新能源汽车推荐车型目录(第1~56批).xls
- 格式:xls
- 大小:171.00 KB
- 文档页数:42
新能源汽车推荐目录1. 特斯拉Model S:特斯拉是新能源汽车领域的领先者之一,Model S是其旗舰车型,具有出色的续航里程和高性能。
2. 蔚来ES8:蔚来是中国新能源汽车制造商,ES8是其首款量产电动SUV,拥有豪华配置和丰富的智能科技。
3. 北京汽车EU5:EU5是北京汽车新能源车系列的一款车型,它具有紧凑的外观和合理的价格,是一款适合城市生活的电动车。
4. 奇瑞瑞虎3xe:瑞虎3xe是奇瑞汽车推出的一款小型SUV,采用纯电动动力系统,拥有良好的续航里程和舒适的驾驶体验。
5. 丰田普锐斯插电混动版:普锐斯是丰田的经典车型,而插电混动版则将传统的混合动力系统与充电式电动车技术相结合,提供更高的燃油经济性。
6. 比亚迪秦Pro EV:秦Pro EV是比亚迪的旗舰车型,采用混合动力系统,可供纯电动和混动模式切换,具有较长的续航里程和快速充电能力。
7. 五菱宏光Mini EV:宏光Mini EV是中国五菱汽车推出的一款迷你电动车,拥有紧凑的车身和实惠的价格,适合城市短途代步。
8. 理想ONE:理想ONE是中国新创造的一款豪华电动轿车,具有时尚的外观和出色的续航里程,是一个高端的选择。
9. 哈弗URV EV:URV EV是中国哈弗汽车的全新电动SUV,采用独特的设计风格和先进的电动技术,具有高性能和大空间。
10. 美国电动电池动力公司Rivian R1T:Rivian R1T是一款电动皮卡,具有全地形能力和长续航里程,适合户外探险和多功能用途。
11. 本田Clarity Fuel Cell:Clarity Fuel Cell是本田汽车的一款氢燃料电池车型,采用可持续的能源供应,具有零排放和长续航里程。
12. 雷诺ZOE:ZOE是法国雷诺汽车公司推出的一款小型电动车,具有可爱的外观和良好的续航里程,适合城市驾驶。
13. 奥迪e-tron:e-tron是奥迪汽车的首款全电动SUV,拥有高性能和奥迪一贯的豪华配置,是一个不错的选择。
《新能源汽车推广应用推荐车型目录》车型主要参数新能源汽车作为替代传统燃油汽车的重要力量,代表了未来汽车产业的发展趋势。
为了推广新能源汽车的应用,政府和汽车厂商提供了多种车型选择。
以下是2024年第5批新能源汽车推广应用推荐车型目录中的主要参数。
1.纯电动汽车:1.1北汽新能源EC系列:-车型:EC3、EC3-RV、EC5、EC5-RV- 续航里程:EC3/EC3-RV:302km,EC5/EC5-RV:403km-快充时间:1小时30分钟-电机最大功率:EC3/EC3-RV:85kW,EC5/EC5-RV:113kW- 最高时速:EC3/EC3-RV:150km/h,EC5/EC5-RV:160km/h1.2 比亚迪秦Pro EV:- 续航里程:Pure EV:421km,DM:69km-快充时间:47分钟快充80%-电机最大功率:100kW- 最高时速:162km/h1.3特斯拉MODEL3:- 续航里程:Mid Range:423km,Long Range:568km-快充时间:30分钟快充80%- 电机最大功率:Mid Range:211kW,Long Range:258kW - 最高时速:Mid Range:200km/h,Long Range:225km/h2.插电式混合动力汽车:2.1本田雅阁新能源:- 续航里程:Pure EV:75km,混合动力模式:1000km-快充时间:2小时30分钟- 最高时速:180km/h2.2比亚迪唐DM:- 续航里程:Pure EV:85km,DM:800km-快充时间:2小时10分钟-电机最大功率:151kW- 最高时速:185km/h2.3宝马530Le:- 续航里程:Pure EV:58km,混合动力模式:720km-快充时间:3小时- 最高时速:235km/h3.燃料电池汽车:3.1 丰田Mirai:- 续航里程:502km-加氢时间:3分钟-电机最大功率:153kW- 最高时速:170km/h3.2福特途维:- 续航里程:500km-加氢时间:3分钟- 最高时速:160km/h3.3本田飞度:- 续航里程:366km-加氢时间:3分钟-电机最大功率:100kW- 最高时速:145km/h以上是2024年第5批新能源汽车推广应用推荐车型目录中的一些主要参数。
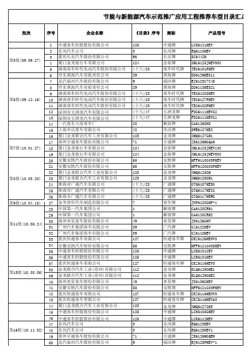
批次序号企业名称《目录》序号商标 产品型号1中通客车控股股份有限公司125中通牌LCK6121HEV 2东风汽车公司3东风牌EQ6110HEV 3重庆长安汽车股份有限公司96长安牌SC6442H4厦门金龙旅行车有限公司124金旅牌XML6125JHEV93C 5湖南南车时代电动汽车股份有限公司(十八)23南车时代牌TEG6101PHEV 6丹东黄海汽车有限责任公司29黄海牌DD6129HES117北汽福田汽车股份有限公司9福田牌BJ6123C7C4D 8丹东黄海汽车有限责任公司29黄海牌DD6118HES219湖南南车时代电动汽车股份有限公司(十八)23南车时代牌TEG6128SHEV 10湖南南车时代电动汽车股份有限公司(十八)23南车时代牌TEG6127PHEV 11湖南南车时代电动汽车股份有限公司(十八)23南车时代牌TEG6102PHEV 12深圳市五洲龙汽车有限公司(十九)47五洲龙牌FDG6111HEVG213深圳市五洲龙汽车有限公司(十九)47五洲龙牌FDG6111HEVG114一汽客车大连客车厂28解放牌CA6126SH815上海申沃客车有限公司42申沃牌SWB6127HE216厦门金龙联合汽车工业有限公司123金龙牌XMQ6127GH117郑州宇通客车股份有限公司71宇通牌ZK6126MGQA918厦门金龙旅行车有限公司124金旅牌XML6125JHEV13C 19厦门金龙旅行车有限公司124金旅牌XML6125JHEV98C 20安徽安凯汽车股份有限公司55安凯牌HFF6110G03PHEV 21安徽安凯汽车股份有限公司55安凯牌HFF6120G03PHEV 22厦门金龙联合汽车工业有限公司123金龙牌XMQ6125GH 23厦门金龙联合汽车工业有限公司123金龙牌XMQ6125GH124珠海市广通汽车有限公司(十九)28广通牌GTQ6107HESG 25珠海市广通汽车有限公司(十九)28广通牌GTQ6117HEIG 26珠海市广通汽车有限公司(十九)28广通牌GTQ6117HEWG 第9批(10.04.15)27金华青年汽车制造有限公司7青年牌JNP6120GHP-128中国第一汽车集团公司1解放牌CA6120URH129中国第一汽车集团公司1解放牌CA6120URH230扬州亚星客车股份有限公司49亚星牌JS6126GHV 31广州汽车集团客车有限公司89广汽牌GZ6122HEV 32广州汽车集团客车有限公司89广汽牌GZ6110HEV 33重庆恒通客车有限公司127恒通客车牌CKZ6126HENV334安徽安凯汽车股份有限公司55安凯牌HFF6121G03SHEV 35中通客车控股股份有限公司125中通牌LCK6101GEV 36中通客车控股股份有限公司125中通牌LCK6101HEV 37重庆恒通客车有限公司127恒通客车牌CKZ6116HEV338金龙联合汽车工业(苏州)有限公司112金龙牌KLQ6129GHE139金龙联合汽车工业(苏州)有限公司112金龙牌KLQ6129GHE240扬州亚星客车股份有限公司49亚星牌JS6106GHEV41安徽安凯汽车股份有限公司55安凯牌HFF6121G03PHEV 42重庆恒通客车有限公司127恒通客车牌CKZ6116HENV343重庆恒通客车有限公司127恒通客车牌CKZ6116HEVA344厦门金龙联合汽车工业有限公司123金龙牌XMQ6127GH345中通客车控股股份有限公司125中通牌LCK6105GHEV 46中通客车控股股份有限公司125中通牌LCK6112HEV 47东风汽车公司3东风牌EQ6123HEV 48东风汽车公司3东风牌EQ6123HEV149郑州宇通客车股份有限公司71宇通牌ZK6126MGQB950北汽福田汽车股份有限公司9福田牌BJ6123PHEV-151厦门金龙旅行车有限公司124金旅牌XML6125JHEV18C第3批(09.09.27)第13批(10.08.05)第16批(10.11.02)第8批(10.03.20)第11批(10.05.24)第5批(09.12.16)第7批(10.01.27)节能与新能源汽车示范推广应用工程推荐车型目录汇总(。
新能源汽车推广应用推荐车型目录(第1批)序号企业名称《目录》序号商标产品型号产品名称1北汽福田汽车股份有限公司9 福田牌BJ6123EVCA-17 纯电动城市客车2北汽福田汽车股份有限公司9 福田牌BJ6851EVCA-1 纯电动城市客车3北汽福田汽车股份有限公司9 福田牌BJ6105CHEVCA-2 混合动力城市客车4北汽福田汽车股份有限公司9 福田牌BJ6105CHEVCA-3 混合动力城市客车5北汽福田汽车股份有限公司9 福田牌BJ6105PHEVCA-6 插电式混合动力城市客车6北汽福田汽车股份有限公司9 福田牌BJ6180EVCA 纯电动城市客车7北汽福田汽车股份有限公司9 福田牌BJ6105PHEVCA-7 插电式混合动力城市客车8北汽福田汽车股份有限公司9 福田牌BJ6852EVUA 纯电动客车9北汽福田汽车股份有限公司9 福田牌BJ6105EVCA-3 纯电动城市客车10北汽福田汽车股份有限公司9 福田牌BJ6123PHEVCA-6 插电式混合动力城市客车11北汽福田汽车股份有限公司9 福田牌BJ6123CHEVCA-3 混合动力城市客车12北汽福田汽车股份有限公司9 福田牌BJ6123PHEVCA-7 插电式混合动力城市客车13北汽福田汽车股份有限公司9 福田牌BJ6860EVCA-2 纯电动城市客车14北汽福田汽车股份有限公司9 福田牌BJ6116EVUA-2 纯电动客车15北京汽车股份有限公司11 北京牌BJ7002B3D3-BEV 纯电动轿车16北京汽车股份有限公司11 北京牌BJ7000C5E1-BEV 纯电动轿车17北京汽车股份有限公司11 北京牌BJ7002B3D5-BEV 纯电动轿车18北京汽车股份有限公司11 北京牌BJ7000B3DA-BEV 纯电动轿车19北京汽车股份有限公司11 北京牌BJ7000B3D6-BEV 纯电动轿车20北京汽车股份有限公司11 北京牌BJ7000B3D5-BEV 纯电动轿车21北京汽车股份有限公司11 北京牌BJ7001B3D2-BEV 纯电动轿车22北京汽车股份有限公司11 北京牌BJ7002B3D2-BEV 纯电动轿车23北京汽车股份有限公司11 北京牌BJ7000C7H3-BEV 纯电动轿车24北京汽车股份有限公司11 北京牌BJ7000U3D-BEV 纯电动轿车25河北长安汽车有限公司22 长安牌SC6723BEV 纯电动城市客车26河北长安汽车有限公司22 长安牌SC6723ZBEV 纯电动城市客车27荣成华泰汽车有限公司23 华泰圣达菲牌SDH6440BEVGL 纯电动多用途乘用车28荣成华泰汽车有限公司23 华泰牌SDH7000BEVBL6 纯电动轿车29荣成华泰汽车有限公司23 华泰牌SDH7000BEVBL 纯电动轿车30荣成华泰汽车有限公司23 华泰元田牌 SDH7000BEVAL 纯电动轿车31华晨汽车集团控股有限公司33 中华牌SY7000BEVDAF 纯电动轿车32华晨汽车集团控股有限公司33 中华牌SY7080K1DSBAC 增程式混合动力轿车序号企业名称《目录》序号商标产品型号产品名称33上海汽车商用车有限公司41 大通牌SH6521C1BEV 纯电动多用途乘用车34上海汽车商用车有限公司41 大通牌SH6601A4BEV 纯电动客车35上海汽车商用车有限公司41 大通牌SH6605A4BEV 纯电动城市客车36浙江吉利汽车有限公司52 吉利牌SMA7001BEV25 纯电动轿车37浙江吉利汽车有限公司52 吉利美日牌MR7002BEV03 纯电动轿车38浙江吉利汽车有限公司52 吉利牌SMA7000BEV05 纯电动轿车39安徽安凯汽车股份有限公司55 安凯牌HFF6111K10EV 纯电动客车40安徽安凯汽车股份有限公司55 安凯牌HFF6851K10EV 纯电动客车41安徽安凯汽车股份有限公司55 安凯牌HFF6120GS03EV 纯电动双层城市客车42安徽安凯汽车股份有限公司55 安凯牌HFF6800GEVB1 纯电动城市客车43安徽安凯汽车股份有限公司55 安凯牌HFF6101G03CHEV-2 插电式混合动力城市客车44安徽江淮汽车股份有限公司56 江淮牌HFC7001EAEV 纯电动轿车45安徽江淮汽车股份有限公司56 江淮牌HFC7001A2EV 纯电动轿车46安徽江淮汽车股份有限公司56 江淮牌HFC7001AEV 纯电动轿车47安徽江淮汽车股份有限公司56 江淮牌HFC7000AEV 纯电动轿车48安徽江淮汽车股份有限公司56 江淮牌HFC7001A1EV 纯电动轿车49郑州宇通客车股份有限公司71 宇通牌ZK6906BEVQ1 纯电动客车50郑州宇通客车股份有限公司71 宇通牌ZK6701BEVG5 纯电动城市客车51郑州宇通客车股份有限公司71 宇通牌ZK6641BEVQ2 纯电动客车52郑州宇通客车股份有限公司71 宇通牌ZK6701BEVQ5 纯电动客车53郑州宇通客车股份有限公司71 宇通牌ZK6115BEV2Z 纯电动客车54郑州宇通客车股份有限公司71 宇通牌ZK6115BEVG1 纯电动城市客车55郑州宇通客车股份有限公司71 宇通牌ZK6845BEVG1 纯电动城市客车56郑州宇通客车股份有限公司71 宇通牌ZK6105BEVG5 纯电动城市客车57郑州宇通客车股份有限公司71 宇通牌ZK6105BEVG6 纯电动城市客车58郑州宇通客车股份有限公司71 宇通牌ZK6125PHEVPG1 混合动力城市客车59郑州宇通客车股份有限公司71 宇通牌ZK6125BEVG12 纯电动城市客车60郑州宇通客车股份有限公司71 宇通牌ZK6808BEVQ4 纯电动客车61郑州宇通客车股份有限公司71 宇通牌ZK6125BEVG14 纯电动城市客车62郑州宇通客车股份有限公司71 宇通牌ZK6120CHEVPG11 混合动力城市客车63郑州宇通客车股份有限公司71 宇通牌ZK6825CHEVPG21 混合动力城市客车64郑州宇通客车股份有限公司71 宇通牌ZK6850CHEVNPG21 混合动力城市客车65郑州宇通客车股份有限公司71 宇通牌ZK6850CHEVPG21 混合动力城市客车66郑州宇通客车股份有限公司71 宇通牌ZK6105CHEVNPG21 混合动力城市客车67郑州宇通客车股份有限公司71 宇通牌ZK6180CHEVNPG3 混合动力铰接城市客车68郑州宇通客车股份有限公司71 宇通牌ZK6105CHEVPG21 混合动力城市客车69郑州宇通客车股份有限公司71 宇通牌ZK6120CHEVNPG21 混合动力城市客车70郑州宇通客车股份有限公司71 宇通牌ZK6805BEVG3 纯电动城市客车序号企业名称《目录》序号商标产品型号产品名称71郑州宇通客车股份有限公司71 宇通牌ZK6845BEVG3 纯电动城市客车72郑州宇通客车股份有限公司71 宇通牌ZK6115BEV1Y 纯电动客车73郑州宇通客车股份有限公司71 宇通牌ZK6125CHEVPG41 混合动力城市客车74郑州宇通客车股份有限公司71 宇通牌ZK6120CHEVPG21 混合动力城市客车75郑州宇通客车股份有限公司71 宇通牌ZK6120CHEVPG41 混合动力城市客车76郑州宇通客车股份有限公司71 宇通牌ZK6125CHEVNPG21 混合动力城市客车77郑州宇通客车股份有限公司71 宇通牌ZK6125CHEVPG21 混合动力城市客车78郑州宇通客车股份有限公司71 宇通牌ZK6115BEV2 纯电动客车79郑州宇通客车股份有限公司71 宇通牌ZK6115BEV5 纯电动客车80郑州宇通客车股份有限公司71 宇通牌ZK6825CHEVNPG21 混合动力城市客车81郑州宇通客车股份有限公司71 宇通牌ZK6105CHEVPG41 混合动力城市客车82郑州宇通客车股份有限公司71 宇通牌ZK6120CHEVPG52 混合动力城市客车83郑州宇通客车股份有限公司71 宇通牌ZK6705BEVG1 纯电动城市客车84郑州宇通客车股份有限公司71 宇通牌ZK6105CHEVPG52 混合动力城市客车85郑州宇通客车股份有限公司71 宇通牌ZK6105CHEVPG11 混合动力城市客车86比亚迪汽车工业有限公司79 比亚迪牌BYD6480STHEV 插电式混合动力多用途乘用车87比亚迪汽车工业有限公司79 比亚迪牌CK6711HLEV 纯电动旅游客车88比亚迪汽车工业有限公司79 比亚迪牌CK6100LGEV2 纯电动城市客车89比亚迪汽车工业有限公司79 比亚迪牌CK6800LZEV1 纯电动城市客车90比亚迪汽车工业有限公司79 比亚迪牌CK6100LGEV1 纯电动城市客车91比亚迪汽车工业有限公司79 比亚迪牌CK6120LLEV1 纯电动旅游客车92比亚迪汽车工业有限公司79 比亚迪牌BYD6480STHEV2 插电式混合动力多用途乘用车93比亚迪汽车工业有限公司79 比亚迪牌CK6100LLEV 纯电动旅游客车94比亚迪汽车工业有限公司79 比亚迪牌BYD6420SHEV1 插电式混合动力多用途乘用车95比亚迪汽车工业有限公司79 比亚迪牌BYD7006BEVH 纯电动轿车96比亚迪汽车工业有限公司79 比亚迪牌BYD6420SHEV5 插电式混合动力多用途乘用车97比亚迪汽车工业有限公司79 比亚迪牌BYD6450VHEV4 插电式混合动力多用途乘用车98广州汽车集团乘用车有限公司89 传祺(T r u m p c h i)牌GAC7100SHEVD5A 插电式混合动力轿车99广州汽车集团乘用车有限公司89 传祺(T r u m p c h i)牌GAC7100SHEVC5A 插电式混合动力轿车序号企业名称《目录》序号商标产品型号产品名称100广州汽车集团乘用车有限公司89 传祺(T r u m p c h i)牌GAC7100SHEVC5 增程式混合动力轿车101广州汽车集团乘用车有限公司89 传祺(T r u m p c h i)牌GAC7100SHEVB5 增程式混合动力轿车102重庆力帆汽车有限公司93 力帆牌LF6401CEV 纯电动多用途乘用车103重庆力帆乘用车有限公司93 力帆牌LF7004EV 纯电动轿车104重庆力帆乘用车有限公司93 力帆牌LF7007EV 纯电动轿车105重庆力帆乘用车有限公司93 力帆牌LF7004DEV 纯电动轿车106重庆力帆乘用车有限公司93 力帆牌LF7002EEV 纯电动轿车107重庆长安汽车股份有限公司96 长安牌SC7003AABEV 纯电动轿车108比亚迪汽车有限公司108 比亚迪牌BYD7150WTHEV2 混合动力轿车109比亚迪汽车有限公司108 比亚迪牌BYD7150WT5HEV2 插电式混合动力轿车110比亚迪汽车有限公司108 比亚迪牌BYD7150WTHEV 混合动力轿车111比亚迪汽车有限公司108 比亚迪牌BYD7150WT5HEV1 插电式混合动力轿车112比亚迪汽车有限公司108 比亚迪牌BYD7008BEV 纯电动轿车113比亚迪汽车有限公司108 比亚迪牌BYD7008BEV1 纯电动轿车114金龙联合汽车工业(苏州)有限公司112 海格牌KLQ6119GAHEVE5D 混合动力城市客车115金龙联合汽车工业(苏州)有限公司112 海格牌KLQ6129GAHEVE5D 混合动力城市客车116金龙联合汽车工业(苏州)有限公司112 海格牌KLQ6109EV0X1 纯电动客车117金龙联合汽车工业(苏州)有限公司112 海格牌KLQ6702EV0X 纯电动客车118金龙联合汽车工业(苏州)有限公司112 海格牌KLQ6802EV0X 纯电动客车119金龙联合汽车工业(苏州)有限公司112 海格牌KLQ6802KAEV0X 纯电动客车120金龙联合汽车工业(苏州)有限公司112 海格牌KLQ6109EV1X 纯电动客车121金龙联合汽车工业(苏州)有限公司112 海格牌KLQ6125ZEV0X 纯电动客车122金龙联合汽车工业(苏州)有限公司112 海格牌KLQ6702GEVX 纯电动城市客车123金龙联合汽车工业(苏州)有限公司112 海格牌KLQ6105ZAHEVE5 混合动力城市客车124金龙联合汽车工业(苏州)有限公司112 海格牌KLQ6115HZAHEVE5 混合动力城市客车125金龙联合汽车工业(苏州)有限公司112 海格牌KLQ6129GEVW 纯电动城市客车126金龙联合汽车工业(苏州)有限公司112 海格牌KLQ6129GAHEVE4D 混合动力城市客车127金龙联合汽车工业(苏州)有限公司112 海格牌KLQ6601GBEVX1 纯电动城市客车128金龙联合汽车工业(苏州)有限公司112 海格牌KLQ6119GAHEVC5D 混合动力城市客车129金龙联合汽车工业(苏州)有限公司112 海格牌KLQ6129GAHEVC5D 混合动力城市客车130金龙联合汽车工业(苏州)有限公司112 海格牌KLQ6850GAHEVC5D 混合动力城市客车131金龙联合汽车工业(苏州)有限公司112 海格牌KLQ6109EV0X 纯电动客车132金龙联合汽车工业(苏州)有限公司112 海格牌KLQ6109GAHEVE5D 混合动力城市客车133金龙联合汽车工业(苏州)有限公司112 海格牌KLQ6601BEV1X2 纯电动客车序号企业名称《目录》序号商标产品型号产品名称134金龙联合汽车工业(苏州)有限公司112 海格牌KLQ6606BEV0X1 纯电动客车135金龙联合汽车工业(苏州)有限公司112 海格牌KLQ6850GEVW 纯电动城市客车136金龙联合汽车工业(苏州)有限公司112 海格牌KLQ6109GAEVW 纯电动城市客车137金龙联合汽车工业(苏州)有限公司112 海格牌KLQ6601BEV1X1 纯电动客车138金龙联合汽车工业(苏州)有限公司112 海格牌KLQ6109GAHEVC5D 混合动力城市客车139金龙联合汽车工业(苏州)有限公司112 海格牌KLQ6115HZEV0X 纯电动客车140金龙联合汽车工业(苏州)有限公司112 海格牌KLQ6109GAHEVE4D 混合动力城市客车141金龙联合汽车工业(苏州)有限公司112 海格牌KLQ6905GAHEVC5D 混合动力城市客车142金龙联合汽车工业(苏州)有限公司112 海格牌KLQ6601GBEVK1 纯电动城市客车143金龙联合汽车工业(苏州)有限公司112 海格牌KLQ6109GAEVN1 纯电动城市客车144金龙联合汽车工业(苏州)有限公司112 海格牌KLQ6125ZEV1X 纯电动客车145金龙联合汽车工业(苏州)有限公司112 海格牌KLQ6935GAHEVC5D 混合动力城市客车146金龙联合汽车工业(苏州)有限公司112 海格牌KLQ6802KAEV0X2 纯电动客车147金龙联合汽车工业(苏州)有限公司112 海格牌KLQ6606BEV0K1 纯电动客车148金龙联合汽车工业(苏州)有限公司112 海格牌KLQ6832GEVW 纯电动城市客车149金龙联合汽车工业(苏州)有限公司112 海格牌KLQ6105YAHEVE51 混合动力客车150金龙联合汽车工业(苏州)有限公司112 海格牌KLQ6109GAHEVE5B 混合动力城市客车151金龙联合汽车工业(苏州)有限公司112 海格牌KLQ6672GEVW 纯电动城市客车152金龙联合汽车工业(苏州)有限公司112 海格牌KLQ6112HAHEVE51 混合动力客车153金龙联合汽车工业(苏州)有限公司112 海格牌KLQ6122KAHEVE51 混合动力客车154金龙联合汽车工业(苏州)有限公司112 海格牌KLQ6109EV0H1 纯电动客车155金龙联合汽车工业(苏州)有限公司112 海格牌KLQ6702EV0H 纯电动客车156金龙联合汽车工业(苏州)有限公司112 海格牌KLQ6802KAEV0X1 纯电动客车157金龙联合汽车工业(苏州)有限公司112 海格牌KLQ6762GEVX 纯电动城市客车158金龙联合汽车工业(苏州)有限公司112 海格牌KLQ6672GEVX 纯电动城市客车159金龙联合汽车工业(苏州)有限公司112 海格牌KLQ6109EV1X1 纯电动客车160金龙联合汽车工业(苏州)有限公司112 海格牌KLQ6109EV1H 纯电动客车161金龙联合汽车工业(苏州)有限公司112 海格牌KLQ6850GEVX 纯电动城市客车162金龙联合汽车工业(苏州)有限公司112 海格牌KLQ6109EV1H1 纯电动客车163金龙联合汽车工业(苏州)有限公司112 海格牌KLQ6850GEVH 纯电动城市客车164金龙联合汽车工业(苏州)有限公司112 海格牌KLQ6115HZEV1X 纯电动客车165金龙联合汽车工业(苏州)有限公司112 海格牌KLQ6602EV0X1 纯电动客车166金龙联合汽车工业(苏州)有限公司112 海格牌KLQ6602GEVX 纯电动城市客车167金龙联合汽车工业(苏州)有限公司112 海格牌KLQ6602EV0X 纯电动客车168金龙联合汽车工业(苏州)有限公司112 海格牌KLQ6129GAHEVC5 混合动力城市客车169金龙联合汽车工业(苏州)有限公司112 海格牌KLQ6762GEVW 纯电动城市客车170金龙联合汽车工业(苏州)有限公司112 海格牌KLQ6109GAEVN2 纯电动城市客车171奇瑞汽车股份有限公司119 奇瑞牌SQR7160PHEVJ42 混合动力轿车序号企业名称《目录》序号商标产品型号产品名称172上海汽车集团股份有限公司122 荣威牌CSA7001BEV 纯电动轿车173上海汽车集团股份有限公司122 荣威牌CSA7154TDPHEV 插电混合动力轿车174上海汽车集团股份有限公司122 荣威牌CSA7000BEV 纯电动轿车175上海汽车集团股份有限公司122 荣威牌CSA7150PHEV 插电式混合动力轿车176厦门金龙联合汽车工业有限公司123 金龙牌XMQ6610CEBEVS5 纯电动客车177厦门金龙联合汽车工业有限公司123 金龙牌XMQ6603KGBEVS 纯电动城市客车178厦门金龙联合汽车工业有限公司123 金龙牌XMQ6603KEBEVL4 纯电动客车179厦门金龙联合汽车工业有限公司123 金龙牌XMQ6603KEBEVL3 纯电动客车180厦门金龙联合汽车工业有限公司123 金龙牌XMQ6106AGBEVS 纯电动城市客车181厦门金龙联合汽车工业有限公司123 金龙牌XMQ6106AGBEVD 纯电动城市客车182厦门金龙联合汽车工业有限公司123 金龙牌XMQ6850AGCHEVN51 混合动力城市客车183厦门金龙联合汽车工业有限公司123 金龙牌XMQ6113BYBEVL2 纯电动客车184厦门金龙联合汽车工业有限公司123 金龙牌XMQ6610CEBEVL 纯电动客车185厦门金龙联合汽车工业有限公司123 金龙牌XMQ6110BCBEVL5 纯电动客车186厦门金龙联合汽车工业有限公司123 金龙牌XMQ6610CEBEVS4 纯电动客车187厦门金龙联合汽车工业有限公司123 金龙牌XMQ6603KGBEVL 纯电动城市客车188厦门金龙联合汽车工业有限公司123 金龙牌XMQ6119AGBEVL1 纯电动城市客车189厦门金龙联合汽车工业有限公司123 金龙牌XMQ6850AGBEVL1 纯电动城市客车190厦门金龙联合汽车工业有限公司123 金龙牌XMQ6706BGBEVL1 纯电动城市客车191厦门金龙联合汽车工业有限公司123 金龙牌XMQ6106AGCHEVN54 混合动力城市客车192厦门金龙联合汽车工业有限公司123 金龙牌XMQ6127GHEV21 混合动力城市客车193厦门金龙联合汽车工业有限公司123 金龙牌XMQ6127GHEV22 混合动力城市客车194厦门金龙联合汽车工业有限公司123 金龙牌XMQ6850AGCHEVD51 混合动力城市客车195厦门金龙联合汽车工业有限公司123 金龙牌XMQ6113BYBEVS 纯电动客车196厦门金龙联合汽车工业有限公司123 金龙牌XMQ6106AGCHEVD51 混合动力城市客车197厦门金龙联合汽车工业有限公司123 金龙牌XMQ6127AGCHEVD51 混合动力城市客车198厦门金龙联合汽车工业有限公司123 金龙牌XMQ6850BGBEVD1 纯电动城市客车199厦门金龙联合汽车工业有限公司123 金龙牌XMQ6811AGBEVL1 纯电动城市客车200厦门金龙联合汽车工业有限公司123 金龙牌XMQ6119AGCHEVD51 混合动力城市客车201厦门金龙联合汽车工业有限公司123 金龙牌XMQ6110BGBEVL2 纯电动城市客车202厦门金龙联合汽车工业有限公司123 金龙牌XMQ6603KEBEVL 纯电动客车203厦门金龙联合汽车工业有限公司123 金龙牌XMQ6110BGBEVL 纯电动城市客车204厦门金龙联合汽车工业有限公司123 金龙牌XMQ6850BGBEVS 纯电动城市客车205厦门金龙联合汽车工业有限公司123 金龙牌XMQ6706BGBEVL2 纯电动城市客车206厦门金龙联合汽车工业有限公司123 金龙牌XMQ6106AGCHEVN55 混合动力城市客车207厦门金龙联合汽车工业有限公司123 金龙牌XMQ6119AGCHEVN53 混合动力城市客车208厦门金龙联合汽车工业有限公司123 金龙牌XMQ6127AGCHEVN53 混合动力城市客车209厦门金龙联合汽车工业有限公司123 金龙牌XMQ6106AGHEV15 混合动力城市客车序号企业名称《目录》序号商标产品型号产品名称210厦门金龙联合汽车工业有限公司123 金龙牌XMQ6110BCBEVL6 纯电动客车211厦门金龙联合汽车工业有限公司123 金龙牌XMQ6110BCBEVL3 纯电动客车212厦门金龙联合汽车工业有限公司123 金龙牌XMQ6821CYBEVL1 纯电动客车213厦门金龙联合汽车工业有限公司123 金龙牌XMQ6603KEBEVL2 纯电动客车214厦门金龙联合汽车工业有限公司123 金龙牌XMQ6603KGBEVL1 纯电动城市客车215厦门金龙联合汽车工业有限公司123 金龙牌XMQ6111AGBEVL1 纯电动城市客车216厦门金龙联合汽车工业有限公司123 金龙牌XMQ6111AGBEVL 纯电动城市客车217中通客车控股股份有限公司125 中通牌LCK6117EV 纯电动客车218中通客车控股股份有限公司125 中通牌LCK6118PHEV 插电式混合动力客车219中通客车控股股份有限公司125 中通牌LCK6663EVG1 纯电动城市客车220中通客车控股股份有限公司125 中通牌LCK6809EVG6 纯电动城市客车221中通客车控股股份有限公司125 中通牌LCK6809EVG10 纯电动城市客车222中通客车控股股份有限公司125 中通牌LCK6660EVG1 纯电动城市客车223重庆恒通客车有限公司127 恒通客车牌CKZ6116HHEV4 插电式混合动力城市客车224重庆恒通客车有限公司127 恒通客车牌CKZ6851HBEVA 纯电动城市客车225上海申龙客车有限公司129 申龙牌SLK6108SBEV1 纯电动客车226上海申龙客车有限公司129 申龙牌SLK6109ULN5HEVL 混合动力城市客车227上海申龙客车有限公司129 申龙牌SLK6108TLE0BEVS1 纯电动客车228上海申龙客车有限公司129 申龙牌SLK6109USBEV02 纯电动城市客车229河北御捷车业有限公司134 御捷马牌YGM6350BEV 纯电动运动型乘用车230浙江南车电车有限公司(十一)17 南车牌CSR6120GSEV1 纯电动城市客车231安徽星凯龙客车有限公司(十二)18 星凯龙牌HFX6101KEV09 纯电动客车232安徽星凯龙客车有限公司(十二)18 星凯龙牌HFX6602KEV10 纯电动客车233江西凯马百路佳客车有限公司(十四)03 江西牌JXK6650BEV 纯电动客车234江西凯马百路佳客车有限公司(十四)03 江西牌JXK6702BEV 纯电动城市客车235江西凯马百路佳客车有限公司(十四)03 江西牌JXK6700CEV 纯电动客车236江西凯马百路佳客车有限公司(十四)03 江西牌JXK6601CEV 纯电动客车237江西凯马百路佳客车有限公司(十四)03 江西牌JXK6103BPHEVN 混合动力城市客车238江西凯马百路佳客车有限公司(十四)03 江西牌JXK6106BEV 纯电动城市客车239江西凯马百路佳客车有限公司(十四)03 江西牌JXK6602CEV 纯电动客车240江西凯马百路佳客车有限公司(十四)03 江西牌JXK6820BEV 纯电动城市客车241江西凯马百路佳客车有限公司(十四)03 江西牌JXK6822BEV 纯电动城市客车242江西凯马百路佳客车有限公司(十四)03 江西牌JXK6180BCHEVN 混合动力城市客车243湖南南车时代电动汽车股份有限公司(十八)23 南车时代牌 TEG6850BEV01 纯电动城市客车244湖南南车时代电动汽车股份有限公司(十八)23 南车时代牌 TEG6600EV03 纯电动客车245成都客车股份有限公司(二十二)10蜀都牌CDK6850CBEV 纯电动城市客车246成都客车股份有限公司(二十二)10蜀都牌CDK6603BEV 纯电动客车247成都客车股份有限公司(二十二)10蜀都牌CDK6125CBEV 纯电动城市客车注:原《节能与新能源汽车示范推广应用工程推荐车型目录》的车型,自2016年1月1日起废止。
《目录》序号企业名称商标序号1 北汽福田汽车股份有限公司9福田牌2 北汽福田汽车股份有限公司9福田牌3 北汽福田汽车股份有限公司9福田牌4 北汽福田汽车股份有限公司9福田牌5 北汽福田汽车股份有限公司9福田牌6 北汽福田汽车股份有限公司9福田牌7 北汽福田汽车股份有限公司9福田牌8 北汽福田汽车股份有限公司9福田牌9 北汽福田汽车股份有限公司9福田牌10 北汽福田汽车股份有限公司9福田牌11 北汽福田汽车股份有限公司9福田牌12 北汽福田汽车股份有限公司9福田牌13 北汽福田汽车股份有限公司9福田牌14 北汽福田汽车股份有限公司9福田牌15 北京汽车股份有限公司11北京牌16 北京汽车股份有限公司11北京牌17 北京汽车股份有限公司11北京牌18 北京汽车股份有限公司11北京牌19 北京汽车股份有限公司11北京牌20 北京汽车股份有限公司11北京牌21 北京汽车股份有限公司11北京牌22 北京汽车股份有限公司11北京牌23 北京汽车股份有限公司11北京牌24 北京汽车股份有限公司11北京牌25 河北长安汽车有限公司22长安牌26 河北长安汽车有限公司22长安牌27 荣成华泰汽车有限公司23华泰圣达菲牌28 荣成华泰汽车有限公司23华泰牌29 荣成华泰汽车有限公司23华泰牌30 荣成华泰汽车有限公司23华泰元田牌31 华晨汽车集团控股有限公司33中华牌32 华晨汽车集团控股有限公司33中华牌33 上海汽车商用车有限公司41大通牌34 上海汽车商用车有限公司41大通牌35 上海汽车商用车有限公司41大通牌36 浙江吉利汽车有限公司52吉利牌37 浙江吉利汽车有限公司52吉利美日牌38 浙江吉利汽车有限公司52吉利牌39 安徽安凯汽车股份有限公司55安凯牌40 安徽安凯汽车股份有限公司55安凯牌41 安徽安凯汽车股份有限公司55安凯牌42 安徽安凯汽车股份有限公司55安凯牌43 安徽安凯汽车股份有限公司55安凯牌44 安徽江淮汽车股份有限公司56江淮牌45 安徽江淮汽车股份有限公司56江淮牌。
新能源车名录1. 特斯拉Model 3:特斯拉公司旗下的一款全电动轿车,采用纯电动动力系统,具有长续航里程和快速充电能力。
2. 蔚来ES8:蔚来汽车旗下的一款全电动SUV,搭载高效电机和大容量电池组,拥有出色的动力性能和续航里程。
3. 小鹏P7:小鹏汽车推出的一款全电动轿车,配备高性能电机和智能驾驶系统,具有较长的续航能力和领先的智能化技术。
4. 云度π3:云度汽车打造的一款纯电动紧凑型车型,采用高度集成化的电动动力系统,具有出色的操控性能和续航里程。
5. 奇点汽车:奇点汽车推出的全新纯电动汽车品牌,致力于打造高性能电动车型,具有出色的动力性能和智能化技术。
6. 比亚迪秦EV:比亚迪汽车推出的一款纯电动轿车,采用高能量密度的锂铁电池组,具有出色的续航能力和充电速度。
7. 知豆D2:知豆汽车推出的一款纯电动微型车,具有紧凑的车身尺寸和环保的电动动力系统,适合城市出行。
8. 吉利帝豪EV:吉利汽车推出的一款纯电动轿车,采用高效电机和大容量电池组,具有出色的动力性能和续航里程。
9. 北汽新能源EC系列:北汽新能源推出的一系列纯电动汽车,包括EC3、EC5等车型,具有出色的动力性能和续航里程。
10. 奥迪e-tron:奥迪推出的全新纯电动SUV,采用高效电机和大容量电池组,具有出色的动力性能和续航里程。
11. 广汽新能源Aion S:广汽新能源推出的一款纯电动轿车,搭载高性能电机和大容量电池组,具有出色的续航里程和快速充电能力。
12. 江淮iEV6S:江淮汽车旗下的一款纯电动SUV,采用高能量密度的锂电池组,具有出色的续航能力和充电速度。
13. 雷克萨斯UX 300e:雷克萨斯汽车推出的全新纯电动SUV,搭载高效电机和大容量电池组,具有出色的动力性能和续航里程。
14. 奇瑞eQ1:奇瑞汽车推出的一款纯电动微型车,具有紧凑的车身尺寸和高效的电动动力系统,适合城市出行。
15. 现代IONIQ Electric:现代汽车推出的纯电动轿车,采用高能量密度的锂电池组,具有出色的续航能力和充电速度。
节能与新能源汽车示范推广应用工程推荐车型目录节能与新能源汽车示范推广应用工程推荐车型目录节能与新能源汽车示范推广应用工程推荐车型目录节能与新能源汽车示范推广应用工程推荐车型目录节能与新能源汽车示范推广应用工程推荐车型目录节能与新能源汽车示范推广应用工程推荐车型目录节能与新能源汽车示范推广应用工程推荐车型目录节能与新能源汽车示范推广应用工程推荐车型目录节能与新能源汽车示范推广应用工程推荐车型目录节能与新能源汽车示范推广应用工程推荐车型目录节能与新能源汽车示范推广应用工程推荐车型目录节能与新能源汽车示范推广应用工程推荐车型目录节能与新能源汽车示范推广应用工程推荐车型目录节能与新能源汽车示范推广应用工程推荐车型目录节能与新能源汽车示范推广应用工程推荐车型目录节能与新能源汽车示范推广应用工程推荐车型目录节能与新能源汽车示范推广应用工程推荐车型目录节能与新能源汽车示范推广应用工程推荐车型目录节能与新能源汽车示范推广应用工程推荐车型目录节能与新能源汽车示范推广应用工程推荐车型目录节能与新能源汽车示范推广应用工程推荐车型目录节能与新能源汽车示范推广应用工程推荐车型目录节能与新能源汽车示范推广应用工程推荐车型目录节能与新能源汽车示范推广应用工程推荐车型目录节能与新能源汽车示范推广应用工程推荐车型目录节能与新能源汽车示范推广应用工程推荐车型目录节能与新能源汽车示范推广应用工程推荐车型目录节能与新能源汽车示范推广应用工程推荐车型目录节能与新能源汽车示范推广应用工程推荐车型目录节能与新能源汽车示范推广应用工程推荐车型目录节能与新能源汽车示范推广应用工程推荐车型目录节能与新能源汽车示范推广应用工程推荐车型目录节能与新能源汽车示范推广应用工程推荐车型目录节能与新能源汽车示范推广应用工程推荐车型目录节能与新能源汽车示范推广应用工程推荐车型目录节能与新能源汽车示范推广应用工程推荐车型目录节能与新能源汽车示范推广应用工程推荐车型目录节能与新能源汽车示范推广应用工程推荐车型目录节能与新能源汽车示范推广应用工程推荐车型目录节能与新能源汽车示范推广应用工程推荐车型目录节能与新能源汽车示范推广应用工程推荐车型目录节能与新能源汽车示范推广应用工程推荐车型目录节能与新能源汽车示范推广应用工程推荐车型目录节能与新能源汽车示范推广应用工程推荐车型目录节能与新能源汽车示范推广应用工程推荐车型目录节能与新能源汽车示范推广应用工程推荐车型目录。
新能源汽车推广应用推荐车型目录随着社会科技的不断进步和生活水平的不断提高,人们对汽车的需求也越来越高。
同时,环境问题也越来越受到人们的关注,对于环保、节能的汽车需求也越来越大。
新能源汽车应运而生,受到了广泛的关注和推广,小编在这里为大家推荐几款实用性比较强的新能源汽车。
1、特斯拉Model S特斯拉Model S作为新能源汽车领域的领军品牌,拥有极高的品质和工艺水准。
它采用全铝车身结构,具有极高的车身稳定性和耐撞性。
动力系统采用三个电机驱动,具有强劲的动力输出和完美的操控性能。
行驶里程在500公里以上,可以满足大多数人的出行需求。
同时,Model S采用了配有大屏幕的中控台,科技感十足、实用性强,是一款非常值得购入的新能源汽车。
2、比亚迪e6比亚迪e6是一款大众化的新能源汽车,定位比较实用,价格也非常亲民。
它采用电动机带动前轮,具有平顺舒适的驾驶体验。
行驶里程超过300公里,在城市通勤和短途旅行中都表现出色。
同时,车身尺寸较为宽敞,能够满足大家的乘坐需求。
比亚迪e6还具有高可靠性和较为完善的售后服务,是一款实用性十足的新能源汽车。
3、广汽ix4广汽ix4是广汽新能源推出的全新SUV,它采用了最新的技术和设备,具有动力充沛、安全可靠、智能化程度高等优点。
广汽ix4拥有500公里以上的续航里程,满足了日常生活出行的需要。
车内装备有丰富的科技配置,如互联网车联等功能,让驾驶体验更加便捷、舒适。
4、吉利帝豪EV吉利帝豪EV是吉利汽车推出的一款全新电动车型。
它的电动发动机拥有极高的效率,续航里程超过400公里,可以应对城市交通出行以及一些短途旅行。
车身设计时尚、个性化,内部配置完善,驾驶舒适性较好。
吉利帝豪EV是一款性价比较高、非常适合年轻人购买的新能源汽车。
5、蔚来ES6蔚来ES6是一款新型纯电动SUV,它的电池容量和动力输出能力都非常出色,在行驶里程、动力性和操控灵敏性上都较为突出。
蔚来ES6的车身外形极富未来气息,科技感十足,内部配置豪华且实用。
新能源汽车推广应用推荐车型目录新能源汽车推广应用推荐车型目录:1.特斯拉 Model3:新一代经典的车型,外观充满科技感,空间十分宽敞,动力强劲,最大百公里加速仅需4.6秒。
2.尼桑 leaf:全家福版本可载5位乘客,车身标准设计,智能驾驶技术,搭配新一代NissanConnect能够连接手机和上网,为您带来便利、快乐出行体验。
3.法拉利 SF90 Stradale:是一款集混合动力发动机和电力技术于一体的新能源汽车,搭载最新的发动机,性能强劲,提升了新能源汽车的智能化水准,实现更加先进的网络连接能力。
4.宝马 i3:新能源汽车中的开创者,其经典设计形式,与众不同的静电轮胎,加之搭载 BMW EfficientDynamics技术,可支持无限极高效节能,将您带入前所未有的新能源汽车时代。
5.奔驰GLE F-CELL:采用油电混合动力,再加上Donkervoort独有的3G网络连接技术,可实现快速、可靠无缝接入网络环境,让您享受安全、高效、智能化的驾驶乐趣。
6.奥迪e-tron:自主开发的全新平台,声级非常低,创新的结构结合了混合动力和先进的电力技术,确保更长的续航距离,并搭配Audi Connectivity Suite便捷的智能驾驶体验。
7.沃尔沃XC90:全球最大规模的无排放技术,最高可达480km的续航距离,乘员更舒适的车内空间,全面支持Sensus Connect技术,可连接智能系统,可实现带你畅游全球、享受更底的新能源驾驶乐趣。
8.现代IONIQ:此款车型搭载Blue Link通讯系统,可通过手机、汽车上的屏幕实现智能联网,让你可实时追踪车辆的状态,可以帮助你更准确的掌握新能源汽车的经济性和实用性。
9.日产 Ariya:这款车型搭载了Nissan Intelligent Mobility 技术,可实现车载AI智能控制,在安全方面多种保障系统提供支持,保证最安全、轻松的驾驶体验。
10.宾利 Bentayga:搭载Plug-in Hybrid油电混合动力,可实现更加细腻的油耗控制,连接高端的 Bentley Connected+ 技术,可实现车联网,实现更快更省的新能源出行体验。
新能源汽车推荐目录
一、汽油发动机混动车:
1.比亚迪F3DM:比亚迪F3DM是国内第一款国六混动家用轿车,拥有1.5L汽油发动机和50千瓦电动机联动,可实现电动式自动变速箱换挡,峰值功率89千瓦,最大扭矩250牛·米,满足用户需求。
2.凯翼C3:凯翼C3是一款混合动力家用轿车,搭载的是1.5L涡轮增压汽油发动机及25千瓦电动机联动,峰值功率78千瓦,最大扭矩190牛·米,具有良好的操控性能,是入门混合动力车的绝佳选择。
3.吉利瑞虎7:吉利瑞虎7拥有1.5T涡轮增压汽油发动机及50千瓦电动机联动,峰值功率133千瓦,最大扭矩310牛·米,实现电动式无级变速箱换挡,搭配一流的发展半自动驾驶技术,让驾驶者无忧出行。
二、纯电动汽车:
1.比亚迪E2:比亚迪E2全车提供三大能源选择,包括14kw,17kw和26 KW,官方最大续航里程350公里,最大功率105 KW,最大扭矩225牛·米,丰富的配置和卓越的操控性能,让您拥有尊贵的绿色出行体验。
2.吉利新自由舰:吉利新自由舰搭载54千瓦电动机,峰值功率100千瓦,最大扭矩385牛·米,实现电机联合车速无级变速箱移动,搭载顶级智能技术,为您提供安全、舒适和节能的出行体验。
3.宝马i3:宝马i3搭载的是125千瓦电动机,峰值功率170千瓦,最大扭矩250牛·米,拥有先进的碳纤维车身和构架设计,动力和智能科技的最佳结合,提供更为沉迷的路面体验。