中科院-模式识别考题总结(详细答案)
- 格式:docx
- 大小:447.73 KB
- 文档页数:11
模式识别考试题答案题1:设有如下三类模式样本集ω1,ω2和ω3,其先验概率相等,求Sw 和Sb ω1:{(1 0)T, (2 0) T, (1 1) T} ω2:{(-1 0)T, (0 1) T, (-1 1) T}ω3:{(-1 -1)T, (0 -1) T, (0 -2) T}解:由于本题中有三类模式,因此我们利用下面的公式:b S =向量类模式分布总体的均值为C ,))()((00031m m m m m P t i i i i --∑=ω,即:i31i i0m )p(E{x }m ∑===ωi m 为第i 类样本样本均值⎪⎪⎪⎪⎭⎫⎝⎛=⎥⎥⎥⎥⎦⎤⎢⎢⎢⎢⎣⎡⎪⎪⎪⎪⎭⎫ ⎝⎛+⎪⎪⎪⎪⎭⎫ ⎝⎛--+⎪⎪⎪⎪⎭⎫⎝⎛=⎥⎥⎥⎥⎦⎤⎢⎢⎢⎢⎣⎡⎪⎭⎫ ⎝⎛--⎪⎪⎪⎪⎭⎫⎝⎛--+⎪⎭⎫ ⎝⎛-⎪⎪⎪⎪⎭⎫ ⎝⎛-+⎪⎭⎫ ⎝⎛⎪⎪⎪⎪⎭⎫ ⎝⎛=--=⎪⎪⎪⎪⎭⎫ ⎝⎛-=⎥⎥⎥⎦⎤⎢⎢⎢⎣⎡-+--=⎪⎪⎪⎪⎭⎫⎝⎛--=⎥⎦⎤⎢⎣⎡---++-=⎪⎪⎪⎪⎭⎫ ⎝⎛-=⎥⎦⎤⎢⎣⎡++-+-=⎪⎪⎪⎪⎭⎫ ⎝⎛=⎥⎦⎤⎢⎣⎡++++=∑=81628113811381628112181448144811681498149814981498116814481448112131911949119497979797949119491131)m m )(m m ()(P S 919134323131323431m 343121100131m 323211010131m ;313410012131m t0i 0i 31i i b10321ω;333t(i)(i)k k w i i i i i i i i 1i 11111S P()E{(x-m )(x-m )/}C [(x m )(x m )33361211999271612399279Tk ωω====•==--⎡⎤⎡⎤--⎢⎥⎢⎥==⎢⎥⎢⎥⎢⎥⎢⎥--⎢⎥⎢⎥⎣⎦⎣⎦∑∑∑题2:设有如下两类样本集,其出现的概率相等: ω1:{(0 0 0)T , (1 0 0) T , (1 0 1) T , (1 1 0) T}ω2:{(0 0 1)T , (0 1 0) T , (0 1 1) T , (1 1 1) T}用K-L 变换,分别把特征空间维数降到二维和一维,并画出样本在该空间中的位置。
模式识别期末试题及答案正文:模式识别期末试题及答案1. 选择题1.1 下列关于机器学习的说法中,正确的是:A. 机器学习是一种人工智能的应用领域B. 机器学习只能应用于结构化数据C. 机器学习不需要预先定义规则D. 机器学习只能处理监督学习问题答案:A1.2 在监督学习中,以下哪个选项描述了正确的训练过程?A. 通过输入特征和预期输出,训练一个模型来进行预测B. 通过输入特征和可能的输出,训练一个模型来进行预测C. 通过输入特征和无标签的数据,训练一个模型来进行预测D. 通过输入特征和已有标签的数据,训练一个模型来进行分类答案:D2. 简答题2.1 请解释什么是模式识别?模式识别是指在给定一组输入数据的情况下,通过学习和建模,识别和分类输入数据中的模式或规律。
通过模式识别算法,我们可以从数据中提取重要的特征,并根据这些特征进行分类、聚类或预测等任务。
2.2 请解释监督学习和无监督学习的区别。
监督学习是一种机器学习方法,其中训练数据包含了输入特征和对应的标签或输出。
通过给算法提供已知输入和输出的训练样本,监督学习的目标是学习一个函数,将新的输入映射到正确的输出。
而无监督学习则没有标签或输出信息。
无监督学习的目标是从未标记的数据中找到模式和结构。
这种学习方法通常用于聚类、降维和异常检测等任务。
3. 计算题3.1 请计算以下数据集的平均值:[2, 4, 6, 8, 10]答案:63.2 请计算以下数据集的标准差:[1, 3, 5, 7, 9]答案:2.834. 综合题4.1 对于一个二分类问题,我们可以使用逻辑回归模型进行预测。
请简要解释逻辑回归模型的原理,并说明它适用的场景。
逻辑回归模型是一种用于解决二分类问题的监督学习算法。
其基本原理是通过将特征的线性组合传递给一个非线性函数(称为sigmoid函数),将实数值映射到[0,1]之间的概率。
这个映射的概率可以被解释为某个样本属于正类的概率。
逻辑回归适用于需要估计二分类问题的概率的场景,例如垃圾邮件分类、欺诈检测等。
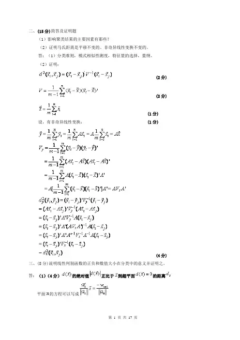
二、(15分)简答及证明题(1)影响聚类结果的主要因素有那些?(2)证明马氏距离是平移不变的、非奇异线性变换不变的。
答:(1)分类准则,模式相似性测度,特征量的选择,量纲。
(2)证明:(2分)(2分)(1分)设,有非奇异线性变换:(1分)(4分)三、(8分)说明线性判别函数的正负和数值大小在分类中的意义并证明之。
答:(1)(4分)的绝对值正比于到超平面的距离平面的方程可以写成式中。
于是是平面的单位法矢量,上式可写成设是平面中的任一点,是特征空间中任一点,点到平面的距离为差矢量在上的投影的绝对值,即(1-1)上式中利用了在平面中,故满足方程式(1-1)的分子为判别函数绝对值,上式表明,的值正比于到超平面的距离,一个特征矢量代入判别函数后所得值的绝对值越大表明该特征点距判别界面越远。
(2)(4分)的正(负)反映在超平面的正(负)侧两矢量和的数积为(2分)显然,当和夹角小于时,即在指向的那个半空间中,>0;反之,当和夹角大于时,即在背向的那个半空间中,<0。
由于,故和同号。
所以,当在指向的半空间中时,;当在背向的半空间中,。
判别函数值的正负表示出特征点位于哪个半空间中,或者换句话说,表示特征点位于界面的哪一侧。
五、(12分,每问4分)在目标识别中,假定有农田和装甲车两种类型,类型ω1和类型ω2分别代表农田和装甲车,它们的先验概率分别为0.8和0.2,损失函数如表1所示。
现在做了三次试验,获得三个样本的类概率密度如下::0.3,0.1,0.6:0.7,0.8,0.3(1)试用贝叶斯最小误判概率准则判决三个样本各属于哪一个类型;(2)假定只考虑前两种判决,试用贝叶斯最小风险准则判决三个样本各属于哪一类;(3)把拒绝判决考虑在内,重新考核三次试验的结果。
表1类型损失判决1ω1α 1 45 11 1解:由题可知:,,,,(1)(4分)根据贝叶斯最小误判概率准则知:,则可以任判;,则判为;,则判为;(2)(4分)由题可知:则,判为;,判为;,判为;(3)(4分)对于两类问题,对于样本,假设已知,有则对于第一个样本,,则拒判;,则拒判;,拒判。
一、填空与选择填空(本题答案写在此试卷上,30分)1、模式识别系统的基本构成单元包括:模式采集、特征提取与选择和模式分类。
2、统计模式识别中描述模式的方法一般使用特真矢量;句法模式识别中模式描述方法一般有串、树、网。
3、聚类分析算法属于(1);判别域代数界面方程法属于(3)。
(1)无监督分类 (2)有监督分类(3)统计模式识别方法(4)句法模式识别方法4、若描述模式的特征量为0-1二值特征量,则一般采用(4)进行相似性度量。
(1)距离测度(2)模糊测度(3)相似测度(4)匹配测度5、下列函数可以作为聚类分析中的准则函数的有(1)(3)(4)。
(1)(2) (3)(4)6、Fisher线性判别函数的求解过程是将N维特征矢量投影在(2)中进行。
(1)二维空间(2)一维空间(3)N-1维空间7、下列判别域界面方程法中只适用于线性可分情况的算法有(1);线性可分、不可分都适用的有(3)。
(1)感知器算法(2)H-K算法(3)积累位势函数法8、下列四元组中满足文法定义的有(1)(2)(4)。
(1)({A, B}, {0, 1}, {A→01, A→ 0A1 , A→ 1A0 , B→BA , B→ 0}, A)(2)({A}, {0, 1}, {A→0, A→ 0A}, A)(3)({S}, {a, b}, {S → 00S, S → 11S, S → 00, S → 11}, S)(4)({A}, {0, 1}, {A→01, A→ 0A1, A→ 1A0}, A)二、(15分)简答及证明题(1)影响聚类结果的主要因素有那些?(2)证明马氏距离是平移不变的、非奇异线性变换不变的。
答:(1)分类准则,模式相似性测度,特征量的选择,量纲。
(2)证明:(2分)(2分)(1分)设,有非奇异线性变换:(1分)(4分)三、(8分)说明线性判别函数的正负和数值大小在分类中的意义并证明之。
答:(1)(4分)的绝对值正比于到超平面的距离平面的方程可以写成式中。
一、(15分)设有两类正态分布的样本集,第一类均值为T1μ=(2,0),方差11⎡⎤∑=⎢⎥⎣⎦11/21/2,第二类均值为T2μ=(2,2),方差21⎡⎤∑=⎢⎥⎣⎦1-1/2-1/2,先验概率12()()p p ωω=,试求基于最小错误率的贝叶斯决策分界面。
解 根据后验概率公式()()()()i i i p x p p x p x ωωω=, (2’)及正态密度函数11/21()exp[()()/2]2T i i i i nip x x x ωμμπ-=--∑-∑ ,1,2i =。
(2’) 基于最小错误率的分界面为1122()()()()p x p p x p ωωωω=, (2’) 两边去对数,并代入密度函数,得1111112222()()/2ln ()()/2ln T T x x x x μμμμ----∑--∑=--∑--∑ (1) (2’)由已知条件可得12∑=∑,114/3-⎡⎤∑=⎢⎥⎣⎦4/3-2/3-2/3,214/3-⎡⎤∑=⎢⎥⎣⎦4/32/32/3,(2’)设12(,)Tx x x =,把已知条件代入式(1),经整理得1221440x x x x --+=, (5’)二、(15分)设两类样本的类内离散矩阵分别为11S ⎡⎤=⎢⎥⎣⎦11/21/2, 21S ⎡⎤=⎢⎥⎣⎦1-1/2-1/2,各类样本均值分别为T 1μ=(1,0),T2μ=(3,2),试用fisher 准则求其决策面方程,并判断样本Tx =(2,2)的类别。
解:122S S S ⎡⎤=+=⎢⎥⎣⎦200 (2’) 投影方向为*112-2-1()211/2w S μμ-⎡⎤⎡⎤⎡⎤=-==⎢⎥⎢⎥⎢⎥--⎣⎦⎣⎦⎣⎦1/200 (6’)阈值为[]*0122()/2-1-131T y w μμ⎡⎤=+==-⎢⎥⎣⎦(4’)给定样本的投影为[]*0-12241T y w x y ⎡⎤===-<⎢⎥-⎣⎦, 属于第二类 (3’)三、 (15分)给定如下的训练样例实例 x0 x1 x2 t(真实输出) 1 1 1 1 1 2 1 2 0 1 3 1 0 1 -1 4 1 1 2 -1用感知器训练法则求感知器的权值,设初始化权值为0120w w w ===;1 第1次迭代(4’)2 第2次迭代(2’)3 第3和4次迭代四、 (15分)i. 推导正态分布下的最大似然估计;ii. 根据上步的结论,假设给出如下正态分布下的样本{}1,1.1,1.01,0.9,0.99,估计该部分的均值和方差两个参数。
科目模式识别班级姓名学号得分:1、简答题(40分)1. 什么是模式?人们通常是如何表示模式的?对分类识别的对象进行科学的抽象,建立它的数学模型,用以描述和代替识别对象,称这种对象的描述为模式。
从它的定义可看出,模式是通过数学模型来表示的。
2. 什么是聚类分析?聚类分析是有监督分类还是无监督分类?为什么?聚类分析是基于数据集客观存在着若干个自然类、每个自然类中的数据某些属性都具有较强的相似性而建立的一种数据描述方法。
是无监督的分类。
因为在分类中不需要用训练样本进行学习和训练。
3. 什么是模式识别?模式识别系统通常包括哪些主要的环节?模式识别是根据研究对象的特征或属性,利用以计算机为中心的机器系统,运用一定的分析算法认定它的类别,系统应使分类识别的结果尽可能地符合真实。
主要环节包括:(1)特征提取(2)特征选择(3)学习和训练(4)分类识别4. 什么是最大后验概率准则?5. 什么是总体推断?6. 什么是梯度下降法?就是利用负梯度方向来决定每次迭代的新的搜索方向,使得每次迭代能使待优化的目标函数逐步减少。
7. 什么是无偏估计?无偏估计是参数的样本估计值的期望值等于参数的真实值。
估计量的数学期望等于估计参数。
8. 什么是最小损失准则判决?其基本表达形式是什么?当对一待识模式进行分类识别决策时,算出判属它为各类的条件期望损失之后,判决属于条件期望损失最小的那一类。
基本表达式如下:如果,则判9. 有教师学习和无教师学习在算法上有何区别?10. 线性判别函数的几何意义是什么?11. 一次准则函数的基本形式是什么?简要说明这种形式的特点。
12. 在统计判决中,什么是损失、损失函数和平均损失?13. 利用特征矢量和特征空间如何表达模式和模式类?14. 聚类分析在选取特征时需要注意哪些问题?为什么?15. 判别域界面方程分类的基本思想是什么?16. Fisher判别规则的基本思想是什么?17. 特征空间在模式识别的研究起什么作用?请简要论述。
一、填空与选择填空(本题答案写在此试卷上,30分)1、模式识别系统的基本构成单元包括:模式采集、特征提取与选择和模式分类。
2、统计模式识别中描述模式的方法一般使用特真矢量;句法模式识别中模式描述方法一般有串、树、网。
3、聚类分析算法属于(1);判别域代数界面方程法属于(3)。
(1)无监督分类 (2)有监督分类(3)统计模式识别方法(4)句法模式识别方法4、若描述模式的特征量为0-1二值特征量,则一般采用(4)进行相似性度量。
(1)距离测度(2)模糊测度(3)相似测度(4)匹配测度5、下列函数可以作为聚类分析中的准则函数的有(1)(3)(4)。
(1)(2) (3)(4)6、Fisher线性判别函数的求解过程是将N维特征矢量投影在(2)中进行。
(1)二维空间(2)一维空间(3)N-1维空间7、下列判别域界面方程法中只适用于线性可分情况的算法有(1);线性可分、不可分都适用的有(3)。
(1)感知器算法(2)H-K算法(3)积累位势函数法8、下列四元组中满足文法定义的有(1)(2)(4)。
(1)({A, B}, {0, 1}, {A→01, A→ 0A1 , A→ 1A0 , B→BA , B→ 0}, A)(2)({A}, {0, 1}, {A→0, A→ 0A}, A)(3)({S}, {a, b}, {S → 00S, S → 11S, S → 00, S → 11}, S)(4)({A}, {0, 1}, {A→01, A→ 0A1, A→ 1A0}, A)9、影响层次聚类算法结果的主要因素有(计算模式距离的测度、(聚类准则、类间距离门限、预定的类别数目))。
10、欧式距离具有( 1、2 );马式距离具有(1、2、3、4 )。
(1)平移不变性(2)旋转不变性(3)尺度缩放不变性(4)不受量纲影响的特性11、线性判别函数的正负和数值大小的几何意义是(正(负)表示样本点位于判别界面法向量指向的正(负)半空间中;绝对值正比于样本点到判别界面的距离。
《模式识别》试卷( A)一、填空与选择填空(本题答案写在此试卷上,30 分)1、模式识别系统的基本构成单元包括:模式采集、特征提取与选择和模式分类。
2、统计模式识别中描述模式的方法一般使用特真矢量;句法模式识别中模式描述方法一般有串、树、网。
3、聚类分析算法属于(1);判别域代数界面方程法属于(3)。
(1)无监督分类(2)有监督分类(3)统计模式识别方法(4)句法模式识别方法4、若描述模式的特征量为0-1 二值特征量,则一般采用(4)进行相似性度量。
(1)距离测度(2)模糊测度(3)相似测度(4)匹配测度5、下列函数可以作为聚类分析中的准则函数的有(1)(3)(4)。
(1)(2)(3)(4)6、Fisher 线性判别函数的求解过程是将N 维特征矢量投影在(2)中进行。
(1)二维空间(2)一维空间(3)N-1维空间7、下列判别域界面方程法中只适用于线性可分情况的算法有(1);线性可分、不可分都适用的有(3)。
(1)感知器算法(2)H-K算法(3)积累位势函数法8、下列四元组中满足文法定义的有(1)(2)(4)。
(1)({A, B}, {0, 1}, {A 01, A0A1 ,A1A0 , B BA , B0}, A)(2)({A}, {0, 1}, {A 0, A0A}, A)(3)({S}, {a, b}, {S 00S, S11S, S00, S11},S)(4)({A}, {0, 1}, {A 01, A0A1, A1A0}, A)9、影响层次聚类算法结果的主要因素有(计算模式距离的测度、(聚类准则、类间距离门限、预定的类别数目))。
10、欧式距离具有(1、 2);马式距离具有(1、2、3、 4)。
(1)平移不变性( 2)旋转不变性( 3)尺度缩放不变性( 4)不受量纲影响的特性11、线性判别函数的正负和数值大小的几何意义是(正(负)表示样本点位于判别界面法向量指向的正(负)半空间中;绝对值正比于样本点到判别界面的距离。
一、填空与选择填空(本题答案写在此试卷上,30分)1、模式识别系统的基本构成单元包括:模式采集、特征提取与选择和模式分类。
2、统计模式识别中描述模式的方法一般使用特真矢量;句法模式识别中模式描述方法一般有串、树、网。
3、聚类分析算法属于(1);判别域代数界面方程法属于(3)。
(1)无监督分类(2)有监督分类(3)统计模式识别方法(4)句法模式识别方法4、若描述模式的特征量为0-1二值特征量,则一般采用(4)进行相似性度量。
(1)距离测度(2)模糊测度(3)相似测度(4)匹配测度5、下列函数可以作为聚类分析中的准则函数的有(1)(3)(4)。
(1)(2)(3)(4)6、Fisher线性判别函数的求解过程是将N维特征矢量投影在(2)中进行。
(1)二维空间(2)一维空间(3)N-1维空间7、下列判别域界面方程法中只适用于线性可分情况的算法有(1);线性可分、不可分都适用的有(3)。
(1)感知器算法(2)H-K算法(3)积累位势函数法8、下列四元组中满足文法定义的有(1)(2)(4)。
(1)({A, B}, {0, 1}, {A01, A 0A1 , A 1A0 , B BA , B 0}, A)(2)({A}, {0, 1}, {A0, A 0A}, A)(3)({S}, {a, b}, {S 00S, S 11S, S 00, S 11}, S)(4)({A}, {0, 1}, {A01, A 0A1, A 1A0}, A)9、影响层次聚类算法结果的主要因素有(计算模式距离的测度、(聚类准则、类间距离门限、预定的类别数目))。
10、欧式距离具有(1、2 );马式距离具有(1、2、3、4 )。
(1)平移不变性(2)旋转不变性(3)尺度缩放不变性(4)不受量纲影响的特性11、线性判别函数的正负和数值大小的几何意义是(正(负)表示样本点位于判别界面法向量指向的正(负)半空间中;绝对值正比于样本点到判别界面的距离。
(完整word版)模式识别试题答案模式识别非学位课考试试题考试科目:模式识别考试时间考生姓名:考生学号任课教师考试成绩一、简答题(每题6分,12题共72分):1、监督学习和非监督学习有什么区别?参考答案:当训练样本的类别信息已知时进行的分类器训练称为监督学习,或者由教师示范的学习;否则称为非监督学习或者无教师监督的学习。
2、你如何理解特征空间?表示样本有哪些常见方法?参考答案:由利用某些特征描述的所有样本组成的集合称为特征空间或者样本空间,特征空间的维数是描述样本的特征数量。
描述样本的常见方法:矢量、矩阵、列表等。
3、什么是分类器?有哪些常见的分类器?参考答案:将特征空中的样本以某种方式区分开来的算法、结构等。
例如:贝叶斯分类器、神经网络等。
4、进行模式识别在选择特征时应该注意哪些问题?参考答案:特征要能反映样本的本质;特征不能太少,也不能太多;要注意量纲。
5、聚类分析中,有哪些常见的表示样本相似性的方法?参考答案:距离测度、相似测度和匹配测度。
距离测度例如欧氏距离、绝对值距离、明氏距离、马氏距离等。
相似测度有角度相似系数、相关系数、指数相似系数等。
6、你怎么理解聚类准则?参考答案:包括类内聚类准则、类间距离准则、类内类间距离准则、模式与类核的距离的准则函数等。
准则函数就是衡量聚类效果的一种准则,当这种准则满足一定要求时,就可以说聚类达到了预期目的。
不同的准则函数会有不同的聚类结果。
7、一种类的定义是:集合S 中的元素x i 和x j 间的距离d ij 满足下面公式:∑∑∈∈≤-S x S x ij i jh d k k )1(1,d ij ≤ r ,其中k 是S 中元素的个数,称S 对于阈值h ,r 组成一类。
请说明,该定义适合于解决哪一种样本分布的聚类?参考答案:即类内所有个体之间的平均距离小于h ,单个距离最大不超过r ,显然该定义适合团簇集中分布的样本类别。
8、贝叶斯决策理论中,参数估计和非参数估计有什么区别?参考答案:参数估计就是已知样本分布的概型,通过训练样本确定概型中的一些参数;非参数估计就是未知样本分布概型,利用Parzen 窗等方法确定样本的概率密度分布规律。
填空题1、模式识别系统的基本构成单元包括:模式采集、特征选择与提取和模式分类。
2、统计模式识别中描述模式的方法一般使用特征矢量;句法模式识别中模式描述方法一般有串、树、网。
3、影响层次聚类算法结果的主要因素有计算模式距离的测度、聚类准则、类间距离门限、预定的类别数目。
4、线性判别函数的正负和数值大小的几何意义是正(负)表示样本点位于判别界面法向量指向的正(负)半空间中;绝对值正比于样本点到判别界面的距离。
5、感知器算法1。
(1)只适用于线性可分的情况;(2)线性可分、不可分都适用。
6、在统计模式分类问题中,聂曼-皮尔逊判决准则主要用于某一种判决错误较另一种判决错误更为重要情况;最小最大判别准则主要用于先验概率未知的情况。
7、“特征个数越多越有利于分类”这种说法正确吗?错误。
特征选择的主要目的是从n个特征中选出最有利于分类的的m个特征(m<n),以降低特征维数。
一般在可分性判据对特征个数具有单调性和(C n m>>n )的条件下,可以使用分支定界法以减少计算量。
8、散度J ij越大,说明ωi类模式与ωj类模式的分布差别越大;当ωi类模式与ωj类模式的分布相同时,J ij= 0 。
选择题1、影响聚类算法结果的主要因素有( B C D)。
A. 已知类别的样本质量B. 分类准则C. 特征选取D. 模式相似性测度2、模式识别中,马式距离较之于欧式距离的优点是( C D)。
A. 平移不变性B. 旋转不变性C. 尺度不变性D. 考虑了模式的分布3、影响基本K-均值算法的主要因素有( D A B)。
A. 样本输入顺序B. 模式相似性测度C. 聚类准则D. 初始类中心的选取4、在统计模式分类问题中,当先验概率未知时,可以使用( B D)。
A. 最小损失准则B. 最小最大损失准则C. 最小误判概率准则D. N-P判决5、散度J D是根据(C)构造的可分性判据。
A. 先验概率B. 后验概率C. 类概率密度D. 信息熵E. 几何距离6、如果以特征向量的相关系数作为模式相似性测度,则影响聚类算法结果的主要因素有( B C )。
模式识别试题二答案问答第1题答:在模式识别学科中,就“模式”与“模式类”而言,模式类是一类事物的代表,概念或典型,而“模式”则是某一事物的具体体现,如“老头”是模式类,而王先生则是“模式”,是“老头”的具体化。
问答第2题答:Mahalanobis距离的平方定义为:其中x,u为两个数据,是一个正定对称矩阵(一般为协方差矩阵)。
根据定义,距某一点的Mahalanobis距离相等点的轨迹是超椭球,如果是单位矩阵Σ,则Mahalanobis距离就是通常的欧氏距离。
问答第3题答:监督学习方法用来对数据实现分类,分类规则通过训练获得。
该训练集由带分类号的数据集组成,因此监督学习方法的训练过程是离线的。
非监督学习方法不需要单独的离线训练过程,也没有带分类号(标号)的训练数据集,一般用来对数据集进行分析,如聚类,确定其分布的主分量等。
就道路图像的分割而言,监督学习方法则先在训练用图像中获取道路象素与非道路象素集,进行分类器设计,然后用所设计的分类器对道路图像进行分割。
使用非监督学习方法,则依据道路路面象素与非道路象素之间的聚类分析进行聚类运算,以实现道路图像的分割。
问答第4题答:动态聚类是指对当前聚类通过迭代运算改善聚类;分级聚类则是将样本个体,按相似度标准合并,随着相似度要求的降低实现合并。
问答第5题答:在给定观察序列条件下分析它由某个状态序列S产生的概率似后验概率,写成P(S|O),而通过O求对状态序列的最大似然估计,与贝叶斯决策的最小错误率决策相当。
问答第6题答:协方差矩阵为,则1)对角元素是各分量的方差,非对角元素是各分量之间的协方差。
2)主分量,通过求协方差矩阵的特征值,用得,则,相应的特征向量为:,对应特征向量为,对应。
这两个特征向量即为主分量。
3)K-L变换的最佳准则为:对一组数据进行按一组正交基分解,在只取相同数量分量的条件下,以均方误差计算截尾误差最小。
4)在经主分量分解后,协方差矩阵成为对角矩阵,因而各主分量间相关消除。
1.简述模式的概念及其直观特性,模式识别的分类,有哪几种方法。
(6’)答(1):什么是模式?广义地说,存在于时间和空间中可观察的物体,如果我们可以区别它们是否相同或是否相似,都可以称之为模式。
模式所指的不是事物本身,而是从事物获得的信息,因此,模式往往表现为具有时间和空间分布的信息。
模式的直观特性:可观察性;可区分性;相似性。
答(2):模式识别的分类:假说的两种获得方法(模式识别进行学习的两种方法):●监督学习、概念驱动或归纳假说;●非监督学习、数据驱动或演绎假说。
模式分类的主要方法:●数据聚类:用某种相似性度量的方法将原始数据组织成有意义的和有用的各种数据集。
是一种非监督学习的方法,解决方案是数据驱动的。
●统计分类:基于概率统计模型得到各类别的特征向量的分布,以取得分类的方法。
特征向量分布的获得是基于一个类别已知的训练样本集。
是一种监督分类的方法,分类器是概念驱动的。
●结构模式识别:该方法通过考虑识别对象的各部分之间的联系来达到识别分类的目的。
(句法模式识别)●神经网络:由一系列互相联系的、相同的单元(神经元)组成。
相互间的联系可以在不同的神经元之间传递增强或抑制信号。
增强或抑制是通过调整神经元相互间联系的权重系数来(weight)实现。
神经网络可以实现监督和非监督学习条件下的分类。
2.什么是神经网络?有什么主要特点?选择神经网络模式应该考虑什么因素?(8’)答(1):所谓人工神经网络就是基于模仿生物大脑的结构和功能而构成的一种信息处理系统(计算机)。
由于我们建立的信息处理系统实际上是模仿生理神经网络,因此称它为人工神经网络。
这种网络依靠系统的复杂程度,通过调整内部大量节点之间相互连接的关系,从而达到处理信息的目的。
人工神经网络的两种操作过程:训练学习、正常操作(回忆操作)。
答(2):人工神经网络的特点:●固有的并行结构和并行处理;●知识的分布存储;●有较强的容错性;●有一定的自适应性;人工神经网络的局限性:●人工神经网络不适于高精度的计算;●人工神经网络不适于做类似顺序计数的工作;●人工神经网络的学习和训练往往是一个艰难的过程;●人工神经网络必须克服时间域顺序处理方面的困难;●硬件限制;●正确的训练数据的收集。
答(3):选取人工神经网络模型,要基于应用的要求和人工神经网络模型的能力间的匹配,主要考虑因素包括:● 网络大小;● 所需输出类型; ● 联想记忆类型; ● 训练方法; ● 时间的限定。
3. 画出句法模式识别的框图,并解释其工作原理。
(8’)答(1):句法模式识别框图如下:答(2):句法模式识别系统的组成:图像预处理,图像分割,基元及其关系识别,句法分析。
基于描述模式的结构信息,用形式语言中的规则进行分类,可以更典型地应用于景物图片的分析。
因为在这类问题中,所研究的模式通常十分复杂,需要的特征也很多,仅用数值上的特征不足以反映它们的类别。
句法模式识别系统处理过程:基元本身包含的结构信息已不多,仅需少量特征即可识别。
如果用有限个字符代表不同的基元,则由基元按一定结构关系组成的子图或图形可以用一个有序的字符串来代表。
假如事先用形式语言的规则从字符串中推断出能生成它的文法,则可以通过句法分析,按给定的句法(文法)来辨识由基元字符组成的句子,从而判别它是否属于由该给定文法所能描述的模式类,达到分类的目的。
4. (1)解释线性判别函数进行模式分类的概念;(2)既然有了线性判别函数,为什么还要用非线性判别函数进行模式分类?(3)两类模式,每类包括5个3维不同的模式,且良好分布。
如果它们是线性可分的,问权向量至少需要几个系数分量?假如要建立二次的多项式判别函数,又至少需要几个系数分量?(设模式的良好分布不因模式变化而改变。
)(8’)答(1):模式识别系统的主要作用是判别各个模式所属的类别。
线性判别函数分类就是使用线性判别函数将多类样本模式分开。
一个n 维线性判别函数的一般形式:1122101()Tn n n n d x w x w x w x w w x w ++=++++=+其中012(,,...,)T n w w w w =称为权向量(或参数向量),12(,,...,)Tn x x x x =。
()d x 也可表示为:()T d x w x =其中,12(,,...,,1)T n x x x x =称为增广模式向量,0121(,,...,,)Tn n w w w w w +=称为增广权向量。
两类情况:判别函数()d x :120()0Tif x d x w x if x ωω>∈==≤∈⎧⎨⎩多类情况:设模式可分成12,,...,M ωωω共M 类,则有三种划分方法: ● 多类情况1用线性判别函数将属于i ω类的模式与不属于i ω类的模式分开,其判别函数为:0()0iTi iiif x d x w x if x ωω>∈==≤∉⎧⎨⎩这种情况称为/i i ωω两分法,即把M 类多类问题分成M 个两类问题,因此共有M 个判别函数,对应的判别函数的权向量为,1,2,...,n 1i w i =+。
● 多类情况2采用每对划分,即|i j ωω两分法,此时一个判别界面只能分开两种类别,但不能把它与其余所有的界面分开。
其判别函数为:()Tij ij d x w x =若()0ij d x >,j i ∀≠,则i x ω∈ 重要性质:ij ji d d =-要分开M 类模式,共需M(M -1)/2个判别函数。
不确定区域:若所有()ij d x ,找不到j i ∀≠,()0ij d x >的情况。
● 多类情况3(多类情况2的特例)这是没有不确定区域的|i j ωω两分法。
假若多类情况2中的ij d 可分解成:()()()()T ij i j i j d x d x d x w w x =-=-,则0ij d >相当于()()i j d x d x >,j i ∀≠。
这时不存在不确定区域。
此时,对M 类情况应有M 个判别函数:(),1,2,,Tk k d x w x k M ==即()()i j d x d x >,j i ∀≠,,1,2,...i j M =,则ix ω∈,也可写成,若()max{(),1,2,...,}i k d x d x k M ==,则i x ω∈。
该分类的特点是把M 类情况分成M -1个两类问题。
模式分类若可用任一个线性函数来划分,则这些模式就称为线性可分的,否则就是非线性可分的。
一旦线性函数的系数wk 被确定,这些函数就可用作模式分类的基础。
对于M 类模式的分类,多类情况1需要M 个判别函数,而多类情况2需要M*(M -1)/2个判别函数,当M 较大时,后者需要更多的判别式(这是多类情况2的一个缺点)。
采用多类情况1时,每一个判别函数都要把一种类别的模式与其余M -1种类别的模式分开,而不是将一种类别的模式仅与另一种类别的模式分开。
由于一种模式的分布要比M -1种模式的分布更为聚集,因此多类情况2对模式是线性可分的可能性比多类情况1更大一些(这是多类情况2的一个优点)。
答(2)广义线性判别函数出发点: ● 线性判别函数简单,容易实现; ● 非线性判别函数复杂,不容易实现;● 若能将非线性判别函数转换为线性判别函数,则有利于模式分类的实现。
采用广义线性判别函数的概念,可以通过增加维数来得到线性判别,但维数的大量增加会使在低维空间里在解析和计算上行得通的方法在高维空间遇到困难,增加计算的复杂性。
所以某些情况下使用非线性判别函数或分段线性判别函数效果更好。
解(3)假设该两类模式是线性可分的,则在三维空间中一个线性平面可以将这两类模式分开,所以判别函数可以写成:1234()d x w x w x w x w =+++所以权向量需要4个系数。
对于n 维x 向量,采用r 次多项式,d(x)的权系数w 的项数为:()!!!rw n r n r N C r n ++==当r=2,n=3时,(2)!(2)(1)102!!2W n n n N n +++=== 所以,此时权向量需要10个系数分量。
5. 设一有限态自动机01202({0,1},{,,},,,}A q q q q q δ=,δ定义如下:021222011021(,0),(,0),(,0)(,1),(,1),(,1)q q q q q q q q q q q q δδδδδδ======试求等价的正则文法,使得L(G)=T(A)。
(10’)解:设由A 得一正则文法(,,),N T G V V P S =,则12{,,}N V S x x =,{0,1}T V =,0S q = 由01(,1)q q δ=,得生成式11S x −−→ 由02(,0)q q δ=,得生成式20,0S S x −−→−−→ 由10(,1)q q δ=,得生成式11x S −−→ 由12(,0)q q δ=,得生成式1120,0x x x −−→−−→ 由21(,1)q q δ=,得生成式211x x −−→ 由22(,0)q q δ=,得生成式2220,0x x x −−→−−→ 对比实例:当扫描字符串1110时,A 按以下状态序列接受该字符串201101110q q q q q −→−−→−−→−−→−用对应的正则文法G 推导,得:111111111110S x S x ⇒⇒⇒⇒按有限态自动机确定正则文法给定一个有限态自动机0(,,,,)A Q q F δ=∑,可确定一个正则文法(,,,)N T G V V P S =,使得L(G) = T(A)。
由0111{,,...,,},n n n Q q q q q q F ++=∈ ,可确定:121{,,,...,x ,}N n n V S x x x +=,0S q =,i i x q =,T V =∑。
从δ求G 中的生成式P 可按如下原则: (1) 若(,)i j q a q δ=,则i j x ax →(2) 若1(,)i n q a q δ+=,则1,i i n x a x ax +→→6. K -均值算法聚类:K=2,初始聚类中心为12,x x ,数据为:(10’)12345678910{(0,0),(1,0),(0,1),(1,1),(8,7)(9,7),(8,8),(9,8),(8,9),(9,9)}x x x x x x x x x x ==========算法:第一步:选K 个初始聚类中心,12(1),z (1),...,(1)k z z ,其中括号内的序号为寻找聚类中心的迭代运算的次序号。
可选开始的K 个模式样本的向量值作为初始聚类中心。
第二步:逐个将需分类的模式样本{}x 按最小距离准则分配给K 个聚类中心中的某一个(1)j z 。