分式混合运算练习题(中考题汇编)
- 格式:doc
- 大小:58.00 KB
- 文档页数:4
分式的运算例1、下列分式abc 1215,a b b a --2)(3,)(222b a b a ++,b a b a +-22中最简分式的个数是( ).A.1B.2C.3D.4例2.计算:3234)1(x y y x • a a a a 2122)2(2+⋅-+ x y xy 2263)3(÷41441)4(222--÷+--a a a a a 例3、 若432z y x ==,求222z y x zx yz xy ++++的值.例4、计算(1)3322)(c b a - (2)43222)()()(x y x y y x -÷-⋅-(3)2332)3()2(cb a bc a -÷- (4)232222)()()(x y xy xy x y y x -⋅+÷-例5计算:1814121111842+-+-+-+--x x x x x练习:1.计算:8874432284211x a x x a x x a x x a x a --+-+-+--例6.计算:2018119171531421311⨯+⨯++⨯+⨯+⨯练习1、()()()()()()()()1011001431321211++++++++++++x x x x x x x x例7、已知21)2)(1(12++-=+-+x Bx A x x x ,求A. B 的值。
计算下列各题:(1)2222223223xy yx y x y x y x y x ----+--+ (2)1111322+-+--+a a a a .(3)29631a a --+ (4) 21x x --x -1 (5)3a a --263a a a +-+3a,(6)x y y y x x y x xy --++-222 ⑺b a b b a ++-22 ⑻293261623x x x -+--+⑼xy y x y x y x 2211-⋅⎪⎪⎭⎫ ⎝⎛+-- ⑽ 222x x x +--2144x x x --+(11)a a a a a a 4)22(2-⋅+--.2.已知x 为整数,且918232322-++-++x x x x 为整数,求所有的符合条件的x 的值的和.3、混合运算:⑴2239(1)x x x x ---÷ ⑵232224xx x x x x ⎛⎫-÷ ⎪+--⎝⎭ ⑶ a a a a a a 112112÷+---+⑷ 444)1225(222++-÷+++-a a a a a a ⑸)1x 3x 1(1x 1x 2x 22+-+÷-+- ⑹)252(23--+÷--x x x x ⑺221111121x x x x x +-÷+--+⑻2224421142x x x x x x x -+-÷-+-+ ⑼2211xy x y x y x y ⎛⎫÷- ⎪--+⎝⎭⑽ (ab b a 22++2)÷b a b a --22 ⑾22321113x x x x x x x +++-⨯--+⑿ xx x x x x x x x 416)44122(2222+-÷+----+ (13)、22234()()()x y y y x x -⋅-÷-(14)、)252(423--+÷--m m m m (15)、x x x x x x x --+⋅+÷+--36)3(446222(16)、 ()3212221221------⎪⎭⎫ ⎝⎛b a c b b a (17)、⎪⎭⎫ ⎝⎛---÷⎪⎪⎭⎫ ⎝⎛+--x x x x x 23441823224.计算:x xx x x x x x -÷+----+4)44122(22,并求当3-=x 时原式的值.5、先化简,x x x x x x11132-⋅⎪⎭⎫ ⎝⎛+--再取一个你喜欢的数代入求值:6、有这样一道题:“计算22211x x x -+-÷21x x x-+-x 的值,其中x=2 004”甲同学把“x=2 004”错抄成“x=2 040”,但他的计算结果也正确,你说这是怎么回事?7、计算、)1(1+a a +)2)(1(1++a a +)3)(2(1++a a +…+)2006)(2005(1++a a 。
分式混合运算(习题及答案)混合运算(题)例1:混合运算:解:原式可以化简为:frac{4-x}{x-2} \div \frac{12}{x+2-x^2}$$frac{4-x}{x-2} \times \frac{x+2-x^2}{12}$$frac{-(x-4)}{(x-2)(x+4)}$$例2:先化简,然后在$-2\leq x\leq 2$的范围内选取一个合适的整数$x$代入求值.解:先化简原式:frac{x(x+1)}{(x-1)(1-x)} \div \frac{2x}{x+1}$$frac{x(x+1)}{(x-1)(x-1)} \times \frac{x+1}{2x}$$frac{1}{2}$$由于$-2\leq x\leq 2$,且$x$为整数,因此使原式有意义的$x$的值为$-2$,$-1$或$2$。
代入计算可得:当$x=2$时,原式为$-2$。
巩固练1.计算:1)$$\frac{x-y}{x+2y} \div \frac{1}{2x+4y}$$化简原式:frac{x-y}{x+2y} \times \frac{2x+4y}{1}$$frac{2(x-y)}{x+2y}$$2)$$\frac{\frac{a}{a-1}-1}{a^2-2a+1} \div \frac{1}{a+1}$$ 化简原式:frac{\frac{a}{a-1}-1}{(a-1)^2} \times (a+1)$$frac{a-2}{(a-1)^2}$$3)$$\frac{2a-2ab}{a^2-b^2} \div \frac{a+b}{a+b}$$化简原式:frac{2a-2ab}{a^2-b^2} \times \frac{a+b}{a+b}$$frac{2a-2ab}{(a-b)(a+b)} \times \frac{a+b}{1}$$frac{2(1-b)}{a-b}$$4)$$\frac{y-1-\frac{8}{y-1}}{y^2+y} \div\frac{1}{y(y+1)}$$化简原式:frac{y-1-\frac{8}{y-1}}{y(y+1)} \times \frac{y(y+1)}{1}$$ frac{(y-1)^2-8}{y(y+1)^2}$$5)$$\frac{a^2-2ab+b^2}{b}\div \frac{1}{a-b}-1$$化简原式:frac{(a-b)^2}{b} \times \frac{a-b}{1}-1$$frac{(a-b)^3}{b}-1$$6)$$\frac{x^2-4x+4}{x(x-1)} \div \frac{x+2}{x-1}$$化简原式:frac{(x-2)^2}{x(x-1)} \times \frac{x-1}{x+2}$$frac{(x-2)^2}{x(x+2)}$$7)$$\frac{2}{(x-1)^2} - \frac{1}{(x-1)^2(x+1)}$$化简原式:frac{2(x+1)-1}{(x-1)^2(x+1)}$$frac{2x+1}{(x-1)^2(x+1)}$$8)$$\frac{3-x}{2(x-2)} \div \frac{5}{x-2}-\frac{5}{x-3}$$ 化简原式:frac{3-x}{2(x-2)} \times \frac{x-2}{5} - \frac{5}{x-3}$$ frac{(x-3)(x-1)}{2(x-2)5} - \frac{5}{x-3}$$frac{x^2-4x+7}{10(x-2)(x-3)}$$9)$$\frac{x-1}{x+1} \div \frac{x-3}{x-2} - \frac{5}{x^2-3x}$$化简原式:frac{(x-1)(x-2)}{(x+1)(x-3)} - \frac{5}{x(x-3)}$$frac{x^2-3x-2}{x(x-3)(x+1)(x-3)} - \frac{5(x+1)}{x(x-3)(x+1)(x-3)}$$frac{x^2-3x-2-5x-5}{x(x-3)(x+1)(x-3)}$$frac{x^2-8x-7}{x(x-3)(x+1)^2}$$10)$$\frac{1}{(x-1)(x+1)}-\frac{1}{x(x-1)}$$化简原式:frac{x-(x-1)}{x(x-1)(x+1)}$$frac{1}{x(x+1)}$$11)$$\frac{2}{x+y} - \frac{1}{y-x} \times \frac{y^2-x^2}{11}$$化简原式:frac{2(y-x)}{(y-x)(x+y)} - \frac{y+x}{11(x+y)}$$frac{y-x-2}{11(x+y)}$$2.化简求值:1)先化简,再求值:$\frac{x^2+2x+1}{x+2x+2} \div \frac{1}{x+2}$,其中$x=3-1$。
分式的运算一、典型例题例1、下列分式a bc 1215,a b b a --2)(3,)(222b a b a ++,b a b a +-22中最简分式的个数是( ).A.1B.2C.3D.4例2.计算:3234)1(x y y x ∙ a a a a 2122)2(2+⋅-+ x y xy 2263)3(÷41441)4(222--÷+--a a a a a 例3、 若432z y x ==,求222zy x zxyz xy ++++的值.例4、计算(1)3322)(c b a - (2)43222)()()(xy x y y x -÷-⋅-(3)2332)3()2(c b a bc a -÷- (4)232222)()()(xy xy xy x y y x -⋅+÷-例5计算:1814121111842+-+-+-+--x x x x x练习:1.计算:8874432284211x a x x a x x a x x a x a --+-+-+--例6.计算:2018119171531421311⨯+⨯++⨯+⨯+⨯练习1、()()()()()()()()1011001431321211++++++++++++x x x x x x x x例7、已知21)2)(1(12++-=+-+x Bx A x x x ,求A. B 的值。
针对性练习:1.计算下列各题:(1)2222223223xy yx y x y x y x y x ----+--+ (2)1111322+-+--+a a a a .(3)29631a a --+ (4) 21x x --x -1 (5)3a a --263a a a +-+3a ,(6)xy yy x x y x xy --++-222 ⑺b a b b a ++-22 ⑻293261623x x x -+--+⑼xy y x y x y x 2211-⋅⎪⎪⎭⎫ ⎝⎛+-- ⑽ 222x x x +--2144x x x --+(11)a a a a a a 4)22(2-⋅+--.2.已知x 为整数,且918232322-++-++x x x x 为整数,求所有的符合条件的x 的值的和.3、混合运算:⑴2239(1)x x x x ---÷ ⑵232224xx x x x x ⎛⎫-÷ ⎪+--⎝⎭⑶ a a a a a a 112112÷+---+⑷ 444)1225(222++-÷+++-a a a a a a ⑸ )1x 3x 1(1x 1x 2x 22+-+÷-+-⑹ )252(23--+÷--x x x x ⑺ 221111121x x x x x +-÷+--+⑻2224421142x x x x x x x -+-÷-+-+ ⑼2211xy x y x y x y ⎛⎫÷- ⎪--+⎝⎭⑽ (ab b a 22++2)÷ba b a --22 ⑾22321113x x x x x x x +++-⨯--+⑿ x x x x x x x x x 416)44122(2222+-÷+----+ (13)、22234()()()x y y y x x-⋅-÷-(14)、)252(423--+÷--m m m m (15)、x x x x xx x --+⋅+÷+--36)3(446222(16)、 ()3212221221------⎪⎭⎫ ⎝⎛ba cb b a (17)、⎪⎭⎫ ⎝⎛---÷⎪⎪⎭⎫ ⎝⎛+--x x x x x 23441823224.计算:x xx x x x x x -÷+----+4)44122(22,并求当3-=x 时原式的值.5、先化简,x x x x x x11132-⋅⎪⎭⎫ ⎝⎛+--再取一个你喜欢的数代入求值:6、有这样一道题:“计算22211x x x -+-÷21x x x -+-x 的值,其中x=2 004”甲同学把“x=2 004”错抄成“x=2 040”,但他的计算结果也正确,你说这是怎么回事?7、计算、)1(1+a a +)2)(1(1++a a +)3)(2(1++a a +…+)2006)(2005(1++a a 。
分式精华练习题一.解答题1.计算:(1)(2)(﹣2m2n﹣2)2•(3m﹣1n3)﹣3 2.计算:3.化简:.4.化简:5.计算:.6.化简•(x2﹣9)7.计算:.8.计算:+.9.计算:(1);(2).10..11.计算:12.计算:﹣a﹣1.13.计算:(1)(2)14.计算:a﹣2+15.计算:.16.化简:,并指出x的取值范围.17.17.已知ab=1,试求分式:的值.18.计算:﹣19.计算:20.化简21.计算:22.化简:23.计算:(1);(2).24.化简:25.化简:.26化简:27.计算:28.计算:()÷.29.化简.30.计算:﹣x﹣2)1.在下列方程中,关于x 的分式方程的个数(a 为常数)有( )①0432212=+-x x ②.4=a x ③.;4=x a ④.;1392=+-x x ⑤;621=+x ⑥211=-+-ax a x . A.2个 B.3个 C.4个 D.5个 2. 关于x 的分式方程15mx =-,下列说法正确的是( )A .方程的解是5x m =+B .5m >-时,方程的解是正数C .5m <-时,方程的解为负数D .无法确定3.方程x x x-=++-1315112的根是( ) A.x =1 B.x =-1 C.x =83D.x =24.,04412=+-x x 那么x2的值是( ) A.2 B.1 C.-2 D.-15.下列分式方程去分母后所得结果正确的是( )A.11211-++=-x x x 去分母得,1)2)(1(1-+-=+x x x ; B.125552=-+-x x x ,去分母得,525-=+x x ; C.242222-=-+-+-x x x x x x ,去分母得,)2(2)2(2+=+--x x x x ; D.,1132-=+x x 去分母得,23)1(+=-x x ; 6. .赵强同学借了一本书,共280页,要在两周借期内读完.当他读了一半书时,发现平均每天要多读21页才能在借期内读完.他读前一半时,平均每天读多少页?如果设读前一半时,平均每天读x 页,则下面所列方程中,正确的是( )A.21140140-+x x =14 B.21280280++x x =14 C.21140140++x x =14 D.211010++x x =1 7.若关于x 的方程0111=----x xx m ,有增根,则m 的值是( ) A.3 B.2 C.1 D.-18.若方程,)4)(3(1243+-+=++-x x x x B x A 那么A 、B 的值为( ) A.2,1 B.1,2 C.1,1 D.-1,-1 9.如果,0,1≠≠=b b a x 那么=+-ba b a ( ) A.1-x 1 B.11+-x x C.x x 1- D.11+-x x 10.使分式442-x 与6526322+++-+x x x x 的值相等的x 等于( ) A.-4 B.-3 C.1 D.10 二、填空题(每小题3分,共30分) 11. 满足方程2211-=-x x 的x 的值是___ 12. 当x =____时,分式x x ++51的值等于21. 13.分式方程0222=--x xx 的增根是 . 14. 一汽车从甲地开往乙地,每小时行驶v 1千米,t 小时可到达,如果每小时多行驶v 2千米,那么可提前到达________小时.15. 农机厂职工到距工厂15千米的某地检修农机,一部分人骑自行车先走40分钟后,其余人乘汽车出发,结果他们同时到达,已知汽车速度为自行车速度的3倍,若设自行车的速度为x 千米/时,则所列方程为 .16.已知,54=y x 则=-+2222yx y x . 17.=a 时,关于x 的方程53221+-=-+a a x x 的解为零. 18.飞机从A 飞到B 的路程S ’、速度是,1v ,返回的速度是2v ,往返一次的平均速度是 . 19.当=m 时,关于x 的方程313292-=++-x x x m 有增根. 20. 某市在旧城改造过程中,需要整修一段全长2400m 的道路.为了尽量减少施工对城市交通所造成的影响,实际工作效率比原计划提高了20%,结果提前8小时完成任务.求原计划每小时修路的长度.若设原计划每小时修路x m ,则根据题意可得方程 . 三、解答题(共5大题,共60分) 21. .解下列方程 (1)x x x --=+-34231 (2) 2123442+-=-++-x x x x x (3)21124x x x -=--.22. 有一项工程,若甲队单独做,恰好在规定日期完成,若乙队单独做要超过规定日期3天完成;现在先由甲、乙两队合做2天后,剩下的工程再由乙队单独做,也刚好在规定日期完成,问规定日期多少天?24.小兰的妈妈在供销大厦用12.50元买了若干瓶酸奶,但她在百货商场食品自选室内发现,同样的酸奶,这里要比供销大厦每瓶便宜0.2元钱,因此,当第二次买酸奶时,便到百货商场去买,结果用去18.40元钱,买的瓶数比第一次买的瓶数多53倍,问她第一次在供销大厦买了几瓶酸奶?。
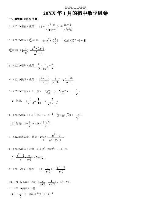
20XX年1月的初中数学组卷一.解答题(共30小题)1.(2012•烟台)化简:.2.(2012•雅安)①计算:②化简.3.(2012•梧州)化简:.4.(2012•陕西)化简:.5.(2012•三明)(1)计算:;(2)化简:.6.(2012•绵阳)(1)计算:(π﹣2)0﹣|+|×(﹣);(2)化简:(1+)+(2x﹣)7.(2012•连云港)化简(1+)÷.8.(2012•淮安)计算:(1)22﹣20120+(﹣6)÷3;(2).9.(2011•资阳)化简:.10.(2011•玉溪)化简:()•(x2﹣9).11.(2011•扬州)计算:(1)|﹣|﹣(﹣2011)0+4÷(﹣2)3(2).12.(2010•南通)计算:(1)(﹣4)2+(π﹣3)0﹣23﹣|﹣5|;(2)÷(1﹣)13.(2010•新疆)计算:14.(2010•常德)化简:15.(2009•重庆)计算:|﹣2|+()﹣1×(π﹣)0﹣+(﹣1)2.16.(2009•长沙)计算:(﹣2)2+2×(﹣3)+()﹣117.(2008•湘潭)计算:|﹣1|+(3﹣π)0﹣()﹣1.18.(2007•肇庆)计算:﹣|﹣1|+(1﹣)0+1﹣119.(2007•盐城)计算:20.(2008•仙桃潜江江汉)计算:|﹣3|+(1﹣)0+﹣()﹣2.21.(2007•宁夏)计算:22.(2007•梅州)计算:.23.(2007•江苏)计算:﹣1+(﹣2)3+|﹣3|﹣24.(2006•南宁)计算:|1﹣3|+()﹣1﹣(sin30°)0.25.(2006•北京)计算:.26.(2005•徐州)计算:(﹣2)2﹣20+()﹣1+﹣.27.(2005•长沙)计算:(1﹣2)0﹣2﹣1+|﹣3|.28.(2003•绍兴)计算:.29.(2001•青海)计算:.30.(2001•北京)计算:.1.(2012•烟台)化简:.2.(2012•雅安)①计算:②化简.ו= 3.(2012•梧州)化简:.•﹣﹣=04.(2012•陕西)化简:.•5.(2012•三明)(1)计算:;(2)化简:.=1++•6.(2012•绵阳)(1)计算:(π﹣2)0﹣|+|×(﹣);(2)化简:(1+)+(2x﹣)(﹣﹣(﹣)﹣+7.(2012•连云港)化简(1+)÷.)÷)8.(2012•淮安)计算:(1)22﹣20120+(﹣6)÷3;(2).••9.(2011•资阳)化简:.÷÷×10.(2011•玉溪)化简:()•(x2﹣9).11.(2011•扬州)计算:(1)|﹣|﹣(﹣2011)0+4÷(﹣2)3(2).﹣,•12.(2010•南通)计算:(1)(﹣4)2+(π﹣3)0﹣23﹣|﹣5|;(2)÷(1﹣)÷)×13.(2010•新疆)计算:14.(2010•常德)化简:15.(2009•重庆)计算:|﹣2|+()﹣1×(π﹣)0﹣+(﹣1)2.16.(2009•长沙)计算:(﹣2)2+2×(﹣3)+()﹣1))17.(2008•湘潭)计算:|﹣1|+(3﹣π)0﹣()﹣1.(18.(2007•肇庆)计算:﹣|﹣1|+(1﹣)0+1﹣1根据算术平方根、绝对值、零指数幂等知识点进行解答,19.(2007•盐城)计算:20.(2008•仙桃潜江江汉)计算:|﹣3|+(1﹣)0+﹣()﹣2.﹣.21.(2007•宁夏)计算:22.(2007•梅州)计算:.)(.任何不等于23.(2007•江苏)计算:﹣1+(﹣2)3+|﹣3|﹣按照实数的运算法则依次计算,注意:),任何不等于24.(2006•南宁)计算:|1﹣3|+()﹣1﹣(sin30°)0.)(=25.(2006•北京)计算:.=226.(2005•徐州)计算:(﹣2)2﹣20+()﹣1+﹣.(27.(2005•长沙)计算:(1﹣2)0﹣2﹣1+|﹣3|.+3=3.28.(2003•绍兴)计算:.)任何不等于29.(2001•青海)计算:.+1.30.(2001•北京)计算:.+1=6.。
分式的混合运算练习题及答案分式的混合运算练习题及答案分式是数学中常见的一种数形式,它由分子和分母组成,分子表示被分割的部分,分母表示总共的部分。
在实际生活中,我们经常会遇到需要进行分式的混合运算的情况,比如在购物时计算折扣、在烹饪中调整食材的比例等等。
下面我将给大家提供一些分式的混合运算练习题及答案,希望对大家的数学学习有所帮助。
1. 小明有1/4千克的苹果,他打算分给5个朋友,每人分多少千克?解答:将1/4千克除以5,即1/4 ÷ 5 = 1/4 × 1/5 = 1/20千克。
所以每人分到的苹果重量为1/20千克。
2. 一桶果汁有3/5升,小红喝了1/4升后,还剩下多少升?解答:将3/5升减去1/4升,即3/5 - 1/4 = 12/20 - 5/20 = 7/20升。
所以还剩下7/20升果汁。
3. 小明用1/2小时走完了全程,他一共用了多少分钟?解答:将1/2小时转换成分钟,即1/2 × 60 = 30分钟。
所以小明一共用了30分钟。
4. 一辆汽车以每小时80公里的速度行驶,行驶了1/4小时后停下来休息,此时汽车行驶了多少公里?解答:将每小时80公里的速度乘以1/4小时,即80 × 1/4 = 20公里。
所以汽车行驶了20公里。
5. 一张长方形的纸片的长是2/3米,宽是1/4米,求纸片的面积。
解答:将长和宽相乘,即2/3 × 1/4 = 2/12 = 1/6平方米。
所以纸片的面积为1/6平方米。
通过以上的练习题,我们可以看到分式的混合运算并不复杂,只需要将题目中的分式进行相应的运算即可得到答案。
在进行分式的混合运算时,我们需要注意分式的基本运算规则,比如分数的加减乘除运算规则,以及分数的化简等等。
熟练掌握这些规则,我们就能够轻松地解决分式的混合运算问题。
当然,在实际生活中,我们还会遇到更加复杂的分式混合运算问题,比如多个分式的加减乘除运算,或者分式与整数的混合运算等等。
For personal use only in study and research; not forcommercial use12.3.分式的加减教学目标:1.使一.解答题1.计算:(1)(2)(﹣2m2n﹣2)2•(3m﹣1n3)﹣3 2.计算:3..4.化简:5.5.计算:.6.化简•(x2﹣9)7.7.计算:.8.计算:+.9.9.计算:(1);(2).(3)10..11.计算:12.计算:﹣a ﹣1.13.计算:(1)(2)14.计算:a﹣2+15.计算:.16.化简:,并指出x的取值范围.17.17.已知ab=1,试求分式:的值.18.18.计算:﹣19.计算:20.化简21.计算:22.化简:23.计算:(1);(2).24.化简:25.化简:.26化简:27.计算:28.计算:()÷.29.化简.30.计算:﹣x﹣2)1.在下列方程中,关于x的分式方程的个数(a为常数)有()①0432212=+-xx②.4=ax③.;4=xa④.;1392=+-xx⑤;621=+x⑥211=-+-axax. A.2个 B.3个 C.4个 D.5个2. 关于x的分式方程15mx=-,下列说法正确的是()A.方程的解是5x m=+B.5m>-时,方程的解是正数C.5m<-时,方程的解为负数D.无法确定3.方程xxx-=++-1315112的根是()A.x=1B.x=-1C.x=83D.x=24.,04412=+-xx那么x2的值是()A.2 B.1 C.-2 D.-15.下列分式方程去分母后所得结果正确的是( )A.11211-++=-x x x 去分母得,1)2)(1(1-+-=+x x x ; B.125552=-+-x x x ,去分母得,525-=+x x ; C.242222-=-+-+-x xx x x x ,去分母得,)2(2)2(2+=+--x x x x ; D.,1132-=+x x 去分母得,23)1(+=-x x ; 6. .赵强同学借了一本书,共280页,要在两周借期内读完.当他读了一半书时,发现平均每天要多读21页才能在借期内读完.他读前一半时,平均每天读多少页?如果设读前一半时,平均每天读x 页,则下面所列方程中,正确的是( )A.21140140-+x x =14 B.21280280++x x =14 C.21140140++x x =14 D.211010++x x =1 7.若关于x 的方程0111=----x xx m ,有增根,则m 的值是( ) A.3 B.2 C.1 D.-1 8.若方程,)4)(3(1243+-+=++-x x x x B x A 那么A 、B 的值为( ) A.2,1 B.1,2 C.1,1 D.-1,-19.如果,0,1≠≠=b b a x 那么=+-ba b a ( ) A.1-x 1 B.11+-x x C.xx 1- D.11+-x x10.使分式442-x 与6526322+++-+x x x x 的值相等的x 等于( )A.-4B.-3C.1D.10 二、填空题(每小题3分,共30分) 11. 满足方程2211-=-x x 的x 的值是___ 12. 当x =____时,分式xx ++51的值等于21. 13.分式方程0222=--x xx 的增根是 . 14. 一汽车从甲地开往乙地,每小时行驶v 1千米,t 小时可到达,如果每小时多行驶v 2千米,那么可提前到达________小时. 15. 农机厂职工到距工厂15千米的某地检修农机,一部分人骑自行车先走40分钟后,其余人乘汽车出发,结果他们同时到达,已知汽车速度为自行车速度的3倍,若设自行车的速度为x 千米/时,则所列方程为 .16.已知,54=y x 则=-+2222y x y x .17.=a 时,关于x 的方程53221+-=-+a a x x 的解为零. 18.飞机从A 飞到B 的路程S ’、速度是,1v ,返回的速度是2v ,往返一次的平均速度是 .19.当=m 时,关于x 的方程313292-=++-x x x m 有增根. 20. 某市在旧城改造过程中,需要整修一段全长2400m 的道路.为了尽量减少施工对城市交通所造成的影响,实际工作效率比原计划提高了20%,结果提前8小时完成任务.求原计划每小时修路的长度.若设原计划每小时修路x m ,则根据题意可得方程 . 三、解答题(共5大题,共60分)21. .解下列方程(1)x x x --=+-34231 (2) 2123442+-=-++-x x x x x (3)21124x x x -=--.22. 有一项工程,若甲队单独做,恰好在规定日期完成,若乙队单独做要超过规定日期3天完成;现在先由甲、乙两队合做2天后,剩下的工程再由乙队单独做,也刚好在规定日期完成,问规定日期多少天? 24.小兰的妈妈在供销大厦用12.50元买了若干瓶酸奶,但她在百货商场食品自选室内发现,同样的酸奶,这里要比供销大厦每瓶便宜0.2元钱,因此,当第二次买酸奶时,便到百货商场去买,结果用去18.40元钱,买的瓶数比第一次买的瓶数多53倍,问她第一次在供销大厦买了几瓶酸奶?仅供个人用于学习、研究;不得用于商业用途。