山东省沂南第一中学复数高考重点题型及易错点提醒
- 格式:doc
- 大小:1.46 MB
- 文档页数:21
高考必会的题型题型一:复数(5分)1.设复数()(),2,1zz a bi a b R i P a b i=+∈=-+,若成立,则点在( ) A.第一象限B.第二象限C.第三象限D.第四象限复数的考察主要分为以下几点:希望同学们好好掌握,以不变应万变!考试方向: ①复数的概念及化简:例:复数2 ()1miz m R i+=∈+是纯虚数,则m =( ) A .2- B . 1- C .1 D .2②复数的模长:例.复数)()2(2为虚数单位i ii z -=,则=||z(A)5 (B) 41 (C)6 (D) 5③共轭复数:设z 的共轭复数是z ,若z+z =4,z ·z =8,则zz等于 (A)i(B)-i(C)±1(D)±i④复数相等:已知2a ib i i+=+(,)a b R ∈,其中i 为虚数单位,则a b +=( ) (A )-1 (B )1 (C )2 (D )3⑤复平面:复数z=22ii-+(i 为虚数单位)在复平面内对应的点所在象限为A .第一象限B .第二象限C .第三象限D .第四象限易错点:没看到题目要求1、A ;①A ②A ③D ④B ⑤D 题型二:集合运算(5分)★★★★★2.已知集合{}{}R x y y N x x x M x ∈==≥=,2,2,则M N =I ( )A .)(1,0B .]1,0[C .)1,0[D .]1,0(集合的考察主要是分两大类:①集合的概念:设P 和Q 是两个集合,定义集合{}|P Q x x P x Q -=∈∉,且,如果{}2|log 1P x x =<,{}|21Q x x =-<,那么P Q -等于②集合的运算:设集合{}22,A x x x R =-≤∈,{}2|,12B y y x x ==--≤≤,则()R C A B IA .[-1,0]B .[-1,0]∪[)4,+∞ C .[-1,0]∪()4,+∞ D .()(,0)0,-∞⋃+∞ 易错点:不注意集合中的元素2、D ①(]0,1②D题型三:逻辑结构(5分)3.①充要条件的判定:1.设:3,:13p x q x <-<<,则p 是q 成立的( ) (A )充分必要条件 (B )充分不必要条件(C )必要不充分条件 (D )既不充分也不必要条件 ②特称命题与全称命题:2.命题“∀x ∈[0,+∞),30x x +≥”的否定是( )A .∀x ∈(-∞,0),30x x +<B .∀x ∈(-∞,0),30x x +≥C .∃0x ∈[0,+∞),30x x +<D .∃0x ∈[0,+∞),30x x +≥ 答案:CC 练习:1.命题P :“012,≤+∈∃x R x ”,则命题P 的否定是( )A. 012,>+∈∃x R xB. 012,>+∈∀x R xC. 012,≥+∈∃x R xD. 012,≥+∈∀x R x2.命题“2[1,2],0x x a ∀∈-≤”为真命题的一个充分不必要条件是 A.4a ≥B.4a ≤C.5a ≥D.5a ≤3.下列说法不正确的是( )(多项选择).A 若,,a b c R ∈,则2"0"ax bx c ++≥的充分条件是2"40"b ac -≤ .B 若,,a b c R ∈,则22""ab cb >的充要条件是""a c >.C 命题“对任意x R ∈,有20x ≥”的否定是“存在x R ∈,有20x ≥”D.2m <-或6m >23y x mx m =+++是有两个不同的零点充分必要条件 答案:1.B2.C3.ABC 题型四:独立性检验与回归方程(5分)4.①例:为调查某地区老年人是否需要志愿者提供帮助,用简单随机抽样方法从该地区调查了500位老人,结果如表: 由附表:()()()()()22n ad bc K a b c d a c b d -=++++算得,()2250040270301609.96720030070430K ⨯⨯-⨯=≈⨯⨯⨯ 参照附表,得到的正确结论是A.在犯错误的概率不超过0.1%的前提下,认为“需要志愿者提供帮助与性别有关”B.在犯错误的概率不超过0.1%的前提下,认为“需要志愿者提供帮助与性别无关”C.有99%以上的把握认为“需要志愿者提供帮助与性别有关”D.有99%以上的把握认为“需要志愿者提供帮助与性别无关”此题主要考察独立性检验:对此类问题主要明白2K 的计算方式,并会根据计算结果在附表中读取信息:答案C ②.回归直线方程:例:对具有线性相关关系的变量x ,y ,测得一组数据如下表:X 24568y 20 40 60 70 80根据上表,利用最小二乘法得它们的回归直线方程为10.5y x a =+u r r,据此模型来预测当x=20时,y 的估计值为A .210B .210.5C .211.5D .212.5注意:回归直线方程一定过(,)x y 本题选C练习:1.年份 2007 2008 2009 2010 2011 2012 2013 年份代号t 1 2 3 4 5 6 7 人均纯收入y2.93.33.64.44.85.25.9(Ⅰ)求y 关于t 的线性回归方程;(Ⅱ)利用(Ⅰ)中的回归方程,分析2007年至2013年该地区农村居民家庭人均纯收入的变化情况,并预测该地区2015年农村居民家庭人均纯收入.回归直线方程求解:1122211()()()n ni iiii i nniii i x y nx y x x y y b xnx x x ====---==--∑∑∑∑$,ˆˆa y bx =-,2.某地区不同身高的未成年男性的体重平均值如下表:给出两个回归方程:(1)y =0.42x -25.32,(2)y =2×1.02x.通过计算,得到它们的相关指数分别为R 21=0.931,R 22=0.998,则拟合效果较好的回归方程是( )A.y ^=2×1.02xB.y ^=0.42x -25.32 C.两个一样好 D.无法判断3.某单位为了制定节能减排的目标,调查了日用电量y (单位:千瓦时)与当天平均气温x (单位:℃),从中随机选取了4天的日用电量与当天的平均气温,并制作了对照表:已知表中数据的线性回归方程为y ^=-2x +60,则a 的值为( )A.42B.40C.38D.364.海水养殖场进行某水产品的新、旧网箱养殖方法的产量对比,收获时各随机抽取了100个网箱,测量各箱水产品的产量(单位:kg),其频率分布直方图如下:新养殖法旧养殖法箱产量/kg箱产量/kg(1)记A 表示事件“旧养殖法的箱产量低于50kg”,估计A 的概率;(2)填写下面列联表,并根据列联表判断是否有99%的把握认为箱产量与养殖方法有关: (3)根据箱产量的频率分布直方图,对这两种养殖方法的优劣进行比较。
山东省沂南第一中学高二物理上学期精选试卷检测题一、第九章静电场及其应用选择题易错题培优(难)1.电荷量相等的两点电荷在空间形成的电场有对称美.如图所示,真空中固定两个等量异种点电荷A、B,AB连线中点为O.在A、B所形成的电场中,以O点为圆心半径为R的圆面垂直AB连线,以O为几何中心的边长为2R的正方形平面垂直圆面且与AB连线共面,两个平面边线交点分别为e、f,则下列说法正确的是( )A.在a、b、c、d、e、f六点中找不到任何两个场强和电势均相同的点B.将一电荷由e点沿圆弧egf移到f点电场力始终不做功C.将一电荷由a点移到圆面内任意一点时电势能的变化量相同D.沿线段eOf移动的电荷,它所受的电场力先减小后增大【答案】BC【解析】图中圆面是一个等势面,e、f的电势相等,根据电场线分布的对称性可知e、f的场强相同,故A错误.图中圆弧egf是一条等势线,其上任意两点的电势差都为零,根据公式W=qU可知:将一正电荷由e点沿圆弧egf移到f点电场力不做功,故B正确.a点与圆面内任意一点时的电势差相等,根据公式W=qU可知:将一电荷由a点移到圆面内任意一点时,电场力做功相同,则电势能的变化量相同.故C正确.沿线段eof移动的电荷,电场强度先增大后减小,则电场力先增大后减小,故D错误.故选BC.【点睛】等量异种电荷连线的垂直面是一个等势面,其电场线分布具有对称性.电荷在同一等势面上移动时,电场力不做功.根据电场力做功W=qU分析电场力做功情况.根据电场线的疏密分析电场强度的大小,从而电场力的变化.2.如图所示,质量相同的A、B两物体放在光滑绝缘的水平面上,所在空间有水平向左的匀强电场,场强大小为E,其中A带正电,电荷量大小为q,B始终不带电。
一根轻弹簧一端固定在墙面上,另一端与B物体连接,在电场力作用下,物体A紧靠着物体B,一起压缩弹簧,处于静止状态。
现在A物体上施加一水平向右的恒定外力F。
弹簧始终处于弹性限度范围内,下列判断正确的是()A.若F = qE,则弹簧恢复到原长时A、B两物体分离B.若F = qE,则弹簧还未恢复到原长时A、B两物体分离C.若F > qE,则弹簧还未恢复到原长时A、B两物体分离D.若F < qE,则A、B两物体不能分离,且弹簧一定达不到原长位置【答案】AC【解析】【分析】【详解】AB.若F = qE,A物体所受合力为0,在弹簧处于压缩状态时,B物体由于弹簧的作用向右加速运动,而A物体将被迫受到B物体的作用力以相同的加速度一起向右加速运动,A、B 两物体未能分离,当弹簧恢复到原长后,B物体在弹簧的作用下做减速运动,A物体做匀速直线运动,则B物体的速度小于A物体的速度,A、B两物体将分离,故A正确,B错误;C.若F > qE,A物体将受到水平向右恒力F A = F− qE的作用,弹簧在恢复到原长之前,对B 物体的弹力逐渐减小,则B物体的加速度逐渐减小,当A、B两物体刚要分离时,A、B两物体接触面的作用力刚好为0,此时弹簧对B物体的作用力所产生的加速度与恒力F A对A物体产生的加速度相等(a B = a A≠ 0),此时弹簧还未恢复到原长,故C正确;D.若F < qE,A物体将受到水平向左恒力F A = qE− F的作用,如果F A比较小,那么A、B 两物体还是可以分离的,并且在超过弹簧原长处分离,故D错误。
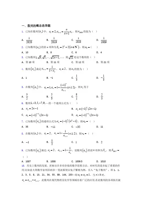
一、数列的概念选择题1.已知在数列{}n a 中,112,1n n na a a n +==+,则2020a 的值为( ) A .12020B .12019C .11010D .110092.已知数列{}n a 的前n 项和为()*22nn S n =+∈N ,则3a=( )A .10B .8C .6D .43.已知数列,21,n -21是这个数列的( )A .第10项B .第11项C .第12项D .第21项4.数列{}n a 满足111n na a +=-,12a =,则2a 的值为( ) A .1B .-1C .13D .13-5.在数列{}n a 中,()1111,1(2)nn n a a n a --==+≥,则5a 等于A .32B .53 C .85D .236.数列1,3,5,7,9,--的一个通项公式为( )A .21n a n =-B .()1(21)nn a n =--C .()11(21)n n a n +=--D .()11(21)n n a n +=-+7.已知数列{}n a 的通项公式为()()211nn a n=--,则6a =( )A .35B .11-C .35-D .118.在数列{}n a 中,12a =,111n n a a -=-(2n ≥),则8a =( ) A .1-B .12C .1D .29.已知数列{}n a 满足: 12a =,111n na a +=-,设数列{}n a 的前n 项和为n S ,则2017S =( ) A .1007B .1008C .1009.5D .101010.历史上数列的发展,折射出许多有价值的数学思想方法,对时代的进步起了重要的作用.比如意大利数学家列昂纳多—斐波那契以兔子繁殖为例,引入“兔子数列”:即1,1,2,3,5,8,13,21,34,55,89,144,233…即121a a ==,当n ≥3时,12n n n a a a --=+,此数列在现代物理及化学等领域有着广泛的应用.若此数列的各项依次被4整除后的余数构成一个新的数列{}n b ,记数列{}n b 的前n 项和为n S ,则20S 的值为( ) A .24B .26C .28D .3011.数列{}n a 中,()1121nn n a a n ++-=-,则数列{}n a 的前8项和等于( ) A .32B .36C .38D .4012.数列{}n a 满足1111,(2)2n n n a a a n a --==≥+,则5a 的值为( )A .18 B .17 C .131 D .1613.已知数列{}n a 满足:11a =,145n n a a +=+,则n a =( ) A .85233n⨯- B .185233n -⨯- C .85433n⨯-D .185433n -⨯- 14.正整数的排列规则如图所示,其中排在第i 行第j 列的数记为,i j a ,例如4,39a =,则645a ,等于( )12345678910A .2019B .2020C .2021D .202215.大衍数列,来源于《乾坤普》中对易传“大衍之数五十”的推论,主要用于解释中国传统文化中太极衍生原理.数列中的每一项,都代表太极衍生过程中,曾经经历过的两翼数量总和,是中国传统文化中隐藏着的世界数学史上第一道数列题.其前10项依次是0,2,4,8,12,18,24,32,40,50,……则此数列的第40项为( ). A .648B .722C .800D .88216.设数列{}n a 的通项公式为2n n a n+=,要使它的前n 项的乘积大于36,则n 的最小值为( ) A .6 B .7C .8D .917.数列12,16,112,120,…的一个通项公式是( ) A .()11n a n n =-B .()1221n a n n =-C .111n a n n =-+ D .11n a n=-18.在数列{}n a 中,11(1)1,2(2)nn n a a n a --==+≥,则3a =( ) A .0B .53C .73D .319.已知数列{}n a 满足12n n a a n +=+,且133a =,则na n的最小值为( ) A .21B .10C .212 D .17220.已知数列{}n a 的首项为2,且数列{}n a 满足111n n n a a a +-=+,数列{}n a 的前n 项的和为n S ,则1008S 等于( ) A .504B .294C .294-D .504-二、多选题21.已知数列0,2,0,2,0,2,,则前六项适合的通项公式为( )A .1(1)nn a =+-B .2cos2n n a π= C .(1)2sin2n n a π+= D .1cos(1)(1)(2)n a n n n π=--+--22.设数列{}n a 满足1102a <<,()1ln 2n n n a a a +=+-对任意的*n N ∈恒成立,则下列说法正确的是( ) A .2112a << B .{}n a 是递增数列 C .2020312a <<D .2020314a << 23.已知数列{}n a 满足()*111n na n N a +=-∈,且12a =,则( ) A .31a =- B .201912a =C .332S =D . 2 01920192S =24.(多选题)已知数列{}n a 中,前n 项和为n S ,且23n n n S a +=,则1n n a a -的值不可能为( ) A .2B .5C .3D .425.若数列{}n a 满足112,02121,12n n n n n a a a a a +⎧≤≤⎪⎪=⎨⎪-<<⎪⎩,135a =,则数列{}n a 中的项的值可能为( ) A .15B .25C .45D .6526.意大利著名数学家斐波那契在研究兔子繁殖问题时,发现有这样一列数:1,1,2,3,5,….,其中从第三项起,每个数等于它前面两个数的和,后来人们把这样的一列数组成的数列{}n a 称为“斐波那契数列”,记n S 为数列{}n a 的前n 项和,则下列结论正确的是( ) A .68a =B .733S =C .135********a a a a a +++⋅⋅⋅+=D .22212201920202019a a a a a ++⋅⋅⋅⋅⋅⋅+= 27.已知数列{}n a 是等差数列,前n 项和为,n S 且13522,a a S +=下列结论中正确的是( ) A .7S 最小B .130S =C .49S S =D .70a =28.已知等差数列{}n a 的公差0d ≠,前n 项和为n S ,若612S S =,则下列结论中正确的有( ) A .1:17:2a d =-B .180S =C .当0d >时,6140a a +>D .当0d <时,614a a >29.在等差数列{}n a 中,公差0d ≠,前n 项和为n S ,则( ) A .4619a a a a >B .130S >,140S <,则78a a >C .若915S S =,则n S 中的最大值是12SD .若2n S n n a =-+,则0a =30.朱世杰是元代著名数学家,他所著的《算学启蒙》是一部在中国乃至世界最早的科学普及著作.《算学启蒙》中涉及一些“堆垛”问题,主要利用“堆垛”研究数列以及数列的求和问题.现有100根相同的圆形铅笔,小明模仿“堆垛”问题,将它们全部堆放成纵断面为等腰梯形的“垛”,要求层数不小于2,且从最下面一层开始,每一层比上一层多1根,则该“等腰梯形垛”应堆放的层数可以是( ) A .4B .5C .7D .831.已知等差数列{}n a 的前n 项和为,n S 且15110,20,a a a 则( )A .80a <B .当且仅当n = 7时,n S 取得最大值C .49S S =D .满足0n S >的n 的最大值为1232.已知等差数列{}n a 的公差不为0,其前n 项和为n S ,且12a 、8S 、9S 成等差数列,则下列四个选项中正确的有( )A .59823a a S +=B .27S S =C .5S 最小D .50a =33.在数列{}n a 中,若22*1(2,.n n a a p n n N p --=≥∈为常数),则称{}n a 为“等方差数列”.下列对“等方差数列”的判断正确的是( ) A .若{}n a 是等差数列,则{}n a 是等方差数列 B .{(1)}n -是等方差数列C .若{}n a 是等方差数列,则{}()*,kn a k Nk ∈为常数)也是等方差数列D .若{}n a 既是等方差数列,又是等差数列,则该数列为常数列34.无穷数列{}n a 的前n 项和2n S an bn c =++,其中a ,b ,c 为实数,则( )A .{}n a 可能为等差数列B .{}n a 可能为等比数列C .{}n a 中一定存在连续三项构成等差数列D .{}n a 中一定存在连续三项构成等比数列35.公差为d 的等差数列{}n a ,其前n 项和为n S ,110S >,120S <,下列说法正确的有( ) A .0d <B .70a >C .{}n S 中5S 最大D .49a a <【参考答案】***试卷处理标记,请不要删除一、数列的概念选择题 1.C 解析:C 【分析】由累乘法可求得2n a n=,即可求出. 【详解】11n n n a a n +=+,即11n na n a n +=+, 12321123211232121232n n n n n n n a a a a a n n n a a a a a a a n n n --------∴=⋅⋅⋅⋅⋅⋅=⋅⋅⋅⋅⋅⨯--2n=, 20202120201010a ∴==. 故选:C.解析:D 【分析】根据332a S S =-,代入即可得结果. 【详解】()()3233222224a S S =-=+-+=.故选:D. 【点睛】本题主要考查了由数列的前n 项和求数列中的项,属于基础题.3.B解析:B 【分析】根据题中所给的通项公式,令2121n -=,求得n =11,得到结果. 【详解】令2121n -=,解得n =11是这个数列的第11项. 故选:B. 【点睛】该题考查的是有关数列的问题,涉及到的知识点有判断数列的项,属于基础题目.4.B解析:B 【分析】根据数列的递推公式,代入计算可得选项. 【详解】 因为111n n a a +=-,12a =,所以21111112a a ===---, 故选:B. 【点睛】本题考查由数列递推式求数列中的项,属于基础题.5.D解析:D 【解析】分析:已知1a 逐一求解2345122323a a a a ====,,,. 详解:已知1a 逐一求解2345122323a a a a ====,,,.故选D 点睛:对于含有()1n-的数列,我们看作摆动数列,往往逐一列举出来观察前面有限项的规律.解析:C 【分析】分别观察各项的符号、绝对值即可得出. 【详解】数列1,-3,5,-7,9,…的一个通项公式()()112nn a n =--. 故选C . 【点睛】本题考查了球数列的通项公式的方法,属于基础题.7.A解析:A 【分析】直接将6n =代入通项公式可得结果. 【详解】 因为()()211nn a n=--,所以626(1)(61)35a =--=.故选:A 【点睛】本题考查了根据通项公式求数列的项,属于基础题.8.B解析:B 【分析】通过递推公式求出234,,a a a 可得数列{}n a 是周期数列,根据周期即可得答案. 【详解】 解:211111=1=22a a =--,3211121a a =-=-=-,4311112a a =-=+=, 则数列{}n a 周期数列,满足3n n a a -=,4n ≥85212a a a ∴===, 故选:B. 【点睛】本题考查数列的周期性,考查递推公式的应用,是基础题.9.D解析:D 【分析】根据题设条件,可得数列{}n a 是以3为周期的数列,且3132122S =+-=,从而求得2017S 的值,得到答案.由题意,数列{}n a 满足: 12a =,111n na a +=-, 可得234111,121,1(1)2,22a a a =-==-=-=--=,可得数列{}n a 是以3为周期的数列,且3132122S =+-= 所以20173672210102S =⨯+=. 故选:D. 【点睛】本题主要考查了数列的递推公式的应用,其中解答中得出数列{}n a 是以3为周期的数列,是解答的关键,着重考查了推理与运算能力,属于中档试题.10.B解析:B 【分析】先写出新数列的各项,找到数列的周期,即得解. 【详解】由题意可知“斐波那契数列”的各项依次被4整除后的余数构成一个新的数列{}n b , 此数列的各项求得:1,1,2,3,1,0,1,1,2,3,1,0,1……,则其周期为6, 其中1+1+2+3+1+0=8,则201819201812S S b b S b b =++=++381126=⨯++=, 故选:B.11.B解析:B 【分析】根据所给数列表达式,递推后可得()121121n n n a a n ++++-=+.并将原式两边同时乘以()1n-后与变形后的式子相加,即可求得2n n a a ++,即隔项和的形式.进而取n 的值,代入即可求解. 【详解】由已知()1121nn n a a n ++-=-,① 得()121121n n n a a n ++++-=+,②由()1n ⨯-+①②得()()()212121nn n a a n n ++=-⋅-++,取1,5,9n =及2,6,10n =,易得13572a a a a +=+=,248a a +=,6824a a +=, 故81234836S a a a a a =++++⋅⋅⋅+=.【点睛】本题考查了数列递推公式的应用,对数列表达式进行合理变形的解决此题的关键,属于中档题.12.C解析:C 【分析】根据条件依次算出2a 、3a 、4a 、5a 即可. 【详解】 因为1111,(2)2n n n a a a n a --==≥+,所以211123a ==+,31131723a ==+,411711527a ==+,51115131215a ==+ 故选:C 13.D解析:D 【分析】 取特殊值即可求解. 【详解】当1n =时,11a =,显然AC 不正确,当2n =时,21459a a =+=,显然B 不符合,D 符合 故选:D14.C解析:C 【分析】根据题目中已知数据,进行归总结,得到一般性结论,即可求得结果. 【详解】根据题意,第1行第1列的数为1,此时111(11)112a ⨯-=+=,, 第2行第1列的数为2,此时212(21)122a ⨯-=+=,, 第3行第1列的数为4 ,此时313(31)142a ⨯-=+=,, 据此分析可得:第64行第1列的数为64164(641)120172a ⨯-=+=,,则6452021a =,, 故选:C.解析:C 【分析】由0、2、4、8、12、18、24、32、40、50…,可得偶数项的通项公式:222n a n =,即可得出. 【详解】由0,2,4,8,12,18,24,32,40,50…,可得偶数项的通项公式:222n a n =.则此数列第40项为2220800⨯=. 故选:C16.C解析:C 【分析】先求出数列{}n a 的前n 项的乘积为n D ,令0n D >解不等式,结合*n N ∈,即可求解. 【详解】记数列{}n a 的前n 项的乘积为n D ,则()()12112451232312n n n n n n n D a a a a n n -++++=⋅⋅=⨯⨯⨯⨯⨯=- 依题意有()()12362n n ++>整理得()()23707100n n n n +-=-+> 解得:7n >,因为*n N ∈,所以min 8n =, 故选:C17.C解析:C 【分析】根据选项进行逐一验证,可得答案. 【详解】 选项A. ()11n a n n =-,当1n =时,无意义.所以A 不正确.选项B. ()1221n a n n =-,当2n =时,()211122221126a ==≠⨯⨯⨯-,故B 不正确. 选项C.11122=-,111162323==-⨯,1111123434==-⨯,1111204545==-⨯ 所以111n a n n =-+满足.故C 正确.选项D. 11n a n =-,当1n =时, 1111012a =-=≠,故D 不正确. 故选:C18.B解析:B 【分析】由数列的递推关系式以及11a =求出2a ,进而得出3a . 【详解】11a =,21123a a ∴=+=,321523a a -=+= 故选:B19.C解析:C 【分析】由累加法求出233n a n n =+-,所以331n a n n n,设33()1f n n n=+-,由此能导出5n =或6时()f n 有最小值,借此能得到na n的最小值. 【详解】解:()()()112211n n n n n a a a a a a a a ---=-+-+⋯+-+22[12(1)]3333n n n =++⋯+-+=+-所以331n a n nn设33()1f n n n=+-,由对勾函数的性质可知, ()f n 在(上单调递减,在)+∞上单调递减,又因为n ∈+N ,所以当5n =或6时()f n 可能取到最小值. 又因为56536321,55662a a ===, 所以n a n的最小值为62162a =.故选:C. 【点睛】本题考查了递推数列的通项公式的求解以及对勾函数的单调性,考查了同学们综合运用知识解决问题的能力.20.C解析:C 【分析】根据递推公式,算出数列前4项,确定数列周期,即可求出结果. 【详解】∵12a =,111n n n a a a +-=+,∴213a =,311131213a -==-+,41123112a --==--+, 又121111111111n n n n n n n n a a a a a a a a +++---+===--+++,所以421n n n a a a ++=-=, ∴数列{}n a 的周期为4,且123476a a a a +++=-, ∵10084252÷=,∴100872522946S ⎛⎫=⨯-=- ⎪⎝⎭. 故选:C. 【点睛】本题主要考查数列周期性的应用,属于常考题型.二、多选题 21.AC 【分析】对四个选项中的数列通项公式分别取前六项,看是否满足题意,得出答案. 【详解】对于选项A ,取前六项得:,满足条件; 对于选项B ,取前六项得:,不满足条件; 对于选项C ,取前六项得:,解析:AC 【分析】对四个选项中的数列通项公式分别取前六项,看是否满足题意,得出答案. 【详解】对于选项A ,1(1)nn a =+-取前六项得:0,2,0,2,0,2,满足条件;对于选项B ,2cos 2n n a π=取前六项得:0,2,0,2,0,2--,不满足条件; 对于选项C ,(1)2sin2n n a π+=取前六项得:0,2,0,2,0,2,满足条件; 对于选项D ,1cos(1)(1)(2)n a n n n π=--+--取前六项得:0,2,2,8,12,22,不满足条件;故选:AC22.ABD 【分析】构造函数,再利用导数判断出函数的单调性,利用单调性即可求解. 【详解】 由, 设, 则,所以当时,,即在上为单调递增函数, 所以函数在为单调递增函数, 即, 即, 所以 ,解析:ABD 【分析】构造函数()()ln 2f x x x =+-,再利用导数判断出函数的单调性,利用单调性即可求解. 【详解】由()1ln 2n n n a a a +=+-,1102a << 设()()ln 2f x x x =+-, 则()11122xf x x x-'=-=--, 所以当01x <<时,0f x,即()f x 在0,1上为单调递增函数, 所以函数在10,2⎛⎫ ⎪⎝⎭为单调递增函数,即()()102f f x f ⎛⎫<< ⎪⎝⎭,即()131ln 2ln ln 1222f x <<<+<+=, 所以()112f x << , 即11(2)2n a n <<≥, 所以2112a <<,2020112a <<,故A 正确;C 不正确;由()f x 在0,1上为单调递增函数,112n a <<,所以{}n a 是递增数列,故B 正确; 2112a <<,所以 23132131113ln(2)ln ln 222234a a a e =+->+>+=+> 因此20202020333144a a a ∴<><>,故D 正确 故选:ABD 【点睛】本题考查了数列性质的综合应用,属于难题.23.ACD 【分析】先计算出数列的前几项,判断AC ,然后再寻找规律判断BD . 【详解】由题意,,A 正确,,C 正确; ,∴数列是周期数列,周期为3. ,B 错; ,D 正确. 故选:ACD . 【点睛】 本解析:ACD 【分析】先计算出数列的前几项,判断AC ,然后再寻找规律判断BD . 【详解】由题意211122a =-=,311112a =-=-,A 正确,3132122S =+-=,C 正确;41121a =-=-,∴数列{}n a 是周期数列,周期为3. 2019367331a a a ⨯===-,B 错;20193201967322S =⨯=,D 正确.故选:ACD . 【点睛】本题考查由数列的递推式求数列的项与和,解题关键是求出数列的前几项后归纳出数列的性质:周期性,然后利用周期函数的定义求解.24.BD 【分析】利用递推关系可得,再利用数列的单调性即可得出答案. 【详解】 解:∵, ∴时,, 化为:,由于数列单调递减, 可得:时,取得最大值2. ∴的最大值为3. 故选:BD . 【点睛】 本解析:BD 【分析】利用递推关系可得1211n n a a n -=+-,再利用数列的单调性即可得出答案. 【详解】 解:∵23n n n S a +=, ∴2n ≥时,112133n n n n n n n a S S a a --++=-=-, 化为:112111n n a n a n n -+==+--, 由于数列21n ⎧⎫⎨⎬-⎩⎭单调递减,可得:2n =时,21n -取得最大值2. ∴1n n a a -的最大值为3. 故选:BD . 【点睛】本题考查了数列递推关系、数列的单调性,考查了推理能力与计算能力,属于中档题.25.ABC 【分析】利用数列满足的递推关系及,依次取代入计算,能得到数列是周期为4的周期数列,得项的所有可能值,判断选项即得结果. 【详解】数列满足,,依次取代入计算得, ,,,,因此继续下去会循环解析:ABC 【分析】利用数列{}n a 满足的递推关系及135a =,依次取1,2,3,4n =代入计算2345,,,a a a a ,能得到数列{}n a 是周期为4的周期数列,得项的所有可能值,判断选项即得结果. 【详解】数列{}n a 满足112,02121,12n n n n n a a a a a +⎧≤≤⎪⎪=⎨⎪-<<⎪⎩,135a =,依次取1,2,3,4,...n =代入计算得,211215a a =-=,32225a a ==,43425a a ==,5413215a a a =-==,因此继续下去会循环,数列{}n a 是周期为4的周期数列,所有可能取值为:1234,,,5555. 故选:ABC. 【点睛】本题考查了数列的递推公式的应用和周期数列,属于基础题.26.ABCD 【分析】由题意可得数列满足递推关系,对照四个选项可得正确答案. 【详解】对A ,写出数列的前6项为,故A 正确; 对B ,,故B 正确; 对C ,由,,,……,,可得:.故是斐波那契数列中的第解析:ABCD 【分析】由题意可得数列{}n a 满足递推关系12211,1,(3)n n n a a a a a n --===+≥,对照四个选项可得正确答案. 【详解】对A ,写出数列的前6项为1,1,2,3,5,8,故A 正确; 对B ,71123581333S =++++++=,故B 正确;对C ,由12a a =,342a a a =-,564a a a =-,……,201920202018a a a =-, 可得:135********a a a a a +++⋅⋅⋅+=.故1352019a a a a +++⋅⋅⋅+是斐波那契数列中的第2020项.对D ,斐波那契数列总有21n n n a a a ++=+,则2121a a a =,()222312321a a a a a a a a =-=-,()233423423a a a a a a a a =-=-,……,()220182018201920172018201920172018a a a a a a a a =-=-,220192019202020192018a a a a a =-2222123201920192020a a a a a a +++⋅⋅⋅⋅⋅⋅+=,故D 正确;故选:ABCD. 【点睛】本题以“斐波那契数列”为背景,考查数列的递推关系及性质,考查方程思想、转化与化归思想,考查逻辑推理能力和运算求解能力,求解时注意递推关系的灵活转换.27.BCD 【分析】由是等差数列及,求出与的关系,结合等差数列的通项公式及求和公式即可进行判断. 【详解】设等差数列数列的公差为. 由有,即 所以,则选项D 正确.选项A. ,无法判断其是否有最小解析:BCD 【分析】由{}n a 是等差数列及13522,a a S +=,求出1a 与d 的关系,结合等差数列的通项公式及求和公式即可进行判断. 【详解】设等差数列数列{}n a 的公差为d .由13522,a a S +=有()1112542252a a a d d ⨯+=++,即160a d += 所以70a =,则选项D 正确. 选项A. ()71176773212S a d a d d ⨯=+=+=-,无法判断其是否有最小值,故A 错误. 选项B. 113137131302a S a a +=⨯==,故B 正确. 选项C. 9876579450a a a a S a a S -=++++==,所以49S S =,故C 正确. 故选:BCD 【点睛】关键点睛:本题考查等差数列的通项公式及求和公式的应用,解答本题的关键是由条件13522,a a S +=得到160a d +=,即70a =,然后由等差数列的性质和前n 项和公式判断,属于中档题.28.ABC 【分析】因为是等差数列,由可得,利用通项转化为和即可判断选项A ;利用前项和公式以及等差数列的性质即可判断选项B ;利用等差数列的性质即可判断选项C ;由可得且,即可判断选项D ,进而得出正确选项解析:ABC 【分析】因为{}n a 是等差数列,由612S S =可得9100a a +=,利用通项转化为1a 和d 即可判断选项A ;利用前n 项和公式以及等差数列的性质即可判断选项B ;利用等差数列的性质961014a d a a d a =++=+即可判断选项C ;由0d <可得6140a a d +=<且60a >,140a <即可判断选项D ,进而得出正确选项.【详解】因为{}n a 是等差数列,前n 项和为n S ,由612S S =得:1267891011120S S a a a a a a -=+++++=,即()91030a a +=,即9100a a +=,对于选项A :由9100a a +=得12170a d +=,可得1:17:2a d =-,故选项A 正确; 对于选项B :()()118910181818022a a a a S ++===,故选项B 正确;对于选项C :911691014a a a a a a d d =+=++=+,若0d >,则6140a a d +=>,故选项C 正确;对于选项D :当0d <时,6140a a d +=<,则614a a <-,因为0d <,所以60a >,140a <,所以614a a <,故选项D 不正确, 故选:ABC 【点睛】关键点点睛:本题的关键点是由612S S =得出9100a a +=,熟记等差数列的前n 项和公式和通项公式,灵活运用等差数列的性质即可.29.AD 【分析】对于,作差后利用等差数列的通项公式运算可得答案;对于,根据等差数列的前项和公式得到和, 进而可得,由此可知,故不正确; 对于,由得到,,然后分类讨论的符号可得答案; 对于,由求出及解析:AD 【分析】对于A ,作差后利用等差数列的通项公式运算可得答案;对于B ,根据等差数列的前n 项和公式得到70a >和780a a +<, 进而可得80a <,由此可知78||||a a <,故B 不正确;对于C ,由915S S =得到,12130a a +=,然后分类讨论d 的符号可得答案; 对于D ,由n S 求出n a 及1a ,根据数列{}n a 为等差数列可求得0a =. 【详解】对于A ,因为46191111(3)(5)(8)a a a a a d a d a a d -=++-+215d =,且0d ≠,所以24619150a a a a d -=>,所以4619a a a a >,故A 正确;对于B ,因为130S >,140S <,所以77713()1302a a a +=>,即70a >,787814()7()02a a a a +=+<,即780a a +<,因为70a >,所以80a <,所以7878||||0a a a a -=+<,即78||||a a <,故B 不正确;对于C ,因为915S S =,所以101114150a a a a ++++=,所以12133()0a a +=,即12130a a +=,当0d >时,等差数列{}n a 递增,则12130,0a a <>,所以n S 中的最小值是12S ,无最大值;当0d <时,等差数列{}n a 递减,则12130,0a a ><,所以n S 中的最大值是12S ,无最小值,故C 不正确;对于D ,若2n S n n a =-+,则11a S a ==,2n ≥时,221(1)(1)n n n a S S n n a n n a -=-=-+--+--22n =-,因为数列{}n a 为等差数列,所以12120a a =⨯-==,故D 正确. 故选:AD 【点睛】关键点点睛:熟练掌握等差数列的通项公式、前n 项和公式是解题关键.30.BD 【分析】依据题意,根数从上至下构成等差数列,设首项即第一层的根数为,公差即每一层比上一层多的根数为,设一共放层,利用等差数列求和公式,分析即可得解. 【详解】依据题意,根数从上至下构成等差解析:BD 【分析】依据题意,根数从上至下构成等差数列,设首项即第一层的根数为1a ,公差即每一层比上一层多的根数为1d =,设一共放()2n n ≥层,利用等差数列求和公式,分析即可得解. 【详解】依据题意,根数从上至下构成等差数列,设首项即第一层的根数为1a ,公差为1d =,设一共放()2n n ≥层,则总得根数为:()()111110022n n n d n n S na na --=+=+= 整理得120021a n n=+-, 因为1a *∈N ,所以n 为200的因数,()20012n n+-≥且为偶数, 验证可知5,8n =满足题意. 故选:BD. 【点睛】关键点睛:本题考查等差数列的求和公式,解题的关键是分析题意,把题目信息转化为等差数列,考查学生的逻辑推理能力与运算求解能力,属于基础题.31.ACD 【分析】由题可得,,,求出可判断A ;利用二次函数的性质可判断B ;求出可判断C ;令,解出即可判断D. 【详解】设等差数列的公差为,则,解得, ,,且,对于A ,,故A 正确; 对于B ,的对称解析:ACD 【分析】由题可得16a d =-,0d <,21322n d d S n n =-,求出80a d =<可判断A ;利用二次函数的性质可判断B ;求出49,S S 可判断C ;令213022n d dS n n =->,解出即可判断D. 【详解】设等差数列{}n a 的公差为d ,则()5111122+4++100a a a d a d +==,解得16a d =-,10a >,0d ∴<,且()21113+222n n n d d S na d n n -==-, 对于A ,81+7670a a d d d d ==-+=<,故A 正确;对于B ,21322n d d S n n =-的对称轴为132n =,开口向下,故6n =或7时,n S 取得最大值,故B 错误;对于C ,4131648261822d d S d d d =⨯-⨯=-=-,9138191822d d S d =⨯-⨯=-,故49S S =,故C 正确;对于D ,令213022n d dS n n =->,解得013n <<,故n 的最大值为12,故D 正确. 故选:ACD. 【点睛】方法点睛:由于等差数列()2111+222n n n d d S na d n a n -⎛⎫==+- ⎪⎝⎭是关于n 的二次函数,当1a 与d 异号时,n S 在对称轴或离对称轴最近的正整数时取最值;当1a 与d 同号时,n S 在1n =取最值.32.BD 【分析】设等差数列的公差为,根据条件、、成等差数列可求得与的等量关系,可得出、的表达式,进而可判断各选项的正误. 【详解】设等差数列的公差为,则,, 因为、、成等差数列,则,即, 解得,,解析:BD 【分析】设等差数列{}n a 的公差为d ,根据条件12a 、8S 、9S 成等差数列可求得1a 与d 的等量关系,可得出n a 、n S 的表达式,进而可判断各选项的正误. 【详解】设等差数列{}n a 的公差为d ,则8118788282S a d a d ⨯=+=+,9119899362S a d a d ⨯=+=+, 因为12a 、8S 、9S 成等差数列,则81922S a S =+,即11116562936a d a a d +=++,解得14a d =-,()()115n a a n d n d ∴=+-=-,()()219122n n n d n n d S na --=+=. 对于A 选项,59233412a a d d +=⨯=,()2888942d S d -⨯==-,A 选项错误; 对于B 选项,()2229272d Sd -⨯==-,()2779772d S d -⨯==-,B 选项正确;对于C 选项,()2298192224n d d S n n n ⎡⎤⎛⎫=-=--⎢⎥ ⎪⎝⎭⎢⎥⎣⎦.若0d >,则4S 或5S 最小;若0d <,则4S 或5S 最大.C 选项错误; 对于D 选项,50a =,D 选项正确. 故选:BD. 【点睛】在解有关等差数列的问题时可以考虑化归为a 1和d 等基本量,通过建立方程(组)获得解,另外在求解等差数列前n 项和n S 的最值时,一般利用二次函数的基本性质或者数列的单调性来求解.33.BCD 【分析】根据等差数列和等方差数列定义,结合特殊反例对选项逐一判断即可. 【详解】对于A ,若是等差数列,如,则不是常数,故不是等方差数列,故A 错误; 对于B ,数列中,是常数, 是等方差数解析:BCD 【分析】根据等差数列和等方差数列定义,结合特殊反例对选项逐一判断即可. 【详解】对于A ,若{}n a 是等差数列,如n a n =,则12222(1)21n n a a n n n --=--=-不是常数,故{}n a 不是等方差数列,故A 错误;对于B ,数列(){}1n-中,222121[(1)][(1)]0n n n n a a ---=---=是常数,{(1)}n ∴-是等方差数列,故B 正确;对于C ,数列{}n a 中的项列举出来是,1a ,2a ,,k a ,,2k a ,数列{}kn a 中的项列举出来是,k a ,2k a ,3k a ,,()()()()2222222212132221k k k k k k k k aa a a a a a a p +++++--=-=-==-=,将这k 个式子累加得()()()()2222222212132221k kk k k k k k aa a a a a a a kp +++++--+-+-++-=,222k k a a kp ∴-=,()221kn k n a a kp +∴-=,{}*(,kn a k N ∴∈k 为常数)是等方差数列,故C 正确; 对于D ,{}n a 是等差数列,1n n a a d -∴-=,则设n a dn m =+{}n a 是等方差数列,()()222112(2)n n n n dn m a a a a d a d d n m d d dn d m --∴-=++++=+=++是常数,故220d =,故0d =,所以(2)0m d d +=,2210n n a a --=是常数,故D 正确.故选:BCD. 【点睛】本题考查了数列的新定义问题和等差数列的定义,属于中档题.34.ABC 【分析】由可求得的表达式,利用定义判定得出答案. 【详解】 当时,. 当时,. 当时,上式=. 所以若是等差数列,则所以当时,是等差数列, 时是等比数列;当时,从第二项开始是等差数列.解析:ABC 【分析】由2n S an bn c =++可求得n a 的表达式,利用定义判定得出答案.【详解】当1n =时,11a S a b c ==++.当2n ≥时,()()221112n n n a S S an bn c a n b n c an a b -=-=++-----=-+. 当1n =时,上式=+a b .所以若{}n a 是等差数列,则0.a b a b c c +=++∴=所以当0c 时,{}n a 是等差数列, 0a cb ==⎧⎨≠⎩时是等比数列;当0c ≠时,{}n a 从第二项开始是等差数列. 故选:A B C 【点睛】本题只要考查等差数列前n 项和n S 与通项公式n a 的关系,利用n S 求通项公式,属于基础题.35.AD 【分析】先根据题意得,,再结合等差数列的性质得,,,中最大,,即:.进而得答案. 【详解】解:根据等差数列前项和公式得:, 所以,,由于,, 所以,, 所以,中最大, 由于, 所以,即:解析:AD 【分析】先根据题意得1110a a +>,1120a a +<,再结合等差数列的性质得60a >,70a <,0d <,{}n S 中6S 最大,49a a <-,即:49a a <.进而得答案.【详解】解:根据等差数列前n 项和公式得:()111111102a a S +=>,()112121202a a S +=<所以1110a a +>,1120a a +<, 由于11162a a a +=,11267a a a a +=+, 所以60a >,760a a <-<, 所以0d <,{}n S 中6S 最大, 由于11267490a a a a a a +=+=+<, 所以49a a <-,即:49a a <. 故AD 正确,BC 错误. 故选:AD. 【点睛】本题考查等差数列的前n 项和公式与等差数列的性质,是中档题.。
山东省临沂市沂南县第一中学高一英语联考试卷含解析一、选择题1. -- What made Jack so upset? --- ______ his new MP4.A. That he lost.B. He lostC. Because of having lostD. What he lost参考答案:A略2. The library , the walls of _____ are painted light green, is a peaceful place for us to read in.A. thatB. itC. whatD. which参考答案:D3. My students, ______ you have a heart loving life, you always can find things that would make you happy each day.A. if onlyB. as long asC. as thoughD. even if参考答案:B4. I’ll wait --------- him to introduce himself --------- me.A. for,toB. to, for C . with , to D . for, for参考答案:A5. --- Have you finished your homework?--- No. I ______ Good Voice of China on Zhejiang TV all day yesterday.A.was watchingB.have watchedC.watchD.would watch参考答案:A6. When walking down the street, I came across David, who I _____ for years.A. didn’t seeB. haven’t seenC. hadn’t seenD. wouldn’t se e参考答案:C【详解】考查动词时态。
一、高中英语阅读理解1.阅读理解China Small Group ToursTour Route 1: 11 Days Private Beijing – Lhasa – Xi'an – ShanghaiTour Highlights:Must-see sights in China-the Great Wall, Forbidden City, Terracotta WarriorsFollow us on a Buddhist pilgrimage to Tibet & appreciate the profound cultureHave a leisurely walk or an exciting bicycle ride on the time-honored City Wall of Xi'anView the soaring city skylines and feel the pulse of modern ShanghaiFrom $ 2, 459 per personTour Route 2: 11 Days Private Bejing –Xi'an –Chonqing –Yangtze River Cruise –Yichang –ShanghaiTour Highlights:Must-see sights in China-the Great Wall, Forbidden City, Terracotta WarriorsTry biking on the Ming Dynasty City Wall of Xi' an, or tour by electric carEnjoy the Three Gorges scenery on Yangtze River & feel totally relaxedFrom $ 1, 879 per personTour Route 3: 12 Days Private Beijing – Shanghai – Xi'an – Guilin – Yangshuo – Guilin – Hong KongTour Highlights:Must-see sights in China-the Great Wall, Forbidden City, Terracotta WarriorsExperience the Bund, classical garden, modern and old in contrast in ShanghaiFeel the lively atmosphere & explore busy markets freely in Hong KongWalk into a local family, learn to cook Chinese food & dine with the hosts in their homeFrom $ 2, 499 per personTour Route 4: 12 Days Private Beijing – Xi'an – Chengdu – Guilin – ShanghaiTour Highlights:Must-see sights in China-the Great Wall, Forbidden City, Terracotta Warriors, Giant PandasCome to Chengdu,the hometown of giant pandas to visit and observe the cute creatureCruise on the meandering Li River & admire Guilin landscapeWalk into a local Chinese family, interact & dine with the hosts in their homeFrom $2, 079 per person(1)What do Tour Route 1 and Tour Route 2 have in common?A. They have cycling activities.B. They include a visit to Tibet.C. Visitors enjoy the Three Gorges scenery.D. Visitors pay the same amount of money.(2)What is special about Tour Route 2?A.Tourists can travel by bike.B.Tourists can visit a huge dam.C.Tourists can dine with a family.D.It is the most expensive of the four.(3)Where can visitors enjoy China's rare animals?A.Tour Route 1.B.Tour Route 2.C.Tour Route 3.D.Tour Route 4.【答案】(1)A(2)B(3)D【解析】【分析】本文是一篇应用文,介绍了四条旅游路线。
一、高中英语完形填空1.阅读下面短文,从短文后各题所给的四个选项(A,B,C,D)中,选出可以填入空白处的最佳选项。
One day when I was 15 years old, I had some friends over to hang out. While we were making food in the 1 , my brother came in. He 2 his beef next to my thick one and said, "Courtney, your beef is bigger than mine. You don't need to eat; you're already fat enough." Thenhe walked out, laughing.3 comments on my physical appearance were nothing new. Something inside me4 to his idea that my legs were unacceptable, and that became the last day that I ever willingly wore5 until I was 30 years old. For the next 15 years, I spent summer after summer roasting in long pants.But then I 6 Ragen Chastain, and she changed everything. I couldn't believe that this woman who, like myself, almost 7 300 pounds was so 8 and happy in her own skin. I listened 9 she shared her own journey to recovery and self-love. She talked about how amazing our bodies are, just by 10 of the things they do every day-like 11 , pumping blood to every ceil, blinking and walking..Walking! I was suddenly aware of how foolish I'd been for so long. There're people who are born 12 legs, or who lack properly working legs, or who 13 their legs, and I'd been 14 my perfectly strong, healthy, beautiful legs in 15 because I had allowed someone to 16 me that they weren't good enough. The next day, I bought three pairs of shorts and a sundress and spent the entire summer letting my legs see the sun and feel the 17 .The next time anyone comments on your body in a 18 way, look them straight in the eye, smile and say, "If what you see 19 you so much, feel free to practice the ancient artof looking somewhere else." That's Ragen's original, but I don't think she'll mind 20 you use it.1. A. classroom B. kitchen C. bedroom D. dorm2. A. offered B. devoted C. placed D. organized3. A. Unpleasant B. Eventual C. Regretful D. Skeptical4. A. took up B. got down C. gave in D. tried out5. A. shirts B. shorts C. trousers D. socks6. A. asked B. related C. approved D. met7. A. possessed B. corresponded C. opposed D. weighed8. A. typical B. energetic C. explicit D. genetic9. A. as B. because C. unless D. though10. A. feature B. character C. means D. gender11. A. shopping B. swimming C. breathing D. applauding12. A. with B. despite C. without D. within13. A. waste B. lose C. reject D. keep14. A. hiding B. using C. doubting D. blaming15. A. surprise B. ruins C. astonishment D. shame16. A. advise B. convince C. persuade D. educate17. A. breeze B. warmth C. taste D. freeze18. A. positive B. negative C. different D. specific19. A. abandons B. distributes C. bothers D. benefits20. A. since B. until C. although D. if【答案】(1)B;(2)C;(3)A;(4)C;(5)B;(6)D;(7)D;(8)B;(9)A;(10)C;(11)C;(12)C;(13)B;(14)A;(15)D;(16)B;(17)A;(18)B;(19)C;(20)D;【解析】【分析】本文是一篇记叙文,15年前作者弟弟的一句话让他放弃了穿短裤,而15年后和Ragon的相遇,让作者对自己有了重新的认识。
一、高中英语阅读理解1.阅读理解If conditions get bad enough, almost any kind of weather can become a storm.Stormy weather can cause people to cancel their plans. It can cause major events to be postponed. And severe stormy weather can be dangerous to people, fortune and anima1.If you weather the storm, or ride out the storm, you survive and move on without harm or injury. For example, 1et's talk about Tornado Alley, the name for part of the central United States. During springtime, this area often has a large number of powerful tornadoes. People who live there are taught to shelter in the safest place they can find and wait for the storm to pass. People who live in Tornado Alley are used to weathering many storms!You can also weather a storm, but it does n't involve actual weather. “To weather the storm” can also mean to make it through a difficult experience or trying times. So, if the stock market(股市)crashes, you might have to weather a financial storm.Often before a big storm, conditions are calm. The calm before the storm can happen anytime. It is the time before something bad happens. For example, at the beginning of a family reunion, the adults were all talking happily. But the older children knew it was just the calm before the storm. They've seen it happen before. The adults talk happily for about an hour. Then they start arguing about events from the past—things that should really stay buried!But after the storm begins and you find yourself in the middle of it, you are in the eye of the storm. In the world of weather, the eye of the storm is the calmest part, in the center of a hurricane, for example. However, in the English language, if you are in the eye of the storm, you are in the most intense part of a conflict. For example, she had no idea that walking into the meeting would put her in the eye of the storm.However, a brainstorm does not exist in the world of weather. To brainstorm means to try to solve a problem by talking with other people. And don't worry. If we have trouble thinking of an idea for the next program, we can always brainstorm with you!(1)What's mainly discussed in the 3rd and 4th paragraphs?A. What the meanings of weathering the storm are.B. How we can weather the storm.C. Weathering a storm doesn't involve actual weather.D. People in Tornado Alley can survive the storm.(2)Why does the author mention a family reunion in the fifth paragraph?A. To stress the importance of weather forecast.B. To develop the awareness of family.C. To explain the meaning of an expression.D. To praise the older children for being clever.(3)What can be inferred from the last paragraph?A. A problem can't be solved if you worry too much.B. A brainstorm often appears in the world of weather.C. Difficulties can be dealt with by teamwork.D. To brainstorm can cause troubles in the program.(4)What's the author's purpose in writing the text?A. To tell us stormy weather can cause destruction.B. To tell us some expressions about storm.C. To tell us a storm can cause conflicts.D. To tell us we should be ready for a storm.【答案】(1)A(2)C(3)C(4)B【解析】【分析】这是一篇说明文。
一、复数选择题1.复数()1z i i =⋅+在复平面上对应的点位于( ) A .第一象限B .第二象限C .第三象限D .第四象限2.复数3(23)i +(其中i 为虚数单位)的虚部为( )A .9iB .46i -C .9D .46- 3.若20212zi i =+,则z =( )A .12i -+B .12i --C .12i -D .12i +4.若复数z 为纯虚数,且()373z i m i -=+,则实数m 的值为( ) A .97-B .7C .97D .7-5.若复数(2)z i i =+(其中i 为虚数单位),则复数z 的模为( ) A .5 BC.D .5i 6.在复平面内复数Z=i (1﹣2i )对应的点位于( )A .第一象限B .第二象限C .第三象限D .第四象限7.设1z 是虚数,2111z z z =+是实数,且211z -≤≤,则1z 的实部取值范围是( ) A .[]1,1-B .11,22⎡⎤-⎢⎥⎣⎦ C .[]22-,D .11,00,22⎡⎫⎛⎤-⋃⎪ ⎢⎥⎣⎭⎝⎦8.满足313i z i ⋅=-的复数z 的共扼复数是( ) A .3i -B .3i --C .3i +D .3i -+9.已知复数()211i z i-=+,则z =( )A .1i --B .1i -+C .1i +D .1i -10.已知复数z 满足22z z =,则复数z 在复平面内对应的点(),x y ( ) A .恒在实轴上 B .恒在虚轴上C .恒在直线y x =上D .恒在直线y x=-上11.已知复数1z i =+,z 为z 的共轭复数,则()1z z ⋅+=( ) AB .2C .10D12.已知i 是虚数单位,2i z i ⋅=+,则复数z 的共轭复数的模是( ) A .5BCD .313.已知i 是虚数单位,设11iz i,则复数2z +对应的点位于复平面( ) A .第一象限B .第二象限C .第三象限D .第四象限14.设复数202011i z i+=-(其中i 为虚数单位),则z 在复平面内对应的点所在象限为( ) A .第四象限B .第三象限C .第二象限D .第一象限15.设复数满足(12)i z i +=,则||z =( )A .15B C D .5二、多选题16.已知复数202011i z i+=-(i 为虚数单位),则下列说法错误的是( )A .z 的实部为2B .z 的虚部为1C .z i =D .||z =17.若复数351iz i-=-,则( )A .z =B .z 的实部与虚部之差为3C .4z i =+D .z 在复平面内对应的点位于第四象限18.(多选题)已知集合{},nM m m i n N ==∈,其中i 为虚数单位,则下列元素属于集合M 的是( ) A .()()11i i -+ B .11ii-+ C .11ii+- D .()21i -19.已知复数12z =-+(其中i 为虚数单位,,则以下结论正确的是( ). A .20zB .2z z =C .31z =D .1z =20.下列说法正确的是( )A .若2z =,则4z z ⋅=B .若复数1z ,2z 满足1212z z z z +=-,则120z z =C .若复数z 的平方是纯虚数,则复数z 的实部和虛部相等D .“1a ≠”是“复数()()()211z a a i a R =-+-∈是虚数”的必要不充分条件21.下列结论正确的是( )A .已知相关变量(),x y 满足回归方程ˆ9.49.1yx =+,则该方程相应于点(2,29)的残差为1.1B .在两个变量y 与x 的回归模型中,用相关指数2R 刻画回归的效果,2R 的值越大,模型的拟合效果越好C .若复数1z i =+,则2z =D .若命题p :0x R ∃∈,20010x x -+<,则p ⌝:x R ∀∈,210x x -+≥22.已知复数1z i =+(其中i 为虚数单位),则以下说法正确的有( )A .复数z 的虚部为iB .z =C .复数z 的共轭复数1z i =-D .复数z 在复平面内对应的点在第一象限23.已知复数12z =-+(其中i 为虚数单位),则以下结论正确的是( )A .20zB .2z z =C .31z =D .1z =24.已知复数12ω=-,其中i 是虚数单位,则下列结论正确的是( )A .1ω=B .2ω的虚部为C .31ω=-D .1ω在复平面内对应的点在第四象限25.已知复数z 的共轭复数为z ,且1zi i =+,则下列结论正确的是( )A .1z +=B .z 虚部为i -C .202010102z =-D .2z z z +=26.以下为真命题的是( ) A .纯虚数z 的共轭复数等于z -B .若120z z +=,则12z z =C .若12z z +∈R ,则1z 与2z 互为共轭复数D .若120z z -=,则1z 与2z 互为共轭复数27.已知复数z a =+在复平面内对应的点位于第二象限,且2z = 则下列结论正确的是( ).A .38z =B .zC .z 的共轭复数为1D .24z =28.对于复数(,)z a bi a b R =+∈,下列结论错误..的是( ). A .若0a =,则a bi +为纯虚数 B .若32a bi i -=+,则3,2a b == C .若0b =,则a bi +为实数D .纯虚数z 的共轭复数是z -29.已知i 为虚数单位,下列说法正确的是( ) A .若,x y R ∈,且1x yi i +=+,则1x y == B .任意两个虚数都不能比较大小C .若复数1z ,2z 满足22120z z +=,则120z z == D .i -的平方等于130.设复数z 满足12z i =--,i 为虚数单位,则下列命题正确的是( )A .|z |=B .复数z 在复平面内对应的点在第四象限C .z 的共轭复数为12i -+D .复数z 在复平面内对应的点在直线2y x =-上【参考答案】***试卷处理标记,请不要删除一、复数选择题 1.B 【分析】先利用复数的乘法化简复数z ,再利用复数的几何意义求解. 【详解】 因为复数,所以在复数z 复平面上对应的点位于第二象限 故选:B 解析:B 【分析】先利用复数的乘法化简复数z ,再利用复数的几何意义求解. 【详解】因为复数()11z i i i =⋅+=-+,所以在复数z 复平面上对应的点位于第二象限 故选:B2.C 【分析】应用复数相乘的运算法则计算即可. 【详解】 解:所以的虚部为9. 故选:C.解析:C 【分析】应用复数相乘的运算法则计算即可. 【详解】解:()()()32351223469i i i i +=-++=-+ 所以()323i +的虚部为9. 故选:C.3.C 【分析】根据复数单位的幂的周期性和复数除法的运算法则进行求解即可. 【详解】由已知可得,所以. 故选:C解析:C 【分析】根据复数单位i 的幂的周期性和复数除法的运算法则进行求解即可. 【详解】 由已知可得202150541222(2)21121i i i i i i z i i i i i i ⨯+++++⋅-======-⋅-,所以12z i =-. 故选:C4.B 【分析】先求出,再解不等式组即得解. 【详解】 依题意,,因为复数为纯虚数, 故,解得. 故选:B 【点睛】易错点睛:复数为纯虚数的充要条件是且,不要只写.本题不能只写出,还要写上.解析:B 【分析】 先求出321795858m m z i -+=+,再解不等式组3210790m m -=⎧⎨+≠⎩即得解.【详解】 依题意,()()()()3373321793737375858m i i m i m m z i i i i +++-+===+--+, 因为复数z 为纯虚数,故3210790m m -=⎧⎨+≠⎩,解得7m =.故选:B 【点睛】易错点睛:复数(,)z a bi a b R =+∈为纯虚数的充要条件是0a =且0b ≠,不要只写0b ≠.本题不能只写出790m +≠,还要写上3210m -=.5.B 【分析】由已知等式,利用复数的运算法则化简复数,即可求其模.【详解】,所以,故选:B解析:B【分析】由已知等式,利用复数的运算法则化简复数,即可求其模.【详解】z i i i=+=-(2)21,所以|z|=故选:B6.A【解析】试题分析:根据复数乘法的运算法则,我们可以将复数Z化为a=bi(a,b∈R)的形式,分析实部和虚部的符号,即可得到答案.解:∵复数Z=i(1﹣2i)=2+i∵复数Z的实部2>0,虚解析:A【解析】试题分析:根据复数乘法的运算法则,我们可以将复数Z化为a=bi(a,b∈R)的形式,分析实部和虚部的符号,即可得到答案.解:∵复数Z=i(1﹣2i)=2+i∵复数Z的实部2>0,虚部1>0∴复数Z在复平面内对应的点位于第一象限故选A点评:本题考查的知识是复数的代数表示法及其几何意义,其中根据复数乘法的运算法则,将复数Z化为a=bi(a,b∈R)的形式,是解答本题的关键.7.B【分析】设,由是实数可得,即得,由此可求出.【详解】设,,则,是实数,,则,,则,解得,故的实部取值范围是.故选:B.解析:B【分析】设1z a bi =+,由2111z z z =+是实数可得221a b +=,即得22z a =,由此可求出1122a -≤≤. 【详解】设1z a bi =+,0b ≠, 则21222222111a bi a b z z a bi a bi a b i z a bi a b a b a b -⎛⎫⎛⎫=+=++=++=++- ⎪ ⎪++++⎝⎭⎝⎭, 2z 是实数,220bb a b∴-=+,则221a b +=, 22z a ∴=,则121a -≤≤,解得1122a -≤≤,故1z 的实部取值范围是11,22⎡⎤-⎢⎥⎣⎦.故选:B.8.A 【分析】根据,利用复数的除法运算化简复数,再利用共扼复数的概念求解. 【详解】 因为, 所以,复数的共扼复数是, 故选:A解析:A 【分析】根据313i z i ⋅=-,利用复数的除法运算化简复数,再利用共扼复数的概念求解. 【详解】因为313i z i ⋅=-, 所以()13133iz i i i i-==-=+-, 复数z 的共扼复数是3z i =-, 故选:A9.B 【分析】根据复数的除法运算法则求出复数,然后根据共轭复数的概念即可得解. 【详解】 由题意可得,则.故答案为:B解析:B 【分析】根据复数的除法运算法则求出复数z ,然后根据共轭复数的概念即可得解. 【详解】由题意可得()()()()()212111111i i i z i i i ii i ---===--=--++-,则1z i =-+.故答案为:B10.A 【分析】先由题意得到,然后分别计算和,再根据得到关于,的方程组并求解,从而可得结果. 【详解】由复数在复平面内对应的点为得,则,, 根据得,得,.所以复数在复平面内对应的点恒在实轴上, 故解析:A 【分析】先由题意得到z x yi =+,然后分别计算2z 和2z ,再根据22z z =得到关于x ,y 的方程组并求解,从而可得结果. 【详解】由复数z 在复平面内对应的点为(),x y 得z x yi =+,则2222z x y xyi =-+,222z x y =+,根据22z z =得222220x y x y xy ⎧-=+⎨=⎩,得0y =,x ∈R .所以复数z 在复平面内对应的点(),x y 恒在实轴上, 故选:A .11.D 【分析】求出共轭复数,利用复数的乘法运算以及复数的求模公式可得答案. 【详解】 因为, 所以,, 所以,故选:D.解析:D 【分析】求出共轭复数,利用复数的乘法运算以及复数的求模公式可得答案. 【详解】 因为1z i =+,所以1z i =-,12z i +=+,所以()()()1123z z i i i ⋅+=-⋅+=-== 故选:D.12.C 【分析】首先求出复数的共轭复数,再求模长即可. 【详解】 据题意,得,所以的共轭复数是,所以. 故选:C.解析:C 【分析】首先求出复数z 的共轭复数,再求模长即可. 【详解】 据题意,得22(2)12121i i i iz i i i ++-+====--,所以z 的共轭复数是12i +,所以z =. 故选:C.13.A 【分析】由复数的除法求出,然后得出,由复数的几何意义得结果. 【详解】 由已知,,对应点为,在第一象限, 故选:A.解析:A 【分析】由复数的除法求出z i =-,然后得出2z +,由复数的几何意义得结果. 【详解】由已知(1)(1)(1)(1)i i z i i i --==-+-,222z i i +=-+=+,对应点为(2,1),在第一象限,故选:A.14.A 【分析】根据复数的运算,先将化简,求出,再由复数的几何意义,即可得出结果. 【详解】 因为,所以,其在复平面内对应的点为,位于第四象限. 故选:A.解析:A 【分析】根据复数的运算,先将z 化简,求出z ,再由复数的几何意义,即可得出结果. 【详解】因为()()()()4202050550512111121111111i i i z i i ii i i i ++++======+-----+, 所以1z i =-,其在复平面内对应的点为()1,1-,位于第四象限. 故选:A.15.B 【分析】利用复数除法运算求得,再求得. 【详解】 依题意, 所以. 故选:B解析:B 【分析】利用复数除法运算求得z ,再求得z . 【详解】依题意()()()12221121212555i i i i z i i i i -+====+++-,所以z ==故选:B二、多选题16.AC【分析】根据复数的运算及复数的概念即可求解.【详解】因为复数,所以z 的虚部为1,,故AC 错误,BD 正确.故选:AC解析:AC【分析】根据复数的运算及复数的概念即可求解.【详解】 因为复数2020450511()22(1)11112i i i z i i i i +++=====+---,所以z 的虚部为1,||z =故AC 错误,BD 正确.故选:AC17.AD【分析】根据复数的运算先求出复数z ,再根据定义、模、几何意义即可求出.【详解】解:,,z 的实部为4,虚部为,则相差5,z 对应的坐标为,故z 在复平面内对应的点位于第四象限,所以AD 正解析:AD【分析】根据复数的运算先求出复数z ,再根据定义、模、几何意义即可求出.【详解】 解:()()()()351358241112i i i i z i i i i -+--====---+,z ∴==z 的实部为4,虚部为1-,则相差5,z 对应的坐标为()41-,,故z 在复平面内对应的点位于第四象限,所以AD 正确,18.BC【分析】根据集合求出集合内部的元素,再对四个选项依次化简即可得出选项.【详解】根据题意,中,时,;时,;时,;时,,.选项A 中,;选项B 中,;选项C 中,;选项D 中,.解析:BC【分析】根据集合求出集合内部的元素,再对四个选项依次化简即可得出选项.【详解】 根据题意,{},n M m m i n N ==∈中, ()4n k k N =∈时,1n i =;()41n k k N =+∈时,n i i =;()42n k k N =+∈时,1n i =-;()43n k k N =+∈时,n i i =-,{}1,1,,M i i ∴=--.选项A 中,()()112i i M -+=∉;选项B 中,()()()211111i i i i i i M --==-+-∈+; 选项C 中,()()()211111i i i i i i M ++==-+∈-; 选项D 中,()212i i M -=-∉.故选:BC.【点睛】此题考查复数的基本运算,涉及复数的乘方和乘法除法运算,准确计算才能得解.【分析】计算出,即可进行判断.【详解】,,故B 正确,由于复数不能比较大小,故A 错误;,故C 正确;,故D 正确.故选:BCD.【点睛】本题考查复数的相关计算,属于基础题.解析:BCD【分析】 计算出23,,,z z z z ,即可进行判断.【详解】122z =-+, 221313i i=2222z z ,故B 正确,由于复数不能比较大小,故A 错误; 33131313i i i 1222222z ,故C 正确; 2213122z,故D 正确.故选:BCD.【点睛】 本题考查复数的相关计算,属于基础题.20.AD【分析】由求得判断A ;设出,,证明在满足时,不一定有判断B ;举例说明C 错误;由充分必要条件的判定说明D 正确.【详解】若,则,故A 正确;设,由,可得则,而不一定为0,故B 错误;当时解析:AD【分析】 由z 求得z z ⋅判断A ;设出1z ,2z ,证明在满足1212z z z z +=-时,不一定有120z z =判断B ;举例说明C 错误;由充分必要条件的判定说明D 正确.【详解】 若2z =,则24z z z ⋅==,故A 正确;设()11111,z a bi a b R =+∈,()22222,z a b i a b R =+∈ 由1212z z z z +=-,可得()()()()222222121212121212z z a a b b z z a a b b +=+++=-=-+-则12120a a b b +=,而()()121122121212121212122z z a bi a b i a a bb a b i b a i a a a b i b a i =++=-++=++不一定为0,故B 错误;当1z i =-时22z i =-为纯虚数,其实部和虚部不相等,故C 错误;若复数()()()211z a a i a R =-+-∈是虚数,则210a -≠,即1a ≠± 所以“1a ≠”是“复数()()()211z a a i a R =-+-∈是虚数”的必要不充分条件,故D 正确; 故选:AD【点睛】本题考查的是复数的相关知识,考查了学生对基础知识的掌握情况,属于中档题.21.ABD【分析】根据残差的计算方法判断A ,根据相关指数的性质判断B ,根据复数的模长公式判断C ,根据否定的定义判断D.【详解】当时,,则该方程相应于点(2,29)的残差为,则A 正确;在两个变量解析:ABD【分析】根据残差的计算方法判断A ,根据相关指数的性质判断B ,根据复数的模长公式判断C ,根据否定的定义判断D.【详解】当2x =时,ˆ9.429.127.9y=⨯+=,则该方程相应于点(2,29)的残差为2927.9 1.1-=,则A 正确;在两个变量y 与x 的回归模型中,2R 的值越大,模型的拟合效果越好,则B 正确;1z i =-,z ==C 错误;由否定的定义可知,D 正确;故选:ABD【点睛】本题主要考查了残差的计算,求复数的模,特称命题的否定,属于中档题. 22.BCD【分析】根据复数的概念判定A 错,根据复数模的计算公式判断B 正确,根据共轭复数的概念判断C 正确,根据复数的几何意义判断D 正确.【详解】因为复数,所以其虚部为,即A 错误;,故B 正确;解析:BCD【分析】根据复数的概念判定A 错,根据复数模的计算公式判断B 正确,根据共轭复数的概念判断C 正确,根据复数的几何意义判断D 正确.【详解】因为复数1z i =+, 所以其虚部为1,即A 错误;z ==B 正确;复数z 的共轭复数1z i =-,故C 正确;复数z 在复平面内对应的点为()1,1,显然位于第一象限,故D 正确.故选:BCD.【点睛】本题主要考查复数的概念,复数的模,复数的几何意义,以及共轭复数的概念,属于基础题型.23.BCD【分析】利用复数的运算法则直接求解.【详解】解:复数(其中为虚数单位),,故错误;,故正确;,故正确;.故正确.故选:.【点睛】本题考查命题真假的判断,考查复数的运算法则解析:BCD【分析】利用复数的运算法则直接求解.【详解】解:复数12z =-(其中i 为虚数单位),2131442z ∴=-=--,故A 错误; 2z z ∴=,故B 正确;31113()()12244z =--+=+=,故C 正确;||1z ==.故D 正确. 故选:BCD .【点睛】本题考查命题真假的判断,考查复数的运算法则等基础知识,考查运算求解能力,属于基础题.24.AB【分析】求得、的虚部、、对应点所在的象限,由此判断正确选项.【详解】依题意,所以A 选项正确;,虚部为,所以B 选项正确;,所以C 选项错误;,对应点为,在第三象限,故D 选项错误.故选解析:AB【分析】 求得ω、2ω的虚部、3ω、1ω对应点所在的象限,由此判断正确选项.【详解】依题意1ω==,所以A 选项正确;2211312442ω⎛⎫=-+=-=- ⎪ ⎪⎝⎭,虚部为,所以B 选项正确;22321111222ωωω⎛⎫⎛⎫⎛⎫=⋅=--⋅-+=-+= ⎪ ⎪ ⎪ ⎪ ⎪⎝⎭⎝⎭⎝⎭⎝⎭,所以C 选项错误;221111222122ω---====-⎛⎛⎫-+ ⎪⎝⎭⎝⎭⎝⎭⎝⎭,对应点为1,22⎛⎫-- ⎪ ⎪⎝⎭,在第三象限,故D 选项错误. 故选:AB【点睛】本小题主要考查复数的概念和运算,考查复数对应点所在象限,属于基础题.25.ACD【分析】先利用题目条件可求得,再根据复数的模的计算公式,以及复数的有关概念和复数的四则运算法则即可判断各选项的真假.【详解】由可得,,所以,虚部为;因为,所以,.故选:ACD .【解析:ACD【分析】先利用题目条件可求得z ,再根据复数的模的计算公式,以及复数的有关概念和复数的四则运算法则即可判断各选项的真假.【详解】由1zi i =+可得,11i z i i+==-,所以12z i +=-==,z 虚部为1-;因为2422,2z i z =-=-,所以()5052020410102z z ==-,2211z z i i i z +=-++=-=.故选:ACD .【点睛】本题主要考查复数的有关概念的理解和运用,复数的模的计算公式的应用,复数的四则运算法则的应用,考查学生的数学运算能力,属于基础题. 26.AD【分析】根据纯虚数的概念即可判断A 选项;根据实数、复数的运算、以及共轭复数的定义即可判断BCD 选项.【详解】解:对于A ,若为纯虚数,可设,则,即纯虚数的共轭复数等于,故A 正确;对于B解析:AD【分析】根据纯虚数的概念即可判断A 选项;根据实数、复数的运算、以及共轭复数的定义即可判断BCD 选项.【详解】解:对于A ,若z 为纯虚数,可设()0z bi b =≠,则z bi z =-=-,即纯虚数z 的共轭复数等于z -,故A 正确;对于B ,由120z z +=,得出12z z =-,可设11z i =+,则21z i =--, 则21z i =-+,此时12z z ≠,故B 错误;对于C ,设12,z a bi z c di =+=+,则()()12a c b d i R z z =++++∈,则0b d +=, 但,a c 不一定相等,所以1z 与2z 不一定互为共轭复数,故C 错误;对于D ,120z z -=,则12z z =,则1z 与2z 互为共轭复数,故D 正确.故选:AD.【点睛】本题考查与复数有关的命题的真假性,考查复数的基本概念和运算,涉及实数、纯虚数和共轭复数的定义,属于基础题. 27.AB【分析】利用复数的模长运算及在复平面内对应的点位于第二象限求出 ,再验算每个选项得解.【详解】解:,且,复数在复平面内对应的点位于第二象限选项A:选项B: 的虚部是选项C:解析:AB【分析】利用复数2z =的模长运算及z a =+在复平面内对应的点位于第二象限求出a ,再验算每个选项得解.【详解】解:z a =+,且2z =224a +∴=,=1a ±复数z a =+在复平面内对应的点位于第二象限1a ∴=-选项A : 3323(1)(1)+3(1)+3())8-+=---+=选项B : 1z =-选项C : 1z =-的共轭复数为1z =--选项D : 222(1)(1)+2()2-+=--=--故选:AB .【点睛】本题考查复数的四则运算及共轭复数,考查运算求解能力.求解与复数概念相关问题的技巧:复数的分类、复数的相等、复数的模及共轭复数的概念都与复数的实部、虚部有关,所以解答与复数相关概念有关的问题时,需把所给复数化为代数形式,即()a bi a b R ∈+,的形式,再根据题意求解.28.AB【分析】由复数的代数形式的运算,逐个选项验证可得.【详解】解:因为当且时复数为纯虚数,此时,故A 错误,D 正确;当时,复数为实数,故C 正确;对于B :,则即,故B 错误;故错误的有AB解析:AB【分析】由复数的代数形式的运算,逐个选项验证可得.【详解】解:因为(,)z a bi a b R =+∈当0a =且0b ≠时复数为纯虚数,此时z bi z =-=-,故A 错误,D 正确;当0b =时,复数为实数,故C 正确;对于B :32a bi i -=+,则32a b =⎧⎨-=⎩即32a b =⎧⎨=-⎩,故B 错误; 故错误的有AB ;故选:AB【点睛】本题考查复数的代数形式及几何意义,属于基础题.29.AB【分析】利用复数相等可选A ,利用虚数不能比较大小可选B ,利用特值法可判断C 错误,利用复数的运算性质可判断D 错误.【详解】对于选项A ,∵,且,根据复数相等的性质,则,故正确;对于选项B ,解析:AB【分析】利用复数相等可选A ,利用虚数不能比较大小可选B ,利用特值法可判断C 错误,利用复数的运算性质可判断D 错误.【详解】对于选项A ,∵,x y R ∈,且1x yi i +=+,根据复数相等的性质,则1x y ==,故正确;对于选项B ,∵虚数不能比较大小,故正确;对于选项C ,∵若复数1=z i ,2=1z 满足22120z z +=,则120z z ≠≠,故不正确; 对于选项D ,∵复数()2=1i --,故不正确;故选:AB .【点睛】本题考查复数的相关概念,涉及复数的概念、复数相等、复数计算等知识,属于基础题. 30.AC【分析】根据复数的模、复数对应点的坐标、共轭复数等知识,选出正确选项.【详解】,A 正确;复数z 在复平面内对应的点的坐标为,在第三象限,B 不正确;z 的共轭复数为,C 正确;复数z 在复平面内对解析:AC【分析】根据复数的模、复数对应点的坐标、共轭复数等知识,选出正确选项.【详解】||z ==A 正确;复数z 在复平面内对应的点的坐标为(1,2)--,在第三象限,B 不正确;z 的共轭复数为12i -+,C 正确;复数z 在复平面内对应的点(1,2)--不在直线2y x =-上,D 不正确.故选:AC【点睛】本小题主要考查复数的有关知识,属于基础题.。
一、等差数列选择题1.已知数列{}n a 中,132a =,且满足()*1112,22n n n a a n n N -=+≥∈,若对于任意*n N ∈,都有n a nλ≥成立,则实数λ的最小值是( ) A .2B .4C .8D .162.等差数列{}n a 的公差为2,若248,,a a a 成等比数列,则9S =( ) A .72B .90C .36D .453.设数列{}n a 的前n 项和21n S n =+. 则8a 的值为( ).A .65B .16C .15D .144.已知n S 为等差数列{}n a 的前n 项和,3518a S +=,633a a =+,则n a =( ) A .1n -B .nC .21n -D .2n5.等差数列{}n a 中,12318192024,78a a a a a a ++=-++=,则此数列的前20项和等于( ) A .160B .180C .200D .2206.《周髀算经》是中国最古老的天文学和数学著作,它揭示日月星辰的运行规律.其记载“阴阳之数,日月之法,十九岁为一章,四章为一部,部七十六岁,二十部为一遂,遂千百五二十岁”.现恰有30人,他们的年龄(都为正整数)之和恰好为一遂(即1520),其中年长者年龄介于90至100,其余29人的年龄依次相差一岁,则最年轻者的年龄为( ) A .32B .33C .34D .357.已知等差数列{}n a 的前n 项和为n S ,且110a =,56S S ≥,下列四个命题:①公差d 的最大值为2-;②70S <;③记n S 的最大值为M ,则M 的最大值为30;④20192020a a >.其真命题的个数是( ) A .4个B .3个C .2个D .1个 8.等差数列{}n a 的前n 项和为n S ,若12a =,315S =,则8a =( ) A .11B .12C .23D .249.等差数列{}n a 中,已知14739a a a ++=,则4a =( ) A .13B .14C .15D .1610.若两个等差数列{}n a ,{}n b 的前n 项和分别为n S 和n T ,且3221n n S n T n +=+,则1215a b =( ) A .32B .7059C .7159D .8511.已知数列{}n a 中,12(2)n n a a n --=≥,且11a =,则这个数列的第10项为( )A .18B .19C .20D .2112.设等差数列{}n a 的前n 项和为n S ,若2938a a a +=+,则15S =( ) A .60B .120C .160D .24013.在数列{}n a 中,129a =-,()*13n n a a n +=+∈N ,则1220a a a +++=( )A .10B .145C .300D .32014.设等差数列{}n a 的前n 项和为n S ,且71124a a -=,则5S =( ) A .15B .20C .25D .3015.已知数列{}n a 的前项和221n S n =+,n *∈N ,则5a =( )A .20B .17C .18D .1916.冬春季节是流感多发期,某地医院近30天每天入院治疗流感的人数依次构成数列{}n a ,已知11a =,22a=,且满足()211+-=+-nn n a a (n *∈N ),则该医院30天入院治疗流感的共有( )人A .225B .255C .365D .46517.已知等差数列{}n a 的前n 项和为n S ,且2n S n =.定义数列{}n b 如下:()*1m m b m m+∈N 是使不等式()*n a m m ≥∈N 成立的所有n 中的最小值,则13519 b b b b ++++=( )A .25B .50C .75D .10018.“中国剩余定理”又称“孙子定理”,1852年英国来华传教伟烈亚力将《孙子算经》中“物不知数”问题的解法传至欧洲.1874年,英国数学家马西森指出此法符合1801年由高斯得出的关于同余式解法的一般性定理,因而西方称之为“中国剩余定理”.“中国剩余定理”讲的是一个关于整除的问题,现有这样一个整除问题:将正整数中能被3除余2且被7除余2的数按由小到大的顺序排成一列,构成数列{} n a ,则5a =( ) A .103 B .107 C .109 D .105 19.若等差数列{a n }满足a 2=20,a 5=8,则a 1=( )A .24B .23C .17D .1620.已知等差数列{}n a 中,前n 项和215n S n n =-,则使n S 有最小值的n 是( )A .7B .8C .7或8D .9二、多选题21.已知数列{}n a 的前n 项和为()0n n S S ≠,且满足140(2)n n n a S S n -+=≥,114a =,则下列说法错误的是( ) A .数列{}n a 的前n 项和为4n S n =B .数列{}n a 的通项公式为14(1)n a n n =+C .数列{}n a 为递增数列D .数列1n S ⎧⎫⎨⎬⎩⎭为递增数列 22.已知数列{}n a 是等差数列,前n 项和为,n S 且13522,a a S +=下列结论中正确的是( ) A .7S 最小B .130S =C .49S S =D .70a =23.(多选)在数列{}n a 中,若221(2,,n n a a p n n N p *--=≥∈为常数),则称{}n a 为“等方差数列”.下列对“等方差数列”的判断正确的是( ) A .若{}n a 是等差数列,则{}n a 是等方差数列 B .(){}1n- 是等方差数列C .{}2n是等方差数列.D .若{}n a 既是等方差数列,又是等差数列,则该数列为常数列24.题目文件丢失!25.已知数列{}n a 满足0n a >,121n n n a na a n +=+-(N n *∈),数列{}n a 的前n 项和为n S ,则( )A .11a =B .121a a =C .201920202019S a =D .201920202019S a >26.意大利人斐波那契于1202年从兔子繁殖问题中发现了这样的一列数:1,1,2,3,5,8,13,….即从第三项开始,每一项都是它前两项的和.后人为了纪念他,就把这列数称为斐波那契数列.下面关于斐波那契数列{}n a 说法正确的是( ) A .1055a = B .2020a 是偶数C .2020201820223a a a =+D .123a a a +++…20202022a a +=27.记n S 为等差数列{}n a 的前n 项和.已知450,5S a ==,则( ) A .25n a n =-B .310na nC .228n S n n =- D .24n S n n =-28.在数列{}n a 中,若22*1(2,.n n a a p n n N p --=≥∈为常数),则称{}n a 为“等方差数列”.下列对“等方差数列”的判断正确的是( ) A .若{}n a 是等差数列,则{}n a 是等方差数列 B .{(1)}n -是等方差数列C .若{}n a 是等方差数列,则{}()*,kn a k Nk ∈为常数)也是等方差数列D .若{}n a 既是等方差数列,又是等差数列,则该数列为常数列29.数列{}n a 满足11,121nn n a a a a +==+,则下列说法正确的是( ) A .数列1n a ⎧⎫⎨⎬⎩⎭是等差数列B .数列1n a ⎧⎫⎨⎬⎩⎭的前n 项和2n S n =C .数列{}n a 的通项公式为21n a n =-D .数列{}n a 为递减数列30.首项为正数,公差不为0的等差数列{}n a ,其前n 项和为n S ,现有下列4个命题中正确的有( )A .若100S =,则280S S +=;B .若412S S =,则使0n S >的最大的n 为15C .若150S >,160S <,则{}n S 中8S 最大D .若78S S <,则89S S <【参考答案】***试卷处理标记,请不要删除一、等差数列选择题 1.A 【分析】 将11122n n n a a -=+变形为11221n n n n a a --=+,由等差数列的定义得出22n n n a +=,从而得出()22nn n λ+≥,求出()max22n n n +⎡⎤⎢⎥⎣⎦的最值,即可得出答案. 【详解】 因为2n ≥时,11122n n n a a -=+,所以11221n n n n a a --=+,而1123a = 所以数列{}2nn a 是首项为3公差为1的等差数列,故22nn a n =+,从而22n n n a +=. 又因为n a n λ≥恒成立,即()22nn n λ+≥恒成立,所以()max 22n n n λ+⎡⎤≥⎢⎥⎣⎦. 由()()()()()()()1*121322,221122n n nn n n n n n n n n n n +-⎧+++≥⎪⎪∈≥⎨+-+⎪≥⎪⎩N 得2n =所以()()2max2222222n n n +⨯+⎡⎤==⎢⎥⎣⎦,所以2λ≥,即实数λ的最小值是2 故选:A 2.B 【分析】由题意结合248,,a a a 成等比数列,有2444(4)(8)a a a =-+即可得4a ,进而得到1a 、n a ,即可求9S . 【详解】由题意知:244a a =-,848a a =+,又248,,a a a 成等比数列,∴2444(4)(8)a a a =-+,解之得48a =,∴143862a a d =-=-=,则1(1)2n a a n d n =+-=,∴99(229)902S ⨯+⨯==,故选:B 【点睛】思路点睛:由其中三项成等比数列,利用等比中项性质求项,进而得到等差数列的基本量 1、由,,m k n a a a 成等比,即2k m n a a a =; 2、等差数列前n 项和公式1()2n n n a a S +=的应用. 3.C 【分析】利用()12n n n a S S n -=-≥得出数列{}n a 的通项公差,然后求解8a . 【详解】由21n S n =+得,12a =,()2111n S n -=-+,所以()221121n n n a S S n n n -=-=--=-, 所以2,121,2n n a n n =⎧=⎨-≥⎩,故828115a =⨯-=.故选:C. 【点睛】本题考查数列的通项公式求解,较简单,利用()12n n n a S S n -=-≥求解即可. 4.B 【分析】根据条件列出关于首项和公差的方程组,求解出首项和公差,则等差数列{}n a 的通项公式可求.【详解】因为3518a S +=,633a a =+,所以11161218523a d a d a d +=⎧⎨+=++⎩, 所以111a d =⎧⎨=⎩,所以()111n a n n =+-⨯=, 故选:B. 5.B 【分析】把已知的两式相加得到12018a a +=,再求20S 得解. 【详解】由题得120219318()()()247854a a a a a a +++++=-+=, 所以1201203()54,18a a a a +=∴+=. 所以2012020()10181802S a a =+=⨯=. 故选:B 6.D 【分析】设年纪最小者年龄为n ,年纪最大者为m ,由他们年龄依次相差一岁得出(1)(2)(28)1520n n n n m ++++++++=,结合等差数列的求和公式得出111429m n =-,再由[]90,100m ∈求出n 的值.【详解】根据题意可知,这30个老人年龄之和为1520,设年纪最小者年龄为n ,年纪最大者为m ,[]90,100m ∈,则有(1)(2)(28)294061520n n n n m n m ++++++++=++=则有291114n m +=,则111429m n =-,所以90111429100m ≤-≤ 解得34.96635.31n ≤≤,因为年龄为整数,所以35n =. 故选:D 7.B 【分析】设公差为d ,利用等差数列的前n 项和公式,56S S ≥,得2d ≤-,由前n 项和公式,得728S ≤,同时可得n S 的最大值,2d =-,5n =或6n =时取得,结合递减数列判断D . 【详解】设公差为d ,由已知110a =,56S S ≥,得5101061015d d ⨯+≥⨯+,所以2d ≤-,A 正确;所以7710217022128S d =⨯+≤-⨯=,B 错误;1(1)10(1)0n a a n d n d =+-=+-≥,解得101n d≤-+,11100n a a nd nd +=+=+≤,解得10n d≥-, 所以10101n d d-≤≤-+,当2d =-时,56n ≤≤, 当5n =时,有最大值,此时51010(2)30M =⨯+⨯-=,当6n =时,有最大值,此时61015(2)30M =⨯+⨯-=,C 正确. 又该数列为递减数列,所以20192020a a >,D 正确. 故选:B . 【点睛】关键点点睛:本题考查等差数列的前n 项和,掌握等差数列的前n 和公式与性质是解题关键.等差数列前n 项和n S 的最大值除可利用二次函数性质求解外还可由10n n a a +≥⎧⎨≤⎩求得.8.C 【分析】由题设求得等差数列{}n a 的公差d ,即可求得结果. 【详解】32153S a ==,25a ∴=, 12a =,∴公差213d a a =-=, 81727323a a d ∴=+=+⨯=,故选:C. 9.A 【分析】利用等差数列的性质可得1742a a a +=,代入已知式子即可求解. 【详解】由等差数列的性质可得1742a a a +=, 所以1474339a a a a ++==,解得:413a =, 故选:A 10.C 【分析】可设(32)n S kn n =+,(21)n T kn n =+,进而求得n a 与n b 的关系式,即可求得结果. 【详解】因为{}n a ,{}n b 是等差数列,且3221n n S n T n +=+, 所以可设(32)n S kn n =+,(21)n T kn n =+,又当2n 时,有1(61)n n n a S S k n -=-=-,1(41)n n n b T T k n -=-=-,∴1215(6121)71(4151)59a kb k ⨯-==⨯-, 故选:C . 11.B 【分析】由已知判断出数列{}n a 是以1为首项,以2为公差的等差数列,求出通项公式后即可求得10a .【详解】()122n n a a n --=≥,且11a =,∴数列{}n a 是以1为首项,以2为公差的等差数列,通项公式为()12121n a n n =+-=-,10210119a ∴=⨯-=,故选:B. 12.B 【分析】根据等差数列的性质可知2938a a a a +=+,结合题意,可得出88a =,最后根据等差数列的前n 项和公式和等差数列的性质,得出()11515815152a a S a +==,从而可得出结果.【详解】解:由题可知,2938a a a +=+,由等差数列的性质可知2938a a a a +=+,则88a =,故()1158158151521515812022a a a S a +⨯====⨯=. 故选:B. 13.C 【分析】由等差数列的性质可得332n a n =-,结合分组求和法即可得解。
一、高中英语任务型阅读1.请认真阅读下面短文,并根据所读内容在文章后表格中的空格里填入最恰当的单词。
注意:每个空格只填1个单词。
Time for Americans to act on climate changeThe climate crisis is worsening at a rate that is becoming harder and harder to ignore. For more than two decades, scientific reports have made it clear that global warming is real, that humans cause it and that the consequences will be disastrous.The scientific community has become increasingly panicked over the past year. The latest assessment from the U.N. Intergovernmental Panel on Climate Change painted a far more terrible picture than its previous analyses, and the long-awaited National Climate Assessment made clear that climate change represents a severe threat to human health as well as our economic security. Out of this panic came the treaty(条约)reached this past weekend by world leaders to keep the Paris climate agreement alive.Yet many Americans still don't regard the threat as a key priority for our government, and support President Trump's decision to withdraw from the Paris treaty. Campaign contributions from fossil fuel companies have convinced elected officials to look the other way. A certain amount of despair has resulted in widespread apathy(漠然).But there is another reason that has been discussed far less openly. While a growing number of people understand that climate change will have significant worldwide consequences, many Americans have an intuitive(直觉的)belief that their nation is more capable than others of adapting to a changed environment. Why? Because they have before.This historical success, however, resulted from the federal government taking science seriously, and making investments to urge revolution and innovation.But these innovations did not happen by themselves, or simply because of the United States' rich resources. They depended on consistent support from the leaders about the need to take action when faced with crises. This has been especially true in the environmental crisis.President Bill Clinton had a shockingly modest record of advancing climate security, particularly given that his vice president, Al Gore, had been one of the most outspoken environmentalists in Congress. By far Clinton's biggest accomplishment was assigning Gore to participate іn thе Куоtо Рrоtoсоl negotiations. Сlіntоn сhоѕе, hоwеvеr, tо аvоіd whаt ѕurеlу wоuld have been a terrible fight in the Senate to gain approval of the treaty. While this effort probably would have failed, it would have signaled to the American people how seriously the Democratic Party took climate change.Thus, the time has clearly arrived for progressive candidates to start campaigning on a platform built around the need for a sustainability revolution. Such a plan should include a carbon tax, well-funded clean energy research, evolved agricultural policies and smarter public transport. Given that Generation X and millennials(千禧一代)never bought into the fiction that the United States is immune to the dangers of global warming, the time is ripe to make climate security a crucial government responsibility. Only by doing so can we begin the long-overdue(拖延好久的)campaign to save the planet.Time for Americans to act on climate changesure/certain/optimistic;positive;Conclusion【解析】【分析】本文是一篇新闻报道。
一、高中英语任务型阅读1.根据短文内容,从短文后的选项中选出能填入空白处的最佳选项。
选项中有两项为多余选项。
Parents often say that they don't mind what their children do in life just as long as they are happy. Happiness and pleasure are almost universally seen as among the most precious human goods.________Philosopher Jeremy Bentham believed that all sources of pleasure are of equal quality, but John Stuart Mill disagreed. Mill argued for a difference between higher and lower pleasure.________Lower pleasure, in contrast, requires mere (仅仅的;纯粹的) senses.The entire debate assumes a clear divide between the physical and the mental.________What will it mean for our ideas about pleasure?________Food is usually considered to be the lower pleasure. All animals eat, using the senses of smell and taste. It doesn't require any complex cognition (认知) to conclude that something is delicious. However, these people failed to appreciate something that the French food writer Jean Anthelme Brillat-Savarin captured. That is, "Animals feed; man eats; only the man of intellect(才智) knows how to eat."Eating shows that the difference between higher pleasure and lower pleasure is not what you enjoy but how you enjoy it.________Preparing it using the powers of reflection and attention turns it into a higher pleasure.A. The dining table is a good place to start.B. Wolfing down your food is a lower kind of pleasure.C. What's the real difference between high and low pleasure?D. What happens if the physical and the mental cannot be separated?E. All philosophers believed that cookery could never be a form of art.F. Higher pleasure depends on human abilities such as self-awareness or language use.G. However, disagreements will be caused about whether some forms of pleasure are better than others.【答案】 G;F;D;A;B【解析】【分析】本文是一篇说明文,幸福和快乐几乎被普遍认为是人类最宝贵的财富之一。
一、高中现代文阅读1.阅读下面的文字,完成各题。
树大山河远刘醒龙如果不是身临其境,很难相信,那棵树竟然已站立在风雨飘摇的世界3200年了!3000年前,由西周都城丰镐西出200公里,抵达那时叫作西戎的平凉;2000年前,由大汉皇城长安西出200公里去往那时刚刚不再叫义渠的平凉;1000年前,由五代名城大安西出200公里来到名为大原实则野树萧条的平凉;在今天,由西安西出,还是200公里,追随雾中寒雁,到平凉那号称陇首地界的一处山坳,卢照邻诗里的马系千年树依然在那里!一棵树生长得久了,便有些哲学意味信或不信,人是树的命运,树也是人的命运去平凉的路上,每隔一阵,就会有人提起那棵树,其间有见过那棵树的,更多是没有见过的。
无论见没见过,只要提起那树,从没有一连说出三句整话的人与此行同样要去的公刘故里、峻桐山、大云寺和浸川人遗址相比,人们提及那棵树的次数最多,所说的话却最少。
为了弥补语言的贫乏,我联想到别的树20世纪90年代,第一次去西藏,在海拔5138米的查果拉哨所,放眼望去,不要说一棵树,就连紧贴地面的花草也难得一见在绿色苔鲜也朝不保夕的地方,那种在两指宽的石头缝里开着蓝色花的骆驼刺,是整个哨所唯一与森林相似的风景。
哨所里的一位士兵,因为生病从山上下来,到了日喀则,一下车就像抱着亲人一样,抱着医院院子里的一棵白杨放声大哭治好了病,士兵又重新回到那座永远也不可能长出树来的哨所,将自己站成迎着冰霜雪雹的最坚强的白杨。
平凉所处的黄土高原与青藏高原无人区是近邻,那位在查果拉主峰值守的士兵,是否知道,邻居家有如此大的一棵树并非关键,重要的是人在哪里,就有沃土在哪里。
没有叶子,也没有年轮,只有在大地上无限深扎的根须。
这样的树,冰雪冻断弓弦,也冻不断一根枝条,台风吹折旗杆,也吹不掉一片叶子。
由平凉漫卷开来的黄土高原,由查果拉舒展出去的青藏高原,有太多长不出树木的山野沟壑和坡滩。
在没有见到平凉那棵树之前,人心就是那棵树而在没有树的地方,人就是树毫无疑问,天下之树都生长在原野的空白处平凉这地名,命中注定为那棵3200年的大树腾出偌大空间。
一、复数选择题1.若复数(2)z i i =+(其中i 为虚数单位),则复数z 的模为( )A .5B .5C .5-D .5i2.如图所示,在复平面内,网格中的每个小正方形的边长都为1,点A ,B 对应的复数分别是1z ,2z ,则12z z -=( )A 2B .2C .2D .83.已知复数1z i i =+-(i 为虚数单位),则z =( )A .1B .2iC 2iD 2i 4.设()2211z i i =+++,则||z =( ) A 3B .1 C .2 D 2 5.若复数1211i z i +=--,则z 在复平面内的对应点位于( ) A .第一象限 B .第二象限 C .第三象限 D .第四象限6.若复数z 满足()322i z i i -+=+,则复数z 的虚部为( ) A .35 B .35i - C .35 D .35i 7.设复数2i 1i z =+,则复数z 的共轭复数z 在复平面内对应的点位于( ) A .第一象限 B .第二象限 C .第三象限 D .第四象限 8.复数z 满足22z z i +=,则z 在复平面上对应的点位于( )A .第一象限B .第二象限C .第三象限D .第四象限 9.复数11z =,2z 由向量1OZ 绕原点O 逆时针方向旋转3π而得到.则21arg()2z z -的值为( )A .6πB .3πC .23πD .43π 10.已知i 是虚数单位,a 为实数,且3i 1i 2ia -=-+,则a =( )A .2B .1C .-2D .-1 11.设a +∈R ,复数()()()242121i i z ai ++=-,若1z =,则a =( ) A .10 B .9C .8D .7 12.已知i 为虚数单位,则43i i =-( ) A .2655i + B .2655i - C .2655i -+ D .2655i -- 13.若i 为虚数单位,,a b ∈R ,且2a i b i i +=+,则复数a bi -的模等于( )A B C D14.设复数z 满足(1)2i z -=,则z =( )A .1B C D .215.题目文件丢失!二、多选题16.已知复数202011i z i+=-(i 为虚数单位),则下列说法错误的是( )A .z 的实部为2B .z 的虚部为1C .z i =D .||z =17.已知复数122z =-,则下列结论正确的有( )A .1z z ⋅=B .2z z =C .31z =-D .202012z =-+ 18.(多选题)已知集合{},n M m m i n N ==∈,其中i 为虚数单位,则下列元素属于集合M 的是( )A .()()11i i -+B .11i i -+C .11i i +-D .()21i - 19.复数z 满足233232i z i i+⋅+=-,则下列说法正确的是( )A .z 的实部为3-B .z 的虚部为2C .32z i =-D .||z =20.下列关于复数的说法,其中正确的是( )A .复数(),z a bi a b R =+∈是实数的充要条件是0b =B .复数(),z a bi a b R =+∈是纯虚数的充要条件是0b ≠C .若1z ,2z 互为共轭复数,则12z z 是实数D .若1z ,2z 互为共轭复数,则在复平面内它们所对应的点关于y 轴对称21.已知1z ,2z 为复数,下列命题不正确的是( )A .若12z z =,则12=z zB .若12=z z ,则12z z =C .若12z z >则12z z >D .若12z z >,则12z z >22.已知i 为虚数单位,则下列选项中正确的是( )A .复数34z i =+的模5z =B .若复数34z i =+,则z (即复数z 的共轭复数)在复平面内对应的点在第四象限C .若复数()()2234224m m m m +-+--i 是纯虚数,则1m =或4m =-D .对任意的复数z ,都有20z23.任何一个复数z a bi =+(其中a 、b R ∈,i 为虚数单位)都可以表示成:()cos sin z r i θθ=+的形式,通常称之为复数z 的三角形式.法国数学家棣莫弗发现:()()()n cos sin co i s s nn n z i n r i r n n N θθθθ+==+⎡⎤⎣∈⎦+,我们称这个结论为棣莫弗定理.根据以上信息,下列说法正确的是( )A .22z z =B .当1r =,3πθ=时,31z =C .当1r =,3πθ=时,122z =-D .当1r =,4πθ=时,若n 为偶数,则复数n z 为纯虚数24.下列命题中,正确的是( )A .复数的模总是非负数B .复数集与复平面内以原点为起点的所有向量组成的集合一一对应C .如果复数z 对应的点在第一象限,则与该复数对应的向量的终点也一定在第一象限D .相等的向量对应着相等的复数25.已知复数z 满足(1﹣i )z =2i ,则下列关于复数z 的结论正确的是( )A .||z =B .复数z 的共轭复数为z =﹣1﹣iC .复平面内表示复数z 的点位于第二象限D .复数z 是方程x 2+2x +2=0的一个根26.已知复数z 的共轭复数为z ,且1zi i =+,则下列结论正确的是( )A .1z +=B .z 虚部为i -C .202010102z =-D .2z z z +=27.以下命题正确的是( )A .0a =是z a bi =+为纯虚数的必要不充分条件B .满足210x +=的x 有且仅有iC .“在区间(),a b 内()0f x '>”是“()f x 在区间(),a b 内单调递增”的充分不必要条件D .已知()f x =()1878f x x '= 28.给出下列命题,其中是真命题的是( )A .纯虚数z 的共轭复数是z -B .若120z z -=,则21z z =C .若12z z +∈R ,则1z 与2z 互为共轭复数D .若120z z -=,则1z 与2z 互为共轭复数29.已知复数z ,下列结论正确的是( )A .“0z z +=”是“z 为纯虚数”的充分不必要条件B .“0z z +=”是“z 为纯虚数”的必要不充分条件C .“z z =”是“z 为实数”的充要条件D .“z z ⋅∈R ”是“z 为实数”的充分不必要条件30.设复数z 满足12z i =--,i 为虚数单位,则下列命题正确的是( )A .|z |=B .复数z 在复平面内对应的点在第四象限C .z 的共轭复数为12i -+D .复数z 在复平面内对应的点在直线2y x =-上【参考答案】***试卷处理标记,请不要删除一、复数选择题1.B【分析】由已知等式,利用复数的运算法则化简复数,即可求其模.【详解】,所以,故选:B解析:B【分析】由已知等式,利用复数的运算法则化简复数,即可求其模.【详解】(2)21z i i i =+=-,所以|z |=故选:B2.B【分析】根据复数的几何意义,求两个复数,再计算复数的模.由图象可知,,则,故.故选:B.解析:B【分析】根据复数的几何意义,求两个复数,再计算复数的模.【详解】由图象可知1z i =,22z i =-,则1222z z i -=-+,故12|22|z z i -=-+==故选:B .3.D【分析】先对化简,求出,从而可求出【详解】解:因为,所以,故选:D解析:D【分析】 先对1z i i =+-化简,求出z ,从而可求出z【详解】解:因为1z i i i i =+-==,所以z i =,故选:D 4.D【分析】利用复数的乘除法运算法则将化简,然后求解.【详解】因为,所以,则.故选:D .【点睛】本题考查复数的运算,解答时注意复数的乘法运算符合多项式乘法的运算法则,计算复数的除法时,【分析】利用复数的乘除法运算法则将z 化简,然后求解||z .【详解】 因为()()()()2221211211211111i z i i i i i i i i i -=++=+++=-++-=+++-,所以1z i =-,则z =故选:D .【点睛】本题考查复数的运算,解答时注意复数的乘法运算符合多项式乘法的运算法则,计算复数的除法时,需要给分子分母同乘以分母的共轭复数然后化简.5.B【分析】利用复数的运算法则和复数的几何意义求解即可【详解】,所以,在复平面内的对应点为,则对应点位于第二象限故选:B解析:B【分析】利用复数的运算法则和复数的几何意义求解即可【详解】()()12i 1i 12i 33i 33i 111i 2222z +++-+=-=-==-+-, 所以,z 在复平面内的对应点为33,22⎛⎫- ⎪⎝⎭,则对应点位于第二象限 故选:B6.A【分析】由复数的除法法则和乘法法则计算出,再由复数的定义得结论.【详解】由题意,得,其虚部为,故选:A.解析:A【分析】由复数的除法法则和乘法法则计算出z ,再由复数的定义得结论.【详解】由题意,得()()()()()23343313343434552i i ii z i i i i i ----====-++-+, 其虚部为35, 故选:A. 7.D【分析】先求出,再求出,直接得复数在复平面内对应的点【详解】因为,所以,在复平面内对应点,位于第四象限.故选:D解析:D【分析】先求出z ,再求出z ,直接得复数z 在复平面内对应的点【详解】因为211i z i i ==++,所以1z i -=-,z 在复平面内对应点()1,1-,位于第四象限. 故选:D8.B【分析】先设复数,根据复数模的计算公式,以及复数相等,求出,得出复数,再由复数的几何意义,即可得出结果.【详解】设复数,由得,所以,解得,因为时,不能满足,舍去;故,所以,其对应的解析:B【分析】先设复数(),z x yi x R y R =+∈∈,根据复数模的计算公式,以及复数相等,求出,x y ,得出复数,再由复数的几何意义,即可得出结果.【详解】设复数(),z x yi x R y R =+∈∈,由22z z i +=得222x yi i +=,所以2022x y ⎧⎪+=⎨=⎪⎩,解得1x y ⎧=⎪⎨⎪=⎩,因为1x y ⎧=⎪⎨⎪=⎩时,不能满足20x =,舍去;故1x y ⎧=⎪⎨⎪=⎩3z i =-+,其对应的点3⎛⎫- ⎪ ⎪⎝⎭位于第二象限, 故选:B.9.C【分析】写出复数的三角形式,绕原点逆时针方向旋转得到复数的三角形式,从而求得的三角形式得解.【详解】,,所以复数在第二象限,设幅角为,故选:C【点睛】在复平面内运用复数的三解析:C【分析】写出复数11z =的三角形式1cos 0sin 0z i =+,绕原点O 逆时针方向旋转3π得到复数2z 的三角形式,从而求得212z z -的三角形式得解. 【详解】 11z =,1cos 0sin 0z i ∴=+,121(cossin )3322Z i O OZ ππ=+=+2111()222z z --∴=+所以复数在第二象限,设幅角为θ,tan θ=23πθ∴= 故选:C【点睛】在复平面内运用复数的三角形式是求得幅角的关键.10.B【分析】可得,即得.【详解】由,得a =1.故选:B .解析:B【分析】可得3(2)(1)3ai i i i -=+-=-,即得1a =.【详解】由23(2)(1)223ai i i i i i i -=+-=-+-=-,得a =1.故选:B . 11.D【分析】根据复数的模的性质求模,然后可解得.【详解】解:,解得.故选:D .【点睛】本题考查复数的模,掌握模的性质是解题关键.设复数,则, 模的性质:,,.解析:D【分析】根据复数的模的性质求模,然后可解得a .【详解】 解:()()()()24242422221212501111i i i i aai ai ++++====+--,解得7a =. 故选:D .【点睛】本题考查复数的模,掌握模的性质是解题关键.设复数(,)z a bi a b R =+∈,则z = 模的性质:1212z z z z =,(*)nn z z n N =∈,1122z z z z =. 12.C【分析】对的分子分母同乘以,再化简整理即可求解.【详解】,故选:C解析:C【分析】 对43i i-的分子分母同乘以3i +,再化简整理即可求解. 【详解】 ()()()434412263331055i i i i i i i i +-+===-+--+, 故选:C13.C【分析】首先根据复数相等得到,,再求的模即可.【详解】因为,所以,.所以.故选:C解析:C【分析】首先根据复数相等得到1a =-,2b =,再求a bi -的模即可.【详解】因为()21a i b i i bi +=+=-+,所以1a =-,2b =. 所以12a bi i -=--== 故选:C 14.B【分析】由复数除法求得,再由模的运算求得模.【详解】由题意,∴.故选:B .解析:B【分析】由复数除法求得z ,再由模的运算求得模.【详解】由题意22(1)11(1)(1)i z i i i i +===+--+,∴z == 故选:B .15.无二、多选题16.AC【分析】根据复数的运算及复数的概念即可求解.【详解】因为复数,所以z 的虚部为1,,故AC 错误,BD 正确.故选:AC解析:AC【分析】根据复数的运算及复数的概念即可求解.【详解】 因为复数2020450511()22(1)11112i i i z i i i i +++=====+---,所以z 的虚部为1,||z =故AC 错误,BD 正确.故选:AC17.ACD【分析】分别计算各选项的值,然后判断是否正确,计算D 选项的时候注意利用复数乘方的性质.【详解】因为,所以A 正确;因为,,所以,所以B 错误;因为,所以C 正确;因为,所以,所以D 正确解析:ACD【分析】分别计算各选项的值,然后判断是否正确,计算D 选项的时候注意利用复数乘方的性质.【详解】因为11131222244z z i ⎛⎫⎛⎫-+=+= ⎪⎪ ⎪⎪⎝⎭⎭=⎝⋅,所以A 正确;因为22112222z ⎛⎫-=-- ⎪ ⎪⎝⎭=,122z =+,所以2z z ≠,所以B 错误;因为321112222z z z i ⎛⎫⎛⎫=⋅=---=- ⎪⎪ ⎪⎪⎝⎭⎝⎭,所以C 正确;因为6331z z z =⋅=,所以()2020633644311122z z z z z ⨯+⎛⎫===⋅=-⋅=-+ ⎪ ⎪⎝⎭,所以D 正确,故选:ACD.【点睛】本题考查复数乘法与乘方的计算,其中还涉及到了共轭复数的计算,难度较易.18.BC【分析】根据集合求出集合内部的元素,再对四个选项依次化简即可得出选项.【详解】根据题意,中,时,;时,;时,;时,,.选项A 中,;选项B 中,;选项C 中,;选项D 中,.解析:BC【分析】根据集合求出集合内部的元素,再对四个选项依次化简即可得出选项.【详解】 根据题意,{},n M m m i n N ==∈中, ()4n k k N =∈时,1n i =;()41n k k N =+∈时,n i i =;()42n k k N =+∈时,1n i =-;()43n k k N =+∈时,n i i =-,{}1,1,,M i i ∴=--.选项A 中,()()112i i M -+=∉;选项B 中,()()()211111i i i i i i M --==-+-∈+; 选项C 中,()()()211111i i i i i i M ++==-+∈-; 选项D 中,()212i i M -=-∉.故选:BC.【点睛】此题考查复数的基本运算,涉及复数的乘方和乘法除法运算,准确计算才能得解. 19.AD【分析】由已知可求出,进而可求出实部、虚部、共轭复数、复数的模,进而可选出正确答案.【详解】解:由知,,即,所以的实部为,A 正确;的虚部为-2,B 错误;,C 错误;,D 正确;故选:A解析:AD【分析】由已知可求出32z i =--,进而可求出实部、虚部、共轭复数、复数的模,进而可选出正确答案.【详解】 解:由233232i z i i +⋅+=-知,232332i z i i +⋅=--,即()()()2233232232313i i i z i i ---=-=+39263213i i --==--,所以z 的实部为3-,A 正确;z 的虚部为-2,B 错误;32z i =-+,C 错误;||z ==D 正确; 故选:AD.【点睛】 本题考查了复数的除法运算,考查了复数的概念,考查了共轭复数的求解,考查了复数模的求解,属于基础题.20.AC【分析】根据复数的有关概念和充分条件和必要条件的定义进行判断即可.【详解】解:对于:复数是实数的充要条件是,显然成立,故正确;对于:若复数是纯虚数则且,故错误;对于:若,互为共轭复数解析:AC【分析】根据复数的有关概念和充分条件和必要条件的定义进行判断即可.【详解】解:对于A :复数(),z a bi a b R =+∈是实数的充要条件是0b =,显然成立,故A 正确;对于B :若复数(),z a bi a b R =+∈是纯虚数则0a =且0b ≠,故B 错误; 对于C :若1z ,2z 互为共轭复数,设()1,z a bi a b R =+∈,则()2,z a bi a b R =-∈,所以()()2122222z a bi a bi a b b z i a =+-=-=+是实数,故C 正确; 对于D :若1z ,2z 互为共轭复数,设()1,z a bi a b R =+∈,则()2,z a bi a b R =-∈,所对应的坐标分别为(),a b ,(),a b -,这两点关于x 轴对称,故D 错误;故选:AC【点睛】本题主要考查复数的有关概念的判断,利用充分条件和必要条件的定义是解决本题的关键,属于基础题.21.BCD【分析】根据两个复数之间不能比较大小,得到C 、D 两项是错误的,根据复数的定义和复数模的概念,可以断定A 项正确,B 项错误,从而得到答案.【详解】因为两个复数之间只有等与不等,不能比较大小【分析】根据两个复数之间不能比较大小,得到C 、D 两项是错误的,根据复数的定义和复数模的概念,可以断定A 项正确,B 项错误,从而得到答案.【详解】因为两个复数之间只有等与不等,不能比较大小,所以C 、D 两项都不正确; 当两个复数的模相等时,复数不一定相等, 比如11i i -=+,但是11i i -≠+,所以B 项是错误的;因为当两个复数相等时,模一定相等,所以A 项正确;故选:BCD.【点睛】该题考查的是有关复数的问题,涉及到的知识点有两个复数之间的关系,复数模的概念,属于基础题目.22.AB【分析】求解复数的模判断;由共轭复数的概念判断;由实部为0且虚部不为0求得值判断;举例说明错误.【详解】解:对于,复数的模,故正确;对于,若复数,则,在复平面内对应的点的坐标为,在第四解析:AB【分析】求解复数的模判断A ;由共轭复数的概念判断B ;由实部为0且虚部不为0求得m 值判断C ;举例说明D 错误.【详解】解:对于A ,复数34z i =+的模||5z ==,故A 正确;对于B ,若复数34z i =+,则34z i =-,在复平面内对应的点的坐标为(3,4)-,在第四象限,故B 正确;对于C ,若复数22(34)(224)m m m m i +-+--是纯虚数,则223402240m m m m ⎧+-=⎨--≠⎩,解得1m =,故C 错误; 对于D ,当z i 时,210z =-<,故D 错误.故选:AB .【点睛】本题考查复数代数形式的乘除运算,考查复数的基本概念,考查复数模的求法,属于基础题. 23.AC利用复数的三角形式与模长公式可判断A 选项的正误;利用复数的棣莫弗定理可判断B 选项的正误;计算出复数,可判断C 选项的正误;计算出,可判断D 选项的正误.【详解】对于A 选项,,则,可得解析:AC【分析】利用复数的三角形式与模长公式可判断A 选项的正误;利用复数的棣莫弗定理可判断B 选项的正误;计算出复数z ,可判断C 选项的正误;计算出4z ,可判断D 选项的正误.【详解】对于A 选项,()cos sin z r i θθ=+,则()22cos2sin 2z r i θθ=+,可得()222cos 2sin 2z r i r θθ=+=,()222cos sin z r i r θθ=+=,A 选项正确; 对于B 选项,当1r =,3πθ=时,()33cos sin cos3sin3cos sin 1z i i i θθθθππ=+=+=+=-,B 选项错误;对于C 选项,当1r =,3πθ=时,1cos sin 332z i ππ=+=+,则12z =,C 选项正确;对于D 选项,()cos sin cos sin cos sin 44n n n n z i n i n i ππθθθθ=+=+=+, 取4n =,则n 为偶数,则4cos sin 1z i ππ=+=-不是纯虚数,D 选项错误. 故选:AC.【点睛】本题考查复数的乘方运算,考查了复数的模长、共轭复数的运算,考查计算能力,属于中等题.24.ABD【分析】根据复数的几何意义逐项判断后可得正确的选项.【详解】设复数,对于A ,,故A 正确.对于B ,复数对应的向量为,且对于平面内以原点为起点的任一向量,其对应的复数为,故复数集与解析:ABD根据复数的几何意义逐项判断后可得正确的选项.【详解】设复数(),z a bi a b R =+∈,对于A ,0z =≥,故A 正确.对于B ,复数z 对应的向量为(),OZ a b =,且对于平面内以原点为起点的任一向量(),m n α=,其对应的复数为m ni +, 故复数集与复平面内以原点为起点的所有向量组成的集合一一对应,故B 正确. 对于B ,复数z 对应的向量为(),OZ a b =,且对于平面内的任一向量(),m n α=,其对应的复数为m ni +,故复数集中的元素与复平面内以原点为起点的所有向量组成的集合中的元素是一一对应,故B 正确.对于C ,如果复数z 对应的点在第一象限,则与该复数对应的向量的终点不一定在第一象限,故C 错.对于D ,相等的向量的坐标一定是相同的,故它们对应的复数也相等,故D 正确. 故选:ABD .【点睛】本题考查复数的几何意义,注意复数(),z a bi a b R =+∈对应的向量的坐标为(),a b ,它与终点与起点的坐标的差有关,本题属于基础题.25.ABCD【分析】利用复数的除法运算求出,再根据复数的模长公式求出,可知正确;根据共轭复数的概念求出,可知正确;根据复数的几何意义可知正确;将代入方程成立,可知正确.【详解】因为(1﹣i )z =解析:ABCD【分析】利用复数的除法运算求出1z i =-+,再根据复数的模长公式求出||z ,可知A 正确;根据共轭复数的概念求出z ,可知B 正确;根据复数的几何意义可知C 正确;将z 代入方程成立,可知D 正确.【详解】因为(1﹣i )z =2i ,所以21i z i =-2(1)221(1)(1)2i i i i i i +-+===-+-+,所以||z ==A 正确; 所以1i z =--,故B 正确;由1z i =-+知,复数z 对应的点为(1,1)-,它在第二象限,故C 正确;因为2(1)2(1)2i i -++-++22220i i =--++=,所以D 正确.故选:ABCD.【点睛】本题考查了复数的除法运算,考查了复数的模长公式,考查了复数的几何意义,属于基础题. 26.ACD【分析】先利用题目条件可求得,再根据复数的模的计算公式,以及复数的有关概念和复数的四则运算法则即可判断各选项的真假.【详解】由可得,,所以,虚部为;因为,所以,.故选:ACD .【解析:ACD【分析】先利用题目条件可求得z ,再根据复数的模的计算公式,以及复数的有关概念和复数的四则运算法则即可判断各选项的真假.【详解】由1zi i =+可得,11i z i i+==-,所以12z i +=-==,z 虚部为1-; 因为2422,2z i z =-=-,所以()5052020410102zz ==-,2211z z i i i z +=-++=-=.故选:ACD .【点睛】本题主要考查复数的有关概念的理解和运用,复数的模的计算公式的应用,复数的四则运算法则的应用,考查学生的数学运算能力,属于基础题. 27.AC【分析】利用纯虚数的概念以及必要不充分条件的定义可判断A 选项的正误;解方程可判断B 选项的正误;利用导数与函数单调性的关系结合充分不必要条件的定义可判断C 选项的正误;利用基本初等函数的导数公式解析:AC【分析】利用纯虚数的概念以及必要不充分条件的定义可判断A 选项的正误;解方程210x +=可判断B 选项的正误;利用导数与函数单调性的关系结合充分不必要条件的定义可判断C 选项的正误;利用基本初等函数的导数公式可判断D 选项的正误.综合可得出结论.【详解】对于A 选项,若复数z a bi =+为纯虚数,则0a =且0b ≠,所以,0a =是z a bi =+为纯虚数的必要不充分条件,A 选项正确;对于B 选项,解方程210x +=得x i =±,B 选项错误;对于C 选项,当(),x a b ∈时,若()0f x '>,则函数()f x 在区间(),a b 内单调递增, 即“在区间(),a b 内()0f x '>”⇒“()f x 在区间(),a b 内单调递增”.反之,取()3f x x =,()23f x x '=,当()1,1x ∈-时,()0f x '≥, 此时,函数()y f x =在区间()1,1-上单调递增,即“在区间(),a b 内()0f x '>”⇐/“()f x 在区间(),a b 内单调递增”.所以,“在区间(),a b 内()0f x '>”是“()f x 在区间(),a b 内单调递增”的充分不必要条件.C 选项正确;对于D 选项,()11172488f x x x ++===,()1878f x x -'∴=,D 选项错误. 故选:AC.【点睛】本题考查命题真假的判断,涉及充分条件与必要条件的判断、实系数方程的根以及导数的计算,考查推理能力与计算能力,属于中等题. 28.AD【分析】A .根据共轭复数的定义判断.B.若,则,与关系分实数和虚数判断.C.若,分可能均为实数和与的虚部互为相反数分析判断.D.根据,得到,再用共轭复数的定义判断.【详解】A .根据共轭解析:AD【分析】A .根据共轭复数的定义判断.B.若120z z -=,则12z z =,1z 与2z 关系分实数和虚数判断.C.若12z z +∈R ,分12,z z 可能均为实数和1z 与2z 的虚部互为相反数分析判断.D. 根据120z z -=,得到12z z =,再用共轭复数的定义判断.【详解】A .根据共轭复数的定义,显然是真命题;B .若120z z -=,则12z z =,当12,z z 均为实数时,则有21z z =,当1z ,2z 是虚数时,21≠z z ,所以B 是假命题;C .若12z z +∈R ,则12,z z 可能均为实数,但不一定相等,或1z 与2z 的虚部互为相反数,但实部不一定相等,所以C 是假命题;D. 若120z z -=,则12z z =,所以1z 与2z 互为共轭复数,故D 是真命题.故选:AD【点睛】本题主要考查了复数及共轭复数的概念,还考查了理解辨析的能力,属于基础题. 29.BC【分析】设,可得出,利用复数的运算、复数的概念结合充分条件、必要条件的定义进行判断,从而可得出结论.【详解】设,则,则,若,则,,若,则不为纯虚数,所以,“”是“为纯虚数”必要不充分解析:BC【分析】设(),z a bi a b R =+∈,可得出z a bi =-,利用复数的运算、复数的概念结合充分条件、必要条件的定义进行判断,从而可得出结论.【详解】设(),z a bi a b R =+∈,则z a bi =-, 则2z z a +=,若0z z +=,则0a =,b R ∈,若0b =,则z 不为纯虚数, 所以,“0z z +=”是“z 为纯虚数”必要不充分条件; 若z z =,即a bi a bi +=-,可得0b =,则z 为实数,“z z =”是“z 为实数”的充要条件;22z z a b ⋅=+∈R ,z ∴为虚数或实数,“z z ⋅∈R ”是“z 为实数”的必要不充分条件.故选:BC.【点睛】本题考查充分条件、必要条件的判断,同时也考查了共轭复数、复数的基本概念的应用,考查推理能力,属于基础题.30.AC【分析】根据复数的模、复数对应点的坐标、共轭复数等知识,选出正确选项.【详解】,A 正确;复数z 在复平面内对应的点的坐标为,在第三象限,B 不正确;z 的共轭复数为,C 正确;复数z 在复平面内对解析:AC【分析】根据复数的模、复数对应点的坐标、共轭复数等知识,选出正确选项.【详解】||z ==A 正确;复数z 在复平面内对应的点的坐标为(1,2)--,在第三象限,B 不正确;z 的共轭复数为12i -+,C 正确;复数z 在复平面内对应的点(1,2)--不在直线2y x =-上,D 不正确.故选:AC【点睛】本小题主要考查复数的有关知识,属于基础题.。
一、多选题1.题目文件丢失!2.已知非零平面向量a ,b ,c ,则( )A .存在唯一的实数对,m n ,使c ma nb =+B .若0⋅=⋅=a b a c ,则//b cC .若////a b c ,则a b c a b c =++++D .若0a b ⋅=,则a b a b +=- 3.在ABC 中,a ,b ,c 分别为角A ,B ,C 的对边,已知cos cos 2B bC a c=-,ABC S =△b = )A .1cos 2B =B .cos 2B =C .a c +=D .a c +=4.在ABC 中,内角A ,B ,C 所对的边分别为a ,b ,c ,ABC 的面积为S .下列ABC 有关的结论,正确的是( ) A .cos cos 0A B +>B .若a b >,则cos2cos2A B <C .24sin sin sin S R A B C =,其中R 为ABC 外接圆的半径D .若ABC 为非直角三角形,则tan tan tan tan tan tan A B C A B C ++=5.在△ABC 中,点E ,F 分别是边BC 和AC 上的中点,P 是AE 与BF 的交点,则有( )A .1122AE AB AC →→→=+B .2AB EF →→=C .1133CP CA CB →→→=+D .2233CP CA CB →→→=+6.已知ABC ∆是边长为2的等边三角形,D ,E 分别是AC 、AB 上的两点,且AE EB =,2AD DC =,BD 与CE 交于点O ,则下列说法正确的是( )A .1AB CE ⋅=- B .0OE OC +=C .3OA OB OC ++=D .ED 在BC 方向上的投影为767.在ABC 中,内角,,A B C 所对的边分别为,,a b c .根据下列条件解三角形,其中有两解的是( )A .10,45,70b A C ==︒=︒B .45,48,60b c B ===︒C .14,16,45a b A ===︒D .7,5,80a b A ===︒8.在ABC 中,若30B =︒,AB =2AC =,则C 的值可以是( ) A .30°B .60°C .120°D .150°9.八卦是中国文化的基本哲学概念,如图1是八卦模型图,其平面图形记为图2中的正八边形ABCDEFGH ,其中1OA =,则下列结论正确的有( )A .2OA OD ⋅=-B .2OB OH OE +=-C .AH HO BC BO ⋅=⋅D .AH 在AB 向量上的投影为2-10.设向量a ,b 满足1a b ==,且25b a -=,则以下结论正确的是( ) A .a b ⊥B .2a b +=C .2a b -=D .,60a b =︒11.已知平行四边形的三个顶点的坐标分别是(3,7),(4,6),(1,2)A B C -.则第四个顶点的坐标为( ) A .(0,1)-B .(6,15)C .(2,3)-D .(2,3)12.对于菱形ABCD ,给出下列各式,其中结论正确的为( ) A .AB BC =B .AB BC =C .AB CD AD BC -=+D .AD CD CD CB +=-13.已知实数m ,n 和向量a ,b ,下列说法中正确的是( ) A .()m a b ma mb -=- B .()m n a ma na -=-C .若ma mb =,则a b =D .若()0ma na a =≠,则m n =14.某人在A 处向正东方向走xkm 后到达B 处,他向右转150°,然后朝新方向走3km 到达C 处,3km ,那么x 的值为( ) A 3B .3C .33D .315.如果12,e e 是平面α内两个不共线的向量,那么下列说法中正确的是( ) A .12(,),e e λμλμ+∈R 可以表示平面α内的所有向量B .对于平面α内任一向量a ,使12,a e e λμ=+的实数对(,)λμ有无穷多个C .若向量1112e e λμ+与2122e e λμ+共线,则有且只有一个实数λ,使得()11122122e e e e λμλλμ+=+D .若存在实数,λμ使得120e e λμ+=,则0λμ==二、平面向量及其应用选择题16.已知向量(22cos m x =,()1,sin2n x =,设函数()f x m n =⋅,则下列关于函数()y f x =的性质的描述正确的是( )A .关于直线12x π=对称B .关于点5,012π⎛⎫⎪⎝⎭对称 C .周期为2πD .()y f x =在,03π⎛⎫-⎪⎝⎭上是增函数 17.O 为ABC ∆内一点内角A 、B 、C 所对的边分别为a 、b 、c ,已知0a OA b OB c OC ⋅+⋅+⋅=,且tan tan tan 0A OA B OB C OC ⋅+⋅+⋅=,若a =边BC 所对的ABC ∆外接圆的劣弧长为( ) A .23π B .43π C .6π D .3π 18.已知,a b 是两个单位向量,则下列等式一定成立的是( ) A .0a b -=B .1a b ⋅=C .a b =D .0a b ⋅=19.已知点O 是ABC 内部一点,并且满足2350OA OB OC ++=,OAC 的面积为1S ,ABC 的面积为2S ,则12S S = A .310 B .38C .25D .42120.在ABC 中,AD 、BE 、CF 分别是BC 、CA 、AB 上的中线,它们交于点G ,则下列各等式中不正确...的是( ) A .23BG BE = B .2CG GF = C .12DG AG =D .0GA GB GC ++=21.著名数学家欧拉提出了如下定理:三角形的外心、重心、垂心依次位于同一直线上,且重心到外心的距离是重心到垂心距离的一半.此直线被称为三角形的欧拉线,该定理则被称为欧拉线定理.设点O ,H 分别是△ABC 的外心、垂心,且M 为BC 中点,则 ( )A .33AB AC HM MO +=+ B .33AB AC HM MO +=- C .24AB AC HM MO +=+D .24AB AC HM MO +=-22.在△ABC 中,AB =a ,BC =b ,且a b ⋅>0,则△ABC 是( )A .锐角三角形B .直角三角形C .等腰直角三角形D .钝角三角形23.已知20a b =≠,且关于x 的方程20x a x a b ++⋅=有实根,则a 与b 的夹角的取值范围是( ) A .06,π⎡⎤⎢⎥⎣⎦B .,3ππ⎡⎤⎢⎥⎣⎦C .2,33ππ⎡⎤⎢⎥⎣⎦D .,6ππ⎡⎤⎢⎥⎣⎦24.已知ABC 所在平面内的一点P 满足20PA PB PC ++=,则::PAB PAC PBC S S S =△△△( )A .1∶2∶3B .1∶2∶1C .2∶1∶1D .1∶1∶225.在ABC 中,三内角A ,B ,C 的对边分别为a ,b ,c ,面积为S ,若()22S a b c +=+,则cos A 等于( )A .45B .45-C .1517D .1517-26.已知ABC 中,1,30a b A ︒===,则B 等于( )A .60°B .120°C .30°或150°D .60°或120°27.在ABC 中,若 cos a b C =,则ABC 的形状是( )A .直角三角形B .等腰三角形C .等腰直角三角形D .等腰或直角三角形28.已知菱形ABCD 边长为2,∠B =3π,点P 满足AP =λAB ,λ∈R ,若BD ·CP =-3,则λ的值为( ) A .12B .-12C .13D .-1329.在ABC ∆中,8AB =,6AC =,60A ∠=,M 为ABC ∆的外心,若AM AB AC λμ=+,λ、R μ∈,则43λμ+=( )A .34B .53C .73D .8330.在ABC ∆中,2,2,120,,AC AB BAC AE AB AF AC λμ==∠===,M 为线段EF 的中点,若1AM =,则λμ+的最大值为( )A .3B .3C .2D 31.已知ABC ∆的内角A 、B 、C 满足()()1sin 2sin sin 2A ABC C A B +-+=--+,面积S 满足12S ≤≤,记a 、b 、c 分别为A 、B 、C 所对的边,则下列不等式一定成立的是( )A .()8bc b c +>B .()ab a b +>C .612abc ≤≤D .1224abc ≤≤32.已知1a b ==,12a b ⋅=,(),1c m m =-,(),1d n n =-(m ,n R ∈).存在a ,b ,对于任意实数m ,n ,不等式a c b d T -+-≥恒成立,则实数T 的取值范围为( )A .(-∞B .)+∞C .(-∞D .)+∞33.在ABC 中,角A ,B ,C 所对的边分别为a ,b ,c ,若cos cos 2c A a C c +=且a b =,则cos B 等于( )A .4B .14C .4D .234.在ABC 中,AB AC BA BC CA CB →→→→→→⋅=⋅=⋅,则ABC 的形状为( ). A .钝角三角形 B .等边三角形 C .直角三角形D .不确定35.已知ABC 的面积为30,且12cos 13A =,则AB AC ⋅等于( ) A .72B .144C .150D .300【参考答案】***试卷处理标记,请不要删除一、多选题 1.无 2.BD 【分析】假设与共线,与,都不共线,即可判断A 错;根据向量垂直的数量积表示,可判断B 正确;向量共线可以是反向共线,故C 错;根据向量数量积法则,可判断D 正确. 【详解】A 选项,若与共线,与,都 解析:BD 【分析】假设a 与b 共线,c 与a ,b 都不共线,即可判断A 错;根据向量垂直的数量积表示,可判断B 正确;向量共线可以是反向共线,故C 错;根据向量数量积法则,可判断D 正确. 【详解】A 选项,若a 与b 共线,c 与a ,b 都不共线,则ma nb +与c 不可能共线,故A 错;B 选项,因为a ,b ,c 是非零平面向量,若0⋅=⋅=a b a c ,则a b ⊥,a c ⊥,所以//b c ,即B 正确;C 选项,因为向量共线可以是反向共线,所以由////a b c 不能推出a b c a b c =++++;如a 与b 同向,c 与a 反向,且a b c +>,则a b c a b c =+-++,故C 错;D 选项,若0a b ⋅=,则()222222a b a ba b a b a b+=+=++⋅=+,()222222a b a b a b a b a b -=-=+-⋅=+,所以a b a b +=-,即D 正确.故选:BD. 【点睛】本题主要考查共线向量的有关判定,以及向量数量积的相关计算,属于基础题型.3.AD 【分析】利用正弦定理,两角和的正弦函数公式化简,结合,可求,结合范围,可求,进而根据三角形的面积公式和余弦定理可得. 【详解】 ∵,整理可得:, 可得,∵A 为三角形内角,, ∴,故A 正确解析:AD 【分析】利用正弦定理,两角和的正弦函数公式化简cos cos 2B bC a c=-,结合sin 0A ≠,可求1cos 2B =,结合范围()0,B π∈,可求3B π=,进而根据三角形的面积公式和余弦定理可得a c += 【详解】 ∵cos sin cos 22sin sin B b BC a c A C==--, 整理可得:sin cos 2sin cos sin cos B C A B C B =-,可得()sin cos sin cos sin sin 2sin cos B C C B B C A A B +=+==, ∵A 为三角形内角,sin 0A ≠, ∴1cos 2B =,故A 正确,B 错误,∵()0,B π∈, ∴3B π=,∵ABC S =△3b =,∴11sin 42224ac B a c ac ==⨯⨯⨯=, 解得3ac =,由余弦定理得()()2222939a c ac a c ac a c =+-=+-=+-,解得a c +=C 错误,D 正确. 故选:AD. 【点睛】本题主要考查正弦定理,余弦定理以及两角和与差的三角函数的应用,还考查了运算求解的能力,属于中档题.4.ABD 【分析】对于A ,利用及余弦函数单调性,即可判断;对于B ,由,可得,根据二倍角的余弦公式,即可判断;对于C ,利用和正弦定理化简,即可判断;对于D ,利用两角和的正切公式进行运算,即可判断. 【解析:ABD 【分析】对于A ,利用A B π+<及余弦函数单调性,即可判断;对于B ,由a b >,可得sin sin A B >,根据二倍角的余弦公式,即可判断;对于C ,利用in 12s S ab C =和正弦定理化简,即可判断;对于D ,利用两角和的正切公式进行运算,即可判断. 【详解】对于A ,∵A B π+<,∴0A B ππ<<-<,根据余弦函数单调性,可得()cos cos cos A B B π>-=-,∴cos cos 0A B +>,故A 正确;对于B ,若sin sin a b A B >⇔>,则22sin sin A B >,则2212sin 12sin A B -<-,即cos2cos2A B <,故B 正确;对于C ,211sin 2sin 2sin sin 2sin sin sin 22S ab C R A R B C R A B C ==⋅⋅⋅=,故C 错误;对于D ,在ABC 为非直角三角形,()tan tan tan tan 1tan tan B CA B C B C+=-+=--⋅,则tan tan tan tan tan tan A B C A B C ++=,故D 正确.【点睛】本题主要考查了正弦定理在解三角形中的应用,三角函数基本性质.考查了推理和归纳的能力.5.AC 【分析】由已知结合平面知识及向量共线定理分别检验各选项即可. 【详解】 如图:根据三角形中线性质和平行四边形法则知, , A 是正确的;因为EF 是中位线,所以B 是正确的; 根据三角形重心解析:AC 【分析】由已知结合平面知识及向量共线定理分别检验各选项即可. 【详解】 如图:根据三角形中线性质和平行四边形法则知,111()()222AE AB BE AB BC AB AC AB AC AB →→→→→→→→→→=+=+=+-=+, A 是正确的;因为EF 是中位线,所以B 是正确的;根据三角形重心性质知,CP =2PG ,所以22113323CP CG CA CB CA CB →→→→→→⎛⎫⎛⎫==⨯+=+ ⎪ ⎪⎝⎭⎝⎭,所以C 是正确的,D 错误. 故选:AC 【点睛】本题主要考查了平面向量基本定理的简单应用,熟记一些基本结论是求解问题的关键,属于中档题.6.BCD以E 为原点建立平面直角坐标系,写出所有点的坐标求解即可. 【详解】由题E 为AB 中点,则,以E 为原点,EA ,EC 分别为x 轴,y 轴正方向建立平面直角坐标系,如图所示: 所以,,解析:BCD 【分析】以E 为原点建立平面直角坐标系,写出所有点的坐标求解即可. 【详解】由题E 为AB 中点,则CE AB ⊥,以E 为原点,EA ,EC 分别为x 轴,y 轴正方向建立平面直角坐标系,如图所示:所以,123(0,0),(1,0),(1,0),3),()3E A B C D -, 设123(0,),3),(1,),(,3O y y BO y DO y ∈==-,BO ∥DO , 所以2313y y =-,解得:32y =, 即O 是CE 中点,0OE OC +=,所以选项B 正确;322OA OB OC OE OC OE ++=+==,所以选项C 正确; 因为CE AB ⊥,0AB CE ⋅=,所以选项A 错误;123(3ED =,(1,3)BC =,ED 在BC 方向上的投影为127326BC BCED +⋅==,所以选项D 正确.故选:BCD 【点睛】此题考查平面向量基本运算,可以选取一组基底表示出所求向量的关系,对于特殊图形可以考虑在适当位置建立直角坐标系,利于计算.7.BC 【分析】根据题设条件和三角形解的个数的判定方法,逐项判定,即可求解,得到答案. 【详解】对于选项A 中:由,所以,即三角形的三个角是确定的值,故只有一解; 对于选项B 中:因为,且,所以角有两解析:BC 【分析】根据题设条件和三角形解的个数的判定方法,逐项判定,即可求解,得到答案. 【详解】对于选项A 中:由45,70A C =︒=︒,所以18065B A C =--=︒,即三角形的三个角是确定的值,故只有一解;对于选项B 中:因为csin sin 1B C b ==<,且c b >,所以角C 有两解;对于选项C 中:因为sin sin 17b A B a ==<,且b a >,所以角B 有两解; 对于选项D 中:因为sin sin 1b AB a=<,且b a <,所以角B 仅有一解. 故选:BC . 【点睛】本题主要考查了三角形解得个数的判定,其中解答中熟记三角形解得个数的判定方法是解答的关键,着重考查了分析问题和解答问题的能力,属于基础题.8.BC【分析】由题意结合正弦定理可得,再由即可得解. 【详解】由正弦定理可得,所以, 又,所以, 所以或. 故选:BC.【点睛】本题考查了正弦定理的应用,考查了运算求解能力,属于基础题.解析:BC 【分析】由题意结合正弦定理可得sin 2C =,再由()0,150C ∈︒︒即可得解. 【详解】由正弦定理可得sin sin AB AC C B =,所以1sin 2sin 2AB B C AC ⋅===, 又30B =︒,所以()0,150C ∈︒︒, 所以60C =︒或120C =︒. 故选:BC. 【点睛】本题考查了正弦定理的应用,考查了运算求解能力,属于基础题.9.AB 【分析】直接利用向量的数量积的应用,向量的夹角的应用求出结果. 【详解】图2中的正八边形,其中, 对于;故正确. 对于,故正确.对于,,但对应向量的夹角不相等,所以不成立.故错误. 对于解析:AB 【分析】直接利用向量的数量积的应用,向量的夹角的应用求出结果. 【详解】图2中的正八边形ABCDEFGH ,其中||1OA =,对于3:11cos4A OA OD π=⨯⨯=;故正确. 对于:22B OB OH OA OE +==-,故正确.对于:||||C AH BC =,||||HO BO =,但对应向量的夹角不相等,所以不成立.故错误. 对于:D AH 在AB 向量上的投影32||cos ||4AH AH π=-,||1AH ≠,故错误. 故选:AB . 【点睛】本题考查的知识要点:向量的数量积的应用,向量的夹角的应用,主要考查学生的运算能力和转换能力及思维能力,属于中档题.10.AC 【分析】由已知条件结合向量数量积的性质对各个选项进行检验即可.【详解】,且,平方得,即,可得,故A 正确; ,可得,故B 错误; ,可得,故C 正确; 由可得,故D 错误; 故选:AC 【点睛】解析:AC 【分析】由已知条件结合向量数量积的性质对各个选项进行检验即可. 【详解】1a b ==,且25b a -=,平方得22445b a a b +-⋅=,即0a b ⋅=,可得a b ⊥,故A正确;()22222a b a b a b +=++⋅=,可得2a b +=,故B 错误; ()22222a b a b a b -=+-⋅=,可得2a b -=,故C 正确;由0a b ⋅=可得,90a b =︒,故D 错误; 故选:AC 【点睛】本题考查向量数量积的性质以及向量的模的求法,属于基础题.11.ABC 【分析】设平行四边形的四个顶点分别是,分类讨论点在平行四边形的位置有:,,,将向量用坐标表示,即可求解. 【详解】 第四个顶点为, 当时,,解得,此时第四个顶点的坐标为; 当时,, 解得解析:ABC 【分析】设平行四边形的四个顶点分别是(3,7),(4,6),(1,2),(,)A B C D x y -,分类讨论D 点在平行四边形的位置有:AD BC =,AD CB =,AB CD =,将向量用坐标表示,即可求解. 【详解】第四个顶点为(,)D x y ,当AD BC =时,(3,7)(3,8)x y --=--,解得0,1x y ==-,此时第四个顶点的坐标为(0,1)-; 当AD CB =时,(3,7)(3,8)x y --=,解得6,15x y ==,此时第四个顶点的坐标为(6,15); 当AB CD =时,(1,1)(1,2)x y -=-+,解得2,3x y ==-,此时第四个项点的坐标为(2,3)-. ∴第四个顶点的坐标为(0,1)-或(6,15)或(2,3)-. 故选:ABC . 【点睛】本题考查利用向量关系求平行四边形顶点坐标,考查分类讨论思想,属于中档题.12.BCD 【分析】由向量的加法减法法则及菱形的几何性质即可求解. 【详解】菱形中向量与的方向是不同的,但它们的模是相等的, 所以B 结论正确,A 结论错误; 因为,,且, 所以,即C 结论正确; 因为,解析:BCD 【分析】由向量的加法减法法则及菱形的几何性质即可求解. 【详解】菱形中向量AB 与BC 的方向是不同的,但它们的模是相等的, 所以B 结论正确,A 结论错误;因为2AB CD AB DC AB -=+=,2AD BC BC +=,且AB BC =, 所以AB CD AD BC -=+,即C 结论正确; 因为AD CD BC CD BD +=+=,||||CD CB CD BC BD -=+=,所以D 结论正确.故选:BCD 【点睛】本题主要考查了向量加法、减法的运算,菱形的性质,属于中档题.13.ABD 【分析】根据向量数乘运算判断AB 选项的正确性,通过的特殊情况判断C 选项的正确性,根据向量运算判断D 选项的正确性. 【详解】根据向量数乘的运算可知A 和B 正确;C 中,当时,,但与不一定相等,解析:ABD 【分析】根据向量数乘运算判断AB 选项的正确性,通过m 的特殊情况判断C 选项的正确性,根据向量运算判断D 选项的正确性. 【详解】根据向量数乘的运算可知A 和B 正确;C 中,当0m =时,0ma mb ==,但a 与b 不一定相等,故C 不正确;D 中,由ma na =,得()0m n a -=,因为0a ≠,所以m n =,故D 正确. 故选:ABD 【点睛】本小题主要考查向量数乘运算,属于基础题.14.AB 【分析】由余弦定理得,化简即得解. 【详解】由题意得,由余弦定理得, 解得或. 故选:AB. 【点睛】本题主要考查余弦定理的实际应用,意在考查学生对这些知识的理解掌握水平.解析:AB 【分析】由余弦定理得293cos306x x︒+-=,化简即得解.【详解】由题意得30ABC ︒∠=,由余弦定理得293cos306x x︒+-=,解得x =x 故选:AB. 【点睛】本题主要考查余弦定理的实际应用,意在考查学生对这些知识的理解掌握水平.15.AD 【分析】根据平面向量基本定理可知,A 、D 是正确的,选项B 不正确;对于选项C ,当两个向量均为时,有无数个,故不正确. 【详解】由平面向量基本定理可知,A 、D 是正确的. 对于B,由平面向量基本解析:AD 【分析】根据平面向量基本定理可知,A 、D 是正确的,选项B 不正确;对于选项C ,当两个向量均为0时,λ有无数个,故不正确. 【详解】由平面向量基本定理可知,A 、D 是正确的.对于B ,由平面向量基本定理可知,如果一个平面的基底确定, 那么任意一个向量在此基底下的实数对是唯一的,所以不正确; 对于C ,当两向量的系数均为零,即12120λλμμ====时, 这样的λ有无数个,所以不正确. 故选:AD . 【点睛】本题考查平面向量基本定理的辨析,熟记并理解定理内容是关键,解题中要注意特殊值的应用,属于基础题.二、平面向量及其应用选择题16.D 【详解】()22cos 2cos 2212sin(2)16f x x x x x x π=+=+=++,当12x π=时,sin(2)sin163x ππ+=≠±,∴f (x )不关于直线12x π=对称;当512x π=时,2sin(2)116x π++= ,∴f (x )关于点5(,1)12π对称; f (x )得周期22T ππ==, 当(,0)3x π∈-时,2(,)626x πππ+∈-,∴f (x )在(,0)3π-上是增函数. 本题选择D 选项. 17.A 【分析】 根据题意得出tan tan tan A B Ca b c==,利用正弦定理边化角思想和切化弦思想得出A B C ==,从而可得知ABC ∆为等边三角形,进而可求得BC 所对的ABC ∆外接圆的劣弧长. 【详解】0a OA b OB c OC ⋅+⋅+⋅=,a bOC OA OB c c∴=--,同理可得tan tan tan tan A B OC OA OB C C =--,tan tan tan tan a A c Cb Bc C ⎧-=-⎪⎪∴⎨⎪-=-⎪⎩,tan tan tan A B Ca b c∴==, 由正弦定理得tan tan tan sin sin sin A B C A B C ==,所以,111cos cos cos A B C==, cos cos cos A B C ∴==,由于余弦函数cos y x =在区间()0,π上单调递减,所以,3A B C π===, 设ABC ∆的外接圆半径为R,则22sin aR A===,1R ∴=, 所以,边BC 所对的ABC ∆外接圆的劣弧长为222133R A ππ⨯=⨯=. 故选:A. 【点睛】本题考查弧长的计算,涉及正弦定理边角互化思想、切化弦思想以及正弦定理的应用,考查计算能力,属于中等题. 18.C 【分析】 取,a b 夹角为3π,计算排除ABD ,得到答案. 【详解】 取,a b 夹角为3π,则0a b -≠,12a b ⋅=,排除ABD ,易知1a b ==. 故选:C . 【点睛】本题考查了单位向量,意在考查学生的推断能力. 19.A 【解析】∵2350OA OB OC ++=,∴()()23OA OC OB OC +=-+. 设AC 中点为M ,BC 中点为N ,则23OM ON =-,∵MN为ABC 的中位线,且32 OMON=,∴36132255410OAC OMC CMN ABC ABCS S S S S⎛⎫==⨯=⨯=⎪⎝⎭,即12310SS=.选A.20.C【分析】由三角形的重心定理和平面向量的共线定理可得答案.【详解】ABC 中,AD、BE、CF分别是BC、CA、AB上的中线,它们交于点G,可得G 为重心,则23BG BE=,2CG GF=,12DG GA=且0GA GB GC++=故选:C【点睛】本题考查了三角形的重心定理和向量共线定理,属于中档题.21.D【分析】构造符合题意的特殊三角形(例如直角三角形),然后利用平面向量的线性运算法则进行计算即可得解.【详解】解:如图所示的Rt ABC∆,其中角B为直角,则垂心H与B重合,O为ABC∆的外心,OA OC∴=,即O为斜边AC的中点,又M为BC中点,∴2AH OM=,M为BC中点,∴22()2(2)AB AC AM AH HM OM HM+==+=+.4224OM HM HM MO=+=-故选:D.【点睛】本题考查平面向量的线性运算,以及三角形的三心问题,同时考查学生分析问题的能力和推理论证能力.22.D【分析】由数量积的定义判断B角的大小,得三角形形状.由题意cos()0a b a b B π⋅=->,∴cos()0B π->,cos 0B ->,cos 0B <,又B 是三角形内角,∴2B ππ<<.∴ABC 是钝角三角形. 故选:D . 【点睛】本题考查考查三角形形状的判断,解题关键是掌握数量积的定义.向量夹角的概念. 23.B 【分析】根据方程有实根得到24cos 0a a b θ∆=-≥,利用向量模长关系可求得1cos 2θ≤,根据向量夹角所处的范围可求得结果. 【详解】关于x 的方程20x a x a b ++⋅=有实根 240a a b ∴∆=-⋅≥设a 与b 的夹角为θ,则24cos 0a a b θ-≥ 又20a b =≠ 24cos 0b b θ∴-≥ 1cos 2θ∴≤ 又[]0,θπ∈ ,3πθπ⎡⎤∴∈⎢⎥⎣⎦本题正确选项:B 【点睛】本题考查向量夹角的求解问题,关键是能够利用方程有实根得到关于夹角余弦值的取值范围,从而根据向量夹角范围得到结果. 24.B 【分析】延长PB 至D ,可得出点P 是ADC 的重心,再根据重心的性质可得出结论。
一、高中英语阅读理解1.阅读理解China Small Group ToursTour Route 1: 11 Days Private Beijing – Lhasa – Xi'an – ShanghaiTour Highlights:Must-see sights in China-the Great Wall, Forbidden City, Terracotta WarriorsFollow us on a Buddhist pilgrimage to Tibet & appreciate the profound cultureHave a leisurely walk or an exciting bicycle ride on the time-honored City Wall of Xi'anView the soaring city skylines and feel the pulse of modern ShanghaiFrom $ 2, 459 per personTour Route 2: 11 Days Private Bejing –Xi'an –Chonqing –Yangtze River Cruise –Yichang –ShanghaiTour Highlights:Must-see sights in China-the Great Wall, Forbidden City, Terracotta WarriorsTry biking on the Ming Dynasty City Wall of Xi' an, or tour by electric carEnjoy the Three Gorges scenery on Yangtze River & feel totally relaxedFrom $ 1, 879 per personTour Route 3: 12 Days Private Beijing – Shanghai – Xi'an – Guilin – Yangshuo – Guilin – Hong KongTour Highlights:Must-see sights in China-the Great Wall, Forbidden City, Terracotta WarriorsExperience the Bund, classical garden, modern and old in contrast in ShanghaiFeel the lively atmosphere & explore busy markets freely in Hong KongWalk into a local family, learn to cook Chinese food & dine with the hosts in their homeFrom $ 2, 499 per personTour Route 4: 12 Days Private Beijing – Xi'an – Chengdu – Guilin – ShanghaiTour Highlights:Must-see sights in China-the Great Wall, Forbidden City, Terracotta Warriors, Giant PandasCome to Chengdu,the hometown of giant pandas to visit and observe the cute creatureCruise on the meandering Li River & admire Guilin landscapeWalk into a local Chinese family, interact & dine with the hosts in their homeFrom $2, 079 per person(1)What do Tour Route 1 and Tour Route 2 have in common?A. They have cycling activities.B. They include a visit to Tibet.C. Visitors enjoy the Three Gorges scenery.D. Visitors pay the same amount of money.(2)What is special about Tour Route 2?A.Tourists can travel by bike.B.Tourists can visit a huge dam.C.Tourists can dine with a family.D.It is the most expensive of the four.(3)Where can visitors enjoy China's rare animals?A.Tour Route 1.B.Tour Route 2.C.Tour Route 3.D.Tour Route 4.【答案】(1)A(2)B(3)D【解析】【分析】本文是一篇应用文,介绍了四条旅游路线。
一、等差数列选择题1.在等差数列{}n a 的中,若131,5a a ==,则5a 等于( )A .25B .11C .10D .92.等差数列{}n a 的公差为2,若248,,a a a 成等比数列,则9S =( ) A .72B .90C .36D .453.已知数列{}n a 的前n 项和为n S ,15a =,且满足122527n na a n n +-=--,若p ,*q ∈N ,p q >,则p q S S -的最小值为( )A .6-B .2-C .1-D .04.在等差数列{}n a 中,3914a a +=,23a =,则10a =( ) A .11 B .10 C .6 D .3 5.在等差数列{a n }中,a 3+a 7=4,则必有( )A .a 5=4B .a 6=4C .a 5=2D .a 6=26.数列{}n a 为等差数列,11a =,34a =,则通项公式是( ) A .32n -B .322n - C .3122n - D .3122n + 7.已知数列{}n a 的前n 项和n S 满足()12n n n S +=,则数列11n n a a +⎧⎫⎨⎬⎩⎭的前10项的和为( ) A .89B .910C .1011D .11128.设等差数列{}n a 的前n 项和为n S ,若2938a a a +=+,则15S =( ) A .60B .120C .160D .2409.已知各项不为0的等差数列{}n a 满足26780a a a -+=,数列{}n b 是等比数列,且77b a =,则3810b b b =( )A .1B .8C .4D .2 10.设等差数列{}n a 的公差d ≠0,前n 项和为n S ,若425S a =,则99S a =( ) A .9B .5C .1D .5911.已知{}n a 为等差数列,n S 是其前n 项和,且100S =,下列式子正确的是( ) A .450a a +=B .560a a +=C .670a a +=D .890a a +=12.若数列{}n a 满足121()2n n a a n N *++=∈,且11a =,则2021a =( )A .1010B .1011C .2020D .202113.已知数列{}n a 是公差不为零且各项均为正数的无穷等差数列,其前n 项和为n S .若p m n q <<<且()*,,,p q m n p q m n N +=+∈,则下列判断正确的是( )A .22p p S p a =⋅B .p q m n a a a a >C .1111p q m n a a a a +<+D .1111p q m nS S S S +>+ 14.记n S 为等差数列{}n a 的前n 项和,若542S S =,248a a +=,则5a 等于( ) A .6B .7C .8D .1015.已知数列{}n a 的前n 项和()2*n S n n N =∈,则{}na 的通项公式为( )A .2n a n =B .21n a n =-C .32n a n =-D .1,12,2n n a n n =⎧=⎨≥⎩16.等差数列{}n a 中,若26a =,43a =,则5a =( ) A .32B .92C .2D .917.已知数列{}n a 的前n 项和为n S ,且()11213n n n n S S a n +++=+-+,现有如下说法:①541a a =;②222121n n a a n ++=-;③401220S =. 则正确的个数为( ) A .0B .1C .2D .318.在等差数列{}n a 中,520164a a +=,S ,是数列{}n a 的前n 项和,则S 2020=( ) A .2019B .4040C .2020D .403819.已知正项数列{}n a 满足11a =,1111114n n n n a a a a ++⎛⎫⎛⎫+-=⎪⎪⎝⎭⎝⎭,数列{}n b 满足1111n n nb a a +=+,记{}n b 的前n 项和为n T ,则20T 的值为( ) A .1B .2C .3D .420.已知等差数列{}n a 中,161,11a a ==,则数列{}n a 的公差为( ) A .53B .2C .8D .13二、多选题21.题目文件丢失!22.已知数列{}n a 的前4项为2,0,2,0,则该数列的通项公式可能为( )A .0,2,n n a n ⎧=⎨⎩为奇数为偶数B .1(1)1n n a -=-+C .2sin2n n a π= D .cos(1)1n a n π=-+23.(多选题)已知数列{}n a 中,前n 项和为n S ,且23n n n S a +=,则1n n a a -的值不可能为( ) A .2B .5C .3D .424.已知递减的等差数列{}n a 的前n 项和为n S ,57S S =,则( ) A .60a > B .6S 最大 C .130S >D .110S >25.已知等差数列{}n a 的前n 项和为,n S 且15110,20,a a a 则( )A .80a <B .当且仅当n = 7时,n S 取得最大值C .49S S =D .满足0n S >的n 的最大值为1226.下面是关于公差0d >的等差数列{}n a 的四个命题,其中的真命题为( ). A .数列{}n a 是递增数列 B .数列{}n na 是递增数列 C .数列{}na n是递增数列 D .数列{}3n a nd +是递增数列27.已知数列{}n a 满足:13a =,当2n ≥时,)211n a =-,则关于数列{}n a 说法正确的是( )A .28a =B .数列{}n a 为递增数列C .数列{}n a 为周期数列D .22n a n n =+28.公差为d 的等差数列{}n a ,其前n 项和为n S ,110S >,120S <,下列说法正确的有( ) A .0d <B .70a >C .{}n S 中5S 最大D .49a a <29.等差数列{}n a 的前n 项和为n S ,1385a a S +=,则下列结论一定正确的是( ) A .100a = B .当9n =或10时,n S 取最大值 C .911a a <D .613S S =30.已知{}n a 为等差数列,其前n 项和为n S ,且13623a a S +=,则以下结论正确的是( ).A .10a =0B .10S 最小C .712S S =D .190S =【参考答案】***试卷处理标记,请不要删除一、等差数列选择题 1.D 【分析】利用等差数列的性质直接求解. 【详解】 因为131,5a a ==,315529a a a a =+∴=,故选:D . 2.B 【分析】由题意结合248,,a a a 成等比数列,有2444(4)(8)a a a =-+即可得4a ,进而得到1a 、n a ,即可求9S . 【详解】由题意知:244a a =-,848a a =+,又248,,a a a 成等比数列,∴2444(4)(8)a a a =-+,解之得48a =,∴143862a a d =-=-=,则1(1)2n a a n d n =+-=,∴99(229)902S ⨯+⨯==,故选:B 【点睛】思路点睛:由其中三项成等比数列,利用等比中项性质求项,进而得到等差数列的基本量 1、由,,m k n a a a 成等比,即2k m n a a a =; 2、等差数列前n 项和公式1()2n n n a a S +=的应用. 3.A 【分析】 转化条件为122527n n a an n +-=--,由等差数列的定义及通项公式可得()()2327n a n n =--,求得满足0n a ≤的项后即可得解.【详解】因为122527n n a a n n +-=--,所以122527n na a n n +-=--, 又1127a =--,所以数列27n a n ⎧⎫⎨⎬-⎩⎭是以1-为首项,公差为2的等差数列, 所以()1212327na n n n =-+-=--,所以()()2327n a n n =--, 令()()23270n a n n =--≤,解得3722n ≤≤, 所以230,0a a <<,其余各项均大于0, 所以()()()3123min13316p q S S a a S S =-=+=⨯-+--⨯=-.故选:A. 【点睛】解决本题的关键是构造新数列求数列通项,再将问题转化为求数列中满足0n a ≤的项,即可得解. 4.A 【分析】利用等差数列的通项公式求解1,a d ,代入即可得出结论. 【详解】由3914a a +=,23a =, 又{}n a 为等差数列, 得39121014a a a d +=+=,213a a d =+=,解得12,1a d ==, 则101+92911a a d ==+=; 故选:A. 5.C 【分析】利用等差数列的性质直接计算求解 【详解】因为a 3+a 7=2a 5=4,所以a 5=2. 故选:C 6.C 【分析】根据题中条件,求出等差数列的公差,进而可得其通项公式. 【详解】因为数列{}n a 为等差数列,11a =,34a =,则公差为31322a a d -==, 因此通项公式为()33111222n a n n =+-=-. 故选:C. 7.C 【分析】 首先根据()12n n n S +=得到n a n =,设11111n n n b a a n n +==-+,再利用裂项求和即可得到答案. 【详解】当1n =时,111a S ==, 当2n ≥时,()()11122n n n n n n n a S S n -+-=-=-=. 检验111a S ==,所以n a n =. 设()1111111n n n b a a n n n n +===-++,前n 项和为n T , 则10111111101122310111111T ⎛⎫⎛⎫⎛⎫=-+-++-=-= ⎪ ⎪ ⎪⎝⎭⎝⎭⎝⎭…. 故选:C 8.B 【分析】根据等差数列的性质可知2938a a a a +=+,结合题意,可得出88a =,最后根据等差数列的前n 项和公式和等差数列的性质,得出()11515815152a a S a +==,从而可得出结果.【详解】解:由题可知,2938a a a +=+,由等差数列的性质可知2938a a a a +=+,则88a =, 故()1158158151521515812022a a a S a +⨯====⨯=. 故选:B. 9.B 【分析】根据等差数列的性质,由题中条件,求出72a =,再由等比数列的性质,即可求出结果. 【详解】因为各项不为0的等差数列{}n a 满足26780a a a -+=,所以27720a a -=,解得72a =或70a =(舍);又数列{}n b 是等比数列,且772b a ==,所以33810371178b b b b b b b ===.故选:B. 10.B 【分析】由已知条件,结合等差数列通项公式得1a d =,即可求99S a . 【详解】4123425S a a a a a =+++=,即有13424a a a a ++=,得1a d =,∴1999()452a a S d ⨯+==,99a d =,且0d ≠, ∴995S a =. 故选:B 11.B 【分析】由100S =可计算出1100a a +=,再利用等差数列下标和的性质可得出合适的选项. 【详解】由等差数列的求和公式可得()110101002a a S +==,1100a a ∴+=, 由等差数列的基本性质可得561100a a a a +=+=. 故选:B. 12.B 【分析】根据递推关系式求出数列的通项公式即可求解. 【详解】 由121()2n n a a n N *++=∈,则11()2n n a a n N *+=+∈, 即112n n a a +-=, 所以数列{}n a 是以1为首项,12为公差的等差数列, 所以()()11111122n n a a n d n +=+-=+-⨯=, 所以2021a =2021110112+=. 故选:B13.D 【分析】利用等差数列的求和公式可判断A 选项的正误;利用作差法结合等差数列的通项公式可判断B 选项的正误;利用p q m n a a a a <结合不等式的基本性质可判断C 选项的正误;利用等差数列的求和公式结合不等式的基本性质可判断D 选项的正误. 【详解】对于A 选项,由于()()1221222p pp p p p a a Sp a a pa ++==+≠,故选项A 错误;对于B 选项,由于m p q n -=-,则()()p q m n m n m n a a a a a p m d a q n d a a ⋅-⋅=+-⋅+--⋅⎡⎤⎡⎤⎣⎦⎣⎦()()()()()22m n m n m n a q n d a q n d a a q n a a d q n d =--⋅+--=----⎡⎤⎡⎤⎣⎦⎣⎦()()()2220q n n m d q n d =-----<,故选项B 错误;对于C 选项,由于1111p q m n m n p q p q p q m n m na a a a a a a a a a a a a a a a ++++==>=+⋅⋅⋅,故选项C 错误; 对于D 选项,设0x q n m p =-=->,则()()()20pq mn m x n x mn x n m x -=-+-=---<,从而pq mn <,由于222222p q m n p q pq m n mn +=+⇔++=++,故2222p q m n +>+.()()()()()()111111p q pq p q mn m n m n --=-++<-++=--,故()()22221122p q m n p q p q m n m nS S p q a d m n a d S S +--+--+=++>++=+.()()()()()221111112112224p q p p q q pq p q pq p q S S pa d qa d pqa a d d--+---⎡⎤⎡⎤⋅=+⋅+=++⎢⎥⎢⎥⎣⎦⎣⎦()()()221121124mn m n mn p q mna a d d+---<++()()()221121124m n mn m n mn m n mna a d d S S +---<++=,由此1111p q m n p q p q m n m nS S S S S S S S S S S S +++=>=+,故选项D 正确. 故选:D. 【点睛】关键点点睛:本题考查等差数列中不等式关系的判断,在解题过程中充分利用基本量来表示n a 、n S ,并结合作差法、不等式的基本性质来进行判断. 14.D 【分析】由等差数列的通项公式及前n 项和公式求出1a 和d ,即可求得5a . 【详解】解:设数列{}n a 的首项为1a ,公差为d , 则由542S S =,248a a +=,得:111154435242238a d a d a d a d ⨯⨯⎛⎫+=+ ⎪⎝⎭+++=⎧⎪⎨⎪⎩,即{1132024a d a d +-+=, 解得:{123a d =-=,51424310a a d ∴=+=-+⨯=.故选:D. 15.B 【分析】利用1n n n a S S -=-求出2n ≥时n a 的表达式,然后验证1a 的值是否适合,最后写出n a 的式子即可. 【详解】2n S n =,∴当2n ≥时,221(1)21n n n a S S n n n -=-=--=-,当1n =时,111a S ==,上式也成立,()*21n a n n N ∴=-∈,故选:B. 【点睛】易错点睛:本题考查数列通项公式的求解,涉及到的知识点有数列的项与和的关系,即11,1,2n nn S n a S S n -=⎧=⎨-≥⎩,算出之后一定要判断1n =时对应的式子是否成立,最后求得结果,考查学生的分类思想与运算求解能力,属于基础题. 16.A 【分析】由2a 和4a 求出公差d ,再根据54a a d =+可求得结果. 【详解】设公差为d ,则423634222a a d --===--, 所以5433322a a d =+=-=. 故选:A 17.D 【分析】由()11213n n n n S S a n +++=+-+得到()11132n n n a a n ++=-+-,再分n 为奇数和偶数得到21262k k a a k +=-+-,22165k k a a k -=+-,然后再联立递推逐项判断. 【详解】因为()11213n n n n S S a n +++=+-+,所以()11132n n n a a n ++=-+-,所以()212621k k a a k +=-+-,()221652k k a a k -=+-, 联立得:()212133k k a a +-+=, 所以()232134k k a a +++=, 故2321k k a a +-=,从而15941a a a a ===⋅⋅⋅=,22162k k a a k ++=-,222161k k a a k ++=++,则222121k k a a k ++=-,故()()()4012345383940...S a a a a a a a a =++++++++,()()()()234538394041...a a a a a a a a =++++++++,()()201411820622k k =+⨯=-==∑1220,故①②③正确. 故选:D 18.B 【分析】由等差数列的性质可得52012016024a a a a +==+,则()15202020202016202010102a a a a S +=⨯=⨯+可得答案. 【详解】 等差数列{}n a 中, 52012016024a a a a +==+()12020202052016202010104101040402a a a a S +===⨯=+⨯⨯ 故选:B 19.B 【分析】 由题意可得221114n na a +-=,运用等差数列的通项公式可得2143n n a =-,求得14n b =,然后利用裂项相消求和法可求得结果【详解】解:由11a =,1111114n n n n a a a a ++⎛⎫⎛⎫+-= ⎪⎪⎝⎭⎝⎭,得221114n n a a +-=, 所以数列21n a ⎧⎫⎨⎬⎩⎭是以4为公差,以1为首项的等差数列, 所以2114(1)43nn n a =+-=-, 因为0n a >,所以n a =,所以1111n n nb a a +=+=所以14n b ==, 所以201220T b b b =++⋅⋅⋅+111339(91)244=++⋅⋅⋅+=⨯-=, 故选:B【点睛】关键点点睛:此题考查由数列的递推式求数列的前n 项和,解题的关键是由已知条件得221114n n a a +-=,从而数列21n a ⎧⎫⎨⎬⎩⎭是以4为公差,以1为首项的等差数列,进而可求n a =,14n b ==,然后利用裂项相消法可求得结果,考查计算能力和转化思想,属于中档题20.B【分析】设公差为d ,则615a a d =+,即可求出公差d 的值.【详解】设公差为d ,则615a a d =+,即1115d =+,解得:2d =,所以数列{}n a 的公差为2,故选:B二、多选题21.无22.BD【分析】根据选项求出数列的前4项,逐一判断即可.【详解】解:因为数列{}n a 的前4项为2,0,2,0,选项A :不符合题设;选项B :01(1)12,a =-+=12(1)10,a =-+= 23(1)12,a =-+=34(1)10a =-+=,符合题设;选项C :,12sin 2,2a π==22sin 0,a π==332sin 22a π==-不符合题设; 选项D :1cos 012,a =+=2cos 10,a π=+=3cos 212,a π=+=4cos310a π=+=,符合题设.故选:BD.【点睛】本题考查数列的通项公式的问题,考查了基本运算求解能力,属于基础题.23.BD【分析】 利用递推关系可得1211n n a a n -=+-,再利用数列的单调性即可得出答案. 【详解】 解:∵23n n n S a +=, ∴2n ≥时,112133n n n n n n n a S S a a --++=-=-, 化为:112111n n a n a n n -+==+--, 由于数列21n ⎧⎫⎨⎬-⎩⎭单调递减, 可得:2n =时,21n -取得最大值2. ∴1n n a a -的最大值为3. 故选:BD .【点睛】本题考查了数列递推关系、数列的单调性,考查了推理能力与计算能力,属于中档题. 24.ABD【分析】转化条件为670a a +=,进而可得60a >,70a <,再结合等差数列的性质及前n 项和公式逐项判断即可得解.【详解】因为57S S =,所以750S S -=,即670a a +=,因为数列{}n a 递减,所以67a a >,则60a >,70a <,故A 正确;所以6S 最大,故B 正确;所以()113137131302a a S a +⨯==<,故C 错误; 所以()111116111102a a S a +⨯==>,故D 正确. 故选:ABD.25.ACD【分析】由题可得16a d =-,0d <,21322n d d S n n =-,求出80a d =<可判断A ;利用二次函数的性质可判断B ;求出49,S S 可判断C ;令213022n d d S n n =->,解出即可判断D. 【详解】设等差数列{}n a 的公差为d ,则()5111122+4++100a a a d a d +==,解得16a d =-, 10a >,0d ∴<,且()21113+222n n n d d S na d n n -==-, 对于A ,81+7670a a d d d d ==-+=<,故A 正确;对于B ,21322n d d S n n =-的对称轴为132n =,开口向下,故6n =或7时,n S 取得最大值,故B 错误; 对于C ,4131648261822d d S d d d =⨯-⨯=-=-,9138191822d d S d =⨯-⨯=-,故49S S =,故C 正确; 对于D ,令213022n d d S n n =->,解得013n <<,故n 的最大值为12,故D 正确. 故选:ACD.【点睛】方法点睛:由于等差数列()2111+222n n n d d S na d n a n -⎛⎫==+- ⎪⎝⎭是关于n 的二次函数,当1a 与d 异号时,n S 在对称轴或离对称轴最近的正整数时取最值;当1a 与d 同号时,n S 在1n =取最值.26.AD【分析】根据等差数列的性质,对四个选项逐一判断,即可得正确选项.【详解】0d >,10n n a a d +-=> ,所以{}n a 是递增数列,故①正确,()()2111n na n a n d dn a d n =+-=+-⎡⎤⎣⎦,当12d a n d-<时,数列{}n na 不是递增数列,故②不正确,1n a a d d n n -=+,当10a d -<时,{}n a n不是递增数列,故③不正确, 134n a nd nd a d +=+-,因为0d >,所以{}3n a nd +是递增数列,故④正确, 故选:AD【点睛】本题主要考查了等差数列的性质,属于基础题.27.ABD【分析】由已知递推式可得数列2=,公差为1的等差数列,结合选项可得结果.【详解】 )211n a =-得)211n a +=,1=,即数列2=,公差为1的等差数列,2(1)11n n =+-⨯=+,∴22n a n n =+,得28a =,由二次函数的性质得数列{}n a 为递增数列,所以易知ABD 正确,故选:ABD.【点睛】本题主要考查了通过递推式得出数列的通项公式,通过通项公式研究数列的函数性质,属于中档题.28.AD【分析】先根据题意得1110a a +>,1120a a +<,再结合等差数列的性质得60a >,70a <,0d <,{}n S 中6S 最大,49a a <-,即:49a a <.进而得答案.【详解】解:根据等差数列前n 项和公式得:()111111102a a S +=>,()112121202a a S +=<所以1110a a +>,1120a a +<,由于11162a a a +=,11267a a a a +=+,所以60a >,760a a <-<,所以0d <,{}n S 中6S 最大,由于11267490a a a a a a +=+=+<,所以49a a <-,即:49a a <.故AD 正确,BC 错误.故选:AD.【点睛】本题考查等差数列的前n 项和公式与等差数列的性质,是中档题. 29.AD【分析】由1385a a S +=求出100a =,即19a d =-,由此表示出9a 、11a 、6S 、13S ,可判断C 、D 两选项;当0d >时,10a <,n S 有最小值,故B 错误.【详解】解:1385a a S +=,111110875108,90,02d a a d a a d a ⨯++=++==,故正确A. 由190a d +=,当0d >时,10a <,n S 有最小值,故B 错误. 9101110,a a d d a a d d =-==+=,所以911a a =,故C 错误. 61656+5415392d S a d d d ⨯==-+=-, 131131213+11778392d S a d d d ⨯==-+=-,故D 正确. 故选:AD【点睛】考查等差数列的有关量的计算以及性质,基础题.30.ACD【分析】由13623a a S +=得100a =,故A 正确;当0d <时,根据二次函数知识可知n S 无最小值,故B 错误;根据等差数列的性质计算可知127S S =,故C 正确;根据等差数列前n 项和公式以及等差数列的性质可得190S =,故D 正确.【详解】因为13623a a S +=,所以111236615a a d a d ++=+,所以190a d +=,即100a =,故A 正确;当0d <时,1(1)(1)922n n n n n S na d dn d --=+=-+2(19)2d n n =-无最小值,故B 错误; 因为127891*********S S a a a a a a -=++++==,所以127S S =,故C 正确; 因为()1191910191902a a S a +⨯===,故D 正确. 故选:ACD.【点睛】本题考查了等差数列的通项公式、前n 项和公式,考查了等差数列的性质,属于中档题.。
一、数列的概念选择题1.历史上数列的发展,折射出许多有价值的数学思想方法,对时代的进步起了重要的作用.比如意大利数学家列昂纳多—斐波那契以兔子繁殖为例,引入“兔子数列”:即1,1,2,3,5,8,13,21,34,55,89,144,233…即121a a ==,当n ≥3时,12n n n a a a --=+,此数列在现代物理及化学等领域有着广泛的应用.若此数列的各项依次被4整除后的余数构成一个新的数列{}n b ,记数列{}n b 的前n 项和为n S ,则20S 的值为( ) A .24B .26C .28D .302.在数列{}n a 中,11a =,20192019a =,且*n N ∈都有122n n n a a a ++≥+,则下列结论正确的是( )A .存在正整数0N ,当0n N >时,都有n a n ≤.B .存在正整数0N ,当0n N >时,都有n a n ≥.C .对常数M ,一定存在正整数0N ,当0n N >时,都有n a M ≤.D .对常数M ,一定存在正整数0N ,当0n N >时,都有n a M ≥. 3.数列{}n a 满足()11121n n n a a n ++=-+-,则数列{}n a 的前48项和为( )A .1006B .1176C .1228D .23684.已知数列{}n a ,若()12*Nn n n a a a n ++=+∈,则称数列{}na 为“凸数列”.已知数列{}nb 为“凸数列”,且11b =,22b =-,则数列{}n b 的前2020项和为( ) A .5B .5-C .0D .1-5.在数列{}n a 中,12a =,111n n a a -=-(2n ≥),则8a =( ) A .1-B .12C .1D .26.若数列{}n a 满足:存在正整数T ,对于任意正整数n 都有1n n a a +=成立,则称数列{}n a 为周期数列,周期为T .已知数列{}n a 满足()111,10,{1,01n n n n na a a m m a a a +->=>=<≤ ,则下列结论错误的是( ) A .若34a =,则m 可以取3个不同的数; B.若m =,则数列{}n a 是周期为3的数列;C .存在m Q ∈,且2m ≥,数列{}n a 是周期数列;D .对任意T N *∈且2T ≥,存在1m >,使得{}n a 是周期为T 的数列.7.已知数列{}n a 的首项为1,第2项为3,前n 项和为n S ,当整数1n >时,1112()nnn S S S S 恒成立,则15S 等于( )A .210B .211C .224D .2258.南宋数学家杨辉在《详解九章算法》和《算法通变本末》中,提出了一些新的垛积公式,所讨论的高阶等差数列与一般等差数列不同,前后两项之差并不相等,但是逐项差数之差或者高次差成等差数列对这类高阶等差数列的研究,在杨辉之后一般称为“垛积术”现有高阶等差数列,其前7项分别为1,4,8,14,23,36,54,则该数列的第19项为( )(注:()()22221211236n n n n ++++++=)A .1624B .1198C .1024D .15609.3……,则 ) A .第8项B .第9项C .第10项D .第11项10.设n a 表示421167n n +的个位数字,则数列{}n a 的第38项至第69项之和383969a a a ++⋅⋅⋅+=( )A .180B .160C .150D .14011.在数列{}n a 中,已知13a =,26a =,且21n n n a a a ++=-,则2020a =( ) A .-6 B .6 C .-3D .312.已知数列{}n a 的前n 项和为n S ,若*1n S n N n =∈,,则2a =( ) A .12-B .16-C .16D .1213.已知数列265n a n n =-+则该数列中最小项的序号是( )A .3B .4C .5D .614.已知数列{}n a 满足:113a =,1(1)21n n n a na n ++-=+,*n N ∈,则下列说法正确的是( ) A .1n n a a +≥ B .1n n a a +≤C .数列{}n a 的最小项为3a 和4aD .数列{}n a 的最大项为3a 和4a15.已知数列{}n b 满足12122n n b n λ-⎛⎫=-- ⎪⎝⎭,若数列{}n b 是单调递减数列,则实数λ的取值范围是( )A .101,3B .110,23⎛⎫- ⎪⎝⎭C .(-1,1)D .1,12⎛⎫-⎪⎝⎭16.已知数列{}n a 满足1N a *∈,1,2+3,nn n n n a a a a a +⎧⎪=⎨⎪⎩为偶数为奇数,若{}n a 为周期数列,则1a 的可能取到的数值有( ) A .4个B .5个C .6个D .无数个17.在数列{}n a 中,11(1)1,2(2)nn n a a n a --==+≥,则3a =( ) A .0B .53C .73D .318.下列命题中错误的是( ) A .()()21f n n n N+=-∈是数列的一个通项公式B .数列通项公式是一个函数关系式C .任何一个数列中的项都可以用通项公式来表示D .数列中有无穷多项的数列叫作无穷数列 19.数列{}n a 满足:12a =,111nn na a a ++=-()*n N ∈其前n 项积为n T ,则2018T =( ) A .6-B .16-C .16D .620.已知数列{}n a 的首项为2,且数列{}n a 满足111n n n a a a +-=+,数列{}n a 的前n 项的和为n S ,则1008S 等于( ) A .504B .294C .294-D .504-二、多选题21.已知数列{}n a 的前4项为2,0,2,0,则该数列的通项公式可能为( ) A .0,2,n n a n ⎧=⎨⎩为奇数为偶数B .1(1)1n n a -=-+C .2sin2n n a π= D .cos(1)1n a n π=-+22.已知数列{}n a 满足112a =-,111n na a +=-,则下列各数是{}n a 的项的有( )A .2-B .23 C .32D .323.等差数列{}n a 的前n 项和为n S ,1385a a S +=,则下列结论一定正确的是( ) A .100a =B .911a a =C .当9n =或10时,n S 取得最大值D .613S S =24.已知等差数列{}n a 的前n 项和为n S ,218a =,512a =,则下列选项正确的是( ) A .2d =- B .122a =C .3430a a +=D .当且仅当11n =时,n S 取得最大值25.等差数列{}n a 的前n 项和为n S ,若10a >,公差0d ≠,则( ) A .若59S >S ,则150S > B .若59S =S ,则7S 是n S 中最大的项 C .若67S S >, 则78S S >D .若67S S >则56S S >.26.无穷等差数列{}n a 的前n 项和为S n ,若a 1>0,d <0,则下列结论正确的是( ) A .数列{}n a 单调递减 B .数列{}n a 有最大值 C .数列{}n S 单调递减D .数列{}n S 有最大值27.已知等差数列{}n a 的公差不为0,其前n 项和为n S ,且12a 、8S 、9S 成等差数列,则下列四个选项中正确的有( ) A .59823a a S +=B .27S S =C .5S 最小D .50a =28.设d 为正项等差数列{}n a 的公差,若0d >,32a =,则( ) A .244a a ⋅<B .224154a a +≥C .15111a a +> D .1524a a a a ⋅>⋅29.在数列{}n a 中,若22*1(2,.n n a a p n n N p --=≥∈为常数),则称{}n a 为“等方差数列”.下列对“等方差数列”的判断正确的是( ) A .若{}n a 是等差数列,则{}n a 是等方差数列 B .{(1)}n -是等方差数列C .若{}n a 是等方差数列,则{}()*,kn a k Nk ∈为常数)也是等方差数列D .若{}n a 既是等方差数列,又是等差数列,则该数列为常数列 30.定义11222n nn a a a H n-+++=为数列{}n a 的“优值”.已知某数列{}n a 的“优值”2nn H =,前n 项和为n S ,则( )A .数列{}n a 为等差数列B .数列{}n a 为等比数列C .2020202320202S = D .2S ,4S ,6S 成等差数列31.已知数列{}n a 的前n 项和为,n S 25,n S n n =-则下列说法正确的是( )A .{}n a 为等差数列B .0n a >C .n S 最小值为214-D .{}n a 为单调递增数列32.设等差数列{}n a 的前n 项和为n S ,若39S =,47a =,则( )A .2n S n =B .223n S n n =-C .21n a n =-D .35n a n =-33.已知等差数列{}n a 的前n 项和为S n (n ∈N *),公差d ≠0,S 6=90,a 7是a 3与a 9的等比中项,则下列选项正确的是( ) A .a 1=22B .d =-2C .当n =10或n =11时,S n 取得最大值D .当S n >0时,n 的最大值为2134.无穷数列{}n a 的前n 项和2n S an bn c =++,其中a ,b ,c 为实数,则( )A .{}n a 可能为等差数列B .{}n a 可能为等比数列C .{}n a 中一定存在连续三项构成等差数列D .{}n a 中一定存在连续三项构成等比数列35.等差数列{}n a 的前n 项和为n S ,若90a <,100a >,则下列结论正确的是( ) A .109S S >B .170S <C .1819S S >D .190S >【参考答案】***试卷处理标记,请不要删除一、数列的概念选择题 1.B 解析:B 【分析】先写出新数列的各项,找到数列的周期,即得解. 【详解】由题意可知“斐波那契数列”的各项依次被4整除后的余数构成一个新的数列{}n b , 此数列的各项求得:1,1,2,3,1,0,1,1,2,3,1,0,1……,则其周期为6, 其中1+1+2+3+1+0=8,则201819201812S S b b S b b =++=++381126=⨯++=, 故选:B.2.A解析:A 【分析】运用数列的单调性和不等式的知识可解决此问题. 【详解】数列{}n a 中,11a =,20192019a =,且*n N ∈都有122n n n a a a ++≥+,121n n n n a a a a +++∴≥--,设1n n n d a a +=-,则1n n d d +≥,∴数列{}n d 是递减数列.对于A ,由11a =,20192019a =, 则201911220182019a a d d d =+++=,所以1220182018d d d +++=,又1232018d d d d ≥≥≥≥,所以1122018201820182018d d d d d ≥+++≥,故120181d d ≥≥,2018n ∴≥时,1n d ≤,02019N ∃=,2019n >时, 20192019202012019111n n a a d d d n -=+++≤++++=即存在正整数0N ,当0n N >时,都有n a n ≤,故A 正确;结合A ,故B 不正确;对于C ,当n →+∞,且0n d >时,数列{}n a 为递增数列, 则n a 无最大值,故C 不正确;对于D ,由数列{}n d 是递减数列,当存在0n d <时,则n a 无最小值,故D 不正确; 故选:A 【点睛】本题考查了数列的单调性以及不等式,属于基础题.3.B解析:B 【分析】根据题意,可知()11121n n n a a n ++--=-,分别列出各项,再整理得出132a a +=,248a a +=,572a a +=,6824a a +=,,45472a a +=,4648184a a +=,可知,相邻的奇数项之和为2,相邻的偶数项之和为等差数列,首项为8,公差为16,利用分组求和法,即可求出{}n a 的前48项和. 【详解】解:由题可知,()11121n n n a a n ++=-+-,即:()11121n n n a a n ++--=-,则有:211a a -=,323a a +=,435a a -=,547a a +=,659a a -=,7611a a +=,8713a a -=,9815a a +=,,474691a a +=,484793a a -=.所以,132a a +=,248a a +=,572a a +=,6824a a +=,,45472a a +=,4648184a a +=,可知,相邻的奇数项之和为2,相邻的偶数项之和为等差数列,首项为8,公差为16, 设数列{}n a 的前48项和为48S , 则4812345645464748S a a a a a a a a a a =++++++++++,()()1357454724684648a a a a a a a a a a a a =+++++++++++++12111221281611762⨯=⨯+⨯+⨯=, 所以数列{}n a 的前48项和为:1176. 故选:B. 【点睛】本题考查数列的递推公式的应用,以及利用分组求和法求和,考查归纳思想和计算能力.4.B解析:B 【分析】根据数列的递推关系可求得数{}n b 的周期为6,即可求得数列{}n b 的前2020项和. 【详解】()*21N n n n b b b n ++=-∈,且11b =,22b =-, ∴345673,1,2,3,1,b b b b b =-=-=== ∴{}n b 是以6为周期的周期数列,且60S =, ∴20203366412345S S b b b b ⨯+==+++=-,故选:B. 【点睛】本题考查数列的新定义、数列求和,考查运算求解能力,求解时注意通过计算数列的前6项,得到数列的周期.5.B解析:B 【分析】通过递推公式求出234,,a a a 可得数列{}n a 是周期数列,根据周期即可得答案. 【详解】 解:211111=1=22a a =--,3211121a a =-=-=-,4311112a a =-=+=, 则数列{}n a 周期数列,满足3n n a a -=,4n ≥85212a a a ∴===, 故选:B.本题考查数列的周期性,考查递推公式的应用,是基础题.6.C解析:C 【解析】试题分析:A:当01m <≤时,由34a =得1;125m m =<≤时,由34a =得54m =; 2m >时,()2311,,24a m a m =-∈+∞=-= 得6m = ;正确 .B:234111,11,1,m a a a =>∴====> 所以3T =,正确.C :命题较难证明,先考察命题D .D :命题的否定为“对任意的T N *∈,且2T ≥,不存在1m >,使得{}n a 是周期为T 的数列”,而由B 显然这个命题是错误的,因此D 正确,从而只有C 是错误. 考点:命题的真假判断与应用.【名师点睛】本题主要考查周期数列的推导和应用,考查学生的推理能力.此题首先要理解新定义“周期为T 的数列”,然后对A 、B 、C 、D 四个命题一一验证,A 、B 两个命题按照数列的递推公式进行计算即可,命题C 较难证明,但出现在选择题中,考虑到数学选择题中必有一个选项正确,因此我们先研究D 命题,并且在命题D 本身也很难的情况下,采取“正难则反”的方法,考虑命题D 的否定,命题D 的否定由命题B 很容易得出是错误的,从而命题D 是正确的.7.D解析:D 【分析】利用已知条件转化推出1122n n a a a +-==,说明数列是等差数列,然后求解数列的和即可. 【详解】 解:结合1112()nnn S S S S 可知,11122n n n S S S a +-+-=,得到1122n n a a a +-==,故数列{}n a 为首项为1,公差为2的等差数列,则12(1)21n a n n =+-=-,所以1529a =,所以11515()15(291)1522522a a S ++===, 故选:D . 【点睛】本题考查数列的递推关系式的应用,考查数列求和,是基本知识的考查.8.C解析:C设该数列为{}n a ,令1n n n b a a +=-,设{}n b 的前n 项和为n B ,又令1+=-n n n c b b ,则n c n =,依次用累加法,可求解.【详解】设该数列为{}n a ,令1n n n b a a +=-,设{}n b 的前n 项和为n B ,又令1+=-n n n c b b , 设{}n c 的前n 项和为n C ,易得n c n =,()()()111121n n n n n n n C c c c b b b b b b +----=+++=++++-所以11n n b b C +=-,1213b a a -==22n n n C +=,进而得21332n n n nb C ++=+=+, 所以()21133222n n n n b n -=+=-+,()()()()2221111121233226n n n n B n n n n +-=+++-++++=+同理:()()()111112n n n n n n n B b b b a a a a a a +---=+++=+++--11n n a a B +-=所以11n n a B +=+,所以191024a =. 故选:C 【点睛】本题考查构造数列,用累加法求数列的通项公式,属于中档题.9.D解析:D 【解析】 【分析】根据根号下的数字规律,可知为等差数列.利用等差数列性质求得通项公式,即可判断为第几项. 【详解】根据数列中的项,… 由前几项可知,根式下的数列是以5为首项, 4为公差的等差数列 则根式下的数字组成的等差数列通项公式为()51441n a n n =+-⨯=+而=所以4541n =+ 解得11n = 故选:D 【点睛】本题考查了等差数列通项公式的求法及简单应用,属于基础题.10.B解析:B 【分析】根据题意可得n a 为421167n n +的个位数为27n n +的个位数,而2n 的个位是以2,4,8,6为周期,7n 的个位数是以7,9,3,1为周期,即可求和. 【详解】由n a 为421167n n +的个位数, 可得n a 为27n n +的个位数, 而2n 的个位是以2,4,8,6为周期,7n 的个位数是以7,9,3,1为周期,所以27n n +的个位数是以9,3,1,7为周期, 即421167n n +的个位数是以9,3,1,7为周期, 第38项至第69项共32项,共8个周期, 所以383969a a a ++⋅⋅⋅+=8(9317)160⨯+++=. 故选:B11.C解析:C 【分析】根据题设条件,得到数列{}n a 是以6项为周期的数列,其中1234560a a a a a a +++++=,再由2020336644a a a ⨯+==,即可求解.【详解】由题意,数列{}n a 中,13a =,26a =,且21n n n a a a ++=-, 可得3214325436547653,3,6,3,3,a a a a a a a a a a a a a a a =-==-=-=-=-=-=-=-=,可得数列{}n a 是以6项为周期的数列,其中1234560a a a a a a +++++=, 所以20203366443a a a ⨯+===-. 故选:C. 【点睛】本题主要考查了数列的递推关系式,以及数列的周期性的应用,其中解答中得出数列的周期性是解答的关键,着重考查了推理与运算能力,属于基础题.12.A解析:A 【分析】令1n =得11a =,令2n =得21212S a a =+=可解得2a . 【详解】 因为1n S n =,所以11111a S ===, 因为21212S a a =+=,所以211122a =-=-. 故选:A13.A解析:A 【分析】首先将n a 化简为()234n a n =--,即可得到答案。
一、复数选择题1.已知复数2z i =-,若i 为虚数单位,则1i z +=( )A .3155i +B .1355i + C .113i + D .13i +2.若复数(1)()(i a i i -+是虚数单位)为纯虚数,则实数a 的值为( )A .2B .1C .0D .1-3.已知a 为正实数,复数1ai +(i 为虚数单位)的模为2,则a 的值为( )A B .1 C .2 D .34.已知,a b ∈R ,若2()2a b a b i -+->(i 为虚数单位),则a 的取值范围是( )A .2a >或1a <-B .1a >或2a <-C .12a -<<D .21a -<< 5.在复平面内复数Z=i (1﹣2i )对应的点位于( )A .第一象限B .第二象限C .第三象限D .第四象限6.已知复数31iz i -=,则z 的虚部为( )A .1B .1-C .iD .i -7.已知复数5i5i 2i z =+-,则z =( )A B .C .D .8.已知复数512z i =+,则z =( )A .1BCD .59.若复数1211iz i +=--,则z 在复平面内的对应点位于( )A .第一象限B .第二象限C .第三象限D .第四象限10.若复数2i1i a -+(a ∈R )为纯虚数,则1i a -=( )A B C .3 D .511.若复数()41i 34i z +=+,则z =( )A .45B .35C .25 D .512.复数112z i =+,21z i =+(i 为虚数单位),则12z z ⋅虚部等于( ). A .1- B .3 C .3i D .i -13.已知i 是虚数单位,a 为实数,且3i 1i 2i a -=-+,则a =( ) A .2B .1C .-2D .-1 14.已知i 是虚数单位,2i z i ⋅=+,则复数z 的共轭复数的模是( )A .5BCD .3 15.已知i 是虚数单位,设11i z i ,则复数2z +对应的点位于复平面( ) A .第一象限 B .第二象限C .第三象限D .第四象限 二、多选题16.已知复数202011i z i+=-(i 为虚数单位),则下列说法错误的是( )A .z 的实部为2B .z 的虚部为1C .z i =D .||z =17.(多选题)已知集合{},n M m m i n N ==∈,其中i 为虚数单位,则下列元素属于集合M 的是( )A .()()11i i -+B .11i i -+C .11i i +-D .()21i - 18.下面关于复数的四个命题中,结论正确的是( )A .若复数z R ∈,则z R ∈B .若复数z 满足2z ∈R ,则z R ∈C .若复数z 满足1R z∈,则z R ∈ D .若复数1z ,2z 满足12z z R ∈,则12z z = 19.下面是关于复数21i z =-+(i 为虚数单位)的命题,其中真命题为( ) A .||2z = B .22z i =C .z 的共轭复数为1i +D .z 的虚部为1- 20.已知i 为虚数单位,复数322i z i +=-,则以下真命题的是( ) A .z 的共轭复数为4755i - B .z 的虚部为75i C .3z = D .z 在复平面内对应的点在第一象限21.若复数z 满足(1i)3i z +=+(其中i 是虚数单位),复数z 的共轭复数为z ,则( )A .|z |=B .z 的实部是2C .z 的虚部是1D .复数z 在复平面内对应的点在第一象限22.下列结论正确的是( ) A .已知相关变量(),x y 满足回归方程ˆ9.49.1yx =+,则该方程相应于点(2,29)的残差为1.1B .在两个变量y 与x 的回归模型中,用相关指数2R 刻画回归的效果,2R 的值越大,模型的拟合效果越好C .若复数1z i =+,则2z =D .若命题p :0x R ∃∈,20010x x -+<,则p ⌝:x R ∀∈,210x x -+≥23.已知i 为虚数单位,则下列选项中正确的是( )A .复数34z i =+的模5z =B .若复数34z i =+,则z (即复数z 的共轭复数)在复平面内对应的点在第四象限C .若复数()()2234224m m m m +-+--i 是纯虚数,则1m =或4m =-D .对任意的复数z ,都有20z24.设i 为虚数单位,复数()(12)z a i i =++,则下列命题正确的是( )A .若z 为纯虚数,则实数a 的值为2B .若z 在复平面内对应的点在第三象限,则实数a 的取值范围是(,)122- C .实数12a =-是z z =(z 为z 的共轭复数)的充要条件 D .若||5()z z x i x R +=+∈,则实数a 的值为2 25.任何一个复数z a bi =+(其中a 、b R ∈,i 为虚数单位)都可以表示成:()cos sin z r i θθ=+的形式,通常称之为复数z 的三角形式.法国数学家棣莫弗发现:()()()n cos sin co i s s nn n z i n r i r n n N θθθθ+==+⎡⎤⎣∈⎦+,我们称这个结论为棣莫弗定理.根据以上信息,下列说法正确的是( )A .22z z =B .当1r =,3πθ=时,31z =C .当1r =,3πθ=时,122z =-D .当1r =,4πθ=时,若n 为偶数,则复数n z 为纯虚数26.已知复数()(()()211z m m m i m R =-+-∈,则下列说法正确的是( )A .若0m =,则共轭复数1z =-B .若复数2z =,则mC .若复数z 为纯虚数,则1m =±D .若0m =,则2420z z ++= 27.已知i 为虚数单位,下列说法正确的是( )A .若,x y R ∈,且1x yi i +=+,则1x y ==B .任意两个虚数都不能比较大小C .若复数1z ,2z 满足22120z z +=,则120z z == D .i -的平方等于128.给出下列命题,其中是真命题的是( )A .纯虚数z 的共轭复数是z -B .若120z z -=,则21z z =C .若12z z +∈R ,则1z 与2z 互为共轭复数D .若120z z -=,则1z 与2z 互为共轭复数29.对任意1z ,2z ,z C ∈,下列结论成立的是( )A .当m ,*n N ∈时,有m n m n z z z +=B .当1z ,2zC ∈时,若22120z z +=,则10z =且20z = C .互为共轭复数的两个复数的模相等,且22||||z z z z ==⋅D .12z z =的充要条件是12=z z30.已知i 为虚数单位,下列命题中正确的是( )A .若x ,y ∈C ,则1x yi i +=+的充要条件是1x y ==B .2(1)()a i a +∈R 是纯虚数C .若22120z z +=,则120z z == D .当4m =时,复数22lg(27)(56)m m m m i --+++是纯虚数【参考答案】***试卷处理标记,请不要删除一、复数选择题1.B【分析】利用复数的除法法则可化简,即可得解.【详解】,.故选:B.解析:B【分析】 利用复数的除法法则可化简1i z+,即可得解. 【详解】 2z i =-,()()()()12111313222555i i i i i i z i i i +++++∴====+--+. 故选:B. 2.D【分析】由复数乘法化复数为代数形式,然后根据复数的分类求解.【详解】,它为纯虚数,则,解得.故选:D.解析:D【分析】由复数乘法化复数为代数形式,然后根据复数的分类求解.【详解】2(1)()1(1)i a i a i ai i a a i-+=+--=++-,它为纯虚数,则1010aa+=⎧⎨-≠⎩,解得1a=-.故选:D.3.A【分析】利用复数的模长公式结合可求得的值.【详解】,由已知条件可得,解得.故选:A.解析:A【分析】利用复数的模长公式结合0a>可求得a的值.【详解】a>,由已知条件可得12ai+==,解得a=故选:A.4.A【分析】根据虚数不能比较大小可得,再解一元二次不等式可得结果. 【详解】因为,,所以,,所以或.故选:A【点睛】关键点点睛:根据虚数不能比较大小得是解题关键,属于基础题. 解析:A【分析】根据虚数不能比较大小可得a b=,再解一元二次不等式可得结果.【详解】因为,a b ∈R ,2()2a b a b i -+->,所以a b =,220a a -->,所以2a >或1a <-.故选:A【点睛】关键点点睛:根据虚数不能比较大小得a b =是解题关键,属于基础题.5.A【解析】试题分析:根据复数乘法的运算法则,我们可以将复数Z 化为a=bi (a ,b ∈R )的形式,分析实部和虚部的符号,即可得到答案.解:∵复数Z=i (1﹣2i )=2+i∵复数Z 的实部2>0,虚解析:A【解析】试题分析:根据复数乘法的运算法则,我们可以将复数Z 化为a=bi (a ,b ∈R )的形式,分析实部和虚部的符号,即可得到答案.解:∵复数Z=i (1﹣2i )=2+i∵复数Z 的实部2>0,虚部1>0∴复数Z 在复平面内对应的点位于第一象限故选A点评:本题考查的知识是复数的代数表示法及其几何意义,其中根据复数乘法的运算法则,将复数Z 化为a=bi (a ,b ∈R )的形式,是解答本题的关键.6.B【分析】化简复数,可得,结合选项得出答案.【详解】则,的虚部为故选:B解析:B【分析】化简复数z ,可得z ,结合选项得出答案.【详解】()311==11i i z i i i i i--=-=+- 则1z i =-,z 的虚部为1-故选:B7.B【分析】根据复数的四则运算法则及模的计算公式,即可得到选项.【详解】由题,得,所以.故选:B.解析:B【分析】根据复数的四则运算法则及模的计算公式,即可得到选项.【详解】由题,得()()()5i 2+i 5i 5i 5i 1+7i 2i 2i 2+i z =+=+=---,所以z == 故选:B.8.C【分析】根据模的运算可得选项.【详解】.故选:C.解析:C【分析】根据模的运算可得选项.【详解】512z i ====+ 故选:C.9.B【分析】利用复数的运算法则和复数的几何意义求解即可【详解】,所以,在复平面内的对应点为,则对应点位于第二象限故选:B解析:B【分析】利用复数的运算法则和复数的几何意义求解即可【详解】()()12i 1i 12i 33i 33i 111i 2222z +++-+=-=-==-+-, 所以,z 在复平面内的对应点为33,22⎛⎫-⎪⎝⎭,则对应点位于第二象限 故选:B10.B【分析】把给出的复数化简,然后由实部等于0,虚部不等于0求解a 的值,最后代入模的公式求模.【详解】由复数()为纯虚数,则 ,则所以故选:B解析:B【分析】把给出的复数化简,然后由实部等于0,虚部不等于0求解a 的值,最后代入模的公式求模.【详解】 由()()()()()()21i 2221112a i a a i a i i i i ----+-==++- 复数2i 1i a -+(a ∈R )为纯虚数,则202202a a -⎧=⎪⎪⎨+⎪≠⎪⎩ ,则2a =所以112ai i -=-=故选:B11.A【分析】首先化简复数,再计算求模.【详解】,.故选:A解析:A【分析】首先化简复数z ,再计算求模.【详解】()()()2242112434343434i i i z i i i i ⎡⎤++⎣⎦====-++++ ()()()()43443412163434252525i i i i i --=-=-=-++-,45z ∴==. 故选:A12.B【分析】化简,利用定义可得的虚部.【详解】则的虚部等于故选:B解析:B【分析】化简12z z ⋅,利用定义可得12z z ⋅的虚部.【详解】()()1212113z z i i i ⋅=+⋅+=-+则12z z ⋅的虚部等于3故选:B13.B【分析】可得,即得.【详解】由,得a =1.故选:B .解析:B【分析】可得3(2)(1)3ai i i i -=+-=-,即得1a =.【详解】由23(2)(1)223ai i i i i i i -=+-=-+-=-,得a =1. 故选:B .14.C【分析】首先求出复数的共轭复数,再求模长即可.【详解】据题意,得,所以的共轭复数是,所以.故选:C.解析:C【分析】首先求出复数z 的共轭复数,再求模长即可.【详解】 据题意,得22(2)12121i i i i z i i i ++-+====--,所以z 的共轭复数是12i +,所以z =.故选:C.15.A【分析】由复数的除法求出,然后得出,由复数的几何意义得结果.【详解】由已知,,对应点为,在第一象限,故选:A.解析:A【分析】由复数的除法求出z i =-,然后得出2z +,由复数的几何意义得结果.【详解】 由已知(1)(1)(1)(1)i i z i i i --==-+-, 222z i i +=-+=+,对应点为(2,1),在第一象限, 故选:A.二、多选题16.AC【分析】根据复数的运算及复数的概念即可求解.【详解】因为复数,所以z 的虚部为1,,故AC 错误,BD 正确.故选:AC解析:AC【分析】根据复数的运算及复数的概念即可求解.【详解】 因为复数2020450511()22(1)11112i i i z i i i i +++=====+---,所以z 的虚部为1,||z =故AC 错误,BD 正确.故选:AC17.BC【分析】根据集合求出集合内部的元素,再对四个选项依次化简即可得出选项.【详解】根据题意,中,时,;时,;时,;时,,.选项A 中,;选项B 中,;选项C 中,;选项D 中,.解析:BC【分析】根据集合求出集合内部的元素,再对四个选项依次化简即可得出选项.【详解】 根据题意,{},n M m m i n N ==∈中, ()4n k k N =∈时,1n i =;()41n k k N =+∈时,n i i =;()42n k k N =+∈时,1n i =-;()43n k k N =+∈时,n i i =-,{}1,1,,M i i ∴=--.选项A 中,()()112i i M -+=∉;选项B 中,()()()211111i i i i i i M --==-+-∈+; 选项C 中,()()()211111i i i i i i M ++==-+∈-; 选项D 中,()212i i M -=-∉.故选:BC.【点睛】此题考查复数的基本运算,涉及复数的乘方和乘法除法运算,准确计算才能得解. 18.AC【分析】根据复数的运算法则,以及复数的类型,逐项判断,即可得出结果.【详解】A 选项,设复数,则,因为,所以,因此,即A 正确;B 选项,设复数,则,因为,所,若,则;故B 错;C 选项,设解析:AC【分析】根据复数的运算法则,以及复数的类型,逐项判断,即可得出结果.【详解】A 选项,设复数(,)z a bi a b R =+∈,则(i ,)z a b a b =-∈R ,因为z R ∈,所以0b =,因此z a R =∈,即A 正确;B 选项,设复数(,)z a bi a b R =+∈,则()22222z a bi a b abi =+=-+,因为2z ∈R ,所0ab =,若0,0a b =≠,则z R ∉;故B 错;C 选项,设复数(,)z a bi a b R =+∈,则22222211a bi a b i z a bi a b a b a b -===-++++, 因为1R z∈,所以220b a b =+,即0b =,所以z a R =∈;故C 正确; D 选项,设复数1(,)z a bi a b R =+∈,2(,)z c di c d R =+∈,则()()()()12z z a bi c di ac bd ad bc i =++=-++,因为12z z R ∈,所以0ad bc +=,若11a b =⎧⎨=⎩,22c d =⎧⎨=-⎩能满足0ad bc +=,但12z z ≠,故D 错误.故选:AC.【点睛】本题主要考查复数相关命题的判断,熟记复数的运算法则即可,属于常考题型.19.BD【分析】把分子分母同时乘以,整理为复数的一般形式,由复数的基本知识进行判断即可.【详解】解:,,A 错误;,B 正确;z 的共轭复数为,C 错误;z 的虚部为,D 正确.故选:BD.【点解析:BD【分析】 把21iz =-+分子分母同时乘以1i --,整理为复数的一般形式,由复数的基本知识进行判断即可.【详解】 解:22(1)11(1)(1)i z i i i i --===---+-+--,||z ∴=A 错误;22i z =,B 正确;z 的共轭复数为1i -+,C 错误;z 的虚部为1-,D 正确.故选:BD.【点睛】本题主要考查复数除法的基本运算、复数的基本概念,属于基础题.20.AD【分析】先利用复数的除法、乘法计算出,再逐项判断后可得正确的选项.【详解】,故,故A 正确.的虚部为,故B 错,,故C 错,在复平面内对应的点为,故D 正确.故选:AD.【点睛】本题考解析:AD【分析】先利用复数的除法、乘法计算出z ,再逐项判断后可得正确的选项.【详解】()()32232474725555i i i i i z i ++++====+-,故4755i z =-,故A 正确.z 的虚部为75,故B 错,355z ==≠,故C 错, z 在复平面内对应的点为47,55⎛⎫ ⎪⎝⎭,故D 正确. 故选:AD.【点睛】本题考查复数的概念、复数的运算以及复数的几何意义,注意复数(),z a bi a b R =+∈的虚部为b ,不是bi ,另外复数的除法运算是分子分母同乘以分母的共轭复数.21.ABD【分析】把已知等式变形,然后利用复数代数形式的乘除运算化简,求出复数,根据共轭复数概念得到,即可判断.【详解】,,,故选项正确,的实部是,故选项正确,的虚部是,故选项错误,复解析:ABD【分析】把已知等式变形,然后利用复数代数形式的乘除运算化简,求出复数z ,根据共轭复数概念得到z ,即可判断.【详解】(1i)3i z +=+,()()()()3134221112i i i i z i i i i +-+-∴====-++-,z ∴==,故选项A 正确,z 的实部是2,故选项B 正确,z 的虚部是1-,故选项C 错误, 复数2z i =+在复平面内对应的点为()2,1,在第一象限,故选项D 正确.故选:ABD .【点睛】本题主要考查的是复数代数形式的乘除运算,考查了复数的代数表示及几何意义,是基础题.22.ABD【分析】根据残差的计算方法判断A ,根据相关指数的性质判断B ,根据复数的模长公式判断C ,根据否定的定义判断D.【详解】当时,,则该方程相应于点(2,29)的残差为,则A 正确;在两个变量解析:ABD【分析】根据残差的计算方法判断A ,根据相关指数的性质判断B ,根据复数的模长公式判断C ,根据否定的定义判断D.【详解】当2x =时,ˆ9.429.127.9y=⨯+=,则该方程相应于点(2,29)的残差为2927.9 1.1-=,则A 正确;在两个变量y 与x 的回归模型中,2R 的值越大,模型的拟合效果越好,则B 正确;1z i =-,z ==C 错误;由否定的定义可知,D 正确;故选:ABD【点睛】本题主要考查了残差的计算,求复数的模,特称命题的否定,属于中档题. 23.AB【分析】求解复数的模判断;由共轭复数的概念判断;由实部为0且虚部不为0求得值判断;举例说明错误.【详解】解:对于,复数的模,故正确;对于,若复数,则,在复平面内对应的点的坐标为,在第四解析:AB【分析】求解复数的模判断A ;由共轭复数的概念判断B ;由实部为0且虚部不为0求得m 值判断C ;举例说明D 错误.【详解】解:对于A ,复数34z i =+的模||5z ==,故A 正确;对于B ,若复数34z i =+,则34z i =-,在复平面内对应的点的坐标为(3,4)-,在第四象限,故B 正确;对于C ,若复数22(34)(224)m m m m i +-+--是纯虚数,则223402240m m m m ⎧+-=⎨--≠⎩,解得1m =,故C 错误; 对于D ,当z i 时,210z =-<,故D 错误.故选:AB .【点睛】本题考查复数代数形式的乘除运算,考查复数的基本概念,考查复数模的求法,属于基础题. 24.ACD【分析】首先应用复数的乘法得,再根据纯虚数概念、复数所在象限,以及与共轭复数或另一个复数相等,求参数的值或范围,进而可确定选项的正误【详解】∴选项A :为纯虚数,有可得,故正确选项B解析:ACD【分析】首先应用复数的乘法得2(12)z a a i =-++,再根据纯虚数概念、复数所在象限,以及与共轭复数或另一个复数相等,求参数的值或范围,进而可确定选项的正误【详解】()(12)2(12)z a i i a a i =++=-++∴选项A :z 为纯虚数,有20120a a -=⎧⎨+≠⎩可得2a =,故正确 选项B :z 在复平面内对应的点在第三象限,有20120a a -<⎧⎨+<⎩解得12a <-,故错误选项C :12a =-时,52z z ==-;z z =时,120a +=即12a =-,它们互为充要条件,故正确 选项D :||5()z z x i x R +=+∈时,有125a +=,即2a =,故正确故选:ACD【点睛】本题考查了复数的运算及分类和概念,应用复数乘法运算求得复数,再根据复数的概念及性质、相等关系等确定参数的值或范围25.AC【分析】利用复数的三角形式与模长公式可判断A 选项的正误;利用复数的棣莫弗定理可判断B 选项的正误;计算出复数,可判断C 选项的正误;计算出,可判断D 选项的正误.【详解】对于A 选项,,则,可得解析:AC【分析】利用复数的三角形式与模长公式可判断A 选项的正误;利用复数的棣莫弗定理可判断B 选项的正误;计算出复数z ,可判断C 选项的正误;计算出4z ,可判断D 选项的正误.【详解】对于A 选项,()cos sin z r i θθ=+,则()22cos2sin 2z r i θθ=+,可得()222cos 2sin 2z r i r θθ=+=,()222cos sin z r i r θθ=+=,A 选项正确; 对于B 选项,当1r =,3πθ=时,()33cos sin cos3sin3cos sin 1z i i i θθθθππ=+=+=+=-,B 选项错误;对于C 选项,当1r =,3πθ=时,1cos sin 332z i ππ=+=+,则12z =,C 选项正确;对于D 选项,()cos sin cos sin cos sin 44n n n n z i n i n i ππθθθθ=+=+=+, 取4n =,则n 为偶数,则4cos sin 1z i ππ=+=-不是纯虚数,D 选项错误.故选:AC.【点睛】本题考查复数的乘方运算,考查了复数的模长、共轭复数的运算,考查计算能力,属于中等题.26.BD【分析】根据每个选项里的条件,求出相应的结果,即可判断选项的正误.【详解】对于A ,时,,则,故A 错误;对于B ,若复数,则满足,解得,故B 正确;对于C ,若复数z 为纯虚数,则满足,解得,解析:BD【分析】根据每个选项里的条件,求出相应的结果,即可判断选项的正误.【详解】对于A ,0m =时,1z =-,则1z =-,故A 错误;对于B ,若复数2z =,则满足(()21210m m m ⎧-=⎪⎨-=⎪⎩,解得m ,故B 正确; 对于C ,若复数z为纯虚数,则满足(()21010m m m ⎧-=⎪⎨--≠⎪⎩,解得1m =-,故C 错误; 对于D ,若0m =,则1z =-+,()()221420412z z ++=+--+=+,故D 正确.故选:BD.【点睛】 本题主要考查对复数相关概念的理解,注意不同情形下的取值要求,是一道基础题.27.AB【分析】利用复数相等可选A ,利用虚数不能比较大小可选B ,利用特值法可判断C 错误,利用复数的运算性质可判断D 错误.【详解】对于选项A ,∵,且,根据复数相等的性质,则,故正确;对于选项B ,解析:AB【分析】利用复数相等可选A ,利用虚数不能比较大小可选B ,利用特值法可判断C 错误,利用复数的运算性质可判断D 错误.【详解】对于选项A ,∵,x y R ∈,且1x yi i +=+,根据复数相等的性质,则1x y ==,故正确;对于选项B ,∵虚数不能比较大小,故正确;对于选项C ,∵若复数1=z i ,2=1z 满足22120z z +=,则120z z ≠≠,故不正确; 对于选项D ,∵复数()2=1i --,故不正确;故选:AB .【点睛】本题考查复数的相关概念,涉及复数的概念、复数相等、复数计算等知识,属于基础题. 28.AD【分析】A .根据共轭复数的定义判断.B.若,则,与关系分实数和虚数判断.C.若,分可能均为实数和与的虚部互为相反数分析判断.D.根据,得到,再用共轭复数的定义判断.【详解】A .根据共轭解析:AD【分析】A .根据共轭复数的定义判断.B.若120z z -=,则12z z =,1z 与2z 关系分实数和虚数判断.C.若12z z +∈R ,分12,z z 可能均为实数和1z 与2z 的虚部互为相反数分析判断.D. 根据120z z -=,得到12z z =,再用共轭复数的定义判断.【详解】A .根据共轭复数的定义,显然是真命题;B .若120z z -=,则12z z =,当12,z z 均为实数时,则有21z z =,当1z ,2z 是虚数时,21≠z z ,所以B 是假命题;C .若12z z +∈R ,则12,z z 可能均为实数,但不一定相等,或1z 与2z 的虚部互为相反数,但实部不一定相等,所以C 是假命题;D. 若120z z -=,则12z z =,所以1z 与2z 互为共轭复数,故D 是真命题.故选:AD【点睛】本题主要考查了复数及共轭复数的概念,还考查了理解辨析的能力,属于基础题. 29.AC【分析】根据复数乘法的运算律和复数的模及共轭复数的概念可判断出答案A 和C 正确;C 中可取,进行判断;D 中的必要不充分条件是.【详解】解:由复数乘法的运算律知,A 正确;取,;,满足,但且不解析:AC【分析】根据复数乘法的运算律和复数的模及共轭复数的概念可判断出答案A 和C 正确;C 中可取11z =,2z i =进行判断;D 中12z z =的必要不充分条件是12=z z .【详解】解:由复数乘法的运算律知,A 正确;取11z =,;2z i =,满足22120z z +=,但10z =且20z =不成立,B 错误; 由复数的模及共轭复数的概念知结论成立,C 正确;由12z z =能推出12=z z ,但12||||z z =推不出12z z =,因此12z z =的必要不充分条件是12=z z ,D 错误. 故选:AC【点睛】本题主要考查复数乘法的运算律和复数的基本知识以及共轭复数的概念,属于基础题.30.BD【分析】选项A :取,满足方程,所以错误;选项B :,恒成立,所以正确;选项C :取,,,所以错误;选项D :代入,验证结果是纯虚数,所以正确.【详解】取,,则,但不满足,故A 错误;,恒成解析:BD【分析】选项A :取x i =,y i =-满足方程,所以错误;选项B :a ∀∈R ,210a +>恒成立,所以正确;选项C :取1z i =,21z =,22120z z +=,所以错误;选项D :4m =代入 22lg(27)(56)m m m m i --+++,验证结果是纯虚数,所以正确.【详解】取x i =,y i =-,则1x yi i +=+,但不满足1x y ==,故A 错误;a ∀∈R ,210a +>恒成立,所以2(1a i +)是纯虚数,故B 正确;取1z i =,21z =,则22120z z +=,但120z z ==不成立,故C 错误; 4m =时,复数2212756=42g m m m m i i --+++()()是纯虚数,故D 正确.故选:BD .【点睛】本题考查复数有关概念的辨析,特别要注意复数的实部和虚部都是实数,解题时要合理取特殊值,属于中档题.。