川大-第一学期高等数学试题与答案
- 格式:docx
- 大小:42.95 KB
- 文档页数:3
2021年大一高等数学上册试卷及答案(精选版)一、填空题1、求函数 1133+-=x x y 的微分; 【答案】dx x x 232)1(6+ ;2、设函数()sin 4,0,0xx f x x a x ⎧≠⎪=⎨⎪=⎩, 则当a =_________时,()f x 在0x =处连续. 【答案】4a =3、函数211xy x =+-的水平和垂直渐近线共有_______条.【答案】34、解方程 21xy xdx dy -= ; 【答案】C x y =-+2212 ;5、设函数()sin 4,0,0xx f x x a x ⎧≠⎪=⎨⎪=⎩, 则当a =_________时,()f x 在0x =处连续.【答案】4a =二、解答题(难度:中等)1、求函数21x x y -=的微分;【答案】dx x x 221)1(1-- ;2、求曲线1cos x ty t =⎧⎨=-⎩在2t π=处的切线与法线方程. 【答案】sin 1,122dy dyt t t y dx dx ππ=====且 切线:1,1022y x y x ππ-=---+=即法线:1(),1022y x y x ππ-=--+--=即 3、求不定积分①()()13dx x x ++⎰②()0a > ③x xe dx -⎰【答案】 ①11ln ||23x C x +++②ln |x C + ③()1x e x C --++ 4、求方程y xy y x =+'2 满足初始条件4)21(=y 的特解. 【答案】x e x y 122-= ;5、求由曲线21,y x =+ 直线0,0y x ==和1x =所围成的平面图形的面积, 以及此图形绕y 轴旋转所得旋转体的体积. 【答案】12210013(1)()22S x dx x x =+=+=⎰ 112242005210(1)(21)228()5315V x dx x x dxx x x ππππ=+=++=++=⎰⎰。
我在大学本科学习的高数,遗憾的是物理考研不考高数,所以本人对所学的高数书很有感情,总渴望能有个习题集啊,作为物理系学生数学的一个总结,更自信的面对理工科的高数!我们学得比他们还要好,对么??
各位大侠,帮帮忙啊
头秃了了啊!
回楼主(chengbo67) 的帖子我也要一份!!!!!!!!!!!!!!!!!11
回楼主(chengbo67) 的帖子考试急用发一份吧跪求啊哇哇哇****************发一下吧
考试急用发一份吧跪求啊哇哇哇*****************发一下吧
我也要一份!
v好啊,哈萨克哈萨克好
这么好的帖子怎么没人顶?全是精华啊
真的是很好的资料。
考试急用。
哇哇。
发一下吧****************谢谢啦
求发一下啊****************
虚的,还是等我做好了发
谁有?
求好人发资料****************
川大第四版1234册答案发一份吧白了少年头啊****************
请帮忙发一份川大版高等数学(物理专业)第二册、第三册答案。
谢谢!
我也急需,那位朋友有请给我发一份。
****************
我也急需,那位朋友有请给我发一份。
****************
考试急用发一份吧跪求啊
急需第三册和第四册的的哪个好心的大侠帮忙发一分啊****************谢谢啦
考研屋:提供各大机构考研、公务员、四六级辅导视频课程。
《高等数学〔理〕》专科第一次作业答案你的得分: 100.0完成日期:20##12月03日 21点29分一、单项选择题.本大题共25个小题,每小题 4.0 分,共100.0分.在每小题给出的选项中,只有一项是符合题目要求的.< B >A.奇函数B.偶函数C.非奇非偶函数D.以上均不对< A >E. AF. BG. CH. D< B >I.0J. 1K. 2L. 3< D >M.-1N.0O. 1P.不存在< B >Q.有一条渐近线R.有二条渐近线S.有三条渐近线T.无渐近线< C >U. AV. BX. D < C >Y. AZ. BAA.CBB.D < C >CC.ADD.BEE.CFF.D < D >GG.AHH.BII.CJJ.D < C >KK.ALL.BMM.CNN.D < C >OO.APP.BQQ.CRR.D < B >SS.ATT.BUU.CVV.D < D >XX.BYY.CZZ.D < D >AAA.ABBB.BCCC.CDDD.D < C >EEE.AFFF.BGGG.CHHH.D < B >III.AJJJ.BKKK.CLLL.D < B >MMM.ANNN.BOOO.CPPP.D < B >QQQ.0RRR.1SSS.2TTT.3 < D >UUU.AVVV.BWWW.C< C >YYY.AZZZ.BAAAA. CBBBB. D< B >CCCC. ADDDD. BEEEE. CFFFF. D< B >GGGG. AHHHH. BIIII. CJJJJ. D< C >KKKK. ALLLL. BMMMM. CNNNN. D< B >OOOO. APPPP. BQQQQ. CRRRR. D< C >SSSS. ATTTT. BUUUU. CVVVV. DCopyright2007 四川大学网络教育学院所有。
川大《高等数学(Ⅰ)(上)1621》15秋在线作业2满分答案一、单选题(共 50 道试题,共 100 分。
) 1.题目如下图所示正确答案:A. 高阶无穷小B. 低阶无穷小C. 等阶无穷小D. 同阶无穷小,但不等价正确答案:D2.高等数学作业答案题目和选项如下图所示正确答案:A.B.C.D.正确答案:B3.题目和选项如下图所示正确答案:A.B.C.D.正确答案:D4.题目和选项如下图所示正确答案:A.B.C.D.正确答案:A5.题目和选项如下图所示正确答案:A.B.C.D.正确答案:D题目和选项如下图所示正确答案:A.B.C.D.正确答案:B题目和选项如下图所示正确答案:A.B.C.D.正确答案:D8.题目和选项如下图所示正确答案:A.B.C.D.正确答案:C9.题目和选项如下图所示正确答案:A.B.C.D.正确答案:B10.题目和选项如下图所示正确答案:A.B.C.D.正确答案:D11.题目和选项如下图所示正确答案:A.B.D.正确答案:C12.题目和选项如下图所示正确答案:A.B.C.D.正确答案:B13.题目和选项如下正确答案:A.C.D.正确答案:D14.题目和选项如下图所示正确答案:A. 奇函数B. 偶函数C. 既非偶函数由非奇函数正确答案:B15.题目和选项如下图所示正确答案:A.B.C.D.正确答案:D16.题目和选项如下图所示正确答案:A.B.C.D.正确答案:A17.题目如下正确答案:A. 奇函数B. 偶函数C.既非偶函数由非奇函数正确答案:C18.题目和选项如下图所示正确答案:A.B.C.D.正确答案:C19.题目和选项如下图所示正确答案:A.B.C.D.正确答案:B20.题目和选项如下图所示正确答案:A.B.C.D.正确答案:A21.题目和选项如下图所示正确答案:A.B.C.D.正确答案:C22.题目和选项如下图所示正确答案:A.B.C.D.正确答案:A23.题目和选项如下图所示正确答案:A.B.C.D.正确答案:D24.题目和选项如下图所示正确答案:A.B.C.D.正确答案:A25.题目和选项如下图所示正确答案:A.B.C.D.正确答案:B26.题目和选项如下图所示正确答案:A.B.C.D.正确答案:A27.题目和选项如下图所示正确答案:A.B.C.D.正确答案:C28.题目和选项如下图所示正确答案:A.B.C.D.正确答案:A29.题目和选项如下图所示正确答案:A.B.C.D.正确答案:C30.题目如下图所示正确答案:A. 奇函数B. 偶函数C.既非偶函数由非奇函数正确答案:B31.题目和选项如下图所示正确答案:A.B.C.D.正确答案:B32.题目和选项如下图所示正确答案:A.C.D.正确答案:C33.题目和选项如下图所示正确答案:A.B.C.D.正确答案:B34.题目和选项如下图所示正确答案:A.B.C.D.正确答案:D35.题目和选项如下如所示正确答案:A.B.C.D.正确答案:A36.题目和选项如下图所示正确答案:A.B.C.D.正确答案:B37.题目和选项如下图所示正确答案:A.B.C.D.正确答案:B38.题目和选项如下图所示正确答案:A.B.C.正确答案:D39.题目和选项如下图所示正确答案:A.B.C.D.正确答案:B40.题目和选项如下图所示正确答案:A.B.C.D.正确答案:C41.题目和选项如下图所示正确答案:A.B.C.D.正确答案:C42.题目和选项如下图所示正确答案:A.B.C.D.正确答案:B43.题目和选项如下图所示正确答案:A.B.C.D.正确答案:A44.题目和选项如下图所示正确答案:A.B.C.正确答案:B45.题目和选项如下图所示正确答案:A.B.C.D.正确答案:D46.题目和选项如下图所示正确答案:A.B.C.D.正确答案:D47.题目和选项如下图所示正确答案:A.B.C.D.正确答案:B48.题目和选项如下图所示正确答案:A.B.C.D.正确答案:D49. 题目如下正确答案:A. 奇函数B. 偶函数C. 既非偶函数由非奇函数正确答案:A50.题目和选项如下图所示正确答案:A.C.D.正确答案:C。
大一高数试题及答案一、填空题(每小题1分,共10分)________ 11.函数y=arcsin√1-x2+────── 的定义域为_________√1-x2_______________。
2.函数y=x+ex上点(0,1)处的切线方程是______________。
f(Xo+2h)-f(Xo-3h)3.设f(X)在Xo可导且f'(Xo)=A,则lim───────────────h→o h= _____________。
4.设曲线过(0,1),且其上任意点(X,Y)的切线斜率为2X,则该曲线的方程是____________。
x5.∫─────dx=_____________。
1-x416.limXsin───=___________。
x→∞ X7.设f(x,y)=sin(xy),则fx(x,y)=____________。
_______R √R2-x28.累次积分∫ dx∫ f(X2+Y2)dy化为极坐标下的累次积分为____________。
0 0d3y3d2y9.微分方程─── +──(─── )2的阶数为____________。
dx3xdx2∞ ∞10.设级数∑ an发散,则级数∑ an _______________。
n=1 n=1000二、单项选择题(在每小题的四个备选答案中,选出一个正确的答案,将其码写在题干的(),1~10每小题1分,11~20每小题2分,共30分)(一)每小题1分,共10分11.设函数f(x)=── ,g(x)=1-x,则f[g(x)]=()x111①1-── ②1+── ③ ──── ④xxx1-x12.x→0 时,xsin──+1是()x①无穷大量②无穷小量③有界变量④无界变量3.下列说法正确的是()①若f( X )在 X=Xo连续,则f( X )在X=Xo可导②若f( X )在 X=Xo不可导,则f( X )在X=Xo不连续③若f( X )在 X=Xo不可微,则f( X )在X=Xo极限不存在④若f( X )在 X=Xo不连续,则f( X )在X=Xo不可导4.若在区间(a,b)恒有f'(x)〈0,f"(x)〉0,则在(a,b)曲线弧y=f(x)为()①上升的凸弧②下降的凸弧③上升的凹弧④下降的凹弧5.设F'(x) =G'(x),则()① F(X)+G(X) 为常数② F(X)-G(X) 为常数③ F(X)-G(X) =0dd④ ──∫F(x)dx=──∫G(x)dxdxdx16.∫ │x│dx=()-1① 0② 1③ 2④ 37.方程2x+3y=1在空间表示的图形是()①平行于xoy面的平面②平行于oz轴的平面③过oz轴的平面④直线x8.设f(x,y)=x3+y3+x2ytg── ,则f(tx,ty)=()y①tf(x,y)②t2f(x,y)1③t3f(x,y)④ ──f(x,y)t2an+1∞9.设an≥0,且lim───── =p,则级数∑an()n→∞ a n=1①在p〉1时收敛,p〈1时发散②在p≥1时收敛,p〈1时发散③在p≤1时收敛,p〉1时发散④在p〈1时收敛,p〉1时发散10.方程y'+3xy=6x2y是()①一阶线性非齐次微分方程②齐次微分方程③可分离变量的微分方程④二阶微分方程(二)每小题2分,共20分11.下列函数中为偶函数的是()①y=ex②y=x3+1③y=x3cosx④y=ln│x│12.设f(x)在(a,b)可导,a〈x1〈x2〈b,则至少有一点ζ∈(a,b)使()①f(b)-f(a)=f'(ζ)(b-a)②f(b)-f(a)=f'(ζ)(x2-x1)③f(x2)-f(x1)=f'(ζ)(b-a)④f(x2)-f(x1)=f'(ζ)(x2-x1)13.设f(X)在 X=Xo 的左右导数存在且相等是f(X)在 X=Xo 可导的()①充分必要的条件②必要非充分的条件③必要且充分的条件④既非必要又非充分的条件d14.设2f(x)cosx=──[f(x)]2,则f(0)=1,则f(x)=()dx①cosx②2-cosx③1+sinx④1-sinx15.过点(1,2)且切线斜率为4x3的曲线方程为y=()①x4②x4+c③x4+1④x4-11 x16.lim─── ∫ 3tgt2dt=()x→0 x3 01① 0②1③ ── ④ ∞3xy17.limxysin───── =()x→0 x2+y2y→0① 0② 1③ ∞ ④ sin118.对微分方程y"=f(y,y'),降阶的方法是()① 设y'=p,则y"=p'dp② 设y'=p,则y"=───dydp③ 设y'=p,则y"=p───dy1dp④ 设y'=p,则y"=── ───pdy∞ ∞19.设幂级数∑ anxn在xo(xo≠0)收敛,则∑ anxn在│x│〈│xo│()n=o n=o①绝对收敛②条件收敛③发散④收敛性与an有关sinx20.设D域由y=x,y=x2所围成,则∫∫ ─────dσ=()D x1 1 sinx① ∫ dx∫ ───── dy0 x x__1 √y sinx② ∫ dy∫ ─────dx0 y x__1 √x sinx③ ∫ dx∫ ─────dy0 x x__1 √x sinx④ ∫ dy∫ ─────dx0 x x三、计算题(每小题5分,共45分)___________/x-11.设y=/────── 求y' 。
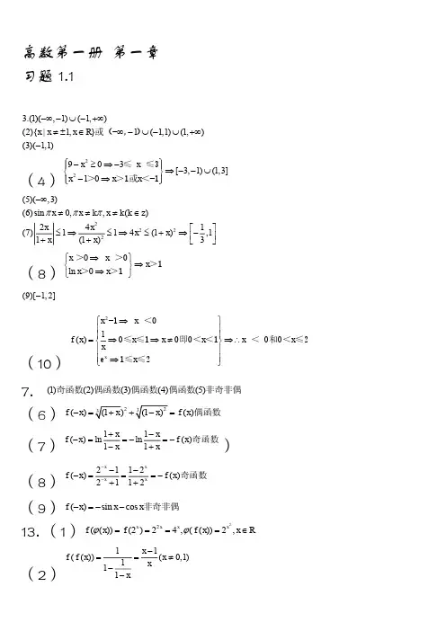
高数第一册 第一章 习题1.13.(1)(,1)(1,)(2){|1,}1(1,1)(1,)(3)(1,1)x x x R -∞-⋃-+∞≠±∈∞-⋃-⋃+∞-或(-,)(4)22903[3,1)(1,3]10x x x x x ⎧⎫-≥⇒-⎪⎪⇒--⋃⎨⎬-⇒⎪⎪⎩⎭≤ ≤3>>1或<-12222(5)(,3)(6)sin 0,,()241(7)114(1),11(1)3x x k x k k z x x x x x x πππ-∞≠≠≠∈⎡⎤≤⇒≤⇒≤+⇒-⎢⎥++⎣⎦(8)0ln 0x x x x x ⎧⎫⇒⇒⎨⎬⇒⎩⎭> >0>1>>1(9)[1,2]-(10)21()x x x f x x x x x x x x ⎧⎫⇒⎪⎪⎪⎪=⇒⇒≠⇒∴⎨⎬⎪⎪⎪⎪⇒⎩⎭-1 <00≤≤10即0<<1 < 0和0<≤2e 1≤≤27.(1)(2)(3)(4)(5)奇函数偶函数偶函数偶函数非奇非偶(6)2()()f x f x -=+=偶函数(7)11()lnln ()11x xf x f x x x+--==-=--+奇函数)(8)2112()()2112x xx xf x f x -----===-++奇函数(9)()sin cos f x x x -=--非奇非偶 13.(1)22(())(2)24,(())2,xxxx f x f f x x Rϕϕ====∈(2)11(())(0,1)111x f f x x xx-==≠--(3)32221,()(1)3(1)256()56(1)(1)5(1)6x t f t t t t t f x x x f x x x +==---+=-+∴=-++=+-++则x=t-1,或:14.[]22(1)(0)0.(2)0,111111(3)01(4)1lg ,lg 1,lg 1,.1(5)11()(6)1log (16)y x x y x y y x y x x y y y xx y x y y x xy xx x y x x x =≤≤+∞=≥=++===≠-+==-=--=≠-+∞⎧=≤≤∞反函数反函数x=,x-1=,x=1+反函数y ,定义域反函数定义域x >0反函数,定义域(x )-<<1反函数16)<<+⎫⎪⎬⎪⎩⎭习题1.2 2。
川大版高等数学(第一册)部分课后题答案[1]高数第一册 第一章习题1.1«Skip Record If...»(4)«Skip Record If...»«Skip Record If...»(8)«Skip Record If...»«Skip Record If...»(10)«Skip Record If...»7.«Skip Record If...»(6)«Skip Record If...»(7)«Skip Record If...»)(8)«Skip Record If...»(9)«Skip Record If...»13.(1)«Skip Record If...»(2)«Skip Record If...»(3)32221,()(1)3(1)256()56(1)(1)5(1)6x t f t t t t t f x x x f x x x +==---+=-+∴=-++=+-++则x=t-1,或:14.«Skip Record If...»习题1.22。
(1) «Skip Record If...»,解不等式«Skip Record If...»,得«Skip Record If...»(2) «Skip Record If...»,解不等式«Skip Record If...»,得«Skip Record If...»(3) «Skip Record If...»,解不等式«Skip Record If...»,得«Skip Record If...»当«Skip Record If...»时,«Skip Record If...»(4) «Skip Record If...»,解不等式«Skip Record If...»,得«Skip Record If...»3.证:«Skip Record If...»«Skip Record If...»,有«Skip Record If...»。
高数第一册 第一章 习题1.13.(1)(,1)(1,)(2){|1,}1(1,1)(1,)(3)(1,1)x x x R -∞-⋃-+∞≠±∈∞-⋃-⋃+∞-或(-,) (4)22903[3,1)(1,3]10x x x x x ⎧⎫-≥⇒-⎪⎪⇒--⋃⎨⎬-⇒⎪⎪⎩⎭≤ ≤3>>1或<-12222(5)(,3)(6)sin 0,,()241(7)114(1),11(1)3x x k x k k z x x x x x x πππ-∞≠≠≠∈⎡⎤≤⇒≤⇒≤+⇒-⎢⎥++⎣⎦(8)0ln 0x x x x x ⎧⎫⇒⇒⎨⎬⇒⎩⎭> >0>1>>1(9)[1,2]-(10)21()x x x f x x x x x x x x ⎧⎫⇒⎪⎪⎪⎪=⇒⇒≠⇒∴⎨⎬⎪⎪⎪⎪⇒⎩⎭-1 <00≤≤10即0<<1 < 0和0<≤2e 1≤≤27.(1)(2)(3)(4)(5)奇函数偶函数偶函数偶函数非奇非偶(6)2()()f x f x -=+=偶函数(7)11()lnln ()11x xf x f x x x+--==-=--+奇函数)(8)2112()()2112x xx xf x f x -----===-++奇函数(9)()sin cos f x x x -=--非奇非偶 13.(1)22(())(2)24,(())2,xxxx f x f f x x Rϕϕ====∈(2)11(())(0,1)111x f f x x xx-==≠--(3)32221,()(1)3(1)256()56(1)(1)5(1)6x t f t t t t t f x x x f x x x +==---+=-+∴=-++=+-++则x=t-1,或:14.[]22(1)(0)0.(2)0,111111(3)01(4)1lg ,lg 1,lg 1,.1(5)11()(6)1log (16)y x x y x y y x y x x y y y xx y x y y x xy xx x y x x x =≤≤+∞=≥=++===≠-+==-=--=≠-+∞⎧=≤≤∞反函数反函数x=,x-1=,x=1+反函数y ,定义域反函数定义域x >0反函数,定义域(x )-<<1反函数16)<<+⎫⎪⎬⎪⎩⎭习题1.2 2。
大一上学期高数期末考试一、单项选择题 (本大题有4小题, 每小题4分, 共16分) 1. )(0),sin (cos )( 处有则在设=+=x x x x x f .(A )(0)2f '= (B )(0)1f '=(C )(0)0f '= (D )()f x 不可导.2. )时( ,则当,设133)(11)(3→-=+-=x x x x xx βα.(A )()()x x αβ与是同阶无穷小,但不是等价无穷小; (B )()()x x αβ与是等价无穷小;(C )()x α是比()x β高阶的无穷小; (D )()x β是比()x α高阶的无穷小.3. 若()()()02xF x t x f t dt=-⎰,其中()f x 在区间上(1,1)-二阶可导且'>()0f x ,则( ).(A )函数()F x 必在0x =处取得极大值; (B )函数()F x 必在0x =处取得极小值;(C )函数()F x 在0x =处没有极值,但点(0,(0))F 为曲线()y F x =的拐点; (D )函数()F x 在0x =处没有极值,点(0,(0))F 也不是曲线()y F x =的拐点。
4.)()( , )(2)( )(1=+=⎰x f dt t f x x f x f 则是连续函数,且设(A )22x (B )222x+(C )1x - (D )2x +.二、填空题(本大题有4小题,每小题4分,共16分) 5. =+→xx x sin 2)31(lim .6. ,)(cos 的一个原函数是已知x f xx=⋅⎰x xxx f d cos )(则.7.lim(cos cos cos )→∞-+++=22221n n nnnn ππππ .8. =-+⎰21212211arcsin -dx xx x .三、解答题(本大题有5小题,每小题8分,共40分)9. 设函数=()y y x 由方程sin()1x ye xy ++=确定,求'()y x 以及'(0)y . 10. .d )1(177x x x x ⎰+-求11. . 求,, 设⎰--⎪⎩⎪⎨⎧≤<-≤=1 32)(1020)(dx x f x x x x xe x f x12. 设函数)(x f 连续,=⎰10()()g x f xt dt,且→=0()limx f x A x ,A 为常数. 求'()g x 并讨论'()g x 在=0x 处的连续性.13. 求微分方程2ln xy y x x '+=满足=-1(1)9y 的解.四、 解答题(本大题10分)14. 已知上半平面内一曲线)0()(≥=x x y y ,过点(,)01,且曲线上任一点M x y (,)00处切线斜率数值上等于此曲线与x 轴、y 轴、直线x x =0所围成面积的2倍与该点纵坐标之和,求此曲线方程. 五、解答题(本大题10分)15. 过坐标原点作曲线x y ln =的切线,该切线与曲线x y ln =及x 轴围成平面图形D.(1) 求D 的面积A ;(2) 求D 绕直线x = e 旋转一周所得旋转体的体积V .六、证明题(本大题有2小题,每小题4分,共8分)16. 设函数)(x f 在[]0,1上连续且单调递减,证明对任意的[,]∈01q ,1()()≥⎰⎰qf x d x q f x dx.17. 设函数)(x f 在[]π,0上连续,且0)(0=⎰πx d x f ,0cos )(0=⎰πdx x x f .证明:在()π,0内至少存在两个不同的点21,ξξ,使.0)()(21==ξξf f (提示:设⎰=xdxx f x F 0)()()解答一、单项选择题(本大题有4小题, 每小题4分, 共16分) 1、D 2、A 3、C 4、C二、填空题(本大题有4小题,每小题4分,共16分)5. 6e . 6.c x x +2)cos (21 .7. 2π. 8.3π.三、解答题(本大题有5小题,每小题8分,共40分) 9. 解:方程两边求导(1)cos()()0x y e y xy xy y +''+++= cos()()cos()x y x ye y xy y x e x xy +++'=-+0,0x y ==,(0)1y '=-10. 解:767u x x dx du == 1(1)112()7(1)71u du duu u u u -==-++⎰⎰原式 1(ln ||2ln |1|)7u u c =-++ 7712ln ||ln |1|77x x C =-++11. 解:1033()x f x dx xe dx ---=+⎰⎰⎰03()x xd e --=-+⎰⎰0232cos (1sin )x x xe e d x πθθθ----⎡⎤=--+-=⎣⎦⎰ 令3214e π=--12. 解:由(0)0f =,知(0)0g =。
四川省川大附中2020-2021学年高一数学上学期期末调研考试试题第Ⅰ卷(选择题)一、选择题:本大题共12小题,在每小题给出的四个选项中,只有一项是符合题目要求的.1.设全集U ={1,2,3,4,5},集合M ={2,3,4},N ={3,4}.则()UM N =A .{2,3,4}B .{1,2,5}C .{3,4}D .{1,5} 2.下列函数中,与函数y =x 相等的是 A.y =B.3y = C.4y = D .2x y x=3.已知角α的顶点与直角坐标系的原点重合,始边与x 轴的非负半轴重合,且4cos 5α=-.若角α的终边上有一点P (x ,3),则x 的值为 A .-4 B .4 C .—3 D .3 4.设函数22e 2,3,()log (1), 3.xx f x x x ⎧+<⎪=⎨-≥⎪⎩则f (f (0))的值为A .2B .3C .e 3-1D .e 2—15.已知扇形的圆心角为30°,面积为3π,则扇形的半径为 A. B .3 C. D .66.函数f(x )=lnx +2x —9的零点所在区间是A .(1,2)B .(2,3)C .(3,4)D .(4,5)7.已知函数π()2cos(2)16f x x =--,则函数f(x )的递减区间是A .π7π[π,π]1212k k ++(k ∈Z )B .5ππ[π,π]1212k k -+(k ∈Z )C .ππ[π,π]63k k -+(k ∈Z )D .π5π[π,π+]36k k +(k ∈Z )8.函数2||()33x x f x =-的图象大致为A .B .A . D .9.已知函数π()2sin()4f x x =+,先将函数f (x )图象上各点的横坐标伸长到原来的2倍(纵坐标不变),再将所得到的图象向右平移π3个单位长度,最后得到函数y =g(x )的图象,则π()6g 的值为A .1B 2C .0D .310.已知函数211()()2x ax f x +-=在[1,2]上单调递减,则实数a 的取值范围是A .[2,4]B .[—2,+∞)C .[-4,-2]D .(—∞,-4]11.若126a -=,b =log 32,c =ln2,则a,b ,c 的大小关系为A .a <b <cB .b <c <aC .c <a <bD .c <b <a 12.设函数21()ln 1|1|1x x f x x x -=-++-,1()(21)()2g x f x f =--.若g (x )的值不小于0,则x 的取值范围是 A .3[,0)4- B .3111[,)(,)4224--- C .3(0,]4 D .113(0,)(,]224第Ⅱ卷(非选择题)二、填空题:本大题共4小题. 13.计算tan330°的值为________.14.已知函数y =a 2x —1+1(a >0且a≠1)的图象恒过定点P(x 0,y 0),则x 0的值为________.15.已知函数f(x )是定义在R 上的偶函数,且对区间(—∞,0]上的任意x 1,x 2,当x 1≠x 2时,都有1212()()0f x f x x x-<-.若实数t 满足f (2t +1)≤f(t -3),则t 的取值范围是________.16.已知函数π()sin()3f x x ω=+(ω>0)在4ππ(,)33-上单调,且将函数f (x )的图象向右平移4π个单位长度后与原来的图象重合.当x ∈(0,4π)时,使得不等式1()2f x ≤成立的x 的最大值为________.三、解答题:本大题共6小题,解答应写出文字说明、证明过程或演算步骤.17.计算下列各式的值: (Ⅰ)2233(2021) 1.5(3)8--+⨯;(Ⅱ)2log 31lg 2100+-18.已知tanθ=—2,且π(,π)2θ∈.(Ⅰ)求sinθ,cosθ的值; (Ⅱ)求π2sin(π)sin()2πcos(2π)cos()2θθθθ-+--++的值.19.已知函数2()121xf x =-+.(Ⅰ)用函数单调性的定义证明函数f (x )在R 上是增函数; (Ⅱ)当x ∈[1,3]时,求函数g (x)=log 3f (x )的最值.20.1986年4月26日,一场地震造成乌克兰境内的切尔诺贝利核电站爆炸并引起大火.这一事故导致约8吨的强辐射物严重泄露,事故所在地被严重污染.主要辐射物是锶90,它每年的衰减率为2。
第一学期高等数学试题(一) 一、 1.[5分] 设
,求 。
2.[5分] 求
3.[5分] 讨论极限
4.[5分] 函数
与函数 y = x 是否表示同一函数,并说明理由。
二、 1.[6分] 讨论数列
当 时的极限。
2.[6分] 讨论函数
在 x = 0 处的可导性。
3.[6分] 设求 。
4.[6分] 求曲线
的凹凸区间。
三、
1.[8分] 求 。
2.[8分] 求 。
3.[8分] 计算。
4.[8分] 求 。
四、 [8分] 设
试讨论f (x) 的单调性和有界性。
五、 [8分] 求曲线 及 x 轴所围图形绕y 轴旋转所得旋转体的体积 V 。
六、 [8分] A ,B 两厂在直河岸的同侧,A 沿河岸,B 离岸4公里,A 与B 相距5公里,今在河岸边建一水厂C ,从水厂到B 厂的每公里水管材料费是A 厂的倍,问水厂C 设在离A 厂多远处才使两厂所耗总的水管材料费为最省。
()3222+-=-x x x f ()2+x f 3423lim 4
31+-+-→x x x x x x
x x sin lim
→()x y arcsin sin =()()()
,2,1,161212
=-++=
n n n n n a n ∞→n ()⎩⎨
⎧<-≥=010sin x x x x x f ⎩
⎨⎧==-t t
te
y e x 2
2dx y
d ()()212
-+=x x y ()
dx
x x ⎰
+23
sin sin
dx x x ⎰+33
⎰
x
dx x x 20
2cos ⎰
+∞
-0
2dx xe x ()()
+∞<≤+=
x x
x x f 012()
2
21,
-==x y x y 5
第一学期高等数学试题(一)解答
一、 1.[5分],。
2.[5分]
3.[5分] 因
,故原极限不存在。
4.[5分] 函数 与函数 y = x 不表示同一函数。
因前者定义域为
[-1,1],后者定义域为[-∞,∞]。
二、 1.[6分]。
2.[6分] 函数
在 x = 0 处的左右极限不等,故f (x) 在x=0处不连续亦
不可导。
3.[6分] 设 。
4.[6分] 曲线
的凹凸区间为:(-∞ ,0)上凸,(0,∞)上凹。
三、 1.[8分]。
2.[8分] 。
3.[8分]。
4.[8分] 。
四、 [8分]
∵x ≥
0, 1+x >0 ∴ f (x) ≥0 ,又∵ f
(x)
有
界。
又
∵
∴在[0,+∞]上f ( x )单增。
五、 [8分]曲线
及 x 轴的交点:( 1/2, 1/4) 、(0, 0 ) 、(1, 0 )
()()()3
22222
++++=+x x x f 213423lim 431=+-+-→x x x x x 1
sin lim
1
sin lim
-==-→+→x
x x
x x x ()
x y arcsin sin =()()
()
∞
=-++∞
→2
16121lim
n n n n n ()⎩⎨
⎧<-≥=010sin x x x x x f ()()()0
sin lim lim ,11lim lim 0
==-=-=-→-→+→+→x x f x x f x x x x ⎩⎨⎧==-t t te y e x ()t e t dx
y d 322
32+=()()212
-+=x x y ()
c
x x x x dx x x +-+-=+⎰2sin 41
21cos cos 31sin sin
323
c x x x x dx x x ++-+-=+⎰3ln 27923332
332
20
2cos π=⎰
x
dx x x 4
10
2=
⎰+∞
-dx xe
x
()()2
02
12
212)1(2<≤∴<+-=+-+=x f x x x x f ()()
12
2
>+=
'x x f ()
2
21,
-==x y x y (
)()12
14
10
2
2
π
π=
⎥⎦⎤⎢⎣⎡--=⎰dy y y V
六、 [8分] 设AC 长为x 公里 ( 0 ≤ x ≤ 3 ) ,水厂到A 厂的每公里水管材料费为K 元,则总的水管材料费为:
0 ≤ x ≤ 3
令得唯一驻点:x = 1
故 x = 1是唯一极小值点,亦为最小值点。
于是有当x = 1 (公里)时,S 最小。
()
2
3165x k kx S -++=()()()2
2
31635316x x x k S -+⎥⎦⎤⎢⎣
⎡---+='0='S ()[]03165162
>-+=
''x k
S。