2018全国新课标三卷
- 格式:pptx
- 大小:24.98 MB
- 文档页数:16
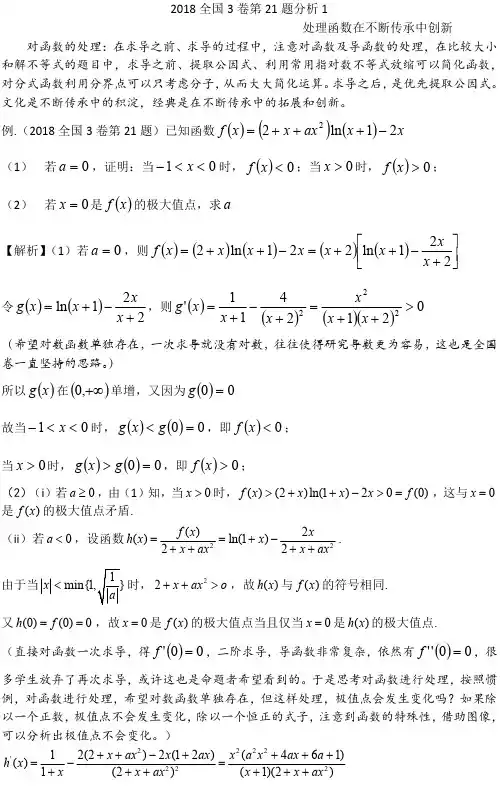
2018全国3卷第21题分析1处理函数在不断传承中创新对函数的处理:在求导之前、求导的过程中,注意对函数及导函数的处理,在比较大小和解不等式的题目中,求导之前、提取公因式、利用常用指对数不等式放缩可以简化函数,对分式函数利用分界点可以只考虑分子,从而大大简化运算。
求导之后,是优先提取公因式。
文化是不断传承中的积淀,经典是在不断传承中的拓展和创新。
例.(2018全国3卷第21题)已知函数()()()xx axx x f 21ln 22-+++=(1)若0=a ,证明:当01<<-x 时,()0<x f ;当0>x 时,()0>x f ;(2)若0=x 是()x f 的极大值点,求a【解析】(1)若0=a ,则()()()()()⎥⎦⎤⎢⎣⎡+-++=-++=221ln 221ln 2x x x x x x x x f 令()()221ln +-+=x xx x g ,则()()()()0212411'222>++=+-+=x x x x x x g (希望对数函数单独存在,一次求导就没有对数,往往使得研究导数更为容易,这也是全国卷一直坚持的思路。
)所以()x g 在()+∞,0单增,又因为()00=g 故当01<<-x 时,()()00=<g x g ,即()0<x f ;当0>x 时,()()00=>g x g ,即()0>x f ;(2)(i )若0a ≥,由(1)知,当0x >时,()(2)ln(1)20(0)f x x x x f >++->=,这与0x =是()f x 的极大值点矛盾.(ii )若0a <,设函数22()2()ln(1)22f x xh x x x ax x ax ==+-++++.由于当min{x <时,22x ax o ++>,故()h x 与()f x 的符号相同.又(0)(0)0h f ==,故0x =是()f x 的极大值点当且仅当0x =是()h x 的极大值点.(直接对函数一次求导,得()00'=f ,二阶求导,导函数非常复杂,依然有()00''=f ,很多学生放弃了再次求导,或许这也是命题者希望看到的。
2011年—2018年新课标全国卷(1卷、2卷、3卷)文科数学试题分类汇编—8.三角函数、解三角形2011年—2018年新课标全国卷Ⅰ文科数学分类汇编7.三角函数、解三角形一、选择题2018年新课标Ⅰ文8题:已知函数$f(x)=2\cos x-\sin x+2$,则$f(x)$的最小正周期为$\pi$,最大值为3.2018年新课标Ⅰ文11题:已知角$\alpha$的顶点为坐标原点,始边与$x$轴的非负半轴重合,终边上有两点$A(1,0)$,$B(2,b)$,且$\cos2\alpha=\frac{1}{5}$,则$a-b=\frac{1}{5}$。
2018年新课标Ⅱ文7题:在$\triangle ABC$中,$\cos C=\frac{5}{\sqrt{26}}$,$BC=1$,$AC=5$,则$AB=5\sqrt{2}$。
2018年新课标Ⅱ文10题:若$f(x)=\cos x-\sin x$在$[0,a]$是减函数,则$a$的最大值是$\frac{3\pi}{4}$。
2018年新课标Ⅲ文4题:若$\sin \alpha=\frac{1}{\sqrt{8}}$,则$\cos 2\alpha=-\frac{7}{8}$。
2018年新课标Ⅲ文6题:函数$f(x)=\frac{\tan x}{1+\tan^2 x}$的最小正周期为$\pi$。
2018年新课标Ⅲ文11题:triangle ABC$的内角$A$,$B$,$C$的对边分别为$a$,$b$,$c$。
若$\triangle ABC$的面积为$4$,则$\cosC=\frac{3}{4}$。
2017年新课标Ⅰ文11题:triangle ABC$的内角$A$、$B$、$C$的对边分别为$a$、$b$、$c$。
已知$\sin B+\sin A(\sin C-\cos C)=\frac{3}{2}$,$a=2$,$c=2$,则$C=\frac{\pi}{3}$。
2018 年全国统一高考政治试卷(新课标Ⅲ)一、选择题:本题共12 题,每小题4 分,共48 分.在每小题给出的四个选项中,只有一项是符合题目要求的.1.(4 分)随着智能手机的功能越来越强大,MP3(音乐播放器)、电子词典、掌上游戏机等电子产品正慢慢淡出人们的视野。
这说明()①市场竞争导致商品优胜劣汰②商品使用价值会影响人的消费选择③功能不同的商品会相互替代④商品使用价值因替代品出现而减小A.①②B.①③C.②④D.③④2.(4 分)我国2013~2017 年全国日均新登记企业数如图所示,据此可以推断出()A.民间资本投资逐年增长B.企业投资回报率逐年提高C.企业的营商环境不断优化D.新增就业人口与新增就业岗位缺口逐年加大3.(4分)中央《关于完善农村土地所有权承包权经营权分置办法的意见》提出,实行农村土地所有权、承包权、经营权分置并行,着力推进农业现代化。
“三权分置”改革对推进农业现代化的影响路径是()①实现土地的适度规模经营②促进土地经营权合理流转③提高农业生产率④明晰土地产权关系A.①→②→④→③B.③→④→②→①C.④→②→①→③D.④→①→②→③4.(4分)某国2013~2017 年对外贸易差额变化如图所示。
下列措施中,有助于该国平衡总体贸易收支的是()①降低进口关税,扩大成套设备进口②制定配套政策,引进国外高新技术③完善产业体系,减少关键零部件进口④优化旅游环境,大力吸引海外游客A.①②B.①③C.②④D.③④5.(4分)国歌与国旗、国徽一样,是国家象征。
2017 年10 月1 日正式施行的《中华人民共和国国歌法》,明确国歌使用的禁止行为,对违反规定情节恶劣的予以处罚。
国歌法的颁布实施,旨在()①增强公民的国家观念②提高国歌的政治地位③维护公民的文化活动权④规范国歌的奏唱、播放和使用A.①②B.①④C.②③D.③④6.(4分)2016 年以来,受中共中央委托,各民主党派中央分别赴8 个贫困人口多、贫困发生率高的中西部省区,深入了解脱贫攻坚工作实际,协助总结各地经验和做法,就存在的困难和问题提出了一系列的监督性意见建议。
2017年普通高等学校招生全国统一考试理综(生物部分)试题全国卷3一、选择题1.下列关于真核细胞中转录的叙述,错误的是A.tRNA、rRNA和mRNA都从DNA转录而来B.同一细胞中两种RNA和合成有可能同时发生C.细胞中的RNA合成过程不会在细胞核外发生D.转录出的RNA链与模板链的相应区域碱基互补2.下列与细胞相关的叙述,错误的是A.动物体内的激素可以参与细胞间的信息传递B.叶肉细胞中光合作用的暗反应发生在叶绿体基质中C.癌细胞是动物体内具有自养能力并快速增殖的细胞D.细胞凋亡是由基因决定的细胞自动结束生命的过程3.植物光合作用的作用光谱是通过测量光合作用对不同波长光的反应(如O2的释放)来绘制的。
下列叙述错误的是A.类胡萝卜素在红光区吸收的光能可用于光反应中ATP的合成B.叶绿素的吸收光谱可通过测量其对不同波长光的吸收值来绘制C.光合作用的作用光谱也可用CO2的吸收速率随光波长的变化来表示D.叶片在640~660 nm波长光下释放O2是由叶绿素参与光合作用引起的4.若给人静脉注射一定量的0.9%NaCl溶液,则一段时间内会发生的生理现象是A.机体血浆渗透压降低,排出相应量的水后恢复到注射前水平B.机体血浆量增加,排出相应量的水后渗透压恢复到注射前水平C.机体血浆量增加,排出相应量的NaCl和水后恢复到注射前水平D.机体血浆渗透压上升,排出相应量的NaCl后恢复到注射前水平5.某陆生植物种群的个体数量减少,若用样方法调查其密度,下列做法合理的是A.将样方内的个体进行标记后再计数B.进行随机取样,适当扩大样方的面积C.采用等距取样法,适当减少样方数量D.采用五点取样法,适当缩小样方的面积6.下列有关基因型、性状和环境的叙述,错误的是A.两个个体的身高不相同,二者的基因型可能相同,也可能不相同B.某植物的绿色幼苗在黑暗中变成黄色,这种变化是由环境造成的C.O型血夫妇的子代都是O型血,说明该性状是由遗传因素决定的D.高茎豌豆的子代出现高茎和矮茎,说明该相对性状是由环境决定的三、非选择题:29.(8分)利用一定方法使细胞群体处于细胞周期的同一阶段,称为细胞周期同步化。
⼝语和书⾯语转换⾼考语⾔得体题——⼝语和书⾯语转换2018年⾼考,全国新课标三套试卷,语⾔得体题都以修改题作为考查形式。
考查重点不局限于谦敬辞的运⽤,⽽是从更⼴的层⾯上考查⽇常⽤语交际和特定场合下书⾯语表达能⼒。
所谓“得体”,⼀般包括⽂体⾊彩、语体⾊彩(⼝语与书⾯语)、感情⾊彩(褒义与贬义)、交际⽬的、交际场合、交际对象、交际⼿段的差异,还要注意敬词、谦词的使⽤(⽤语要注意礼貌的要求)、转述语⾔得体等等。
本节主要针对语⾔得体的⼝语和书⾯语进⾏归类演⽰:⼀、语⾔环境决定着在不同场合使⽤⼝语和书⾯语的不同。
正式场合往往使⽤书⾯语,⾮正式场合使⽤⼝语,需注意⼆者的转换。
双⾳节词和四字词是⽐较端庄正式的,⽽单个字,尤其是动词,以及相当⼀部分三字词组(如动宾结构)都是不太正式的,⼜要切忌把谦辞敬辞和书⾯语混淆起来。
例如:⽣活中的“隆冬快来了”,⽤于正式场合,书⾯语体,就显得过于⼝语化,可以改为“隆冬将⾄”。
再如,“不撞南墙不回头”太⼝语了,改为“执着”。
⼝语“想多了”,改为“过虑”;“请再考虑⼀下”改为“请三思”。
常见转换实例集锦:①表动作完成或效果堵住、换掉、躲开、赶上、拿下、遇上转换:堵住→堵塞;换掉→更换;躲开→躲避;赶上→正逢(正值)……②带词缀“⼦”“⼉”“头”。
管⼦、房⼦、桌⼦、袋⼦、头⼉、花⼉、玩⼉、⽼头、上头、年头、念头、转换:管⼦→管道;房⼦→房屋;桌⼦→课桌(办公桌)……③带词头“打”的词语等。
打算、打听、打探、打坐、打量、打断转换:打算→计划;打听→探听……⼆、不同的⽂体要求⼝语和书⾯语使⽤的不同。
应⽤⽂体主要包括启事,⼴播稿,通知,公告,倡议书,邀请函,声明,稿件等等。
不同的⽂体具有不同的特征,因⽽⽤语也不同。
1、邀请函中若出现“想请”、“到时候”、“说说”、“事情”、“到来”等等词语,均为⼝语,不符合邀请函要⽤书⾯语的要求,可分别改为“特邀”“届时”“商议”“事宜”“光临”。
⼜如:某校张贴的通知中的⽚段:“近⽇,校学⽣社团联合会发现部分未经批准注册成⽴就假借学校社团名义的学⽣或社会团体潜⼊新⽣寝室,进⾏宣传招新,并收取20元⾄100元不等的钱。
2018年全国新课标Ⅲ卷全国3卷高考理科数学试卷及参考答案与试题解析一、选择题:本题共12小题,每小题5分,共60分。
在每小题给出的四个选项中,只有一项是符合题目要求的。
1.(5.00分)已知集合A={x|x-1≥0},B={0,1,2},则A∩B=( )A.{0}B.{1}C.{1,2}D.{0,1,2}2.(5.00分)(1+i)(2-i)=( )A.-3-iB.-3+iC.3-iD.3+i3.(5.00分)中国古建筑借助榫卯将木构件连接起来.构件的凸出部分叫榫头,凹进部分叫卯眼,图中木构件右边的小长方体是榫头.若如图摆放的木构件与某一带卯眼的木构件咬合成长方体,则咬合时带卯眼的木构件的俯视图可以是( )A. B. C. D.4.(5.00分)若sinα=,则cos2α=( )A. B. C.- D.-5.(5.00分)(x2+)5的展开式中x4的系数为( )A.10B.20C.40D.806.(5.00分)直线x+y+2=0分别与x轴,y轴交于A,B两点,点P在圆(x-2)2+y2=2上,则△ABP面积的取值范围是( )A.[2,6]B.[4,8]C.[,3]D.[2,3]7.(5.00分)函数y=-x4+x2+2的图象大致为( )A. B. C.D.8.(5.00分)某群体中的每位成员使用移动支付的概率都为p,各成员的支付方式相互独立.设X为该群体的10位成员中使用移动支付的人数,DX=2.4,P(x=4)<P(X=6),则p=( ) A.0.7 B.0.6 C.0.4 D.0.39.(5.00分)△ABC的内角A,B,C的对边分别为a,b,c.若△ABC的面积为,则C=( )A. B. C. D.10.(5.00分)设A,B,C,D是同一个半径为4的球的球面上四点,△ABC为等边三角形且面积为9,则三棱锥D-ABC体积的最大值为( )A.12B.18C.24D.5411.(5.00分)设F1,F2是双曲线C:-=1(a>0.b>0)的左,右焦点,O是坐标原点.过F2作C的一条渐近线的垂线,垂足为P,若|PF1|=|OP|,则C的离心率为( )A. B.2 C. D.12.(5.00分)设a=log0.20.3,b=log20.3,则( )A.a+b<ab<0B.ab<a+b<0C.a+b<0<abD.ab<0<a+b二、填空题:本题共4小题,每小题5分,共20分。
WORD格式整理绝密★启用前2017 年普通高等学校招生全国统一考试(新课标Ⅲ)理科数学注意事项:1.答卷前,考生务必将自己的姓名、准考证号填写在答题卡上。
2.回答选择题时,选出每小题答案后,用铅笔把答题卡上对应题目的答案标号涂黑。
如需改动,用橡皮擦干净后,再选涂其他答案标号。
回答非选择题时,将答案写在答题卡上。
写在本试卷上无效。
3.考试结束后,将本试卷和答题卡一并交回。
一、选择题:本大题共12 小题,每小题 5 分,共60 分。
在每小题给出的四个选项中,只有一项是符合题目要求的。
1.已知集合 A= ( x,y│)x2y21 ,B= ( x,y│) y x ,则 A B 中元素的个数为A .3 B.2C. 1 D. 02.设复数 z满足 (1+i) z=2i ,则∣ z∣ =1B.2C. 2 D. 2A .2 23.某城市为了解游客人数的变化规律,提高旅游服务质量,收集并整理了2014 年 1 月至2016 年 12 月期间月接待游客量(单位:万人)的数据,绘制了下面的折线图.根据该折线图,下列结论错误的是A .月接待游客量逐月增加B .年接待游客量逐年增加C.各年的月接待游客量高峰期大致在7,8 月份D .各年 1 月至 6 月的月接待游客量相对7 月至 12 月,波动性更小,变化比较平稳专业技术参考资料WORD格式整理4. ( x + y )(2 x - y )5的展开式中 x 3y 3的系数为A .-80 B. -40 C. 40D. 805 .已知双曲线C: x2y2 1 (a > 0,b > 0) 的一条渐近线方程为y5 x , 且与椭圆a2b2 2x2y21有公共焦点,则 C 的方程为12 3A .x2y 2B.x2y2x2y 2x2y28141 C. 1 D. 110 5 5 4 4 36.设函数 f(x)=cos(x+ ),则下列结论错误的是3A .f(x)的一个周期为 -2π B . y=f(x)的图像关于直线x= 8对称3C. f(x+π)的一个零点为x=D .f(x)在 ( , π)单调递减6 27.执行下面的程序框图,为使输出S 的值小于 91,则输入的正整数N 的最小值为A .5B . 4 C. 3 D. 28.已知圆柱的高为1,它的两个底面的圆周在直径为 2 的同一个球的球面上,则该圆柱的体积为A .π3πππB .C.D.4 2 49.等差数列 a n 的首项为 1,公差不为0.若 a2, a3, a6成等比数列,则a n前 6 项的和为A .-24 B.-3 C. 3 D. 8专业技术参考资料WORD格式整理x2y 2 1,( a>b>0)的左、右顶点分别为A1, A2,且以线段 A1A2 为10.已知椭圆 C:b2a2直径的圆与直线bx ay 2ab 0 相切,则 C 的离心率为A . 6 B. 3 C. 2 D.13 3 3 311.已知函数f( x) x22x a(e x 1e x 1 ) 有唯一零点,则a=A . 1 B.1C.1D. 12 3 212.在矩形 ABCD 中,AB=1 ,AD=2 ,动点 P 在以点 C 为圆心且与BD 相切的圆上.若 AP =AB + AD ,则+ 的最大值为A .3B. 2 2 C. 5 D. 2二、填空题:本题共4 小题,每小题5 分,共 20分。
2018年全国统一高考语文试卷(新课标Ⅲ)一、现代文阅读(36分)(一)论述类文本阅读(本题共1小题,9分)1.(9分)阅读下面的文字,完成各题。
对城市而言,文明弹性是一个城市体在生存、创新、适应、应变等方面的综合状态、综合能力,是公共性与私人性之间、多样性与共同性之间、稳定性与变迁性之间、柔性与刚性之间的动态和谐,过于绵柔、松散,或者过于刚硬、密集,都是弹性不足或丧失的表现,是城市体出现危机的表征。
当代城市社会,尤其需要关注以下文明弹性问题。
其一,空间弹性,城市具有良好空间弹性的一个重要表现,是空间的私人性与公共性关系能够得到较为合理的处理。
任何城市空间都是私人性与公共性的统一,空间弹性的核心问题,就是如何实现空间的公共性与私人性的有机统一、具体转换。
片面地强调空间的公共性或片面地强调空间的私人性,都会使城市发展失去基础。
目前,人们更多地要求空间的私人性,注重把空间固化为永恒的私人所有物、占有物。
这种以私人化为核心的空间固化倾向,造成城市空间弹性不足,正在成为制约城市发展的一个重要原因。
其二,制度弹性。
一种较为理想的、有弹性的城市制度,是能够在秩序与活力、生存与发展间取得相对平衡的制度。
城市有其发展周期、发展阶段,对一个正在兴起的城市而言,其主要任务是聚集更多的发展资源、激活发展活力。
而对一个已经发展起来的城市而言,人们会更为注重城市制度的稳定功能。
但问题在于,即使是正在崛起的城市,也需要面对秩序与稳定的问题;即使是一个已经发展起来的城市,也需要面对新活力的激活问题。
过于注重某种形式的城市制度,过于注重城市制度的某种目标,都是城市制度弹性不足、走向僵化的表现,都会妨害城市发展。
其三,意义弹性。
所谓城市的意义弹性,是指城市能够同时满足多样人群的不同层面的意义需要,并能够使不同的意义与价值在总体上达到平衡与和谐,不断形成具体的意义共同性。
当一个城市体只允许一种、一个层面的意义存在时,这个城市体可能繁荣一时,但必然会走向衰落。
2018 年一般高等学校招生全国一致考试( Ⅰ卷 )文科数学注意事项:1.答卷前,考生务势必自己的九名、考生号等填写在答题卡和试卷指定地点上.2.回答选择题时,选出每题答案后,用铅笔把答题卡上对应题目的答案标号涂黑.如需变动,用橡皮擦洁净后,再选涂其余答案标号.回答非选择题时,将答案写在答题卡上,写在本试卷上无效.3.考试结束后,将本试卷和答题卡一并交回.一、选择题(此题共 12 小题,每题 5 分,共60 分.在每题给出的四个选项中,只有一项是切合题目要求的.)1.已知会合 A 0,2 ,B 2 , 1,0 ,1,2 ,则AIB ()A. 0,2 B. 1,2 C. 0 D. 2, 1,0 ,1,21 i,则 z ()2.设z 2i1 iA.0 B.1C. 1 D. 2 23.某地域经过一年的新乡村建设,乡村的经济收入增添了一倍.实现翻番.为更好地认识该地域乡村的经济收入变化状况,统计了该地域新乡村建设前后乡村的经济收入组成比率.获得以下饼图:则下边结论中不正确的选项是()A.新乡村建设后,栽种收入减少B.新乡村建设后,其余收入增添了一倍以上C.新乡村建设后,养殖收入增添了一倍D.新乡村建设后,养殖收入与第三家产收入的总和超出了经济收入的一半4.记 S n为等差数列a n的前n项和.若 3S3 S2 S4, a1 2 ,则 a3 ()A.12 B.10 C.10 D. 125.设函数 f x x 3a 1 x 2ax .若 f x 为奇函数, 则曲线 yf x 在点 0 ,0 处的切线方程为()A . y2xB . y xC . y 2xD . y x6.在 △ ABC 中, AD 为 BC 边上的中线,uuurE 为 AD 的中点,则 EB ()A . 3 uuur1 uuurB . 1 uuur 3 uuur4 AB4 AC 4 AB AC4 C . 3 uuur 1 uuur D . 1 uuur 3 uuur 4 AB4 AC4 AB AC47.某圆柱的高为 2,底面周长为 16,其三视图以下图,圆柱表面上的点 M 在正视图上的对应点为 A ,圆柱表面上的点 N 在左视图上的对应点为 B ,则在此圆柱 侧面上,从 M 到 N的路径中,最短路径的长度为( )A .2 17B .2 5C .3D .28.设抛物线 C :y24 x 的焦点为 F ,过点2 ,0 且斜率为2的直线与 C 交于 M , N 两点,3uuuur uuur ()则FM FNA .5B . 6C .7D . 89.已知函数 f xx, ≤0 , f xf x x a (),若 g x 存在 2 个零点, 则 a 的exln x ,x 0取值范围是A . 1,0B . ,C . 1,D . 1,10.下列图来自古希腊数学家希波克拉底所研究的几何图形,此图由三个半圆组成,三个半圆的直径分别为直角三角形ABC 的斜边 BC ,直角边 AB , AC , △ ABC 的三边所围成的地区记为Ⅰ,黑色部分记为Ⅱ,其余部分记为Ⅲ,在整个图形中随机取一点,此点取自Ⅰ,Ⅱ,Ⅲ的概率分别记为p 1 , p 2 , p 3 ,则( )A . p 1 p 2B . p 1 p 3C . p 2 p 3D . p 1 p 2p 3211.已知双曲线 C :xy 2 1 , O 为坐标原点, F 为 C 的右焦点,过 F 的直线与 C 的两条渐 3近线的交点分别为 M , N .若 △ OMN 为直角三角形,则 MN () A .3B . 3C .2 3D . 4212.设函数 f x2 x, ≤ 0,则知足 f x 1f 2x 的 x 的取值范围是()x 01,yA .,1B . 0,C . 1,0D . ,0二、填空题(此题共 4 小题,每题 5 分,共 20 分)13.已知函数 f xlog 2 x 2 a ,若 f 31 ,则 a________.x 2 y 2 ≤ 014.若 x ,y 知足拘束条件x ≥ 0 ,则 z3x 2 y 的最大值为 ________.y 1y ≤ 015.直线 y x 1 与圆 x 2y 2 2 y 3 0 交于 A ,B 两点,则 AB________ .16. △ ABC 的内角 A ,B ,C 的对边分别为 a ,b ,c ,已知 b sinC csin B4asin Bsin C ,b 2c 2 a 2 8 ,则 △ ABC 的面积为 ________.三、解答题(共70 分。
绝密★启用前2018年普通高等学校招生全国统一考试(新课标III卷)英语注意事项:1. 答卷前,考生务必将自己的姓名、准考证号填写在答题卡上。
2. 回答选择题时,选出每小题答案后,用铅笔把答题卡上对应题目的答案标号涂黑。
如需改动,用橡皮擦干净后,再选涂其他答案标号。
回答非选择题时,将答案写在答题卡上,写在本试卷上无效。
3. 考试结束后,将本试卷和答题卡一并交回。
第一部分听力(共两节,满分30分)做题时,先将答案标在试卷上。
录音内容结束后,你将有两分钟的时间将试卷上的答案转涂到答题卡上。
第一节(共5小题;每小题1.5分,满分7.5分)听下面5段对话,每段对话后有一个小题,从题中所给的A、B、C三个选项中选出最佳答案。
听完每段对话后,你都有10秒钟的时间来回答有关小题和阅读下一小题。
每段对话仅读一遍。
例:How much is the shirt?A.£19.15.B.£9.18.C.£9.15.1.What does John find difficult in learning German?A .Pronunciation. B. V ocabulary. C. Grammar.2.What is the probable relationship between the speakers?A. Colleagues.B. Brother and sister.C. Teacher and student.3.Where does the conversation probably take place?A. In a bank.B. At a ticket office.C. On a train.4. What are the speakers talking about?A.A restaurant.B.A street.C.A dish.5.What does the woman think of her interview?A. It was tough.B. It was interesting.C. It was successful.第二节(共15小题;每小题1.5分,满分22.5分)听下面5段对话或独白,每段对话或独白后有几个小题,从题中所给的A、B、C三个选项中选出最佳选项。
2018年年年年年年(I,II,III) 年年年年年年年年年年年2018年普通高等学校招生全国统一考试年新课标I卷)第二节阅读下面短文,在空白处填入1个适当的单词或括号内单词的正确形式。
According to a review of evidence in a medical journal, runners live three years ___61___(long) than non-runners. You don't have to run fast or forlong___62___(see)the benefit. You may drink, smoke, be overweight and still reduce your risk of ___63___ (die) early by running.While running regularly can't make you live forever, the review says it ___64___ (be) more effective at lengthening life ___65___ walking, cycling or swimming. Two of the authors of the review also made a study published in 2014 ___66___showed a mere five to 10 minutes a day of running reduced the risk of heart disease and early deaths from all ___67___(cause).The best exercise is one that you enjoy and will do. But otherwise… it's probably running. To avoid knee pain, you can run on soft surfaces, do exercises to___68___(strength) your leg muscles(肌肉), avoid hills and get good running shoes. Running is cheap, easy and it's always ___69___(energy). If you are time poor, you need run for only half the time to get the same benefits as other sports, so perhaps weshould all give____70____a try.【答案】61. longer62.to see63. dying64. is65. than66. that \which67. causes68. strengthen69. energetic70. it \running【解析】本文是一篇说明文。
2018年普通高等学校招生全国统一考试(新课标III卷)英语第一部分阅读理解(共两节,满分40分)第一节(共15小题;每小题2分,满分30分)阅读下列短文,从每题所给的A、B、C和D四个选项中,选出最佳选项。
AWelcome to Holker Ha ll & GardensVisitor InformationHow to Get to HolkerBy Car:Follow brown signs an A590 from JB6, M6.Approximale travel times: Windermere-20 minutes, Kendal-25 minutes, Lancaster-45 minutes, Manchester-I hour 30 minutes.z.x.xkBy Rail: The nearest stati on is Cark-in-Cartmel with trains to Carnforth, Lancaster Preston for connections to major cities & airports.Opening TimesSunday-Friday (closed on Saturday) 11:00 am-4:00pm, 30 March-2nd November.Admission ChargesHall & Gardens GardensAdults: £12.00 £8.00Groups £9 £5.5Producers: Market 13th AprilJoin us to taste a variety of fresh local food and drinks. Meet the producers and get some excellent recipe ideas.Holker Garden Festival 30th MayThe event celebrate its 22nd anniversary with a great show of the very best of gardening, making it one of the most popular events in gardening.National Garden Day 28th AugustHolker once again opens is gardens in aid of the disadvantaged. For just a small donation you can take a tour with our garden guide.Winter Market 8th NovemberThis is an event for all the family. Wander among a variety of shops selling gifs while enjoying a live music1show and nice street entertainment.1. How long does it probably take a tourist to drive to Holker from Manchester?A. 20minutes.B.25 minutes.C.45 minutes.D.90 minutes.2. How much should a member of a tour group pay to visit to Hall & Cardens?A.£l2.00.B. B.19.00.C.A8.0D.45.503. Which event will you go to if you want to see a live music show?A. Producers' Market.B. Holker Garden Festival.C. National Garden Day.D. Winter Market.BCities usually have a good reason for being where they are, like a nearby port or river. People settle in these places because they are easy to get to and naturally suited to communications and trade. New York City, for example, is near a large harbour at the mouth of the Hudson River. Over 300 years its population grew gradually from 800 people to 8 million. But not all cities develop slowly over a long period of time. Boom towns grow from nothing almost overnight. In 1896, Dawson, Canada, was unmapped wilderness(荒野). But gold was discovered there in 1897, and two years later, it was one of the largest cities in the West, with a population of 30,000.Dawson did not have any of the natural conveniences of cities like London or Paris. People went there for gold. They travelled over snow-covered mountains and sailed hundreds of miles up icy rivers. The path to Dawson was covered with thirty feet of wet snow that could fall without warming. An avalanche(雪崩) once closed the path, killing 63 people. For many who made it to Dawson, however, the rewards were worth the difficult trip. Of the first 20,000 people who dug for gold, 4,000 got rich. About 100 of these stayed rich men for the rest of their lives.But no matter how rich they were, Dawson was never comfortable. Necessities like food and wood were very expensive. But soon, the gold that Dawson depended on had all been found. The city was crowded with disappointed people with no interest in settling down, and when they heard there were new gold discoveries in Alaska, they left Dawson City as quickly as they had come. Today, people still come and go — to see where the Canadian gold rush happened. Tourism is now the chief industry of Dawson City — its present population is 762.4. What attracted the early settlers to New York City?A. Its business culture.B. Its small population.C. Its geographical position.D. Its favourable climate.25. What do we know about those who first dug for gold in Dawson?A. Two-thirds of them stayed there.B. One out of five people got rich.C. Almost everyone gave up.D. Half of them died.6. What was the main reason for many people to leave Dawson?A. They found the city too crowded.B. They wanted to try their luck elsewhere.C. They were unable to stand the winter.D. They were short of food.7. What is the text mainly about?A. The rise and fall of a city.B. The gold rush in Canada.C. Journeys into the wilderness.D. Tourism in Dawson.CWhile famous foreign architects are invited to lead the designs of landmark buildings in China such as the new CCTV tower and the National Center for the Performing Arts, many excellent Chinese architects are making great efforts to take the center stage.Their efforts have been proven fruitful. Wang Shu, a 49-year-old Chinese architect, won the 2012 Pritzker Architecture Prize — which is often referred to as the Nobel Prize in architecture — on February 28. He is the first Chinese citizen to win this award.Wang serves as head of the Architecture Department at the China Academy of Art (CAA). His office is located at the Xiangshan campus(校园) of the university in Hangzhou, Zhejiang Province. Many buildings on the campus are his original creations.The style of the campus is quite different from that of most Chinese universities. Many visitors were amazed by the complex architectural space and abundant building types. The curves(曲线) of the buildings perfectly match the rise and fall of hills, forming a unique view.Wang collected more than 7 million abandoned bricks of different ages. He asked the workers to usetraditional techniques to make the bricks into walls, roofs and corridors. This creation attracted a lot of attention3thanks to its mixture of modern and traditional Chinese elements(元素).Wang’s works show a deep understanding of modern architecture and a good knowledge of traditions. Through such a balance, he had created a new type of Chinese architecture, said Tadao Ando, the winner of the 1995 Pritzker Prize.Wang believes traditions should not be sealed in glass boxes at museums. "That is only evidence that traditions once existed," he said."Many Chinese people have a misunderstanding of traditions. They think tradition means old things from the past. In fact, tradition also refers to the things that have been developing and that are still being created, " he said."Today, many Chinese people are learning Western styles and theories rather than focusing on Chinese traditions. Many people tend to talk about traditions without knowing what they really are, " said Wang.The study of traditions should be combined with practice. Otherwise, the recreation of traditions would be artificial and empty, he said.8. Wang’s wi nning of the prize means that Chinese architects are ___________.A. following the latest world trendB. getting international recognitionC. working harder than ever beforeD. relying on foreign architects9. What impressed visitors to the CAA Xiangshan campus most?A. Its hilly environment.B. Its large size.C. Its unique style.D. Its diverse functions.10. What made Wang’s architectural design a success?A. The mixture of different shapes.B. The balance of East and West.C. The use of popular techniques.D. The harmony of old and new.11. What should we do about Chinese traditions according to Wang?A. Spread them to the world.B. Preserve them at museums.C. Teach them in universities.D. Recreate them in practice.DAdults understand what it feels like to be flooded with objects. Why do we often assume that more is more4when it comes to kids and their belongings? The good news is that I can help my own kids learn earlier than I did how to live more with less.z.x.xkI found the pre-holidays a good time to encourage young children to donate less-used things, and it worked. Because of our efforts, our daughter Georgia did decide to donate a large bag of toys to a little girl whose mother was unable to pay for her holiday due to illness. She chose to sell a few larger objects that were less often used when we promised to put the money into her school fund(基金)(our kindergarten daughter is serious about becoming a doctor)For weeks, I've been thinking of bigger, deeper questions: How do we make it a habit for them? And how do we train ourselves to help them live with, need, and use less? Yesterday, I sat with my son, Shepherd, determined to test my own theory on this. I decided to play with him with only one toy for as long as it would keep his interest. I expected that one toy would keep his attention for about five minutes, ten minutes, max. I chose a red rubber ball-simple, universally available. We passed it, he tried to put it in his mouth, he tried bouncing it, rolling it, sitting on it, throwing it. It was totally, completely enough for him. Before I knew it an hour had passed and it was time to move on to lunch.We both became absorbed in the simplicity of playing together. He had my full attention and I had his. My little experiment to find joy in a single object worked for both of us.12. What do the words “more is more” in paragraph 1 probably mean?A. The more, the better.B. Enough is enough.C. More money, more worries.D. Earn more and spend more.13.What made Georgia agree to sell some of her objects?A. Saving up for her holidayB. Raising money for a poor girlB. Adding the money to her fund D. Giving the money to a sick mother14. Why did the author play the ball with Shepherd?A. To try out an ideaB. To show a parent's loveC. To train his attentionD. To help him start a hobby15. What can be a suitable title for the text?A. Take It or Leave ItB. A Lesson from KidsC. Live More with LessD. The Pleasure of Giving5第二节(共5小题;每小题2分,满分10分)根据短文内容,从短文后的选项中选出能填入空白处的最佳选项。
绝密★启用前2018年普通高等学校招生全国统一考试(新课标III卷)英语注意事项:1. 答卷前,考生务必将自己的姓名、准考证号填写在答题卡上。
2. 回答选择题时,选出每小题答案后,用铅笔把答题卡上对应题目的答案标号涂黑。
如需改动,用橡皮擦干净后,再选涂其他答案标号。
回答非选择题时,将答案写在答题卡上,写在本试卷上无效。
3.考试结束后,将本试卷和答题卡一并交回。
第一部分听力(共两节,满分30分)做题时,先将答案标在试卷上。
录音内容结束后,你将有两分钟的时间将试卷上的答案转涂到答题卡上。
第一节(共5小题;每小题1.5分,满分7.5分)听下面5段对话,每段对话后有一个小题,从题中所给的A、B、C三个选项中选出最佳答案。
听完每段对话后,你都有10秒钟的时间来回答有关小题和阅读下一小题。
每段对话仅读一遍。
例:Howmuch is the shirt?A.£19.15.B.£9.18.C.£9.15.1.What does John find difficult in learning German?A .Pronunciation.ﻩﻩB. V ocabulary. C.Grammar.2.Whatisthe probable relationship between thespeakers?A. Colleagues.B. Brotherand sister.C.Teacherand student.3.Where does theconversation probably take place?A. Inabank.ﻩﻩB. At a ticketoffice.ﻩﻩC.On a train.4. Whatare the speakerstalking about?A.A restaurant. ﻩB.Astreet.ﻩ C.A dish.5.What does the woman think of her interview?A. Itwas tough.ﻩB.It was interesting.ﻩﻩC.It wassuccessful.第二节(共15小题;每小题1.5分,满分22.5分)听下面5段对话或独白,每段对话或独白后有几个小题,从题中所给的A、B、C三个选项中选出最佳选项。
2018年全国统一高考地理试卷(新课标Ⅲ)一、选择题:本题共4小题,每小题8分,共44分。
在每小题给出的四个选项中,只有一项是符合题目要求的。
油纸伞是我国非物质文化遗产,采用传统方法、全手工制作,油纸伞以竹为骨,以纸或丝绸为面,刷桐油以增强韧性并防水,但长期置于干燥环境中易变脆、开裂。
近年来,油纸伞走俏国际市场。
据此完成1~2题。
1.与现代钢骨布面伞相比,油纸伞走俏国际市场依赖的主要优势是( )A.携带方便B.适用地广C.文化蕴涵D.经久耐用2.下列地区中,宜作为油纸伞重点推销市场的是( )A.欧洲西部B.中亚C.中东D.撒哈拉以南非洲大别山区某国家级贫困县农民可分为跨村种田大户农民、种植自家承包地农民、本地务工务农兼业农民和常年外出务工农民等类型。
该县以当地优势资源为基础的加工企业在县城活力较弱,但在中心集镇活力较强,图示意该县居民点的等级结构。
据此完成3~5题。
3.与县城相比,中心集镇以当地优势资源为基础的加工企业活力较强的主要原因是( )A.基础设施较完善B.更接近消费市场C.资金供应较充裕D.更易招募劳动力4.面向某类型农民的需求,有专家建议在该县推进“村﹣﹣中心集镇双栖”居住模式。
这种模式旨在方便该类型农民( )A.从事商业活动B.留守子女上学C.兼顾务工务农D.扩大种田规模5.为了实施乡村振兴战略,带领农民脱贫致富,该国家级贫困县可采取的有效措施是( )①推广大规模机械化种植②鼓励外出务工农民回乡创业③引导传统农民多种经营④推进中心集镇房地产开发A.①②B.②③C.③④D.①④贝加尔湖(如图)是世界上最深的湖泊,监测表明湖水深度还在加大。
贝加尔湖湖底沉积物巨厚,可达8千米。
据此完成6~8题。
6.贝加尔湖形成于( )A.地壳断陷集水B.火山口集水C.河流改道D.滑坡阻断河流7.贝加尔湖湖底沉积物巨厚,且湖水深度还在加大,说明( )A.湖区降水量加大B.入湖径流增多C.湖盆在加深D.入湖泥沙增多8.贝加尔湖湖水更新缓慢的主要原因是( )A.湖面蒸发弱B.湖泊面积大C.湖水盐度低D.湖水深度大澳大利亚(图1)某地区降水稀少,自然景观极度荒凉,气温年较差大,夏季最高气温可达50℃,冬季气温较低。