必修5综合练习参考答案
- 格式:doc
- 大小:464.50 KB
- 文档页数:5
第二周周末练习题13.9.13一、选择题1、若,0<<b a 下列不等式成立的是 ( )A 22b a <B ab a <2 C1<a b D ba 11< 2、若,,n m y x >>下列不等式正确的是 ( )A x m y n ->-B xm yn > Cx yn m> D m y n x ->- 3、不等式0322>-+x x 的解集是 ( )A {x|-1<x <3}B {x|x >3或x <-1}C {x|-3<x <1}D {x|x>1或x <-3}4、二次不等式20ax bx c ++>的解集是全体实数的条件是 ( )A ⎩⎨⎧>∆>00a B ⎩⎨⎧<∆>00a C ⎩⎨⎧>∆<00a D ⎩⎨⎧<∆<0a5、下列不等式的证明过程正确的是 ( )A 若,,R b a ∈则22=⋅≥+b aa b b a a b B 若+∈R y x ,,则y x y x lg lg 2lg lg ≥+ C 若,-∈R x 则4424-=⋅-≥+xx x x D 若,-∈R x则222x x -+>= 6. 若x , y 是正数,且141x y+=,则xy 有 ( ) A.最大值16 B.最小值116 C.最小值16 D.最大值1167.已知f(x)=x+1x-2(x<0),则f(x)有 ( )A 最大值为0B 最小值为0C 最大值为-4D 最小值为-4 8、不等式21≥-xx 的解集为 ( )A .)0,1[-B .),1[∞+-C .]1,(--∞D .),0(]1,(∞+--∞9、设,0>>y x 则下列各式中正确的是 ( )A y xy y x x >>+>2 B x xy yx y >>+>2 C xy y y x x >>+>2 D x xy yx y >≥+>210.若13)(2+-=x x x f ,12)(2-+=x x x g ,则)(x f 与)(x g 的大小关系为 ( )A .)()(x g x f >B .)()(x g x f =C .)()(x g x f <D .随x 值变化而变化11.一元二次不等式220ax bx ++>的解集是(21-,31),则a b +的值是 ( ) A .10B .10-C .14D .14-12.函数f (x )=⎩⎪⎨⎪⎧x (x >1),-1(x ≤1),则不等式xf (x )-x ≤2的解集为 ( )A.[]-2,2B.[]-1,2C.(]1,2D.[]-2,-1∪(]1,2二、填空题13.已知13,25,x y -<<<<则2x y -的取值集合是 14.关于x 的不等式x 2-(a +a 1+1)x +a +a1<0(a >0)的解集为___________. 15.当x 2-2x<8时,函数y=2x -x-5x+2的最小值是 .16、已知:0<x <1,则函数y=x (3-2x )的最大值是___________ 三、解答题 17.解下列不等式(1)-x 2+2x -23>0; (2)log 12(x 2-2x -15)>log 12(x +13)18、已知+∈R c b a ,,,且1=++c b a ,求证9111≥++cb a19、已知正数y x ,满足12=+y x ,求yx 11+的最小值有如下解法:解:∵12=+y x 且0,0>>y x .∴242212)2)(11(11=⋅≥++=+xy xyy x y x y x ∴24)11(min =+yx . 判断以上解法是否正确?说明理由;若不正确,请给出正确解法.20.(2012·福州模拟)某书商为提高某套丛书的销量,准备举办一场展销会.据市场调查,当每套丛书售价定为x 元时,销售量可达到15-0.1x 万套.现出版社为配合该书商的活动,决定进行价格改革,将每套丛书的供货价格分成固定价格和浮动价格两部分,其中固定价格为30元,浮动价格(单位:元)与销售量(单位:万套)成反比,比例系数为10.假设不计其他成本,即销售每套丛书的 利润=售价-供货价格,问:(1)每套丛书定价为100元时,书商能获得的总利润是多少万元? (2)每套丛书定价为多少元时,单套丛书的利润最大?21、已知函数3222)(a b x a ax x f -++=,当)6()2(∞+--∞∈,, x 时,0)(<x f ;当)62(,-∈x 时,0)(>x f 。
课时训练16一元二次不等式及其解法一、一元二次不等式的解法1.不等式-x2-5x+6≤0的解集为()A.{x|x≥6或x≤-1}B.{x|-1≤x≤6}C.{x|-6≤x≤1}D.{x|x≤-6或x≥1}答案:D解析:由-x2-5x+6≤0得x2+5x-6≥0,即(x+6)(x-1)≥0,∴x≥1或x≤-6.2.(2015福建厦门高二期末,12)不等式-的解集是.答案:{x|x<2或x>3}解析:因为指数函数y=2x是增函数,所以-化为x2-5x+5>-1,即x2-5x+6>0,解得x<2或x>3.所以不等式的解集为{x|x<2或x>3}.3.解不等式:-2<x2-3x≤10.解:原不等式等价于不等式组---①②不等式①为x2-3x+2>0,解得x>2或x<1.不等式②为x2-3x-10≤0,解得-2≤x≤5.故原不等式的解集为[-2,1)∪(2,5].二、三个二次之间的关系4.(2015山东威海高二期中,8)不等式ax2+bx+2>0的解集是-,则a-b的值为()A.14B.-14C.10D.-10答案:D解析:不等式ax 2+bx+2>0的解集是 - ,可得- 是一元二次方程ax 2+bx+2=0的两个实数根,∴- =- ,- ,解得a=-12,b=-2. ∴a-b=-12-(-2)=-10.故选D .5.如果ax 2+bx+c>0的解集为{x|x<-2或x>4},那么对于函数f (x )=ax 2+bx+c ,f (-1),f (2),f (5)的大小关系是 .答案:f (2)<f (-1)<f (5)解析:由ax 2+bx+c>0的解集为{x|x<-2或x>4}知a>0,且-2,4是方程ax 2+bx+c=0的两实根,所以 - - - 可得 - -所以f (x )=ax 2-2ax-8a=a (x+2)(x-4).因为a>0,所以f (x )的图象开口向上.又对称轴方程为x=1,f (x )的大致图象如图所示,由图可得f (2)<f (-1)<f (5).6.(2015山东潍坊四县联考,11)不等式x 2-ax-b<0的解集是(2,3),则不等式bx 2-ax-1>0的解集是 .答案: - -解析:∵不等式x 2-ax-b<0的解集为(2,3), ∴一元二次方程x 2-ax-b=0的根为x 1=2,x 2=3.根据根与系数的关系可得: -所以a=5,b=-6.不等式bx 2-ax-1>0,即不等式-6x 2-5x-1>0,整理,得6x 2+5x+1<0,即(2x+1)(3x+1)<0,解之得- <x<-. ∴不等式bx 2-ax-1>0的解集是 - - .三、含参不等式的解法7.不等式(x+1)(x-a )<0的解集为{x|-1<x<2},则不等式- >1的解集为 .答案:{x|x<-2或x>1}解析:由已知不等式(x+1)(x-a )<0的解集为{x|-1<x<2}得x=2是(x+1)(x-a )=0的一个根, ∴a=2.∴不等式 - >1可化为 - >1,移项通分得 ->0, ∴(x+2)(x-1)>0,解得x<-2或x>1.∴所求解集为{x|x<-2或x>1}.8.解关于x 的不等式2x 2+ax+2>0.解:对于方程2x 2+ax+2=0,其判别式Δ=a 2-16=(a+4)(a-4).①当a>4或a<-4时,Δ>0,方程2x 2+ax+2=0的两根为:x 1= (-a- - ),x 2= (-a+ - ).∴原不等式的解集为- - - 或 - - . ②当a=4时,Δ=0,方程有两个相等实根,x 1=x 2=-1;当a=-4时,Δ=0,方程有两个相等实根,x 1=x 2=1.∴原不等式的解集为{x|x ≠±1}.四、不等式恒成立问题9.若一元二次不等式x 2-ax+1>0恒成立,则a 的取值范围是 .答案:-2<a<2解析:由Δ=a 2-4<0,解得-2<a<2.10.已知关于x 的不等式(m 2+4m-5)x 2-4(m-1)x+3>0对一切实数x 恒成立,求实数m 的取值范围. 解:(1)当m 2+4m-5=0,即m=1或m=-5时,显然m=1符合条件,m=-5不符合条件;(2)当m 2+4m-5≠0时,由二次函数对一切实数x 恒为正数,得 - - - -解得1<m<19.综合(1)(2)得,实数m的取值范围为[1,19).(建议用时:30分钟)1.不等式-6x2-x+2≤0的解集是()A.-B.-或C.D.-答案:B解析:原不等式等价于6x2+x-2≥0.方程6x2+x-2=0的两根为-,可得原不等式的解集为-,或x≥.2.函数y=--+log2(x+2)的定义域为()A.(-∞,-1)∪(3,+∞)B.(-∞,-1]∪[3,+∞)C.(-2,-1]D.(-2,-1]∪[3,+∞)答案:D解析:要使函数有意义,x的取值需满足解得-2<x≤-1或x≥3.3.已知0<a<1,关于x的不等式(x-a)->0的解集为()A.或B.{x|x>a}C.或D.答案:A解析:∵0<a<1,∴>1,即a<,∴不等式的解集为或.4.在R上定义运算=ad-bc,若-成立,则x的取值范围是()A.{x|x<-4或x>1}B.{x|-4<x<1}C.{x|x<-1或x>4}D.{x|-1<x<4}答案:B解析:由已知-=x2+3x,=4,∴x2+3x<4,即x2+3x-4<0,解得-4<x<1.5.若关于x的不等式ax-b>0的解集为(1,+∞),则关于x的不等式->0的解集为()A.(-1,2)B.(-∞,-1)∪(2,+∞)C.(1,2)D.(-∞,-2)∪(1,+∞)答案:B解析:因为关于x的不等式ax-b>0的解集为(1,+∞),所以a>0,且=1,即a=b,所以关于x的不等式->0可化为->0,其解集是(-∞,-1)∪(2,+∞).6.已知二次方程ax2+bx+c=0的两个根是-2,3,若a>0,那么ax2-bx+c>0的解集是. 答案:{x|x<-3或x>2}解析:由题意知---∴b=-a,c=-6a.∴不等式ax2-bx+c>0,化为ax2+ax-6a>0,又∵a>0,∴x2+x-6>0,而方程x2+x-6=0的根为-3和2,∴不等式的解集是{x|x<-3或x>2}.7.已知关于x的不等式x2-ax+2a>0在R上恒成立,则实数a的取值范围是. 答案:(0,8)解析:由题意得,Δ=(-a)2-4×2a<0.即a2-8a<0,∴0<a<8.8.设0≤α≤π,不等式8x2-(8sin α)x+sin α≥0的解集为R,则α的取值范围是. 答案:πππ解析:由已知不等式的解集为R,∴Δ=64sin2α-32sin α≤0,解得0≤sin α≤.∴由y=sin x的图象知,当0≤α≤π时,解得0≤α≤π或π≤α≤π.9.已知不等式x2-2x-3<0的解集为A,不等式x2+4x-5<0的解集为B,(1)求A∪B;(2)若不等式x2+ax+b<0的解集是A∪B,求ax2+x+b<0的解集.解:(1)解不等式x2-2x-3<0,得A={x|-1<x<3}.解不等式x2+4x-5<0,得B={x|-5<x<1}.∴A∪B={x|-5<x<3}.(2)由x2+ax+b<0的解集为{x|-5<x<3},∴-解得-∴2x2+x-15<0.∴不等式解集为-.。
高一数学必修5综合练习一、填空题:(每小题5分,共70分)1.若点(,3)P a 在23x y +<表示的区域内,则实数a 的取值范围是___________;0a <2.在△ABC 中,若sinA ∶sinB ∶sinC = 7∶8∶9,则cosA=______; 233.已知数列 ,那么8是这个数列的第 项;114.若不等式220x ax a -+>对一切实数x 都成立,则实数a 的范围为 ;01a <<5.设数列{}n a 的通项公式为227n a n =-+,n S 是数列{}n a 的前n 项和,则当 n =_______时,n S 取得最大值;136.不等式212x x -+<1的解集为____________;(2,3)- 7.在ABC ∆中,已知4,6,120,a b C ==∠= 则sinA 的值是_________8.已知变量x y 、满足约束条件102020x y x y -+≥⎧⎪-≤⎨⎪+≥⎩,则目标函数z x y =+的最大值是__ _;59.数列{}n a 中,11a =,1223n n a a +-=,则通项n a = ;2log (31)n -10.ABC ∆中,已知4,45a B =∠=︒,若解此三角形时有且只有唯一解,则b 的值应满 足_____ ___;b =b ≥411.已知点(,)P x y 在经过两点(3,0),(1,1)A B 的直线上,那么24x y +的最小值是__;12.已知数列{}n b 是首项为4-,公比为2的等比数列;又数列{}n a 满足160,a = 1n n n a a b +-=,则数列{}n a 的通项公式n a =_______________;1264n +-+13.在4别填上____________和.6,414.如图所示是毕达哥拉斯的生长程序:正方形上连接着一个等腰直角三角形,等腰直角三角形的直角边上再连接正方形 ,如此继续.若共得到1023个正方形,设起始正方形的边长为2,则最小正方形的边长为 ; 132 二、解答题(共90分)15.ABC ∆中,已知a 、b 、c 成等差数列,SinA 、SinB 、SinC 成等比数列,试判断△ABC 的形状.解:∵,,a b c 成等差数列,∴2a cb +=①又∵sin ,sin ,sin A B C 成等比数列, ∴2sin sin sin B A C =⋅,∴2b ac = ②将①代入②得:2()2a c ac +=,∴2()0a c -=, ∴a c =代入①得bc =,从而a b c ==,∴△ABC 是正△ 16.某村计划建造一个室内面积为72m 2的矩形蔬菜温室。
必修1、3、4、5综合练习题一、 选择题:1、集合U ={1,2,3,4,5,6},S ={1,4,5},T ={2,3,4},则S ∩(∁U T )等于( )A .{1,4,5,6}B .{1,5}C .{4}D .{1,2,3,4,5} 2、已知U ={y |y =log 2x ,x >1},P =⎩⎨⎧⎭⎬⎫y |y =1x ,x >2,则∁U P =( )A.⎣⎡⎭⎫12,+∞B.⎝⎛⎭⎫0,12C.()0,+∞D.(]-∞,0∪⎣⎡⎭⎫12,+∞ 3、已知函数f (x )=⎩⎪⎨⎪⎧2x,x >0,x +1,x ≤0.若f (a )+f (1)=0,则实数a 的值等于( )A .-3B .-1C .1D .34、已知角θ的顶点与原点重合,始边与x 轴的正半轴重合,终边在直线y =2x 上,则cos2θ=( )A .-45B .-35 C.35 D.455、设变量x ,y 满足⎩⎪⎨⎪⎧x +y ≤1,x -y ≤1,x ≥0,则x +2y 的最大值和最小值分别为( )A .1,-1B .2,-2C .1,-2D .2,-1 6、若函数f (x )=x +1x -2(x >2)在x =a 处取最小值,则a =( )A .1+ 2B .1+ 3C .3D .47、如图1-1,矩形ABCD 中,点E 为边CD 的中点.若在矩形ABCD 内部随机取一个点Q ,则点Q 取自△ABE 内部的概率等于( )图1-1A.14B.13C.12D.238、有一个容量为66的样本,数据的分组及各组的频数如下:[11.5,15.5) 2 [15.5,19.5) 4 [19.5,23.5) 9 [23.5,27.5) 18 [27.5,31.5) 11 [31.5,35.5) 12 [35.5,39.5) 7 [39.5,43.5) 3根据样本的频率分布估计,数据落在[31.5,43.5)的概率约是( ) A.16 B.13 C.12 D.239、执行如图1-1所示的程序框图,如果输入的N 是6,那么输出的p 是( )A .120B .720C .1440D .504010、函数()cos f x x =在[0,)+∞内(A )没有零点 (B )有且仅有一个零点 (C )有且仅有两一个零点(D )有无穷个零点 11、10名工人某天生产同一零件,生产的件数是15,17,14,10,15,17,17,16,14,12,设其平均数为a ,中位数为b ,众数为c ,则有( )A c b a >>B a c b >>C b a c >>D a b c >>12、已知向量)sin ,(cos θθ=,向量)1,3(-=则|2|-的最大值,最小值分别是( )A 0,24B 24,4C 16,0D 4,0二、填空题;13、已知log 2a +log 2b ≥1,则3a +9b 的最小值为________.14、已知向量a ,b 满足(a +2b )·(a -b )=-6,且|a |=1,|b |=2,则a 与b 的夹角为________. 15、从1,2,3,4这四个数中一次随机地取两个数,则其中一个数是另一个数的两倍的概率是________. 16、某市有大型超市200家、中型超市400家、小型超市1400家,为掌握各类超市的营业情况,现按分层抽样方法抽取一个容量为100的样本,应抽取中型超市________家.17、《九章算术》“竹九节”问题:现有一根9节的竹子,自上而下各节的容积成等差数列,上面4节的容积共3升,下面3节的容积共4升,则第5节的容积为________升.18、若22xx ≥,则x 的取值范围是____________三、解答题:19、已知等比数列{a n }的公比q =3,前3项和S 3=133.(1)求数列{a n }的通项公式;(2)若函数f (x )=A sin(2x +φ)(A >0,0<φ<π)在x =π6处取得最大值,且最大值为a 3,求函数f (x )的解析式.20、△ABC 的内角A 、B 、C 的对边分别为a 、b 、c .已知A -C =90°,a +c =2b ,求C .21、等比数列{a n }的各项均为正数,且2a 1+3a 2=1,a 23=9a 2a 6.(1)求数列{a n }的通项公式;(2)设b n =log 3a 1+log 3a 2+…+log 3a n ,求数列⎩⎨⎧⎭⎬⎫1b n 的前n 项和.22、已知12)(),cos 21,2sin 1(),sin 23,2sin 1(+⋅=-=+=b a x f x x b x x a (I)求函数()f x 的最小正周期和最大值;(II)该函数的图象可由sin ()y x x R =∈的图象经过怎样的平移和伸缩变换得到?参考答案:一、选择题1、 B 【解析】 S ∩(∁U T )={1,4,5} ∩{1,5,6}={1,5}2、 A 【解析】 因为U ={y |y =log 2x ,x >1}={y |y >0},P =⎩⎨⎧⎭⎬⎫y |y =1x ,x >2=⎩⎨⎧⎭⎬⎫y ⎪⎪0<y <12,所以∁U P =⎩⎨⎧⎭⎬⎫y ⎪⎪y ≥12=⎣⎡⎭⎫12,+∞3、A 【解析】 由已知,得f (1)=2;又当x >0时,f (x )=2x >1,而f (a )+f (1)=0,∴f (a )=-2,且a <0,∴a +1=-2,解得a =-3,故选A4、B 【解析】 解法1:在角θ终边上任取一点P (a,2a )(a ≠0),则r 2=||OP 2=a 2+(2a )2=5a 2,∴cos 2θ=a 25a 2=15,∴cos2θ=2cos 2θ-1=25-1=-35.解法2:tan θ=2a a =2,cos2θ=cos 2θ-sin 2θcos 2θ+sin 2θ=1-tan 2θ1+tan 2θ=-35. 5、B 【解析】 画出可行域(如图所示阴影部分).可知当直线u =x +2y 经过A (0,1),C (0,-1)时分别对应u 的最大值和最小值.故u max =2,u min =-2.6、C 【解析】 ∵x >2,∴f (x )=x +1x -2=(x -2)+1x -2+2≥2(x -2)·1x -2+2=4,当且仅当x -2=1x -2,即x =3时取等号.7、C 【解析】 因为S △ABE =12|AB |·|BC |,S 矩形=|AB |·|BC |,则点Q 取自△ABE 内部的概率p =S △ABE S 矩形=129、【解析】 k =1时,p =1;k =2时,p =1×2=2; k =3时,p =2×3=6; k =4时,p =6×4=24; k =5时,p =24×5=120; k =6时,p =120×6=720.8、B 【解析】 根据样本中的频率分布可得:数据落在[31.5,43.5)的概率约是12+7+366=2266=13.10、B 【解析】:令1y =2cos y x =,则它们的图像如图故选B11、D 总和为147,14.7a =;样本数据17分布最广,即频率最大,为众数,17c =;从小到大排列,中间一位,或中间二位的平均数,即15b =12、6 D 2(2cos 2sin 1),|2|a b a b θθ-=+-===4,最小值为0二、填空题;13、18 【解析】 ∵log 2a +log 2b =log 2ab ≥1,∴ab ≥2,∴3a +9b =3a +32b ≥23a ·32b =23a+2b≥2322ab=18.14、π3 【解析】 设a 与b 的夹角为θ,依题意有(a +2b )·(a -b )=a 2+a ·b -2b 2=-7+2cos θ=-6,所以cos θ=12.因为0≤θ≤π,故θ=π3.15、13 【解析】 一次随机抽取两个数共有1,2;1,3;1,4;2,3;2,4;3,4,一个数是另一个数的2倍的有2种,故所求概率为13.16、20 【解析】 由题意,样本容量为200+400+1400=2000, 抽样比例为1002000=120,所以中型超市应抽120×400=20家. 17、6766 【解析】 设所构成的等差数列{}a n 的首项为a 1,公差为d ,由⎩⎪⎨⎪⎧a 1+a 2+a 3+a 4=3,a 7+a 8+a 9=4,得⎩⎪⎨⎪⎧4a 1+6d =3,3a 1+21d =4,解得⎩⎨⎧a 1=1322,d =766,所以a 5=a 1+4d =6766.18、 [2,4] 在同一坐标系中画出函数2y x =与2xy =的图象,可以观察得出 三、解答题:19、【解答】 (1)由q =3,S 3=133得a 1(1-33)1-3=133,解得a 1=13.所以a n =13×3n -1=3n -2.(2)由(1)可知a n =3n -2,所以a 3=3.因为函数f (x )的最大值为3,所以A =3; 因为当x =π6时f (x )取得最大值,所以sin ⎝⎛⎭⎫2×π6+φ=1. 又0<φ<π,故φ=π6.所以函数f (x )的解析式为f (x )=3sin ⎝⎛⎭⎫2x +π6. 20、【解答】 由a +c =2b 及正弦定理可得sin A +sin C =2sin B .又由于A -C =90°,B =180°-(A +C ),故 cos C +sin C =2sin(A +C ) =2sin(90°+2C ) =2cos2C . 故22cos C +22sin C =cos2C , cos(45°-C )=cos2C . 因为0°<C <90°,所以2C =45°-C ,C =15°.21、【解答】 (1)设数列{a n }的公比为q ,由a 23=9a 2a 6得a 23=9a 24,所以q 2=19. 由条件可知q >0,故q =13.由2a 1+3a 2=1得2a 1+3a 1q =1,所以a 1=13.故数列{a n }的通项公式为a n =13n .(2)b n =log 3a 1+log 3a 2+…+log 3a n =-(1+2+…+n ) =-n (n +1)2.故1b n =-2n (n +1)=-2⎝⎛⎭⎫1n -1n +1, 1b 1+1b 2+…+1b n =-2⎝⎛⎭⎫1-12+⎝⎛⎭⎫12-13+…+⎝⎛⎭⎫1n -1n +1=-2nn +1. 所以数列⎩⎨⎧⎭⎬⎫1b n 的前n 项和为-2nn +1.22、21sin ()2(cos )14x f x x x -=++=15sin(2)264x π++. (I) f(x)的最小正周期为T=22ππ=. ∵sin(2)[1,1]6x π+∈-, ∴f(x)的最大值为74. (II) 将函数sin ()y x x R =∈的图象向左平移6π个单位,再将横坐标与纵坐标均缩小到原来的12倍,最后将图象向上平移54个单位,即可得到.。
第一章 解三角形测试一 正弦定理和余弦定理Ⅰ 学习目标1.掌握正弦定理和余弦定理及其有关变形.2.会正确运用正弦定理、余弦定理及有关三角形知识解三角形.Ⅱ 基础训练题一、选择题1.在△ABC 中,若BC =2,AC =2,B =45°,则角A 等于( ) (A)60°(B)30°(C)60°或120°(D)30°或150°2.在△ABC 中,三个内角A ,B ,C 的对边分别是a ,b ,c ,若a =2,b =3,cos C =-41,则c 等于( ) (A)2(B)3(C)4(D)53.在△ABC 中,已知32sin ,53cos ==C B ,AC =2,那么边AB 等于( ) (A )45 (B)35 (C)920 (D)512 4.在△ABC 中,三个内角A ,B ,C 的对边分别是a ,b ,c ,已知B =30°,c =150,b =503,那么这个三角形是( ) (A)等边三角形 (B)等腰三角形(C)直角三角形(D)等腰三角形或直角三角形5.在△ABC 中,三个内角A ,B ,C 的对边分别是a ,b ,c ,如果A ∶B ∶C =1∶2∶3,那么a ∶b ∶c 等于( ) (A)1∶2∶3 (B)1∶3∶2(C)1∶4∶9(D)1∶2∶3二、填空题6.在△ABC中,三个内角A,B,C的对边分别是a,b,c,若a=2,B=45°,C=75°,则b=________.7.在△ABC中,三个内角A,B,C的对边分别是a,b,c,若a=2,b=23,c=4,则A=________.8.在△ABC中,三个内角A,B,C的对边分别是a,b,c,若2cos B cos C=1-cos A,则△ABC形状是________三角形.9.在△ABC中,三个内角A,B,C的对边分别是a,b,c,若a=3,b=4,B=60°,则c=________.10.在△ABC中,若tan A=2,B=45°,BC=5,则AC=________.三、解答题11.在△ABC中,三个内角A,B,C的对边分别是a,b,c,若a=2,b=4,C=60°,试解△ABC.12.在△ABC中,已知AB=3,BC=4,AC=13.(1)求角B的大小;(2)若D是BC的中点,求中线AD的长.13.如图,△OAB的顶点为O(0,0),A(5,2)和B(-9,8),求角A的大小.14.在△ABC 中,已知BC =a ,AC =b ,且a ,b 是方程x 2-23x +2=0的两根,2cos(A+B )=1.(1)求角C 的度数; (2)求AB 的长; (3)求△ABC 的面积.测试二 解三角形全章综合练习Ⅰ 基础训练题一、选择题1.在△ABC 中,三个内角A ,B ,C 的对边分别是a ,b ,c ,若b 2+c 2-a 2=bc ,则角A 等于( ) (A)6π (B)3π (C)32π (D)65π 2.在△ABC 中,给出下列关系式: ①sin(A +B )=sin C②cos(A +B )=cos C③2cos 2sinCB A =+ 其中正确的个数是( ) (A)0(B)1(C)2(D)33.在△ABC 中,三个内角A ,B ,C 的对边分别是a ,b ,c .若a =3,sin A =32,sin(A +C )=43,则b 等于( ) (A)4(B)38(C)6(D)827 4.在△ABC 中,三个内角A ,B ,C 的对边分别是a ,b ,c ,若a =3,b =4,sin C =32,则此三角形的面积是( )(A)8 (B)6 (C)4 (D)35.在△ABC 中,三个内角A ,B ,C 的对边分别是a ,b ,c ,若(a +b +c )(b +c -a )=3bc ,且sin A =2sin B cos C ,则此三角形的形状是( ) (A)直角三角形 (B)正三角形 (C)腰和底边不等的等腰三角形 (D)等腰直角三角形 二、填空题6.在△ABC 中,三个内角A ,B ,C 的对边分别是a ,b ,c ,若a =2,b =2,B =45°,则角A =________.7.在△ABC 中,三个内角A ,B ,C 的对边分别是a ,b ,c ,若a =2,b =3,c =19,则角C =________.8.在△ABC 中,三个内角A ,B ,C 的对边分别是a ,b ,c ,若b =3,c =4,cos A =53,则此三角形的面积为________.9.已知△ABC 的顶点A (1,0),B (0,2),C (4,4),则cos A =________.10.已知△ABC 的三个内角A ,B ,C 满足2B =A +C ,且AB =1,BC =4,那么边BC 上的中线AD 的长为________. 三、解答题11.在△ABC 中,a ,b ,c 分别是角A ,B ,C 的对边,且a =3,b =4,C =60°.(1)求c ; (2)求sin B .12.设向量a ,b 满足a ·b =3,|a |=3,|b |=2.(1)求〈a ,b 〉; (2)求|a -b |.13.设△OAB 的顶点为O (0,0),A (5,2)和B (-9,8),若BD ⊥OA 于D .(1)求高线BD 的长; (2)求△OAB 的面积.14.在△ABC 中,若sin 2A +sin 2B >sin 2C ,求证:C 为锐角.(提示:利用正弦定理R CcB b A a 2sin sin sin ===,其中R 为△ABC 外接圆半径)Ⅱ 拓展训练题15.如图,两条直路OX 与OY 相交于O 点,且两条路所在直线夹角为60°,甲、乙两人分别在OX 、OY 上的A 、B 两点,| OA |=3km ,| OB |=1km ,两人同时都以4km/h 的速度行走,甲沿XO 方向,乙沿OY 方向.问:(1)经过t 小时后,两人距离是多少(表示为t 的函数)?(2)何时两人距离最近?16.在△ABC 中,a ,b ,c 分别是角A ,B ,C 的对边,且ca bC B +-=2cos cos . (1)求角B 的值;(2)若b =13,a +c =4,求△ABC 的面积.第二章 数列测试三 数列Ⅰ 学习目标1.了解数列的概念和几种简单的表示方法(列表、图象、通项公式),了解数列是一种特殊的函数.2.理解数列的通项公式的含义,由通项公式写出数列各项.3.了解递推公式是给出数列的一种方法,能根据递推公式写出数列的前几项.Ⅱ 基础训练题一、选择题1.数列{a n }的前四项依次是:4,44,444,4444,…则数列{a n }的通项公式可以是( ) (A)a n =4n (B)a n =4n (C)a n =94(10n-1) (D)a n =4×11n2.在有一定规律的数列0,3,8,15,24,x ,48,63,……中,x 的值是( ) (A)30 (B)35 (C)36 (D)42 3.数列{a n }满足:a 1=1,a n =a n -1+3n ,则a 4等于( ) (A)4 (B)13 (C)28 (D)43 4.156是下列哪个数列中的一项( ) (A){n 2+1} (B){n 2-1} (C){n 2+n } (D){n 2+n -1} 5.若数列{a n }的通项公式为a n =5-3n ,则数列{a n }是( ) (A)递增数列 (B)递减数列 (C)先减后增数列 (D)以上都不对 二、填空题6.数列的前5项如下,请写出各数列的一个通项公式:(1)n a ,,31,52,21,32,1 =________;(2)0,1,0,1,0,…,a n =________.7.一个数列的通项公式是a n =122+n n .(1)它的前五项依次是________; (2)0.98是其中的第________项.8.在数列{a n }中,a 1=2,a n +1=3a n +1,则a 4=________. 9.数列{a n }的通项公式为)12(3211-++++=n a n (n ∈N *),则a 3=________.10.数列{a n }的通项公式为a n =2n 2-15n +3,则它的最小项是第________项. 三、解答题11.已知数列{a n }的通项公式为a n =14-3n .(1)写出数列{a n }的前6项; (2)当n ≥5时,证明a n <0.12.在数列{a n }中,已知a n =312-+n n (n ∈N *).(1)写出a 10,a n +1,2n a ; (2)7932是否是此数列中的项?若是,是第几项?13.已知函数xx x f 1)(-=,设a n =f (n )(n ∈N +). (1)写出数列{a n }的前4项;(2)数列{a n }是递增数列还是递减数列?为什么?测试四 等差数列Ⅰ 学习目标1.理解等差数列的概念,掌握等差数列的通项公式,并能解决一些简单问题. 2.掌握等差数列的前n 项和公式,并能应用公式解决一些简单问题.3.能在具体的问题情境中,发现数列的等差关系,并能体会等差数列与一次函数的关系.Ⅱ 基础训练题一、选择题1.数列{a n }满足:a 1=3,a n +1=a n -2,则a 100等于( ) (A)98 (B)-195 (C)-201 (D)-1982.数列{a n }是首项a 1=1,公差d =3的等差数列,如果a n =2008,那么n 等于( ) (A)667 (B)668 (C)669 (D)670 3.在等差数列{a n }中,若a 7+a 9=16,a 4=1,则a 12的值是( ) (A)15 (B)30 (C)31 (D)644.在a 和b (a ≠b )之间插入n 个数,使它们与a ,b 组成等差数列,则该数列的公差为( )(A)n a b - (B)1+-n a b (C)1++n a b (D)2+-n ab 5.设数列{a n }是等差数列,且a 2=-6,a 8=6,S n 是数列{a n }的前n 项和,则( ) (A)S 4<S 5 (B)S 4=S 5 (C)S 6<S 5 (D)S 6=S 5 二、填空题6.在等差数列{a n }中,a 2与a 6的等差中项是________.7.在等差数列{a n }中,已知a 1+a 2=5,a 3+a 4=9,那么a 5+a 6=________. 8.设等差数列{a n }的前n 项和是S n ,若S 17=102,则a 9=________.9.如果一个数列的前n 项和S n =3n 2+2n ,那么它的第n 项a n =________.10.在数列{a n }中,若a 1=1,a 2=2,a n +2-a n =1+(-1)n (n ∈N *),设{a n }的前n 项和是S n ,则S 10=________. 三、解答题11.已知数列{a n }是等差数列,其前n 项和为S n ,a 3=7,S 4=24.求数列{a n }的通项公式.12.等差数列{a n }的前n 项和为S n ,已知a 10=30,a 20=50.(1)求通项a n ;(2)若S n =242,求n .13.数列{a n }是等差数列,且a 1=50,d =-0.6.(1)从第几项开始a n <0;(2)写出数列的前n 项和公式S n ,并求S n 的最大值.Ⅲ 拓展训练题14.记数列{a n }的前n 项和为S n ,若3a n +1=3a n +2(n ∈N *),a 1+a 3+a 5+…+a 99=90,求S 100.测试五 等比数列Ⅰ 学习目标1.理解等比数列的概念,掌握等比数列的通项公式,并能解决一些简单问题. 2.掌握等比数列的前n 项和公式,并能应用公式解决一些简单问题.3.能在具体的问题情境中,发现数列的等比关系,并能体会等比数列与指数函数的关系.Ⅱ 基础训练题一、选择题1.数列{a n }满足:a 1=3,a n +1=2a n ,则a 4等于( )(A)83 (B)24 (C)48 (D)542.在各项都为正数的等比数列{a n }中,首项a 1=3,前三项和为21,则a 3+a 4+a 5等于( ) (A)33 (B)72 (C)84 (D)189 3.在等比数列{a n }中,如果a 6=6,a 9=9,那么a 3等于( )(A)4(B)23 (C)916 (D)3 4.在等比数列{a n }中,若a 2=9,a 5=243,则{a n }的前四项和为( ) (A)81 (B)120 (C)168 (D)1925.若数列{a n }满足a n =a 1q n -1(q >1),给出以下四个结论: ①{a n }是等比数列; ②{a n }可能是等差数列也可能是等比数列; ③{a n }是递增数列; ④{a n }可能是递减数列. 其中正确的结论是( ) (A)①③ (B)①④ (C)②③ (D)②④ 二、填空题6.在等比数列{a n }中,a 1,a 10是方程3x 2+7x -9=0的两根,则a 4a 7=________. 7.在等比数列{a n }中,已知a 1+a 2=3,a 3+a 4=6,那么a 5+a 6=________. 8.在等比数列{a n }中,若a 5=9,q =21,则{a n }的前5项和为________. 9.在38和227之间插入三个数,使这五个数成等比数列,则插入的三个数的乘积为________.10.设等比数列{a n }的公比为q ,前n 项和为S n ,若S n +1,S n ,S n +2成等差数列,则q =________. 三、解答题11.已知数列{a n }是等比数列,a 2=6,a 5=162.设数列{a n }的前n 项和为S n .(1)求数列{a n }的通项公式; (2)若S n =242,求n .12.在等比数列{a n }中,若a 2a 6=36,a 3+a 5=15,求公比q .13.已知实数a ,b ,c 成等差数列,a +1,b +1,c +4成等比数列,且a +b +c =15,求a ,b ,c .Ⅲ 拓展训练题14.在下列由正数排成的数表中,每行上的数从左到右都成等比数列,并且所有公比都等于q ,每列上的数从上到下都成等差数列.a ij 表示位于第i 行第j 列的数,其中a 24=81,a 42=1,a 54=165. a 11 a 12 a 13 a 14 a 15 … a 1j … a 21 a 22 a 23 a 24 a 25 … a 2j … a 31 a 32 a 33 a 34 a 35 … a 3j … a 41 a 42 a 43 a 44 a 45 … a 4j … … … … … … … … … a i 1 a i 2 a i 3 a i 4 a i 5 a ij ……………………(1)求q 的值;(2)求a ij 的计算公式.测试六 数列求和Ⅰ 学习目标1.会求等差、等比数列的和,以及求等差、等比数列中的部分项的和.2.会使用裂项相消法、错位相减法求数列的和.Ⅱ 基础训练题一、选择题1.已知等比数列的公比为2,且前4项的和为1,那么前8项的和等于( ) (A)15 (B)17 (C)19 (D)21 2.若数列{a n }是公差为21的等差数列,它的前100项和为145,则a 1+a 3+a 5+…+a 99的值为( ) (A)60 (B)72.5 (C)85 (D)1203.数列{a n }的通项公式a n =(-1)n -1·2n (n ∈N *),设其前n 项和为S n ,则S 100等于( ) (A)100 (B)-100 (C)200 (D)-200 4.数列⎭⎬⎫⎩⎨⎧+-)12)(12(1n n 的前n 项和为( )(A)12+n n (B)122+n n (C)24+n n (D)12+n n5.设数列{a n }的前n 项和为S n ,a 1=1,a 2=2,且a n +2=a n +3(n =1,2,3,…),则S 100等于( ) (A)7000 (B)7250 (C)7500 (D)14950 二、填空题 6.nn +++++++++11341231121 =________.7.数列{n +n 21}的前n 项和为________. 8.数列{a n }满足:a 1=1,a n +1=2a n ,则a 21+a 22+…+a 2n =________. 9.设n ∈N *,a ∈R ,则1+a +a 2+…+a n =________. 10.n n 21813412211⨯++⨯+⨯+⨯=________. 三、解答题11.在数列{a n }中,a 1=-11,a n +1=a n +2(n ∈N *),求数列{|a n |}的前n 项和S n .12.已知函数f (x )=a 1x +a 2x 2+a 3x 3+…+a n x n (n ∈N *,x ∈R ),且对一切正整数n 都有f (1)=n 2成立.(1)求数列{a n }的通项a n ;(2)求13221111++++n n a a a a a a .13.在数列{a n}中,a1=1,当n≥2时,a n=12141211-++++n,求数列的前n项和S n.Ⅲ拓展训练题14.已知数列{a n}是等差数列,且a1=2,a1+a2+a3=12.(1)求数列{a n}的通项公式;(2)令b n=a n x n(x∈R),求数列{b n}的前n项和公式.测试七数列综合问题Ⅰ基础训练题一、选择题1.等差数列{a n}中,a1=1,公差d≠0,如果a1,a2,a5成等比数列,那么d等于( )(A)3 (B)2 (C)-2 (D)2或-22.等比数列{a n}中,a n>0,且a2a4+2a3a5+a4a6=25,则a3+a5等于( )(A)5 (B)10 (C)15 (D)203.如果a1,a2,a3,…,a8为各项都是正数的等差数列,公差d≠0,则( )(A)a1a8>a4a5 (B)a1a8<a4a5(C)a1+a8>a4+a5(D)a1a8=a4a54.一给定函数y=f(x)的图象在下列图中,并且对任意a1∈(0,1),由关系式a n+1=f(a n)得到的数列{a n}满足a n+1>a n(n∈N*),则该函数的图象是( )5.已知数列{a n}满足a1=0,1331+-=+nnn aaa(n∈N*),则a20等于( )(A)0 (B)-3(C)3(D)23二、填空题6.设数列{a n}的首项a1=41,且⎪⎪⎩⎪⎪⎨⎧+=+.,,41,211为奇数为偶数nanaannn则a2=________,a3=________.7.已知等差数列{a n}的公差为2,前20项和等于150,那么a2+a4+a6+…+a20=________. 8.某种细菌的培养过程中,每20分钟分裂一次(一个分裂为两个),经过3个小时,这种细菌可以由1个繁殖成________个.9.在数列{a n }中,a 1=2,a n +1=a n +3n (n ∈N *),则a n =________.10.在数列{a n }和{b n }中,a 1=2,且对任意正整数n 等式3a n +1-a n =0成立,若b n 是a n 与a n +1的等差中项,则{b n }的前n 项和为________. 三、解答题11.数列{a n }的前n 项和记为S n ,已知a n =5S n -3(n ∈N *).(1)求a 1,a 2,a 3;(2)求数列{a n }的通项公式; (3)求a 1+a 3+…+a 2n -1的和. 12.已知函数f (x )=422+x (x >0),设a 1=1,a 21+n ·f (a n )=2(n ∈N *),求数列{a n }的通项公式.13.设等差数列{a n }的前n 项和为S n ,已知a 3=12,S 12>0,S 13<0.(1)求公差d 的范围;(2)指出S 1,S 2,…,S 12中哪个值最大,并说明理由.Ⅲ 拓展训练题14.甲、乙两物体分别从相距70m 的两地同时相向运动.甲第1分钟走2m ,以后每分钟比前1分钟多走1m ,乙每分钟走5m . (1)甲、乙开始运动后几分钟相遇?(2)如果甲、乙到达对方起点后立即折返,甲继续每分钟比前1分钟多走1m ,乙继续每分钟走5m ,那么开始运动几分钟后第二次相遇?15.在数列{a n }中,若a 1,a 2是正整数,且a n =|a n -1-a n -2|,n =3,4,5,…则称{a n }为“绝对差数列”.(1)举出一个前五项不为零的“绝对差数列”(只要求写出前十项); (2)若“绝对差数列”{a n }中,a 1=3,a 2=0,试求出通项a n ; (3)*证明:任何“绝对差数列”中总含有无穷多个为零的项.测试八 数列全章综合练习Ⅰ 基础训练题一、选择题1.在等差数列{a n }中,已知a 1+a 2=4,a 3+a 4=12,那么a 5+a 6等于( ) (A)16 (B)20 (C)24 (D)36 2.在50和350间所有末位数是1的整数和( ) (A)5880 (B)5539 (C)5208 (D)48773.若a ,b ,c 成等比数列,则函数y =ax 2+bx +c 的图象与x 轴的交点个数为( ) (A)0 (B)1 (C)2 (D)不能确定 4.在等差数列{a n }中,如果前5项的和为S 5=20,那么a 3等于( ) (A)-2 (B)2 (C)-4 (D)45.若{a n }是等差数列,首项a 1>0,a 2007+a 2008>0,a 2007·a 2008<0,则使前n 项和S n >0成立的最大自然数n 是( ) (A)4012 (B)4013 (C)4014 (D)4015 二、填空题6.已知等比数列{a n }中,a 3=3,a 10=384,则该数列的通项a n =________. 7.等差数列{a n }中,a 1+a 2+a 3=-24,a 18+a 19+a 20=78,则此数列前20项和S 20=________. 8.数列{a n }的前n 项和记为S n ,若S n =n 2-3n +1,则a n =________.9.等差数列{a n }中,公差d ≠0,且a 1,a 3,a 9成等比数列,则1074963a a a a a a ++++=________.10.设数列{a n }是首项为1的正数数列,且(n +1)a 21+n -na 2n +a n +1a n =0(n ∈N *),则它的通项公式a n =________. 三、解答题11.设等差数列{a n }的前n 项和为S n ,且a 3+a 7-a 10=8,a 11-a 4=4,求S 13.12.已知数列{a n }中,a 1=1,点(a n ,a n +1+1)(n ∈N *)在函数f (x )=2x +1的图象上.(1)求数列{a n }的通项公式; (2)求数列{a n }的前n 项和S n ;(3)设c n =S n ,求数列{c n }的前n 项和T n .13.已知数列{a n }的前n 项和S n 满足条件S n =3a n +2.(1)求证:数列{a n }成等比数列; (2)求通项公式a n .14.某渔业公司今年初用98万元购进一艘渔船,用于捕捞,第一年需各种费用12万元,从第二年开始包括维修费在内,每年所需费用均比上一年增加4万元,该船每年捕捞的总收入为50万元.(1)写出该渔船前四年每年所需的费用(不包括购买费用);(2)该渔船捕捞几年开始盈利(即总收入减去成本及所有费用为正值)?(3)若当盈利总额达到最大值时,渔船以8万元卖出,那么该船为渔业公司带来的收益是多少万元?Ⅱ 拓展训练题15.已知函数f (x )=412-x (x <-2),数列{a n }满足a 1=1,a n =f (-11+n a )(n ∈N *).(1)求a n ;(2)设b n =a 21+n +a 22+n +…+a 212+n ,是否存在最小正整数m ,使对任意n ∈N *有b n <25m 成立?若存在,求出m 的值,若不存在,请说明理由.16.已知f 是直角坐标系平面xOy 到自身的一个映射,点P 在映射f 下的象为点Q ,记作Q=f (P ).设P 1(x 1,y 1),P 2=f (P 1),P 3=f (P 2),…,P n =f (P n -1),….如果存在一个圆,使所有的点P n (x n ,y n )(n ∈N *)都在这个圆内或圆上,那么称这个圆为点P n (x n ,y n )的一个收敛圆.特别地,当P 1=f (P 1)时,则称点P 1为映射f 下的不动点.若点P (x ,y )在映射f 下的象为点Q (-x +1,21y ). (1)求映射f 下不动点的坐标;(2)若P 1的坐标为(2,2),求证:点P n (x n ,y n )(n ∈N *)存在一个半径为2的收敛圆.第三章 不等式测试九 不等式的概念与性质Ⅰ 学习目标1.了解日常生活中的不等关系和不等式(组)的实际背景,掌握用作差的方法比较两个代数式的大小.2.理解不等式的基本性质及其证明.Ⅱ 基础训练题一、选择题1.设a ,b ,c ∈R ,则下列命题为真命题的是( ) (A)a >b ⇒a -c >b -c (B)a >b ⇒ac >bc (C)a >b ⇒a 2>b 2 (D)a >b ⇒ac 2>bc 2 2.若-1<α<β<1,则α-β 的取值范围是( ) (A)(-2,2) (B)(-2,-1) (C)(-1,0) (D)(-2,0) 3.设a >2,b >2,则ab 与a +b 的大小关系是( ) (A)ab >a +b (B)ab <a +b (C)ab =a +b (D)不能确定4.使不等式a >b 和ba 11>同时成立的条件是( ) (A)a >b >0 (B)a >0>b (C)b >a >0 (D)b >0>a 5.设1<x <10,则下列不等关系正确的是( ) (A)lg 2x >lg x 2>lg(lg x ) (B)lg 2x >lg(lg x )>lg x 2 (C)lg x 2>lg 2x >1g (lg x ) (D)lg x 2>lg(lg x )>lg 2x 二、填空题6.已知a <b <0,c <0,在下列空白处填上适当不等号或等号: (1)(a -2)c ________(b -2)c ; (2)a c ________bc; (3)b -a ________|a |-|b |. 7.已知a <0,-1<b <0,那么a 、ab 、ab 2按从小到大排列为________.8.已知60<a <84,28<b <33,则a -b 的取值范围是________;ba的取值范围是________. 9.已知a ,b ,c ∈R ,给出四个论断:①a >b ;②ac 2>bc 2;③cbc a >;④a -c >b -c .以其中一个论断作条件,另一个论断作结论,写出你认为正确的两个命题是________⇒________;________⇒________.(在“⇒”的两侧填上论断序号).10.设a >0,0<b <1,则P =23+a b 与)2)(1(++=a a bQ 的大小关系是________.三、解答题11.若a >b >0,m >0,判断a b 与ma mb ++的大小关系并加以证明.12.设a >0,b >0,且a ≠b ,b a q a b ba p +=+=,22.证明:p >q .注:解题时可参考公式x 3+y 3=(x +y )(x 2-xy +y 2).Ⅲ 拓展训练题13.已知a >0,且a ≠1,设M =log a (a 3-a +1),N =log a (a 2-a +1).求证:M >N .14.在等比数列{a n }和等差数列{b n }中,a 1=b 1>0,a 3=b 3>0,a 1≠a 3,试比较a 5和b 5的大小.测试十 均值不等式Ⅰ 学习目标1.了解基本不等式的证明过程.2.会用基本不等式解决简单的最大(小)值问题.Ⅱ 基础训练题一、选择题1.已知正数a ,b 满足a +b =1,则ab ( )(A)有最小值41 (B)有最小值21 (C)有最大值41 (D)有最大值21 2.若a >0,b >0,且a ≠b ,则( ) (A)2222b a ab ba +<<+ (B)2222b a ba ab +<+< (C)2222ba b a ab +<+<(D)2222ba ab b a +<<+ 3.若矩形的面积为a 2(a >0),则其周长的最小值为( )(A)a (B)2a (C)3a(D)4a4.设a ,b ∈R ,且2a +b -2=0,则4a +2b 的最小值是( ) (A)22(B)4(C)24(D)85.如果正数a ,b ,c ,d 满足a +b =cd =4,那么( ) (A)ab ≤c +d ,且等号成立时a ,b ,c ,d 的取值唯一 (B)ab ≥c +d ,且等号成立时a ,b ,c ,d 的取值唯一 (C)ab ≤c +d ,且等号成立时a ,b ,c ,d 的取值不唯一 (D)ab ≥c +d ,且等号成立时a ,b ,c ,d 的取值不唯一 二、填空题6.若x >0,则变量xx 9+的最小值是________;取到最小值时,x =________. 7.函数y =142+x x(x >0)的最大值是________;取到最大值时,x =________.8.已知a <0,则316-+a a 的最大值是________. 9.函数f (x )=2log 2(x +2)-log 2x 的最小值是________.10.已知a ,b ,c ∈R ,a +b +c =3,且a ,b ,c 成等比数列,则b 的取值范围是________. 三、解答题 11.四个互不相等的正数a ,b ,c ,d 成等比数列,判断2da +和bc 的大小关系并加以证明.12.已知a >0,a ≠1,t >0,试比较21log a t 与21log +t a 的大小.Ⅲ 拓展训练题13.若正数x ,y 满足x +y =1,且不等式a y x ≤+恒成立,求a 的取值范围.14.(1)用函数单调性的定义讨论函数f (x )=x +xa(a >0)在(0,+∞)上的单调性; (2)设函数f (x )=x +xa(a >0)在(0,2]上的最小值为g (a ),求g (a )的解析式.测试十一 一元二次不等式及其解法Ⅰ 学习目标1.通过函数图象理解一元二次不等式与相应的二次函数、一元二次方程的联系. 2.会解简单的一元二次不等式.Ⅱ 基础训练题一、选择题1.不等式5x +4>-x 2的解集是( ) (A){x |x >-1,或x <-4} (B){x |-4<x <-1} (C){x |x >4,或x <1}(D){x |1<x <4}2.不等式-x 2+x -2>0的解集是( ) (A){x |x >1,或x <-2} (B){x |-2<x <1}(C)R(D)∅3.不等式x 2>a 2(a <0)的解集为( ) (A){x |x >±a }(B){x |-a <x <a } (C){x |x >-a ,或x <a }(D){x |x >a ,或x <-a }4.已知不等式ax 2+bx +c >0的解集为}231|{<<-x x ,则不等式cx 2+bx +a <0的解集是( )(A){x |-3<x <21} (B){x |x <-3,或x >21} (C){x -2<x <31}(D){x |x <-2,或x >31}5.若函数y =px 2-px -1(p ∈R )的图象永远在x 轴的下方,则p 的取值范围是( ) (A)(-∞,0) (B)(-4,0] (C)(-∞,-4) (D)[-4,0) 二、填空题6.不等式x 2+x -12<0的解集是________.7.不等式05213≤+-x x 的解集是________. 8.不等式|x 2-1|<1的解集是________. 9.不等式0<x 2-3x <4的解集是________. 10.已知关于x 的不等式x 2-(a +a 1)x +1<0的解集为非空集合{x |a <x <a1},则实数a 的取值范围是________.三、解答题11.求不等式x 2-2ax -3a 2<0(a ∈R )的解集.12.k 在什么范围内取值时,方程组⎩⎨⎧=+-=-+0430222k y x x y x 有两组不同的实数解?Ⅲ 拓展训练题13.已知全集U =R ,集合A ={x |x 2-x -6<0},B ={x |x 2+2x -8>0},C ={x |x 2-4ax +3a 2<0}.(1)求实数a 的取值范围,使C ⊇(A ∩B );(2)求实数a 的取值范围,使C ⊇(U A )∩(U B ).14.设a ∈R ,解关于x 的不等式ax 2-2x +1<0.测试十二 不等式的实际应用Ⅰ 学习目标会使用不等式的相关知识解决简单的实际应用问题.Ⅱ 基础训练题一、选择题 1.函数241xy -=的定义域是( )(A){x |-2<x <2}(B){x |-2≤x ≤2} (C){x |x >2,或x <-2}(D){x |x ≥2,或x ≤-2}2.某村办服装厂生产某种风衣,月销售量x (件)与售价p (元/件)的关系为p =300-2x ,生产x 件的成本r =500+30x (元),为使月获利不少于8600元,则月产量x 满足( ) (A)55≤x ≤60 (B)60≤x ≤65 (C)65≤x ≤70 (D)70≤x ≤753.国家为了加强对烟酒生产管理,实行征收附加税政策.现知某种酒每瓶70元,不征收附加税时,每年大约产销100万瓶;若政府征收附加税,每销售100元征税r 元,则每年产销量减少10r 万瓶,要使每年在此项经营中所收附加税不少于112万元,那么r 的取值范围为( ) (A)2≤r ≤10 (B)8≤r ≤10 (C)2≤r ≤8 (D)0≤r ≤84.若关于x 的不等式(1+k 2)x ≤k 4+4的解集是M ,则对任意实常数k ,总有( ) (A)2∈M ,0∈M (B)2∉M ,0∉M (C)2∈M ,0∉M (D)2∉M ,0∈M 二、填空题5.已知矩形的周长为36cm ,则其面积的最大值为________.6.不等式2x 2+ax +2>0的解集是R ,则实数a 的取值范围是________. 7.已知函数f (x )=x |x -2|,则不等式f (x )<3的解集为________.8.若不等式|x +1|≥kx 对任意x ∈R 均成立,则k 的取值范围是________. 三、解答题9.若直角三角形的周长为2,求它的面积的最大值,并判断此时三角形形状.10.汽车在行驶过程中,由于惯性作用,刹车后还要继续滑行一段距离才能停住,我们称这段距离为“刹车距离”.刹车距离是分析事故的一个主要因素,在一个限速为40km/h 的弯道上,甲乙两车相向而行,发现情况不对同时刹车,但还是相撞了,事后现场测得甲车刹车的距离略超过12m ,乙车的刹车距离略超过10m .已知甲乙两种车型的刹车距离s (km)与车速x (km/h)之间分别有如下关系:s 甲=0.1x +0.01x 2,s乙=0.05x +0.005x 2.问交通事故的主要责任方是谁?Ⅲ 拓展训练题11.当x ∈[-1,3]时,不等式-x 2+2x +a >0恒成立,求实数a 的取值范围.12.某大学印一份招生广告,所用纸张(矩形)的左右两边留有宽为4cm 的空白,上下留有都为6cm 的空白,中间排版面积为2400cm 2.如何选择纸张的尺寸,才能使纸的用量最小?测试十三 二元一次不等式(组)与简单的线性规划问题Ⅰ 学习目标1.了解二元一次不等式的几何意义,能用平面区域表示二元一次不等式组. 2.会从实际情境中抽象出一些简单的二元线性规划问题,并能加以解决.Ⅱ 基础训练题一、选择题1.已知点A (2,0),B (-1,3)及直线l :x -2y =0,那么( ) (A)A ,B 都在l 上方 (B)A ,B 都在l 下方 (C)A 在l 上方,B 在l 下方 (D)A 在l 下方,B 在l 上方 2.在平面直角坐标系中,不等式组⎪⎩⎪⎨⎧≤+≥≥2,0,0y x y x 所表示的平面区域的面积为( )(A)1 (B)2 (C)3 (D)43.三条直线y =x ,y =-x ,y =2围成一个三角形区域,表示该区域的不等式组是( )(A)⎪⎩⎪⎨⎧≤-≥≥.2,,y x y x y(B)⎪⎩⎪⎨⎧≤-≤≤.2,,y x y x y(C)⎪⎩⎪⎨⎧≤-≥≤.2,,y x y x y(D)⎪⎩⎪⎨⎧≤-≤≥.2,,y x y x y4.若x ,y 满足约束条件⎪⎩⎪⎨⎧≤≥+≥+-,3,0,05x y x y x 则z =2x +4y 的最小值是( )(A)-6 (B)-10 (C)5 (D)105.某电脑用户计划使用不超过500元的资金购买单价分别为60元,70元的单片软件和盒装磁盘.根据需要,软件至少买3片,磁盘至少买2盒,则不同的选购方式共有( ) (A)5种 (B)6种 (C)7种 (D)8种 二、填空题6.在平面直角坐标系中,不等式组⎩⎨⎧<>00y x 所表示的平面区域内的点位于第________象限.7.若不等式|2x +y +m |<3表示的平面区域包含原点和点(-1,1),则m 的取值范围是________. 8.已知点P (x ,y )的坐标满足条件⎪⎩⎪⎨⎧≥-+≤≤,033,3,1y x y x 那么z =x -y 的取值范围是________.9.已知点P (x ,y )的坐标满足条件⎪⎩⎪⎨⎧≥-+≤≤,022,2,1y x y x 那么x y 的取值范围是________.10.方程|x |+|y |≤1所确定的曲线围成封闭图形的面积是________. 三、解答题11.画出下列不等式(组)表示的平面区域:(1)3x +2y +6>0 (2)⎪⎩⎪⎨⎧≥+--≥≤.01,2,1y x y x12.某实验室需购某种化工原料106kg ,现在市场上该原料有两种包装,一种是每袋35kg ,价格为140元;另一种是每袋24kg ,价格为120元.在满足需要的前提下,最少需要花费多少元?Ⅲ 拓展训练题13.商店现有75公斤奶糖和120公斤硬糖,准备混合在一起装成每袋1公斤出售,有两种混合办法:第一种每袋装250克奶糖和750克硬糖,每袋可盈利0.5元;第二种每袋装500克奶糖和500克硬糖,每袋可盈利0.9元.问每一种应装多少袋,使所获利润最大?最大利润是多少?14.甲、乙两个粮库要向A ,B 两镇运送大米,已知甲库可调出100吨,乙库可调出80吨,而A 镇需大米70吨,B 镇需大米110吨,两个粮库到两镇的路程和运费如下表: 路程(千米) 运费(元/吨·千米) 甲库 乙库 甲库乙库 A 镇 20 15 12 12 B 镇 2520108问:(1)这两个粮库各运往A 、B 两镇多少吨大米,才能使总运费最省?此时总运费是多少?(2)最不合理的调运方案是什么?它给国家造成不该有的损失是多少?测试十四 不等式全章综合练习Ⅰ基础训练题一、选择题1.设a ,b ,c ∈R ,a >b ,则下列不等式中一定正确的是( ) (A)ac 2>bc 2(B)ba 11< (C)a -c >b -c (D)|a |>|b |2.在平面直角坐标系中,不等式组⎪⎩⎪⎨⎧≥≥+-≤-+2,042,04y y x y x 表示的平面区域的面积是( )(A)23 (B)3 (C)4 (D)6 3.某房地产公司要在一块圆形的土地上,设计一个矩形的停车场.若圆的半径为10m ,则这个矩形的面积最大值是( ) (A)50m 2 (B)100m 2 (C)200m 2 (D)250m 2 4.设函数f (x )=222x x x +-,若对x >0恒有xf (x )+a >0成立,则实数a 的取值范围是( )(A)a <1-22(B)a <22-1(C)a >22-1(D)a >1-22 5.设a ,b ∈R ,且b (a +b +1)<0,b (a +b -1)<0,则( ) (A)a >1 (B)a <-1 (C)-1<a <1 (D)|a |>1二、填空题6.已知1<a <3,2<b <4,那么2a -b 的取值范围是________,ba 的取值范围是________. 7.若不等式x 2-ax -b <0的解集为{x |2<x <3},则a +b =________.8.已知x ,y ∈R +,且x +4y =1,则xy 的最大值为________. 9.若函数f (x )=1222--⋅+aax x的定义域为R ,则a 的取值范围为________.10.三个同学对问题“关于x 的不等式x 2+25+|x 3-5x 2|≥ax 在[1,12]上恒成立,求实数a的取值范围”提出各自的解题思路. 甲说:“只须不等式左边的最小值不小于右边的最大值.” 乙说:“把不等式变形为左边含变量x 的函数,右边仅含常数,求函数的最值.” 丙说:“把不等式两边看成关于x 的函数,作出函数图象.” 参考上述解题思路,你认为他们所讨论的问题的正确结论,即a 的取值范围是________. 三、解答题11.已知全集U =R ,集合A ={x | |x -1|<6},B ={x |128--x x >0}.(1)求A ∩B ; (2)求(U A )∪B .12.某工厂用两种不同原料生产同一产品,若采用甲种原料,每吨成本1000元,运费500元,可得产品90千克;若采用乙种原料,每吨成本1500元,运费400元,可得产品100千克.今预算每日原料总成本不得超过6000元,运费不得超过2000元,问此工厂每日采用甲、乙两种原料各多少千克,才能使产品的日产量最大?Ⅱ 拓展训练题13.已知数集A ={a 1,a 2,…,a n }(1≤a 1<a 2<…<a n ,n ≥2)具有性质P :对任意的i ,j (1≤i ≤j ≤n ),a i a j 与ij a a 两数中至少有一个属于A .(1)分别判断数集{1,3,4}与{1,2,3,6}是否具有性质P ,并说明理由; (2)证明:a 1=1,且n nna a a a a a a =++++++---1121121 .测试十五必修5模块自我检测题一、选择题1.函数42-=xy的定义域是( )(A)(-2,2) (B)(-∞,-2)∪(2,+∞)(C)[-2,2] (D)(-∞,-2]∪[2,+∞)2.设a>b>0,则下列不等式中一定成立的是( )(A)a-b<0 (B)0<ba<1(C)ab<2ba+(D)ab>a+b3.设不等式组⎪⎩⎪⎨⎧≥-≥≤,0,1yxyx所表示的平面区域是W,则下列各点中,在区域W内的点是( )(A))31,21((B))31,21(-(C))31,21(--(D))31,21(-4.设等比数列{a n}的前n项和为S n,则下列不等式中一定成立的是( )(A)a1+a3>0 (B)a1a3>0 (C)S1+S3<0 (D)S1S3<05.在△ABC中,三个内角A,B,C的对边分别为a,b,c,若A∶B∶C=1∶2∶3,则a∶b∶c等于( )(A)1∶3∶2 (B)1∶2∶3 (C)2∶3∶1 (D)3∶2∶16.已知等差数列{a n}的前20项和S20=340,则a6+a9+a11+a16等于( )(A)31 (B)34 (C)68 (D)707.已知正数x、y满足x+y=4,则log2x+log2y的最大值是( )(A)-4 (B)4 (C)-2 (D)28.如图,在限速为90km/h的公路AB旁有一测速站P,已知点P距测速区起点A的距离为0.08 km,距测速区终点B的距离为0.05 km,且∠APB=60°.现测得某辆汽车从A 点行驶到B点所用的时间为3s,则此车的速度介于( )(A)60~70km/h (B)70~80km/h(C)80~90km/h (D)90~100km/h二、填空题9.不等式x(x-1)<2的解集为________.10.在△ABC中,三个内角A,B,C成等差数列,则cos(A+C)的值为________.11.已知{a n}是公差为-2的等差数列,其前5项的和S5=0,那么a1等于________.12.在△ABC中,BC=1,角C=120°,cos A=32,则AB=________.13.在平面直角坐标系中,不等式组⎪⎩⎪⎨⎧≤-+≤-+≥≥342,0yxyxyx,所表示的平面区域的面积是________;变量z=x+3y的最大值是________.14.如图,n2(n≥4)个正数排成n行n列方阵,符号a ij(1≤i≤n,1≤j≤n,i,j∈N)表示位于第i行第j列的正数.已知每一行的数成等差数列,每一列的数成等比数列,且各列数的公比都等于q.若a11=21,a24=1,a32=41,则q=________;a ij=________.三、解答题15.已知函数f(x)=x2+ax+6.(1)当a=5时,解不等式f(x)<0;(2)若不等式f(x)>0的解集为R,求实数a的取值范围.16.已知{a n}是等差数列,a2=5,a5=14.(1)求{a n}的通项公式;(2)设{a n}的前n项和S n=155,求n的值.17.在△ABC中,a,b,c分别是角A,B,C的对边,A,B是锐角,c=10,且34coscos==abBA.(1)证明角C=90°;(2)求△ABC的面积.18.某厂生产甲、乙两种产品,生产这两种产品每吨所需要的煤、电以及每吨产品的产值如下表所示.若每天配给该厂的煤至多56吨,供电至多45千瓦,问该厂如何安排生产,用煤(吨) 用电(千瓦) 产值(万元) 甲种产品7 2 8乙种产品 3 5 1119.在△ABC 中,a ,b ,c 分别是角A ,B ,C 的对边,且cos A =31.(1)求A CB 2cos 2sin 2++的值; (2)若a =3,求bc 的最大值.20.数列{a n }的前n 项和是S n ,a 1=5,且a n =S n -1(n =2,3,4,…).(1)求数列{a n }的通项公式;(2)求证:⋅<++++531111321n a a a a参考答案第一章 解三角形测试一 正弦定理和余弦定理一、选择题1.B 2.C 3.B 4.D 5.B 提示:4.由正弦定理,得sin C =23,所以C =60°或C =120°, 当C =60°时,∵B =30°,∴A =90°,△ABC 是直角三角形; 当C =120°时,∵B =30°,∴A =30°,△ABC 是等腰三角形. 5.因为A ∶B ∶C =1∶2∶3,所以A =30°,B =60°,C =90°,由正弦定理CcB b A a sin sin sin ===k , 得a =k ·sin30°=21k ,b =k ·sin60°=23k ,c =k ·sin90°=k ,所以a ∶b ∶c =1∶3∶2. 二、填空题6.362 7.30° 8.等腰三角形 9.2373+ 10.425 提示:8.∵A +B +C =π,∴-cos A =cos(B +C ).∴2cos B cos C =1-cos A =cos(B +C )+1, ∴2cos B cos C =cos B cos C -sin B sin C +1,∴cos(B -C )=1,∴B -C =0,即B =C . 9.利用余弦定理b 2=a 2+c 2-2ac cos B . 10.由tan A =2,得52sin =A ,根据正弦定理,得ABC B AC sin sin =,得AC =425.三、解答题11.c =23,A =30°,B =90°. 12.(1)60°;(2)AD =7. 13.如右图,由两点间距离公式,得OA =29)02()05(22=-+-,同理得232,145==AB OB .由余弦定理,得cos A =222222=⨯⨯-+AB OA OB AB OA , ∴A =45°.14.(1)因为2cos(A +B )=1,所以A +B =60°,故C =120°.(2)由题意,得a +b =23,ab =2,又AB 2=c 2=a 2+b 2-2ab cos C =(a +b )2-2ab -2ab cos C=12-4-4×(21-)=10. 所以AB =10. (3)S △ABC =21ab sin C =21·2·23=23.测试二 解三角形全章综合练习1.B 2.C 3.D 4.C 5.B 提示:5.化简(a +b +c )(b +c -a )=3bc ,得b 2+c 2-a 2=bc , 由余弦定理,得cos A =212222=-+bc a c b ,所以∠A =60°.因为sin A =2sin B cos C ,A +B +C =180°, 所以sin(B +C )=2sin B cos C ,即sin B cos C +cos B sin C =2sin B cos C . 所以sin(B -C )=0,故B =C . 故△ABC 是正三角形. 二、填空题6.30° 7.120° 8.524 9.55 10.3三、解答题11.(1)由余弦定理,得c =13;(2)由正弦定理,得sin B =13392. 12.(1)由a ·b =|a |·|b |·cos 〈a ,b 〉,得〈a ,b 〉=60°;(2)由向量减法几何意义,知|a |,|b |,|a -b |可以组成三角形,所以|a -b |2=|a |2+|b |2-2|a |·|b |·cos 〈a ,b 〉=7,故|a -b |=7.13.(1)如右图,由两点间距离公式,得29)02()05(22=-+-=OA , 同理得232,145==AB OB . 由余弦定理,得,222cos 222=⨯⨯-+=AB OA OB AB OA A所以A =45°.故BD =AB ×sin A =229.(2)S △OAB =21·OA ·BD =21·29·229=29. 14.由正弦定理R CcB b A a 2sin sin sin ===,得C Rc B R b A R a sin 2,sin 2,sin 2===. 因为sin 2A +sin 2B >sin 2C ,所以222)2()2()2(R cR b R a >+, 即a 2+b 2>c 2. 所以cos C =abc b a 2222-+>0, 由C ∈(0,π),得角C 为锐角.15.(1)设t 小时后甲、乙分别到达P 、Q 点,如图,则|AP |=4t ,|BQ |=4t ,因为|OA |=3,所以t =43h 时,P 与O 重合. 故当t ∈[0,43]时, |PQ |2=(3-4t )2+(1+4t )2-2×(3-4t )×(1+4t )×cos60°; 当t >43h 时,|PQ |2=(4t -3)2+(1+4t )2-2×(4t -3)×(1+4t )×cos120°. 故得|PQ |=724482+-t t (t ≥0). (2)当t =h 4148224=⨯--时,两人距离最近,最近距离为2km . 16.(1)由正弦定理R CcB b A a 2sin sin sin ===, 得a =2R sin A ,b =2R sin B ,c =2R sinC . 所以等式c a b C B +-=2cos cos 可化为CR A R BR C B sin 2sin 22sin 2cos cos +⋅-=, 即CA BC B sin sin 2sin cos cos +-=, 2sin A cos B +sin C cos B =-cos C ·sin B ,故2sin A cos B =-cos C sin B -sin C cos B =-sin(B +C ), 因为A +B +C =π,所以sin A =sin(B +C ), 故cos B =-21, 所以B =120°.(2)由余弦定理,得b 2=13=a 2+c 2-2ac ×cos120°, 即a 2+c 2+ac =13 又a +c =4, 解得⎩⎨⎧==31c a ,或⎩⎨⎧==13c a .所以S △ABC =21ac sin B =21×1×3×23=433.第二章 数列测试三 数列一、选择题1.C 2.B 3.C 4.C 5.B 二、填空题6.(1)12+=n a n (或其他符合要求的答案) (2)2)1(1n n a -+=(或其他符合要求的答案)7.(1)2625,1716,109,54,21 (2)7 8.67 9.151 10.4提示:9.注意a n 的分母是1+2+3+4+5=15.10.将数列{a n }的通项a n 看成函数f (n )=2n 2-15n +3,利用二次函数图象可得答案. 三、解答题11.(1)数列{a n }的前6项依次是11,8,5,2,-1,-4;(2)证明:∵n ≥5,∴-3n <-15,∴14-3n <-1, 故当n ≥5时,a n =14-3n <0.12.(1)31,313,31092421102-+=++==+n n a n n a a n n ; (2)7932是该数列的第15项. 13.(1)因为a n =n -n1,所以a 1=0,a 2=23,a 3=38,a 4=415;(2)因为a n +1-a n =[(n +1)11+-n ]-(n -n1)=1+)1(1+n n又因为n ∈N +,所以a n +1-a n >0,即a n +1>a n .所以数列{a n }是递增数列.测试四 等差数列一、选择题1.B 2.D 3.A 4.B 5.B 二、填空题6.a 4 7.13 8.6 9.6n -1 10.35 提示:10.方法一:求出前10项,再求和即可;方法二:当n 为奇数时,由题意,得a n +2-a n =0,所以a 1=a 3=a 5=…=a 2m -1=1(m∈N *).当n 为偶数时,由题意,得a n +2-a n =2,即a 4-a 2=a 6-a 4=…=a 2m +2-a 2m =2(m ∈N *). 所以数列{a 2m }是等差数列.故S 10=5a 1+5a 2+2)15(5-⨯×2=35. 三、解答题11.设等差数列{a n }的公差是d ,依题意得⎪⎩⎪⎨⎧=⨯+=+.242344,7211d a d a 解得⎩⎨⎧==.2,31d a ∴数列{a n }的通项公式为a n =a 1+(n -1)d =2n +1. 12.(1)设等差数列{a n }的公差是d ,依题意得。
高中数学必修5解三角形面积相关精选题目(附答案)三角形的面积公式(1)S =12a ·h a (h a 表示a 边上的高).(2)S =12ab sin C =12bc sin A =12ac sin B .题型一:三角形面积的计算1.(2017·北京高考)在△ABC 中,∠A =60°,c =37a .(1)求sin C 的值;(2)若a =7,求△ABC 的面积.2.△ABC 中,若a ,b ,c 的对角分别为A ,B ,C ,且2A =B +C ,a =3,△ABC 的面积S △ABC =32,求边b 的长和B 的大小. 题型二:与三角形有关的综合问题(一):与三角形面积有关的综合问题3.在△ABC 中,角A ,B ,C 的对边分别为a ,b ,c .已知3cos(B -C )-1=6cos B cos C . (1)求cos A ;(2)若a =3,△ABC 的面积为22,求b ,c . (二):三角形中的最值问题4.在△ABC 中,角A ,B ,C 所对的边分别为a ,b ,c ,设S 为△ABC 的面积,满足S =34(a 2+b 2-c 2). (1)求角C 的大小;(2)求sin A +sin B 的最大值.巩固练习:1.在△ABC 中,A =60°,AB =1,AC =2,则S △ABC 的值为( ) A.12 B.32C.3D .232.如果等腰三角形的周长是底边长的5倍,则它的顶角的余弦值为( ) A .-78B.78C .-87D.873.在△ABC 中,已知面积S =14(a 2+b 2-c 2),则角C 的大小为( )A .135°B .45°C .60°D .120°4.在△ABC 中,a =32,b =23,cos C =13,则△ABC 的面积为________.5.如图,在△ABC 中,已知B =45°,D 是BC 边上一点,AD =5,AC =7,DC =3,则AB =________.6.△ABC 的两边长分别为2,3,其夹角的余弦值为13,则其外接圆的半径为________.7.△ABC 的周长为20,面积为103,A =60°,则BC 的边长等于( ) A .5B .6C .7D .88.在△ABC 中,若b =2,A =120°,其面积S =3,则△ABC 外接圆的半径为( ) A.3 B .2 C .23 D .49.在△ABC 中,sin A =34,a =10,则边长c 的取值范围是( )A.⎝⎛⎭⎫152,+∞ B .(10,+∞) C .(0,10)D.⎝⎛⎦⎤0,403 10.(2017·全国卷Ⅱ)△ABC 的内角A ,B ,C 的对边分别为a ,b ,c ,已知sin(A +C )=8sin 2B2.(1)求cos B ;(2)若a +c =6,△ABC 的面积为2,求b .11.如图,在△ABC 中,已知B =π3,AC =43,D 为BC 边上一点.(1)若AD =2,S △DAC =23,求DC 的长; (2)若AB =AD ,试求△ADC 的周长的最大值.参考答案:1.[解] (1)在△ABC 中,因为∠A =60°,c =37a ,所以由正弦定理得sin C =c sin A a =37×32=3314.(2)因为a =7,所以c =37×7=3.由余弦定理a 2=b 2+c 2-2bc cos A , 得72=b 2+32-2b ×3×12,解得b =8或b =-5(舍去). 所以△ABC 的面积S =12bc sin A =12×8×3×32=6 3. 2.解:∵A +B +C =180°,又2A =B +C ,∴A =60°. ∵S △ABC =12bc sin A =32,sin A =32,∴bc =2.①又由余弦定理得3=b 2+c 2-2bc cos A =b 2+c 2-2×2×12,即b 2+c 2=5.② 解①②可得b =1或2.由正弦定理知a sin A =b sin B ,∴sin B =b sin A a =b2.当b =1时,sin B =12,B =30°;当b =2时,sin B =1,B =90°.3.解:(1)由3cos(B -C )-1=6cos B cos C , 得3(cos B cos C -sin B sin C )=-1, 即cos(B +C )=-13,从而cos A =-cos(B +C )=13.(2)由于0<A <π,cos A =13,所以sin A =223.又S △ABC =22,即12bc sin A =22,解得bc =6.由余弦定理a 2=b 2+c 2-2bc cos A ,得b 2+c 2=13,解方程组⎩⎪⎨⎪⎧ bc =6,b 2+c 2=13,得⎩⎪⎨⎪⎧ b =2,c =3或⎩⎪⎨⎪⎧b =3,c =2.4.解:(1)由题意可知 12ab sin C =34×2ab cos C . 所以tan C = 3. 因为0<C <π,所以C =π3.(2)由(1)知sin A +sin B =sin A +sin ⎝⎛⎭⎫π-A -π3 =sin A +sin ⎝⎛⎭⎫2π3-A =sin A +32cos A +12sin A =3sin ⎝⎛⎭⎫A +π6≤3⎝⎛⎭⎫0<A <2π3. 当A =π3时,即△ABC 为等边三角形时取等号,所以sin A +sin B 的最大值为 3. 巩固练习:1.解析:选B S △ABC =12AB ·AC ·sin A =32.2.解析:选B 设等腰三角形的底边长为a ,顶角为θ,则腰长为2a ,由余弦定理得,cos θ=4a 2+4a 2-a 28a 2=78.3.解析:选B ∵S =14(a 2+b 2-c 2)=12ab sin C ,由余弦定理得:sin C =cos C ,∴tan C =1.又0°<C <180°,∴C =45°.4.解析:∵cos C =13,0<C <π,∴sin C =223,∴S △ABC =12ab sin C =12×32×23×223=4 3.5.解析:在△ADC 中,cos C =AC 2+DC 2-AD 22·AC ·DC =72+32-522×7×3=1114.又0°<C <180°,∴sin C =5314. 在△ABC 中,AC sin B =ABsin C,∴AB =sin C sin B ·AC =5314×2×7=562.6.解析:不妨设b =2,c =3,cos A =13,则a 2=b 2+c 2-2bc ·cos A =9,∴a =3. 又∵sin A =1-cos 2 A =223,∴外接圆半径为R =a 2sin A =32·223=928.7.解析:选C 如图,由题意得 ⎩⎪⎨⎪⎧a +b +c =20,12bc sin 60°=103,a 2=b 2+c 2-2bc cos 60°,则bc =40,a 2=b 2+c 2-bc =(b +c )2-3bc =(20-a )2-3×40, ∴a =7.8.解析:选B ∵S =12bc sin A ,∴3=12×2c sin 120°, ∴c =2,∴a =b 2+c 2-2bc cos A =4+4-2×2×2×⎝ ⎛⎭⎪⎫-12=23,设△ABC 外接圆的半径为R ,∴2R =a sin A =2332=4,∴R =2.9.解析:选D ∵c sin C =a sin A =403,∴c =403sin C .∴0<c ≤403.10.解:(1)由题设及A +B +C =π得sin B =8sin 2B 2,即sin B =4(1-cos B ), 故17cos 2B -32cos B +15=0, 解得cos B =1517,cos B =1(舍去).(2)由cos B =1517,得sin B =817,故S △ABC =12ac sin B =417ac .又S △ABC =2,则ac =172.由余弦定理及a +c =6得 b 2=a 2+c 2-2ac cos B=(a +c )2-2ac (1+cos B ) =36-2×172×⎝⎛⎭⎫1+1517 =4. 所以b =2.11.解:(1)∵S △DAC =23, ∴12·AD ·AC ·sin ∠DAC =23, ∴sin ∠DAC =12.∵∠DAC <∠BAC <π-π3=2π3,∴∠DAC =π6.在△ADC 中,由余弦定理得 DC 2=AD 2+AC 2-2AD ·AC cos π6,∴DC 2=4+48-2×2×43×32=28, ∴DC =27.(2)∵AB =AD ,B =π3,∴△ABD 为正三角形.在△ADC 中,根据正弦定理,可得 AD sin C =43sin2π3=DCsin ⎝⎛⎭⎫π3-C , ∴AD =8sin C ,DC =8sin ⎝⎛⎭⎫π3-C , ∴△ADC 的周长为AD +DC +AC =8sin C +8sin ⎝⎛⎭⎫π3-C +43 =8⎝⎛⎭⎫sin C +32cos C -12sin C +43 =8⎝⎛⎭⎫12sin C +32cos C +43=8sin ⎝⎛⎭⎫C +π3+43, ∵∠ADC =2π3,∴0<C <π3,∴π3<C +π3<2π3,∴当C +π3=π2,即C =π6时,△ADC 的周长取得最大值,且最大值为8+4 3.。
选修1-1、必修5综合复习练习试卷一.选择题:(50分)1.如图,D 、C 、B 三点在地面同一直线上,DC=a ,从C 、 D 两点测得点A 的仰角分别是α和β(α<β),则点A 离 地面的高AB 等于( ) A.)sin(sin sin αββα-a B.)cos(sin sin αββα-a C.)sin(cos cos αββα-aD.)cos(cos cos αββα-a2.等差数列{}n a 中,已知1a +4a +7a =39,2a +5a +8a =33,则3a +6a +9a =( ) A 30B 27C 24D 213.在下列命题中,真命题是( )A 命题“若ac>bc,则a>b ”B 命题“相似三角形的对应角相等”的逆否命题C 命题“当x=2时,x 2-3x+2=0”的否命题 D 命题“若b=3,则b 2=9”的逆命题4.某人于1996年元旦到银行存款a 元,存的是一年定期储蓄。
1997年元旦他将到期的存款的本息一起取出,再加a 元后,再存一年的定期储蓄。
此后每年元旦都按照同样的方法,在银行取款和存款。
如果银行的年利率r 不变,则到2001年元旦,他将所有的存款和利息全部取出,总钱数应该是( ) A.)1(4r a +元 B. )1(5r a +元 C. )1(6r a +元 D.)]1()1[(6r r ra +-+元 5.根据市场调查,预测某商品从年初开始的几个月内累积需求量S n (单位:万件)近似地满足)12,,3,2,1)(521(92ΛΛ=-+-=n n n nS n 。
按此预测,本年度需求量超过15万件的月份是( ) A.5月、6月 B.6月、7月 C.7月、8月 D.8月、9月 6. 在等差数列{}n a 中,已知1254=+a a ,那么它的前8项和S 8等于 ( ) A 12 B 24 C 36 D 487.若a>0,b>0, a+2b=2, 则ba 21+ ( ) A .有最大值29 B .有最小值29C .有最小值223+D .有最大值223+8.已知A (2,4),B (4,3),C (1,1),点(x ,y )在△ABC 三边所围成的区域内(包括边界),则Z=2x+y 的最大值、最小值分别为( )A. 8 , 2B. 8 , 3C. 11 , 2D. 11 , 39.在等比数列}{n a 中, n a >0,且2a 4a +23a 5a +4a 6a =25, 那么3a +5a =( ) A 5 B 10 C 15 D 2010.若f(x)对任意实数x,y 都有f (x+y)=f (x)•f (y)且f (1)=a ≠0, 则f (n)=( )A. a n 1-B. a n 1+C. a nD. 1βαDCB A二.填空题:(20分)11. 在等比数列{a n }中,a 9 +a 10=a (a ≠0) ,a 19 +a 20=b 则a 99 +a 100= 12.若a>0,b>0且a+b+3=ab 则a+b 有最 值为 13.不等式3222-+x x ≥(31)4+x 的解集为 .14.下列四个命题中①“k=1”是“函数y=cos 2kx-sin 2kx 的最小正周期为π”的充要条件; ②“a=3”是“直线ax+2y+3a=0与直线3x+(a-1)y=a-7相互垂直”的充要条件;③ 函数3422++=x x y 的最小值为2 其中假命题的为 (将你认为是假命题的序号都填上) 答题卡一.选择题:(50分)二.填空题:(20分)11. 12. 13. 14. 三.解答题:(80分)15. 已知a 、b 、c 是△ABC 的三边,S 是△ABC 的面积,若a=4,b=5,S =35,求c 的长度。
高一数学期末综合练习卷(必修2+必修5)一、 选择题:1、已知集合()()(){}223,,2144M x y x N x y x y ⎧⎫==-=-+-=⎨⎬⎩⎭,则集合MN中元素的个数为A 、0B 、1C 、2D 、不确定 2、若等差数列{}n a 的前3项和3191S a ==且,则2a 等于A 、3B 、4C 、5D 、63、已知ABC ∆的面积为23,且2,3AC AB ==,则A ∠等于A 、30B 、30150或C 、60D 、60120或 4、已知,m n 为两条不同的直线,,αβ为两个不同的平面,则下列命题中正确.. 的是A 、,,//,////m n m n ααββαβ⊂⊂⇒B 、//,,//m n m n αβαβ⊂⊂⇒C 、,//m m n n αα⊥⊥⇒D 、//,n m n m αα⊥⇒⊥ 5、直线cos 10x y α+-=的倾斜角的范围是A 、3,,4224ππππ⎡⎫⎛⎫⎪ ⎪⎢⎣⎭⎝⎭ B 、30,,44πππ⎡⎤⎡⎫⎪⎢⎥⎢⎣⎦⎣⎭C 、30,4π⎡⎫⎪⎢⎣⎭ D 、3,44ππ⎡⎤⎢⎥⎣⎦6、在小时候,我们就用手指练习过数数. 一个小朋友按如图所示的规则练习 数数,数到2008时对应的指头是A 、大拇指B 、食指C 、中指D 、无名指7、在ABC ∆中,15,5,30AC BC A ===,则AB 等于A 、25B 、5C 、255或D 、以上都不对 8、已知一个几何体的三视图如下图所示,则此几何体的表面积为2aa 正视图2aa侧视图R a =俯视图A 、24a πB 、23a πC 、()252a π+D 、()232a + 9、在下列表格中,每格填上一个数字后,使每一横行成等差..数列,每一纵列 成等比..数列,则a b c ++的值为 12 0.5 1abcA 、1B 、2C 、3D 、410、在等差数列{}n a 中,10110,0a a <>,1110a a >且,n S 为数列{}n a 的前n 项和,则使0n S >的n 的最小值为A 、10B 、11C 、20D 、2111、从点(),3P x 向圆()()22221x y +++=作切线,切线长度的最小值等于A 、4B 、26C 、5D 、11212、在120的二面角AB αβ--内有一点P ,点P 到两个面,αβ的距离都为3,则点P 到棱AB 的距离为A 、23B 、13C 、14D 、32二、填空题:13、如图,在正三棱柱....111ABC A B C -中,侧棱长为2,底面三角形的边长为1,则1BC 与侧面11ACC A 所成的角为 。
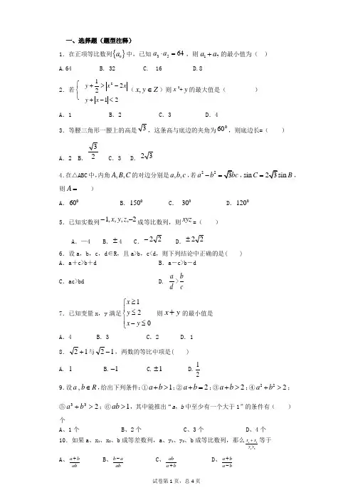
一、选择题(题型注释)1.在正项等比数列中,已知,则的最小值为( ) A.64 B. 32 C. 16 D.82.若⎩⎨⎧212212<-+->+x y x x y (y x ,Z ∈)则x 2+y 的最大值是( ) A .1 B .2 C .3 D .43,这条高与底边的夹角为060,则底边长=( )A .2 B.3 D4.在△ABC 中,内角,,A B C 的对边分别是,,a b c ,则A = )A .060B .0150C . 030D .0120 5.已知实数列2,,,,1--z y x 成等比数列,则xyz =( )A .—4B .±4C6.设a ,b ,c ,d ∈R ,且a>b ,c<d ,则下列结论中正确的是( )A .a +c>b +dB .a -c>b -dC .ac>bd7.已知变量x ,y 满足120x y x y ≥⎧⎪≤⎨⎪-≤⎩则x y +的最小值是A .4B .3C .2 D.1 8( ) A. 1 B.1- C.1± D.9.设,a b R∈,给出下列条件:①1a b +>;②2a b +=;③2a b +>;④222a b +>;⑤233>+b a ;⑥1>ab ,其中能推出“a ,b 中至少有一个大于1”的条件有( )个A 、1个B 、2个C 、3个D 、4个10.如果a 、x 1、x 2、b 成等差数列,a 、y 1、y 2、b 成等比数列,那么1212x x y y +等于A 、a b ab+ B 、b a ab- C 、ab a b+ D 、a b a b+-{}n a 6453=⋅a a 71a a +成等比数列,m 是a,b 的等差中项,n 是b,c 的等差中项,则( ) A .4 B.3 C .1 D .212A .28B .33C 13.若0<a<1,则下列不等式中正确的是 ( ) A.(1-a 1-a B .log 1-a (1+a )>0 C .(1-a )3>(1+a )2D .(1-a ))1(a +>114.公差不为0的等差数列}{,022,}{11273n n b a a a a 数列中=+-是等比数列,且==8677,b b a b 则A .2B .4C .8D .1615.若,,且构成等比数列,则 ) A .有最小值4 B .有最小值4 C .无最小值 D .有最小值216.设数列{}n a 是公差不为零的等差数列,它的前n项和为n S ,且124S S S 、、成等比 ( ) A .2 B .3 C .4 D .50a >0b >1,,,4a b 22a b +a b +22a b +a b +第II 卷(非选择题)请点击修改第II 卷的文字说明二、填空题(题型注释)17.设1,a d 为实数,首项为1a ,公差为d 的等差数列{}n a 的前n 项和为n S ,56150S S +=,则d 的取值范围是 .18.在数列{}n a 中,,则数列{}n a 中的最大项是第 项。
Unit 1 综合练习21 He suggests we ____ to the cinema at once, otherwise we ____ late.A must go; areB go ; will beC will go ; will beD would go ; are22 The writer ___ his writing so that he forgot to have his lunch.A absorbedB was absorbed intoC absorbed intoD was absorbed in23 The president ____ the new economic policy. A announced B told C informed D promised24 _____ the injuries to his face, he broke both legs. A In addition to B Except C But D Except for25 I don’t understand what you are talking about, would you ____ a little ?A explain youB express youC explain yourselfD express yourself26 Before using the machine, you must ____ carefully to these instructions . A join B join in C take part in D attend27 Only in this way ___ to make progress with your English. A hoped B wished C liked D expected28 Who is ____ the patient? Maybe his sister. A taking care B looking for C joining in D attending on29. I had no idea when and where ________.A. it happenedB. does it happenC. it had happenedD. had it happened30 Did you remember to give Mary the money you owed to her?--- Yes, I gave it to her ____ I saw her. A while B the moment C suddenly D once31 The ___ look on his f ace showed that he hadn’t expected it .A astonishedB astonishingC being astonishedD having astonished32 Do you still remember the chicken farm ___ we visited three months ago? A where B when C that D what33. He ____ her to go to school, even though she did not want to . A advised B suggested C made D persuaded34. Only when the war was over ____ return to his hometowns.A have the soldiersB the soldiersC the soldiers didD did the soldiers35. I feel it is your husband who ____ for the spoiled child . A is to blame B is going to blame C is to be blamed D should blameUnit 1 语法练习1. With dinner _____, the lady went on ____ some sewing.A. to prepare; to doB. preparing; doingC. prepared; to doD. to be prepared; doing2. You can make yourself _____ in English pretty well if you keep on speaking the language.A. understandB. understandingC. to understandD. understood3. ______ all his friends and money gone, he felt totally hopeless.A. For B. Since C. Because D. With4. The TV set he _____ works well now.A. has repairing B. having repaired C. has been repaired D. has had repaired5. In the ant city, you will see many problems _____ in this way.A. settledB. settlingC. to be settledD. to be settling6. ----The plan is heard _____ so well that we don’t have to make any changes.----It is indeed.A. to design B. designing C. designed D. design7. They woke up ___ everything around ___.A. found; changed B. finding; changed C. to find; changing D. to find; changed8. To their surprise, the boy’s wound was left ______. A. to expose B. exposed C. exposing D. to be exposed9. Mother felt quite worried to see that I had my finger _____.A. cutting B. to cut C. to be cutting D. cut10. The murderer was brought in with his hands ______ behind his back.A. being tied B. having tied C. to be tied D. tied11. The salesman scolded the girl caught ______ and let her off.A. to have stolen B. to be stealing C. to steal D. stealing12. ----Good morning. Can I help you?----I ’d like to have this package ______, madam.A. be weighed B. to be weighed C. to weigh D. weighed13. I don’t like seeing children ______ for making such a sl ight mistake.A. scoldingB. scoldedC. to scoldD. to be scold14. He worked so hard that he soon got his pay_____.A. raiseB. riseC. raisedD. rising15. I fell down and broke three of my teeth. I wonder how many times I have to come her and get my false teeth _____.A. fixB. fixingC. fixedD. to fix21-25 BDCAC 26-30 DAAAB 31-35 ADDDA CDDDA CDBDD DDBCC21. It remains______ whether the medicine has side effect. A.seeing B. to see C. seen D. to be seen22. The boy found______ a bank was dismissed. A. to rob B. to have robbed C. robbed D. robbing23. New reports say peace talks between the two countries have broken ____with no agreement reached.A. downB. outC. inD. up24. What great trouble the boy _____his father to give up smoking!A. had to persuadeB. had persuadedC. had persuadingD. had persuade25. Ten professors___ the medical team to look into the cause of the disease. A. composed B. consist of C. make up D. forms26. On our arrival, we found Tom_____ at the desk and ______ a letter.A. seated, wroteB. sitting, writtenC. seating, writingD. seated, writing27. I have a lot to say in relation ______ _the affair. A. with B. by C. to D. in28. After ten hours’ operation, the doctors managed to _____the one-year-old twin at the head.A. isolateB. separateC. divideD. remove29. -We had_____ really cold February this year-I can’t remember______ ____ spring when it snowed in Changzhou . A. a;不填B. 不填;the C. the; a D. a; a 30. ---Where is Jack?---Well, he ______ you______ here, or else he would be here right now.A. doesn’t know, areB. hadn’t known, wereC. didn’t know, wereD. ha sn’t known, are31. All of them felt it necessary that they__the meeting. A. attend B. would have attended C. attended D. were to attend32. He abused at his classmates;______ ___he refused to apologize.A. making things worseB. what is worseC. to begin withD. worse still33. It is very important for us parents to be ______ ___in educating children.A. commonB. similarC. consistentD. available34. Whoever caught ______ __the rule will be punished. A. to break B. breaks C. broke D. breaking35. I haven’t read ______ of the articles carefully, but I find that there is a striking similarity between them.A. eachB. eitherC. anyD. bothUnit 2语法练习1.We found her greatly ___. A. improving B. changed C. to help D. having disturbed2. Jane got her bad tooth ___ at the dentist's.A. to put in B. pulled out C. pushed out D. drawing out3. When ____ ,the museum will be open to the public next year. (上海2002)A. completedB. completingC. being completedD. to be completed4. With a lot of difficulties ___ ,they went to the seashore and had a good rest. A. settled B. settling C. to settle D. being settled5. The research is so designed that once __ nothing can be done to change it. A. begins B. having begun C. beginning D. begun6. ___ ,they went home,___.A. Their work had been finished; singing and laughingB. They had finished their work; sang and laughedC. Their work finished ;singing and laughingD. after their work finished; singing and laughing7. Before he came to London, he had never heard a single English word ___A. speaking B. speak C. spoken D. to speak8. ____ more attention, the trees could have grown better. A. Given B. To give C. Giving D. Having given9. ___ from space, the earth with water ___70%of its surface looks like a "blue blanket".A. Seen ;coveredB. Being seen; coversC. Seeing; coveringD. Seen; covering10. ____,the experiment will be successful. A. If carefully doing B. If it done carefully C. If carefully done D. If doing carefully11. The girl wrote a composition without ___. A. ask B. asking C. being asked D. to be asked12. He finished his homework and then went on ___me. A. helping B. with help C. with helping D. to help13. ___where to go ,he asked a policeman.A. Having lost his way and not knowingB. Losing his way and didn't knowC. Having lost his way and didn't knowD. Lost his way and didn't know14. ____ her friend was badly hurt, she burst into tears. A. Hearing B. Having heard C. To hear D. Heard15. ____ his team had won, his face lit up at once. A. Knowing B. When knowing C. After knowing D. When he knew1-15 BBAAD DDADC CDDAD21.D.DAC.C26. D.C B.DA。
综合过关检测(时间:90分钟满分:120分)Ⅰ.阅读理解(共15小题;每小题2分,满分30分)阅读下列短文,从每题所给的四个选项(A、B、C和D)中,选出最佳选项。
AI can’t think of a better way of appreciating a new culture than by taking part in one of its festivals.Some festivals are celebrated by an entire country,while others may be unique to a single city.Festivals play an important role in a certain culture.Just enjoy them!Batalla del Vino—Haro,SpainFor many years,June 29th is a good day to visit Haro,Spain.Bring a bottle of wine and prepare to be washed in red wine in the heart of Spain’s grape-growing area.After a church ceremony,crowds flock(集结)to the hills for the battle,where white shirts will be made bright purple by the end of the morning.Bay to Breakers—San Francisco,CaliforniaCreated after the terrible 1906 earthquake as a way of encouraging people,the race has become one of the region’s most important events.Held every year on the third Sunday of May,the race runs through the city from the Bay to the Pacific Breakers.The real highlight,however,is the thousands of people dressed up in a show.Pillow Fight Day—WorldwideThese events are organized mainly through the Internet.Tens of thousands of people participated in the 4th annual International Pillow Fight Day on April 2,2021.From London to Vancouver to many other cities,the festivals were held in more than 100 countries.So just bring a soft pillow in early April,and watch feathers flying. Koninginnedag—The NetherlandsAlthough their Queen’s birthday is really during the winter,she celebrates it on April 30th—the country’s official “Queen’s Day” since 1949.Orange is the national color,and the streets become a sea of shining wigs(假发)and body paints,as crowds gather in the squares and on boats in the canals.Amsterdam is the center of this outdoor party,but nearly every town is alive with orange on this day.1.People celebrated Batalla del Vino by .A.wearing bright purple shirtsB.pouring wine onto others’ white shirtsC.flocking to the hills after a ceremony“After a church ceremony,crowds flock(集结)to the hills for the battle,where white shirts will be made bright purple by the end of the morning.”中可以看出在教堂的庆祝仪式上,人们聚集在一起庆祝,直到次日早晨他们的白衬衫上被染上了光明的紫色(葡萄酒汁),故选B项。
Section Ⅳ Lesson 4 Understanding & Communication Workshop & Culture Corner & Bulletin Board课时训练Ⅳ基础夯实Ⅰ.依据句意及汉语或首字母提示完成句子.My sister has a an email address and a site on the World Wide Web..Our P.E. teacher Yang Tao i many young people to take up basketball.to get medical supplies to the area as soon as possible..Safety rules are being i by some company managers in the drive to increase profits..Attempts were made to improve the public i of the police.(阴影)on the ground.(王国)wisely.(不情愿),don ’t hesitate to say no.(宗教)are not daily topics of conversation.把……列入)her among the country ’s best writers.Ⅱ.用所给词的适当形式填空(assume).(approve)by shaking my hands.(defend).ll have to do a lot of (think)before you can work out this problem.(benefit)to both sides.Ⅲ.用方框内所给短语的适当形式填空(每个限用一次)by the teacher.being praised.getting up early.’t your parents ’ wishes.eat much more when he gets angry. 力量提升Ⅳ.阅读理解 A(导学号52040052)Harvard University in the United States has been ranked as the university with the best “reputation ” in the world.The Times Higher Education magazine has listed 200 top universities all over the world based on how they are regarded by a group of international college teachers.That is to say,the list measures how universities are regarded,rather than how they actually perform.A subjective(主观的),word-of-mouth quality such as “reputation ” has genuine(真正的)economic value for universities,said Simon Marginson,professor of higher education at the University of Melbourne in Australia.“Reputation is not just an impression,though it might be not as reliable as performance by objective indicators(客观指数),” said Prof.Marginson.Based on the views of 13,000 college teachers around the world,it confirms the power of the big US universities,which dominate this list.7 of the top 10 are US universities,headed by Harvard and Massachusetts Institute of Technology(MIT).Furthermore,14 of the top 20 are from the US.Cambridge is the highest ranking UK university in the list,in third place,with Oxford ranked as sixth.For students applying to university,reputation might be hard to measure,but is an important part of the attractiveness,said the president of Cambridge University ’s students ’ union,Rahul Mansigani.“Reputation makes a huge difference;if there is an idea that somewhere is great,it will get lots of good people applying whether it ’s true or not.Factors such as a sense of history and the presence of outstanding college teachers were part of the reputation of Cambridge,”he said. 1.What is special about the ranking of universities? A.It is very subjective.B.It involves many indicators.C.It is made by international professors.,这一排名具有肯定的主观性,它是依据世界上很多高校老师的看法而综合得出的。
1.指出下列加点字错误的注音并改正。
窸窣..(xī)(cù)桅.杆(wéi)征戍.(shù)涔.阳(cén) 寒砧.(zhàn) 招徕.(lái)疏.朗(shū) 橘.颂(jú) 亭皋.(ɡǎo)【答案】“窣”读“sū”,“砧”读“zhēn”,“皋”读“gāo”。
2.指出下列词语中的错别字并改正。
一言难尽绵密门拴钟爱丰富多采歧路洗练捣衣落木潇潇黄雀景况奥妙【答案】拴—栓,采—彩,潇潇—萧萧。
3.下列各句中加点的成语,使用不.恰当的两项是( )A.作为学者,林庚先生是出类拔萃....的;作为老师,林庚先生是平易近人的;作为人,他用自己的平凡表现出他做人的崇高境界。
B.赵翼在《论诗》中提出了“李杜诗篇万口传,至今已觉不新鲜。
江山代有才人出,各领风骚数百年”的主张,其大气与狂放由此可见一斑....。
C.妈妈语重心长地对娜娜说:“你也老大不小了,别总是得鱼忘筌....,丢三落四的,凡事多考虑考虑,想得周全点。
”D.“木”与“树”在概念上原是相去无几....的,然而到了艺术形象的领域,这里的差别就几乎是一字千里。
E.毕业后他的同学大都顺理成章地走上了音乐创作之路,而他却改换门庭....,另有所爱,一头扎进中国古代文化研究中。
【解析】C项,“得鱼忘筌”比喻达到目的以后就忘了原来的凭借,不符合语境。
A项,“出类拔萃”指才干、实力、能力等大大高出同类而拔尖。
B项,“可见一斑”比喻见到事物的小部分就能推知事物的整体。
D项,“相去无几”指二者距离不远或差别不大。
E项,“改换门庭”改变门第出身,提高社会地位;投靠新的主人或势力,以图维持、发展。
用在这里不合语境,可改为“改弦易辙”。
【答案】CE4.下列各句中,没有语病的一句是( )A.根据心理学家的研究成果显示,在工作过程中适当地娱乐可提高幸福感和工作效率,并且能够提升士气。
B.张教授说,做力量训练时,锻炼者体内的生长激素含量要远高于跑步,而且没有跑步时那种疲劳的感觉。
正、余弦定理与向量的综合 1. 在ABC △中,已知tan AB AC A ⋅=uu u r uuu r,当π6A =时,ABC △的面积为 .2. 在△ABC 中,角A ,B ,C 所对的边分别为a ,b ,c ,且满足b 2+c 2-a 2=bc ,AB ―→·BC ―→>0,a =32,则b +c 的取值范围是( ) A.⎝⎛⎭⎫1,32 B.⎝⎛⎭⎫32,32C.⎝⎛⎭⎫12,32D.⎝⎛⎦⎤12,323. 在锐角三角形C AB 中,1tan 2A =,D 为边C B 上的点,D ∆AB 与CD ∆A 的面积分别为2和4.过D 作D E ⊥AB 于E ,DF C ⊥A 于F ,则D DF E⋅= .4. ABC ∆的内角,,A B C 所对的边分别为,,a b c ,向量()m a =与(cos ,sin )n A B =平行. (I)求A ;(II)若2a b ==求ABC ∆的面积.5. 在平面直角坐标系xoy 中,已知向量222m ⎛=- ⎝⎭,()sin ,cos n x x =,0,2x π⎛⎫∈ ⎪⎝⎭. (1)若m n ⊥,求tan x 的值; (2)若m 与n 的夹角为3π,求x 的值.6. 已知向量(,cos2)a m x =,(sin 2,)b x n =,设函数()f x a b =⋅,且()y f x =的图象过点(12π和点2(,2)3π-. (Ⅰ)求,m n 的值;(Ⅱ)将()y f x =的图象向左平移ϕ(0ϕπ<<)个单位后得到函数()y g x =的图象.若()y g x =的图象上各最高点到点(0,3)的距离的最小值为1,求()y g x =的单调增区间.7. 在ABC ∆中,内角A ,B ,C 的对边a ,b ,c ,且a c >,已知2BA BC ⋅=,1cos 3B =,3b =,求:(1)a 和c 的值;(2)cos()B C -的值.8. 设向量a =(3sin x ,sin x ),b =(cos x ,sin x ),x ∈⎣⎡⎦⎤0,π2. (1)若|a |=|b |,求x 的值;(2)设函数f (x )=a ·b ,求f (x )的最大值.9. 已知向量a =⎝⎛⎭⎫cos x ,-12,b =(3sin x ,cos 2x ),x ∈R ,设函数f (x )=a ·b . (1)求f (x )的最小正周期.(2)求f (x )在⎣⎡⎦⎤0,π2上的最大值和最小值.10. 在△ABC 中,角A ,B ,C 的对边分别为a ,b ,c , 且2cos 2A -B 2·cos B -sin(A -B )sin B +cos(A +C )=-35.(1)求cos A 的值;(2)若a =42,b =5,求向量B A →在B C →方向上的投影.11. 已知向量m =(sin x,1),n =(3A cos x ,A2cos 2x )(A >0),函数f (x )=m·n 的最大值为6.(1)求A ;(2)将函数y =f (x )的图像向左平移π12个单位,再将所得图像上各点的横坐标缩短为原来的12倍,纵坐标不变,得到函数y =g (x )的图像,求g (x )在[0,5π24]上的值域.12. 已知向量a =(cos ωx -sin ωx ,sin ωx ),b =(-cos ωx -sin ωx,23cos ωx ),设函数f (x )=a ·b +λ(x ∈R)的图象关于直线x =π对称,其中ω,λ为常数,且ω∈(12,1).(1)求函数f (x )的最小正周期;(2)若y =f (x )的图象经过点(π4,0),求函数f (x )在区间[0,3π5]上的取值范围.参考答案正、余弦定理与向量的综合1. 由已知及平面向量数量积的定义可得cos tan AB AC AB AC AA ⋅==,326cos 6tancos tan ===ππA A , 所以616sin 3221=⨯⨯==∆πA S ABC 答案:162. 解析:选B 在△ABC 中,b 2+c 2-a 2=bc ,由余弦定理可得cos A =b 2+c 2-a 22bc =bc 2bc =12,∵A 是△ABC 的内角,∴A =60°. ∵a =32, ∴由正弦定理得a sin A =b sin B =csin C=c -B=1,∴b +c =sin B +sin(120°-B )=32sin B +32cos B =3sin(B +30°).∵AB ―→·BC ―→=|AB ―→|·|BC ―→|·cos(π-B )>0,∴cos B <0,B 为钝角, ∴90°<B <120°,120°<B +30°<150°,故sin(B +30°)∈⎝⎛⎭⎫12,32,∴b +c =3sin(B +30°)∈⎝⎛⎭⎫32,32.3.【答案】1615-4. 【解析】试题解析:(I)因为//m n ,所以sin cos0a B A =由正弦定理,得sin sin cos 0A B B A-=, 又sin 0B ≠,从而tan A =0A π<<,所以3A π=(II)解法一:由余弦定理,得2222cos a b c bc A =+-,而2a b ==,3A π=,得2742c c =+-,即2230c c --=,因为0c >,所以3c =, 故ABC ∆面积为1sin 2bc A =.解法二:由正弦定理,得2sin sin3B π=,从而sin 7B = 又由a b >知A B >,所以cos B =, 故sin sin()sin()3C A B B π=+=+sin coscos sin3314B B ππ=+=, 所以ABC ∆面积为1sin 22ab C =. 5. 【解析】(1)∵222m ⎛=-⎝⎭,()sin ,cos n x x =且m n ⊥, ∴()2sin ,cos sin 04m n x x x x x π⎛⎛⎫⋅=⋅==-=⎪⎝⎭⎝⎭, 又0,2x π⎛⎫∈ ⎪⎝⎭,∴ ,444x πππ⎛⎫-∈- ⎪⎝⎭,∴ 04x π-=即4x π=,∴ tan tan 14x π==; (2)由(1)依题知 sin cossin 34x m n x m nπππ⎛⎫- ⎪⋅⎛⎫===- ⎪⎝⎭⋅⎛,∴ 1sin 42x π⎛⎫-= ⎪⎝⎭又,444x πππ⎛⎫-∈- ⎪⎝⎭, ∴ 46x ππ-=即512x π=.6. 【解析】(Ⅰ)已知x n x m x f 2cos 2sin )(+=⋅=,因为()f x 过点)2,32(),3,12(-ππ, 36cos 6sin )12(=+=πππn m f 所以,234cos 34sin )32(-=+=πππn m f ,⎪⎪⎩⎪⎪⎨⎧-=--=+2212332321n m 所以解得⎩⎨⎧==13n m(Ⅱ))62sin(22cos 2sin 3)(π+=+=x x x x f ,)(x f 左移ϕ后得到)622sin(2)(πϕ++=x x g ,设)(x g 的对称轴为0x x =,1120=+=x d 因为解得00=x ,2)0(=g 所以, 解得6πϕ=,x x x x g 2cos 2)22sin(2)632sin(2)(=+=++=πππ所以,z k k x k ∈≤≤+-,222πππ所以,z k k x k ∈≤≤+-,2πππ,)(x f 所以的单调增区间为z k k k ∈+-],,2[πππ7. 【解析】(1)由2BA BC ⋅=,1cos 3B =得cos 2BA BC ca B ⋅==,所以6ac =; 又由3b =及余弦定理得2222cos b a c ac B =+-,所以2213a c += 结合a c >,解得3,2a c ==(Ⅱ)由3,3,2a b c ===得2227cos 29a b c C ab +-==,sin C ==由1cos 3B =得sin B ==;所以1723cos()cos cos sin sin 393927B C B C B C -=+=⨯+=8. 解:本题考查向量与三角函数的综合应用,侧重考查三角函数的性质. (1)由|a |2=(3sin x )2+(sin x )2=4sin 2x ,|b |2=(cos x )2+(sin x )2=1, 及|a |=|b |,得4sin 2x =1,又x ∈⎣⎡⎦⎤0,π2,从而sin x =12,所以x =π6. (2)f (x )=a ·b =3sin x ·cos x +sin 2x =32sin 2x -12cos 2x +12=sin ⎝⎛⎫2x -π6+12, 当x =π3∈⎣⎡⎦⎤0,π2时,sin ⎝⎛⎭⎫2x -π6取最大值1. 所以f (x )的最大值为32.9. 解:本题主要考查向量的数量积和三角恒等变换的方法以及三角函数的有界性,意在考查考生应用向量和三角工具解决问题的能力.f (x )=⎝⎛⎭⎫cos x ,-12·( 3 sin x ,cos 2x )=3cos x sin x -12cos 2x =32sin 2x -12cos 2x =cos π6sin 2x -sin π6cos 2x =sin ⎝⎛⎭⎫2x -π6. (1)f (x )的最小正周期为T =2πω=2π2=π,即函数f (x )的最小正周期为π.(2)∵0≤x ≤π2,∴-π6≤2x -π6≤5π6.由正弦函数的性质,知当2x -π6=π2,即x =π3时,f (x )取得最大值1.当2x -π6=-π6,即x =0时,f (x )取得的最小值-12.因此,f (x )在⎣⎡⎦⎤0,π2上的最大值是1,最小值是-12.10. 解:本题主要考查两角和的余弦公式、二倍角公式、正弦定理、余弦定理、同角三角函数的关系等基础知识,考查运算求解能力,考查化归与转化等数学思想. (1)由2cos 2A -B 2cos B -sin(A -B )sin B +cos(A +C )=-35,得[cos(A -B )+1]cos B -sin(A -B )sin B -cos B =-35,即cos(A -B )cos B -sin(A -B )sin B =-35.则cos(A -B +B )=-35,即cos A =-35.(2)由cos A =-35,0<A <π,得sin A =45,由正弦定理,有a sin A =b sin B ,所以,sin B =b sin A a =22.由题知a >b ,则A >B ,故B =π4.根据余弦定理,有(42)2=52+c 2-2×5c ×⎝⎛⎭⎫-35,解得c =1或c =-7(舍去). 故向量BA →在B C →方向上的投影为|B A →|cos B =22.11. 解:(1)f (x )=m·n =3A sin x cos x +A 2cos 2x =A (32sin 2x +12cos 2x )=A sin(2x +π6).因为A >0,由题意知A =6. (2)由(1)f (x )=6sin(2x +π6).将函数y =f (x )的图像向左平移π12个单位后得到y =6sin[2(x +π12)+π6]=6sin(2x +π3)的图像;再将得到图像上各点横坐标缩短为原来的12倍,纵坐标不变,得到y =6sin(4x +π3)的图像.因此g (x )=6sin(4x +π3).因为x ∈[0,5π24],所以4x +π3∈[π3,7π6],故g (x )在[0,5π24]上的值域为[-3,6].12. 解:(1)因为f (x )=sin 2ωx -cos 2ωx +23sin ωx ·cos ωx +λ=-cos 2ωx +3sin 2ωx +λ=2sin(2ωx -π6)+λ.由直线x =π是y =f (x )图象的一条对称轴,可得sin(2ωπ-π6)=±1,所以2ωπ-π6=k π+π2(k ∈Z),即ω=k 2+13(k ∈Z).又ω∈(12,1),k ∈Z ,所以k =1,故ω=56. 所以f (x )的最小正周期是6π5.(2)由y =f (x )的图象过点(π4,0),得f (π4)=0,即λ=-2sin(56×π2-π6)=-2sin π4=-2,即λ=- 2. 故f (x )=2sin(53x -π6)-2,由0≤x ≤3π5,有-π6≤53x -π6≤5π6,所以-12≤sin(53x -π6)≤1,得-1-2≤2sin(53x -π6)-2≤2-2,故函数f (x )在[0,3π5]上的取值范围为[-1-2,2- 2 ].。
高二理科周末检测题13.12.6一、选择题 (本大题共12小题 ,每小题4分,共48分)1.在平面直角坐标系中,若点(-2,t )在直线x -2y +4=0的上方,则t 的取值范围是( ). A .(-∞,1) B .(1,+∞) C .(-1,+∞) D.(0,1)2. 圆x 2+y 2=1和圆x 2+y 2-6y +5=0的位置关系是( ). A .外切B .内切C .外离D .内含3.经过两点(3,9)、(-1,1)的直线在x 轴上的截距为( ) A . 23-B .32-C .32D .24.一个球的体积和表面积在数值上相等,则该球半径的数值为( ). A .1B .2C .3D .45.已知圆心为C (6,5),且过点B (3,6)的圆的方程为( )A .22(6)(5)10x y -+-=B .22(6)(5)10x y +++= C .22(5)(6)10x y -+-= D .22(5)(6)10x y +++= 6. 圆(x -1)2+(y -1)2=2被x 轴截得的弦长等于( ).A . 1B .23C . 2D . 37.已知点(,1,2)A x B 和点(2,3,4),且26AB =,则实数x 的值是( ). A.-3或4 B.–6或2 C.3或-4 D.6或-2 8.如果AC <0,BC <0,那么直线Ax+By+C=0不通过( ) A .第一象限B .第二象限C .第三象限D .第四象限9.给出下列命题①过平面外一点有且仅有一个平面与已知平面垂直②过直线外一点有且仅有一个平面与已知直线平行 ③过直线外一点有且仅有一条直线与已知直线垂直 ④过平面外一点有且仅有一条直线与已知平面垂直 其中正确命题的个数为( )A .0个B .1个C .2个D .3个10.点),(00y x P 在圆222r y x =+内,则直线200r y y x x =+和已知圆的公共点的个数为( )A .0B .1C .2D .不能确定11.直线y =2x +1关于y 轴对称的直线方程为( ).A .y =-2x +1B .y =2x -1C .y =-2x -1D .y =-x -112.已知点)3,2(-A 、)2,3(--B 直线l 过点)1,1(P 且与线段AB 相交,则直线l 的斜率k 范围是( )A 、34k ≥或4k ≤- B 、34k ≥或14k ≤- C 、434≤≤-k D 、443≤≤k 二、填空题(每题4分,共16分)13.经过两圆922=+y x 和8)3()4(22=+++y x 的交点的直线方程 14.过点(1,2),且在两坐标轴上截距相等的直线方程15.一个圆柱和一个圆锥的底面直径..和它们的高都与某一个球的直径相等,这时圆柱、圆锥、球的体积之比为 .16.不等式组⎩⎪⎨⎪⎧x -2≤0,y +2≥0,x -y +1≥0表示的区域为D ,z =x +y 是定义在D 上的目标函数,则区域D 的面 积为__________;z 的最大值为__________.M T三、解答题17.求经过直线L 1:3x + 4y – 5 = 0与直线L 2:2x – 3y + 8 = 0的交点M ,且满足下列条件的直线方程 (1)与直线2x + y + 5 = 0平行 ; (2)与直线2x + y + 5 = 0垂直18.求过点(5,2),(3,2)M N 且圆心在直线32-=x y 上的圆的方程。
文库 精品课时训练2 余弦定理一、利用余弦定理解三角形1.在△ABC 中,a=1,B=60°,c=2,则b 等于( )A.1B.√2C.√3D.3答案:C解析:b 2=a 2+c 2-2ac cos B=1+4-2×1×2×12=3,故b=√3. 2.在△ABC 中,c 2-a 2-b 2=√3ab ,则角C 为( ) A.60° B.45°或135° C.150° D.30°答案:C解析:∵cos C=a 2+b 2-c 2=-√3ab =-√3,∴C=150°.3.在△ABC 中,已知sin A ∶sin B ∶sin C=3∶5∶7,则此三角形的最大内角的度数等于 . 答案:120°解析:由正弦定理可得a ∶b ∶c=3∶5∶7,不妨设a=3,b=5,c=7,则c 边最大,∴角C 最大.∴cos C=a 2+b 2-c 2=32+52-72=-1. ∵0°<C<180°,∴C=120°.4.(2015河南郑州高二期末,15)在△ABC 中,角A ,B ,C 所对的边分别为a ,b ,c ,若sin A=√3sin C ,B=30°,b=2,则边c= . 答案:2解析:∵在△ABC 中,sin A=√3sin C ,∴a=√3c.又B=30°,由余弦定理,得cos B=cos 30°=√32=a 2+c 2-b22ac=22√3c 2,解得c=2.二、判断三角形形状5.在△ABC 中,角A ,B ,C 的对边分别为a ,b ,c ,且b+c=2c cos 2A2,则△ABC 是( ) A.直角三角形 B.锐角三角形 C.钝角三角形 D.等腰三角形答案:A解析:∵b+c=2c cos 2A2,且2cos 2A2=1+cos A ,∴b+c=c (1+cos A ),即b=c cos A.由余弦定理得b=c ·b 2+c 2-a 22bc ,文库 精品化简得a 2+b 2=c 2,∴△ABC 是直角三角形.6.在△ABC 中,若sin 2A+sin 2B<sin 2C ,则△ABC 的形状是( ) A.钝角三角形 B.直角三角形 C.锐角三角形 D.不能确定答案:A解析:由sin 2A+sin 2B<sin 2C ,得a 2+b 2<c 2,所以cos C=a 2+b 2-c 2<0,所以∠C 为钝角, 即△ABC 为钝角三角形.7.在△ABC 中,a ,b ,c 分别是角A ,B ,C 的对边,若a=2b cos C ,试判断△ABC 的形状.解法一:∵cos C=a 2+b 2-c 2,代入a=2b cos C ,得a=2b ·a 2+b 2-c 2,∴a 2=a 2+b 2-c 2,即b 2-c 2=0. ∴b=c.∴△ABC 为等腰三角形.解法二:根据正弦定理asinA =bsinB =csinC =2R ,得a=2R sin A ,b=2R sin B ,代入已知条件得2R sin A=4R sin B cos C , 即sin A=2sin B cos C ,∵A=π-(B+C ),∴sin A=sin(B+C ). ∴sin B cos C+cos B sin C=2sin B cos C. ∴sin B cos C-cos B sin C=0.∴sin(B-C )=0.又-π<B-C<π,∴B-C=0,即B=C.∴△ABC 是等腰三角形.三、正弦定理、余弦定理的综合应用8.在△ABC 中,角A ,B ,C 所对的边分别是a ,b ,c.已知b-c=14a ,2sin B=3sin C ,则cos A 的值为( ) A.-14 B.14C.12D.-13答案:A解析:∵2sin B=3sin C ,∴2b=3c.又b-c=a4,∴a=2c ,b=32c.∴cos A=b 2+c 2-a 22bc=94c 2+c 2-4c 22×32c×c=-14. 9.在△ABC 中,角A ,B ,C 的对边分别是a ,b ,c ,若a 2-b 2=√3bc ,sin C=2√3sin B ,则A= . 答案:π6解析:∵sin C=2√3sin B ,∴由正弦定理得c=2√3b. ∵a 2-b 2=√3bc ,∴cos A=b 2+c 2-a 2=c 2-√3bc=2√3bc -√3bc2bc=√32,∴A=π6.10.(2015山东威海高二期中,17)在△ABC 中,角A ,B ,C 的对边分别是a ,b ,c 且满足4a cos B-b cos C=c cos B.(1)求cos B 的值;(2)若ac=12,b=3√2,求a ,c.解:(1)已知等式4a cos B-b cos C=c cos B ,利用正弦定理,得4sin A cos B-sin B cos C=sin C cos B ,整理,得4sin A cos B=sin(B+C ), 即4sin A cos B=sin A ,∵sin A ≠0,∴cos B=14.(2)∵ac=12,b=3√2,cos B=14,∴由b 2=a 2+c 2-2ac cos B ,得a 2+c 2=24,联立a 2+c 2=24与ac=12,解得a=c=2√3.(建议用时:30分钟)1.设△ABC 的内角A ,B ,C 的对边分别为a ,b ,c ,且a=1,b=2,cos C=14 ,则sin B=( )A.15B.√15C.√15D.7答案:B解析:由已知根据余弦定理得c 2=a 2+b 2-2ab cos C=4,∴c=2,即B=C , ∴sin B=√1-116=√154.2.(2015河北邯郸三校联考,3)在△ABC 中,如果sin A ∶sin B ∶sin C=2∶3∶4,那么cos C 等于( ) A.23B.-23C.-13D.-14答案:D解析:由正弦定理可得sin A ∶sin B ∶sin C=a ∶b ∶c=2∶3∶4,可设a=2k ,b=3k ,c=4k (k>0), 由余弦定理可得cos C=a 2+b 2-c 2=4k 2+9k 2-16k 2=-1,故选D .3.在△ABC 中,角A ,B ,C 所对的边长分别为a ,b ,c.若C=120°,c=√2a ,则( ) A.a>b B.a<b C.a=bD.a 与b 的大小关系不能确定 答案:A解析:由余弦定理c 2=a 2+b 2-2ab cos C 得2a 2=a 2+b 2+ab ,∴a 2-b 2=ab>0,∴a 2>b 2,∴a>b. 4.△ABC 的三边长分别为AB=7,BC=5,AC=6,则BA ⃗⃗⃗⃗⃗ ·BC ⃗⃗⃗⃗⃗ 的值为( ) A.19 B.14 C.-18 D.-19答案:A解析:cos B=72+52-62=19,∴BA⃗⃗⃗⃗⃗ ·BC ⃗⃗⃗⃗⃗ =|BA ⃗⃗⃗⃗⃗ ||BC ⃗⃗⃗⃗⃗ |cos B=7×5×1935=19. 5.在不等边三角形ABC 中,角A ,B ,C 所对的边分别为a ,b ,c ,其中a 为最大边,如果sin 2(B+C )<sin 2B+sin 2C ,则角A 的取值范围为( ) A.(0,π2)B.(π4,π2) C.(π6,π3) D.(π3,π2) 答案:D解析:由题意得sin 2A<sin 2B+sin 2C ,再由正弦定理得a 2<b 2+c 2,即b 2+c 2-a 2>0, 则cos A=b 2+c 2-a 22bc >0,∵0<A<π,∴0<A<π.又a 为最大边,∴A>π3.因此得角A 的取值范围是(π3,π2).6.已知在△ABC 中,2B=A+C ,b 2=ac ,则△ABC 的形状为 .答案:等边三角形解析:∵2B=A+C ,又A+B+C=180°,∴B=60°.又b 2=ac ,由余弦定理可得b 2=a 2+c 2-2ac cos B=a 2+c 2-2ac cos 60°=a 2+c 2-ac ,∴有a 2+c 2-ac=ac ,从而(a-c )2=0, ∴a=c ,故△ABC 为等边三角形.7.(2015北京高考,12)在△ABC 中,a=4,b=5,c=6,则sin2AsinC = . 答案:1解析:在△ABC 中,由正弦定理知,sin2AsinC =2sinAcosA sinC =2cos A ·a c =2cos A×46=43cos A ,再根据余弦定理,得cos A=36+25-162×6×5=34,所以sin2A sinC=43×34=1.8.在△ABC 中,角A ,B ,C 的对边边长分别为a=3,b=4,c=6,则bc cos A+ac cos B+ab cos C 的值为 . 答案:612解析:由余弦定理得bc cos A+ac cos B+ab cos C=b 2+c 2-a 22+a 2+c 2-b 22+a 2+b 2-c 22=a 2+b 2+c 22=32+42+622=612.9.在△ABC 中,已知(a+b+c )(a+b-c )=3ab ,且2cos A sin B=sin C ,试判定△ABC 的形状. 解:由(a+b+c )(a+b-c )=3ab ,得(a+b )2-c 2=3ab , 即a 2+b 2-c 2=ab.∴cos C=a 2+b 2-c 22ab=ab 2ab =12.∵0°<C<180°,∴C=60°. ∵A+B+C=180°, ∴sin C=sin(A+B ).又∵2cos A sin B=sin C ,∴2cos A sin B=sin A cos B+cos A sin B , ∴sin(A-B )=0.∵A ,B 均为△ABC 的内角,∴A=B.因此△ABC 为等边三角形.10.在△ABC 中,C=2A ,a+c=10,cos A=34,求b.解:由正弦定理得c a =sinC sinA=sin2AsinA=2cos A , ∴c a =32.又a+c=10,∴a=4,c=6. 由余弦定理a 2=b 2+c 2-2bc cos A ,得b 2+20=3,∴b=4或b=5.当b=4时,∵a=4,∴A=B. 又C=2A ,且A+B+C=π,∴A=π4,与已知cos A=34矛盾,不合题意,舍去.当b=5时,满足题意,∴b=5......................................使用本文档删除后面的即可致力于打造全网一站式文档服务需求,为大家节约时间文档来源网络仅供参考欢迎您下载可以编辑的word文档谢谢你的下载本文档目的为企业和个人提供下载方便节省工作时间,提高工作效率,打造全网一站式精品需求!欢迎您的下载,资料仅供参考!(本文档收集于网络改编,由于文档太多,审核难免疏忽,如有侵权或雷同,告知本店马上删除)。
江苏省赣榆高级中学2008—2009年度第二学期期末总复习11
高一数学必修5综合练习参考答案
一、填空题:(每小题5分,共70分)
1.若点(,3)P a 在23x y +<表示的区域内,则实数a 的取值范围是___________;0a <
2.在△ABC 中,若sinA ∶sinB ∶sinC = 7∶8∶9,则cosA=______; 2
3
3.
已知数列,2(31),
n -,那么8是这个数列的第 项;11
4.若不等式220x ax a -+>对一切实数x 都成立,则实数a 的范围为 ;01a <<
5.设数列{}n a 的通项公式为227n a n =-+,n S 是数列{}n a 的前n 项和,则当
n =_______时,n S 取得最大值;13
6.不等式
21
2
x x -+<1的解集为____________;(2,3)- 7.在ABC ∆中,已知4,6,120,a b C ==∠=则sinA 的值是_________
8. 变量y x ,满足⎪⎩
⎪
⎨⎧≥≥+-≤++00402y y x y x ,则22y x +的最小值为 。
2
9.数列{}n a 中,11a =,1
2
23n n a a +-=,则通项n a = ;2log (31)n -
10.ABC ∆中,已知4,45a B =∠=︒,若解此三角形时有且只有唯一解,则b 的值应满
足_____ ___;b =b ≥4
11.已知点(,)P x y 在经过两点(3,0),(1,1)A B 的直线上,那么24x y +
的最小值是__; 12.已知数列{}n b 是首项为4-,公比为2的等比数列;又数列{}n a 满足160,a =
1n n n a a b +-=,则数列{}n a 的通项公式n a =_______________;1264n +-+
13.在4⨯ +9× = 60的两个 中,分别填入两自然数,使它们的倒数和最小,应分别填上____________和___________.6,4
14.如图所示是毕达哥拉斯的生长程序:正方形上连接着一个 等腰直角三角形,等腰直角三角形的直角边上再连接正方形
,
如此继续.若共得到1023个正方形,设起始正方形的边长为
22,则最小正方形的边长为 ; 1
32
二、解答题(共90分)
15.ABC ∆中,已知a 、b 、c 成等差数列,SinA 、SinB 、SinC 成等比数列,试判断△ABC 的形状.
解:∵,,a b c 成等差数列,∴2
a c
b +=
①又∵sin ,sin ,sin A B C 成等比数列, ∴2sin sin sin B A C =⋅,∴2b ac = ②将①代入②得:2
(
)2
a c ac +=,∴2()0a c -=, ∴a c =代入①得
b
c =,从而a b c ==,∴△ABC 是正△
16.某村计划建造一个室内面积为72m 2的矩形蔬菜温室。
在温室内,沿左、右两侧与后侧内墙各保留1m 宽的通道,沿前侧内墙保留3m 宽的空地。
当矩形温室的边长各为多少时?蔬菜的种植面积最大,最大种植面积是多少?
解:设矩形温室的左侧边长为a m ,后侧边长为b m ,则72ab =,蔬菜的种植面积
(4)(2)428802(2)s a b ab b a a b =--=--+=-+≤280232()ab m -=
当且仅当max 2,12,632a b a b ====即时,S
17.设数列{}n a 的前n 项和为22,{}n n S n b =为等比数列,且112211,()a b b a a b =-=. ⑴求数列{}n a 和{}n b 的通项公式. ⑵设n
n n
a c
b =
,求数列{}n c 的前n 项和n T . 解:⑴当1n =时,112a S ==;当n ≥2时,22122(1)42n n n a S S n n n -=-=--=-,故{}n a 的通项公式为42n a n =-,设{}n b 的通项公式为q ,则12b =,14q =
,∴1111
24
n n n b b q --==⨯,即1
24
n n b -=
⑵∵1142
(21)424n n n n
n a n c n b ---===-,
∴12112[13454(21)4]n n n T c c c n -=++
+=+⨯+⨯+
+-
2214[143454(23)4(21)4]n n n T n n -=⨯+⨯+⨯+
+-+-
两式相减得:1231312(4444)(21)4n n n T n -=--+++
++-=1
[(65)45]3
n n -+
∴1
[(65)45]9
n n T n =-+
18.已知二次函数()f x 的二次项系数为a ,且不等式()20f x x +>的解集为(1,3). ⑴若方程()60f x a +=有两个相等实数根,求()f x 的解析式. ⑵若()f x 的最大值为正数,求a 的取值范围.
解:⑴由()20f x x +>解集为(1,3),∴()2(1)(3)f x x a x x +=--,且0a <,因而
2()(24)3f x ax a x a =-++由方程()60f x a +=得2(24)90ax a x a -++=,
因为方程②有两个相等的实根,∴01a ∆=⇒=或15-,而0a <,∴15
a =-
∴2163
()555
f x x x =---
⑵由2
()2(12)3,f x ax a x a =-++得∴2max
41
()a a f x a
++=-
∴20,2410a a a a a <⎧⎪
⇒<-⎨++-
>⎪⎩
20a -+<
19.在ABC ∆中,设角A 、B 、C 所对的边分别为a 、b 、c ,已知2A C B +=,并且2sin sin cos A C B ⋅=,三角形的面积ABC S
∆=,求三边,,a b c .
解:∵2A C B +=∴60B =︒,所以21
sin sin cos 604
A C =︒=
①
又1
sin 2
ABC S ac B ∆==,得16ac = ②
22sin sin sin 1sin ()()64A C A C ac a c ===,所以sin sin 1
8
A C a c ==
由sin 8sin 8sin 60sin a B
b B A
===︒=2221cos 22a c b B ac +-=
=, 222a c b +-=222,()3,()484896ac a c b ac a c +-=+=+=
,a c +=③
与②联立,得a c ==
,或a c ==
20.已知等差数列{}n a 中,公差0>d ,其前n 项和为n S ,且满足14,454132=+=⋅a a a a , (1)求数列{}n a 的通项公式;
(2)通过c
n S b n n +=构造一个新的数列{}n b ,是否存在一个非零常数c ,使{}n b 也为等差数列;
(3)对于2
1-=c 求*)()2005()(1
N n b n b n f n n
∈⋅+=
+的最大值.
解:(1)∵等差数列{}n a 中,公差0>d ,
∴3449
5
144514453232324132-=⇒=⇒⎩⎨⎧==⇒⎩⎨⎧=+=⋅⇒⎩⎨⎧=+=⋅n a d a a a a a a a a a a n . (2)()⎪⎭
⎫ ⎝
⎛-=-+=2122
341n n n n S n ,
c n S b n
n +=c
n n n +⎪⎭⎫
⎝⎛
-=212,令21-=c ,即得n b n
2=, 数列{}n b 为等差数列,∴存在一个非零常数21
-=c ,使{}n b 也为等差数列.
(3)()()
2006
20052120062005112005)2005()(1+<++=
++=⋅+=
+n
n n n n
b n b n f n n , ∵11200520052005
110(44)(45)44454445
f f -=--=->⨯, 即1
1
0(44)
(45)
f f >
>,(45)(44)f f ∴>, ∴45=n 时,()n f 有最大值
18860
9
46205045=
⨯.。