非法兽药生产企业生产的假兽药汇总表-河北动物保健品协会
- 格式:doc
- 大小:434.00 KB
- 文档页数:16
动保资讯近日,黑龙江省兽药监察所等23个省级兽药检验机构报送了2015年12月份兽药监督抽检中经抽样确认的308批假兽药相关信息。
其中,非法兽药生产企业17家(表1),涉及假兽药20批(表2);合法兽药生产企业确认非本企业生产的涉嫌假兽药288批(表3)。
2016年农业部将假兽药查处工作列入各省加强重大动物疫病防控延伸绩效管理,各级兽医行政管理部门要严格按照从重处罚兽药违法行为公告(农业部公告第2071号)规定和以下要求组织查处,并及时将查处情况报农业部兽医局,农业部将适时予以通报。
1)对列入表1的非法兽药生产企业,要立案排查,捣毁造假窝点和经销渠道。
2)对列入表2的假兽药和表3的涉嫌假兽药,要立案查处,依法组织清缴销毁,并对兽药经营单位依法实施处罚。
3)对列入表3的标称兽药生产企业,要迅速组织核查,发现表3所列涉嫌假兽药的,一律依法从重处罚。
(摘编自:农业部网站2016-02-15)上海市(1家)上海洪菲生物技术有限公司苏州省(1家)南京科瑞动物药北有限公司浙江省(1家)浙江永利生物科技有限公司福建省(1家)福建宁德贝迪动物药品厂江西省(1家)江西农大永兴生物科技有限公司河南盛利来动物药土有限公司郑州博大爱农公司湖南省(1家)路凯(湖南)科技有限公司广州市通迗动物药北有限公司广东瑞泰动物药业有限公司广西大银田兽药股份有限公司广西南宁桂中动物药品有限公司广西神宏动物药业有限责任公司玉林市桂南兽药厂四川省(1家)四川欧亚动物药北有限公司重庆瑞德艾特动物药土有限公司重庆远光动物药北有限公司河南省(2家)广东省(2家)广西自治区(4家)重庆市(2家)农业部发布2016年第一批假兽药查处活动的通知※曝光表2非法兽药生产企业生产的假兽药汇总表. All Rights Reserved.动保资讯表3合法兽药生产企业确认非该企业生产的涉嫌假兽药汇总表69穿心莲散/四川省精华动物药业有限公司巴彥县兴旺兽药饲料店2015年7月18日穿心莲注射液顽痢康河北地邦动物保健科技有限公司商丘彭世义兽药门市部20141006穿心莲注射液重泻专家合肥华瑞牧业有限责任公司长春市双阳区东大街兽药店20140901穿心莲注射液/河南领先科技药业有限公司长春市褕树市恩育双胞胎兽药商店150420穿心莲注射液/湖南省润邦生物工程有限公司循化县疫控中心门诊部150501穿心莲注射液/湖南广大敝农畜牧兽医研发有限公司农垦宝泉岭管理局宝泉岭农场盛洋荞殖有限公司20141122催奶灵散/四川省自贡倍乐饲料有限公司密山市华康兽药饲料门诊20150301催情散/河北华润药业有限公司灵武市梧桐树乡夏玉萍畜牧技术服务部15041901催情散/广西神威兽药股份有限公司孟津县白鹤镇王乙巴兽药店140901催情散/四川伴农动保生物技术有限公司民权县锦堂兽药经营门市部20150901大黄解毒散大黄苏打散广东省天宝生物制药有限公司鄱阳县兴茂农牧开发有限公司20150601地丁菊莲注射液/湖南广大敝农畜牧兽医研发有限公司商丘市京陇疫苗供应站20150409地克珠利溶液球速净山东尚生药业有限公司濰坊碩昌家禽有限公司20140611对乙酰氨基酚注射液解热神针合肥华瑞牧业有限责任公司克山县恒伟兽药店20150301对乙酰氨基酚注射液/重庆嘉瑞动物生化药业有限公司宝泉岭管理局宝泉岭农垦玉兰牧北有限公司150101对乙酰氨基酚注射液/重庆嘉瑞动物生化药业有限公司宝泉岭管理局宝泉岭农场玉兰牧北有限公司140701恩诺沙星粉/河南海天生物科技有限公司禹域市原野畜牧兽医专业合作社禹石分社14051002恩诺沙星粉(水产用)/北京渔经生物技术有限责任公司银川市兴庆区荣达昌兽药饲料经销部20140701恩诺沙星粉(水产用)败毒散西安海光药业有限责任公司刘新该渔具总店20140203恩诺沙星可溶性粉/四川恒通动物制药有限公司青州市云河万力畜禽服务部20131201恩诺沙星片万鸡灵玉林市科联兽药厂俺州那大华雷兽药店151002恩诺沙星注射液/哈尔滨市中大兽药有限责任公司盖州市许田兽药店20150329恩诺沙星注射液利锋成都兴旺动物药业有限公司松原市乾安县正和兽药店140601恩诺沙星注射液止痢血淸重庆市先锋动物药业有限公司银川市兴庆区(南)天峰兽药经营部20141021扶正解毒散/菏泽鸿升药业有限公司楚雄州南华县龙川镇兽医站兽医门诊20150601扶正解毒散/河南黑马动物药业有限公司依安县李晗兽药店20150301扶正解毒散冰蟾排毒王广州市汇鑫动物药业有限公司松原市扶余县陶赖昭镇大三家子村繁华兽药店20150301氟苯尼考粉氟力康尼格特生物制药(天津)有限公司银川市兴庆区(南)张文义兽药饲料经销部15042301氟苯尼考粉蟾麻咳喘肽山东省文登市雨泽银丰动物药土有限公司佳木斯市富锦市鑫丰兽药店20140708氟苯尼考粉/郑州益源动物药业有限责任公司绥中县王宝镇晓芳兽药店20150705氟苯尼考溶液/广西神威兽药股份有限公司五原县和平兽药饲料经销部140201氟苯尼考溶液/玉林市科联兽药厂洛阳市偃师三定兽药店150205氟苯尼考注射液/吉林省力畜迗动物药业有限公司大庆市三环畜牧兽医研究所20150402氟苯尼考注射液/安徽省皁阳市顺昌牧业有限责任公司高里兽医站双杨门诊部20141201氟苯尼考注射液/江西鑫维药业有限公司房县陵岭农牧有限公司20150801氟苯尼考注射液/江西利德菲生物药业有限公司红寺堡区鑫牧兽药店15012702氟苯尼考注射液氟奇咳喘停洛阳市兽药厂四平市梨树镇三菽兽药商店14090401氟苯尼考注射液神威克林广西神威兽药股份有限公司松原市长岭县八十八乡张玉友兽药店150201氟苯尼考注射液百草传奇成都兴旺动物药业有限公司平昌县合鑫养殖专业合作社20141001氟苯尼考注射液/四川飞扬动物药业有限公司阳江市江域区合记兽药经销部20140901动保资讯. All Rights Reserved.动保资讯71硫酸卡那霉素注射液/重庆市先锋动物药业有限公司刘立群兽药经营门市部20141121硫酸黏菌素可溶性粉/济南亿民动物药业有限公司长春市经济开发区顺风大市场顺风兽药经销部15021001硫酸庆大霉素注射液菌淸北京中龙正虹药业有限公司穆棱市康利迗兽药店20150301硫酸庆大霉素注射液/河北奥龙药业有限公司惠民县顺风肉牛养殖厂140901硫酸庆大霉素注射液/济南澳利兽药制品有限公司齐市克东县元昌兽药店20150101硫酸庆大霉素注射液一针止痢济南澳利兽药制品有限公司克山县更新兽药店2015071001硫酸庆大霉素注射液/济南澳利兽药制品有限公司穆棱市华兴兽药店20140901硫酸庆大霉素注射液中抗庆福山东中抗药业有限公司克东县长树兽药商店20150401硫酸庆大霉素注射液/重庆永健生物技术有限责任公司资南县夕阳红兽医药械经营店2015010102硫酸庆大-小诺霉素注射液宠诺康吉林省力畜迗动物药业有限公司密山市密山镇众帮兽药商店20150202硫酸双氢链霉素注射液/广东万士达动物药业有限公司东坡区明兴兽药经营部20140701硫酸小檗碱注射液肠炎速宁江苏光大动物药业有限公司四平市小孤山镇张氏兽药商店201407 02龙胆碳酸氢钠片/山东鲁诺生物科技有限公司岚县汇金畜禽服务部140801龙胆泻肝散/佛山市南海禅泰动物药业有限公司仙居县康乐动物保徤院150301氯氰碘柳胺钠注射液/赣州百灵动物药业有限公司依安县闫金龙兽药商店15082503氯氰碘柳胺钠注射液/赣州百灵动物药业有限公司松原市扶余县增盛镇李二兽药店15010101氯氰碘柳胺钠注射液/四川天定生物科技有限公司绥化市明水县天马兽药店150104灭菌注射用水/陕西圣奥动物药业有限公司巴彥县贾兽医兽药店20150610萘普生注射液/江西鸿图动物药业有限公司黑河市嫩江县兴牧兽药店20140901浓缩氨基鱼肝油/河南中盛动物药业有限公司洛阳市偃师三定兽药店20150701平胃散/四川省欧邦动物药业有限公司石楼县康牧畜禽服务部20140225芩连注射液富迗柳州市富达动物药品厂石楼县兽药经销店20140401清瘟败毒片恶瘟死不了广东省罗定市华业动物药业有限公司弋阳县富民饲料行20150808清瘟败毒片蛤膜呼泰广西北流市天龙兽药有限公司农垦九三管理局嫩江农场六合兽药店20150610清瘟败毒片/北海吉利来动物药业有限公司弋阳县富民饲料行15030602清瘟败毒散/四川华蜀动物药业有限公司佛山市高明区正康兽药有限公司20150101清瘟败毒散/四川巴尔动物药业有限公司西夏区兴泾镇恒通兽药经销部140601清瘟败毒散/四川省雄丰动物药业有限公司灵武市禄贤农牧服务部20150501清瘟解毒口服液/山东百力和生物药业有限公司双城市小勇兽药店150402动保资讯. All Rights Reserved.动保资讯73动保资讯动保资讯农业部坚持产管结合治药残2015年农业部坚持“产”“管”结合、标本兼治,打出兽用抗菌药治理“组合拳”,有效防范兽药残留超标风险,全力确保动物源性食品安全。
附件1
非法兽药生产企业名单
标称北京市的企业(1家):北京牧獒动物药业有限公司
标称河北省的企业(1家):石家庄华牧动物制药有限公司
标称上海市的企业(2家):上海华亚畜牧化工有限公司、上海康益德动物药业有限公司
标称山东省的企业(2家):青岛华牧生物科技有限公司、潍坊市百利兽药有限公司
标称河南省的企业(2家):河南海天动物药业有限公司、河南省亚牧动物药业有限公司
标称广东省的企业(2家):广东万利达动物药业有限公司、广州市粤华动物药业有限公司
标称广西自治区的企业(2家):广西北流市龙桥兽药有限公司、广西北海制药责任有限公司
标称四川省的企业(3家):健特(成都)生物科技有限公司、四川恒盛动物药业有限公司、四川省遂宁市宏宇动物药品厂
1
附件2
非法兽药生产企业生产的假兽药汇总表
2
3
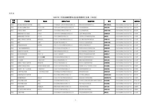
附件3
合法兽药生产企业确认非本企业生产的涉嫌假兽药汇总表
4
5
6
7
8
9
10
11
12
13
14
15
16。