量定理得 0t I mv mv =- 即 06313/3t I mv v m s m ++⨯===子弹脱离枪口的速度为300/m s , 在枪管内子弹受力为5400410/3F t =-⨯(SI ), 设子弹到枪口时受力变为零. 求:(1)子弹在枪管中的运行的时间. (2)该力冲量的大小. (3)子弹的质量.解:(1)由541040003tF ⨯=-=得3310t s -=⨯ (2)35310004104000.63tt I Fdt dt N s -⨯⎛⎫⨯==-=⋅ ⎪⎝⎭⎰⎰(3)由0I Ft mv ==-得 30.6210300I m kg v -===⨯自由电子在沿x 轴的振荡电场()0cos E t ωϕ=+E i r r中运动, 其中0E , ω, ϕ为常数. 设电子电量为e -, 质量为m , 初始条件为:0=t 时, 00v =v i r r , 00x =r i r r. 略去重力和阻力的作用, 求电子的运动方程.解:由()0cos F eE t ωϕ=-+得 0tvv Fdt mdv =⎰⎰解得()000sin sin eE eEv v t m m ϕωϕωω=+-+ 两边同乘dt 积分,()000sin sin eE eE dx v t dt m m ϕωϕωω⎛⎫=+-+ ⎪⎝⎭两边积分,()ϕωωϕωϕω++⎪⎭⎫⎝⎛++⎪⎭⎫ ⎝⎛-=t m eE t m eE v m eE x x cos sin cos 2000200质量为m 的物体与一劲度系数为k 的弹簧连接, 物体可以在水平桌面上运动, 摩擦系数为μ. 当用一个不变的水平力拉物体, 物体从平衡位置开始运动. 求物体到达最远时, 系统的势能和物体在运动中的最大动能.解:分析物体水平受力,物体受外力、弹性力以及摩擦力,如图所示物体到达最远时,速度为0。
第一章质点运动学1、(习题:一质点在xOy 平面内运动,运动函数为2x =2t,y =4t 8-。
(1)求质点的轨道方程;(2)求t =1 s t =2 s 和时质点的位置、速度和加速度。
解:(1)由x=2t 得,y=4t 2-8 可得: y=x 2-8 即轨道曲线(2)质点的位置 : 22(48)r ti t j =+-r r r由d /d v r t =r r 则速度: 28v i tj =+r r r由d /d a v t =r r 则加速度: 8a j =r r则当t=1s 时,有 24,28,8r i j v i j a j =-=+=rr r rrrrr当t=2s 时,有 48,216,8r i j v i j a j =+=+=r r r r r rr r2、(习题): 质点沿x 在轴正向运动,加速度kv a -=,k 为常数.设从原点出发时速度为0v ,求运动方程)(t x x =.解:kv dtdv-= ⎰⎰-=t v v kdt dv v 001 t k e v v -=0t k e v dtdx-=0 dt e v dx t k tx-⎰⎰=000)1(0t k e kv x --=3、一质点沿x 轴运动,其加速度为a 4t (SI),已知t 0时,质点位于x 10 m处,初速度v0.试求其位置和时间的关系式.解: =a d v /d t 4=t d v 4=t d t ⎰⎰=vv 0d 4d tt t v 2=t 2v d =x /d t 2=t 2t t x txx d 2d 020⎰⎰= x 2= t 3 /3+10 (SI)4、一质量为m 的小球在高度h 处以初速度0v 水平抛出,求:(1)小球的运动方程;(2)小球在落地之前的轨迹方程;(3)落地前瞬时小球的d d r t v ,d d v t v,tvd d .解:(1) t v x 0= 式(1)2gt 21h y -= 式(2) 201()(h -)2r t v t i gt j =+v v v(2)联立式(1)、式(2)得 22v 2gx h y -=(3)0d -gt d rv i j t=v v v 而落地所用时间 gh2t =所以0d d r v i j t =v vd d v g j t=-v v 2202y 2x )gt (v v v v -+=+=2120212202)2(2])([gh v gh g gt v t g dt dv +=+= 5、 已知质点位矢随时间变化的函数形式为22r t i tj =+v vv,式中r 的单位为m ,t 的单位为s .求:(1)任一时刻的速度和加速度;(2)任一时刻的切向加速度和法向加速度。
第二章思考题2.1一均匀物体假如由几个有规则的物体并合(或剜去)而成,你觉得怎样去求它的质心? 2.2一均匀物体如果有三个对称面,并且此三对称面交于一点,则此质点即均匀物体的质心,何故?2.3在质点动力学中,能否计算每一质点的运动情况?假如质点组不受外力作用,每一质点是否都将静止不动或作匀速直线运动?2.4两球相碰撞时,如果把此两球当作质点组看待,作用的外力为何?其动量的变化如何?如仅考虑任意一球,则又如何?2.5水面上浮着一只小船。
船上一人如何向船尾走去,则船将向前移动。
这是不是与质心运动定理相矛盾?试解释之。
2.6为什么在碰撞过程中,动量守恒而能量不一定守恒?所损失的能量到什么地方去了?又在什么情况下,能量才也守恒?2.7选用质心坐标系,在动量定理中是否需要计入惯性力?2.8轮船以速度V 行驶。
一人在船上将一质量为m 的铁球以速度v 向船首抛去。
有人认为:这时人作的功为()mvV mv mV v V m +=-+222212121 你觉得这种看法对吗?如不正确,错在什么地方? 2.9秋千何以能越荡越高?这时能量的增长是从哪里来的?2.10在火箭的燃料全部燃烧完后,§2.7(2)节中的诸公式是否还能应用?为什么? 2.11多级火箭和单级火箭比起来,有哪些优越的地方?第二章思考题解答2.1.答:因均匀物体质量密度处处相等,规则形体的几何中心即为质心,故先找出各规则形体的质心把它们看作质点组,然后求质点组的质心即为整个物体的质心。
对被割去的部分,先假定它存在,后以其负质量代入质心公式即可。
2.2.答:物体具有三个对称面已足以确定该物体的规则性,该三平面的交点即为该物体的几何对称中心,又该物体是均匀的,故此点即为质心的位置。
2.3.答:对几个质点组成的质点组,理论上可以求每一质点的运动情况,但由于每一质点受到周围其它各质点的相互作用力都是相互关联的,往往其作用力难以预先知道;再者,每一质点可列出三个二阶运动微分方程,各个质点组有n 3个相互关联的三个二阶微分方程组,难以解算。
【郑重说明】《理论力学》课程的习题及解答方面的参考书很多,学习者可以通过各种形式阅读与学习,按照学院对教学工作的要求,为了满足学习者使用不同媒体学习的实际需要,通过各种渠道收集、整理了部分习题及参考解答,仅供学习者学习时参考。
由于理论力学的题目解答比较灵活,技巧性也比较强,下面这些解答不一定是最好的方法,也可能会存在不够完善的地方,希望阅读时注意之。
学习理论力学课程更重要的是对物理概念的掌握与理解,学习处理问题的思想与方法,仅盲目的做题目或者阅读现成的答案,很难达到理想的结果。
质点动力学思考题与习题及参考解答思考题(1) 有一质量为m 的珠子, 沿一根置于水平面内的铁丝滑动, 采用自然坐标法描述. 珠子受重力g m W=, 铁丝施与的约束力b Nb n Nn t Nt Ne F e F e F F ++=.t Nt e F 即为滑动摩擦力f F, 设动摩擦因数为μ. 试判断下列各式正误: (1) mg F f μ=; (2) Nb f F F μ= (3)Nn f F F μ=;(4) 22Nb Nnf F F F +=μ(2) 用极坐标系描述单摆的运动. 某甲如思考题(2图(a)规定θ角正向, 得到动力学方程θθsin mg ml -= ; 某乙如思考题(2图(b)规定θ角正向, 则得到θθsin mg ml += . 你认为谁的做法正确?(a) (b)思考题(2图(3) 质量为m 的质点, 由静止开始自高处自由落下. 设空气阻力f F与速度成正比, 比例系数为k . 某甲建立竖直向上的坐标如思考题(3图(a), 得到方程为y k mg y m+-=. 某乙建立竖直向下的坐标如思考题(3图(b), 得到方程为y k mg y m-=.他们列出的方程对吗?(a) (b)思考题(3(4)有人认为: 用极坐标系讨论质点的平面运动时, 如果0≡r F , 则沿径向动量守恒,==rm p r 常量;若0≡θF , 则沿横向动量守恒. 这种看法对吗? (5) 试判断以下二论断是否正确:(1) 若质点对固定点O 的角动量守恒, 则对过O 点的任意固定轴的角动量守恒. (2) 若质点对固定轴的角动量守恒, 则对该轴上任一固定点的角动量守恒.(6) 一质点动量守恒, 它对空间任一固定点的角动量是否守恒? 如质点对空间某一固定点角动量守恒, 该质点动量是否守恒?(7) 当质点做匀速直线运动时, 其动量是否守恒? 角动量是否守恒?(8) 在固定的直角坐标系Oxyz 中, 质量为m 的质点的速度k v j v i v v z y x++=, 所受合力为k F j F i F F z y x ++=. 能否将质点的动能定理r F mv d )21(d 2⋅=向x 轴方向投影而得出分量方程x F mv x x d )21(d 2= 该方程是否正确?思考题解答(1) 仅(4)式正确.(2) 甲正确. 乙错在角度不可以定义为从动线指向定线.(3) 乙的方程正确. 甲错在空气阻力亦应为yk -,y 取负值,y k -取正值. (4) 仅对固定方向才有动量守恒的分量形式. 径向和横向均不是空间固定方向. (5) (1)对;(2)错. (6) 一质点动量守恒,则对空间任一固定点角动量守恒. 质点对空间某一固定点角动量守恒,其动量不一定守恒.(7) 质点作匀速直线运动时,其动量和角动量均守恒.(8) 动能定理是标量方程,不可能投影而得出分量方程. 但xF mv x d )21(d 2=是正确的. 仿照动能定理的导出,用x t v x d d =乘牛顿第二定律的x 分量方程x xF t v m=d d 即可证明.质点动力学习题及参考解答【1】研究自由电子在沿x 轴的振荡电场中的运动. 已知电场强度i t E E)cos(0ϕω+=,ϕω,,0E 为常量. 电子电量为e -, 质量为m . 初始时, 即当0=t 时i x r00=, i v v 00=. 忽略重力及阻力, 求电子的运动学方程.【解】力为时间的函数,积分两次可得)cos(200ϕωω+++=t m eE t V X x ,其中ϕωcos 2000m eE x X -=,ϕωsin 00m eE v V +=.【2】 以很大的初速度0v自地球表面竖直上抛一质点, 设地球无自转并忽略空气阻力, 求质点能达到的最大高度. 已知地球半径为R , 地球表面处重力加速度为g .【解】以地心O 为原点,建立x 轴经抛出点竖直向上. 质点受万有引力沿x 轴负方向. 所以2x GMm xm -= . 因为2R GMmmg =,故g R GM 2=. 故有22x g R x -= . 做变换)2(d d d d d d d d 2x x x x x t x x x x ===,则x x g R x d )2(d 222-= . 积分并用0=t 时R x =,0v x = 定积分常数,得到 )11()(212202R x g R v x -=- . 质点达最大高度时H R x +=,0=x,可求出 1220)21(2--=Rg v g v H .三点讨论:(1)令∞=H ,对应Rg v 20=为第二宇宙速度.(2)若Rg v 220<<,则回到重力场模型所得结果. (3)题中不考虑地球自转及空气阻力,均不大合理,试进一步讨论之.【3】 将质量为m 的质点竖直上抛, 设空气阻力与速度平方成正比, 其大小22gv mk F R =.如上抛初速度为0v , 试证该质点落回抛出点时的速率2201v k v v +=.【解】质点运动微分方程为(Oy 轴竖直向上);上升阶段22y g mk mg y m--=,下降阶段22y g mk mg ym +-=. 【4】向电场强度为E 、磁感应强度为B 的均匀稳定电磁场中入射一电子. 已知B E⊥, 电子初速0v 与E 和B 均垂直, 如题4图所示. 试求电子的运动规律. 设电子电量为e -.题4图【解】令m eB=ω,电子运动微分方程为y xω-=, (1) m eEx y-= ω, (2)0=z . (3)对(2)式求导,利用(1)式得02=+y yω,解出)sin(αω+=t A y . 0=t 时0=y 故0=α,由t A y ωωcos = ,且0=t 时m eBv Ee y0+-= ,故B Bv E A 0+-=,则t B Bv E y ωsin 0+-= . 积分得)cos 1()(20t m eB eB Bv E m y -+-=. 代入(1)式积分可得t m eB eB Bv E m t B E x sin )(20--=.【5】 旋轮线如题5图所示, 可理解为一半径为a 的圆轮在直线上做无滑滚动时轮缘上一点P 的轨迹, 其参数方程为)sin (ϕϕ+=a x , )cos 1(ϕ-=a y . 在重力场中, 设y 轴竖直向上, 一质点沿光滑旋轮线滑动, 试证质点运动具有等时性(绕O 点运动周期与振幅无关).题5图【解】(旋轮线是如图圆轮在直线AB 上作无滑滚动时P 点的轨迹,曲线上P 点切线方向即为轮上P 点速度方向. 因无滑,0P 为瞬心,故P 点切线与P P 0垂直,因此可知P 点切线与x 轴夹角为2ϕ. )以曲线最低点(0=ϕ)为自然坐标原点,弧长正方向与t e 一致. 质点运动微分方程为2sinϕmg s m -= .对曲线参数方程求微分,得ϕϕd )cos 1(d +=a x 和ϕϕd sin d a y =,所以ϕϕd 2cos 2d d d 22a y x s =+=,积分并用0=ϕ时0=s 定积分常数,得2sin 4ϕa s =. 代入质点运动微分方程消去ϕ,得到4=+s a gs ,s 作简谐振动而具有等时性. 其解为)cos(0αω+=t A s ,a g40=ω与振幅无关.【6】 一小球质量为m , 系在不可伸长的轻绳之一端, 可在光滑水平桌面上滑动. 绳的另一端穿过桌面上的小孔, 握在一个人的手中使它向下做匀速运动, 速率为a , 如题【6图所示. 设初始时绳是拉直的, 小球与小孔的距离为R , 其初速度在垂直绳方向上的投影为0v . 试求小球的运动规律及绳的张力.题6图【解】小球运动微分方程为T F r r m -=-)(2θ , (1) 0)2(=+θθr r m , (2)a r-= . (3) 由(3)式求出at R r -=,代入(2)式求出)/(0at R t v -=θ,再由(1)式求出3220)(at R R mv F T -=.【7】 一质量为m 的珠子串在一半径为R 的铁丝做成的圆环上, 圆环水平放置. 设珠子的初始速率为0v , 珠子与圆环间动摩擦因数为μ, 求珠子经过多少弧长后停止运动 (根据牛顿第二定律求解).【解】珠子的运动微分方程为2b 2n d d N N F F t v m+-=μ, (1)n 2/N F mv =ρ, (2)mg F N -=b 0, (3)R =ρ(约束方程). (4)把(2)、(3)、(4)式代入(1)式,作变换sv t v d /)21(d d d 2=,可求出]/)ln[()2/(224020Rg g R v v R s ++=μ.【8】 质量为m 的小球沿光滑的、半长轴为a 、半短轴为b 的椭圆弧滑下, 此椭圆弧在竖直平面内且短轴沿竖直方向. 设小球自长轴端点开始运动时其初速度为零. 求小球达到椭圆弧最低点时对椭圆弧的压力 (根据牛顿第二定律求解). 【解】以椭圆最低点为自然坐标原点O ,弧长正方向指向小球初始位置,θ为切向与水平方向的夹角,小球的运动微分方程为θsin mg vm -= , (1) θρcos /2mg F mv N -=. (2)Oy 竖直向上,将s y d /d sin =θ代入(1)式得s y g s v v d /d d /d -=,积分可求出小球达最低点时gb v 22=. 由轨道方程22x a a by --=求出当0=x 时0='y ,2/a b y ='',由公式可求出22/32)1(1a b y y ='+''=ρ. 再由(2)式求出0=θ时)/21(/cos 22a b mg mv mg F N +=+=ρθ.【9】 力1F 和2F分别作用在长方体的顶角A 和B 上, 长方体的尺寸和坐标系如题【9图所示. 试计算1F 和2F对原点O 及3个坐标轴的力矩.题9图【解】11bF M x =,11aF M y -=,01=z M ,2222/b a bcF M x +=,2222/b a acF M y +-=,02=z M .【10】 已知质量为0m 的质点做螺旋运动, 其运动学方程为t r x ωcos 0=, t r y ωsin 0=,kt z =,k r ,,0ω为常量. 试求: (1)t 时刻质点对坐标原点的角动量;(2) t 时刻质点对过),,(c b a P 点, 方向余弦为),,(n m l 的轴的角动量.【解】由运动学方程求出→v ,根据定义即可求出→→→→→→++--=⨯=k r m j t t t r km i t t t r km v r m L ωωωωωωω200000000)sin (cos )cos (sin ,)]cos ()sin )([(]cos )()sin ([000000),,(a t r k t r c kt m m t r c kt b t r k l m L n m l -+-----=ωωωωωω)sin cos (00200t br t ar r n m ωωωωω--+.【11】 如题【11图所示, 质量为m 的小球安装在长为l 的细轻杆的A 端, 杆的B 端与轴21O O 垂直地固连. 小球在液体中可绕21O O 轴做定轴转动, 轴承1O 和2O 是光滑的. 转动中小球所受液体阻力与角速度成正比, ωαm F R =,α为常量. 设初始角速度为0ω,试求经多少时间后, 角速度减小为初始值的一半,以及在这段时间内小球所转圈数.(忽略杆的质量及所受阻力.)题 11图【解】由对21O O 轴的角动量定理ωαωm l ml t -=)(d d2,积分可得lt /0e αωω-=,求出α/)2ln (l t =. 将角动量定理化为l /d d θαω-=,积分可以求得αωαωθπ4/)r a d (2/00l l ==(圈)【12】 质量为m 的质点沿椭圆轨道运动, 其运动学方程为kt a x cos =, kt b y sin = (k b a ,,为常量). 用两种方法计算质点所受合力在0=t 到k t 4π=时间内所做的功.【解】(1)由动能定理)(4121212222122b a mk mv mv W -=-=.(2)用曲线积分算⎰⎰+=⋅=→→2121)d d (y ym x x m r d F W ,把轨道参数方程kt b y kt a x sin ,cos ==代入,则曲线积分化为对t 的积分,可得同样结果.【13】 试用动能定理求解7题.【解】珠子的动能定理为sF F mv N N d )21(d 2b 2n 2--=μ,参见3.7提示【14】 有一小球质量为m , 沿如题【14图所示的光滑的水平的对数螺旋线轨道滑动. 螺旋线轨道方程为θa e r r -=0, a 为常数. 已知当极角0=θ时,小球初速为0v . 求轨道对小球的水平约束力N F 的大小. (用角动量及动能定理求解, 图中δ为θe 与v 方向间夹角,a =δtg.)题14图【解】因机械能守恒,小球动能不变,因此0v v =.过O 点作z 轴竖直向上(垂直纸面向外),质点对z 轴的角动量δcos rmv L z =. 质点所受对z 轴力矩δsin N z rF M -=. 由对z 轴的角动量定理得δδsin )cos (d d0N rF rmv t -=.由于θθθθθ ar ar t r r v a r -=-===-e d d d d 0,θθ r v =. 故a v v r =-=θδtan . 将它代入角动量定理方程,得到N N arF rF rmv -=-=δtan 0 . 而δδsin sin 0v v v r r -=-== ,所以θδδδa N a r mv a r mv ar mv ar mv F e 11tan 1tan sin 2020220222020+=+=+==.【15】 已知质点所受力F 的3个分量为z a y a x a F x 131211++=,z a y a x a F y232221++=, z a y a x a F z 333231++=,系数)3,2,1,(=j i a ij 都是常量. 这些ij a 满足什么条件时与力F相关的势能存在? 在这些条件被满足的条件下, 计算其势能.【解】当0=⨯∇→F 时势能存在,要求311332232112,,a a a a a a ===. 以原点为势能零点,则)222(21132312233222211xz a zy a xy a z a y a x a V +++++-=.【16】 一带有电荷q 的质点在电偶极子的场中所受的力为3c o s 2r pq F r θ=,3sin r pq F θθ=,p 为偶极距, r 为质点到偶极子中心的距离.试证此力场为有势场.【解】)/cos (d d d )d d (d 2r pq r F r F e r e r F r F r r θθθθθ-=+=+⋅=⋅→→→→→,故为有势场 【17】 如题17图所示, 自由质点在Oxy 平面内运动, 静止中心A 和B 均以与距离成正比的力吸引质点M , 比例系数为k . 试证明势能存在并求出质点的势能.v题【17图【解】y ky x kx y ky ky x b x k b x k r F d 2d 2d )(d )]()([d --=--+--+-=⋅→→)](d [22y x k +-=.故势能存在. 以O 为势能零点,则)(22y x k V +=.【18】 试用机械能守恒定律求解8题.【解】根据机械能守恒定律,以椭圆弧最低点为势能零点,mgbmv =221,可知gb v 2=,参见3.8提示.【20】 将质量为m 的质点竖直抛上于有阻力的媒质中。
大学物理 第一章习题11-1.已知质点位矢随时间变化的函数形式为(cos sin )r =R ωt i ωt j + 其中ω为常量.求:(1)质点的轨道;(2)速度和速率。
解:(1) 由(cos sin )r =R ωt i ωt j +,知:cos x R t ω= ,sin y R t ω=消去t 可得轨道方程:222x y R +=∴质点的轨道为圆心在(0,0)处,半径为R 的圆;(2)由d rv dt=,有速度:sin Rcos v R t i t j ωωωω=-+ 而v v =,有速率:1222[(sin )(cos )]v R t R t R ωωωωω=-+=。
1-2.已知质点位矢随时间变化的函数形式为24(32)r t i t j =++,式中r 的单位为m ,t 的单位为s 。
求:(1)质点的轨道;(2)从0=t 到1=t 秒的位移;(3)0=t 和1=t 秒两时刻的速度。
解:(1)由24(32)r t i t j =++,可知24x t = ,32y t =+ 消去t 得轨道方程为:x =2(3)y -,∴质点的轨道为抛物线。
(2)由d rv dt=,有速度:82v t i j =+ 从0=t 到1=t 秒的位移为:11(82)42r v d t t i j d t i j ∆==+=+⎰⎰(3)0=t 和1=t 秒两时刻的速度为:(0)2v j =,(1)82v i j =+ 。
1-3.已知质点位矢随时间变化的函数形式为22r t i t j =+,式中r 的单位为m ,t 的单位为s .求:(1)任一时刻的速度和加速度;(2)任一时刻的切向加速度和法向加速度。
解:(1)由d r v dt =,有:22v t i j =+,d va dt=,有:2a i =; (2)而v v =,有速率:12222[(2)2]21v t t =+=+∴t dva dt=221t t =+,利用222t n a a a =+有: 22221n t a a a t =-=+。
第二章 质点运动学一、基本知识小结⒈基本概念 22)(dt r d dt v d a dt rd v t r r====)()()(t a t v t r⇔⇔(向右箭头表示求导运算,向左箭头表示积分运算,积分运算需初始条件:000,,v v r r t t===)⒉直角坐标系 ,,ˆˆˆ222z y x r kz j y i x r ++=++= r 与x,y,z 轴夹角的余弦分别为 r z r y r x /,/,/.v v v v v k v j v i v v zy x z y x ,,ˆˆˆ222++=++=与x,y,z 轴夹角的余弦分别为 v v v v v v z y x /,/,/.a a a a a k a j a i a a zy x z y x ,,ˆˆˆ222++=++=与x,y,z 轴夹角的余弦分别为 ./,/,/a a a a a a z y x222222,,,,dtz d dt dv a dt y d dt dv a dt x d dt dv a dtdzv dt dy v dt dx v z z yy x x z y x =========),,(),,(),,(z y x z y x a a a v v v z y x ⇔⇔⒊自然坐标系 ||,,ˆ);(ττττv v dtdsv v v s r r ====ρτττττ22222,,,ˆˆv a dts d dt dv a a a a n a a a n n n ===+=+= )()()(t a t v t s ττ⇔⇔⒋极坐标系 22,ˆˆ,ˆθθθv v v v r v v rr r r r +=+==dtd rv dt dr v r θθ==, ⒌相对运动 对于两个相对平动的参考系',0't t r r r =+=(时空变换)0'v v v+= (速度变换) 0'a a a+= (加速度变换)若两个参考系相对做匀速直线运动,则为伽利略变换,在图示情况下,则有:zz y y x x z z y y x x a a a a a a v v v v V v v tt z z y y Vt x x =====-====-=',','',','',',','y y'Vo x o' x' z z'二、思考题解答2.1质点位置矢量方向不变,质点是否作直线运动?质点沿直线运动,其位置矢量是否一定方向不变?解答:质点位置矢量方向不变,质点沿直线运动。
力学(第二版)漆安慎习题解答第二章质点运动学第二章 质点运动学一、基本知识小结1、基本概念 22)(dtr d dt v d a dtrd v t r r====)()()(t a t v t r ⇔⇔(向右箭头表示求导运算,向左箭头表示积分运算,积分运算需初始条件:000,,v v r r t t ===)2、直角坐标系 ,,ˆˆˆ222z y x r k z j y i x r ++=++= r 与x,y,z 轴夹角的余弦分别为 r z r y r x /,/,/.v v v v v k v j v i v v z y x z y x ,,ˆˆˆ222++=++=与x,y,z 轴夹角的余弦分别为 v v v v v v z y x /,/,/. a a a a a k a j a i a a z y x z y x ,,ˆˆˆ222++=++=与x,y,z 轴夹角的余弦分别为 ./,/,/a a a a a a z y x222222,,,,dt zd dt dv a dt y d dt dv a dt x d dt dv a dtdzv dt dy v dt dx v z z y y x x z y x =========),,(),,(),,(z y x z y x a a a v v v z y x ⇔⇔3、自然坐标系 ||,,ˆ);(ττττv v dtds v v v s r r ====ρτττττ22222,,,ˆˆv a dts d dt dv a a a a n a a a n n n ===+=+= )()()(t a t v t s ττ⇔⇔4、极坐标系 22,ˆˆ,ˆθθθv v v v r v v r r r r r +=+== dtd rv dt dr v r θθ==,5、相对运动 对于两个相对平动的参考系 ',0't t r r r =+=(时空变换) 0'v v v+= (速度变换) 0'a a a+= (加速度变换)若两个参考系相对做匀速直线运动,则为伽利略变换,在图示情况下,则有: zz y y x x z z y y x x a a a a a a v v v v V v v t t z z y y Vt x x =====-====-=',','',','',',','y y' Vo x o' x' z z'二、思考题解答2.1质点位置矢量方向不变,质点是否作直线运动?质点沿直线运动,其位置矢量是否一定方向不变?解答:质点位置矢量方向不变,质点沿直线运动。
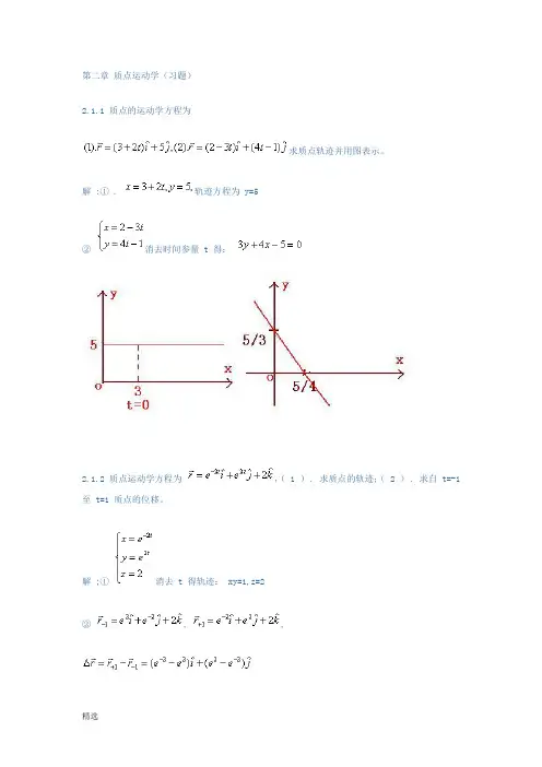
第二章质点运动学(习题)2.1.1 质点的运动学方程为求质点轨迹并用图表示。
解:① . 轨迹方程为 y=5② 消去时间参量 t 得:2.1.2 质点运动学方程为,( 1 ) . 求质点的轨迹;( 2 ) . 求自 t=-1 至 t=1 质点的位移。
解;① 消去 t 得轨迹: xy=1,z=2② , ,2.1.3 质点运动学方程为,( 1 ) . 求质点的轨迹;( 2 ) . 求自 t=0 至 t=1 质点的位移。
解:① . 消去 t 得轨迹方程②2.2.1 雷达站于某瞬时测得飞机位置为, 0.75s 后测得均在铅直平面内。
求飞机瞬时速率的近似值和飞行方向(α角)。
解 :代入数值得:利用正弦定理可解出2.2.2 一小圆柱体沿抛物线轨道运动,抛物线轨道为(长度 mm )。
第一次观察到圆柱体在x=249mm 处,经过时间 2ms 后圆柱体移到 x=234mm 处。
求圆柱体瞬时速度的近似值。
解:2.2.3 一人在北京音乐厅内听音乐,离演奏者 17m 。
另一人在广州听同一演奏的转播,广州离北京 2320km ,收听者离收音机 2m ,问谁先听到声音?声速为340m/s, 电磁波传播的速度为。
解 :在广州的人先听到声音。
2.2.4 如果不允许你去航空公司问讯处,问你乘波音747 飞机自北京不着陆飞行到巴黎,你能否估计大约用多少时间?如果能,试估计一下(自己找所需数据)。
解 :2.2.5 火车进入弯道时减速,最初列车向正北以 90km/h 速率行驶, 3min 后以 70km/h 速率向北偏西方向行驶。
求列车的平均加速度。
解,2.2.6 ( 1 )R 为正常数。
求 t=0, π /2 时的速度和加速度。
( 2 )求 t=0,1 时的速度和加速度(写出正交分解式)。
解:( 1 )当 t=0 时,当 t= π /2 时,( 2 )当 t=0 时,当 t=1 时,2.3.1 图中 a 、 b 和 c 表示质点沿直线运动三种不同情况下的 x-t 图,试说明三种运动的特点(即速度,计时起点时质点的坐标,位于坐标原点的时刻)。
理论力学基本教程(卢圣治著)课后答案下载《理论力学基本教程》是北京师范大学出版社出版的图书,作者是卢圣治。
以下是要与大家分享的理论力学基本教程(卢圣治著),供大家参考!点击此处下载理论力学基本教程(卢圣治著)课后答案??本书是“高等师范教育面向21世纪教学内容和课程体系改革计划”项目中的一个成果,它反映了作者在物理系理论力学这门比较成熟的课程中,在教学内容和教学方法现代化方面取得的进展,作为理论物理的入门课程,本书系统地阐述了经典力学的基本理论,其中包括:1.以理论物理的方式阐述牛顿力学的理论、体系、方法及其应用,突出它在现代科学技术中和科学人才的素质、能力培养方面所起的基础作用。
2.以现代的观点阐述经典力学中更为普遍、更为重要的理论,即以Lagrange和Hamilton为代表创建的理论体系,它是现代物理学发展的基础。
3.反映具有划时代意义的经典力学的新发展。
本书第四章以非线性振动为窗口介绍了非线性力学的基础内容和研究方法,并作为本书的重要内容.同时,以非线性内容教学需要为契机和从信息时代对人才的需求考虑,倡导把计算机和先进数学软件引进教学。
这些做法与国外教材的发展是同步的。
本书包括了作者和北京师范大学物理系长期积累的教学经验,并吸收了国内外教材和著作中的优秀成果。
本书阐述严谨、清晰,具有理论物理的特色;注重于三个基本(即基本概念、基本规律和基本方法),例题、思考题和习题深浅配置恰当,着眼于学生能力和素质的提高;在教材内容安排、处理等方面具有自己的特色。
本书可作为高等院校物理类专业的教材或参考书。
第一章质点运动学§1—1质点运动的矢量描述与直角坐标描述§1—2质点运动的平面极坐标描述§1—3质点运动的柱坐标描述§1—4质点运动的球坐标描述§1—5质点运动的自然坐标描述思考题习题第二章刚体运动学§2—1刚体刚体的平动和转动§2—2刚体的定轴转动角速度的概念§2—3刚体的平面平行运动§2—4刚体的定点运动§2—5自由刚体的一般运动§2—6证明无限小角位移是矢量思考题习题第三章质点动力学§3—1牛顿运动规律§3—2质点运动微分方程§3—3质点的动量定理和动量守恒定律§3—4质点的角动量定理和角动量守恒定律§3—5质点的动能定理和机械能守恒定律§3—6势能曲线质点的平衡和平衡的稳定性思考题习题第四章非线性振动§4—1一维线性振动§4—2一维非线性振动及其微分方程的近似解法§4—3相平面法§4—4用数值计算和相图研究大幅度单摆的运动§4—5自激振动§4—6非线性受迫振动中一些重要现象§4—7能导致混沌的倒摆的受迫振动..§4—8周期倍化分叉——一种通向混沌的道路思考题习题第五章非惯性系中的质点力学§5—1两参考系间速度和加速度的变换关系§5—2非惯性系内质点的动力学方程§5—3非惯性系内质点动力学§5—4地球自转的动力学效应思考题习题第六章质点系动力学§6—1质点系力学的研究方法§6—2质点系的内力§6—3质点系的动量定理和动量守恒定律§6—4质点系的角动量定理和角动量守恒定律§6—5质点系的动能定理和机械能守恒定律§6—6刚体动力学中的简单问题思考题习题第七章分析力学的变分原理§7—1约束的分类广义坐标§7—2虚位移和虚功理想约束§7—3虚功原理§7—4哈密顿原理思考题习题第八章拉格朗日动力学第九章正则方程第十章有心力第十一章刚体定点运动的动力学习题答案1.材料研究方法(王培铭著)课后答案下载2.阳光大学生网课后答案下载合集3.《理论力学》第七版(哈工大理论教研室著)课后答案高等教育出版。
大学物理2-1第二章(质点动力学)习题答案2—1质量为m 的子弹以速率V 。
水平射入沙土中,设子弹所受阻力与速度反向,大小与速度成正比,比例系数为 k ,忽略子弹的重力,求:(1)子弹射入沙土后,速度大小随时间的变化关系;(2)子弹射入沙土的最大深度。
因此mv . Sk2—2质量为m 的小球,在水中受到的浮力为F ,当它从静止开始沉降时,受到水的粘滞阻力为f= kv(k 为常数).若从沉降开始计时,试证明小球在水中竖直沉降的速率V 与时间的关系为[解]设任意时刻子弹的速度为 V ,子弹进入沙土的最大深度为的阻力f= -kv(1) 由牛顿第二定律 f madv m ——dt即dv kv m -dt 所以dv k dtVm 对等式两边积分Vdv k t —dtV)Vm Q得 V k In - tV Qms ,由题意知,子弹所受k t V Q e m由牛顿第二定律dv ma mdt dvkv mv —dx dv dx m—dx dt dv mv — dx所以对上式两边积分得到k dx m k S dx m Q k S mdv V Q QdvV)mg F kkt[证明]任意时刻t 小球的受力如图所示,取向下为 y 轴的正方向,开始沉降处为坐标原点。
由牛顿第二定律得mgmg Ff ma m dvdt率的平方成正比,即 F kv 2.求跳伞员的运动速率V 随时间t 变化的规律和极限速率V T 。
[解]设运动员在任一时刻的速率为v,极限速率为V T ,当运动员受的空气阻力等于运动员及装备的重力时,速率达到极限。
整理得mg Fkvma m-dvdt mg F kv mdvdΓ对上式两边积分dvtdtOmg F kv得mg F In mgFkv kt mFkt即mg V k1 e m2-3跳伞运动员与装备的质量共为m ,从伞塔上跳出后立即张伞,受空气的阻力与速此时即有牛顿第二定律整理得I 2dv mg kv m—dt dvdt mg kv 2m对上式两边积分Vdv t dt 12t整理得2tm kgmg kv 2 0m 2 .. mgkmg .kv .kv2t2te m kg1 -V T 1V 0mg kv ;ln mge mkg1e mkg62-4 一人造地球卫星质量 m=1327kg ,在离地面h 1。
习 题1-1. 已知质点位矢随时间变化的函数形式为)ωt sin ωt (cos j i +=R r其中ω为常量.求:(1)质点的轨道;(2)速度和速率。
解:1) 由)ωt sin ωt (cos j i +=R r 知t c o s R x ω= t s i nR y ω= 消去t 可得轨道方程 222R y x =+2) j r v t R c o s s i n ωωt ωR ωdtd +-==i R ωt ωR ωt ωR ωv =+-=2122])c o s ()s i n [(1-2. 已知质点位矢随时间变化的函数形式为j i r )t 23(t 42++=,式中r 的单位为m ,t 的单位为s .求:(1)质点的轨道;(2)从0=t 到1=t 秒的位移;(3)0=t 和1=t 秒两时刻的速度。
解:1)由j i r )t 23(t 42++=可知2t 4x =t 23y +=消去t 得轨道方程为:2)3y (x -=2)j i r v 2t 8dtd +== j i j i v r 24)dt 2t 8(dt 1010+=+==⎰⎰Δ3) j v 2(0)= j i v 28(1)+=1-3. 已知质点位矢随时间变化的函数形式为j i r t t 22+=,式中r 的单位为m ,t 的单位为s .求:(1)任一时刻的速度和加速度;(2)任一时刻的切向加速度和法向加速度。
解:1)j i r v 2t 2dtd +== i v a 2dtd == 2)212212)1t (2]4)t 2[(v +=+= 1t t 2dt dv a 2t +==n a ==1-4. 一升降机以加速度a 上升,在上升过程中有一螺钉从天花板上松落,升降机的天花板与底板相距为d ,求螺钉从天花板落到底板上所需的时间。
解:以地面为参照系,坐标如图,升降机与螺丝的运动方程分别为20121at t v y += (1) 图 1-4 20221gt t v h y -+= (2) 21y y =(3)解之t =1-5. 一质量为m 的小球在高度h 处以初速度0v 水平抛出,求:(1)小球的运动方程;(2)小球在落地之前的轨迹方程;(3)落地前瞬时小球的t d d r ,t d d v ,tv d d . 解:(1) t v x 0= 式(1)2gt 21h y -= 式(2) j i r )gt 21-h (t v (t)20+= (2)联立式(1)、式(2)得 202v 2gx h y -= (3)j i r gt -v t d d 0= 而 落地所用时间 gh 2t = 所以 j i r 2g h -v t d d 0= j v g td d -= 2202y 2x )gt (v v v v -+=+=212220[()]g t dv dt v gt ==+1-6. 路灯距地面的高度为1h ,一身高为2h 的人在路灯下以匀速1v 沿直线行走。
第二章质点运动学思考题2.1质点位置矢量方向不变,质点是否作直线运动?质点沿直线运动,其位置矢量是否一定方向不变?答:质点位置矢量方向不变,质点沿直线运动。
质点沿直线运动,质点位置矢量方向不一定不变。
如图所示。
2.2若质点的速度矢量的方向不变仅大小改变,质点作何种运动?速度矢量的大小不变而方向改变作何种运动?答:质点的速度矢量的方向不变仅大小改变,质点作变速率直线运动;速度矢量的大小不变而方向改变作匀速率曲线运动。
2.3“瞬时速度就是很短时间内的平均速度”这一说法是否正确?如何正确表述瞬时速度的定义?我们是否能按照瞬时速度的定义通过实验测量瞬时速度?答:“瞬时速度就是很短时间内的平均速度”这一说法不正确。
因为瞬时速度与一定的时刻相对应。
瞬时速度的定义是质点在t时刻的瞬时速度等于t至t+△t时间内平均速度t/r∆∆,当△t→0时的极限,即dtr dtrlimvt=∆∆=→∆。
很难直接测量,在技术上常常用很短时间内的平均速度近似地表示瞬时速度,随着技术的进步,测量可以达到很高的精确度。
2.4试就质点直线运动论证:加速度与速度同号时,质点作加速运动;加速度与速度反号时,作减速运动。
是否可能存在这样的直线运动,质点速度逐渐增加但加速度却在减小?答:,dtdvtvlima xxtx=∆∆=→∆加速度与速度同号时,就是说,0a,0va,0vxxxx<<>>或以a,0vxx>>为例,速度为正表示速度的方向与x轴正向相同,加速度为正表示速度的增量为正,t t ∆+时刻的速度大于t 时刻的速度,质点作加速运动。
同理可说明,0a ,0v x x <<质点作加速运动。
质点在作直线运动中速度逐渐增加但加速度却在减小是可能存在的。
例如初速度为x 0v ,加速度为t 6a x -=,速度为20t0x 0x t21t 6v dt )t 6(v v -+=-+=⎰,,0v ,0a 6t x x >><时,速度逐渐增加。
第二章 质点运动学
思考题
2.1质点位置矢量方向不变,质点是否作直线运动?质点沿直线运动,其位置矢量是否一定方向不变?
答:质点位置矢量方向不变,质点沿直线运动。
质点沿直线运动,质点位置矢量方向不一定不变。
如图所示。
2.2若质点的速度矢量的方向不变仅大小改变,质点作何种运动?速度矢量的大小不变而方向改变作何种运动?
答:质点的速度矢量的方向不变仅大小改变,质点作变速率直线运动;速度矢量的大小不变而方向改变作匀速率曲线运动。
2.3“瞬时速度就是很短时间内的平均速度”这一说法是否正确?如何正确表述瞬时速度的定义?我们是否能按照瞬时速度的定义通过实验测量瞬时速度? 答:“瞬时速度就是很短时间内的平均速度”这一说法不正确。
因为瞬时速度与一定的时刻相对应。
瞬时速度的定义是质点在t 时刻的
瞬时速度等于t 至t+△t 时间内平均速度t /r ∆∆
,当△t →0时的极
限,即
dt r d t r lim v 0t
=
∆∆=→∆。
很难直接测量,在技术上常常用很短时间内的平均速度近似地表示瞬时速度,随着技术的进步,测量可以达到很高的精确度。
2.4试就质点直线运动论证:加速度与速度同号时,质点作加速运动;加速度与速度反号时,作减速运动。
是否可能存在这样的直线运动,质点速度逐渐增加但加速度却在减小?
答:
,dt dv t v lim a x
x 0
t x =∆∆=→∆加速度与速度同号时,就是说,0a ,0v 0a ,0v x x x x <<>>或以0a ,0v x x >>为例,
速度为正表示速度的方向与x 轴正向相同,加速度为正表示速度的
增量为正,t t ∆+时刻的速度大于t 时刻的速度,质点作加速运动。
同理可说明
,0a ,0v x x <<质点作加速运动。
质点在作直线运动中速度逐渐增加但加速度却在减小是可能存在的。
例如初速度为x 0v ,加速度为
t 6a x -=,速度为
2
0t
0x 0x t
2
1t 6v dt )t 6(v v -+=-+=⎰,
,0v ,0a 6t x x >><时,速度逐渐增加。
2.5设质点直线运动时瞬时加速度=x a 常量,试证明在任意相等的
时间间隔内的平均加速度相等。
答:平均加速度
121
x 2x x t t v v a --=
由瞬时加速度
,
dt a dv ,dt a dv ,dt dv a 2
1
2
x 1
x t
t x v v x x x x x ⎰⎰===
得,
121x 2x x t t v v a --=,=x a 常量,即121
x 2x x t t v v a --=
为常
量。
2.6在参照系一定的条件下,质点运动的初始条件的具体形式是否与计时起点和坐标系的选择有关?
答:有关。
例子,以地面为参照系,研究物体的自由下落。
2.7中学时曾学过
as
2v v ,at 21t v s ,at v v 2
02t 200t =-+=+=,这几个
匀变速直线运动的公式,你能否指出在怎样的初始条件下,可得出
这几个公式。
答:0s ,v v ,0t 0===
2.8试画出匀变速直线运动公式(2.
3.7)和(2.3.9)的t v x -图
和t a x
-图。
)9.3.2),......(x x (a 2v v )
7.3.2,......(t a 2
1t v x x 0x 2
x
02x 2
x x 00-=-++=
答:(1)t
a v dt dx
v x x 0x +==
(2)
)x x (2v v tg a 02
x
02
x x --=
α=
2.9对于抛体运动,就发射角为
2 ;,0 ;0π
±
=απ=απ-α>这几种情况说明它们各
代表何种运动。
解答:①下斜抛;②平抛;③竖直上下抛。
2.10抛体运动的轨迹如图所示,试在图中用矢量表示它在A 、B 、C 、D 、E 各点处的速度和加速度。
答:
2.11质点作上斜抛运动时,在何处的速率最大,在何处的速率最小?
答:
t sin g v 2t g v v ,
gt sin v v ,cos v v 02
2
2
00y 0x α-+=-α=α=
求极值,g sin v t 0α=
时,有极小值,即最高点处速率最小。
(O 、
A 处速率最大)
2.12试画出斜抛运动的速率—时间曲线。
解答:t sin g v 2t g v v 02
220α-+=
2.13在利用自然坐标研究曲线运动时,v v v
和、τ三个符号的含
义有什么不同?
解答:τv 为速度在切线单位矢量的投影τ
=τˆv v
,它不同于速率v ,τv 有正负,v v =τ。
v 表示的是速度,沿切线方向,有大小
和方向。
2.14质点沿圆周运动,自A 点起,从静止开始作加速运动,经B 点到C 点;从C 点开始作匀速圆周运动,经D 点直到E 点;自E 点以
后作减速运动,经F 点又到A 点时速度变成零。
用矢量表示出质点在A 、B 、C 、D 、E 、F 各点的法向加速度和切向加速度的方向。
答:
2.15什么是伽利略变换?它所包含的时空观有何特点? 解答:①伽利略变换
;v v ,v v ,v v v ;z z ,y y ,vt x x z z y y x x ='='-='='='-='
②时空观特点
同时性;等时性;等长性。
相对论中的洛伦兹变换:
,1x
c v t t ,z z ,y y ,1vt x x 222β--='='='β--='
,c /v =β当0→β该变换回到伽利略变换。
时空观特点
同时的相对性;运动的杆缩短;运动的时钟变慢。