假兽药清单doc-假兽药清单
- 格式:doc
- 大小:194.00 KB
- 文档页数:17
附件1
非法兽药生产企业名单
标称北京市的企业(1家):北京牧獒动物药业有限公司
标称河北省的企业(1家):石家庄华牧动物制药有限公司
标称上海市的企业(2家):上海华亚畜牧化工有限公司、上海康益德动物药业有限公司
标称山东省的企业(2家):青岛华牧生物科技有限公司、潍坊市百利兽药有限公司
标称河南省的企业(2家):河南海天动物药业有限公司、河南省亚牧动物药业有限公司
标称广东省的企业(2家):广东万利达动物药业有限公司、广州市粤华动物药业有限公司
标称广西自治区的企业(2家):广西北流市龙桥兽药有限公司、广西北海制药责任有限公司
标称四川省的企业(3家):健特(成都)生物科技有限公司、四川恒盛动物药业有限公司、四川省遂宁市宏宇动物药品厂
1
附件2
非法兽药生产企业生产的假兽药汇总表
2
3
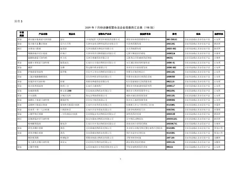
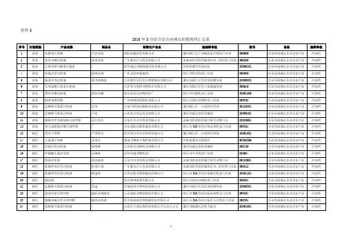
附件3
合法兽药生产企业确认非本企业生产的涉嫌假兽药汇总表
4
5
6
7
8
9
10
11
12
13
14
15
16。
假兽药清单假兽药清单假兽药是指生产商或者销售商违规生产或者销售的不合法的兽药。
这些兽药不仅无法提供有效的治疗和保健的效果,甚至还会对动物造成不可逆的伤害和死亡。
同时,假兽药也会对兽药市场正常发展带来威胁和破坏。
因此,保障兽药安全对于兽医领域及养殖业来说是极其重要的。
近年来,一些行业内的黑心商家为了追逐暴利,大量生产销售假兽药。
这些假兽药在外观和包装上与正规的兽药极为相似,很难辨别真伪。
甚至有一些假兽药是容易引起动物诱导性死亡的毒虫药。
这些虚假的兽药不仅会给动物健康带来不良的影响,也会给兽药市场造成极大的负面影响。
鉴于假兽药的严重性,国家兽药监管部门专门制定了假兽药清单,以便提醒牧民、养殖户、宠物主人和兽药经营者与生产者了解市面上假兽药种类及其特征。
1.虫草灵虫草灵是一种农药,但被不法商家非法加工用于制造假兽药。
虫草灵作为一种杀虫剂,它的使用会导致动物中枢神经受到抑制而引发死亡。
因此,虫草灵的使用非常危险,要特别引起注意。
2.沙门氏菌苗沙门氏菌苗被用于预防家畜牲口感染沙门氏菌。
但是,在假兽药映射清单上出现的沙门氏菌苗为假冒产品,通过添加色素等成分来伪造。
因此,沙门氏菌苗的使用应该注意采用正规渠道,不要贪图小便宜。
3.硝基噁唑硝基噁唑用于预防家禽的细菌性感染病,如禽霍乱、小鸡病毒病等。
但是,在假兽药清单上出现的硝基噁唑为假货,应该避免购买和使用。
4.葡萄糖酸锌葡萄糖酸锌是一种常用于动物的营养补充剂,能够促进宠物抵抗力,并提高免疫能力。
但也有被不法经营者加入过优秀氰化物等物质来非法销售,所以尽量在正规渠道购买。
5.驱虫剂驱虫剂被广泛使用于家畜和宠物体内寄生虫的驱除和预防。
在假兽药映射清单上一些假冒驱虫剂的方式多多,包括没有注明药品名称和厂家、从未经任何检验等。
总之,假兽药是一个非常严重的问题,它极大地影响了农民、养殖户、宠物主人和兽药行业经营者的利益和健康,因此,购买兽药时必须要注意不要购买假冒伪劣产品,以避免给宠物带来危害。